医用化学课后习题参考答案
- 格式:doc
- 大小:2.34 MB
- 文档页数:18
医用化学第二版答案医用化学第二版答案【篇一:医用化学习题答案】lass=txt>(1)3-甲基-5-炔-1-庚烯(2)(e)-4-溴-3-庚烯(3)1-异丙基-2,4-环己二烯(4)顺-1-甲基-4-叔丁基-环己烷(5)顺-1-苯基-1-丙烯;或(z)-1-苯基-1-丙烯(6)2,6-二甲基萘2、(1)clclclclclclcl(2)2+24oho(3)hbrbr(4)1br+br4、先加入agno3溶液,环己基乙炔与agno3反应生成白色炔银沉淀;再加入溴的四氯化碳溶液,环己基乙烯使其褪色;与br2/febr3加热反应,其中2-环己基丙烷不反应;与kmno4反应,甲苯使溶液褪色。
5、为2coohkmnocoohno2+6、(1)3)223(2)h33)3no23(3)3第八章pp106 2、(1)brhc3h7 r (2)37c2h5 hbrc3h7 s43hohch3r (3)ch3 hclhbrc2h5 (4)hohhohcooh第九章pp1143hohch3s5【篇二:[护理学专科]医用化学习题册答案】ss=txt>专业:层次:无机部分第一章溶液一、是非题(以“+”表示正确,“-”表示错误填入括号)相等(- )4.两种等渗溶液以任意比例混合所得溶液在临床上必定是等渗溶液(+ )5.临床上,渗透浓度高于320 mmol?l-1的溶液称高渗液(+ )6.在相同温度下,0.3 mol?l-1的葡萄糖溶液与0.3 mol?l-1的蔗糖溶液的渗透压力是相等的(+ )二、选择题1.使红细胞发生溶血的溶液是()a.葡萄糖b.naclc.cacl2d.无法比较3.使红细胞发生血栓的溶液是()a.葡萄糖b.nacl c.cacl2d.无法比较a.葡萄糖b.nacl c.cacl2d.蔗糖三、填充题为___________ kpa,红细胞在该溶液中会产生________现象。
2.产生渗透现象的必需条件是(12渗透方向为。
大一第三版医用化学书课后题1、碱水提取芦丁时,若PH过高会使()[单选题] *A产品质量降低B产品收率降低(正确答案)C苷键水解断裂D内酯环开环2、溶剂极性由小到大的是()[单选题] *A石油醚、乙醚、乙酸乙酯(正确答案)B石油醚、丙酮、乙酸乙酯C石油醚、乙酸乙酯、三氯甲烷D三氯甲烷、乙酸乙酯、乙醚3、连续回流提取法与回流提取法比较,其优越性是()[单选题] * A节省时间且效率高B节省溶剂且效率高(正确答案)C受热时间短D提取量较大4、下列方法中哪一个不是按照色谱法的操作形式不同而进行分类的()[单选题] * A离子交换色谱(正确答案)B薄层吸附色谱C纸色谱D吸附柱色谱5、下列方法哪一个不是按照色谱法的分离原理不同进行分类的是()[单选题] *A离子交换色谱B薄层吸附色谱(正确答案)C凝胶色谱D分配色谱6、水蛭的主要化学成分是()[单选题] *A有机酸B蛋白质(正确答案)C多糖D生物碱7、组成缩合鞣质的基本单元是()[单选题] *A黄烷-3-醇(正确答案)B酚羟基C环戊烷D哌啶环8、南五味子具有的主要化学成分是()[单选题] *A色原酮B胆汁酸C多糖D木脂素(正确答案)9、以杜鹃素为指标成分进行定性鉴别的中药是()[单选题] * A满山红(正确答案)B黄芩C槐花D陈皮10、中药紫草中的主要有效成分属于()[单选题] *A苯醌类B萘醌类(正确答案)C蒽醌类D菲醌类11、挥发油可析出结晶的温度是()[单选题] *A0~-20℃(正确答案)B0~10℃C0~20℃D0~15℃12、E连续回流提取法(正确答案)下列方法中能始终保持良好浓度差的是()* A浸渍法B渗漉法(正确答案)C煎煮法D回流提取法13、香豆素及其苷发生异羟肟酸铁反应的条件为()[单选题] *A在酸性条件下B在碱性条件下C先碱后酸(正确答案)D在中性条件下14、乙醇不能提取出的成分类型是()[单选题] *A生物碱B苷C多糖D鞣质(正确答案)15、黄酮母核具有的下列何种结构特点在碱液中不稳定()[单选题] *A邻二酚羟基(正确答案)B3-羟基C5-羟基D7-羟基16、薄层吸附色谱中的Rf的大小说明了吸附程度的大小,吸附力越大,则Rf()[单选题] *A越大B越小(正确答案)C越接近1D越接近017、不属于木脂素类化合物的物理性质的是()[单选题] *A一般没有挥发性B有光学活性C易溶于有机溶剂D有色晶体(正确答案)18、七叶内酯的结构类型为()[单选题] *A简单香豆素(正确答案)B简单木脂素C呋喃香豆素D异香豆素19、阿托品是莨菪碱的()[单选题] *A左旋体B右旋体C同分异构体D外消旋体(正确答案)20、下列化合物中,酸性最强的是()[单选题] * A芦荟大黄素B大黄酚C大黄素甲醚D大黄酸(正确答案)21、属于倍半萜的化合物是()[单选题] *A龙脑B莪术醇C薄荷醇D青蒿素(正确答案)22、阿托品的结构类型是()[单选题] *A喹啉类B异喹啉类C莨菪烷类(正确答案)D苄基异喹啉类23、关于前胡,说法正确的有(多选)()*A是伞形科前胡属植物(正确答案)B药理药效作用主要有祛痰、镇咳、平喘、抗炎、解痉、镇静等(正确答案) C可与皂荚、藜芦等药物一起放在药中煎煮D不溶乙醚等有机溶剂24、检识黄酮类化合物首选()[单选题] *A盐酸-镁粉反应(正确答案)B四氢硼钠反应C硼酸显色反应D锆盐-枸橼酸反应25、关于肿节风,说法正确的有(多选)()*A别名:接骨金粟兰、九节茶等(正确答案)B功能主治抗菌消炎凉血清热解毒(正确答案)C肿节风为白色针晶(正确答案)D不易溶于甲醇,乙醇26、与水不分层的溶剂是()[单选题] *A正丁醇B石油醚C三氯甲烷D丙酮(正确答案)27、关于黄酮类化合物,以下说法正确的是()[单选题] * A多为液态或呈挥发性B多为无色C因分子内多具有酚羟基,多呈酸性(正确答案)D易溶于水28、美花椒内酯属于()[单选题] *A呋喃香豆素B吡喃香豆素(正确答案)C环木脂素D环木脂内酯29、组成木脂素的单体基本结构是()[单选题] * AC5-C3BC5-C2CC6-C3(正确答案)DC6-C430、使游离香豆素呈现红色的是()[单选题] * A异羟肟酸铁反应(正确答案)BA-萘酚-浓硫酸反应C浓硫酸-没食子酸D浓硫酸-变色酸。
医用化学答案第三版【篇一:医用化学课后习题答案】第一章溶液3.?pk??tfkf??tbkb??rt-19.342.411.34797-1-1-1第二章电解质溶液2.oh-、h2o、hco3-、s2-、nh2ch(r)coo-、[al(h2o)5(oh)]2+、cl-、hpo42- 3.h3o、nh4+、h2po4-、h2s、[al(h2o)6]3+、nh3+ch(r)cooh、hcn、hco3-4.酸:nh4+、h3o+、hcl;碱:ac-;两性物质:h2o、nh3+ch(r)coo-、hco3-、[al(h2o)5(oh)]2+ 5.酸性从强到弱的顺序依次为:h3o+,hac,h2po4-,nh4+,hco3-,h2o 碱性从强到弱的顺序依次为:oh,co3,nh3,hpo4,ac,h2o 6.ph=3.3 7.29~37倍 8.③;④;⑤9.①2.38;②4.02;③8.60;④9.94 10.6.0812.①naac;②5.70;③13.95-5-1-2-2--第三章缓冲溶液4.①9.73;②10.95;③4.45;④7.245;⑤4.275.①6.5.05~5.19;0.0714 7.17.3g 8.47.6ml9.甲:正常;乙:酸中毒;丙:碱中毒第四章原子结构与化学键理论3.1s22s22p63s23p64s2;n=4;=0;m=0;ms=+12或-12;10;3;6124.①m=0;②n=3;③l=1,2,3;④n=1,2,3……;ms=+或-128.bf3:sp2,平面三角形;ph3:sp3,三角锥;h2s:sp3,v形;hgbr2:sp,直线形;sih4:sp3,正四面体;9.①ch4:sp3;h2o:sp3;nh3:sp3;co2:sp;c2h2:sp第五章化学热力学基础3.不正确 4.④第六章化学反应速率4第七章胶体溶液1.s0=32.0.186j-+x-+9.①a;②b;③c;④b-1-1-1-1第八章滴定分析法2.①4;②3;③1;④2;⑤2;⑥不定 3.①2.099;②0.99;-49.0.7502;0.2219 10.0.006282 11.pk=5.5 12.①偏大;②偏小第九章配位化合物;sb3+;cl-1;6;②四羟合锌(Ⅱ)酸钾;zn2+;oh-;4;③二氯四氨合钴(Ⅱ)1.①六氯合锑(Ⅲ);co2+;nh3;cl-;6;④二氰合铜(Ⅰ)配离子;cu2+;cn-;2;⑤硫酸一氯一硝基四氨合铂(Ⅳ);nh3;no2-;cl-;6 pt(Ⅳ)2.①[zn(nh3)4]so4;②k[pt(nh3)cl5];③[co(nh3)3(h2o)cl2]cl;④(nh4)3[cr(scn)4cl2] 3.①能;②不能4.①向右;②向右;③向左5.①d2sp3;②sp3d2;③dsp2;④sp3-4-1-4-1第十章电极电势与电池电动势1.+5;+1;-1;+6;+2;+2 2.cl2;pb3+,h2o 3.还原型辅酶Ⅰ,二氢核黄素,乳酸,还原型fad,琥珀酸,细胞色素c(fe)10.①-0.4577v;向左;-21-35第十一章紫外-可见分光光度法-6-1-16.t=77.5%,a=0.111;t=46.5%,a=0.333第十二章基本有机化合物1.①1-戊烯;②2-甲基-1-丁烯;③4-甲基-4-己烯-1-炔;④二环[3,2,1]辛烷;⑤螺[3,4]辛烷;⑥甲基对苯二酚(或2-甲基-1,4-苯二酚);⑦苄甲醚(或苯甲甲醚);⑧3,4-二甲基戊醛;⑨1-苯基-2-丙酮;⑩2-甲基-2-丁醇 2.①3 3 ②ch3ch=chch=chch3ch32ch3ch3ch2ch2ch3o ho3o③④⑤ch32ch33ch3oh3.①3 ② ch coch c + coohh333clohoh③ ch 3 r 2ch 3④ ; cb ⑤och3ch2ch2cch3 ;no2⑥⑦ooho3nachi3ch3ch2ch2coona+ch3⑧ch3ch2chohch(ch3)cho;⑨(ch3)3ccoona+(ch3)3cch2oh4.①加溴的四氯化碳溶液不褪色者为己烷;另取剩下者加硝酸银的氨溶液,有白色沉淀生成者为1-己炔。
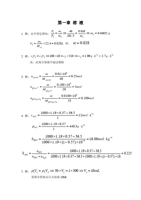
第一章 溶 液1. 解:由亨利定律知:g m m m m P P 04052.0016.03.10140222121=⇒=⇒= 即,028.0=α2. 解:112222117.296.151010100--⋅<⋅=⇒⨯=⨯⇒=L g L g c c V c V c故,此混合溶液不超过极限3. 解:mol M m n NaOH NaOH 25.0401001.03=⨯==m o l M m n Ca Ca 52010100.03212122=⨯==++ m o l M m n CO Na CO Na 189.053100100.0321213232=⨯==4. 解:11215.3637.019.11000-⋅=÷⨯⨯=L mol c HCl 13.440137.019.11000-⋅=⨯⨯=L g HCl ρ 1309.1610)37.01(19.110005.3637.019.11000--⋅=⨯-⨯⨯÷⨯⨯=kg mol b HCl 225.018)37.01(19.110005.3637.019.110005.3637.019.110002=÷-⨯⨯+÷⨯⨯÷⨯⨯=+=O H HCl HCl HCln n n X 5. 解:mL V V V V 10500150112211=⇒⨯=⨯⇒=ρρ 需要市售新洁尔灭溶液10MlL M m V O 028.04.22222=⨯=6. 解:31010000.2-⨯=r M b , 3310789538.910--⨯⨯=⨯=苯M P K ο 1333.1791010000.210789538.98672.99538.9---⋅=⇒⨯⨯⨯⨯=-⇒=∆mol g M M Kb P r r 其中碳的个数为:1412944.03.179≈⨯ ,氢的个数10114123.179≈⨯- 所以该碳氢化合物的分子式为:C 14H 107. 解:133162100.1010538512.010017.100---⋅≈⇒⨯⨯⨯=-⇒⋅=∆mol g M M b K T b b 尼尼尼 ∵尼古丁的实验式为:C 5H 7N 其实验式分子量为81∴尼古丁的分子式为:C 10H 14N 28. 解:两溶液在同一温度下结冰,说明其质量摩尔浓度相等:M8.42=1000×200605.1 得: M=342.49. 解:ΔT f =K f b (B )b (B )=ΔT f /K f =(273.15-272.63)/1.86 = 0.280 mol/Kg渗量浓度为280mmol/L∏=0.28×310×8.314=721.6kPa 。
部分习题参考答案第一章 溶 液3.RTK T KT Kpbb ff π=∆=∆=∆4.0.000845L ;0.0339L ;0.0062L 5.0.1mol·L -1;3.15g 6.55.56ml7.0.026mol·L -18.2.925g ;325ml9.342.410.280mmol·L -1;721.6kPa 。
11.3479712.①蔗糖→葡萄糖;②渗透平衡;③尿素→NaCl ;④MgSO 4→CaCl 2 13.④>②>③>① 14.①298mmol·L -1;等渗;②290mmol·L -1;等渗;③等渗15.10g·L -1NaCl :胞浆分离;7g·L -1NaCl :形态不变;3g·L -1NaCl :溶血第二章 电解质溶液1.9.93×10-5;9.86×10-92.OH -、H 2O 、HCO 3-、S 2-、NH 2CH(R)COO -、[Al(H 2O)5(OH)]2+、Cl -、HPO 42- 3.H 3O 、NH 4+、H 2PO 4-、H 2S 、[Al(H 2O)6]3+、NH 3+CH(R)COOH 、HCN 、HCO 3-4.酸:NH 4+、H 3O +、HCl ;碱:Ac -;两性物质:H 2O 、NH 3+CH(R)COO -、HCO 3-、[Al(H 2O)5(OH)]2+ 5.酸性从强到弱的顺序依次为:H 3O +,HAc ,H 2PO 4-,NH 4+,HCO 3-,H 2O 碱性从强到弱的顺序依次为:OH -,CO 32-,NH 3,HPO 42-,Ac -,H 2O 6.pH=3.3 7.29~37倍 8.③;④;⑤9.①2.38;②4.02;③8.60;④9.94 10.6.0811.5.0×10-512.①NaAc ;②5.70;③13.9514.①1.65×10-4mol·L -1;②1.65×10-4mol·L -1;3.30×10-4mol·L -1;③1.80×10-9mol·L -1;④1.92×10-5mol·L -115.Ag 2CrO 4第三章 缓冲溶液3.①2.35±1;②2.85±1;③9.81±14.①9.73;②10.95;③4.45;④7.245;⑤4.275.①6.5.05~5.19;0.0714 7.17.3g 8.47.6ml9.甲:正常;乙:酸中毒;丙:碱中毒第四章 原子结构与化学键理论3.1s 22s 22p 63s 23p 64s 2;n=4;=0;m=0;m s =+21或-21;10;3;64.①m=0;②n=3;③l=1,2,3;④n=1,2,3……;m s =+21或-216.①×;②×;③×;④×;⑤×;⑥×;⑦×8.BF 3:sp 2,平面三角形;PH 3:sp 3,三角锥;H 2S :sp 3,V 形;HgBr 2:sp ,直线形;SiH 4:sp 3,正四面体;9.①CH 4:sp 3;H 2O :sp 3;NH 3:sp 3;CO 2:sp ;C 2H 2:sp第五章 化学热力学基础3.不正确 4.④6.-16.7kJ·mol -1。
部分习题参考答案第一章 溶 液3.RTK T K T Kp bb ff π=∆=∆=∆4.0.000845L ;0.0339L ;0.0062L 5.0.1mol·L -1;3.15g 6.55.56ml 7.0.026mol·L -1 8.2.925g ;325ml 9.342.410.280mmol·L -1;721.6kPa 。
11.3479712.①蔗糖→葡萄糖;②渗透平衡;③尿素→NaCl ;④MgSO 4→CaCl 2 13.④>②>③>① 14.①298mmol·L -1;等渗;②290mmol·L -1;等渗;③等渗 15.10g·L -1NaCl :胞浆分离;7g·L -1NaCl :形态不变;3g·L -1NaCl :溶血第二章 电解质溶液1.9.93×10-5;9.86×10-92.OH -、H 2O 、HCO 3-、S 2-、NH 2CH(R)COO -、[Al(H 2O)5(OH)]2+、Cl -、HPO 42- 3.H 3O 、NH 4+、H 2PO 4-、H 2S 、[Al(H 2O)6]3+、NH 3+CH(R)COOH 、HCN 、HCO 3-4.酸:NH 4+、H 3O +、HCl ;碱:Ac -;两性物质:H 2O 、NH 3+CH(R)COO -、HCO 3-、[Al(H 2O)5(OH)]2+ 5.酸性从强到弱的顺序依次为:H 3O +,HAc ,H 2PO 4-,NH 4+,HCO 3-,H 2O 碱性从强到弱的顺序依次为:OH -,CO 32-,NH 3,HPO 42-,Ac -,H 2O 6.pH=3.3 7.29~37倍 8.③;④;⑤9.①2.38;②4.02;③8.60;④9.94 10.6.0811.5.0×10-512.①NaAc ;②5.70;③13.95 14.①1.65×10-4mol·L -1;②1.65×10-4mol·L -1;3.30×10-4mol·L -1;③1.80×10-9mol·L -1;④1.92×10-5mol·L -1 15.Ag 2CrO 4第三章 缓冲溶液3.①2.35±1;②2.85±1;③9.81±14.①9.73;②10.95;③4.45;④7.245;⑤4.27 5.①6.5.05~5.19;0.0714 7.17.3g 8.47.6ml9.甲:正常;乙:酸中毒;丙:碱中毒第四章 原子结构与化学键理论3.1s 22s 22p 63s 23p 64s 2;n=4;=0;m=0;m s =+21或-21;10;3;6 4.①m=0;②n=3;③l=1,2,3;④n=1,2,3……;m s =+21或-216.①×;②×;③×;④×;⑤×;⑥×;⑦×8.BF 3:sp 2,平面三角形;PH 3:sp 3,三角锥;H 2S :sp 3,V 形;HgBr 2:sp ,直线形;SiH 4:sp 3,正四面体;9.①CH 4:sp 3;H 2O :sp 3;NH 3:sp 3;CO 2:sp ;C 2H 2:sp第五章 化学热力学基础3.不正确 4.④6.-16.7kJ·mol -1。
医用化学习题答案第七章pp961、(1)3-甲基-5-炔-1-庚烯(2)(E)-4-溴-3-庚烯(3)1-异丙基-2,4-环己二烯(4)顺-1-甲基-4-叔丁基-环己烷(5)顺-1-苯基-1-丙烯;或(Z)-1-苯基-1-丙烯(6)2,6-二甲基萘2、(1)ClClClClClClCl(2)2+24OH O(3)HBrBr(4)Br+ Br2+Br4、先加入AgNO3溶液,环己基乙炔与AgNO3反应生成白色炔银沉淀;再加入溴的四氯化碳溶液,环己基乙烯使其褪色;与Br2/FeBr3加热反应,其中2-环己基丙烷不反应;与KMnO4反应,甲苯使溶液褪色。
5、为KMnOCOOHCOOH+NO2NO26、(1)233 )2(2)H33)3(3)3第八章 pp106 2、 (1)C 2H 5C 3H 7HBrC 2H 5C 3H 7Br HRS3737(2)CH 3HHORSCH 3OHH33(3)CH 3C 2H 5Cl H BrH(4)COOHCOOHH HO H HO第九章 pp1141、(1)与AgNO3反应。
叔卤代烷立即沉淀,仲卤代烷次之,伯卤代烷加热才反应。
(2)与AgNO3反应。
碘代烷立即生成黄色沉淀,溴代烷反应稍慢,生成淡黄色沉淀,氯代烷需长时间或加热才生成白色沉淀。
2、(1)(2)OH(3)I3、ClC6H13ClKOH/C HOH4O24、Br溴代新戊烷为伯卤代烷,因此SN1取代慢;空间位阻大导致SN2取代慢。
第十章pp1251、(1)OH(2)OH(3)2,4,6-三硝基苯酚(4)1,4-二苯酚2、(1)HOH2CONa (2)Cl Br(3)COOH3、(1)烯使溴水褪色,邻二醇与氢氧化铜反应变蓝色。
(2)OH与溴水反应生成白色沉淀;CH2OH使KMnO4褪色。
第十一章pp1331、(1)COONH4+Ag(2)CHO H3C(3)CI3H+COONa (4)NO2HNNO2N2、甲醛>乙醛>丙酮,推电子效应和空间位阻。
医用化学课本习题答案 Company number:【WTUT-WT88Y-W8BBGB-BWYTT-19998】习 题 解 答第一章 溶 液1. 温度、压力如何影响气体在水中的溶解度2. 何谓亨利定律何谓气体吸收系数3. 亨利定律适应的范围是什么4. 20℃,饱和NaCl 溶液的质量为12.003g ,将其蒸干后,得到NaCl 3.173g 。
求:(1)质量摩尔浓度;(2)物质的量浓度。
解:NaCl 的相对分子量为:NaCl 的物质的量为:mol M m n B 05424.05.58173.3===(1) NaCl 的溶解度:)100/gNaCl (93.35100173.3003.12173.3水g =⨯- (2) 质量摩尔浓度:).(143.61000/)173.3003.12(5.58/173.31-=-==kg mol W n m B B (3) 物质的量浓度:).(424.51000/105.58/173.31-==L mol V n c B B 5. 将8.4g NaHCO 3溶于水配成1000mL 溶液,计算该物质的量浓度。
解:NaHCO 3相对分子量为:84NaHCO 3的物质的量为:mol M m n B 1.0844.8=== NaHCO 3的物质的量浓度:).(1.01000/10001.01-===L mol V n c B B 6. 欲配制·L -1 H 2SO 4 500mL ,需质量分数为的H 2SO 4(密度为)多少毫升解:H 2SO 4的相对分子量为:98所需的H 2SO 4的物质的量为:mol V c n B B 25.51000/5005.10=⨯=⨯= 设所需的的H 2SO 4V (ml ),则H 2SO 4溶液的质量为V ×(g ),所以含有的纯H 2SO 4为V ××(g )。
25.59898.084.1=⨯⨯==V M m n B V = 7. 某病人需要补充钠(Na +)5g ,应补给生理盐水(·L -1)多少毫升解:设需要生理盐水Vml ,则含有NaCl 的物质的量为:V ×1000(mol ),所以含有的Na +的物质的量为:V ×1000(mol )。
医用化学练习题答案一、选择题1. 以下哪种物质是人体必需的微量元素?A. 钙B. 铁C. 锌D. 钠答案:B2. 人体中含量最多的元素是什么?A. 氧B. 碳C. 氢D. 氮答案:A3. 以下哪个选项是正确的化学键类型?A. 离子键B. 共价键C. 金属键D. 所有选项答案:D二、填空题1. 人体血液中的氧气主要与________结合,形成氧合血红蛋白。
答案:血红蛋白2. 人体细胞中的水分子主要以________形式存在。
答案:自由水和结合水3. 蛋白质的一级结构是由________决定的。
答案:氨基酸序列三、简答题1. 简述维生素C的生理功能。
答案:维生素C在人体内具有多种生理功能,包括促进铁的吸收、增强免疫力、促进胶原蛋白的合成、抗氧化等。
2. 描述一下什么是酸碱平衡,以及它在人体中的重要性。
答案:酸碱平衡是指体液中酸和碱的浓度保持在一定范围内的动态平衡状态。
它对维持细胞功能和代谢过程至关重要,因为许多生化反应都依赖于特定的pH值。
四、计算题1. 如果一个溶液的pH值为4.68,计算其氢离子浓度。
答案:根据pH的定义,pH = -log[H+],所以氢离子浓度[H+] =10^(-pH) = 10^(-4.68) ≈ 2.5×10^(-5) M。
2. 计算一个含有0.02摩尔硫酸(H2SO4)的溶液中硫酸根离子的浓度。
答案:硫酸(H2SO4)是二元酸,每摩尔硫酸可以释放2摩尔硫酸根离子(SO4^2-)。
所以,硫酸根离子的浓度是硫酸浓度的两倍,即0.02摩尔硫酸对应0.04摩尔硫酸根离子。
请注意,以上答案仅供参考,实际的练习题答案可能会根据具体的题目内容有所不同。
在实际学习中,建议学生根据教材和课堂讲解来完成练习题,并在有疑问时向老师或同学求助。
部分习题参考答案第一章 溶 液3.RTK T K T Kp bb ff π=∆=∆=∆4.0.000845L ;0.0339L ;0.0062L 5.0.1mol·L -1;3.15g 6.55.56ml 7.0.026mol·L -1 8.2.925g ;325ml 9.342.410.280mmol·L -1;721.6kPa 。
11.3479712.①蔗糖→葡萄糖;②渗透平衡;③尿素→NaCl ;④MgSO 4→CaCl 2 13.④>②>③>① 14.①298mmol·L -1;等渗;②290mmol·L -1;等渗;③等渗 15.10g·L -1NaCl :胞浆分离;7g·L -1NaCl :形态不变;3g·L -1NaCl :溶血第二章 电解质溶液1.9.93×10-5;9.86×10-92.OH -、H 2O 、HCO 3-、S 2-、NH 2CH(R)COO -、[Al(H 2O)5(OH)]2+、Cl -、HPO 42- 3.H 3O 、NH 4+、H 2PO 4-、H 2S 、[Al(H 2O)6]3+、NH 3+CH(R)COOH 、HCN 、HCO 3-4.酸:NH 4+、H 3O +、HCl ;碱:Ac -;两性物质:H 2O 、NH 3+CH(R)COO -、HCO 3-、[Al(H 2O)5(OH)]2+ 5.酸性从强到弱的顺序依次为:H 3O +,HAc ,H 2PO 4-,NH 4+,HCO 3-,H 2O 碱性从强到弱的顺序依次为:OH -,CO 32-,NH 3,HPO 42-,Ac -,H 2O 6.pH=3.3 7.29~37倍 8.③;④;⑤9.①2.38;②4.02;③8.60;④9.94 10.6.0811.5.0×10-512.①NaAc ;②5.70;③13.95 14.①1.65×10-4mol·L -1;②1.65×10-4mol·L -1;3.30×10-4mol·L -1;③1.80×10-9mol·L -1;④1.92×10-5mol·L -1 15.Ag 2CrO 4第三章 缓冲溶液3.①2.35±1;②2.85±1;③9.81±14.①9.73;②10.95;③4.45;④7.245;⑤4.27 5.①6.5.05~5.19;0.0714 7.17.3g 8.47.6ml9.甲:正常;乙:酸中毒;丙:碱中毒第四章 原子结构与化学键理论3.1s 22s 22p 63s 23p 64s 2;n=4;=0;m=0;m s =+21或-21;10;3;6 4.①m=0;②n=3;③l=1,2,3;④n=1,2,3……;m s =+21或-216.①×;②×;③×;④×;⑤×;⑥×;⑦×8.BF 3:sp 2,平面三角形;PH 3:sp 3,三角锥;H 2S :sp 3,V 形;HgBr 2:sp ,直线形;SiH 4:sp 3,正四面体;9.①CH 4:sp 3;H 2O :sp 3;NH 3:sp 3;CO 2:sp ;C 2H 2:sp第五章 化学热力学基础3.不正确 4.④6.-16.7kJ·mol -1。
医用有机化学课后习题答案(冯敬骞)第1章绪论sp3 sp sp(3) CH3CH2三CHsp2 sp2sp2 (4) CH3CH=CH-0H7指出下列结构中各碳原子的杂化轨道类型解: sp3 sp3 sp3CH3CH2OCH3 (2)sp3 sp2 sp2 CH3CH=CH2习题1用IUPAC法命名下列化合物或取代基。
解:(1) 3, 3-二乙基戊烷(3) 2, 2-二甲基-3-己烯(5) 4-甲基-3-丙基-1-己烯(8)2, 2, 6-三甲基-5-乙基癸烷(9)3-甲基丁炔(2) 2, 6, 6-三甲基-5-丙基辛烷(4) 3-甲基-4-乙基-3-己烯(6)丙烯基3化合物2, 2, 4-三甲基己烷分子中的碳原子,各属于哪一类型(伯、仲、叔、季)碳原子? 解:1°1°CH3 CH34°I 1°CH 3一C — QH2—CH — CH 2CH 3 1°23°2°1°CH34命名下列多烯烃,指出分子中的解:(1) n —n共轭部分。
2 -乙基—,3 丁二烯3哑甲基环戊烯2.4.6-辛三烯5-甲基-.3-环己二烯4-甲基-.4-辛二烯(6)8将下列自由基按稳定性从大到小的次序排列: 解:(3) > (2) > (1) > (4)9按稳定性增加的顺序排列下列物质,指出最稳定者分子中所含的共轭体系。
解:(1) d >b >c >a(2) d >c = b >a (3)d >c >b >a (4) d >c > b >a12下列化合物有无顺反异构现象?若有,写出它们的顺反异构体。
解:(1)无(2 )有(3) 有(4) 有(6)有14经高锰酸钾氧化后得到下列产物,试写出原烯烃的结构式。
解:(1) CH 2=CH — CH=CH 2(2) CH 3C =CH2CH 315完成下列反应式 解: (1)CH 3\ C=H -C ”H 'C 2H 5CH 3C 2H 5C = CCl\Br-'C=C...C4H9B\=cJ HC「 'C 4H 9BrCH 3H C %C1C 2H 5 C 2H 5C=C CH 3"XCHCH 3CH 3CH 3C 2H 5\CHCH 3 C = CCH3、C 2H 5(3) CH 3CH 2C = CHCH 2CH 3CH 3(4) CH 3CH 2CH = CHCH 2CH 3CHOG)Oi IIC H,CH 3CCH 3 + HCHO@Zn+Hp J £*(3) CH 3CH 2C(Br)2CHBr 2(5) CH a CH 2CH=CHBr17试给出经臭氧氧化,还原水解后生成下列产物的烯烃的构成式。
大一医用化学课后答案一、体内氨基酸代谢1. 什么是氨基酸代谢?氨基酸代谢是指物质代谢的一个重要子过程,它涉及到体内氨基酸的生产、分解、转换与合成,保持了细胞内活性物质的稳定性。
2. 氨基酸代谢的主要组成氨基酸代谢的主要是指氨基酸的合成、分解和转换过程。
氨基酸的合成发生在消化道、神经肌肉系统等,氨基酸的分解则发生在肝脏、肾脏、肺脏等器官中。
氨基酸的转换过程主要是指血清的氨基酸和体液中的氨基酸之间的相互转换。
3. 氨基酸代谢的作用氨基酸代谢的作用主要有:(1)可为体内新陈代谢提供能量支持,帮助体内新陈代谢进行;(2)促进食物中氨基酸的吸收和利用;(3)促进氨基酸的转换,维持各种蛋白质的表达;(4)促进肝脏的新陈代谢等。
4. 氨基酸代谢的紊乱氨基酸代谢的紊乱主要有:(1)组成性乳糜泻,由于其乳酸盐类氨基酸不能有效吸收而导致;(2)免疫抑制和毒性反应,由于过多氨基酸代谢紊乱而导致;(3)非咀嚼性消化综合征,即消化道内无充足氨基酸而导致;(4)营养不良,由于摄入的氨基酸不足而导致;(5)慢性肝病,由于肝病患者氨基酸的生成活性受损而导致等。
二、抗体的特点特性1. 抗体的定义抗体是一种特殊的蛋白质,它是生物体免疫系统的主要成分之一,由抗原特异性结合血清蛋白和免疫球蛋白构成,它能够与特定外来抗原物质并列结合,产生抗原的作用。
2. 抗体的结构抗体由两个半胱氨酸型轻链和两个半鹼絮丝蛋白型重链构成的二聚体构成,其两个半胱氨酸轻链上承载有特异性结合抗原的受体部位,重链外侧含有一种具有溶血素活性的微环化物质,依赖重链可功能性的结合细胞表面受体,能识别及识别外源新物质。
3. 抗体的反应和作用抗体可以与外源抗原快速结合,产生免疫应答,促进自身免疫能力的形成,使机体具有抗感染、抗过敏等功能,进而起到破坏抗原胞的作用,这种细胞毒反应就是通过抗体来实现的。
4. 抗体的干预机制抗体可以通过识别特定的抗原部位引起免疫反应,产生抗体能够抑制和破坏抗原物质,从而阻止外源抗原物质对机体的不良影响,这种机制就是抗体干预机制。
医用化学答案第三版【篇一:医用化学课后习题答案】第一章溶液3.?pk??tfkf??tbkb??rt-19.342.411.34797-1-1-1第二章电解质溶液2.oh-、h2o、hco3-、s2-、nh2ch(r)coo-、[al(h2o)5(oh)]2+、cl-、hpo42- 3.h3o、nh4+、h2po4-、h2s、[al(h2o)6]3+、nh3+ch(r)cooh、hcn、hco3-4.酸:nh4+、h3o+、hcl;碱:ac-;两性物质:h2o、nh3+ch(r)coo-、hco3-、[al(h2o)5(oh)]2+ 5.酸性从强到弱的顺序依次为:h3o+,hac,h2po4-,nh4+,hco3-,h2o 碱性从强到弱的顺序依次为:oh,co3,nh3,hpo4,ac,h2o 6.ph=3.3 7.29~37倍 8.③;④;⑤9.①2.38;②4.02;③8.60;④9.94 10.6.0812.①naac;②5.70;③13.95-5-1-2-2--第三章缓冲溶液4.①9.73;②10.95;③4.45;④7.245;⑤4.275.①6.5.05~5.19;0.0714 7.17.3g 8.47.6ml9.甲:正常;乙:酸中毒;丙:碱中毒第四章原子结构与化学键理论3.1s22s22p63s23p64s2;n=4;=0;m=0;ms=+12或-12;10;3;6124.①m=0;②n=3;③l=1,2,3;④n=1,2,3……;ms=+或-128.bf3:sp2,平面三角形;ph3:sp3,三角锥;h2s:sp3,v形;hgbr2:sp,直线形;sih4:sp3,正四面体;9.①ch4:sp3;h2o:sp3;nh3:sp3;co2:sp;c2h2:sp第五章化学热力学基础3.不正确 4.④第六章化学反应速率4第七章胶体溶液1.s0=32.0.186j-+x-+9.①a;②b;③c;④b-1-1-1-1第八章滴定分析法2.①4;②3;③1;④2;⑤2;⑥不定 3.①2.099;②0.99;-49.0.7502;0.2219 10.0.006282 11.pk=5.5 12.①偏大;②偏小第九章配位化合物;sb3+;cl-1;6;②四羟合锌(Ⅱ)酸钾;zn2+;oh-;4;③二氯四氨合钴(Ⅱ)1.①六氯合锑(Ⅲ);co2+;nh3;cl-;6;④二氰合铜(Ⅰ)配离子;cu2+;cn-;2;⑤硫酸一氯一硝基四氨合铂(Ⅳ);nh3;no2-;cl-;6 pt(Ⅳ)2.①[zn(nh3)4]so4;②k[pt(nh3)cl5];③[co(nh3)3(h2o)cl2]cl;④(nh4)3[cr(scn)4cl2] 3.①能;②不能4.①向右;②向右;③向左5.①d2sp3;②sp3d2;③dsp2;④sp3-4-1-4-1第十章电极电势与电池电动势1.+5;+1;-1;+6;+2;+2 2.cl2;pb3+,h2o 3.还原型辅酶Ⅰ,二氢核黄素,乳酸,还原型fad,琥珀酸,细胞色素c(fe)10.①-0.4577v;向左;-21-35第十一章紫外-可见分光光度法-6-1-16.t=77.5%,a=0.111;t=46.5%,a=0.333第十二章基本有机化合物1.①1-戊烯;②2-甲基-1-丁烯;③4-甲基-4-己烯-1-炔;④二环[3,2,1]辛烷;⑤螺[3,4]辛烷;⑥甲基对苯二酚(或2-甲基-1,4-苯二酚);⑦苄甲醚(或苯甲甲醚);⑧3,4-二甲基戊醛;⑨1-苯基-2-丙酮;⑩2-甲基-2-丁醇 2.①3 3 ②ch3ch=chch=chch3ch32ch3ch3ch2ch2ch3o ho3o③④⑤ch32ch33ch3oh3.①3 ② ch coch c + coohh333clohoh③ ch 3 r 2ch 3④ ; cb ⑤och3ch2ch2cch3 ;no2⑥⑦ooho3nachi3ch3ch2ch2coona+ch3⑧ch3ch2chohch(ch3)cho;⑨(ch3)3ccoona+(ch3)3cch2oh4.①加溴的四氯化碳溶液不褪色者为己烷;另取剩下者加硝酸银的氨溶液,有白色沉淀生成者为1-己炔。
医用化学第二版杨怀霞课后答案1、阿托品是莨菪碱的()[单选题] *A左旋体B右旋体C同分异构体D外消旋体(正确答案)2、连续回流提取法与回流提取法比较,其优越性是()[单选题] *A节省时间且效率高B节省溶剂且效率高(正确答案)C受热时间短D提取量较大3、由两个苯环通过三碳链相互连接成的具有6C-3C-6C基本骨架的一系列化合物是()[单选题] *A苷类B黄酮类(正确答案)C醌类D生物碱类4、具有光化学毒性的中药化学成分类型是()[单选题] * A多糖B无机酸C鞣质D呋喃香豆素(正确答案)5、下列含有蒽醌类成分的中药是()*A丹参B决明子(正确答案)C芦荟(正确答案)D紫草6、挥发性成分的提取,常用的是()[单选题] *A溶剂提取法B水蒸气蒸馏法(正确答案)C超临界液体萃取法D超声提取法7、厚朴酚的结构类型为()[单选题] *A简单木脂素B单环氧木脂素C木脂内酯D新木脂素(正确答案)8、E易酶解苷类成分关于亲水性有机溶剂,说法正确的有()*A极性大(正确答案)B极性小C水不相溶D与水部分相溶9、颜色随pH值不同而变化的是()[单选题] *A黄酮B花青素(正确答案)C二氢黄酮D查耳酮10、具有酚羟基或羧基的游离蒽醌类成分有一定酸性,可用的提取方法是()[单选题]* A酸溶碱沉法B碱溶酸沉法(正确答案)C水提醇沉法D醇提水沉法11、水蛭的主要化学成分是()[单选题] *A有机酸B蛋白质(正确答案)C多糖D生物碱12、下列化合物中β位有-COOH取代的是()[单选题] * A大黄素B大黄酸(正确答案)C大黄素甲醚D芦荟大黄素13、连续回流提取法在实验室用的装置为()[单选题] * A氏提取器(正确答案)B回流装置C蒸馏装置D分液漏斗14、下列生物碱碱性最强的是()[单选题] *APkA=22BPkA=5(正确答案)CPkA=13DPkA=5815、下列化合物中具有强烈天蓝色荧光的是()[单选题] *A七叶内脂(正确答案)B大黄素C麻黄碱D大豆皂苷16、倍半萜和二萜在化学结构上的明显区别是()[单选题] *A氮原子数不同B碳原子数不同(正确答案)C碳环数不同D硫原子数不同17、下列方法哪一个不是按照色谱法的分离原理不同进行分类的是()[单选题] * A离子交换色谱B薄层吸附色谱(正确答案)C凝胶色谱D分配色谱18、巴豆的致泻成分是()[单选题] *A丁二酸B巴豆油酸(正确答案)C绿原酸D抗内毒素19、具有挥发性的香豆素成分是()[单选题] *A游离小分子简单香豆素(正确答案)B香豆素苷C呋喃香豆素D双香豆素20、黄酮母核具有的下列何种结构特点在碱液中不稳定()[单选题] * A邻二酚羟基(正确答案)B3-羟基C5-羟基D7-羟基21、在高效液相色谱法中,常用的柱内填料是()[单选题] * A氧化铝B活性炭C十八烷基硅烷键和硅胶(正确答案)D羧甲基纤维素22、不属于木脂素类化合物的物理性质的是()[单选题] * A一般没有挥发性B有光学活性C易溶于有机溶剂D有色晶体(正确答案)23、水提醇沉法可以沉淀下列()等成分()[单选题] *A葡萄糖B多糖(正确答案)C树脂D生物碱24、牛蒡子属于()[单选题] *A香豆素类B木脂内酯(正确答案)C苯丙酸类D黄酮类25、香豆素与浓度高的碱长时间加热生成的产物是()[单选题] *A脱水化合物B顺式邻羟基桂皮酸(正确答案)C反式邻羟基桂皮酸D醌式结构26、关于黄酮类化合物,以下说法正确的是()[单选题] *A多为液态或呈挥发性B多为无色C因分子内多具有酚羟基,多呈酸性(正确答案)D易溶于水27、能提取出中药中的大部分亲水性成分和绝大部分亲脂性成分的溶剂是()[单选题]* A乙醚B乙醇(正确答案)C水D苯28、有机溶剂加热提取中药成分应采用()[单选题] *A回流装置(正确答案)B蒸馏装置C萃取装置D分馏装置29、下列应用最广的经典提取方法是()[单选题] *A水蒸气蒸馏法B溶剂提取法(正确答案)C超临界流体萃取法D超声提取法30、醇提醚沉法主要适用于以下的哪一类成分()[单选题] * A多糖B叶绿素C皂苷(正确答案)D黏液质。
医用化学第8版课后答案1、下列基团在极性吸附色谱中的被吸附作用最强的是()[单选题] * A羧基(正确答案)B羟基C氨基D醛基2、E何首乌生物碱沉淀反应的条件是()[单选题] *A酸性水溶液(正确答案)B碱性水溶液C中性水溶液D盐水溶液3、七叶内酯的结构类型为()[单选题] *A简单香豆素(正确答案)B简单木脂素C呋喃香豆素D异香豆素4、溶解范围广,提取较全面的是()[单选题] *A三氯甲烷B正丁醇C乙醇(正确答案)D水5、碱水提取芦丁时,若PH过高会使()[单选题] *A产品质量降低B产品收率降低(正确答案)C苷键水解断裂D内酯环开环6、牛蒡子属于()[单选题] *A香豆素类B木脂内酯(正确答案)C苯丙酸类D黄酮类7、以下哪种方法是利用成分可以直接由固态加热变为气态的原理()A [单选题] * A升华法(正确答案)B分馏法C沉淀法D透析法8、在脱铅处理中,一般通入的气体为()[单选题] *A氯化氢B二氧化硫C硫化氢(正确答案)D二氧化碳9、具有升华性的生物碱是()[单选题] *A烟碱B咖啡因(正确答案)C槟榔碱D苦参碱10、香豆素衍生物最常见的羟基取代位置是()[单选题] * AC7位(正确答案)BC5位CC3位DC6位11、中药补骨脂中的补骨脂内脂具有()[单选题] *A抗菌作用B光敏作用(正确答案)C解痉利胆作用D抗维生素样作用12、有机溶剂加热提取中药成分应采用()[单选题] *A回流装置(正确答案)B蒸馏装置C萃取装置D分馏装置13、倍半萜和二萜在化学结构上的明显区别是()[单选题] * A氮原子数不同B碳原子数不同(正确答案)C碳环数不同D硫原子数不同14、临床上应用的黄连素主要含有()[单选题] *A奎宁B小檗碱(正确答案)C粉防己碱D苦参碱15、木脂素是苯丙素衍生聚合而成的天然化合物,多为()[单选题] *A二聚体(正确答案)B三聚体C四聚体D五聚体16、药材虎杖中的醌结构类型为()[单选题] *A苯醌类B萘醌类C蒽醌类(正确答案)D菲醌类17、在溶剂沉淀法中,主要是在溶液中加入另一种溶剂一改变混合溶剂的什么实现的()[单选题] *ApH值B溶解度C极性(正确答案)D体积18、E连续回流提取法(正确答案)下列方法中能始终保持良好浓度差的是()* A浸渍法B渗漉法(正确答案)C煎煮法D回流提取法19、具有暖脾胃、散风寒、通血脉作用的是()[单选题] *A穿心莲内酯B青蒿素C莪术醇D桂皮醛(正确答案)20、分馏法分离挥发油的主要依据是()[单选题] *A密度的差异B沸点的差异(正确答案)C溶解性的差异D旋光性的差异21、以黄芩苷、黄芩素、汉黄芩素为指标成分进行定性鉴别的中药是()[单选题] * A葛根B黄芩(正确答案)C槐花D陈皮22、E与水任意比例相溶(正确答案)不耐热成分不宜采用的提取方法是()*A浸渍法B渗漉法C煮法(正确答案)D回流提取法(正确答案)23、生物碱碱性的表示方法常用()[单选题] *ApKBBKBCpH(正确答案)DpKA24、组成缩合鞣质的基本单元是()[单选题] *A黄烷-3-醇(正确答案)B酚羟基C环戊烷D哌啶环25、挥发性成分的提取,常用的是()[单选题] *A溶剂提取法B水蒸气蒸馏法(正确答案)C超临界液体萃取法D超声提取法26、下列溶剂中亲脂性最强的是()[单选题] *A甲醇B苯(正确答案)C三氯甲烷D丙酮27、苯丙素类化合物的生物合成途径是()[单选题] * A醋酸-丙二酸途径B丙二酸途径C莽草酸途径(正确答案)D氨基酸途径28、即有一定亲水性,又能与水分层的是()[单选题] * A正丁醇B乙酸乙酯C二者均是(正确答案)D二者均非29、下列化合物中具有强烈天蓝色荧光的是()[单选题] * A七叶内脂(正确答案)B大黄素C麻黄碱D大豆皂苷30、大黄素型蒽醌母核上的羟基分布情况是()[单选题] * A一个苯环的β位B苯环的β位C在两个苯环的α或β位(正确答案)D一个苯环的α或β位。
习题参考答案第一章1. 略;2. 略;3. 液NH 3既是酸又是碱;因在此反应中液NH 3既是质子的接受体又是质子的给予体;NH 3中氮原子上电子云密度高,接受质子的能力强。
4. 略。
5. (1)双键,烯烃,sp 3,sp 2;(2)羟基,酚;(3)羟基,醇;(4)叁键,炔,sp 。
第二章1.(1)2, 2-二甲基丁烷 (2)2, 3, 5-三甲基庚烷 (3)2,4-二甲基-5-异丙基壬烷 (4)3,4-二甲基-5-乙基辛烷(5)2- 乙基-1 -丁烯 (6)3, 5 -二甲基- 3- 庚烯 (7)4 –-乙基 - 2 – 己炔 (8)3,3-二甲基-1-戊炔 (9)4-甲基-1-庚烯-5-炔2. (9种)3. (6种)(CH 3CH 2)2C (1)Br CH 2BrCH 3CH 2CH (2)ClCH 3(3)CH CHCH 2CH 3CH 2CH 36.(4)CH 2BrCH 2CH 3(5)CH 3C OCH 3CH 3CH(6)OHCH 2ClCH 3CH 2CH(7)OHCH 2OH(8)CHOCH 3CH 2CH(9)OHCH 38.CH 3CH CHCH 3CH 3CH 2CHCH 29.(B ) CH 3CH 2CH 2CH 2CH 3(A )CH 3CH 2CH 2CH CH 2(C )CH 3CH 2CH 2COOH (D )CH 3CH 2CH 2CHO(E )HCHOCHCH 3CH 22o CHCH 2CH 2Cl10.CH 2CH CHCCHCH 222432CH 2CH CH CH 2CH 2CHCHCH 2CH 2Cl∆CHCH 2CH 2Cl+第三章1. (1)螺[2.5]辛烷 (2)5,7,7-三甲基二环[2.2.1]-2-庚烯 (3)2-甲基-4-环丙基己烷 (4)4-甲基异丙苯 (5)3-环己基甲苯 (6)4-溴乙苯 (7)2-氯苯磺酸 (8)4-硝基-2-氯甲苯 (9)5-硝基-2-萘磺酸 (10)9-溴蒽(11)2-甲基-2’-溴联苯 (12)1-甲基-3-乙基-5-异丙基环己烷(1)4243(224346.(33Br 2 HNO + H SO (4)3243Br 28.HH +CH(CH 3)2CH 2CH 2CH 3CH 2CH 3CH 3CH 3H 3CCH 3(A )(B )(C )或11.12.BrBr第四章1.略2.(1)(2)(3)(5)相同,(4)旋光方向相反,比旋光度相等。
3. +1734.(1)3个;(2)3个;(3)1个5. (3)(5)是手性分子;(6)是内消旋化合物;(1)(2)(4)是非手性分子CH 3CH CH CH 2CH 3OH OHCH 3CH CH CH 3ClCl ****CH 3CH CH 2CH 3OH*6.HO CH 3CH 2CH 3H7.(1)与(2)、(3)与(4)互为相同构型 8.(1)和(3) 9.(1) -Br > -CH 2CH 2OH > -CH 2CH 3 > -H (2) -OH > -CO 2CH 3 > -COOH > -CH 2OH(3) -NH 2 > -CN > -CH 2NHCH 3 > -CH 2NH 2(4) -Br > -Cl > -CH 2Br > -CH 2Cl 10. (1)S;(2);S(3)R11. (1)2R,3R;(2)2S,3S;(3)2S,3R;(4)2R,3S(1)和(2)、(3)和(4)互为对映体;(1)与(3)(4)及(2)与(3)(4)互为非对映体 12. (1)对映体;(2)相同化合物;(3)非对映体第五章1.(1)2,3,3-三甲基-1-溴丁烷 (2)氯仿 (3) 2-甲基-2-溴-5-碘己烷 (4)对-溴苄基氯 (5)2-甲基-1-碘-3-戊烯2.CH 3CH C CH 2CH 3CH 3CH 3Cl CH 2ClCH 2CHCH 2Br(1)(2)(3)(4)(5)CH 3ClCl3.略4.略5.CH 3CH 2CH(CH 3)CH(OH)CH 3C CCH 3H 3CH 3C HCH 3CH 3CH CH 3BrCH 3CH CH 3COOH CH 3CH CH 3CNC 6H 5CH BrCH 3C 6H 5CH CH 3COOH C 6H 5CH CH 3MgBr (1)(2)(3)(4)(5)6.(1)S N 2;(2)S N 1;(3)S N 2;(4)S N 1;(5)S N 27.BrCH 2CH 2CH CH 3CH 3CH 2CH CH CH 3CH 3(1)(2)(3)CH 3C Br CH 3CH CH 3CH 3CH 2C CH C CH 3CH 3H 3C CCH 3H 3CH 3C CH 3+(主)BrCH 2CH CH CH 3CH 3CH 3CH 2C CH CH 3C CH 3H 38.(1)和(2)室温或加热均不反应;(3)和(4)室温下反应;(5)加热反应。
9.(1)CH 3CH CHBrCH 2CHCH 2BrCH 3CH 2CH 2BrAgNO ,醇溶液不反应AgCl (室温)(加热)AgCl (2)ClCH 2ClCH 2CH 2Cl AgNO , 醇溶液不反应AgCl (室温)(加热)AgCl10.(1)(CH 3)3CBr>CH 3CH 2CH(CH 3)Br>CH 3CH 2CH 2CH 2Br (2)C 6H 5CH(CH 3)Br>C 6H 5CH 2Br>C 6H 5CH 2CH 2Br (3)CH 3CH 2CH 2Br>(CH 3)2CHCH 2Br>(CH 3)3CCH 2Br (4)CH 3CH 2CH 2CH 2Br>CH 3CH 2CH(CH 3)Br>(CH 3)3CBr第六章1(1)2-苯基乙醇;(2)2-丙烯醇;(3)巯基乙醇;(4)4-烯丙基-2-甲氧基苯酚; (5)反-1, 2-环戊二烯;(6)甲基异丙基醚;(7)间-硝基苯乙醚;(8)二烯丙醚; (9)2-乙基环氧乙烷;(10)对-溴苄基苯醚 2.OHO 2N NO 2NO 2H 3C HCH(OH)CH 3HCH 2ONO 2CHONO 2CH 2ONO 2(4)(3)(5)(8)(6)(9)(10)(7)(2)(1)(CH 3)2CHCH 2CH 2ONOCOOHOHOCH 3OCH 3H 3CCH 3OC(CH 3)3OCH(CH 3)2NO 2CH 3CHCHCH 2ClOC 2H 5OH3.CH 3CH 2ONaCH 3COOCH 2CH 2CH 3C 6H 5CH CHCH 3NaOCH 2OHC 6H 5SNaHgS S CH 2CHSO 3NaOHBrNO 2 + CH 3IHOCH 3I + CH 3CHCH 3I CH 3CHCH 2OCH 3OH(1)(2)(3)(4)(5)(6)(10)(9)(8)(7)4. (1)丙醇>异丙醇>叔丁醇(2)甲醇>乙醇>正丙醇>异丙醇 (3)乙酸>水>丙醇>丙烷>氨6.(1)CH 3CHCHCH 2CH 3CH 3OHCH 3C CHCH 2CH 3CH 3CH 3CHCH CHCH 3CH 3+主要产物(2)+CH 2CHCH 2CH 3OHCH CHCH 2CH3CH 2CH CHCH 3主要产物(3)(4)CH 3CH CCH 3CH 3OHCH 3CH 3CH C CH 3CH 2CH 3CH 3C CH 3CCH 3CH 3++主要产物CH 3OHCH 3CH 2主要产物7.(CH 3)2CCH 2CH 3 ;OH(CH 3)2C CHCH 3CH 3CH 2CHCH 3 ;OHCH 3CH CHCH 3(CH 3)2CHC(CH 3)2 ;OH(CH 3)2C C(CH 3)2(1)(2)(3)8.COOHC OH H C 6H 5CH 3AB有关反应式为:C OH H C 6H 5CH 3C OH H C 6H 5CH 3COOHCH CH 2KMnO 4H 2C ONaH C 6H 5CH 3Na++HCOOH_H 2O H +9.OHCH 3Br BrBr OHCH 3AB10.OCH 3OHCH 3IA BCOCH 3OHCH 3I+11.O25+H 5C 2OCH 2CH 2OHOH 5C 2OCH 2CH 2OCH 2CH 2OHOO2+HOCH 2CH 2OH HOCH 2CH 2OCH 2CH 2OHONH HOCH 2CH 2NH 2HOCH 2CH 2NHCH 2CH 2OHOOOH, OH -OCH 2CH 2OH(1)(2)(4)(3)12.OH CH 3CH 333CH 3CH 3+CH 3CH 3H +2_+_13. HI 水溶液中,水的极性大,有利于S N 1反应,生成叔丁基正碳离子,叔丁基正碳离子与碘负离子结合生成叔丁基碘。
在乙醚溶剂中,乙醚极性低,有利于S N 2反应,亲核试剂I ―进攻CH 3,生成碘甲烷和叔丁醇。
第七章1. (1) 2, 3-二甲基丁醛;(2)3-甲基-1-苯基-2-丁酮;(3)1,4-戊二烯-3-酮;(4)4-羟基-3-甲氧基-苯甲醛;(5)5-甲基-2-异丁基-环己酮;(6)3-己烯-2, 5-二酮2.3.4.(3); (6); (8)5.6.7.8.第八章1.(1) 2-甲基戊酸;(2)反-3-己烯酸;(3)反-丁烯二酸;(4)Z-3-羟基-3-戊烯酸;(5)乙酰水杨酸;(6)顺-3-氯环己甲酸;2.3.4.(1) (a) > (b) > (c) > (d); (2) (a) > (c) > (d) > (b); (3) (a) > (b) > (c) > (d);5.6.7.第九章1.(1) 2-甲基-3-溴丁酸;(2)乙基丁二酸酐;(3)对甲氧基苯甲酸甲酯;(4)苯甲酸苄酯;(5)N-甲基苯甲酰胺;(6)苯乙酰氯;(7)4-甲基-4-丁内酯;(8)邻苯二甲酸苷2.3.4. 1). (3) > (1) > (2) > (4); 2). (2) > (4) > (3) > (1); 3). (2) > (3) > (4) > (1);5.6.第十章1.(1)三乙胺;(2)N-乙基苯胺;(3)邻-甲苯胺;(4)溴化二甲基二乙基铵;(5)对-二乙氨基偶氮苯;(6)3-异丙基氯化重氮苯 2.CH 3CHCH 2NHCCH 3CH 3CH 3CH 3(CH 3)2CHCH 2CH 2CHCH 3N(CH 3)2CONHO 2N NH 2 HCl(CH 3)4N +OH -CH 2NH 2(1)(3)(2)(4)(5)(6)(7)(8)H 5C 2C 2H 5N(CH 3)22H 23.NH 2H 3CCH 3NH 2N NH 3CBrBrNH 2H 3CN 2+Cl -H 3CNHCCH 3O CH 3COOH HBrNH 2H 3C NH 2H 3C NH 2H 3C NH 2H 3C H 3C NH 3HSO 4-+++(1)(3)(5)(4)(2)O 2NN 2+Cl -O 2N I O 2NH O 2N CN O 2NBr N 2N 2N 2N 2KIH 3PO 2KCNCuCNCuCNNaOHO 2NN 2+Cl -O 2NN 2+Cl -O 2NN 2+Cl -O 2NN 2+Cl -NNOHCH 3++++(1)(2)(3)(5)(4)5.N CH 3NONCH 2CH 3H 3CCH 3NOCH 3NHCCH 2CH2COHOO N CH 3CH 2OH(乙醇、乙烯等混合物)+(1)(2)(3)(4)6. 将下列化合物按其碱性由强到弱排序(1) 氢氧化四甲铵>苯胺>乙酰苯胺>邻-苯二甲酰亚胺、(2)对-甲基苯胺>苯胺>间-硝基苯胺>对-硝基苯胺 7.略8.邻-甲基苯胺N -甲基苯胺N,N -二甲基苯胺HNO-翠绿色橘黄色黄色油状N 2(1)(3)苄胺对-甲基苯酚N -乙基苯胺HNO 黄色油状苄醇紫色( )_( )_( )_N 2(2)苯胺甲苯苯酚苯甲酸白色沉淀紫色Br 2( )_( )_( )_( )_( )_( )_CO 2NH 2CH 3N 2+Cl CH 3HNO 2/HClOHH 3CN H 3CN OHH 2O,ABC10.(CH 3)2NCH 2CH 3HNO (CH 3)2CHCH 2NH 2HNO (CH 3)2CHCH 2OH(CH 3)2CHCOOHHNO 2CH 3CH 2CHCH 3NH 2CH 3CH 2CHCH 3OHCH 3CH 2C CH 3ON 2N 2[O][O](CH 3)2NCH 2CH 3NO 2-H +++ABC11.HOCH 2CH 3H O OH -H2N CH 3HCOH O H2N CH 3H C OH OH 2N CH 3HC OCH 2CH 3O+CH 3CHCOOH NH 3+Cl -CH 3CHCOONaNH 2CH 3CHCOOHOHHClI 2 + NaOHN 2HCI 3HCOONa++CH 3CH 2OH ABC第十一章1.(1)1-甲基吡咯;(2)2, 4-二溴咪唑;(3)4-甲基-2-乙基噻唑;(4)3-吡啶甲酸;(5)5-羟基嘧啶;(6)8-羟基喹啉;(7)2,6-二羟基嘌呤(黄嘌呤);(8)3-吲哚乙酸。