极限的四则运算(数列极限、函数极限)
- 格式:ppt
- 大小:964.00 KB
- 文档页数:32
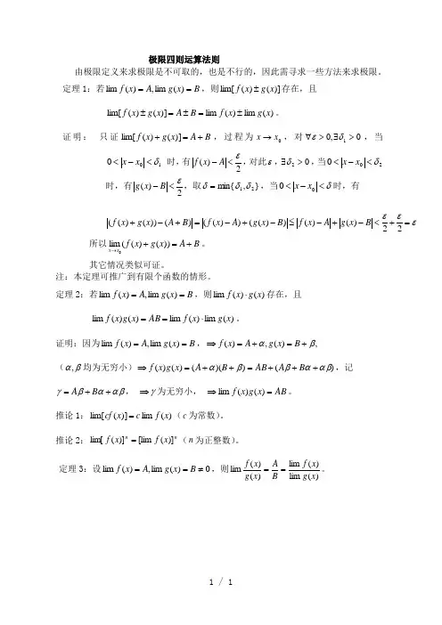
极限四则运算法则由极限定义来求极限是不可取的,也是不行的,因此需寻求一些方法来求极限。
定理1:若B x g A x f ==)(lim ,)(lim ,则)]()(lim[x g x f ±存在,且)(lim )(lim )]()(lim[x g x f B A x g x f ±=±=±。
证明: 只证B A x g x f +=+)]()(lim[,过程为0x x →,对0,01>∃>∀δε,当100δ<-<x x 时,有2)(ε<-A x f ,对此ε,02>∃δ,当200δ<-<x x 时,有2)(ε<-B x g ,取},m in{21δδδ=,当δ<-<00x x 时,有εεε=+<-+-≤-+-=+-+22)()())(())(()())()((B x g A x f B x g A x f B A x g x f所以B A x g x f x x +=+→))()((lim 0。
其它情况类似可证。
注:本定理可推广到有限个函数的情形。
定理2:若B x g A x f ==)(lim ,)(lim ,则)()(lim x g x f ⋅存在,且)(lim )(lim )()(lim x g x f AB x g x f ⋅==。
证明:因为B x g A x f ==)(lim ,)(lim ,⇒,)(,)(βα+=+=B x g A x f (βα,均为无穷小))())(()()(αβαββα+++=++=⇒B A AB B A x g x f ,记αβαβγ++=B A , γ⇒为无穷小, AB x g x f =⇒)()(lim 。
推论1:)(lim )](lim[x f c x cf =(c 为常数)。
推论2:n n x f x f )]([lim )](lim [=(n 为正整数)。
极限四则运算:
定义:所谓的极限四则运算法则:需要具有两个极限同时存在,如果有一个极限自身不存在的时候,四则运算法则无法成立。
性质:唯一性:若数列的极限存在,则极限值是唯一的,且它的任何子列的极限与原数列的相等。
有界性:如果一个数列’收敛‘(有极限),那么这个数列一定有界。
保不等式性:设数列{xₙ} 与{yₙ}均收敛。
若存在正数N ,使得当n>N时有xₙ≥yₙ,则(若条件换为xₙ>yₙ,结论不变)。
和实数运算的相容性:如果两个数列{xₙ} ,{yₙ} 都收敛,那么数列{x ₙ+yₙ}也收敛,而且它的极限等于{xₙ} 的极限和{yₙ} 的极限的和。
其中我们可以设:limf(x)和limg(x)存在
令:limf(x)=A,limg(x)=B,其中,B≠0;c是一个常数
备注:四则运算可以相互带入数值进行互算,第四带入数值B不能为0不然等式不能成立。
极限的四则运算法则:极限的四则运算法则是在学习了极限概念和无穷小量与无穷大量之后的又一重要内容,也是学习导数和微分的重要基础知识。
在进行极限的四则运算法则之前,需要对极限的概念、无穷小量和无穷大量的概念、无穷小量的运算性质、无穷小量和无穷大量的关系等基本内容都有初步学习和了解,而对于如何利用无穷小量的运算法则、无穷小量与无穷大量之间的关系求取函数的极限,以及利用观察法求取数列的极限和简单函数的极限,需要进行进一步的学习与掌握。
极限的四则运算公式表公式加减法,,则乘法,,则除法,,且y≠0,B≠0,则极限的四则运算法则是两个函数的极限都存在,并且分母的极限还不等于0的情况下,当这两个条件都满足的,那么两个函数在和、差、积、商的极限和这两个函数的极限的和、差、积、商都相等;对于一个常数与一个函数的乘积的极限的情况,其结果等于这个常数与这个函数的极限乘积;并且一个函数的乘方的极限和这个函数的极限乘方也是相等的。
在解决具体问题时,需要根据实际情况进行运算和解答,重视实际应用。
当极限的函数是一个整式,可以直接运用极限的四则运算法则来进行计算。
例如,当x趋近于1时,分母的极限不是0,可以直接对法则进行运用和计算。
例:= =三极限的四则运算法则在进行函数极限求解时需要注意的事项第一,对于分式来说,当其分母的极限不等于0时,才能直接运用四则运算法则进行求解。
第二,避免一些常见的错误的认识,例如对c/0=∞,(c为任意的常数),∞-∞=0,∞/∞=0等。
第三,对于无穷多个无穷小量来说,其和未必是无穷小量。
四极限的四则运算法则的归类1.x→x0这种情况第一,当函数f(x)是一个整式,可以对极限的四则运算法则进行直接的运用和计算,或是直接对f(x0)进行求解。
第二,当函数f(x)是一个分式,其分母的极限等于0,而要注意分子的极限并不等于0,那么便可以对极限的四则运算法则进行直接的运用并计算,或者求出f(x0)。
第三,在函数f(x)是个分式的情况下,当分母的极限为0时,那么分子的极限不等于0,可以先对lim =0进行求解,再根据无穷小量和无穷大量这之间的关系来进行计算。
证明极限的几种方法一、数列极限法数列极限法是证明极限的常用方法之一。
对于数列 {an},如果存在实数 a,使得当 n 趋向于无穷大时,数列 {an} 的每一项与 a 的差的绝对值趋近于零,即lim(n→∞)(an - a)= 0,那么我们称数列 {an} 的极限为 a。
例如,考虑数列 {1/n},当 n 趋向于无穷大时,数列的每一项与 0 的差的绝对值趋近于零,即lim(n→∞)(1/n - 0)= 0。
因此,数列 {1/n} 的极限为 0。
二、函数极限法函数极限法是证明极限的另一种常用方法。
对于函数 f(x),如果存在实数 a,使得当 x 趋向于某一点 x0 时,函数 f(x) 的取值趋近于 a,即lim(x→x0) f(x) = a,那么我们称函数 f(x) 在 x0 处的极限为 a。
例如,考虑函数 f(x) = 1/x,当 x 趋向于无穷大时,函数的取值趋近于 0,即lim(x→∞) 1/x = 0。
因此,函数 f(x) 在x = ∞ 处的极限为 0。
三、夹逼定理夹逼定理是一种常用的证明极限的方法,适用于一些比较复杂的函数。
夹逼定理的核心思想是找到两个函数 g(x) 和 h(x),使得对于给定的 x,有g(x) ≤ f(x) ≤ h(x),且当 x 趋向于某一点 x0 时,g(x) 和 h(x) 的极限相等,即lim(x→x0) g(x) = lim(x→x0) h(x) = a。
例如,考虑函数 f(x) = x^2sin(1/x),我们想证明当 x 趋向于 0 时,f(x) 的极限为 0。
为了使用夹逼定理,我们可以找到两个函数g(x) = -x^2 和 h(x) = x^2,使得对于任意 x,有g(x) ≤ f(x) ≤ h(x)。
当 x 趋向于 0 时,g(x) 和 h(x) 的极限都为 0。
因此,根据夹逼定理,我们可以得出lim(x→0) f(x) = 0。
四、极限的代数运算法则极限的代数运算法则是一组用于计算极限的规则。
一、数列的极限:1.极限的概念和运算法则数列极限的定义:一般地,如果当项数n 无限增大时,无穷数列{a n }的项a n 无限地趋近于某个常数a ,那么就说数列{a n }以a 为极限.数列极限的运算法则:如果A a n n =∞→lim ,Bb n n =∞→lim .则 ① ()B A b a n n n +=+∞→lim .② ()AB b a n n n =∞→lim .② ()0,0lim ≠≠=∞→B b B A b a n n n n .(注意:和与积中包含的数列个数必须是有限的,另外这些运算法则逆命题并不一定成立,例如,若已知()n n n b a ∞→lim 存在,n n a ∞→lim ,nn b ∞→lim 不一定存在,可以进行这样的改编,让学生自行判断和举反例。
)2.基本数列极限①为常数);C C C n (lim =∞→ ②);*(01lim N n n n ∈=∞→ ③);1|(|0lim <=∞→q q n n 而对于n n q lim ∞→,当1=q 时,1lim =∞→n n q ;当1||>q 或1-=q 时,n n q lim ∞→极限不存在。
3.无穷等比数列各项和当公比1||0<<q 时,无穷等比数列ΛΛn a a a a ,,,321的各项和为:);1||0(11lim <<-==∞→q q a S S n n(可以让学生解释各项和怎么由前n 项和公式演变而来,注意适用范围及两者区别)4.常见的数列极限可以归纳为两大类:第一类是两个关于自然数n 的多项式的商的极限:)0,0,,(.0;,*01110111lim ≠≠∈⎪⎩⎪⎨⎧>==++++++++----∞→l k l l l l k k k k n b a N l k k l k l b a b n b n b n b a n a n a n a 时,当时当ΛΛ当l k >时,上述极限不存在.第二类是关于n 的指数式的极限: ⎩⎨⎧=<=∞→时,当时;当111||,0lim q q q nn当1||>q或1-=q时,上述极限不存在(注意:求极限时,把常数项提到极限记号外面可以使运算变得很简洁。