河北省专接本考试真题 2019高等数学二
- 格式:doc
- 大小:148.00 KB
- 文档页数:2
河北省2012年普通高校专科接本科教育选拔考试《数学(二)》(财经类、管理类)试卷 (考试时间60分钟)说明:请将答案填写在答题纸的相应位置上,填在其它位置上无效。
一、单项选择题(本大题共10小题,每小题3分,共30分,在每小题给出的四个备选项中,选出一个正确的答案,并将所选项前面的字母填写在答题纸的相应位置上,填写在其它位置上无效) 1、函数)1ln(22-+-+=x e x x y 的定义域为( )A .[-1,2]B (0,2] C. (-1,2] D.],0(+∞2.极限=-→x xx x 3sin tan lim 0( ) A .-2 B.0 C.2 D.33.若函数00021)(1=⎪⎩⎪⎨⎧≥+<⎪⎭⎫ ⎝⎛-=x x ax x x x f x在出连续,则=a ( ) A .e B.e1 C.e D.e1 4.由方程1=-yxe y 所确定的隐函数)(x y y =的导数=dxdy( ). A.y y e xe 1- B.y y e xe -1 C.1-y y xe e D.yy xee -1 5.区间( )是函数22x ey -=单调递减的凸区间。
A .)1,(--∞ B.(-1,0) C.(0,1)D.(1,∞+)6.定积分dx x x ⎰-++112311=( ) A .0 B.2 C.2πD.π 7.函数22y y x z +=在点(2,1)处的全微分12==y x dz=( )A .dy y x xydx )2(22++ B.xydy dx y x 2)2(2++ C.dy dx 46+ D.dy dx 64+8.幂级数∑∞=⋅-12)2(n n nn x 在区间( )内是收敛的。
A .)21,21(- B.)25,23(- C.(0,4) D.(-2,2) 9.微分方程1-='y y 满足初始条件20==x y的特解是( )A .xce y +=1 B.xe y +=1 C. xe y 2= D.xey -+=110.行列式=4210003012302011( )A.-18B.-6C.6D.18二.填空题(本大题共5小题,每小题4分,共20分,将答案写在答题纸的相应位置上,填写在其它的位置上无效)11.若函数xxe x f 2)(=,则⎰=''dx x f x )( 。
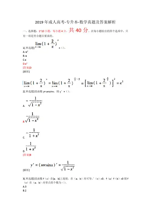
2019年成人高考-专升本-数学真题及答案解析第Ⅰ卷(选择题,共40分)得分评卷人一选择题:1-10小题,每小题4分,共40分,在每小题给出的四个选项中,只有一项是符合题目要求的1[.单选题]当x→0时,x+x2+x3+x4为x的()。
A.等价无穷小B.2价无穷小C.3价无穷小D.4价无穷小[答案]A[解析],故x+x2+x3+x4是x的等价无穷小。
2[.单选题]=()。
A.-e2B.-eC.eD.e2[答案]D[解析]。
3[.单选题]设函数y=cos2x,则y’=()。
A.y=2sin2xB.y=-2sin2xC.y=sin2xD.y=-sin2x[答案]B[解析]y’=(cos2x)’=-sin2x·(2x)’=-2sin2x。
4[.单选题]设函数f(x)在[a,b]上连续,在(a,b)内可导,f’(x)>0,f (a)f(b)<0则f(x)在(a,b)内零点的个数为()。
A.3B.2C.1D.0[答案]C[解析]由零点存在定理可知,f(x)在(a,b)上必有零点,且函数是单调函数,故其在(a,b)上只有一个零点。
5[.单选题]设2x为f(x)的一个原函数,则f(x)=()。
A.0B.2C.x2D.x2+C[答案]B[解析]2x为f(x)的一个原函数,对f(x)积分后为2x,则f(x)=2。
6[.单选题]设函数(x)=arctanx,则=()。
A.-arctanx+CB.C.arctanx+CD.[答案]C[解析]7[.单选题]设,则()。
A.I1>I2>I3B.I2>I3>I1C.I3>I2>I1D.I1>I3>I2[答案]A[解析]在区间(0,1)内,有x2>x3>x4,由积分的性质可知,即I1>I2>I3。
8[.单选题]设函数z=x2e y,则=()。
A.0B.C.1D.2[答案]D[解析],带入数值结果为2。
河北省专接本考试真题2019⾼等数学⼆河北省2019年普通⾼校专科接本科教育选拔考试《⾼等数学(⼆)》(考试时间60分钟)(总分100分)⼀、单项选择题 (本⼤题共10⼩题, 每⼩题3分, 共30分. 在每⼩题给出的四个备选项中, 选出⼀个正确的答案, 并将所选项前⾯的字母填写在答题纸的相应位置上)1.函数121)1ln(2-+-=x x y 的定义域为(). A .)1,1(- B.??? ??1,21 C.??? ??-21,1 D. ??-21,21 2.下列说法正确的是() A.11sin lim =∞→x x x B.11sin lim 0=→x x x C.1sin lim =∞→x x x D.1cos 1lim 0=-→xx x 3.()=-→x x x 21lim () A .21-e B.21e C.2-e D.2e4. 设)1ln()(2x x f +=,则='')0(f ()A .0 B.1 C. 2 D. 35. 由⽅程e xy e y=-所确定的隐函数的导数=dxdy (). A . x e y y - B.x e y y + C. x e x y - D. x e x y + 6.函数12+-=x x y ,下列描述正确的是()A .y 在()1,0内单调增加 B. y 在()+∞,1内单调减少C. y 在()+∞,0内有极⼤值0)1(=fD. y 在()+∞,0内有极⼩值0)1(=f7.微分⽅程x e y dxdy -=+通解为(). A .)(c x e y x += B.)(c x e y x +=- C .x ce y -= D.)(c x e y x +-=- 8.⼆元函数y x e z 22+=的全微分dz=()A.()dxdy e xe y x y x 222222+++B.dy e dx xe y x y x 2222+++C.dy e dx xe y x y x 222222+++D.dy e dx e yx y x 222222+++ 9. 下列级数中收敛的是().A .∑∞=11n n B. n n e ∑∞=??? ??13 C. nn e ∑∞=??? ??13 D. ∑∞=+-111n n n 10.矩阵-1132341201211111的秩是() A .1 B. 2 C. 3 D.4⼆、填空题(本⼤题共5⼩题, 每⼩题4分, 共20分. 将答案填写在答题纸的相应位置上)11.参数⽅程-=+=tt y t x arctan )1ln(2所确定的导数=dx dy 12.=?→3020sin lim x dt t x x _____________13. 设,5031,031321= =B A ,则=B A T _________ 14.微分⽅程xy dx dy 2=在11==x y 时的特解为 15.幂级数∑∞=-11n n nx的和函数为 .三.计算题(本⼤题共4⼩题,每⼩题10分,共40分。
2019年成人高等学校招生全国统一考试高等数学(二)第一部分 选择题(共40分)一、选择题:1~10小题,每小题4分,共40分。
1. lim x→+∞(1+2x )x=( ) A. −e 2 B. −e C. e D. e 22. 设函数y =arcsinx ,则y ‘=( )A. √1−x 2B. √1−x 2C. −11+x 2D. 11+x 23. 设函数f(x)在[a,b]上连续,在(a,b)可导,f ‘(x )>0,f (a )f (b )<0,则f(x)在 (a,b)零点的个数为( )A. 3B. 2C. 1D. 04. 设函数y =x 3+e x ,则y (4)=( )A. 0B. e xC. 2+e xD. 6+e x 5. d dx ∫11+x 2dx =( ) A. arctanx B. arccotx C.11+x 2 D. 06. ∫cos2x dx =( ) A. 12sin2x +C B. −12sin2x +C C. 12cos2x +C D. −12cos2x +C7. ∫(2x +1)3dx =10( )A. −10B. −8C. 8D. 108. 设函数z =(x −y)10,则 ∂z ∂x =( )A. (x −y)10B. −(x −y)10C. 10(x −y)9D. −10(x −y)99. 设函数z =2(x,y )−x 2−y 2,则其极值点为( )A. (0,0)B. (−1,1)C. (1,1)D. (1,−1)10. 设离散型随机变量X 的概率分布为则a =( )A. 0.1B. 0.2C. 0.3D. 0.4第二部分 非选择题(共110分)二、填空题:11~20小题,每小题4分,共40分。
11. 当x →0时,f(x)与3x 是等价无穷小,则limx→0f(x)x = . 12. lim x→0e 2x −1x = .13. 设函数f (x )=2则f ’(1)= .14. 设x 2为f(x)的一个原函数,则f (x )= .15. 设函数y =lnsinx , 则dy = .16. ∫1x 2dx = . 17. √x√x= . 18. ∫(xcos 2x +2)dx =1−1 .19. 设函数z =e yx ,ð2zðxðy = . 20. 设函数z =sinx ∙lny ,则dz = .三、解答题21~28题,共70分21. 计算limx→∞x 2−x 2x 2+1.22. 设函数f (x )=x 1+x 2,则f ’(x ).23. 计算23.24. 计算∫1xln 3x +∞edx .25. 一个袋中有10个乒乓球,其中7个橙色,3个白色,从中任取2个,设事件A 为“所取的2个乒乓球颜色不同”,求事件A 发生的概率P (A ).26. 设函数f (x )=ax 3+bx 2+cx 在x =2处取得极值,点(1.−1)为曲线的拐点,求a,b,c .27. 已知函数f (x ) 的导函数连续,且f (1)=0,∫xf (x )dx =410,求∫x 2f ‘(x )dx 10.28. 设函数z =1x −1y ,证明:x 2ðz ðx +y 2ðz ðy =0.参考答案:一、选择题:1~10小题,每小题4分,共40分。
2017年河北省专接本高等数学(二)真题试卷(题后含答案及解析) 题型有:1. 选择题 2. 填空题 4. 解答题 5. 综合题选择题在每小题给出的四个选项中,只有一项是符合要求的。
1.函数y=的定义域为( )A.(一∞,一1)B.(1,2)C.(一∞,2)D.(一∞,一1)U(1,2)正确答案:D解析:考查函数的定义域.由可得。
2.下列结论正确的是( )A.B.C.D.正确答案:C解析:考查第二个重要极限.由==e。
3.函数y=的第二类间断点为( )A.x=一4B.x=4C.x=2D.x=一2正确答案:B解析:考查间断点的类型,=∞。
4.设y=xlnx ,则= ( )A.B.C.D.正确答案:A解析:考查高阶导数的求法,y′=lnx+1,,,y(4)=…y(8)=5.由方程xy=所确定的隐函数y的导数为( )A.B.C.D.正确答案:B解析:考查隐函数求导。
令F(x,y)=xy一e7x+y,Fx′(x,y)=y一7e7x+y,Fy′(x,y)=x一e7x+y由隐函数求导公式可得结果。
6.关于函数y=2X+(x>0)的单调性,下列描述正确的是( )A.y在(0,+∞)内单调增加B.y在[4,+∞)内单调增加C.y在[4,+∞)内单调增减少D.y在(0,+∞)内单调减少正确答案:B解析:考查函数单调区间的判断.当x∈[4,+∞)时,y′=2>0。
7.=( )A.-ln2B.ln2C.D.正确答案:D解析:考查广义积分的计算。
==—=8.设Z=,则全微分dz=( )A.B.C.D.正确答案:D解析:考查全微分的计算。
=,=,由全微分定义可得。
9.下列级数中绝对收敛的是( )A.B.C.D.正确答案:C解析:考查级数收敛性的判断。
=收敛。
A,D条件收敛,B 发散。
10.四阶行列式的值为( )A.一lB.1C.一2D.2正确答案:A解析:考查行列式的计算。
由行列式性质及按行(列)展开可得。
填空题11.=_________。
2019专升本高数题库(含历年真题)章节练习极限、连续1、【单项选择】当x一0时,与3x2+2x3等价的无穷小量是( ).正确答案:B2、【单项选择】正确答案:B3、【单项选择】正确答案:B 4、【单项选择】ABCD正确答案:B 5、【单项选择】B 1C正确答案:D6、【单项选择】当 x一0时,kx是sinx的等价无穷小量,则k等于( )正确答案:B7、【单项选择】正确答案:A8、【单项选择】正确答案:C 9、【单项选择】正确答案:B 10、【单项选择】正确答案:A 11、【单项选择】正确答案:D 12、【单项选择】正确答案:D 13、【单项选择】ABCD正确答案:B1、【案例分析】正确答案:2、【案例分析】正确答案:所给极限为重要极限公式形式.可知3、【案例分析】正确答案:4、【案例分析】正确答案:5、【案例分析】正确答案:6、【案例分析】当x一0时f(x)与sin 2x是等价无穷小量,则正确答案:由等价无穷小量的定义可知【评析】判定等价无穷小量的问题,通常利用等价无穷小量的定义与极限的运算.7、【案例分析】正确答案:8、【案例分析】正确答案:9、【案例分析】正确答案:10、【案例分析】正确答案:11、【案例分析】正确答案:a=012、【案例分析】正确答案:13、【案例分析】正确答案:一元函数微分学1、【单项选择】正确答案:B2、【单项选择】设函数f(x)=COS 2x,则f′(x)=( ).正确答案:B3、【单项选择】设正确答案:B4、【单项选择】曲线Y=x-3在点(1,1)处的切线的斜率为( )正确答案:C5、【单项选择】设y=lnx,则y″等于( )正确答案:D6、【单项选择】设Y=e-3x,则dy等于( ).正确答案:C7、【单项选择】设函数f(x)在[0,b]连续,在(a,b)可导,f′(x)>0.若f(a)·f(b)<0,则y=f(x)正确答案:B8、【单项选择】设,y=COSx,则y′等于( )(1分)正确答案:A 9、【单项选择】正确答案:A 10、【单项选择】正确答案:B11、【单项选择】正确答案:B12、【单项选择】正确答案:D13、【单项选择】设,f(x)在点x0处取得极值,则( )ABCD正确答案:A14、【单项选择】设Y=e-5x,则dy=( )正确答案:A15、【单项选择】曲线y=x3+1在点(1,2)处的切线的斜率为( )正确答案:C16、【单项选择】曲线y=x3+1在点(1,2)处的切线的斜率为( )正确答案:C17、【单项选择】设 y=2^x,则dy等于( )正确答案:D18、【单项选择】正确答案:A19、【单项选择】正确答案:D20、【单项选择】设Y=sinx+COSx,则dy等于( ).(1分)正确答案:C1、【案例分析】求函数f(x)=x3-3x+1的单调区间和极值正确答案:注意函数的定义域为2、【案例分析】正确答案:3、【案例分析】设抛物线Y=1-x2与x轴的交点为A、B,在抛物线与x轴所围成的平面区域内,以线段AB为下底作内接等腰梯形ABCD(如图2—1所示).设梯形上底CD长为2x,面积为S(x).(1)写出S(x)的表达式;(2)求S(x)的最大值正确答案:4、【案例分析】求函数的极大值与极小值.正确答案:5、【案例分析】设Y=y((x)满足2y+sin(x+y)=0,求y ′正确答案:将2y+sin(x+y)=0两边对x求导,得6、【案例分析】求函数的单调区间和极值正确答案:函数的定义域为函数f(x)的单调减区间为(-∞,0],函数f(x)的单调增区间为[0,+∞);f(0)=2为极小值.7、【案例分析】证明:正确答案:【评析】8、【案例分析】求函数y=x-lnx的单调区间,并求该曲线在点(1,1)处的切线l的方程.正确答案:【评析】求函数f(x)的单调区间,应先判定函数的定义域.求出函数的驻点,即y′=0的点;求出y的不可导的点,再找出y′>0时x的取值范围,这个范围可能是一个区间,也可能为几个区间求曲线在点(1,3)处的切线方程曲线方程为,点因此所求曲线方程为或写为设Y=2ex-1则y″=e-x正确答案:11、【案例分析】正确答案:12、【案例分析】设y=2x2+ax+3在点x=1取得极小值,则a=_____正确答案:设y=fx)可导,点a0=2为fx)的极小值点,且f2)=3,则曲线y=f(x)在点(2,3)处的切线方程为______.正确答案:由于y=f(x)可导,点x0=2为f(x)的极小值点,由极值的必要条件可知f′(2)=0.曲线y=fx)在点(2,3)处的切线方程为y-3=f′(2)(x-2)=0,即y=3为所求切线方程14、【案例分析】设Y=xsinx,求Y′正确答案:15、【案例分析】设Y=y((x)满足2y+sin(x+y)=0,求y ′正确答案:将2y+sin(x+y)=0两边对x求导,得16、【案例分析】求函数的单调区间和极值正确答案:函数的定义域为函数f(x)的单调减区间为(-∞,0],函数f(x)的单调增区间为[0,+∞);f(0)=2为极小值.17、【案例分析】正确答案:一元函数微分学1、【单项选择】正确答案:B 2、【单项选择】正确答案:B设正确答案:B正确答案:C5、【单项选择】设y=lnx,则y″等于( )正确答案:D正确答案:C7、【单项选择】设函数f(x)在[0,b]连续,在(a,b)可导,f′(x)>0.若f(a)·f(b)<0,则y=f(x)正确答案:B8、【单项选择】正确答案:A 9、【单项选择】正确答案:A 10、【单项选择】正确答案:B 11、【单项选择】正确答案:B 12、【单项选择】正确答案:D13、【单项选择】ABCD正确答案:A正确答案:A 15、【单项选择】正确答案:C 16、【单项选择】正确答案:C正确答案:D18、【单项选择】求函数f(x)=x3-3x+1的单调区间和极值正确答案:注意函数的定义域为【评析】判定f(x)的极值,如果x0为f(x)的驻点或不可导的点,可以考虑利用极值的第一充分条件判定.但是当驻点处二阶导数易求时,可以考虑利用极值的第二充分条件判定.2、【案例分析】正确答案:3、【案例分析】设抛物线Y=1-x2与x轴的交点为A、B,在抛物线与x轴所围成的平面区域内,以线段AB为下底作内接等腰梯形ABCD(如图2—1所示).设梯形上底CD长为2x,面积为S(x).(1)写出S(x)的表达式;(2)求S(x)的最大值正确答案:4、【案例分析】求函数的极大值与极小值.正确答案:5、【案例分析】设Y=y((x)满足2y+sin(x+y)=0,求y ′正确答案:将2y+sin(x+y)=0两边对x求导,得6、【案例分析】求函数的单调区间和极值正确答案:函数的定义域为函数f(x)的单调减区间为(-∞,0],函数f(x)的单调增区间为[0,+∞);f(0)=2为极小值.7、【案例分析】证明:正确答案:【评析】8、【案例分析】求函数y=x-lnx的单调区间,并求该曲线在点(1,1)处的切线l的方程.正确答案:9、【案例分析】求曲线在点(1,3)处的切线方程曲线方程为,点因此所求曲线方程为或写为设Y=2ex-1则y″=e-x正确答案:11、【案例分析】正确答案:12、【案例分析】设y=2x2+ax+3在点x=1取得极小值,则a=_____正确答案:13、【案例分析】设y=fx)可导,点a0=2为fx)的极小值点,且f2)=3,则曲线y=f(x)在点(2,3)处的切线方程为______.正确答案:由于y=f(x)可导,点x0=2为f(x)的极小值点,由极值的必要条件可知f′(2)=0.曲线y=fx)在点(2,3)处的切线方程为y-3=f′(2)(x-2)=0,即y=3为所求切线方程14、【案例分析】设Y=xsinx,求Y′正确答案:一元函数积分学1、【单项选择】正确答案:C 2、【单项选择】ABCD正确答案:D 3、【单项选择】正确答案:A 4、【单项选择】正确答案:B 5、【单项选择】正确答案:A 6、【单项选择】ABCD正确答案:B 7、【单项选择】正确答案:A 8、【单项选择】正确答案:B9、【单项选择】BD正确答案:D 10、【单项选择】正确答案:C 11、【单项选择】正确答案:C 12、【单项选择】正确答案:D 13、【单项选择】正确答案:C 14、【单项选择】正确答案:D 15、【单项选择】正确答案:D 16、【单项选择】正确答案:B 17、【单项选择】正确答案:A 18、【单项选择】等于( )正确答案:D 19、【单项选择】正确答案:A 1、【案例分析】正确答案:2、【案例分析】正确答案:3、【案例分析】正确答案:4、【案例分析】正确答案:5、【案例分析】正确答案:6、【案例分析】正确答案:7、【案例分析】(1)求曲线Y=ex及直线x=1,x=O,y=0所围成的平面图形(如图3—3所示)的面积A.(2)求(1)中平面图形绕x轴旋转一周所得旋转体的体积Vx(1分)正确答案:8、【案例分析】【评析】定积分的分部积分运算u,u'的选取原则,与不定积分相同.只需注意不要忘记积分限.如果被积函数中含有根式,需先换元,再利用分部积分.正确答案:。
河北省 2019 年一般高校专科接本科教育选拔考试《高等数学(一)》(考试时间 60 分钟)(总分 100 分)一、 单项选择题 ( 本大题共 10小题, 每题 3 分, 共30分. 在每题给出的四个备选项中, 选出一个正确的答案 , 并将所选项前面的字母填写在答题纸的相应地点上)1. 函数 f (x) 4 x 2ln(e x 1) 的定义域为().. 2,2B.0,2C.0,2D.2,2A2.limx 1x 023A. e 2B. 3 x()3C.e 6D.e 6e 23.设 f (x) 在 x 0 处可导,若 limf ( x 02h) f (x 0 h) 3 ,则 f (x 0 ) ()h 0hA .1B. 0C. 1D. 34. 广义积分2x4 dx ( )11 xA . 0B.4C.2 D.5. 设矩阵 A3 21 0 , E1 0 ,若 AB X E ,则 X =() .1 , B41 0 153 1 3 13 13 1 A .51B.5 1C.51D.5 122226. 已知 f (x) 的一个原函数为e x ,则 xf (x)dx ()A. xe x e xc B.xe xe x cC. xe xe xcD.xe xe xc7. 过点 P 0 (2,3,1) 且与向量 a ( 1,1,2) 和 b (0,1, 1) 垂直的直线方程为() .A . x 2 y 3 z 1B.x 2 y 3 z 1 31 13 1 1x 2 y 3 z 1x 2 y 3 z 1C.11D.11338. 以下所给级数中发散的是()A .n 1 B.sin1C.1 11D.n 1n 1n 1nn 1 n 2 nn 1 n(n 2)219.设 A112,B 10 ,则AB 1()1323A .1 1 5 B.1 1 51 1 5 1 1 530 5 530 5 5C.55D.5530 3010. 微分方程dyy e x 的通解为( )dx x1 (xx)yxeeA.x1 ( xx)yxe eC.x1xxB. y( xeec)1xxD.y( xe e c)二、 填空题 (本大题共 5小题, 每题4 分 , 共 20 分. 将答案填写在答题纸的相应地点上)2x a, x11. 设函数f (x) sin 2xx0,在 (,)内连续 , 则 a =__________x ,12. 曲线 yx 3 3x 25x 4 的拐点坐标为 _____________13. 幂级数( 1) n ( x 1)n 的收敛域为 _________ n 1 4nn14. 设 y(c 1 c 2 x)e 3x ( c 1, c 2 为随意常数)为某个二阶常系数线性齐次微分方程的通解,则该微分方程为15. 曲线 x 22 y 2 3z 221 在点 (1, 2,2) 的切平面方程为.三.计算题(本大题共4 小题,每题 10 分,共 40 分。
2022-2023学年河北省唐山市成考专升本高等数学二自考预测试题(含答案带解析)学校:________ 班级:________ 姓名:________ 考号:________一、单选题(30题)1.A.A.B.C.D.2.3.4.5.()。
A.B.C.D.6.()。
A.0B.-1C.-3D.-57.A.A.B.C.D.8.A.A.B.C.D.9.10.当x→0时,无穷小量x+sinx是比x的【】A.高阶无穷小B.低阶无穷小C.同阶但非等价无穷小D.等价无穷小11.12.13.14.15.16.17.Y=xx,则dy=()•A.•B.•C.•D.18.19.20.21.函数f(x)在[a,b]上连续是f(x)在该区间上可积的()A.必要条件,但非充分条件B.充分条件,但非必要条件C.充分必要条件D.非充分条件,亦非必要条件22.A.x+yB.xC.yD.2x23.24.25.26.已知?(x)在区间(-∞,+∞)内为单调减函数,且?(x)>?(1),则x的取值范围是().A.(-∞,-l)B.(-∞,1)C.(1,+∞)D.(-∞,+∞)27.28.29.设y=f(x)二阶可导,且fˊ(1)=0,f″(1)>0,则必有().A.A.f(1)=0B.f(1)是极小值C.f(1)是极大值D.点(1,f(1))是拐点30. 设?(x)=In(1+x)+e2x, ?(x)在x=0处的切线方程是().A.3x-y+1=0B.3x+y-1=0C.3x+y+1=0D.3x-y-1=0二、填空题(30题)31.32.33.34.35.36.37.38.39.40.41.42. 已知P(A)=0.8,P(B\A)=0.5,则P(AB)=__________.43.44.45.46.47.48.49.50.51.52.设f(x)=x3-2x2+5x+1,则f'(0)=__________.53.54.55.56.57.58.59.60.三、计算题(30题)61.62.63.64.65.66.67.68.69.70.71.72.73.74.75.76.77.已知x=-1是函数f(x)=ax3+bx2的驻点,且曲线y=f(x)过点(1,5),求a,b的值.78.79.80.81.82.83.84.85.86.87.88.89.90.四、综合题(10题)91.92.93.94.95.96.97.98.99.100.五、解答题(10题) 101.102.103.104.105.106.107.108.109.110.若抛物线y=x2与直线x=k,x=k+2及y=0所围图形的面积最小,求k.六、单选题(0题)111.设y=f(x)二阶可导,且fˊ(1)=0,f″(1)>0,则必有().A.A.f(1)=0B.f(1)是极小值C.f(1)是极大值D.点(1,f(1))是拐点参考答案1.A2.-83.C4.D5.C6.C7.D8.B9.C10.C所以x→0时,x+sinx 与x是同阶但非等价无穷小.11.C12.C13.A14.C15.D16.B17.B18.B19.A20.B21.B根据定积分的定义和性质,函数f(x)在[a,b]上连续,则f(x)在[a,b]上可积;反之,则不一定成立。
1绝密★启用前2019年普通高等学校招生全国统一考试理科数学理科数学本试卷共5页。
考试结束后,将本试卷和答题卡一并交回。
页。
考试结束后,将本试卷和答题卡一并交回。
注意事项:注意事项:1.答题前,考生先将自己的姓名、准考证号码填写清楚,将条形码准确粘贴在考生信息条形码粘贴区。
2.选择题必须使用2B 铅笔填涂;非选择题必须使用0.5毫米黑色字迹的签字笔书写,字体工整、笔迹清楚。
楚。
3.请按照题号顺序在答题卡各题目的答题区域内作答,超出答题区域书写的答案无效;在草稿纸、试卷上答题无效。
答题无效。
4.作图可先使用铅笔画出,确定后必须用黑色字迹的签字笔描黑。
.作图可先使用铅笔画出,确定后必须用黑色字迹的签字笔描黑。
5.保持卡面清洁,不要折叠,不要弄破、弄皱,不准使用涂改液、修正带、刮纸刀。
一、选择题:本题共12小题,每小题5分,共60分.在每小题给出的四个选项中,只有一项是符合题目要求的.要求的.1.设集合A ={x |x 22-5x +6>0}+6>0},,B ={ x |x -1<0}-1<0},则,则A ∩B =A .(-(-∞,∞,∞,1) 1)B .(-2(-2,,1)C .(-3(-3,,-1)D .(3(3,,+∞)2.设z =-3+2i =-3+2i,则在复平面内,则在复平面内z 对应的点位于对应的点位于 A .第一象限.第一象限 B .第二象限.第二象限 C .第三象限.第三象限D .第四象限.第四象限3.已知AB =(2,3)=(2,3),,AC =(3=(3,,t ),BC =1=1,则,则AB BC ×= A .-3 B .-2 C .2D .34.2019年1月3日嫦娥四号探测器成功实现人类历史上首次月球背面软着陆,日嫦娥四号探测器成功实现人类历史上首次月球背面软着陆,我国航天事业取得又一重大我国航天事业取得又一重大成就,实现月球背面软着陆需要解决的一个关键技术问题是地面与探测器的通讯联系.为解决这个问题,发射了嫦娥四号中继星“鹊桥”,鹊桥沿着围绕地月拉格朗日2L 点的轨道运行.2L 点是平衡点,位于地月连线的延长线上.设地球质量为M 1,月球质量为M 2,地月距离为R ,2L 点到月球的距离为r ,根据牛顿运动定律和万有引力定律,r 满足方程:满足方程:121223()()M M M R r R r r R +=++. 设r Ra =,由于a 的值很小,因此在近似计算中34532333(1)a a a a a ++»+,则r 的近似值为的近似值为 A .21M R M B .212M R M C .2313M R M D .2313M R M 5.演讲比赛共有9位评委分别给出某选手的原始评分,评定该选手的成绩时,从9个原始评分中去掉1个最高分、最高分、11个最低分,得到7个有效评分个有效评分.7.7个有效评分与9个原始评分相比,不变的数字特征是个原始评分相比,不变的数字特征是 A .中位数.中位数 B .平均数.平均数 C .方差.方差 D .极差.极差6.若a >b ,则,则A .ln(a −b )>0 B .3a a <3b bC .a 33−b 33>0 D .│a │>│b │7.设α,β为两个平面,则α∥β的充要条件是的充要条件是A .α内有无数条直线与β平行平行B .α内有两条相交直线与β平行平行C .α,β平行于同一条直线平行于同一条直线D .α,β垂直于同一平面垂直于同一平面8.若抛物线y 2=2px (p >0)>0)的焦点是椭圆的焦点是椭圆2231x y p p+=的一个焦点,则p =A .2B .3C .4D .89.下列函数中,以2p 为周期且在区间为周期且在区间((4p ,2p )单调递增的是单调递增的是 A .f (x )=│cos2x │ B .f (x )=│)=│sin 2sin 2x │ C .f (x )=cos│x │D .f (x )= sin │x │1010.已知.已知α∈(0(0,,2p ),2sin 2α=cos 2α+1+1,则,则sin α= A .15B .55C .33D .2551111..设F 为双曲线C :22221(0,0)x y a b a b-=>>的右焦点,O 为坐标原点,以OF 为直径的圆与圆222x y a +=交于P ,Q 两点若PQ OF =,则C 的离心率为的离心率为 A .2 B .3C .2D .51212.设函数.设函数()f x 的定义域为R ,满足(1) 2 ()f x f x +=,且当(0,1]x Î时,()(1)f x x x =-.若对任意(,]x m Î-¥,都有8()9f x ³-,则m 的取值范围是的取值范围是A .9,4æù-¥çúèûB .7,3æù-¥çúèûC .5,2æù-¥çúèûD .8,3æù-¥çúèû二、填空题:本题共4小题,每小题5分,共20分.分.1313.我国高铁发展迅速,技术先进.我国高铁发展迅速,技术先进经统计,在经停某站的高铁列车中,有10个车次的正点率为0.970.97,有,有20个车次的正点率为0.980.98,有,有10个车次的正点率为0.990.99,则经停该站高铁列车所有车次的平均正点,则经停该站高铁列车所有车次的平均正点率的估计值为率的估计值为__________. __________.1414.已知.已知()f x 是奇函数,且当0x <时,()e axf x =-.若(ln 2)8f =,则a =__________.1515..ABC △的内角,,A B C 的对边分别为,,a b c .若π6,2,3b ac B ===,则ABC △的面积为的面积为__________.__________. 1616.中国有悠久的金石文化,印信是金石文化的代表之一.中国有悠久的金石文化,印信是金石文化的代表之一.中国有悠久的金石文化,印信是金石文化的代表之一..印信的形状多为长方体、正方体或圆柱体,但南北朝时期的官员独孤信的印信形状是“半正多面体”(图1).半正多面体是由两种或两种以上的正多边形围成的多面体边形围成的多面体..半正多面体体现了数学的对称美半正多面体体现了数学的对称美..图2是一个棱数为48的半正多面体,它的所有顶点都在同一个正方体的表面上,且此正方体的棱长为1.1.则该半正多面体共有则该半正多面体共有则该半正多面体共有________________________个面,其棱长为个面,其棱长为_________._________.(本题第一空(本题第一空2分,第二空3分.)三、解答题:共70分。
河北省2019年普通高校专科接本科教育选拔考试
《高等数学(二)》(考试时间60分钟)(总分100分)
一、 单项选择题 (本大题共10小题, 每小题3分, 共30分. 在每小题给出的四个备选项中, 选出一个正确的答案, 并将所选项前面的字母填写在答题纸的相应位置上)
1.函数1
21)1ln(2-+-=x x y 的定义域为( ). A .)1,1(- B.⎪⎭⎫ ⎝⎛1,21 C.⎪⎭⎫ ⎝⎛-21,1 D. ⎪⎭
⎫ ⎝⎛-21,21 2.下列说法正确的是( ) A.11sin lim =∞→x x x B.11sin lim 0=→x x x C.1sin lim =∞→x x x D.1cos 1lim 0=-→x
x x 3.()=-→x x x 2
1lim ( ) A .21
-e B.21e C.2-e D.2e
4. 设)1ln()(2x x f +=,则='')0(f ( )
A .0 B.1 C. 2 D. 3
5. 由方程e xy e y
=-所确定的隐函数的导数=dx
dy ( ). A . x e y y - B.x e y y + C. x e x y - D. x e x y + 6.函数12+-=x x y ,下列描述正确的是( )
A .y 在()1,0内单调增加 B. y 在()+∞,1内单调减少
C. y 在()+∞,0内有极大值0)1(=f
D. y 在()+∞,0内有极小值0)1(=f
7.微分方程x e y dx
dy -=+通解为( ). A .)(c x e y x += B.)(c x e y x +=- C .x ce y -= D.)
(c x e y x +-=- 8.二元函数y x e z 22+=的全微分dz=( )
A.()dxdy e xe y x y x 222222+++
B.dy e dx xe y x y x 2222+++
C.dy e dx xe y x y x 222222+++
D.dy e dx e y
x y x 222222+++ 9. 下列级数中收敛的是( ).
A .∑∞=11n n B. n n e ∑∞=⎪⎭⎫ ⎝⎛13 C. n
n e ∑∞=⎪⎭⎫ ⎝⎛13 D. ∑∞=+-111n n n 10.矩阵⎥⎥⎥⎥⎦⎤⎢⎢⎢⎢⎣⎡-11323412012111
11的秩是( ) A .1 B. 2 C. 3 D.4
二、 填空题 (本大题共5小题, 每小题4分, 共20分. 将答案填写在答题纸的相应位置上)
11.参数方程⎩⎨⎧-=+=t
t y t x arctan )1ln(2所确定的导数=dx dy 12.=⎰→3020sin lim x dt t x x _____________
13. 设,5031,031321⎪⎪⎭
⎫ ⎝⎛=⎪⎪⎭⎫ ⎝⎛=B A ,则=B A T _________ 14.微分方程x
y dx dy 2=在11==x y 时的特解为 15.幂级数∑∞
=-11n n nx
的和函数为 .
三.计算题(本大题共4小题,每小题10分,共40分。
将解答的过程、步骤和答案填写在答题纸的相应位置上,写在其他位置上无效)
16.求⎰-π
π42sin 1dx x
17. 解线性方程组⎪⎩⎪⎨⎧=+-+=+-+=+-+121181055434223224321
43214321x x x x x x x x x x x x
18.设),(y xy f z =具有二阶连续的偏导数,求y
x z x z ∂∂∂∂∂2, 19.求曲线82-=x y 与直线4,082-==++y y x 所围成图形的面积
四、应用题(本题10分,将解答的主要过程,步骤和答案填写在答题纸的相应位置上,写在其他位置上无效)
20. 已知某产品的需求函数和总成本函数分别为,205000,21000x C x P +=-=其中x 为销售量,P 为价格,求边际利润函数,并计算x =240时的边际利润值,解释其经济意义。