电磁场与电磁波习题及答案
- 格式:doc
- 大小:626.00 KB
- 文档页数:6
《电磁场与电磁波》试题1一、填空题(每小题1分,共10分)1.在均匀各向同性线性媒质中,设媒质的导磁率为μ,则磁感应强度B和磁场H满足的方程为: 。
2.设线性各向同性的均匀媒质中,02=∇φ称为 方程。
3.时变电磁场中,数学表达式H E S⨯=称为 。
4.在理想导体的表面, 的切向分量等于零。
5.矢量场)(r A穿过闭合曲面S 的通量的表达式为: 。
6.电磁波从一种媒质入射到理想 表面时,电磁波将发生全反射。
7.静电场是无旋场,故电场强度沿任一条闭合路径的积分等于 。
8.如果两个不等于零的矢量的 等于零,则此两个矢量必然相互垂直。
9.对平面电磁波而言,其电场、磁场和波的传播方向三者符合 关系。
10.由恒定电流产生的磁场称为恒定磁场,恒定磁场是无散场,因此,它可用 函数的旋度来表示。
二、简述题 (每小题5分,共20分)11.已知麦克斯韦第二方程为t B E ∂∂-=⨯∇ ,试说明其物理意义,并写出方程的积分形式。
12.试简述唯一性定理,并说明其意义。
13.什么是群速?试写出群速与相速之间的关系式。
14.写出位移电流的表达式,它的提出有何意义?三、计算题 (每小题10分,共30分)15.按要求完成下列题目(1)判断矢量函数y x e xz ey B ˆˆ2+-=是否是某区域的磁通量密度?(2)如果是,求相应的电流分布。
16.矢量z y x e e eA ˆ3ˆˆ2-+=,z y x e e eB ˆˆ3ˆ5--=,求(1)B A+ (2)B A ⋅17.在无源的自由空间中,电场强度复矢量的表达式为()jkz y x e E e E eE --=004ˆ3ˆ(1) 试写出其时间表达式; (2) 说明电磁波的传播方向;四、应用题 (每小题10分,共30分)18.均匀带电导体球,半径为a ,带电量为Q 。
试求 (1) 球内任一点的电场强度 (2) 球外任一点的电位移矢量。
19.设无限长直导线与矩形回路共面,(如图1所示), (1)判断通过矩形回路中的磁感应强度的方向(在图中标出); (2)设矩形回路的法向为穿出纸面,求通过矩形回路中的磁通量。
3.1 长度为L 的细导线带有均匀电荷,其电荷线密度为0l ρ。
(1)计算线电荷平分面上任意点的电位ϕ;(2)利用直接积分法计算线电荷平分面上任意点的电场E ,并用ϕ=-∇E 核对。
解 (1)建立如题3.1图所示坐标系。
根据电位的积分表达式,线电荷平分面上任意点P 的电位为2(,0,0)L L ϕρ-==⎰2ln(4L l L z ρπε-'+=04l ρπε=02l ρπε (2)根据对称性,可得两个对称线电荷元z l 'd 0ρ在点P 的电场为d d E ρρρθ'===Ee e 022320d 2()l z z ρρρπερ''+e故长为L 的线电荷在点P 的电场为2022320d d 2()L l z z ρρρπερ'==='+⎰⎰E E e20002L l ρρπερ'=e ρe 由ϕ=-∇E 求E ,有002l ρϕπε⎡⎢=-∇=-∇=⎢⎥⎣⎦E(00d ln 2ln 2d l L ρρρπερ⎡⎤-+-=⎢⎥⎣⎦e0012l ρρπερ⎧⎫⎪--=⎬⎪⎭e ρe可见得到的结果相同。
3.3 电场中有一半径为a 的圆柱体,已知柱内外的电位函数分别为2()0()()cos a a A aϕρρϕρρφρρ=≤⎧⎪⎨=-≥⎪⎩(1)求圆柱内、外的电场强度;L L -ρρ题3.1图(2)这个圆柱是什么材料制成的?表面有电荷分布吗?试求之。
解 (1)由ϕ=-∇E ,可得到a ρ<时, 0ϕ=-∇=Ea ρ>时, ϕ=-∇=E 22[()cos ][()cos ]a a A A ρφρφρφρρρφρ∂∂----=∂∂e e 2222(1)cos (1)sin a a A A ρφφφρρ-++-e e(2)该圆柱体为等位体,所以是由导体制成的,其表面有电荷分布,电荷面密度为0002cos S n a a A ρρρρεεεφ=====-e E e E3.4 已知0>y的空间中没有电荷,下列几个函数中哪些是可能的电位的解? (1)cosh y e x -; (2)x e y cos -;(3)cos sin e x x (4)z y x sin sin sin 。
电磁场与电磁波》(第四版 )答案二章习题解答2.1 一个平行板真空二极管内的电荷体密度为$\rho=-\frac{4\epsilon U}{d}-4\times 10^{-3}x-2\times 10^{-3}$,式中阴极板位于$x=9$,阳极板位于$x=d$,极间电压为$U$。
如果$U=40V$,$d=1cm$,横截面$S=10cm^2$,求:(1)$x$和$x=d$区域内的总电荷量$Q$;(2)$x=d/2$和$x=d$区域内的总电荷量$Q'$。
解(1)$Q=\int\limits_{0}^{9}\rhoSdx+\int\limits_{d}^{9}\rho Sdx=-4.72\times 10^{-11}C(3d)$2)$Q'=\int\limits_{d/2}^{d}\rho Sdx=-0.97\times 10^{-11}C$2.2 一个体密度为$\rho=2.32\times 10^{-7}Cm^3$的质子束,通过$1000V$的电压加速后形成等速的质子束,质子束内的电荷均匀分布,束直径为$2mm$,束外没有电荷分布,试求电流密度和电流。
解:质子的质量$m=1.7\times 10^{-27}kg$,电量$q=1.6\times 10^{-19}C$。
由$1/2mv^2=qU$得$v=2mqU=1.37\times 10^6ms^{-1}$,故$J=\rho v=0.318Am^2$,$I=J\pi (d/2)^2=10^{-6}A$2.3 一个半径为$a$的球体内均匀分布总电荷量为$Q$的电荷,球体以匀角速度$\omega$绕一个直径旋转,求球内的电流密度。
解:以球心为坐标原点,转轴(一直径)为$z$轴。
设球内任一点$P$的位置矢量为$r$,且$r$与$z$轴的夹角为$\theta$,则$P$点的线速度为$v=\omega\times r=e_\phi \omegar\sin\theta$。
电磁场与电磁波试题及答案导言:电磁场和电磁波是电磁学领域中的重要概念,对于理解电磁现象、电磁波传播及应用都具有重要意义。
本文将针对电磁场和电磁波相关的试题进行解答,帮助读者巩固对这一知识点的理解。
一、电磁场概念及特点1. 试题:电磁场是指什么?电磁场有哪些特点?答案:电磁场指的是电荷或电流所产生的周围空间的物理场。
具体包括静电场和磁场。
电磁场的特点有以下几个方面:- 电磁场具有源极性:任何一个电磁场的产生都必须由电荷或电流来产生。
- 电磁场具有传递性:当源增大或减小时,电磁场的强度也会相应变化。
- 电磁场具有辐射性:电磁场会以电磁波形式向外传播。
- 电磁场具有叠加性:多个电磁场可以在同一空间中叠加。
二、电磁场强度及电磁波的传播1. 试题:电磁场强度的概念是指什么?电磁波的传播过程是怎样的?答案:电磁场强度是指单位电荷所受到的电磁力的大小,通常用矢量表示,其方向为电荷所受电磁力的方向。
电磁波的传播过程主要包括以下几个阶段:- 在电磁场中,源电荷或电流激发出电磁波。
- 电磁波在空间中以垂直波动的方式传播。
- 电磁波的传播过程中,电场和磁场相互垂直、交替变化。
- 电磁波传播速度为光速,即3×10^8 m/s。
三、电磁波的频率和波长1. 试题:电磁波的频率和波长有什么关系?请列举几种常见电磁波的频率和波长范围。
答案:电磁波的频率和波长之间有以下关系:频率 = 光速 / 波长以下是几种常见电磁波的频率和波长范围:- α射线:频率高,波长短,一般范围为10^18 - 10^20 Hz,波长约为10^(-12) - 10^(-10) m。
- 紫外线:频率较高,波长较短,一般范围为10^14 - 10^16 Hz,波长约为10^(-8) - 10^(-7) m。
- 可见光:频率适中,波长适中,范围为4×10^14 - 8×10^14 Hz,波长约为3.75×10^(-7) - 7.5×10^(-7) m。
电磁场与电磁波复习题(含答案)电磁场与电磁波复习题⼀、填空题1、⽮量的通量物理含义是⽮量穿过曲⾯的⽮量线总数,散度的物理意义⽮量场中任意⼀点处通量对体积的变化率。
散度与通量的关系是⽮量场中任意⼀点处通量对体积的变化率。
2、散度在直⾓坐标系的表达式 z A y A x A z yxA A ??++=??=ρρdiv ;散度在圆柱坐标系下的表达;3、⽮量函数的环量定义⽮量A 沿空间有向闭合曲线C 的线积分,旋度的定义过点P 作⼀微⼩曲⾯S,它的边界曲线记为L,⾯的法线⽅与曲线绕向成右⼿螺旋法则。
当S 点P 时,存在极限环量密度。
⼆者的关系 ndS dC e A ρρ?=rot ;旋度的物理意义点P 的旋度的⼤⼩是该点环量密度的最⼤值;点P 的旋度的⽅向是该点最⼤环量密度的⽅向。
4.⽮量的旋度在直⾓坐标系下的表达式。
5、梯度的物理意义标量场的梯度是⼀个⽮量,是空间坐标点的函数。
梯度的⼤⼩为该点标量函数?的最⼤变化率,即该点最⼤⽅向导数;梯度的⽅向为该点最⼤⽅向导数的⽅向,即与等值线(⾯)相垂直的⽅向,它指向函数的增加⽅向等值⾯、⽅向导数与梯度的关系是梯度的⼤⼩为该点标量函数的最⼤变化率,即该点最⼤⽅向导数;梯度的⽅向为该点最⼤⽅向导数的⽅向,即与等值线(⾯)相垂直的⽅向,它指向函数的增加⽅向.; 6、⽤⽅向余弦cos ,cos ,cos αβγ写出直⾓坐标系中单位⽮量l e r 的表达式;7、直⾓坐标系下⽅向导数u的数学表达式是,梯度的表达式8、亥姆霍兹定理的表述在有限区域内,⽮量场由它的散度、旋度及边界条件唯⼀地确定,说明的问题是⽮量场的散度应满⾜的关系及旋度应满⾜的关系决定了⽮量场的基本性质。
9、麦克斯韦⽅程组的积分形式分别为 0()s l s s l sD dS Q BE dl dS t B dS D H dl J dS t ?=??=-??=?=+r r r r r r r r g r r r r r g ????其物理描述分别为10、麦克斯韦⽅程组的微分形式分别为 020E /E /t B 0B //t B c J E ρεε??=??=-=??=+??r r r r r r r其物理意义分别为11、时谐场是激励源按照单⼀频率随时间作正弦变化时所激发的也随时间按照正弦变化的场,⼀般采⽤时谐场来分析时变电磁场的⼀般规律,是因为任何时变周期函数都可以⽤正弦函数表⽰的傅⾥叶级数来表⽰;在线性条件下,可以使⽤叠加原理。
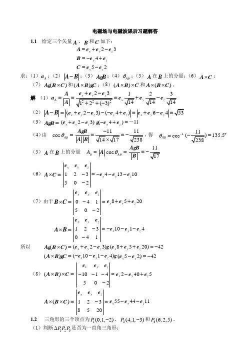
一章习题解答1.1给定三个矢量、和如下:求:(1);(2);(3);(4);(5)在上的分量;(6);(7)和;(8)和。
解(1) (2)(3)-11 (4)由,得 (5)在上的分量(6) (7)由于所以(8)A B C 23x y z =+-A e e e 4y z =-+B e e 52x z =-C e e A a -A B A B AB θA B ⨯A C ()⨯A B C ()⨯A B C ()⨯⨯A B C ()⨯⨯A B C 23A x y z +-===+-e e e A a e e e A -=A B (23)(4)x y z y z +---+=e e e e e 64x y z +-=e e e =A B (23)x y z +-e e e (4)y z -+=e ecos AB θ===A B A B 1cos AB θ-=(135.5= A B B A =A cos AB θ==A B B ⨯=A C 123502xy z-=-e e e 41310x y z ---e e e ⨯=B C 041502x yz-=-e e e 8520x y z ++e e e ⨯=A B 123041xyz-=-e e e 1014x y z ---e e e ()⨯=A B C(23)x y z +-e e e (8520)42x y z ++=-e e e ()⨯=A B C (1014)x y z ---e e e (52)42x z -=-e e ()⨯⨯=A B C 1014502x y z---=-e e e 2405x y z -+e e e1.2三角形的三个顶点为、和。
(1)判断是否为一直角三角形; (2)求三角形的面积。
解(1)三个顶点、和的位置矢量分别为,,则,,由此可见故为一直角三角形。
(2)三角形的面积 1.3求点到点的距离矢量及的方向。
解,, 则 且与、、轴的夹角分别为1.4给定两矢量和,求它们之间的夹角和在上的分量。
电磁场与电磁波课后习题解答1.1 给定三个矢量A 、B 和C 如下: 23x y z =+-A e e e4y z =-+B e e52x z =-C e e求:(1)A a ;(2)-A B ;(3)A B ;(4)AB θ;(5)A 在B 上的分量;(6)⨯A C ;(7)()⨯A B C 和()⨯A B C ;(8)()⨯⨯A B C 和()⨯⨯A B C 。
解 (1)23A x y z+-===-e e e A a e e e A (2)-=A B (23)(4)x y z y z +---+=e e e ee 64x y z +-=e e e (3)=A B (23)x y z +-e e e (4)y z -+=e e -11(4)由 c o s AB θ=8==A B A B ,得 1c o s AB θ-=(135.5= (5)A 在B 上的分量 B A =A c o s AB θ==A B B (6)⨯=A C 123502xy z-=-e e e 41310x y z ---e e e (7)由于⨯=B C 041502x yz-=-e e e 8520x y z ++e e e ⨯=A B 123041xyz-=-e e e 1014x y z ---e e e所以 ()⨯=A B C (23)x y z +-e e e (8520)42x y z ++=-e e e ()⨯=A B C (1014)x y z ---e e e (52)42x z -=-e e(8)()⨯⨯=A B C 1014502x y z---=-e e e 2405x y z -+e e e()⨯⨯=A B C 1238520xy z -=e e e 554411x y z --e e e1.2 三角形的三个顶点为1(0,1,2)P -、2(4,1,3)P -和3(6,2,5)P 。
(1)判断123PP P ∆是否为一直角三角形;(2)求三角形的面积。
电磁场与电磁波第二版课后练习题含答案一、选择题1. 一物体悬挂静止于匀强磁场所在平面内的位置,则这个磁场方向?A. 垂直于所在平面B. 并行于所在平面C. 倾斜于所在平面D. 无法确定答案:B2. 在运动着的带电粒子所在区域内,由于其存在着磁场,因此在该粒子所处位置引入一个另外的磁场,引入后,运动着的电荷将会加速么?A. 会加速B. 不会加速C. 无法确定答案:B3. 一台电视有线播出系统, 将信号源之中所传输的压缩图像和声音还原出来,要利用的是下列过程中哪一个?A. 光速传输B. 超声波传输C. 磁场作用D. 空气振动答案:C4. 一根充足长的长直电导体内有恒定电流I通过,则令曼培尔定律最适宜描述下列哪一项观察?A. 两个直平面电流之间的相互作用B. 当一个直平面电流遇到一个平行于它的磁场时, 会发生什么C. 当两个平行电流直线之间的相互作用D. 当电磁波穿过磁场时会发生什么答案:C5. 电磁波的一个特点是什么?A. 电磁波是一种无质量的相互作用的粒子B. 电磁波的速度跟频率成反比C. 不同波长的电磁波拥有的能量不同D. 电磁波不会穿透物质答案:C二、填空题1. 一个悬挂静止的电子放在一个以5000 G磁场中,它会受到的磁力是____________N. 假设电子的电荷是 -1.6×10^-19 C.答案:-8.0×10^-142. 在一个无磁场的区域内,放置一个全等的圆形和正方形输电线, 则这两个输电线产生的射界是_____________.答案:相同的3. 一个点电荷1.0×10^-6 C均匀带电一个闪电球,当位于该点电荷5.0 cm处时, 该牛顿计的弦向上斜,该牛顿计的尺度读数是4.0N. 该电荷所处场强的大小约为_____________弧度.答案:1.1×10^4三、简答题1. 解释什么是麦克斯韦方程式?麦克斯韦方程式是一组描述经典电磁场的4个偏微分方程式,包括关于电场的高斯定律、关于磁场的高斯定律、安培环路定理和法拉第电磁感应定律。
静电场 恒定电场习题解答主要问题: 1) 矢量标量书写不加区分(忘记在矢量顶部加箭头) 2) 机械抄袭标准答案,不理解其含义3)不理解极化电荷面密度和极化电荷体密度含义:极化电荷面密度仅仅存在于介质表面,静电场情形下导体表面没有极化电荷面密度(题2-15) 4)所谓验证边界条件对静电场而言有两种方法(题2-13),一是从电位着手判断电位是否连续(12?Φ=Φ)法向电位条件如何?(1212s n nεερ∂Φ∂Φ-+=∂∂,这里格外需要注意说明边界上有没有电荷?s ρ=)二是判断切向电场是不是连续,法向电通密度是不是相等,要是不等,面电荷密度是多少 这两种方法等价。
5)2-2题很多人和标准答案中的坐标图不一致,答案却一样,明显错误2-1、半径为a 的球内充满介电常数为1ε的均匀介质,球外是介电常数为2ε的均匀介质。
若已知球内和球外的电位分别为:122(,) ()(,) ()r Ar r a Aa r r a rθθθθΦ=≤⎧⎪⎨Φ=≥⎪⎩ 式中A 为常数。
求1) 两种介质中的E 和D ;2) 两种介质中的自由电荷密度。
解:1) 在r < a 区域内:111111111A Ar r A A θθεεθε∂Φ∂Φ=-∇Φ=--=--∂∂==--rθr θ1r θE e e e e D E e e , 在r > a 区域内:()()2222222121Aa r r rAarθθεεθ∂Φ∂Φ=-∇Φ=--=-∂∂==-2r θr θ22r θE e e e e D E e e 2) 在r < a 区域内:。
()()()21112111sin sin 2cot r r D D r r r Arθρθθθεθθ∂∂=∇⋅=+∂∂=-+1D在r > a 区域内:()()2222222311sin sin cot r r D D r r r Aa rθρθθθεθ∂∂=∇⋅=+∂∂=-2D 在球面r = a 上,电荷面密度()()()12s r a r a A ρεεθ===⋅-=⋅-=+21r 21n D D e D D2-2一个半径为a 的半圆环上均匀分布线电荷ρl ,求垂直于半圆环平面的轴线z =a 处的电场强度。
第1章矢量分析1.1复习笔记一、标量场和矢量场1.一个只用大小描述的物理量为标量。
若所研究的物理量为一标量,则该物理量所确定的场为标量场,如温度场,密度场等。
用一个标量函数来表示该场为2.一个既有大小又有方向特性的物理量为矢量。
若所研究的物理量为一矢量,则该物理量所确定的场为矢量场,如力场、电场等。
用一个矢量函数来表示该场为二、标量场的方向导数与梯度1.在直角坐标系中方向导数的计算公式为式中,是方向l的方向余弦。
特点:方向导数既与所研究的点有关,也与方向有关。
2.标量场的梯度是一个矢量,在直角坐标系中,梯度的表达式为在柱坐标系和球坐标系中,梯度的表达式为标量场的梯度意义:描述标量场在某点的最大变化率及其变化最大的方向。
3.梯度运算的基本公式:三、矢量场的散度与旋度1.散度矢量通过包含该点的任意闭合小曲面的通量与曲面元体积之比的极限。
矢量场的散度是个标量,在直角坐标系、圆柱坐标系及球坐标系中的计算式分别为2.散度定理(高斯定理)矢量场F的散度在体积V上的体积分,等于矢量场F在限定该体积的闭合面S上的面积分。
3.旋度旋涡源密度矢量。
矢量场的旋度是个矢量,在直角坐标系、圆柱坐标系及球坐标系中分别表示为4.斯托克斯定理矢量场F的旋度在曲面S上的面积分等于矢量场F在限定曲面的闭合曲线C上的线积分。
四、无旋场与无散场1.仅有散度源而无旋度源的矢量场为无旋场,如静电场,。
梯度矢量的重要性质:它的旋度恒等于零,即。
2.仅有旋度源而无散度源的矢量场为无散场,如恒定磁场,。
旋度矢量的重要性质:它的散度恒等于零,即。
五、格林定理1.格林第一恒等式2.格林第二恒等式3.格林定理的应用:(1)利用格林定理可以将区域中场的求解问题转变为边界上场的求解问题。
(2)格林定理反映了两种标量场之间满足的关系。
因此,如果已知其中一种场的分布,即可利用格林定理求解另一种场的分布。
六、亥姆霍兹定理在有限区域V内,任一矢量场由它的散度、旋度和边界条件唯一地确定,且可表示为:1.2课后习题详解(一)思考题1.1如果A·B=A·C,是否意味着B=C?为什么?答:并不意味着B=C。
电磁场与波课后思考题1-1 什么是标量与矢量?举例说明 .仅具有大小特征的量称为标量.如:长度 ,面积 ,体积 ,温度 ,气压 ,密度 ,质量 ,能量及电位移等.不仅具有大小而且具有方向特征的量称为矢量 .如:力 ,位移 ,速度 ,加速度 ,电场强度及磁场强度 .1-2 矢量加减运算及矢量与标量的乘法运算的几何意义是什么矢量加减运算表示空间位移.矢量与标量的乘法运算表示矢量的伸缩.1-3矢量的标积与矢积的代数定义及几何意义是什么?矢量的标积 : A B A x B x A y B y A z B z A B cos ,A 矢量的模与矢量 B 在矢量 A方向上的投影大小的乘积 .矢积 :e x e y e z矢积的方向与矢量A,B 都垂直 ,且A B A x A y A z e z A B sin由矢量 A 旋转到 B,并与矢积构成右B x B y B z旋关系 ,大小为 A B sin1-4什么是单位矢量 ?写出单位矢量在直角坐标中的表达式.模为 1的矢量称为单位矢量. e a cos e x cos e y cos e z1-5梯度与方向导数的关系是什么?试述梯度的几何意义,写出梯度在直角坐标中的表示式 .标量场在某点梯度的大小等于该点的最大方向导数, 方向为该点具有最大方向导数的方向.梯度方向垂直于等值面,指向标量场数值增大的方向在直角坐标中的表示式:x e x y e y z e z1-6什么是矢量场的通量 ?通量值为正 ,负或零时分别代表什么意义?矢量 A 沿某一有向曲面S 的面积分称为矢量 A 通过该有向曲面S 的通量 ,以标量表示,即Ψ A dS通量为零时表示该闭合面中没有矢量穿过.S; 通量为负时表示闭合面中有洞 .通量为正时表示闭合面中有源1-7给出散度的定义及其在直角坐标中的表示式.d 散度:当闭合面S向某点无限收缩时,矢量 A 通过该闭合面S的通量div Alim S 与该闭合面包围的体积之比的极限称为矢量场 A 在该点的散度。
习题1.1 已知z y x B z y x A ˆ2ˆˆ;ˆˆ3ˆ2-+=-+=,求:(a) A 和B 的大小(模); (b) A 和B 的单位矢量;(c)B A⋅;(d)B A⨯;(e)A 和B 之间的夹角;(f) A 在B 上的投影。
解:(a) A 和B 的大小74.314132222222==++=++==z y x A A A A A45.26211222222==++=++==z y x B B B B B(b) A 和B 的单位矢量z y x z y x A A aˆ267.0ˆ802.0ˆ535.0)ˆˆ3ˆ2(74.31ˆ-+=-+==z y x z y x B B bˆ816.0ˆ408.0ˆ408.0)ˆ2ˆˆ(45.21ˆ-+=-+==(c)A B ⋅7232=++=++=⋅z z y y x x B A B A B A B A(d) B A ⨯ z y x zyxB B B A A A z y xB A zyxz y xˆˆ3ˆ5211132ˆˆˆˆˆˆ-+-=--==⨯(e)A 和B 之间的夹角α根据αcos AB B A =⋅得764.0163.97cos ==⋅=AB B A α 019.40=α (f) A 在B 上的投影86.245.27ˆ==⋅=⋅B B A bA1.2如果矢量A 、B 和C 在同一平面,证明A ·(B ⨯C )=0。
证明:设矢量A 、B 和C 所在平面为xy 平面y A x A A y x ˆˆ+=y B xB B y x ˆˆ+=y C xC C y x ˆˆ+=z C B C B y C B C B x C B C B C C C B B B zy xC B x y y x z x x z y z z y zyxz y xˆ)(ˆ)(ˆ)(ˆˆˆ-+-+-==⨯zC B C B x y y x ˆ)(-= 0ˆˆ)(0)(=⋅-⨯=⨯⋅z zC B C B C B A x y y x1.3已知A =ααsin ˆcos ˆy x+、B ββsin ˆcos ˆy x -=和C ββsin ˆcos ˆy x +=,证明这三个矢量都是单位矢量,且三个矢量是共面的。
. . 1麦克斯韦方程组的微分形式是:.DHJtuvuuvuv,BEtuvuv,0Buvg,Duvg 2静电场的基本方程积分形式为: 0CEdluvuuvgÑ SDdsuvuuvgÑ 3理想导体(设为媒质2)与空气(设为媒质1)分界面上,电磁场的边界条件为: 3.00nSnnnSeeeeJDBEHrrrrrrrrr 4线性且各向同性媒质的本构关系方程是: 4.DEuvuv,BHuvuuv,JEuvuv 5电流连续性方程的微分形式为: 5.Jtrg 6电位满足的泊松方程为 2; 在两种完纯介质分界面上电位满足的边界 。 12 1212nn 7应用镜像法和其它间接方法解静态场边值问题的理论依据是: 唯一性定理。 8.电场强度E的单位是V/m,电位移D的单位是C/m2 。 9.静电场的两个基本方程的微分形式为 0E gD ; 10.一个直流电流回路除受到另一个直流电流回路的库仑力作用外还将受到安培力作用 1.在分析恒定磁场时,引入矢量磁位Auv,并令BAuvuv的依据是( 0Buvg ) 2. “某处的电位0,则该处的电场强度0E”的说法是(错误的 )。 3. 自由空间中的平行双线传输线,导线半径为a, 线间距为D,则传输线单位长度的电容为( )ln(01aaDC )。 4. 点电荷产生的电场强度随距离变化的规律为(1/r2 )。
5. N个导体组成的系统的能量NiiiqW121,其中i
是(除i个导体外的其他导体)产生的电位。 6.为了描述电荷分布在空间流动的状态,定义体积电流密度J,其国际单位为(a/m2 ) 7. 应用高斯定理求解静电场要求电场具有(对称性)分布。 8. 如果某一点的电场强度为零,则该点电位的(不一定为零 )。 8. 真空中一个电流元在某点产生的磁感应强度dB随该点到电流元距离变化的规律为(1/r2 )。 10. 半径为a的球形电荷分布产生的电场的能量储存于 (整个空间 )。 三、海水的电导率为4S/m,相对介电常数为81,求频率为1MHz时,位幅与导幅比值? 三、解:设电场随时间作正弦变化,表示为:
cosxmEeEtrr
则位移电流密度为:0sindxrmDJeEttrrr 其振幅值为:304510.dmrmmJEE 传导电流的振幅值为:4cmmmJEE 因此: 3112510.dmcmJJ 四、自由空间中,有一半径为a、带电荷量q的导体球。试求:(1)空间的电场强度分布;(2)导体球的电容。(15分) 四、解:由高斯定理
DSuuvuuvgÑSdq得24qDr 24DeeuuvvvrrqDr
空间的电场分布2004DEeuuvuuvvrqr 导体球的电位20044ElEreruuvuuvvuuvgggraaaqqUdddra
导体球的电容04qCaU .
. 五、两块无限大接地导体板分别置于x=0和x=a处,
其间在x=x0处有一面密度为2C/m的均匀电荷分布,如图所示。求两导体板间的电场和电位。(20分) 解:
2
102
d00;dxxx2
202
d0dxxax
得:11100;xCxDxx
2220xCxDxxa
0
12
21121020000,0;,xxxxxxaxxxx
和满足得边界条件为
010
,xaCa解得10,D0
2
0
,xCa02
0
xD
0
100
0,axxxxxa所以≤≤
0
200
xaxxxxaa≤≤
10
110
0
d0dEeeuuvvvxxxaxxxxxa
20
220
0
ddEeeuuvvvxxxx
xxxaxa
六、有一平行金属板电容器,极板面积为l×b,板间距离为d,用一块介质片(宽度为b、厚度为d,介电常数为ε)部分填充在两极板之间,如图所示。设极板间外加电压为U0,忽略边缘效应,求介质片所受的静电力。 六、解:平行板电容器的电容为:
0()lxbbxCdd所以电容器内的电场能量为:
220
001[()]22e
bUWCUlxxd
由 eiiWFg不变 可求得介质片受到的静电力为:0200()2exUWbUFxd不变
1.旋度矢量的 恒等与零梯度矢量的 恒等与零。 2.在静电场中,导体表面的电荷密度与导体外的电位函数满足 的关系式 。 3.极化介质体积内的束缚电荷密度与极化强度之间的关系式为 。 4.若密绕的线圈匝数为N,则产生的磁通为单匝时的 倍,其自感为单匝的 倍。 5.如果将导波装置的两端短路,使电磁波在两端来回反射以产生振荡的装置称为 。 6.电介质的极性分子在无外电场作用下,所有正、负电荷的作用中心不相重合,而形成电偶极子,但由于电偶极矩方向不规则,电偶极矩的矢量和为零。在外电场作用下,极性分子的电矩发生________________,使电偶极矩的矢量和不再为零,而产生__________。 7.根据场的唯一性定理在静态场的边值问题中,只要满足给定的_______ 条件,则泊松方程或拉普拉斯方程的解是__________。 8.谐振腔品质因素Q定义为_______________。 9.在导电媒质中,电磁波的传播速度(相速)随 改变的现象,称为色散效应。 10.在求解静电场的边值问题时,常常在所研究的区域之外,用一些假想的电荷代替场问题的边界,这种求解方法称为 法。 11.若电介质的分界面上没有自由电荷,则电场和电位移应满足的边界条件分别为 , 。 12.电磁波的恒定相位点推进的速度,称为 ,而包络波上某一恒定相位点推进的速度称为 。 13在任何导波装置上传播的电磁波都可分为三种模式,它们分别是 波、 波和 波 判断题 1.应用分离变量法求解电、磁场问题时,要求整个场域内媒质必须是均匀、线性的。() 2.一个点电荷Q 放在球形高斯面中心处。如果此电荷被移开原来的球心,但仍在球内,则通过这个球面的电通量将会改变。() . . 3.在线性磁介质中,由IL 的关系可知,电感系数不仅与导线的几何尺寸、材料特性有关,还与通过线圈的电流有关。( ) 4.电磁波垂直入射至两种媒质分界面时,反射系数与透射系数之间的关系为1+=。() 5.损耗媒质中的平面波,其电场强度和磁场强度在空间上互相垂直、时间上同相位。() 6.均匀平面波中的电场能量与磁场能量相等。() 7位移电流和传导电流都是电荷定向运动形成的。() 8.在时变电磁场中,只有传导电流与位移电流之和才是连续的。() 9.若有两个带电导体球的直径,与球间距离差不多,它们之间的静电力等于把每个球的电量集中于球心后所形成的两个点电荷之间的静电力。() 第三套 1.在均匀各向同性线性媒质中,设媒质的导磁率为,则磁感应强度B和磁场H满足的方程为: 。
2.设线性各向同性的均匀媒质中,02称为 方程。
3.时变电磁场中,数学表达式HES称为 。 4.在理想导体的表面, 的切向分量等于零。
5.矢量场)(rA穿过闭合曲面S的通量的表达式为: 。 6.电磁波从一种媒质入射到理想 表面时,电磁波将发生全反射。 7.静电场是无旋场,故电场强度沿任一条闭合路径的积分等于 。 8.如果两个不等于零的矢量的 等于零,则此两个矢量必然相互垂直。 9.对平面电磁波而言,其电场、磁场和波的传播方向三者符合 关系。 10.由恒定电流产生的磁场称为恒定磁场,恒定磁场是无散场,因此,它可用 函数的旋度来表示。
11.已知麦克斯韦第二方程为tBE,试说明其物理意义,并写出方程的积分形式 11.答:意义:随时间变化的磁场可以产生电场。
其积分形式为:SdtBldECS
12.试简述唯一性定理,并说明其意义。 12.答:在静电场中,在给定的边界条件下,拉普拉斯方程或泊松方程的解是唯一的,这一定理称为唯一性定理。 它的意义:给出了定解的充要条件:既满足方程又满足边界条件的解是正确的。 13.什么是群速?试写出群速与相速之间的关系式。
13.答:电磁波包络或能量的传播速度称为群速。 群速gv与相速pv的关系式为: ddvvvvpppg1
14.写出位移电流的表达式,它的提出有何意义? 14.答:位移电流:tDJd 位移电流产生磁效应代表了变化的电场能够产生磁场,使麦克斯韦能够预言电磁场以波的形式传播,为现代通信打下理论基础。
三、计算题 (每小题10 分,共30分) 15.按要求完成下列题目
(1)判断矢量函数yxexzeyBˆˆ2是否是某区域的磁通量密度?(2)如果是,求相应的电流分布。 解:(1)根据散度的表达式zByBxBBzyx将矢
量函数B代入,显然有0B 故:该矢量函数为某区域的磁通量密度。 (2)电流分布为:
分)(分)(分)(1ˆ2ˆ120ˆˆˆ21020zxzyxezyexxzyzyxeeeBJ
16.矢量zyxeˆeˆeˆA32,