常微分方程习题及答案
- 格式:doc
- 大小:816.00 KB
- 文档页数:16
习题4.21. 解下列方程(1)045)4(=+''-x x x 解:特征方程1122045432124-==-===+-λλλλλλ,,,有根故通解为x=tt t t e c e c e c e c --+++432221 (2)03332=-'+''-'''x a x a x a x 解:特征方程0333223=-+-a a a λλλ有三重根a =λ故通解为x=at at at e t c te c e c 2321++ (3)04)5(=''-x x解:特征方程0435=-λλ有三重根0=λ,=4λ2,=5λ-2 故通解为54232221c t c t c e c e c x t t ++++=-(4)0102=+'+''x x x解:特征方程01022=++λλ有复数根=1λ-1+3i,=2λ-1-3i故通解为t e c t e c x t t 3sin 3cos 21--+= (5) 0=+'+'x x x解:特征方程012=++λλ有复数根=1λ,231i +-=2λ,231i-- 故通解为t ec t ec x t t 23sin 23cos 212211--+=(6) 12+=-''t s a s 解:特征方程022=-a λ有根=1λa,=2λ-a当0≠a 时,齐线性方程的通解为s=at at e c e c -+21Bt A s +=~代入原方程解得21aB A -== 故通解为s=at at e c e c -+21-)1(12-t a当a=0时,)(~212γγ+=t t s 代入原方程解得21,6121==γγ 故通解为s=t c c 21+-)3(612+t t(7) 32254+=-'+''-'''t x x x x解:特征方程025423=-+-λλλ有根=1λ2,两重根=λ 1 齐线性方程的通解为x=t t t te c e c e c 3221++又因为=λ0不是特征根,故可以取特解行如Bt A x +=~代入原方程解得A=-4,B=-1故通解为x=t t t te c e c e c 3221++-4-t (8) 322)4(-=+''-t x x x解:特征方程121201224-===+-λλλλ重根,重根有 故齐线性方程的通解为x=t t t t te c e c te c e c --+++4321取特解行如c Bt At x ++=2~代入原方程解得A=1,B=0,C=1 故通解为x=t t t t te c e c te c e c --+++4321+12+t (9)t x x cos =-'''解:特征方程013=-λ有复数根=1λ,231i +-=2λ,231i--13=λ 故齐线性方程的通解为t t t e c t e c t ec x 321221123sin 23cos ++=--取特解行如t B t A x sin cos ~+=代入原方程解得A=21,21-=B 故通解为t t t e c t e c t ec x 321221123sin 23cos ++=--)sin (cos 21t t +-(10) t x x x 2sin 82=-'+''解:特征方程022=-+λλ有根=1λ-2,=2λ 1 故齐线性方程的通解为x=t t e c e c 221-+ 因为+-2i 不是特征根取特解行如t B t A x 2sin 2cos ~+=代入原方程解得A=56,52-=-B 故通解为x=t t e c e c 221-+t t 2sin 562cos 52-- (11)t e x x =-'''解:特征方程013=-λ有复数根=1λ,231i +-=2λ,231i--13=λ 故齐线性方程的通解为t t t e c t e c t ec x 321221123sin 23cos ++=-- =λ1是特征方程的根,故t Ate x =~代入原方程解得A=31故通解为t t t e c t e c t ec x 321221123sin 23cos ++=--+t te 31(12)t e s a s a s =+'+''22解:特征方程0222=++a a λλ有2重根=λ-a 当a=-1时,齐线性方程的通解为s=t tte c e c 21+,=λ1是特征方程的2重根,故t e At x 2~=代入原方程解得A=21通解为s=22121t te c e c t t ++,当a ≠-1时,齐线性方程的通解为s=at atte c e c --+21,=λ1不是特征方程的根,故t Ae x =~代入原方程解得A=2)1(1+a故通解为s=at at te c e c --+21+te a 2)1(1+ (13)t e x x x 256=+'+''解:特征方程0562=++λλ有根=1λ-1,=2λ-5 故齐线性方程的通解为x=tte c e c 521--+=λ2不是特征方程的根,故t Ae x 2~=代入原方程解得A=211 故通解为x=t t e c e c 521--++t e 2211 (14)t e x x x t cos 32-=+'-''解:特征方程0322=+-λλ有根=1λ-1+2i,=2λ-1-2i故齐线性方程的通解为t e c t e c x t t 2sin 2cos21+=i ±-1不是特征方程的根, 取特解行如t e t B t A x -+=)sin cos (~代入原方程解得A=414,415-=B 故通解为t e c t e c x t t 2sin 2cos21+=+t e t t --)sin 414cos 415((15) t t x x 2cos sin -=+''解:特征方程012=+λ有根=1λi,=2λ- i 故齐线性方程的通解为t c t c x sin cos 21+=t x x sin =+'',=1λi,是方程的解 )sin cos (~t B t A t x +=代入原方程解得 A=21- B=0 故t t x cos 21~-=t x x 2cos -=+'' t B t A x 2sin 2cos ~+=代入原方程解得 A=31B=0 故t x 2cos 31~= 故通解为t c t c x sin cos 21+=t t cos 21-t 2cos 31+ 习 题 6-11. 求出齐次线性微分方程组y t A dtdy)(=的通解,其中A (t )分别为:(1)⎪⎪⎭⎫ ⎝⎛=1011)(t A ;(2)⎪⎪⎭⎫⎝⎛-=0110)(t A ;(3)⎪⎪⎪⎭⎫ ⎝⎛=000010100)(t A 。
计 算 题(每题10分)1、求解微分方程2'22x y xy xe -+=。
2、试用逐次逼近法求方程2y x dxdy+=通过点(0,0)的第三次近似解. 3、求解方程'2x y y y e -''+-=的通解4、求方程组dx dt ydydtx y ==+⎧⎨⎪⎩⎪2的通解5、求解微分方程'24y xy x +=6、试用逐次逼近法求方程2y x dxdy-=通过点(1,0)的第二次近似解。
7、求解方程''+-=-y y y e x '22的通解8、求方程组dxdt x ydydtx y =+=+⎧⎨⎪⎩⎪234的通解9、求解微分方程xy y x '-2=24 10、试用逐次逼近法求方程2y x dxdy-=通过(0,0)的第三次近似解. 11、求解方程''+-=-y y y e x '24的通解12、求方程组dxdtx y dydtx y =+=+⎧⎨⎪⎩⎪2332的通解13、求解微分方程x y y e x (')-=14、试用逐次逼近法求方程22x y dxdy+=通过点(0,0)的第三次逼近解. 15、求解方程''+-=--y y y e x '22的通解16、求解方程x e y y y -=-+''32 的通解17、求方程组⎪⎩⎪⎨⎧-+=-+=yx dt dydtdx x y dt dy dt dx243452的通解 18、解微分方程22(1)(1)0x y dx y x dy -+-= 19、试用逐次逼近法求方程2dyx y dx=-满足初始条件(0)0y =的近似解:0123(),(),(),()x x x x ϕϕϕϕ.20、利用逐次逼近法,求方程22dyy x dx=-适合初值条件(0)1y =的近似解:012(),(),()x x x ϕϕϕ。
常微分方程试题及答案一、单项选择题(每题5分,共20分)1. 下列哪一项不是常微分方程的特点?A. 未知函数是连续的B. 未知函数是可微的C. 未知函数的导数是未知的D. 方程中包含未知函数的导数答案:A2. 常微分方程的解是指满足方程的函数,下列哪一项不是解的性质?A. 唯一性B. 存在性C. 可微性D. 可积性答案:D3. 一阶线性微分方程的一般形式是:A. \( y' + p(x)y = q(x) \)B. \( y' = p(x)y + q(x) \)C. \( y' - p(x)y = q(x) \)D. \( y' + p(x)y = q(x) \) 或 \( y' - p(x)y = q(x) \)答案:A4. 已知微分方程 \( y'' - y = 0 \) 的一个特解是 \( y = e^x \),那么它的通解是:A. \( y = C_1e^x + C_2e^{-x} \)B. \( y = C_1e^x + C_2 \)C. \( y = C_1e^x + C_2e^x \)D. \( y = C_1 + C_2e^{-x} \)答案:A二、填空题(每题5分,共20分)1. 微分方程 \( y'' + y' + y = 0 \) 的通解是 \( y = C_1e^{-x}+ C_2e^{-\frac{1}{2}x} \),其中 \( C_1 \) 和 \( C_2 \) 是常数。
2. 微分方程 \( y'' - 4y = 0 \) 的通解是 \( y = C_1\cos(2x) +C_2\sin(2x) \),其中 \( C_1 \) 和 \( C_2 \) 是常数。
3. 微分方程 \( y'' + 4y = 0 \) 的通解是 \( y = C_1\cos(2x) +C_2\sin(2x) \),其中 \( C_1 \) 和 \( C_2 \) 是常数。
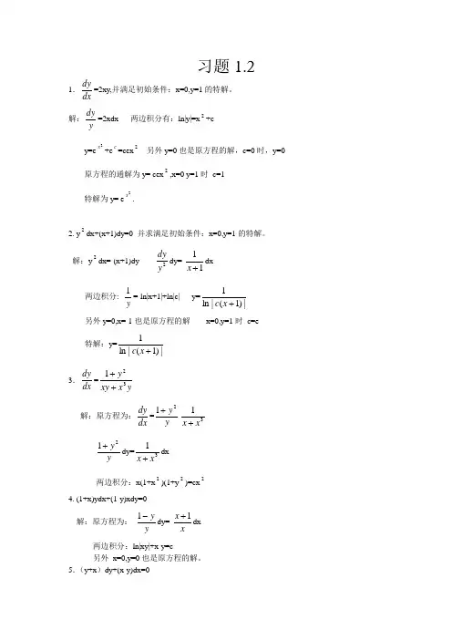
习题2.1 1.dxdy =2xy,并满足初始条件:x=0,y=1的特解。
解:ydy =2xdx 两边积分有:ln|y|=x 2+cy=e 2x +e c =cex 2另外y=0也是原方程的解,c=0时,y=0原方程的通解为y= cex 2,x=0 y=1时 c=1 特解为y= e 2x .2. y 2dx+(x+1)dy=0 并求满足初始条件:x=0,y=1的特解。
解:y 2dx=-(x+1)dy2ydy dy=-11+x dx两边积分: -y1=-ln|x+1|+ln|c| y=|)1(|ln 1+x c另外y=0,x=-1也是原方程的解 x=0,y=1时 c=e 特解:y=|)1(|ln 1+x c3.dxdy =yx xy y321++解:原方程为:dx dy =yy 21+31xx +yy 21+dy=31xx +dx两边积分:x(1+x 2)(1+y 2)=cx 24. (1+x)ydx+(1-y)xdy=0 解:原方程为:yy -1dy=-xx 1+dx两边积分:ln|xy|+x-y=c另外 x=0,y=0也是原方程的解。
5.(y+x )dy+(x-y)dx=0 解:原方程为:dxdy =-yx y x +-令xy =u 则dx dy =u+x dxdu 代入有:-112++uu du=x1dxln(u 2+1)x=c-2arctgu 即 ln(y 2+x 2)=c-2arctg 2xy .6. xdxdy -y+22y x -=0解:原方程为:dx dy =xy +x x ||-2)(1xy -则令xy =u dxdy =u+ xdxdu211u- du=sgnx x1dxarcsinxy =sgnx ln|x|+c7. tgydx-ctgxdy=0 解:原方程为:tgydy =ctgxdx两边积分:ln|siny|=-ln|cosx|-ln|c| siny=xc cos 1=xc cos 另外y=0也是原方程的解,而c=0时,y=0.所以原方程的通解为sinycosx=c. 8dxdy +yexy 32+=0解:原方程为:dxdy =yey2e x 32 ex3-3e2y-=c.9.x(lnx-lny)dy-ydx=0 解:原方程为:dx dy =xy lnx y令xy =u ,则dxdy =u+ xdxduu+ xdxdu =ulnuln(lnu-1)=-ln|cx| 1+lnxy =cy.10.dxdy =e y x -解:原方程为:dxdy =e x e y -e y =ce x11dxdy =(x+y)2解:令x+y=u,则dxdy =dxdu -1dxdu -1=u 2211u+du=dxarctgu=x+c arctg(x+y)=x+c12.dxdy =2)(1y x +解:令x+y=u,则dxdy =dxdu -1dxdu -1=21uu-arctgu=x+c y-arctg(x+y)=c. 13.dxdy =1212+-+-y x y x解: 原方程为:(x-2y+1)dy=(2x-y+1)dx xdy+ydx-(2y-1)dy-(2x+1)dx=0 dxy-d(y 2-y)-dx 2+x=c xy-y 2+y-x 2-x=c14: dxdy =25--+-y x y x解:原方程为:(x-y-2)dy=(x-y+5)dx xdy+ydx-(y+2)dy-(x+5)dx=0 dxy-d(21y 2+2y)-d(21x 2+5x)=0y 2+4y+x 2+10x-2xy=c. 15:dxdy =(x+1) 2+(4y+1) 2+8xy 1+解:原方程为:dx dy=(x+4y )2+3 令x+4y=u 则dxdy=41dxdu -4141dx du -41=u 2+3dxdu =4 u 2+13u=23tg(6x+c)-1tg(6x+c)=32(x+4y+1).16:证明方程y x dxdy =f(xy),经变换xy=u 可化为变量分离方程,并由此求下列方程:1) y(1+x 2y 2)dx=xdy2) y x dxdy =2222x -2 y x 2y+证明: 令xy=u,则x dxdy +y=dxdu则dxdy =x 1dxdu -2xu ,有:u x dxdu =f(u)+1)1)((1+u f u du=x1dx所以原方程可化为变量分离方程。
习题1.21.dxdy=2xy,并满足初始条件:x=0,y=1的特解。
解:ydy=2xdx 两边积分有:ln|y|=x 2+c y=e2x +e c =cex 2另外y=0也是原方程的解,c=0时,y=0原方程的通解为y= cex 2,x=0 y=1时 c=1 特解为y= e 2x .2. y 2dx+(x+1)dy=0 并求满足初始条件:x=0,y=1的特解。
解:y 2dx=-(x+1)dy2y dy dy=-11+x dx两边积分: -y1=-ln|x+1|+ln|c| y=|)1(|ln 1+x c另外y=0,x=-1也是原方程的解 x=0,y=1时 c=e 特解:y=|)1(|ln 1+x c3.dx dy =yx xy y 321++解:原方程为:dxdy =y y 21+31x x + y y 21+dy=31x x +dx 两边积分:x(1+x 2)(1+y 2)=cx 24. (1+x)ydx+(1-y)xdy=0 解:原方程为:y y -1dy=-xx 1+dx两边积分:ln|xy|+x-y=c另外 x=0,y=0也是原方程的解。
5.(y+x )dy+(x-y)dx=0解:原方程为:dx dy =-yx y x +-令xy=u 则dx dy =u+x dx du 代入有:-112++u u du=x 1dxln(u 2+1)x 2=c-2arctgu 即 ln(y 2+x 2)=c-2arctg 2xy. 6. xdxdy-y+22y x -=0 解:原方程为:dx dy =x y +xx ||-2)(1x y -则令xy=u dx dy =u+ x dx du211u - du=sgnxx1dx arcsinxy=sgnx ln|x|+c 7. tgydx-ctgxdy=0 解:原方程为:tgy dy =ctgxdx 两边积分:ln|siny|=-ln|cosx|-ln|c| siny=x c cos 1=xccos 另外y=0也是原方程的解,而c=0时,y=0.所以原方程的通解为sinycosx=c.8 dx dy +ye x y 32+=0 解:原方程为:dx dy =ye y 2e x 32 ex3-3e2y -=c.9.x(lnx-lny)dy-ydx=0 解:原方程为:dx dy =x y ln xy令x y=u ,则dx dy =u+ x dx duu+ xdxdu=ulnu ln(lnu-1)=-ln|cx| 1+lnxy=cy. 10.dxdy =e yx - 解:原方程为:dxdy =e x e y- e y=ce x11dxdy =(x+y)2解:令x+y=u,则dx dy =dxdu -1 dx du -1=u 2211u +du=dx arctgu=x+c arctg(x+y)=x+c12.dx dy =2)(1y x + 解:令x+y=u,则dx dy =dxdu -1dx du -1=21uu-arctgu=x+c y-arctg(x+y)=c. 13.dx dy =1212+-+-y x y x 解: 原方程为:(x-2y+1)dy=(2x-y+1)dx xdy+ydx-(2y-1)dy-(2x+1)dx=0 dxy-d(y 2-y)-dx 2+x=cxy-y 2+y-x 2-x=c14:dx dy =25--+-y x y x 解:原方程为:(x-y-2)dy=(x-y+5)dx xdy+ydx-(y+2)dy-(x+5)dx=0dxy-d(21y 2+2y)-d(21x 2+5x)=0 y 2+4y+x 2+10x-2xy=c.15: dxdy=(x+1) 2+(4y+1) 2+8xy 1+ 解:原方程为:dxdy=(x+4y )2+3令x+4y=u 则dx dy =41dx du -4141dx du -41=u 2+3 dx du=4 u 2+13 u=23tg(6x+c)-1 tg(6x+c)=32(x+4y+1).16:证明方程y x dxdy=f(xy),经变换xy=u 可化为变量分离方程,并由此求下列方程: 1) y(1+x 2y 2)dx=xdy2) y x dx dy =2222x -2 y x 2y+ 证明: 令xy=u,则x dx dy +y=dxdu 则dx dy =x 1dx du -2x u,有:u x dxdu=f(u)+1)1)((1+u f u du=x1dx所以原方程可化为变量分离方程。
常微分方程课后习题答案常微分方程课后习题答案在学习常微分方程的过程中,课后习题是巩固知识和提高能力的重要环节。
通过解答习题,我们可以更好地理解和应用所学的概念和方法。
下面是一些常见的常微分方程习题及其答案,供大家参考。
一、一阶常微分方程1. 求解方程:dy/dx = 2x。
解:对方程两边同时积分,得到y = x^2 + C,其中C为常数。
2. 求解方程:dy/dx = x^2 - 1。
解:对方程两边同时积分,得到y = (1/3)x^3 - x + C,其中C为常数。
3. 求解方程:dy/dx = 3x^2 + 2。
解:对方程两边同时积分,得到y = x^3 + 2x + C,其中C为常数。
二、二阶常微分方程1. 求解方程:d^2y/dx^2 + 4dy/dx + 4y = 0。
解:首先求解特征方程:r^2 + 4r + 4 = 0,解得r = -2。
因此,方程的通解为y = (C1 + C2x)e^(-2x),其中C1和C2为常数。
2. 求解方程:d^2y/dx^2 + 2dy/dx + y = x^2。
解:首先求解特征方程:r^2 + 2r + 1 = 0,解得r = -1。
因此,方程的通解为y = (C1 + C2x)e^(-x) + (1/6)x^2 - (1/2)x + (1/2),其中C1和C2为常数。
3. 求解方程:d^2y/dx^2 + 3dy/dx + 2y = e^(-x)。
解:首先求解特征方程:r^2 + 3r + 2 = 0,解得r = -1和r = -2。
因此,方程的通解为y = (C1e^(-x) + C2e^(-2x)) + (1/3)e^(-x),其中C1和C2为常数。
三、应用题1. 一个物体在空气中的速度满足以下方程:dv/dt = -9.8 - 0.1v,其中v为速度,t为时间。
求物体的速度随时间的变化情况。
解:这是一个一阶线性常微分方程。
将方程改写为dv/(9.8 + 0.1v) = -dt,再两边同时积分,得到ln|9.8 + 0.1v| = -t + C,其中C为常数。
常微分方程习题及解答一、问答题:1.常微分方程和偏微分方程有什么区别?微分方程的通解是什么含义?答:微分方程就是联系着自变量,未知函数及其导数的关系式。
常微分方程,自变量的个数只有一个。
偏微分方程,自变量的个数为两个或两个以上。
常微分方程解的表达式中,可能包含一个或几个任意常数,若其所包含的独立的任意常数的个数恰好与该方程的阶数相同,这样的解为该微分方程的通解。
2.举例阐述常数变易法的基本思想。
答:常数变易法用来求线性非齐次方程的通解,是将线性齐次方程通解中的任意常数变易为待定函数来求线性非齐次方程的通解。
例:求()()dyP x y Q x dx=+的通解。
首先利用变量分离法可求得其对应的线性齐次方程的通解为()P x dxy c ⎰=l ,然后将常数c 变易为x 的待定函数()c x ,令()()P x dxy c x ⎰=l ,微分之,得到()()()()()P x dxP x dx dy dc x c x P x dx dx⎰⎰=+l l ,将上述两式代入方程中,得到 ()()()()()()()()()P x dxP x dx P x dxdc x c x P x dx c x P x Q x ⎰⎰+⎰=+l l l即()()()P x dx dc x Q x dx-⎰=l 积分后得到()()()P x dxc x Q x dx c -⎰=+⎰%l 进而得到方程的通解()()(())P x dxP x dxy Q x dx c -⎰⎰=+⎰%l l3.高阶线性微分方程和线性方程组之间的联系如何?答:n 阶线性微分方程的初值问题()(1)11(1)01020()...()()()(),(),....()n n n n n nx a t xa t x a t x f t x t x t x t ηηη---'⎧++++=⎪⎨'===⎪⎩ 其中12()(),...(),()n a t a t a t f t ,是区间a tb ≤≤上的已知连续函数,[]0,t a b ∈,12,,...,n ηηη是已知常数。
第十二章常微分方程(A)一、就是非题1.任意微分方程都有通解。
()2.微分方程的通解中包含了它所有的解。
()3.函数y=3sin x-4cos x就是微分方程y''+y=0的解。
()4.函数y=x2⋅e x就是微分方程y''-2y'+y=0的解。
()5.微分方程xy'-ln x=0的通解就是y=12(ln x)2+C(C为任意常数)。
(6.y'=sin y就是一阶线性微分方程。
()7.y'=x3y3+xy不就是一阶线性微分方程。
()8.y''-2y'+5y=0的特征方程为r2-2r+5=0。
()9.dydx=1+x+y2+xy2就是可分离变量的微分方程。
()二、填空题1.在横线上填上方程的名称①(y-3)⋅ln xdx-xdy=0就是。
②(xy2+x)dx+(y-x2y)dy=0就是。
③x dydx=y⋅lnyx就是。
④xy'=y+x2sin x就是。
⑤y''+y'-2y=0就是。
2.y'''+sin xy'-x=cos x的通解中应含个独立常数。
3.y''=e-2x的通解就是。
4.y''=sin2x-cos x的通解就是。
5.xy'''+2x2y'2+x3y=x4+1就是阶微分方程。
6.微分方程y⋅y''-(y')6=0就是阶微分方程。
7.y=1x所满足的微分方程就是。
)8.y '=9.2y的通解为。
x dx dy +=0的通解为。
y x5dy 2y 10.-=(x +1)2,其对应的齐次方程的通解为。
dx x +111.方程xy '-(1+x 2)y =0的通解为。
12.3阶微分方程y '''=x 3的通解为。
三、选择题1.微分方程xyy ''+x (y ')-y 4y '=0的阶数就是( )。
第十二章常微分方程(A)、是非题1.任意微分方程都有通解。
()2 •微分方程的通解中包含了它所有的解。
()3. 函数y =3si nx-4cosx是微分方程y,y=0的解。
()4. 函数y = x2・e x是微分方程y';"-2y ' y = 0的解。
()5. 微分方程xy"T nx=0的通解是y =丄(1 nx)2+C (C为任意常数)。
()26. y"=siny是一阶线性微分方程。
()7. / = x3y3 xy不是一阶线性微分方程。
()8 . /-2/ 5^0的特征方程为『-2—5=0。
()9. dy = 1 x y2 xy2是可分离变量的微分方程。
()dx、填空题1 .在横线上填上方程的名称①y _ 3 ln xdx _ xdy 二0 是__________________________ 。
②xy2 x dx y _ x2 y dy = 0 是__________________________ 。
③x-d^ = y l n 丫是。
dx x④xy := y x2 sin x 是__________________ 。
⑤y y -2y =0是________________________ 。
2 . y si nxy"-x=cosx的通解中应含____________ 个独立常数。
3. _____________________________________ y “ = e Qx的通解是。
4. ______________________________________ y = sin 2x - cos x 的通解是。
5. _______________________________ x^ 2x2y 2,x3y=x4,1是阶微分方程。
6•微分方程y y - y Q =0是________________ 阶微分方程。
i7. y-丄所满足的微分方程是。
第十二章常微分方程(A)7. y=-所满足的微分方程是x、是非题 1•任意微分方程都有通解。
() 2.微分方程的通解中包含了它所有的解。
() 3.函数y =3sinx —4cosx 是微分方程y" + y=0的解。
( ) 4.函数y=x 2 ■e x 是微分方程y"-2y ,+y=0的解。
()1 25.微分方程xy'-1 n X = 0的通解是j In x ) +C (C 为任意常数)。
() 6.y' 7. y'8. y 9. dydx 、填空题=sin y 是一阶线性微分方程。
() = x 3y 3+xy 不是一阶线性微分方程。
() -2/ +5y=0 的特征方程为 r 2-2 r + 5=0。
(= 1+x + y 2 +xy 2是可分离变量的微分方程。
() 1.在横线上填上方程的名称 ①(y -3 H n xdx-xdy =0 是 ②(xy 2 +x dx + (y - X 2y dy = 0是 2. 3.4. 5. ③x —.ln y 是 dx x ④ xy’ = y +x 2sinx 是y ^+sin xy’—x =cosx 的通解中应含y =sin2x -cosx 的通解是 xy'" + 2x 2y"2 +x 3y = x 4 +1是6.微分方程yry"-(y '6 =0是个独立常数。
阶微分方程。
阶微分方程。
12. 3阶微分方程yJx 3的通解为三、选择题1 .微分方程xyy "+x (y ,3-y 4y = 0的阶数是() A. 3 B . 4 C . 5 D . 22 .微分方程 厂-x 2y"-x 5=1的通解中应含的独立常数的个数为()。
A. 3 B . 5 C . 4 DA . y = 2xB . y = X 2C .24 .微分方程y'=3y 3的一个特解是()。
一、 填空题。
1. 方程23210d xx dt +=是 阶 (线性、非线性)微分方程. 2. 方程()x dyf xy y dx=经变换_______,可以化为变量分离方程 .3. 微分方程3230d yy x dx--=满足条件(0)1,(0)2y y '==的解有 个. 4. 设常系数方程x y y y e αβγ'''++=的一个特解*2()x x xy x e e xe =++,则此方程的系数α= ,β= ,γ= .5. 朗斯基行列式()0W t ≡是函数组12(),(),,()n x t x t x t L 在a x b ≤≤上线性相关的条件.6. 方程22(2320)0xydx x y dy ++-=的只与y 有关的积分因子为 .7. 已知()X A t X '=的基解矩阵为()t Φ的,则()A t = .8. 方程组20'05⎡⎤=⎢⎥⎣⎦x x 的基解矩阵为 .9.可用变换 将伯努利方程 化为线性方程.10 .是满足方程251y y y y ''''''+++= 和初始条件 的唯一解.11.方程 的待定特解可取 的形式:12. 三阶常系数齐线性方程20y y y '''''-+=的特征根是二、 计算题1.求平面上过原点的曲线方程, 该曲线上任一点处的切线与切点和点(1,0)的连线相互垂直.2.求解方程13dy x y dx x y +-=-+.3. 求解方程222()0d x dxx dt dt+= 。
4.用比较系数法解方程. .5.求方程 sin y y x'=+的通解.6.验证微分方程22(cos sin )(1)0x x xy dx y x dy -+-=是恰当方程,并求出它的通解.7.设3124A -⎡⎤=⎢⎥-⎣⎦ , ⎥⎦⎤⎢⎣⎡-=11η ,试求方程组X A dt dX =的一个基解基解矩阵)(t Φ,求X A dtdX=满足初始条件η=)0(x 的解.8. 求方程2213dyx y dx=-- 通过点(1,0) 的第二次近似解.9.求 的通解10.若 试求方程组的解(),t ϕ 12(0),ηϕηη⎡⎤==⎢⎥⎣⎦并求expAt三、证明题1. 若(),()t t Φψ是()X A t X '=的基解矩阵,求证:存在一个非奇异的常数矩阵C ,使得()()t t C ψ=Φ.2. 设),()(0βαϕ≤≤x x x 是积分方程],[,,])([)(0200βαξξξξ∈++=⎰x x d y y x y xx的皮卡逐步逼近函数序列)}({x n ϕ在],[βα上一致收敛所得的解,而)(x ψ是这积分方程在],[βα上的连续解,试用逐步逼近法证明:在],[βα上)()(x x ϕψ≡.3. 设 都是区间 上的连续函数, 且 是二阶线性方程的一个基本解组. 试证明:(i) 和 都只能有简单零点(即函数值与导函数值不能在一点同时为零);(ii) 和 没有共同的零点;(iii) 和 没有共同的零点.4.试证:如果)(t ϕ是AX dtdX=满足初始条件ηϕ=)(0t 的解,那么ηϕ)(ex p )(0t t A t -=.答案一.填空题。
常微分试题及答案一、选择题1. 若微分方程 dy/dx = 3x^2,则它的通解为:A. y = x^3 + CB. y = x^2 + CC. y = x^3/3 + CD. y = x^4/2 + C答案:C2. 设 y = e^x 是微分方程 dy/dx - y = 0 的解,则该微分方程的通解为:A. y = e^xB. y = e^(2x)C. y = e^(3x)D. y = e^(4x)答案:A3. 设 y = x^2 是齐次微分方程 y'' - y' - 2y = 0 的解,则该微分方程的通解为:A. y = x^2B. y = x^2 + CC. y = e^x + CD. y = e^(2x) + C答案:B二、计算题1. 解微分方程 dy/dx = 2x + 1,并求出满足初始条件 y(0) = 1 的特解。
解:对微分方程进行分离变量得:dy = (2x + 1)dx两边同时积分得:∫dy = ∫(2x + 1)dxy = x^2 + x + C代入初始条件 y(0) = 1 得:1 = 0^2 + 0 + CC = 1特解为:y = x^2 + x + 12. 求微分方程 y'' + 2y' + y = 0 的通解。
解:首先设通解为 y = e^(rx),带入微分方程得:r^2e^(rx) + 2re^(rx) + e^(rx) = 0化简得:e^(rx)(r^2 + 2r + 1) = 0由指数函数的性质可知,e^(rx) 不等于 0,因此:r^2 + 2r + 1 = 0求解这个二次方程得:r = -1 (二重根)所以,通解为 y = (C1 + C2x)e^(-x)三、应用题有一容器中装有某种细菌,已知初始时刻容器中有 1000 个细菌,随着时间的推移,细菌的数量的变化率与它们的数量成正比。
经实验测得 2 小时后细菌的数量增加到 2000 个。
常微分方程练习试卷一、23210d x x dt += ()x dy f xy y dx=_______ 3230d y y x dx--=(0)1,(0)2y y '== x y y y e αβγ'''++=*2()x x x y x e e xe =++α=β=γ=()0W t ≡12(),(),,()n x t x t x t L a x b ≤≤22(2320)0xydx x y dy ++-=y()X A t X '=()t Φ()A t =20'05⎡⎤=⎢⎥⎣⎦x x251y y y y ''''''+++=20y y y '''''-+=二、13dy x y dx x y +-=-+ 222()0d x dx x dt dt+=sin y y x '=+22(cos sin )(1)0x x xy dx y x dy -+-=3124A -⎡⎤=⎢⎥-⎣⎦⎥⎦⎤⎢⎣⎡-=11ηX A dt dX =)(t ΦX A dt dX =η=)0(x2213dyx y dx =--(1,0)(),t ϕ12(0),ηϕηη⎡⎤==⎢⎥⎣⎦expAt(),()t t Φψ()X A t X '=C ()()t t C ψ=Φ),()(0βαϕ≤≤x x x],[,,])([)(0200βαξξξξ∈++=⎰x x d y y x y xx )}({x n ϕ],[βα)(x ψ],[βα],[βα)()(x x ϕψ≡)(t ϕAX dt dX=ηϕ=)(0t ηϕ)(ex p )(0t t A t -=u xy =11(()1)du dx u f u x =+3,2,1αβγ=-==-3y 1()()t t -'ΦΦ25 00tAt t e e e ⎡⎤=⎢⎥⎣⎦13dy x y dx x y +-=-+ 10,30x y x y +-=⎧⎨-+=⎩1,2x y =-=1,2,x y ξη=-⎧⎨=+⎩ .d d ηξηξξη+=-z ηξ=2(1)1z dz d z ξξ-=+21arctan ln(1)ln ||2z z C ξ-+=+2arctanln 1y C x -=+ 222()0d x dx x dt dt+= ,直接计算可得,于是原方程化为 ,故有或,积分后得,即,所以 就是原方程的通解,这里为任意常数。
常微分方程练习试卷及答案常微分方程练试卷一、填空题。
1.方程d2x/dt2+1=是二阶非线性微分方程。
2.方程xdy/ydx=f(xy)经变换ln|x|=g(xy)可以化为变量分离方程。
3.微分方程d3y/dx3-y2-x=0满足条件y(0)=1,y'(0)=2的解有一个。
4.设常系数方程y''+αy'+βy=γex的一个特解y(x)=e-x+e2x,则此方程的系数α=-1,β=2,γ=1.5.朗斯基行列式W(t)≠0是函数组x1(t),x2(t)。
xn(t)在[a,b]上线性无关的条件。
6.方程xydx+(2x2+3y2-20)dy=0的只与y有关的积分因子为1/y3.7.已知X'=A(t)X的基解矩阵为Φ(t),则A(t)=Φ(t)-1dΦ(t)/dt。
8.方程组x'=[2,5;1,0]x的基解矩阵为[2e^(5t),-5e^(5t);e^(5t),1]。
9.可用变换将伯努利方程y'+p(x)y=q(x)化为线性方程。
10.方程y''-y'+2y=2e^x的通解为y(x)=C1e^x+C2e^2x+e^x。
11.方程y'''+2y''+5y'+y=1和初始条件y(0)=y'(0)=y''(0)=0的唯一解为y(x)=e^-x/2[sin(5^(1/2)x/2)-cos(5^(1/2)x/2)]。
12.三阶常系数齐线性方程y'''-2y''+y=0的特征根是1,1,-1.二、计算题1.设曲线方程为y(x)=kx/(1-k^2),则曲线上任一点处的斜率为y'(x)=k/(1-k^2),切点为(0,0),切线方程为y=kx,点(1,0)的连线斜率为-1/k,因此k=-1,曲线方程为y=-x/(1+x)。
第十二章 常微分方程(A)一、是非题1.任意微分方程都有通解。
( )2.微分方程的通解中包含了它所有的解。
( )3.函数x x y cos 4sin 3-=是微分方程0=+''y y 的解。
( )4.函数x e x y ⋅=2是微分方程02=+'-''y y y 的解。
( )5.微分方程0ln =-'x y x 的通解是()C x y +=2ln 21(C 为任意常数)。
() 6.y y sin ='是一阶线性微分方程。
( )7.xy y x y +='33不是一阶线性微分方程。
( )8.052=+'-''y y y 的特征方程为0522=+-r r 。
( )9.221xy y x dx dy+++=是可分离变量的微分方程。
( )二、填空题1.在横线上填上方程的名称①()0ln 3=-⋅-xdy xdx y 是 。
②()()022=-++dy y x y dx x xy 是 。
③x yy dx dyx ln ⋅=是 。
④x x y y x sin 2+='是 。
⑤02=-'+''y y y 是 。
2.x x y x y cos sin =-'+'''的通解中应含 个独立常数。
3.x e y 2-=''的通解是 。
4.x x y cos 2sin -=''的通解是 。
5.124322+=+'+'''x y x y x y x 是 阶微分方程。
6.微分方程()06='-''⋅y y y 是 阶微分方程。
7.y 1=所满足的微分方程是 。
8.x y y 2='的通解为 。
9.0=+xdy y dx 的通解为 。
10.()25112+=+-x x y dx dy ,其对应的齐次方程的通解为 。
11.方程()012=+-'y x y x 的通解为 。
12.3阶微分方程3x y ='''的通解为 。
三、选择题1.微分方程()043='-'+''y y y x y xy 的阶数是( )。
A .3 B .4 C .5 D . 22.微分方程152=-''-'''x y x y 的通解中应含的独立常数的个数为( )。
A .3B .5C .4D . 23.下列函数中,哪个是微分方程02=-xdx dy 的解( )。
A .x y 2=B .2x y =C .x y 2-=D . x y -=4.微分方程323y y ='的一个特解是( )。
A .13+=x yB .()32+=x yC .()2C x y +=D . ()31x C y += 5.函数x y cos =是下列哪个微分方程的解( )。
A .0=+'y yB .02=+'y yC .0=+y y nD . x y y cos =+'' 6.x x e C e C y -+=21是方程0=-''y y 的( ),其中1C ,2C 为任意常数。
A .通解B .特解C .是方程所有的解D . 上述都不对7.y y ='满足2|0==x y 的特解是( )。
A .1+=x e yB .x e y 2=C .22x e y ⋅= D . x e y ⋅=38.微分方程x y y sin =+''的一个特解具有形式( )。
A .x a y sin *=B .x a y cos *⋅=C .()x b x a x y cos sin *+=D . x b x a y sin cos *+=9.下列微分方程中,( )是二阶常系数齐次线性微分方程。
A .02=-''y yB .032=+'-''y y x yC .045=-''x yD . 012=+'-''y y10.微分方程0=-'y y 满足初始条件()10=y 的特解为( )。
A .x eB .1-x eC .1+x eD . x e -211.在下列函数中,能够是微分方程0=+''y y 的解的函数是( )。
A .1=yB .x y =C .x y sin =D . x e y =12.过点()3,1且切线斜率为x 2的曲线方程()x y y =应满足的关系是( )。
A .x y 2='B .x y 2=''C .x y 2=',()31=yD . x y 2='',()31=y13.下列微分方程中,可分离变量的是( )。
A .e x y dx dy =+ B .()()y b a x k dxdy --=(k ,a ,b 是常数) C .x y dx dy =-sin D . x e y xy y ⋅=+'2 14.方程02=-'y y 的通解是( )。
A .x y sin =B .x e y 24⋅=C .x e C y 2⋅=D .x e y =15.微分方程0=+xdy y dx 满足4|3==x y 的特解是( )。
A .2522=+y x B .C y x =+43 C .C y x =+22 D .722=-y x 16.微分方程01=⋅-y xdx dy 的通解是=y ( )。
A .x C B .Cx C .C x+1 D . C x + 17.微分方程0=+'y y 的解为( )。
A .x eB .x e -C .x x e e -+D . x e -18.下列函数中,为微分方程0=+ydy xdx 的通解是( )。
A .C y x =+B .C y x =+22 C .0=+y CxD . 02=+y Cx19.微分方程02=-dx ydy 的通解为( )。
A .C x y =-2B .C x y =- C .C x y +=D .C x y +-=20.微分方程xdx ydy sin cos =的通解是( )。
A .C y x =+cos sinB .C x y =-sin cosC .C y x =-sin cosD . C y x =+sin cos21.x e y -=''的通解为=y ( )。
A .x e --B .x e -C .21C x C e x ++-D .21C x C e x ++--22.按照微分方程通解定义,x y sin =''的通解是( )。
A .21sin C x C x ++-B .21sinC C x ++-C .21sin C x C x ++D . 21sin C C x ++四、解答题1.验证函数x x e e C y 23--+⋅=(C 为任意常数)是方程y e dxdy x 32-=-的通解,并求出满足初始条件0|0==x y 的特解。
2.求微分方程()()⎩⎨⎧==-++=1|011022x y dy x y dx y x 的通解和特解。
解:C xy =-+2211,1222=+y x 3.求微分方程x y x y dx dy tan +=的通解。
解:Cx xy =sin 。
4.求微分方程⎪⎩⎪⎨⎧=+='=2|1x y x y y x y 的特解。
解:()2ln 222+=x x y 。
5.求微分方程x e x y y sin cos -=⋅+'的通解。
解:()C x e y x +=-sin6.求微分方程x x y dx dy sin =+的通解。
解:()C x x x x y +-=cos sin 17.求微分方程()()⎪⎩⎪⎨⎧==+--'+=1|0121027x y x y y x 的特解。
解:()()223131132+⎥⎦⎤⎢⎣⎡++=x x y 8.求微分方程122+'=''x x y y 满足初始条件0=x ,1=y ,3='y 的特解。
解:133++=x x y 9.求微分方程y y y '=''2满足初始条件0=x ,1=y ,2='y 的特解。
解:4arctan π+=x y 或⎪⎭⎫ ⎝⎛+=4tan πx y 10.验证二元方程C y xy x =+-22所确定的函数为微分方程()y x y y x -='-22的解。
11.求微分方程()()0=++-++dy e e dx e e y y x x y x 的通解。
解:()()C e e y x =-+1112.求x x y dxdy sec tan =⋅-,0|0==x y 的特解。
解:x x y cos = 13.验证x y ωcos 1=,x y ωsin 2=都是02=+''y y ω的解,并写出该方程的通解。
14.求微分方程xx y y 22-='的通解。
解:x x Cx y ln 22-=15.求微分方程01=++'x e y xy 满足初始条件()01=y 的特解。
解:ex x e y x-= 16.求微分方程()3112+=+-x y x dx dy 的通解。
解:()()⎥⎦⎤⎢⎣⎡+++=C x x y 2112217.求微分方程011=+-+dy xy dx y x 满足条件()10=y 的特解。
解:()()5322233=-+-x y x y18.求微分方程02=-'+''y y y 的通解。
解:x x e C e C y 221-+=19.求微分方程052=+'+''y y y 的通解。
解:()x C x C e y x 2sin 2cos 21+=-20.求微分方程044=+'+''y y y 的通解。
解:()x e x C C y 221-+=21.试求x y =''的经过点()1,0M 且在此点与直线12+=x y 相切的积分曲线。
解:121613++=x x y (B)一、是非题1.可分离变量微分方程不都是全微分方程。
( )2.若()x y 1,()x y 2都是()()x Q y x P y =+'的特解,且()x y 1与()x y 2线性无关,则通解可表为()()()()[]x y x y C x y x y 211-+=。