南京大学2007年数学分析考研试题及解答
- 格式:pdf
- 大小:152.68 KB
- 文档页数:6
2007年硕士研究生入学考试数学一试题及答案解析一、选择题:(本题共10小题,每小题4分,共40分. 每小题给出的四个选项中,只有一项符合题目要求,把所选项前的字母填在题后的括号内)(1) 当0x +→(A) 1-. (B) ln. (C)1. (D) 1-.[ B ]【分析】 利用已知无穷小量的等价代换公式,尽量将四个选项先转化为其等价无穷小量,再进行比较分析找出正确答案.【详解】 当0x +→时,有1(1)~-=--1~2111~.22x -= 利用排除法知应选(B).(2) 曲线1ln(1)x y e x=++,渐近线的条数为(A) 0. (B) 1. (C) 2. (D) 3. [ D ]【分析】 先找出无定义点,确定其是否为对应垂直渐近线;再考虑水平或斜渐近线。
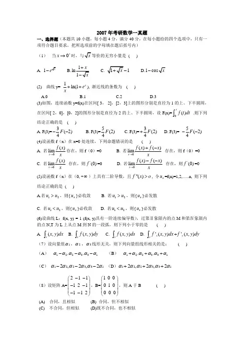
【详解】 因为01lim[ln(1)]x x e x→++=∞,所以0x =为垂直渐近线;又 1lim [ln(1)]0x x e x→-∞++=,所以y=0为水平渐近线;进一步,21ln(1)ln(1)lim lim[]lim x x x x x y e e x x x x →+∞→+∞→+∞++=+==lim11xx x e e →+∞=+, 1l i m [1]l i m [l n (1)]x x x y xe x x→+∞→+∞-⋅=++-=lim[ln(1)]x x e x →+∞+-=lim[ln (1)]lim ln(1)0x x x x x e e x e --→+∞→+∞+-=+=,于是有斜渐近线:y = x . 故应选(D).(3) 如图,连续函数y =f (x )在区间[−3,−2],[2,3]上的图形分别是直径为1的上、下半圆周,在区间[−2,0],[0,2]的图形分别是直径为2的上、下半圆周,设0()().xF x f t dt =⎰则下列结论正确的是(A) 3(3)(2)4F F =--. (B) 5(3)(2)4F F =.(C) )2(43)3(F F =-. (D))2(45)3(--=-F F .[ C ]【分析】 本题考查定积分的几何意义,应注意f (x )在不同区间段上的符号,从而搞清楚相应积分与面积的关系。
2007年考研数学一真题及参考答案一、选择题(本题共10小题,每小题4分,满分40分,在每小题给的四个选项中,只有一项符合题目要求,把所选项前的字母填在题后括号内)(1) 当0x +→时,与x 等价的无穷小量是 (B) A. 1xe- B.1ln1xx+- C. 11x +- D.1cos x -(2) 曲线y=1ln(1x e x++), 渐近线的条数为 (D) A.0 B.1 C.2 D.3(3)如图,连续函数y=f(x)在区间[-3,-2],[2,3]上的图形分别是直径为1的上、下半圆周,在区间[-2,0],[0,2]的图形分别是直径为2的上、下半圆周,设F(x)=0()xf t dt ⎰.则下列结论正确的是 (C) A. F(3)=3(2)4F -- B. F(3)=5(2)4F C. F(3)=3(2)4F + D. F(3)= 5(2)4F --(4)设函数f (x )在x=0处连续,下列命题错误的是 (C)A. 若0()limx f x x →存在,则f (0)=0 B. 若0()()lim x f x f x x→+- 存在,则f (0)=0C. 若0()lim x f x x → 存在,则'(0)f =0D. 若0()()lim x f x f x x→-- 存在,则'(0)f =0(5)设函数f (x )在(0, +∞)上具有二阶导数,且"()f x o >, 令n u =f(n)=1,2,…..n, 则下列结论正确的是(D)A.若12u u >,则{n u }必收敛B. 若12u u >,则{n u }必发散C. 若12u u <,则{n u }必收敛D. 若12u u <,则{n u }必发散(6)设曲线L :f(x, y) = 1 (f(x, y)具有一阶连续偏导数),过第Ⅱ象限内的点M 和第Ⅳ象限内的点N,T 为L 上从点M 到N 的一段弧,则下列小于零的是 (B) A.(,)rx y dx ⎰ B. (,)rf x y dy ⎰C.(,)rf x y ds ⎰D.'(,)'(,)x y rf x y dx f x y dy +⎰(7)设向量组1α,2α,3α线形无关,则下列向量组线形相关的是: (A) (A ) ,,122331αααααα--- (B ) ,,122331αααααα+++(C )1223312,2,2αααααα--- (D )1223312,2,2αααααα+++(8)设矩阵A=211121112--⎛⎫ ⎪-- ⎪ ⎪--⎝⎭,B=100010000⎛⎫ ⎪⎪ ⎪⎝⎭,则A 于B , (B)(A) 合同,且相似(B) 合同,但不相似 (C) 不合同,但相似(D)既不合同,也不相似(9)某人向同一目标独立重复射击,每次射击命中目标的概率为p ()01p <<,则此人第4次射击恰好第2次命中目标的概率为: (C) (A )23(1)p p - (B)26(1)p p - (C) 223(1)p p -(D) 226(1)p p -(10) 设随即变量(X ,Y )服从二维正态分布,且X 与Y 不相关,()X f x ,()Y f y 分别表示X ,Y 的概率密度,则在Y =y 的条件下,X 的条件概率密度|(|)XYf x y 为 (A)(A )()X f x(B) ()Y f y(C) ()X f x ()Y f y(D)()()X Y f x f y 二.填空题:11-16小题,每小题4分,共24分,请将答案写在答题纸指定位置上。
2007年考研数学一真题一、选择题(110小题,每小题4分,共40分。
下列每题给出的四个选项中,只有一个选项是符合题目要求的。
)(1)当时,与等价的无穷小量是(A)(B)(C)(D)【答案】B。
【解析】时几个不同阶的无穷小量的代数和,其阶数由其中阶数最低的项来决定。
综上所述,本题正确答案是B。
【考点】高等数学—函数、极限、连续—无穷小量的性质及无穷小量的比较(2)曲线渐近线的条数为(A)0(B)1(C)2(D)3【答案】D。
【解析】由于,则是曲线的垂直渐近线;又所以是曲线的水平渐近线;斜渐近线:由于一侧有水平渐近线,则斜渐近线只可能出现在一侧。
则曲线有斜渐近线,故该曲线有三条渐近线。
综上所述,本题正确答案是D。
【考点】高等数学—一元函数微分学—函数图形的凹凸性、拐点及渐近线(3)如图,连续函数在区间上的图形分别是直径为1的上、下半圆周,在区间上的图形分别是直径为2的下、上半圆周,设,则下列结论正确的是(A)(B)(C)(D)【答案】C。
【解析】-3-2-10123【方法一】四个选项中出现的在四个点上的函数值可根据定积分的几何意义确定则【方法二】由定积分几何意义知,排除(B)又由的图形可知的奇函数,则为偶函数,从而显然排除(A)和(D),故选(C)。
综上所述,本题正确答案是C。
【考点】高等数学—一元函数积分学—定积分的概念和基本性质,定积分的应用(4)设函数在处连续,下列命题错误..的是(A)若存在,则(B)若存在,则(C)若存在,则存在(D)若存在,则存在【答案】D。
【解析】(A):若存在,因为,则,又已知函数在处连续,所以,故,(A)正确;(B):若存在,则,则,故(B)正确。
(C)存在,知,则则存在,故(C)正确(D)存在,不能说明存在例如在处连续,存在,但是不存在,故命题(D)不正确。
综上所述,本题正确答案是D。
【考点】高等数学—一元函数微分学—导数和微分的概念(5)设函数在内具有二阶导数,且,令,则下列结论正确的是 (A)若,则必收敛(B)若,则必发散 (C)若,则必收敛(D)若,则必发散【答案】D 。
2007年考研数学一真题一、选择题(110小题,每小题4分,共40分。
下列每题给出的四个选项中,只有一个选项是符合题目要求的。
)(1)当时,与等价的无穷小量是(A) (B)(C) (D)【答案】B。
【解析】时几个不同阶的无穷小量的代数和,其阶数由其中阶数最低的项来决定。
综上所述,本题正确答案是B。
【考点】高等数学—函数、极限、连续—无穷小量的性质及无穷小量的比较(2)曲线渐近线的条数为(A)0 (B)1(C)2 (D)3【答案】D。
【解析】由于则是曲线的垂直渐近线;又所以是曲线的水平渐近线;斜渐近线:由于一侧有水平渐近线,则斜渐近线只可能出现在一侧。
则曲线有斜渐近线,故该曲线有三条渐近线。
综上所述,本题正确答案是D。
【考点】高等数学—一元函数微分学—函数图形的凹凸性、拐点及渐近线(3)如图,连续函数在区间上的图形分别是直径为1的上、下半圆周,在区间上的图形分别是直径为2的下、上半圆周,设,则下列结论正确的是(A)(B)(C)【答案】C。
【解析】【方法一】四个选项中出现的在四个点上的函数值可根据定积分的几何意义确定则【方法二】由定积分几何意义知,排除(B)又由的图形可知的奇函数,则为偶函数,从而显然排除(A)和(D),故选(C)。
综上所述,本题正确答案是C。
【考点】高等数学—一元函数积分学—定积分的概念和基本性质,定积分的应用(4)设函数在处连续,下列命题错误的是(A)若存在,则(B)若存在,则(C) 若存在,则存在(D) 若存在,则存在【答案】D。
【解析】(A):若存在,因为,则,又已知函数在处连续,所以,故,(A)正确;(B):若存在,则,则,故(B)正确。
(C)存在,知,则则存在,故(C)正确(D)存在,不能说明存在例如在处连续,存在,但是不存在,故命题(D)不正确。
综上所述,本题正确答案是D。
【考点】高等数学—一元函数微分学—导数和微分的概念(5)设函数在内具有二阶导数,且,令,则下列结论正确的是(A)若,则必收敛(B)若,则必发散(C)若,则必收敛(D)若,则必发散【答案】D。
2007年数学一试题分析、详解和评注分析解答所用参考书:1.黄先开、曹显兵教授主编的《2007考研数学经典讲义(理工类)》,简称经典讲义(人大社出版). 2.黄先开、曹显兵教授主编的《2007考研数学历年真题题型解析》,简称真题(人大社出版). 3.黄先开、曹显兵教授在2006强化辅导班上的讲稿.一、选择题:(本题共10小题,每小题4分,共40分. 每小题给出的四个选项中,只有一项符合题目要求,把所选项前的字母填在题后的括号内) (1)当0x +→(A)1-(B) ln(C)1.(D) 1cos -. 【 】【答案】 应选(B). 【分析】 利用已知无穷小量的等价代换公式,尽量将四个选项先转化为其等价无穷小量,再进行比较分析找出正确答案.【详解】当0x +→时,有1(1)~-=--1~;2111cos~.22x -= 利用排除法知应选(B).【评注】本题直接找出ln但由于另三个的等价无穷小很容易得到,因此通过排除法可得到答案。
事实上,2ln(1)ln(1ln(1)ln(1)lim lim lim tx x t x t t t+++→→→+--+--==22200212(1)111lim lim 1.1(1)(1)t t tt t t tt t t ++→→+-+++-==+-(2)曲线1ln(1)xy e x=++,渐近线的条数为(A) 0. (B) 1. (C) 2. (D) 3. 【 】 【答案】 应选(D).【分析】 先找出无定义点,确定其是否为对应垂直渐近线;再考虑水平或斜渐近线。
【详解】 因为01lim[ln(1)]xx e x→++=∞,所以0x =为垂直渐近线;又 1lim [ln(1)]0xx e x→-∞++=,所以y=0为水平渐近线;进一步,21ln(1)ln(1)limlim []limxxx x x y e e xxxx→+∞→+∞→+∞++=+==lim11x xx ee→+∞=+,1l i m [1]l i m [l n (1)]xx x y x e x x→+∞→+∞-⋅=++-=lim [ln(1)]xx e x →+∞+-=lim [ln (1)]lim ln(1)0xxxx x e e x e --→+∞→+∞+-=+=,于是有斜渐近线:y = x . 故应选(D).【评注】 一般来说,有水平渐近线(即lim x y c →∞=)就不再考虑斜渐近线,但当lim x y →∞不存在时,就要分别讨论x →-∞和x →+∞两种情况,即左右两侧的渐近线。
2007年考研数学一真题一、选择题(本题共10小题,每小题4分,满分40分,在每小题给的四个选项中,只有一项符合题目要求,把所选项前的字母填在题后括号内) (1) 当0x +→时,与x 等价的无穷小量是 ( ) A. 1xe- B.1ln1xx+- C. 11x +- D.1cos x -(2) 曲线y=1ln(1x e x++), 渐近线的条数为 ( ) A.0 B.1 C.2 D.3(3)如图,连续函数y=f(x)在区间[-3,-2],[2,3]上的图形分别是直径为1的上、下半圆周,在区间[-2,0],[0,2]的图形分别是直径为2的上、下半圆周,设F(x)=0()xf t dt ⎰.则下列结论正确的是 ( ) A. F(3)=3(2)4F -- B. F(3)=5(2)4F C. F(3)=3(2)4F + D. F(3)= 5(2)4F --(4)设函数f (x )在x=0处连续,下列命题错误的是 ( )A. 若0()limx f x x →存在,则f (0)=0 B. 若0()()lim x f x f x x→+- 存在,则f (0)=0C. 若0()lim x f x x → 存在,则'(0)f =0D. 若0()()lim x f x f x x→-- 存在,则'(0)f =0(5)设函数f (x )在(0, +∞)上具有二阶导数,且"()f x o >, 令n u =f(n)=1,2,…..n, 则下列结论正确的是 ( )A.若12u u >,则{n u }必收敛B. 若12u u >,则{n u }必发散C. 若12u u <,则{n u }必收敛D. 若12u u <,则{n u }必发散(6)设曲线L :f(x, y) = 1 (f(x, y)具有一阶连续偏导数),过第Ⅱ象限内的点M 和第Ⅳ象限内的点N,T 为L 上从点M 到N 的一段弧,则下列小于零的是 ( ) A.(,)rx y dx ⎰ B. (,)rf x y dy ⎰C.(,)rf x y ds ⎰D.'(,)'(,)x y rf x y dx f x y dy +⎰(7)设向量组1α,2α,3α线形无关,则下列向量组线形相关的是: ( ) (A ),,122331αααααα--- (B ) ,,122331αααααα+++(C ) 1223312,2,2αααααα--- (D )1223312,2,2αααααα+++(8)设矩阵A=211121112--⎛⎫ ⎪-- ⎪ ⎪--⎝⎭,B=100010000⎛⎫ ⎪⎪ ⎪⎝⎭,则A 于B ( )(A) 合同,且相似(B) 合同,但不相似 (C) 不合同,但相似(D)既不合同,也不相似(9)某人向同一目标独立重复射击,每次射击命中目标的概率为p ()01p <<,则此人第4次射击恰好第2次命中目标的概率为: ( ) (A )23(1)p p - (B)26(1)p p - (C) 223(1)p p -(D) 226(1)p p -(10) 设随即变量(X ,Y )服从二维正态分布,且X 与Y 不相关,()X f x ,()Y f y 分别表示X ,Y 的概率密度,则在Y =y 的条件下,X 的条件概率密度|(|)X Yf x y 为 ( )(A )()X f x(B) ()Y f y(C) ()X f x ()Y f y(D)()()X Y f x f y 二.填空题:11-16小题,每小题4分,共24分,请将答案写在答题纸指定位置上 (11)31211x e dx x⎰=_______. (12)设(,)f u v 为二元可微函数,(,)y xz f x y =,则zx∂∂=______. (13)二阶常系数非齐次线性方程2''4'32x y y y e -+=的通解为y =____________. (14)设曲面∑:||||||1x y z ++=,则(||)x y ds ∑+⎰⎰=_____________.(15)设矩阵A =0100001000010000⎛⎫ ⎪⎪ ⎪ ⎪⎝⎭,则3A 的秩为________. (16)在区间(0,1)中随机地取两个数,则这两个数之差的绝对值小于12的概率为________. 三.解答题:17~24小题,共86分.请将解答写在答题纸指定的位置上.解答应写出文字说明、证明过程或演算步骤.222222(,)2{(,)4,0}f x y x y x y D x y x y y =+-=+≤≥(17)(本题满分11分)求函数在区域上的最大值和最小值。
2007年考研数学一真题一、选择题(本题共10小题,每小题4分,满分40分,在每小题给的四个选项中,只有一项符合题目要求,把所选项前的字母填在题后括号内)(1) 当0x +→( )A. 1-B.C. 1D.1-(2) 曲线y=1ln(1x e x++), 渐近线的条数为 ( ) A.0 B.1 C.2 D.3(3)如图,连续函数y=f(x)在区间[-3,-2],[2,3]上的图形分别是直径为1的上、下半圆周,在区间[-2,0],[0,2]的图形分别是直径为2的上、下半圆周,设F(x)=0()xf t dt ⎰.则下列结论正确的是 ( )A. F(3)=3(2)4F -- B. F(3)=5(2)4F C. F(3)=3(2)4F + D. F(3)= 5(2)4F -- (4)设函数f (x )在x=0处连续,下列命题错误的是 ( )A. 若0()limx f x x →存在,则f (0)=0 B. 若0()()lim x f x f x x→+- 存在,则f (0)=0C. 若0()lim x f x x → 存在,则'(0)f =0D. 若0()()lim x f x f x x→-- 存在,则'(0)f =0(5)设函数f (x )在(0, +∞)上具有二阶导数,且"()f x o >, 令n u =f(n)=1,2,…..n, 则下列结论正确的是 ( ) A.若12u u >,则{n u }必收敛 B. 若12u u >,则{n u }必发散 C. 若12u u <,则{n u }必收敛 D. 若12u u <,则{n u }必发散(6)设曲线L :f(x, y) = 1 (f(x, y)具有一阶连续偏导数),过第Ⅱ象限内的点M 和第Ⅳ象限内的点N,T 为L 上从点M 到N 的一段弧,则下列小于零的是 ( ) A.(,)rx y dx ⎰ B. (,)rf x y dy ⎰C.(,)rf x y ds ⎰D.'(,)'(,)x y rf x y dx f x y dy +⎰(7)设向量组1α,2α,3α线形无关,则下列向量组线形相关的是: ( ) (A ),,122331αααααα--- (B ) ,,122331αααααα+++(C ) 1223312,2,2αααααα--- (D )1223312,2,2αααααα+++(8)设矩阵A=211121112--⎛⎫ ⎪-- ⎪ ⎪--⎝⎭,B=100010000⎛⎫ ⎪⎪ ⎪⎝⎭,则A 于B ( )(A) 合同,且相似(B) 合同,但不相似 (C) 不合同,但相似(D)既不合同,也不相似(9)某人向同一目标独立重复射击,每次射击命中目标的概率为p ()01p <<,则此人第4次射击恰好第2次命中目标的概率为: ( ) (A )23(1)p p - (B)26(1)p p - (C) 223(1)p p -(D) 226(1)p p -(10) 设随即变量(X ,Y )服从二维正态分布,且X 与Y 不相关,()X f x ,()Y f y 分别表示X ,Y 的概率密度,则在Y =y 的条件下,X 的条件概率密度|(|)X Yf x y 为 ( )(A )()X f x(B) ()Y f y(C) ()X f x ()Y f y(D)()()X Y f x f y 二.填空题:11-16小题,每小题4分,共24分,请将答案写在答题纸指定位置上 (11)31211x e dx x⎰=_______. (12)设(,)f u v 为二元可微函数,(,)y xz f x y =,则zx∂∂=______. (13)二阶常系数非齐次线性方程2''4'32x y y y e -+=的通解为y =____________. (14)设曲面∑:||||||1x y z ++=,则(||)x y ds ∑+⎰⎰=_____________.(15)设矩阵A =0100001000010000⎛⎫ ⎪ ⎪ ⎪ ⎪⎝⎭,则3A 的秩为________. (16)在区间(0,1)中随机地取两个数,则这两个数之差的绝对值小于12的概率为________. 三.解答题:17~24小题,共86分.请将解答写在答题纸指定的位置上.解答应写出文字说明、证明过程或演算步骤.222222(,)2{(,)4,0}f x y x y x y D x y x y y =+-=+≤≥(17)(本题满分11分)求函数在区域上的最大值和最小值。
2007 年研究生入学考试数学三试题一、选择题: 1~ 10 小题,每小题 4 分,共 40 分. 在每小题给出的四个选项中,只有一项符合题目要求,把所选项前的字母填在题后的括号内.( 1)当 x0 时,与 x 等价的无穷小量是( A )1 e x( )1 x ( ) 1x 1 ( D)1 cos x[]B lnxC1( 2)设函数 f ( x) 在 x0 处连续,下列命题错误的是:(A )若 limf ( x) 存在,则 f (0)0 ( B )若 lim f (x)f ( x)存在,则 f (0) 0 .x 0xx 0x(B )若 limf ( x)存在,则 f (0)0 ( D )若 lim f (x)f (x)存在,则 f (0) 0 .xxx 0x[ ]( 3 )如图,连续函数y f (x) 在区间 3, 2 , 2,3 上的图形分别是直径为1 的上、下半圆周,在区间2, 0 , 0, 2 的图形分别是直径为2 的下、上半圆周,设 F ( x)xf (t )dt ,则下列结论正确的是:(A ) F(3)3F( 2)(B)F (3)5F(2)44(C ) F (3)3F(2)(D ) F(3)5F( 2)[]414( 4)设函数 f ( x, y) 连续,则二次积分f ( x, y)dy 等于dxsin x21dyf (x, y)dx1 f ( x, y)dx( A )( B )dy0 arcsin y 0 arcsin y 1arcsin y1arcsin y( C )dyf (x, y)dx(D )dyf ( x, y)dx22( 5)设某商品的需求函数为 Q 1602P ,其中 Q, P 分别表示需要量和价格,如果该商品需求弹性的绝对值等于 1,则商品的价格是(A) 10.(B) 20 (C) 30.(D)40.[]( 6)曲线 y1 ln 1 e x 的渐近线的条数为x(A )0.(B )1. (C )2. (D )3. []( 7)设向量组 1 , 2 , 3 线性无关,则下列向量组线性相关的是线性相关,则(A) 12 ,23 ,31(B) 12 ,23 ,3 1(C)122 ,223 ,32 1 .(D)12 2 ,223 ,32 1 .[]2 1 1 1 0 0( 8)设矩阵 A1 21 , B 0 1 0 ,则 A 与B1120 0(A) 合同且相似( B )合同,但不相似 .(C) 不合同,但相似. (D) 既不合同也不相似 []( 9)某人向同一目标独立重复射击,每次射击命中目标的概率为p(0p 1) ,则此人第 4 次射击恰好第 2 次击中目标的概率为(A ) 3 p(1p) 2 .( B ) 6 p(1 p) 2 .(C ) 3 p 2 (1 p)2 .(D ) 6 p 2 (1 p) 2[ ]( 10)设随机变量 X ,Y 服从二维正态分布,且X 与 Y 不相关, f X ( x), f Y ( y) 分别表示 X ,Y 的概率密度,则在 Yy 的条件下, X 的条件概率密度f X|Y ( x | y) 为(A) f X ( x) .(B)f Y ( y) . (C) f X ( x) f Y ( y) . (D)f X (x)[].f Y ( y)二、填空题 : 11~ 16 小题,每小题 4 分,共 24 分 . 把答案填在题中横线上 .( 11)x 3 x 2 1cos x)__________.limx3(sin xx2x( 12)设函数 y1,则 y ( n ) (0)________.2x3( 13) 设 f (u, v) 是二元可微函数, zfy , x,则 x zyz__________.x y xy3( 14)微分方程dyy 1 y 满足 y x 1 1的特解为y________.dxx 2 x0100( 15)设矩阵A0010,则 A3的秩为.00010000( 16)在区间0,1 中随机地取两个数,则这两个数之差的绝对值小于1的概率为. 2三、解答题:17~ 24 小题,共86 分 . 解答应写出文字说明、证明过程或演算步骤.( 17)(本题满分 10分 )设函数 y y(x) 由方程 y ln y x y0 确定,试判断曲线y y( x) 在点 (1,1)附近的凹凸性.( 18)(本题满分 11分)x2 ,| x | | y |1设二元函数 f (x, y)1, 1| x || y |2,计算二重积分 f ( x, y)d ,其中Dx2y 2D x, y | x | | y | 2.( 19)(本题满分 11分)设函数 f ( x), g ( x) 在a, b上连续,在 (a, b) 内具有二阶导数且存在相等的最大值,f (a)g(a), f (b)g(b) ,证明:存在(a, b) ,使得 f( )g ( ) .( 20)(本题满分 10分 )将函数 f ( x)1展开成 x1的幂级数,并指出其收敛区间. x23x4( 21)(本题满分 11分)x1x2x30设线性方程组x12x2ax30与方程 x12x2x3a1有公共解,求 a 的值及所有公共解.x14x2a2x3 0( 22)(本题满分 11分)设三阶对称矩阵 A 的特征向量值11, 22, 3 2 ,1(1, 1,1)T是 A 的属于 1 的一个特征向量,记 B A54A3E,其中E为3阶单位矩阵 .(I )验证1是矩阵B的特征向量,并求B的全部特征值与特征向量;(II )求矩阵B .(23)(本题满分 11 分)设二维随机变量( X , Y) 的概率密度为2 x y, 0x 1,0 y 1f ( x, y).0,其他(I)求P X 2Y;(II)求Z X Y 的概率密度. 2007 答案1⋯ .【分析】本题为等价无穷小的判定,利用定义或等价无穷小代换即可.【详解】当 x0 时,1 e x x ,1x 11x , 1cos x1x21x ,222故用排除法可得正确选项为( B ) .ln1xln(1 x)ln(1x )111事实上, lim1x lim lim1x11x 2 x1,x0x x 0x x 02x1xx)ln(1x)x o(x)x o(x )x o(x)x .或 ln ln(11x所以应选( B)【评注】本题为关于无穷小量比较的基本题型,利用等价无穷小代换可简化计算..2⋯⋯ .【分析】本题考查可导的极限定义及连续与可导的关系. 由于题设条件含有抽象函数,本题最简便的方法是用赋值法求解,即取符合题设条件的特殊函数 f ( x) 去进行判断,然后选择正确选项.【详解】取 f (x)| x |,则 lim f ( x) f ( x)0 ,但 f ( x) 在 x0 不可导,故选(D).x 0x事实上,在 (A),(B) 两项中,因为分母的极限为0,所以分子的极限也必须为0,则可推得 f (0) 0 .在( C)中,lim f (x)存在,则 f (0) 0, f(0)lim f ( x)f(0)lim f ( x)0 ,所以(C)项正确,x 0x x0x0x 0x故选 (D)【评注】对于题设条件含抽象函数或备选项为抽象函数形式结果以及数值型结果的选择题,用赋值法求解往往能收到奇效 .3⋯⋯ .【分析】本题实质上是求分段函数的定积分.【详解】利用定积分的几何意义,可得F(3) 1211213,F(2)1221,222822121F( 2) f (x)dx f ( x)d x f (x)dx1.20202022所以 F (3)3F(2)3F( 2) ,故选( C ).44【评注 】本题属基本题型 . 本题利用定积分的几何意义比较简便.4⋯⋯ .【分析 】本题更换二次积分的积分次序,先根据二次积分确定积分区域,然后写出新的二次积分.【详解 】由题设可知,x,sin x y 1,则 0 y 1,arcsin y x,2故应选( B ).【评注 】本题为基础题型. 画图更易看出 .5⋯⋯ .【分析 】本题考查需求弹性的概念 .【详解 】选( D ) .dQ P 2P P 40,商品需求弹性的绝对值等于Q1dP 160 2P故选( D ) .【评注 】需掌握微积分在经济中的应用中的边际,弹性等概念 .6⋯⋯ .【分析 】利用曲线的渐近线的求解公式求出水平渐近线,垂直渐近线和斜渐近线,然后判断 .【详解 】 lim ylim 1 ln 1 e x, lim ylim 1 ln 1 e x0 ,xxxxxx所以y 0是曲线的水平渐近线;lim ylim1 ln 1 e x,所以 x0 是曲线的垂直渐近线;x 0x 0xlim ylim 1 ln 1 e xln 1 e xe x x 1xlimlim 1e ,xx xxx xx11 x,所以 y x是曲线的斜渐近线 .b l i m y xl i ml n 1 exxxx故选( D ) .【评注 】本题为基本题型,应熟练掌握曲线的水平渐近线,垂直渐近线和斜渐近线的求法.注意当曲线存在水平渐近线时,斜渐近线不存在. 本题要注意 e x 当 x, x时的极限不同 .7⋯⋯ ..【分析 】本题考查由线性无关的向量组1, 2 , 3 构造的另一向量组 1, 2 , 3 的线性相关性 . 一般令1, 2, 31, 2, 3 A ,若 A 0,则 1, 2,3线性相关;若 A0,则1, 2,3线性无关.但考虑到本题备选项的特征,可通过简单的线性运算得到正确选项.【详解】由1223310 可知应选( A ).或者因为1 0 1 1 0 112 ,23 ,311,2,31 1 0 ,而 1 1 00 ,0 1 1 0 1 1所以12 ,23 ,3 1 线性相关,故选( A ) .1,0,0 TT0,0,1 T【评注 】本题也可用赋值法求解,如取1,20,1,0 , 3 ,以此求出 ( A ),( B ),( C ),( D )中的向量并分别组成一个矩阵,然后利用矩阵的秩或行列式是否为零可立即得到正确选项.8⋯⋯ 【分析】本题考查矩阵的合同关系与相似关系及其之间的联系,只要求得 A 的特征值,并考虑到实对称矩阵 A 必可经正交变换使之相似于对角阵,便可得到答案.2 1 1【详解】由 E A1 2 1(3)2可得 123,3 0,112所以 A 的特征值为 3,3,0;而 B 的特征值为 1,1,0.所以 A 与 B 不相似,但是A 与B 的秩均为 2,且正惯性指数都为 2,所以 A 与 B 合同,故选( B ) .【评注 】若矩阵 A 与 B 相似,则 A 与 B 具有相同的行列式,相同的秩和相同的特征值.所以通过计算 A 与 B 的特征值可立即排除( A )(C ).9⋯⋯ ..【分析 】本题计算贝努里概型,即二项分布的概率 . 关键要搞清所求事件中的成功次数 .【详解 】p ={前三次仅有一次击中目标,第4 次击中目标}C 31 p(1 p) 2 p 3p 2 (1 p) 2 ,故选( C ) .【评注 】本题属基本题型 .10⋯⋯ .【分析 】本题求随机变量的条件概率密度,利用X 与 Y 的独立性和公式f X |Y ( x | y)f ( x, y) 可求解 .f Y ( y)【详解】因为 X ,Y 服从二维正态分布,且 X 与 Y 不相关,所以 X 与 Y 独立,所以 f (x, y) f X ( x) f Y ( y) .故 f X |Y ( x | y)f (x, y) f X (x) f Y ( y)f X ( x) ,应选( A ) .f Y ( y)f Y ( y)【评注 】若X ,Y 服从二维正态分布,则 X 与 Y 不相关与 X 与 Y 独立是等价的 .11⋯ .【分析】本题求类未定式,可利用“抓大头法”和无穷小乘以有界量仍为无穷小的结论 .x 3x 2x 3x 2 1【详解 】因为 lim x 3 1lim 2x2x3 2x 00,| sin x cos x | 2 ,x2 xxx 112x所以 lim x3x x23 1(sin x cos x)0 .x2x【 评注 】无穷小的相关性质:( 1) 有限个无穷小的代数和为无穷小;( 2) 有限个无穷小的乘积为无穷小;( 3) 无穷小与有界变量的乘积为无穷小.12,⋯⋯ ..【分析 】本题求函数的高阶导数,利用递推法或函数的麦克老林展开式.【详解 】 y1 , y 2,则 y ( n) ( x) ( 1)n 2n n! ,故 y (n) (0) ( 1)n 2n n! .2x 32x 3 2(2 x 3)n 13n 1【评注 】本题为基础题型 .13⋯⋯ .【分析 】本题为二元复合函数求偏导,直接利用公式即可 .【详解 】利用求导公式可得z y 1 x x 2 f1f 2 ,yz 1 f 1 x2 f 2 ,yxy所以 xzyz2 f 1 yf 2 x.xyxy【评注 】二元复合函数求偏导时,最好设出中间变量,注意计算的正确性 .14⋯ ..【分析 】本题为齐次方程的求解,可令uy.xy,则原方程变为【详解 】令 uxu x du1 u 3 dudx .udx2u 3 2x两边积分得11ln x1ln C ,2u 2221y 2即 x1e u 2x1e x 2 ,将 y x 11代入左式得 Ce ,CCx 2x故满足条件的方程的特解为ex e y 2 ,即 y, x e 1 .ln x1【评注 】本题为基础题型 .15⋯⋯⋯ .【分析 】先将 A 3 求出,然后利用定义判断其秩 .0 1 0 0 0 0 0 10 0 1 00 0 0 0【详解】A0 0A30 0 0 r ( A) 1.0 1 0 0 0 0 00 0 0 0【评注 】本题为基础题型 .16⋯⋯⋯ .【分析 】根据题意可得两个随机变量服从区间0,1 上的均匀分布,利用几何概型计算较为简便 .【 详解 】利用几何概型计算 . 图如下: y1AO 1/2 1/2x1 2S A 132所求概率1.S D4【评注 】本题也可先写出两个随机变量的概率密度,然后利用它们的独立性求得所求概率.17⋯⋯ ..【分析 】由凹凸性判别方法和隐函数的求导可得.【详解 】 方程 y ln y x y 0 两边对 x 求导得y ln y yy1 y 0 , y即 y (2 ln y)1,则1 y (1).2上式两边再对 x 求导得y2y (2ln y)0y1,所以曲线 y y( x) 在点 (1,1)附近是凸的.则 y (1)8【评注】本题为基础题型 .18⋯⋯ .【分析】由于积分区域关于x, y 轴均对称,所以利用二重积分的对称性结论简化所求积分.【详解】因为被积函数关于x, y 均为偶函数,且积分区域关于x, y 轴均对称,所以f (x, y)d f (x, y)d,其中 D1为 D 在第一象限内的部分.D D1而 f ( x, y)d x2d1dD1x y 1,x 0, y 0 1 x y2,x 0, y 0x2y21x12x1dy22x1dydx x2 dy dx dx000 1 xx2y210x2y212 ln 1 2 .12所以 f ( x, y)d 14 2 ln1 2 . 3D【评注】被积函数包含x 2y 2时 , 可考虑用极坐标,解答如下:f (x, y)d1d x 2y 21 x y2 1 x y 2x 0, y 0x0, y 022 d sin1cos drsin cos2 ln(12) ..19⋯⋯ . 【分析】由所证结论 f ( ) g ( ) 可联想到构造辅助函数 F ( x) f (x)g ( x) ,然后根据题设条件利用罗尔定理证明.【详解】令 F (x) f (x) g( x) ,则 F ( x) 在a,b上连续,在 (a,b) 内具有二阶导数且 F (a) F (b)0 .( 1)若f (x), g( x)在(a, b)内同一点c取得最大值,则 f (c) g(c) F (c)0 ,于是由罗尔定理可得,存在1( a,c), 2(c,b) ,使得F(1) F(2) 0.再利用罗尔定理,可得存在( 1 , 2 ) ,使得 F ( ) 0 ,即 f ( ) g ( ) .( 2)若 f (x), g( x) 在 (a, b) 内不同点 c 1, c 2 取得最大值,则 f (c 1) g(c 2 ) M ,于是F (c 1 ) f (c 1 ) g(c 1) 0, F (c 2 ) f (c 2 ) g( c 2 ) 0 ,于是由零值定理可得,存在c 3 (c 1 , c 2 ) ,使得 F (c 3 ) 0于是由罗尔定理可得,存在1( a,c 3 ), 2 (c 3 ,b) ,使得F(1) F(2) 0.再利用罗尔定理,可得,存在( 1 , 2),使得 F () 0 ,即 f( ) g ( ) .【评注 】对命题为 f ( n) () 0 的证明,一般利用以下两种方法:方法一:验证 为 f (n 1) ( x) 的最值或极值点,利用极值存在的必要条件或费尔马定理可得证;方法二:验证 f ( n 1) ( x) 在包含 x于其内的区间上满足罗尔定理条件..20⋯ .【分析 】本题考查函数的幂级数展开,利用间接法.【详解 】 f (x)11 1 11 ,而3x 4 ( x 4)( x 1) 5 x 4 x 1x 21 1 11x 1n( x n1)1n, 2 x 4 ,1x 43 1 x 3 n 03 n 03311 11n( 1)n( x 1)nx 11 x 3 ,x 1n 1, x 1 2 12 n 02n 022所以 f ( x)(x 1)n( 1)n ( x 1)n1( 1)n nn 102n 1n 1n 1 ( x 1) ,n 03n n 032收敛区间为 1 x 3 .【评注 】请记住常见函数的幂级数展开 .21⋯ ..【分析 】将方程组和方程合并,然后利用非齐次线性方程有解的判定条件求得a .【详解 】将方程组和方程合并,后可得线性方程组x1x2x30x12x2ax302x14x2 a x30x12x2x3 a 1其系数矩阵11101110A12a001a10.1 4 a200 3 a2 1 0121 a 1010a111101110 01a1001a100 0 a23a 2 00 0 1 a.a 10 0 1 a a 10 0 (a 1)(a 2)0显然,当 a1, a 2 时无公共解.当时,可求得公共解为Ta1k 1 , 0 ,1为任意常数;, k当 a 2 时,可求得公共解为T 0,1, 1.【评注】本题为基础题型,考查非齐次线性方程组解的判定和结构.22⋯⋯【分析】本题考查实对称矩阵特征值和特征向量的概念和性质.【详解】(I)B1A54A3 E 1543543 1 1 2 1,1 1 1 1111则1是矩阵 B 的属于-2的特征向量.同理可得532 ,B 543133.B22 4 2 12333所以 B 的全部特征值为2,1, 1设B的属于 1 的特征向量为2( x1, x2 , x3 )T,显然 B 为对称矩阵,所以根据不同特征值所对应的特征向量正交,可得T120 .即x1x2x30 ,解方程组可得 B 的属于1的特征向量2k1 (1,0, 1)T k2 (0,1,0) T,其中 k1 , k2为不全为零的任意常数.由前可知 B 的属于-2的特征向量为k3 (1, 1,1)T,其中 k3不为零.101100(II)令P011,由(Ⅰ)可得 P-1BP010,则101002011B10 1 .110【评注】本题主要考查求抽象矩阵的特征值和特征向量,此类问题一般用定义求解,要想方设法将题设条件转化为 Ax x 的形式.请记住以下结论:(1)设是方阵 A 的特征值,则kA, aA bE, A2 , f ( A), A 1, A*分别有特征值k, a b, 2 , f ( ),1A, ( A 可逆),且对应的特征向量是相同的.( 2)对实对称矩阵来讲,不同特征值所对应的特征向量一定是正交的23⋯⋯ .【分析】(I)可化为二重积分计算;(II)利用卷积公式可得.1x7【详解】(I)P X 2Y dx 22 x y dxdy 2 x y dy.0024x 2 y(II)利用卷积公式可得f Z ( z) f ( x, z x)dxz(2x)dx,0z102z z20z11(2x)dx,1z2(2z)21z 2 .z10,其他0,其他【评注】 (II) 也可先求出分布函数,然后求导得概率密度..(24) (本题满分 11 分)设总体 X 的概率密度为10x,21,x 1f ( x)2(1)0,其他( X1, X 2 , ,, X n ) 为来自总体X 的简单随机样本,X 是样本均值.( I )求参数 的矩估计量;(II )判断 4X 2 是否为2的无偏估计量,并说明理由 .【分析 】利用 EX X 求( I );判断 E 4X 2?2.【详解】(I ) EX xf ( x)d xx dx1xdx1 ,222 14令 X11242X.2(II )E 4X24E X24 DXEX 241DXEX 2,n而 EX2x 2f ( x)dxx 21x 221 ,dxdx330 22 16EX2225所以DXEX,121248所以E 4X24 1DX EX11 2111 52 ,2n3n3n4 12n故4X 2 不是2的无偏估计量 .【评注 】要熟练掌握总体未知参数点估计的矩估计法,最大似然估计法和区间估计法 .。
2007考研数学一试题及答案解析D1lim[1]lim[ln(1)]xx x y x e x x→+∞→+∞-⋅=++-=lim[ln(1)]xx e x →+∞+- =lim[ln (1)]lim ln(1)0xxx x x e ex e --→+∞→+∞+-=+=,于是有斜渐近线:y = x . 故应选(D).(3) 如图,连续函数y =f (x )在区间[−3,−2],[2,3]上的图形分别是直径为1的上、下半圆周,在区间[−2,0],[0,2]的图形分别是直径为2的上、下半圆周,设0()().x F x f t dt =⎰则下列结论正确的是(A) 3(3)(2)4F F =--. (B) 5(3)(2)4F F =. (C) )2(43)3(F F =-. (D))2(45)3(--=-F F .[ C ]【分析】 本题考查定积分的几何意义,应注意f (x )在不同区间段上的符号,从而搞清楚相应积分与面积的关系。
【详解】 根据定积分的几何意义,知F (2)为半径是1的半圆面积:1(2)2F π=, F (3)是两个半圆面积之差:22113(3)[1()]228F πππ=⋅-⋅==3(2)4F , ⎰⎰---==-033)()()3(dx x f dx x f F )3()(3F dx x f ==⎰因此应选(C).(4) 设函数f (x )在x =0处连续,下列命题错误的是 (A) 若0()lim x f x x →存在,则f (0)=0. (B) 若0()()lim x f x f xx→+-存在,则f(0)=0.(C) 若0()lim x f x x→存在,则(0)f'存在. (D) 若0()()limxf x f xx→--存【分析】本题为极限的逆问题,已知某极限存在的情况下,需要利用极限的四则运算等进行分析讨论。
【详解】(A),(B)两项中分母的极限为0,因此分子的极限也必须为0,均可推导出f(0)=0.若0()lim x f x x→存在,则00()(0)()(0)0,(0)lim lim0x xf x f f xf fx x→→-'====-,可见(C)也正确,故应选(D). 事实上,可举反例:()f x x=在x=0处连续,且()()limx f x f x x→--=0lim 0x x x x →--=存在,但()f x x =在x =0处不可导。
2007年硕士研究生入学考试数学一试题及答案解析一、选择题:(本题共10小题,每小题4分,共40分. 每小题给出的四个选项中,只有一项符合题目要求,把所选项前的字母填在题后的括号内)(2) 曲线1ln(1)x y e x=++,渐近线的条数为_______ 【详解】 因为01lim[ln(1)]xx e x→++=∞,所以0x =为垂直渐近线;又 1lim[ln(1)]0xx e x→-∞++=,所以y=0为水平渐近线;进一步,21ln(1)ln(1)lim lim []lim x x x x x y e e x x x x →+∞→+∞→+∞++=+==lim 11xx x e e→+∞=+, 1lim[1]lim[ln(1)]x x x y x e x x→+∞→+∞-⋅=++-=lim[ln(1)]xx e x →+∞+-=lim[ln (1)]lim ln(1)0x x xx x e e x e --→+∞→+∞+-=+=,于是有斜渐近线:y = x . 故3条(8) 设矩阵⎪⎪⎪⎭⎫ ⎝⎛------=211121112A , ⎪⎪⎪⎭⎫ ⎝⎛=000010001B , 则A 与B_______(填是否合同,相似)【详解】 由0||=-A E λ 得A 的特征值为0, 3, 3, 而B 的特征值为0, 1, 1,从而A 与B 不相似.又r (A )=r (B )=2, 且A 、B 有相同的正惯性指数, 因此A 与B 合同.二、填空题:(11-16小题,每小题4分,共24分. 把答案填在题中横线上)(11)12311x e dx x⎰=_______ 【分析】 先作变量代换,再分部积分。
【详解】111213213211211()t xt txe dx t e dt te dt x t ==-=⎰⎰⎰ =111121112221.2tt t tdetee dt e =-=⎰⎰(12) 设f (u ,v )为二元可微函数,(,)yxz f x y =,则zx∂∂=_______ 【详解】 利用复合函数求偏导公式,有z x∂∂=112ln .y xf yx f y y -''⋅+⋅ (13) 二阶常系数非齐次线性微分方程2432xy y y e'''-+=的通解为_______ 其中21,C C 为任意常数.【详解】 特征方程为2430λλ-+=,解得121, 3.λλ== 可见对应齐次线性微分方程430y y y '''-+=的通解为 312.x xy C e C e =+设非齐次线性微分方程2432xy y y e'''-+=的特解为*2xy ke=,代入非齐次方程可得k= −2. 故通解为32122.x x xy C e C e e =+-(14) 设曲面:1x y z ∑++=,则dS y x ⎰⎰∑+|)|(= _______【详解】 由于曲面∑关于平面x =0对称,因此dS x ⎰⎰∑=0. 又曲面:1x y z ∑++=具有轮换对称性,于是dS y x ⎰⎰∑+|)|(=dS y ⎰⎰∑||=dS x ⎰⎰∑||=dS z ⎰⎰∑||=dS z y x ⎰⎰∑++|)||||(|31=dS ⎰⎰∑3123831⨯⨯==43.3 (15) 设矩阵⎪⎪⎪⎪⎪⎭⎫ ⎝⎛=0000100001000010A , 则3A 的秩为_______. 【详解】 依矩阵乘法直接计算得 ⎪⎪⎪⎪⎪⎭⎫ ⎝⎛=00000000000010003A , 故r (3A )=1. 三、解答题:(17-24小题,共86分. ) (17) (本题满分11分)求函数2222(,)2f x y x y x y =+-在区域22{(,)4,0}D x y x y y =+≤≥上的最大值和最小值。
2007年全国硕士研究生入学统一考试数学(一)试卷一、选择题(本题共10小题,每小题4 分,满分40分,在每小题给的四个选项中,只有一项符合题目要求,把所选项前的字母填在题后括号内)(1)当0x +→时,(A)1−(B)ln1(D)1−【考点分析】:等价无穷小的定义和常用的等价无穷小 【求解过程】:◼ 方法一:利用等价无穷小0x +→时,()11~−=−−()12111~=+−2111~22x −=,(ln 1~=+◼ 方法二:可用洛必达法则和等价无穷小的定义来求解 验证极限,,lim x A B C D +→是否等于1,其中(),,A B C D 表示A ,B ,C ,D 四个选项中的式子。
故选B【基础回顾】:下面,我们就无穷小之比的极限存在或为无穷大时。
来说明两个无穷小之间的比较。
应当注意,下面的α及β都是在同一个自变量的变化过程中的无穷小,且0α≠,lim βα也是在这个变化过程中的极限。
定义:如果lim0βα=就说β是比α高阶的无穷小,记作()o βα=; 如果lim βα=∞,就说β是比α低阶的无穷小。
如果lim 0c βα=≠,就说β与α是同阶无穷小;如果lim 0,0k c k βα=≠>,就说β是关于α的k 阶无穷小。
如果lim1βα=,就说β与α是等价无穷小,记作αβ。
显然,等价无穷小是同阶无穷小的特殊情形,即1c =的情形。
常用等价无穷小,当0x →时,1~ln(1)~sin ~tan ~xe x x x x −+()11~x x αα+−, 211cos ~2x x −(2)曲线()1ln 1x y e x=++,渐近线的条数为 (A)0 (B)1 (C)2 (D)3 【考点分析】:曲线的渐近线(水平、垂直、斜渐近线)的条数 【求解过程】:计算垂直渐近线:求函数在其不连续点0x x =处的极限,若为∞则存在垂直渐近线0x x =函数只有间断点0x =,()001lim lim ln 1x x x y e x →→=++=∞⎪⎝⎭,故存在垂直渐近线0x =计算水平渐近线:求函数在,x x →+∞→−∞时的极限a ,若a 存在,则有水平渐近线y a =()1lim lim ln 10x x x y e x →−∞→−∞⎛⎫=++= ⎪⎝⎭,故存在水平渐近线0y = 计算斜渐近线:求yx在,x x →+∞→−∞时的极限a ,若a 存在,且0a ≠,求出y ax −在相应处的极限b ,则有斜渐近线y ax b =+()2ln 11lim lim 0lim 11x xx x x x e y e x x x e→+∞→+∞→+∞⎛⎫+ ⎪=+=+= ⎪+⎝⎭()()111lim lim ln 1lim ln 0x xx x x x e y x e x x x e →+∞→+∞→+∞⎛⎫⎛⎫+⎛⎫−=++−=+= ⎪ ⎪ ⎪⎝⎭⎝⎭⎝⎭故存在斜渐近线y x = 选D 。
2007年考研数学一真题一、选择题(本题共10小题,每小题4分,满分40分,在每小题给的四个选项中,只有一项符合题目要求,把所选项前的字母填在题后括号内) (1) 当0x +→时,与x 等价的无穷小量是 ( ) A. 1xe- B.1ln1xx+- C. 11x +- D.1cos x -(2) 曲线y=1ln(1x e x++), 渐近线的条数为 ( ) A.0 B.1 C.2 D.3(3)如图,连续函数y=f(x)在区间[-3,-2],[2,3]上的图形分别是直径为1的上、下半圆周,在区间[-2,0],[0,2]的图形分别是直径为2的上、下半圆周,设F(x)=0()xf t dt ⎰.则下列结论正确的是 ( ) A. F(3)=3(2)4F -- B. F(3)=5(2)4F C. F(3)=3(2)4F + D. F(3)= 5(2)4F --(4)设函数f (x )在x=0处连续,下列命题错误的是 ( )A. 若0()limx f x x →存在,则f (0)=0 B. 若0()()lim x f x f x x→+- 存在,则f (0)=0C. 若0()lim x f x x → 存在,则'(0)f =0D. 若0()()lim x f x f x x→-- 存在,则'(0)f =0(5)设函数f (x )在(0, +∞)上具有二阶导数,且"()f x o >, 令n u =f(n)=1,2,…..n, 则下列结论正确的是 ( )A.若12u u >,则{n u }必收敛B. 若12u u >,则{n u }必发散C. 若12u u <,则{n u }必收敛D. 若12u u <,则{n u }必发散(6)设曲线L :f(x, y) = 1 (f(x, y)具有一阶连续偏导数),过第Ⅱ象限内的点M 和第Ⅳ象限内的点N,T 为L 上从点M 到N 的一段弧,则下列小于零的是 ( ) A.(,)rx y dx ⎰ B. (,)rf x y dy ⎰C.(,)rf x y ds ⎰D.'(,)'(,)x y rf x y dx f x y dy +⎰(7)设向量组1α,2α,3α线形无关,则下列向量组线形相关的是: ( ) (A ),,122331αααααα--- (B ) ,,122331αααααα+++(C ) 1223312,2,2αααααα--- (D )1223312,2,2αααααα+++(8)设矩阵A=211121112--⎛⎫ ⎪-- ⎪ ⎪--⎝⎭,B=100010000⎛⎫ ⎪⎪ ⎪⎝⎭,则A 于B ( )(A) 合同,且相似(B) 合同,但不相似 (C) 不合同,但相似(D)既不合同,也不相似(9)某人向同一目标独立重复射击,每次射击命中目标的概率为p ()01p <<,则此人第4次射击恰好第2次命中目标的概率为: ( ) (A )23(1)p p - (B)26(1)p p - (C) 223(1)p p -(D) 226(1)p p -(10) 设随即变量(X ,Y )服从二维正态分布,且X 与Y 不相关,()X f x ,()Y f y 分别表示X ,Y 的概率密度,则在Y =y 的条件下,X 的条件概率密度|(|)X Yf x y 为 ( )(A )()X f x(B) ()Y f y(C) ()X f x ()Y f y(D)()()X Y f x f y 二.填空题:11-16小题,每小题4分,共24分,请将答案写在答题纸指定位置上 (11)31211x e dx x⎰=_______. (12)设(,)f u v 为二元可微函数,(,)y xz f x y =,则zx∂∂=______. (13)二阶常系数非齐次线性方程2''4'32x y y y e -+=的通解为y =____________. (14)设曲面∑:||||||1x y z ++=,则(||)x y ds ∑+⎰⎰=_____________.(15)设矩阵A =0100001000010000⎛⎫ ⎪⎪ ⎪ ⎪⎝⎭,则3A 的秩为________. (16)在区间(0,1)中随机地取两个数,则这两个数之差的绝对值小于12的概率为________. 三.解答题:17~24小题,共86分.请将解答写在答题纸指定的位置上.解答应写出文字说明、证明过程或演算步骤.222222(,)2{(,)4,0}f x y x y x y D x y x y y =+-=+≤≥(17)(本题满分11分)求函数在区域上的最大值和最小值。
2007年数学一一、选择题:(本题共10小题,每小题4分,共40分. 每小题给出的四个选项中,只有一项符合题目要求,把所选项前的字母填在题后的括号内)(1) 当0x +→时,等价的无穷小量是(A ) 1- (B )(C) 1. (D) 1- [ B ] 【分析】 利用已知无穷小量的等价代换公式,尽量将四个选项先转化为其等价无穷小量,再进行比较分析找出正确答案.【详解】 当0x +→时,有1(1)~-=--1~;2111~.22x -= 利用排除法知应选(B). (2) 曲线1ln(1)x y e x=++,渐近线的条数为 (A ) 0. (B ) 1. (C ) 2. (D ) 3. [ D ]【分析】 先找出无定义点,确定其是否为对应垂直渐近线;再考虑水平或斜渐近线。
【详解】 因为01lim[ln(1)]xx e x →++=∞,所以0x =为垂直渐近线; 又 1lim[ln(1)]0xx e x →-∞++=,所以y=0为水平渐近线; 进一步,21ln(1)ln(1)lim lim []lim x x x x x y e e x x x x →+∞→+∞→+∞++=+==lim 11xx x e e→+∞=+, 1lim[1]lim[ln(1)]x x x y x e x x →+∞→+∞-⋅=++-=lim[ln(1)]xx e x →+∞+- =lim[ln (1)]lim ln(1)0x x xx x e e x e --→+∞→+∞+-=+=, 于是有斜渐近线:y = x. 故应选(D).(3) 如图,连续函数y =f (x )在区间[−3,−2],[2,3]上的图形分别是直径为1的上、下半圆周,在区间[−2,0],[0,2]的图形分别是直径为2的上、下半圆周,设0()().x F x f t dt =⎰则下列结论正确的是 (A) 3(3)(2)4F F =--. (B) 5(3)(2)4F F =. (C ) )2(43)3(F F =-. (D) )2(45)3(--=-F F . [ C ] 【分析】 本题考查定积分的几何意义,应注意f(x)在不同区间段上的符号,从而搞清楚相应积分与面积的关系。
南京大学2007年数学分析考研试题一、(30分)举例1、举一个极限点(凝聚点)在[]0,1区间上稠密的可数集.2、举一个有振动间断点的函数.3、举一个连续但不是一致连续的函数.4、举一个可逆的可微函数,其逆函数不可微.5、举一个非零的可微函数,它在某一点的任意阶导数均为零.6、举一个Riemann 不可积的函数.7、举一个非负函数()f x ,它在[)0,+∞上积分收敛,但极限lim ()x f x →+∞不存在.8、举一个在[]0,1⨯[]0,1上定义的二元函数(,)f x y ,它分别对于变量x ,y 连续, 但不是连续的二元函数.9、举一个偏导数存在,但不可微的二元函数. 10、举一个收敛但不绝对收敛的数项级数.二、(10分)假设一元函数()x ϕ一阶连续可导.令()f x =2()x x ϕ⋅,计算(0)f ''. 三、(10分)研究一元函数3sin()y x =的极值点、零点,并画出草图.四、(10分)计算积分20(cos cos 2cos 20)sin(10)x x x x dx π+++⋅⎰ .五、(10分)计算积分2(1)SdS x y ++⎰⎰,其中S 为四面体1,0,0,0x y z x y z ++≤≥≥≥的边界曲面. 六、(10分)计算二重积分Dx y dxdy -⎰⎰,其中D 为圆域222x y a +≤.七、(10分)设函数()f x 在[]0,1区间二阶连续可微,且(0)0f =,(1)1f =,()0f x ''<,[]0,1x ∀∈.证明()f x x ≥,[]0,1x ∀∈.八、(10分)设10n n a a +>>,1,2,n = .证明:级数11(1)n n na a ∞-=-∑收敛的充分必要条件是级数11(1)n n n a a ∞=--∑收敛.九、(15分)设()n f x 是[]0,1上的非负连续函数.对01δ∀<<,级数1()n n f x ∞=∑在[]0,δ上一致收敛到()f x .若1lim ()x f x a -→=有限.证明:(1)1(1)n n f ∞=∑收敛,且1(1)n n f a ∞==∑;(2)若令[)(),0,1,(),1,f x x f x a x ⎧∈⎪=⎨⎪=⎩,则1()n n f x ∞=∑在[]0,1上一致收敛到()f x .十、(10分)设2:f R R →为二元连续函数.证明存在两个不同的点,p q ,使得()()f p f q =. 十一、(15分)(1)设()f t 连续,试证明2221211()(1)()x y z f ax by cz dxdydz u f ku du π++≤-++=-⎰⎰⎰⎰,其中0k =>.(2)利用(1)或直接计算积分21()2Sx xy xz dydz ++⎰⎰,其中S 是球面2222()()()x y z R αβγ-+-+-=,且积分是沿球面外侧而取的.十二、(10分)设:n n f R R →为1C 的向量值函数,且满足条件 ()()f x f y x y -≥-,,n x y R ∀∈,这里 是n R 上的标准范数.证明f 可逆,且其逆映射也是1C 的.南京大学2007年数学分析考研试题解答二、解 2()2()()f x x x x x ϕϕ''=+,(0)0f '=,()(0)(0)lim2(0)0x f x f f x ϕ→''-''==-。
2007年硕士研究生入学考试数学一试题及答案解析一、选择题:(本题共10小题,每小题4分,共40分. 每小题给出的四个选项中,只有一项符合题目要求,把所选项前的字母填在题后的括号内)(1) 当0x +→等价的无穷小量是(A) 1- (B) ln(C) 1. (D) 1- [ B ]【分析】 利用已知无穷小量的等价代换公式,尽量将四个选项先转化为其等价无穷小量,再进行比较分析找出正确答案.【详解】 当0x +→时,有1(1)~-=--1~;2111~.22x -= 利用排除法知应选(B). (2) 曲线1ln(1)x y e x=++,渐近线的条数为 (A) 0. (B) 1. (C) 2. (D) 3. [ D ]【分析】 先找出无定义点,确定其是否为对应垂直渐近线;再考虑水平或斜渐近线。
【详解】 因为01lim[ln(1)]xx e x→++=∞,所以0x =为垂直渐近线;又 1lim[ln(1)]0xx e x→-∞++=,所以y=0为水平渐近线;进一步,21ln(1)ln(1)lim lim []lim x x x x x y e e x x x x →+∞→+∞→+∞++=+==lim 11xx x e e→+∞=+, 1lim[1]lim[ln(1)]x x x y x e x x→+∞→+∞-⋅=++-=lim[ln(1)]xx e x →+∞+-=lim[ln (1)]lim ln(1)0x x xx x e e x e --→+∞→+∞+-=+=,于是有斜渐近线:y = x . 故应选(D).(3) 如图,连续函数y =f (x )在区间[−3,−2],[2,3]上的图形分别是直径为1的上、下半圆周,在区间[−2,0],[0,2]的图形分别是直径为2的上、下半圆周,设0()().xF x f t dt =⎰则下列结论正确的是(A) 3(3)(2)4F F =--. (B) 5(3)(2)4F F =. (C) )2(43)3(F F =-. (D) )2(45)3(--=-F F . [ C ]【分析】 本题考查定积分的几何意义,应注意f (x )在不同区间段上的符号,从而搞清楚相应积分与面积的关系。