拉扎维模拟CMOS集成电路设计_习题答案(第3章节)
- 格式:pdf
- 大小:9.70 MB
- 文档页数:37
拉扎维模拟CMOS集成电路设计第三章作业答案详解完整版教程解析1. 引言在拉扎维模拟CMOS集成电路设计第三章的作业中,涉及了多个内容,包括放大电路、反馈放大电路、功率放大电路等。
本文将对这些内容进行详细的解析和讲解,并给出相应的答案。
2. 放大电路放大电路是电子电路中非常常见且重要的一种电路结构。
在本章的作业中,我们需要设计一个放大电路,并回答一些相关问题。
2.1 放大电路设计根据作业要求,我们需要设计一个放大电路,输入信号为正弦波,放大倍数为10倍。
我们可以选择使用CMOS集成电路来实现这个放大电路。
首先,我们需要根据放大倍数和输入信号的幅度来确定CMOS放大电路的电路参数。
在设计过程中,我们需要考虑一些关键因素,包括电流源、负反馈电阻等。
其次,我们可以选择合适的电路拓扑结构,例如共源共栅放大电路、共源共漏放大电路等。
根据实际情况,我们可以选择合适的电路结构。
最后,我们需要进行电路参数的计算和电路的仿真。
通过计算和仿真,我们可以得到放大电路的性能指标,例如增益、截止频率等。
2.2 放大电路问题解答在作业中,还需要回答一些问题,例如输入电阻、输出电阻、频率响应等。
针对这些问题,我们需要根据放大电路的拓扑结构和电路参数做相应的计算和分析。
例如,输入电阻可以通过计算输入端的电流和电压之比得到;输出电阻可以通过计算输出端的电流和电压之比得到;频率响应可以通过对放大电路进行交流分析得到。
总的来说,放大电路的设计和问题解答需要综合考虑多个因素,包括电路参数、电路结构、输入信号的幅度、负载等。
需要进行一系列的计算和仿真,以得到满足要求的电路性能。
3. 反馈放大电路反馈放大电路是一种常见的电路结构,它可以通过引入反馈回路来改善电路性能,例如增益稳定性、线性度等。
在作业中,我们需要设计一个反馈放大电路,并回答一些相关问题。
3.1 反馈放大电路设计根据作业要求,我们需要设计一个反馈放大电路,输入信号为正弦波,放大倍数为20倍。
第三章3.3(a)113150,20.511100.1105000||10||23D o D out o D W R k L r k I R r R k k -⎛⎫==Ω,λ=0, ⎪⎝⎭===Ω,λ⨯===Ω,311 5.181210,8.6353,m v m out g A g R -==⨯=-∙=-(b) M 1工作在线性区的边缘时,()()3312112430.7,30.7 3.7,2102101,23.71 1.34225101000.721021.137out GS TH GS DD out GS GSD D n OXGS TH D GS GSGS V V V V V V V V I R W I C V V L V V V V----=-=---+-===⨯⨯⎛⎫=μ- ⎪⎝⎭-∴=⨯⨯⨯-⨯∴= ∴此时,()24311 1.34225101001.1370.7 1.28151102D I A --=⨯⨯⨯-=⨯31313333113 5.865310,17.8100.1 1.2815110(||) 5.865310(7.810||210)9.337432 1.2815100.4369m o v m o D Dsat g r A g r R V V----==⨯==⨯Ω⨯⨯=-=-⨯⨯⨯==-⨯⨯=,(c) M 1进入线性区50mV 时,()33332150100.436950100.3869,30.3869 1.306510,210,2DS Dsat DD DS D D DS D n OXGS TH DS V V V V V I R V W I C V V V L ---=-⨯=-⨯=--===⨯⨯⎡⎤⎛⎫=μ-- ⎪⎢⎥⎝⎭⎣⎦()()234114311140.30691.306510 1.34225101000.70.3869,21.145,,1.34225101000.3869 5.194210,,11.34225101GS GS D m n OX DS GS m Don n OXGS TH DS DSon V V V I W g C V V L g I W R C V V V V L R ------⎡⎤⨯=⨯⨯--⎢⎥⎣⎦⇒=∂⎛⎫==μ ⎪∂⎝⎭∴=⨯⨯⨯=⨯∂⎛⎫==μ-- ⎪∂⎝⎭⇒=⨯⨯()()3333 1.283510,001.1450.70.38695.194210 1.283510||2104v A -=⨯Ω--=-⨯⨯⨯=-3.15(a) 设V in =0时M 1工作在饱和区。
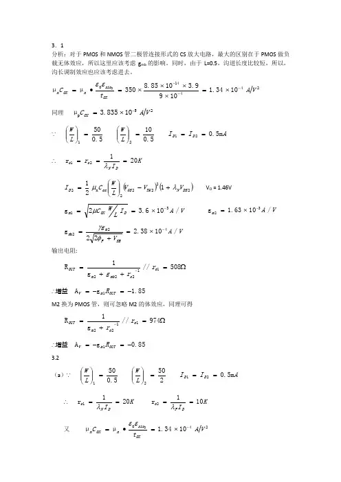
3.1分析:对于PMOS 和NMOS 管二极管连接形式的CS 放大电路,最大的区别在于PMOS 做负载无体效应,所以这里应该考虑g mb 的影响。
同时,由于L=0.5,沟道长度比较短,所以,沟长调制效应也应该考虑进去。
2441401034.11099.31085.8350μμ2V A t C OX sio n OXn ---⨯=⨯⨯⨯⨯=•=εε 同理 25p 10835.3μV A C OX -⨯=∵ 5.0501=⎪⎪⎭⎫⎝⎛L W 5.0102=⎪⎪⎭⎫ ⎝⎛L W A I I D D m 5.021== ∴ K I r DN o o 201r 21===λ()()22222n 2121DS N TH GS ox D V V V L W C I λμ+-⎪⎪⎭⎫ ⎝⎛= V O = 1.46V V A I LWC D OX m /106.32g 31-⨯==μ VA m /1063.1g 32-⨯=V A V g SBF m m /1038.222g 422b -⨯=+=φγ输出电阻:Ω=++=-508//g 1R 11222o o mb m OUT r r g∴增益 85.1g A 1-=-=OUT m V RM2换为PMOS 管,则可忽略M2的体效应,同理可得Ω=+=-974//g 1R 1122o o m OUT r r∴增益 85.0g A 1-=-=OUT m V R3.2 (a )∵ 5.0501=⎪⎪⎭⎫⎝⎛L W 2502=⎪⎪⎭⎫ ⎝⎛L W A I I D D m 5.021== ∴ K I DN o 201r 1==λ K I DP o 101r 2==λ又 2401034.1μμ2V A t C OXsion OX n -⨯=•=εε∴ V A I LWC D OX m /106.32g 31-⨯==μ∴增益 ()4.24//r g A 211-=-=o o m V r(b )求输出电压的最大摆幅及求输出电压最大值与最小值之差 分析可知,当M1管处于临界三极管区时输出电压有最小值V omin ,此时有:11TH GS DS OUT V V V V -==()()DS N TH GS ox D V V V L W C I λμ+-⎪⎪⎭⎫ ⎝⎛=121211n 有以上两式可推得 V omin =0.27当M2管处于临界三极管区是输出电压有最大值V omax ,同理有:()()SDP TH GS ox D V V V L W C I λμ+-⎪⎪⎭⎫ ⎝⎛=121222pV SDMIN = 0.99 ∴ V omax = V DD -V SDMIN = 2V ∴输出电压的最大摆幅为V omax - V omin = 1.73V3.3 (a )∵5.050=⎪⎪⎭⎫⎝⎛L W A I D m 11= Ω=K R D 2∴K I DN o 101r ==λK R D o OUT 66.1//r R 1==V A I LWC D OX m /1018.52g 31-⨯==μ∴ 增益 86.0g A 1-=-=OUT m V R (b )∵M1工作在线性区边缘 ∴ TH GS DS OUT V V V V -==1()DOUTDD THGS ox D R V V V V L W C I -=-⎪⎪⎭⎫ ⎝⎛=21n 21μ由以上两式可得 V V GS 13.1= , A I D 3-1028.1⨯= ∴K I DN o 8.71r ==λ∴ 增益 ()34.9//r g A 1-=-=Do m V R(c )各区域主要由DS V 决定,进入线性区50mV 即三极管临界区的DS V 减小50mV ∵ 临界区的V R I V V D D DD DS 44.0=-= 所以进入线性区50mV 时的DS V =0.39V∴A R V V I DDSDD D 3103.1-⨯=-==∴ ()()V V V V V V L W C I GS DS DS TH GS ox D 14.122121n =⇒--⎪⎪⎭⎫ ⎝⎛=μ又∵ 三极管区 19.5g 1n =⎪⎪⎭⎫⎝⎛=DS ox m V L W C μ()K R V V V L W C V I R O DS TH GS ox DS D O28.111n 1=⇒--⎪⎪⎭⎫⎝⎛=∂∂=-μ ∴增益 ()4//R g A -=-=Do m V R3.12分析:已知各支路电流及M1宽长比,可求得M1过驱动电压即out V ,从而由M2的gsV 及电流可求得其宽长比。
CORRECTIONS TO SOLUTIONS MANUALIn the new edition, some chapter problems have been reordered and equations and figure refer-ences have changed. The solutions manual is based on the preview edition and therefore must be corrected to apply to the new edition. Below is a list reflecting those changes.The “NEW” column contains the problem numbers in the new edition. If that problem was origi-nally under another number in the preview edition,that number will be listed in the“PREVIEW”column on the same line.In addition,if a reference used in that problem has changed,that change will be noted under the problem number in quotes. Chapters and problems not listed are unchanged.For example:NEW PREVIEW--------------4.18 4.5“Fig. 4.38” “Fig. 4.35”“Fig. 4.39” “Fig. 4.36”The above means that problem4.18in the new edition was problem4.5in the preview edition.To find its solution, look up problem 4.5 in the solutions manual. Also, the problem 4.5 solution referred to “Fig. 4.35” and “Fig. 4.36” and should now be “Fig. 4.38” and “Fig. 4.39,” respec-tively._____________________________________________________________________________ CHAPTER 3NEW PREVIEW--------------3.1 3.83.2 3.93.3 3.113.4 3.123.5 3.133.6 3.143.7 3.15“From 3.6” “From 3.14”3.8 3.163.9 3.173.10 3.183.11 3.193.12 3.203.13 3.213.14 3.223.15 3.13.16 3.23.17 3.2’3.18 3.33.19 3.43.20 3.53.21 3.63.22 3.73.23 3.103.24 3.233.25 3.243.26 3.253.27 3.263.28 3.273.29 3.28 CHAPTER 4NEW PREVIEW--------------4.1 4.124.2 4.134.3 4.144.4 4.154.5 4.164.6 4.174.7 4.18“p. 4.6” “p. 4.17”4.8 4.194.9 4.204.10 4.214.11 4.224.12 4.234.13 4.24“p. 4.9” “p. 4.20”4.14 4.1“(4.52)” “(4.51)”“(4.53)” “(4.52)”4.15 4.24.16 4.34.17 4.44.18 4.5“Fig. 4.38” “Fig. 4.35”“Fig. 4.39” “Fig. 4.36”4.19 4.6“Fig 4.39(c)” “Fig 4.36(c)”4.20 4.74.21 4.84.22 4.94.23 4.104.24 4.114.25 4.254.26 4.26“p. 4.9” “p. 4.20”CHAPTER 5NEW PREVIEW--------------5.1 5.165.2 5.175.3 5.185.4 5.195.5 5.205.6 5.215.7 5.225.8 5.235.9 5.15.10 5.25.11 5.35.12 5.45.13 5.55.14 5.65.15 5.75.16 5.85.17 5.95.18 5.10“Similar to 5.18(a)” “Similar to 5.10(a)”5.19 5.115.20 5.125.21 5.135.22 5.145.23 5.15CHAPTER 6NEW PREVIEW--------------6.1 6.76.2 6.86.3 6.9“from eq(6.23)” “from eq(6.20)”6.4 6.106.5 6.11“eq (6.52)” “eq (6.49)”6.6 6.16.7 6.26.8 6.36.9 6.46.10 6.56.11 6.66.13 6.13“eq (6.56)” “eq (6.53)”“problem 3” “problem 9”6.16 6.16“to (6.23) & (6.80)” “to (6.20) & (6.76)”6.17 6.17“equation (6.23)” “equation (6.20)”CHAPTER 7NEW PREVIEW--------------7.27.2“eqn. (7.59)” “eqn. (7.57)”7.177.17“eqn. (7.59)” “eqn. (7.57)7.197.19“eqns 7.66 and 7.67” “eqns 7.60 and 7.61”7.217.21“eqn. 7.66” “eqn. 7.60”7.227.22“eqns 7.70 and 7.71” “eqns. 7.64 and 7.65”7.237.23“eqn. 7.71” “eqn. 7.65”7.247.24“eqn 7.79” “eqn 7.73”CHAPTER 8NEW PREVIEW--------------8.18.58.28.68.38.78.48.88.58.98.68.108.78.118.88.18.98.28.108.38.118.48.138.13“problem 8.5” “problem 8.9”CHAPTER 13NEW PREVIEW--------------3.17 3.17“Eq. (3.123)” “Eq. (3.119)”CHAPTER 14 - New Chapter, “Oscillators”CHAPTER 15 - New Chapter, “Phase-Locked Loops”CHAPTER 16 - Was Chapter 14 in Preview Ed.Change all chapter references in solutions manual from 14 to 16. CHAPTER 17 - Was Chapter 15 in Preview Ed.Change all chapter references in solutions manual from 15 to 17. CHAPTER 18 - Was Chapter 16 in Preview Ed.NEW PREVIEW--------------18.316.3“Fig. 18.12(c)” “Fig. 16.13(c)”18.816.8“Fig. 18.33(a,b,c,d)” “Fig. 16.34(a,b,c,d)”Also, change all chapter references from 16 to 18.。
拉扎维教材第三章答案中文版(纯手写)
PART1
最近重新温习拉扎维,参考英文版答案顺便教材手动整理下教材课后习题,部分习题加入了一些自己得想法与备注、欢迎各位学弟学妹下载,不过请不要照抄答案!因为没有扫描仪器,用手机照得相片。
这一部分就是第三章作业得前一半得题目,也请大家尊重本人劳动成果,可以下载,但请不要随意下载后再上传,谢谢大家!
PART2
另外3、11题目可参考3.10
注明:如有错误之处欢迎指正、在我得百度账号下留言即可:清风一鹤。
PART3
答案照片在下面
↓↓↓↓↓↓↓↓↓↓↓↓↓↓↓↓↓↓↓↓↓↓↓↓↓↓↓↓↓↓↓↓↓↓↓↓↓↓↓。
拉扎维教材第三章答案中文版(纯手写)PART1最近重新温习拉扎维,参考英文版答案顺便教材手动整理下教材课后习题,部分习题加入了一些自己的想法和备注。
欢迎各位学弟学妹下载,不过请不要照抄答案!因为没有扫描仪器,用手机照的相片。
这一部分是第三章作业的前一半的题目,也请大家尊重本人劳动成果,可以下载,但请不要随意下载后再上传,谢谢大家!PART2另外3.11题目可参考3.10注明:如有错误之处欢迎指正。
在我的百度账号下留言即可:淸风-鹤。
PART3答案照片在下面学习参考3.1Vk■DesignCAlftS Inie^rajl-ec/LCircuits/rVU 由歆率■爲-岛椎卑可昏 Mi匕足=予*尹II 心认5二禅啻口°° MmH 琢 R)血'/ A v = -jwiRcv^t1*(加2 、了”从 丰。
Y"O 2.= MIoi = o f * (o.tsxto-i)髭=Toooon = 2o 匕rz. ( Y QK= r ox )①K O 20如不君原沟代调制效锂 一________ 才心 二」2〃”G 』翌Lio :二球 2x|.3毎225W叶 x zox o.^xfoR (•佔Mo ・3 A/V③曲公式• 1。
丄=±U»Gx 使J) ( V 々S2 - V TH J ) 2(J+ 入 2 Vos J.^TH a — Vwo + 0 (J|2靳十 Vsd -」P@F I )V&S2 = V PD — Vocdr 》VoS^ 二 7g ■ Vc>at z Vss^ — V^4r 4=] loi e峑)x (Q Q -\4«xt — \Z THO — /(打施时十 -」卜亦)x (片入2( V OD - V CTIA H 丿)B',l可 0占 3 = * 2牛225XQ " * 2ox (3-皿-0.7-0•約Qo.'十圧-J 。
CORRECTIONS TO SOLUTIONS MANUALIn the new edition, some chapter problems have been reordered and equations and figure refer-ences have changed. The solutions manual is based on the preview edition and therefore must be corrected to apply to the new edition. Below is a list reflecting those changes.The “NEW” column contains the problem numbers in the new edition. If that problem was origi-nally under another number in the preview edition,that number will be listed in the“PREVIEW”column on the same line.In addition,if a reference used in that problem has changed,that change will be noted under the problem number in quotes. Chapters and problems not listed are unchanged.For example:NEW PREVIEW--------------4.18 4.5“Fig. 4.38” “Fig. 4.35”“Fig. 4.39” “Fig. 4.36”The above means that problem4.18in the new edition was problem4.5in the preview edition.To find its solution, look up problem 4.5 in the solutions manual. Also, the problem 4.5 solution referred to “Fig. 4.35” and “Fig. 4.36” and should now be “Fig. 4.38” and “Fig. 4.39,” respec-tively._____________________________________________________________________________ CHAPTER 3NEW PREVIEW--------------3.1 3.83.2 3.93.3 3.113.4 3.123.5 3.133.6 3.143.7 3.15“From 3.6” “From 3.14”3.8 3.163.9 3.173.10 3.183.11 3.193.12 3.203.13 3.213.14 3.223.15 3.13.16 3.23.17 3.2’3.18 3.33.19 3.43.20 3.53.21 3.63.22 3.73.23 3.103.24 3.233.25 3.243.26 3.253.27 3.263.28 3.273.29 3.28 CHAPTER 4NEW PREVIEW--------------4.1 4.124.2 4.134.3 4.144.4 4.154.5 4.164.6 4.174.7 4.18“p. 4.6” “p. 4.17”4.8 4.194.9 4.204.10 4.214.11 4.224.12 4.234.13 4.24“p. 4.9” “p. 4.20”4.14 4.1“(4.52)” “(4.51)”“(4.53)” “(4.52)”4.15 4.24.16 4.34.17 4.44.18 4.5“Fig. 4.38” “Fig. 4.35”“Fig. 4.39” “Fig. 4.36”4.19 4.6“Fig 4.39(c)” “Fig 4.36(c)”4.20 4.74.21 4.84.22 4.94.23 4.104.24 4.114.25 4.254.26 4.26“p. 4.9” “p. 4.20”CHAPTER 5NEW PREVIEW--------------5.1 5.165.2 5.175.3 5.185.4 5.195.5 5.205.6 5.215.7 5.225.8 5.235.9 5.15.10 5.25.11 5.35.12 5.45.13 5.55.14 5.65.15 5.75.16 5.85.17 5.95.18 5.10“Similar to 5.18(a)” “Similar to 5.10(a)”5.19 5.115.20 5.125.21 5.135.22 5.145.23 5.15CHAPTER 6NEW PREVIEW--------------6.1 6.76.2 6.86.3 6.9“from eq(6.23)” “from eq(6.20)”6.4 6.106.5 6.11“eq (6.52)” “eq (6.49)”6.6 6.16.7 6.26.8 6.36.9 6.46.10 6.56.11 6.66.13 6.13“eq (6.56)” “eq (6.53)”“problem 3” “problem 9”6.16 6.16“to (6.23) & (6.80)” “to (6.20) & (6.76)”6.17 6.17“equation (6.23)” “equation (6.20)”CHAPTER 7NEW PREVIEW--------------7.27.2“eqn. (7.59)” “eqn. (7.57)”7.177.17“eqn. (7.59)” “eqn. (7.57)7.197.19“eqns 7.66 and 7.67” “eqns 7.60 and 7.61”7.217.21“eqn. 7.66” “eqn. 7.60”7.227.22“eqns 7.70 and 7.71” “eqns. 7.64 and 7.65”7.237.23“eqn. 7.71” “eqn. 7.65”7.247.24“eqn 7.79” “eqn 7.73”CHAPTER 8NEW PREVIEW--------------8.18.58.28.68.38.78.48.88.58.98.68.108.78.118.88.18.98.28.108.38.118.48.138.13“problem 8.5” “problem 8.9”CHAPTER 13NEW PREVIEW--------------3.17 3.17“Eq. (3.123)” “Eq. (3.119)”CHAPTER 14 - New Chapter, “Oscillators”CHAPTER 15 - New Chapter, “Phase-Locked Loops”CHAPTER 16 - Was Chapter 14 in Preview Ed.Change all chapter references in solutions manual from 14 to 16. CHAPTER 17 - Was Chapter 15 in Preview Ed.Change all chapter references in solutions manual from 15 to 17. CHAPTER 18 - Was Chapter 16 in Preview Ed.NEW PREVIEW--------------18.316.3“Fig. 18.12(c)” “Fig. 16.13(c)”18.816.8“Fig. 18.33(a,b,c,d)” “Fig. 16.34(a,b,c,d)”Also, change all chapter references from 16 to 18.。
拉扎维模拟CMOS集成电路设计第三章作业答案详解完整版教程解析第一题题目:请解释拉扎维模拟CMOS集成电路设计的主要目标。
拉扎维模拟CMOS集成电路设计的主要目标是通过集成电路设计技术来实现高性能、低功耗、低噪声、高稳定性的模拟电路。
具体目标包括:1.高性能:通过优化电路结构和参数,提高电路的增益、带宽和速度,以满足高性能模拟信号处理需求。
2.低功耗:采用低功耗设计技术,减少功耗和电源电压,提高电路的能效比,延长电池寿命。
3.低噪声:通过降低噪声源和优化电路设计,减少电路的噪声,并提高信号与噪声比,以提高电路的信号处理能力。
4.高稳定性:通过减小电路参数的变化范围、提高电路对温度、工艺和电源电压的抵抗能力,提高电路的稳定性和可靠性。
综合上述目标,拉扎维模拟CMOS集成电路设计致力于设计出符合实际需求,并具有良好性能、可靠性和可实施性的模拟电路。
第二题题目:什么是负载效应?在拉扎维模拟CMOS集成电路中如何考虑负载效应?负载效应是指当负载改变时,电路的工作条件和性能表现发生变化的现象。
在拉扎维模拟CMOS集成电路中,考虑负载效应是非常重要的。
拉扎维模拟CMOS集成电路中,电路的输入和输出之间会存在阻抗差异,从而导致在连接电路之间引入额外的电容和电阻负载。
这些负载对电路的工作状态产生影响,可能导致增益降低、频率响应偏移、功耗增加等问题。
为了考虑负载效应,在拉扎维模拟CMOS集成电路设计中,需要进行以下步骤:1.电路参数分析:通过计算和仿真,分析电路的输入和输出阻抗,确定电路的负载情况。
2.负载效应补偿:根据负载效应分析结果,采取一系列补偿措施来消除或减小负载效应对电路性能的影响。
例如,可以通过优化电路的结构或参数来改变电路的负载特性,使其更符合设计要求。
3.电路稳定性分析:在设计过程中,还需要对电路的稳定性进行分析。
如果负载效应较大,可能会导致电路的振荡或不稳定现象。
通过稳定性分析,可以预测和避免这些问题的发生。
3.1阐发:对PMOS 和NMOS 管二极管连接形式的CS 放年夜电路,最年夜的区别在于PMOS 做负载无体效应,所以这里应该考虑gmb 的影响。
同时,由于L=0.5,沟道长度比较短,所以,沟长调制效应也应该考虑进去。
同理 25p 10835.3μV A C OX-⨯=∵ 5.0501=⎪⎪⎭⎫⎝⎛L W5.0102=⎪⎪⎭⎫ ⎝⎛L W A I I D D m 5.021== ∴ K I r DN o o 201r 21===λ()()22222n 2121DS N TH GS ox D V V V L W C I λμ+-⎪⎪⎭⎫ ⎝⎛=VO = 1.46V 输出电阻: ∴增益85.1g A 1-=-=OUT m VRM2换为PMOS 管,则可忽略M2的体效应,同理可得 ∴增益85.0g A 1-=-=OUT m V R3.2(a )∵ 5.0501=⎪⎪⎭⎫⎝⎛L W2502=⎪⎪⎭⎫ ⎝⎛L W A I I D D m 5.021== ∴ K I DN o 201r 1==λK I DP o 101r 2==λ又2401034.1μμ2V A t C OXsion OXn -⨯=•=εε∴ V A I LWC D OX m /106.32g 31-⨯==μ∴增益()4.24//r g A 211-=-=o o m Vr(b )求输出电压的最年夜摆幅及求输出电压最年夜值与最小值之差阐发可知,当M1管处于临界三极管区时输出电压有最小值Vomin ,此时有:有以上两式可推得 Vomin=0.27当M2管处于临界三极管区是输出电压有最年夜值Vomax ,同理有:VSDMIN = 0.99 ∴Vomax=VDDVSDMIN = 2V ∴输出电压的最年夜摆幅为VomaxVomin= 1.73V 3.3(a )∵5.050=⎪⎪⎭⎫⎝⎛L WA I D m 11=Ω=K R D 2 ∴K I DN o101r ==λ∴ 增益86.0g A 1-=-=OUT m VR(b )∵M1工作在线性区边沿 ∴ TH GS DS OUTV V V V -==1由以上两式可得VV GS 13.1=, A I D3-1028.1⨯=∴ ∴ 增益()34.9//r g A 1-=-=D o m VR(c )各区域主要由DS V 决定,进入线性区50mV 即三极管临界区的DS V 减小50mV ∵ 临界区的V R I V V D D DD DS44.0=-=所以进入线性区50mV 时的DS V =0.39V ∴ A R V V I DDSDD D 3103.1-⨯=-==∴ ()()V V V V V V L W C I GS DS DS TH GS ox D14.122121n =⇒--⎪⎪⎭⎫ ⎝⎛=μ又∵ 三极管区19.5g 1n =⎪⎪⎭⎫⎝⎛=DS ox m V L W C μ∴增益()4//R g A -=-=D o m V R3.12阐发:已知各支路电流及M1宽长比,可求得M1过驱动电压即out V ,从而由M2的gs V 及电流可求得其宽长比。