全国成人高考专升本《高数二》历年试题及答案
- 格式:doc
- 大小:2.14 MB
- 文档页数:42
2024年成人高考专升本《数学》考卷真题及答案一、选择题(每小题5分,共25分)1. 下列函数中,是奇函数的是()A. y = x^3B. y = x^2C. y = x^4D. y = x^2 + 12. 下列数列中,是等差数列的是()A. 1, 3, 5, 7,B. 1, 2, 4, 8,C. 1, 3, 9, 27,D. 1, 2, 3, 4,3. 下列不等式中,正确的是()A. 2x + 3 > 5x 1B. 3x 4 < 2x + 5C. 4x + 7 > 5x 2D. 5x 3 < 4x + 14. 下列立体图形中,是圆柱的是()A. 圆锥B. 球体C. 长方体D. 圆柱5. 下列积分中,正确的是()A. ∫(x^2 + 1)dx = (1/3)x^3 + x + CB. ∫(x^3 + 1)dx = (1/4)x^4 + x + CC. ∫(x^4 + 1)dx = (1/5)x^5 + x + CD. ∫(x^5 + 1)dx = (1/6)x^6 + x + C二、填空题(每小题5分,共25分)1. 函数y = x^2 4x + 3的顶点坐标是______。
2. 等差数列1, 3, 5, 7, 的前10项和是______。
3. 不等式3x 4 < 2x + 5的解集是______。
4. 圆柱的体积公式是______。
5. 积分∫(x^3 + 1)dx的值是______。
三、解答题(每小题10分,共50分)1. 解方程组:\[\begin{align}2x + 3y &= 8 \\4x 5y &= 10\end{align}\]2. 求函数y = x^3 6x^2 + 9x 1的极值。
3. 求证:等差数列1, 3, 5, 7, 的前n项和是n(n + 1)/2。
4. 求圆柱的表面积。
5. 计算积分∫(x^4 + 1)dx。
四、证明题(每小题10分,共20分)1. 证明:对于任意实数x,都有x^2 ≥ 0。
成人高考成考高等数学(二)(专升本)自测试卷(答案在后面)一、单选题(本大题有12小题,每小题7分,共84分)1、设函数(f(x)=x3−3x+2),则(f(x))在区间[-2, 2] 上的最大值为:A、2B、4C、6D、82、已知函数(f(x)=e x lnx),则该函数的定义域是:A.((0,+∞))B.((−∞,0))C.((0,1))D.((1,+∞))3、设函数f(x)=x3−3x2+2在区间[−1,3]上的最大值为M,最小值为m。
则M−m 的值是:A. 4B. 6C. 8D. 10),则该函数的间断点是:4、设函数(f(x)=11+x2A.(x=0)B.(x=1)C.(x=−1)D.(x)无间断点5、设函数(f(x)=x3−3x+1),则该函数在区间 [-2, 2] 上的最大值为:A、4B、3C、2D、16、设函数f(x)=x3−6x2+9x+1,则该函数的极值点为:A.x=1B.x=2C.x=3D.x=47、若函数(f(x)=ln(x2+1)),则(f(x))在(x=1)处的导数(f′(1))是:)A、(12B、1C、2)D、(238、设函数(f(x)=x3−6x2+9x+1),则函数的极值点个数是:A. 0B. 1C. 2D. 39、设函数(f(x)=3x2−4x+5),则该函数的对称轴为:A.(x=1))B.(x=−13)C.(x=23D.(x=2)10、在下列函数中,连续函数为:())(x∈R)A.(f(x)=1x3)(x∈R)B.(f(x)=√xC.$( f(x) =)$D.(f(x)=|x|)(x∈R)),则(f′(0))的值为:11、已知函数(f(x)=1x2+1A. 0B. 1C. -1D. 不存在),求(f′(x))。
12、设函数(f(x)=2x+3x−1)A.(2(x−1)2B.(2x2−1)C.(2(x+1)(x−1))D.(1x−1)二、填空题(本大题有3小题,每小题7分,共21分)1、设函数(f(x)=e ax+b),其中(a,b)为常数,若(f(x))的单调递减区间为((−∞,1a)),则(a)的取值范围为______ 。
2023年成人高考专升本高等数学二试题(经典版)编制人:__________________审核人:__________________审批人:__________________编制单位:__________________编制时间:____年____月____日序言下载提示:该文档是本店铺精心编制而成的,希望大家下载后,能够帮助大家解决实际问题。
文档下载后可定制修改,请根据实际需要进行调整和使用,谢谢!并且,本店铺为大家提供各种类型的经典范文,如工作报告、工作计划、活动方案、规章制度、演讲致辞、合同协议、条据文书、教学资料、作文大全、其他范文等等,想了解不同范文格式和写法,敬请关注!Download tips: This document is carefully compiled by this editor. I hope that after you download it, it can help you solve practical problems. The document can be customized and modified after downloading, please adjust and use it according to actual needs, thank you!Moreover, our store provides various types of classic sample essays, such as work reports, work plans, activity plans, rules and regulations, speeches, contract agreements, documentary evidence, teaching materials, complete essays, and other sample essays. If you would like to learn about different sample formats and writing methods, please pay attention!2023年成人高考专升本高等数学二试题2023年成人高考专升本高等数学二试题(含答案解析)成人高考数学一和二的区别体现在学习内容不同、知识程度要求不同和考试内容不同等方面,一般来说高数二比高数一简单。
成人高考成考高等数学(二)(专升本)复习试卷(答案在后面)一、单选题(本大题有12小题,每小题7分,共84分)1、设函数(f(x)=2x−3x),则函数的零点个数是:A. 1B. 2C. 3D. 02、设函数(f(x)=e x sinx),则该函数的导数(f′(x))为:A.(e x(sinx+cosx))B.(e x(sinx−cosx))C.(e x cosx)D.(e x sinx)3、设函数f(x)=x3-6x2+9x,若函数在x=1处取得极值,则该极值是:A. 4B. 0C. -4D. 84、下列函数中,定义域为实数集的有()A、f(x) = √(x^2 - 1)B、g(x) = 1/xC、h(x) = |x| + 1D、k(x) = √(-x)5、设函数(f(x)=x3−3x+2),则(f(x))的极值点为:A.(x=−1)和(x=1)B.(x=−1)和(x=2)C.(x=0)和(x=1)D.(x=0)和(x=2)6、设函数(f(x)=3x2−4x+1),则该函数的图像开口方向是:A. 向上B. 向下C. 水平D. 垂直),其定义域为((−∞,0)∪(0,+∞)),则函数(f(x))在(x=0)处7、设函数(f(x)=1x的极限值为:A. -∞B. +∞C. 0D. 不存在8、若函数(f(x)=x3−3x2+4x+1)在点(x=1)处可导,且其导数的反函数为(g(x)),则(g′(1))等于:B. -1C. 0D. 29、若函数(f(x)=11+x2)的定义域为(D f),则(D f)为:A.((−∞,+∞))B.((−∞,−1)∪(−1,+∞))C.((−∞,−1]∪[−1,+∞))D.((−1,1]∪[1,+∞))10、设函数f(x)=1xlnx,则f(x)的导数f′(x)为:A.−1x2lnx+1x2B.1x2lnx−1x2C.1x lnx−1x2D.−1x lnx+1x211、设函数(f(x)=11+x2),则(f′(0))的值为:A.(−1)B.(0)C.(12)D.(11+02)12、设函数f(x)=x 3−3xx2−1,则f′(1)的值为:A. 1C. 0D. 无定义二、填空题(本大题有3小题,每小题7分,共21分)1、设函数f(x) = x² - 3x + 2,若f(x)在x=1处的导数为0,则f(x)的极值点为______ 。
2024成人高考专升本高数二试卷一、选择题(本大题共10小题,每小题4分,共40分。
在每小题给出的四个选项中,只有一项是符合题目要求的)1. 函数y = (1)/(ln(x - 1))的定义域为()A. (1,2)∪(2,+∞)B. (1,+∞)C. (2,+∞)D. [1,2)∪(2,+∞)2. 设函数y = f(x)在点x_0处可导,则limlimits_Δ x→0(f(x_0 - Δ x)-f(x_0))/(Δ x)=()A. f'(x_0)B. -f'(x_0)C. 0D. 不存在。
3. 设y = x^3sin x,则y'=()A. 3x^2sin x + x^3cos xB. 3x^2sin x - x^3cos xC. x^2(3sin x + xcos x)D. x^2(3sin x - xcos x)4. 函数y = ln(x + √(1 + x^2))的导数为()A. (1)/(√(1 + x^2))B. (1)/(x+√(1 + x^2))C. (1)/(x)-(1)/(√(1 + x^2))D. (1)/(x)+(1)/(√(1 + x^2))5. 设f(x)=∫_0^x(t^2 - 1)dt,则f'(x)=()A. x^2-1B. 2xC. (1)/(3)x^3 - xD. x^26. 下列定积分中,值为0的是()A. ∫_-1^1x^3dxB. ∫_-1^1(x^2 + 1)dxC. ∫_-1^1sin xdxD. ∫_-1^1(1)/(x)dx7. 设z = x^2y + 3y^2,则(∂ z)/(∂ y)=()A. x^2+6yB. 2xy + 6yC. x^2D. 2xy8. 二元函数z = ln(x + y)的定义域为()A. {(x,y)x + y>0}B. {(x,y)x + y≥0}C. {(x,y)x>0,y>0}D. R^29. 级数∑_n = 1^∞(1)/(n(n + 1))的和为()A. 1B. (1)/(2)C. 2D. 无穷大。
2004年成人高考专升本高等数学二考试真题及参考答案一、选择题:本大题共5个小题,每小题4分,共20分,在每小题给出的四个选项中,只有一项是符合题目的要求,把所选项前的字母填在题后的括号内。
第1题参考答案:A第2题参考答案:D第3题参考答案:D第4题第5题参考答案:C二、填空题:本大题共10个小题,每小题4分,共40分,把答案填写在题中横线上。
第6题参考答案:1第7题参考答案:0第8题参考答案:1第9题参考答案:2/x3第10题参考答案:-1第11题参考答案:0第12题参考答案:e-1第13题参考答案:1第14题参考答案:-sinx 第15题三、解答题:本大题共13个小题,共90分,解答应写出推理、演算步骤.第16题第17题第18题第19题第20题第21题第22题第23题第24第25题第26题第27题第28题2005年成人高考专升本高等数学二考试真题及参考答案一、选择题:每小题4分,共40分,在每小题给出的四个选项中,只有一项是符合题目要求。
第1题参考答案:D第2题第3题参考答案:C 第4题参考答案:B 第5题参考答案:D 第6题参考答案:B 第7题第8题参考答案:A第9题参考答案:D第10题参考答案:B二、填空题:本大题共10个小题,每小题4分,共40分,把答案填写在题中横线上。
第11题参考答案:2第12题参考答案:e-3第13题参考答案:0第14题参考答案:4第15题参考答案:2第16题第17题参考答案:0第18题参考答案:1/2第19题参考答案:6第20题三、解答题:共70分。
解答应写出推理、演算步骤。
第21题第22题第23题第24题第25题第26题第27题第28题2006年成人高考专升本高等数学二考试真题及参考答案一、选择题:每小题4分,共40分,在每小题给出的四个选项中,只有一项是符合题目要求。
第1题参考答案:D 第2题参考答案:B 第3题参考答案:D 第4题参考答案:A 第5题参考答案:C第6题参考答案:C 第7题参考答案:C 第8题参考答案:A 第9题参考答案:B 第10二、填空题:本大题共10个小题,每小题4分,共40分,把答案填写在题中横线上。
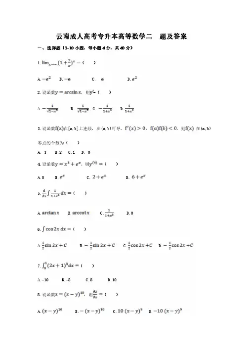
及答案云南成人高考专升本高等数学二试题题及答案一、选择题(1-10小题,每小题4分,共40分)1.()A. B. C. D.设函数,则()2.=A. B. C. D.设函数在上连续,在可导,,则在3.[a,b](a,b)(a,b)零点的个数为()A. 3B.2C.1D. 04.设函数,则()A.0B.C.D.5.()A. B. C. D.06.()A. B. C. D.7.()A.-10B.-8C.8D.108.设函数,则()A. B. C. D.9.设函数,则其极值点为()A.(0,0)B. (-1,1)C. (1,1)D. (1,-1)10.设离散型随机变量X的概率分布为()则a=()A. 0.1B. 0.2C. 0.3D. 0.4二、填空题(11-20小题,每小题4分,共40分)11.当时,与3x是等价无穷小,则12.13.设函数,则14.设为的一个原函数,则15.设函数,则16.17.18.19. 设函数20. 设函数,则三、解答题(21-28题,共70分)21.计算22.设函数,求23.计算24.计算25.一个袋中有10个乒乓球,其中7个橙色,3个白色,从中任取2个,设事件A为“所取的2个乒乓球颜色不同”,求事件A发生的概率P(A)26.设函数在x=2处取得极值,点(1,-1)为曲线的拐点,求a,b,c27.已知函数的导函数连续,且,求28.设函数,证明:参考答案一、选择题(1-10小题,每小题4分,共40分)1—10.DBCBC ADCDA二、填空题(11-20小题,每小题4分,共40分)11.3 12.2 13. 14.2x 15.16.17.18.4 19.20.三、解答题(21-28题,共70分)21.22.23.令而,故有24.25.A为所取的2个乒乓球颜色不同,即A表示所取的2个球中1个球是橙色,一个球是白色,故26.易知由于f(x)在x=2处取得极值,则点(1,-1)是的拐点,故有,f(1)=-1即a+ b + c =-1,6a+2b=0解得27.28.证明:,,故。
成人高考专升本(高等数学二)考试真题及答案- 卷面总分:130分答题时间:100分钟试卷题量:19题一、单选题(共7题,共28分)1.设函数f(x)=ln(3x),则'f(2)=()A.4B.ln6C.1/2D.1/6正确答案:C您的答案:本题解析:暂无解析2.设函数f(x)=1-x^2在区间(,)A.单调增加B.单调减少C.先单调增加,后单调减少D.先单调减少,后单调增加正确答案:B您的答案:本题解析:暂无解析3.设A,B是两随机事件,则事件AB表示()A.事件A,B都发生B.事件B.发生而事件A不发生C.事件A发生而事件B不发生D.事件A,B都不发生正确答案:C您的答案:本题解析:暂无解析4.设函数f(x)=ln(3x),则f'(2)=()A.6B.ln6C.1/2D.1/6正确答案:C您的答案:本题解析:暂无解析5.设函数f(x)=1-x^3在区间(,)A.单调增加B.单调减少C.先单调增加,后单调减少D.先单调减少,后单调增加正确答案:B您的答案:本题解析:暂无解析6.曲线y=|x|与直线y=2所围成的平面图形的面积为()A.2B.4C.6D.8正确答案:B您的答案:本题解析:暂无解析7.设A,B是两随机事件,则事件AB表示()A.事件A,B都发生B.事件B发生而事件A不发生C.事件A发生而事件B不发生D.事件A,B都不发生正确答案:C您的答案:本题解析:暂无解析二、填空题(共4题,共16分)8.曲线y=x^33x^25x4的拐点坐标为()正确答案:(1,1)您的答案:9.设函数y=e^x+1,则y''=()正确答案:e^x-1您的答案:10.设曲线y=ax^2+2x在点(1,a+2)处的切线与直线y=4x平行,则a=()正确答案:1您的答案:11.正确答案:1您的答案:三、计算题(共4题,共16分)12.设函数y=sinx^2+2x,求dy正确答案:您的答案:13.已知离散型随机变量X的概率分布为X10203040Pa(1)求常数a;(2)求X的数学期望EX.正确答案:您的答案:14.求曲线y=x^2与直线y=0,x=1所围成的平面图形绕x轴旋转一周所得旋转体的体积V. 正确答案:您的答案:15.求函数f(x)=x^3-3x^-9x+2的单调区间和极值.正确答案:您的答案:16.求函数f(x,y)=x^2+y^2在条件2x+3y=1下的极值.正确答案:您的答案:17.设函数y=sinx^2+2x,求dy.正确答案:您的答案:18.已知离散型随机变量X的概率分布为X10203040P0.20.10.5a(1)求常数a;(2)求X的数学期望EX.正确答案:您的答案:19.求曲线y=x^2与直线y=0,x=1所围成的平面图形绕x轴旋转一周所得旋转体的体积V. 正确答案:您的答案:。
2024年成人高考专升本《数学》试卷真题附答案一、选择题(每小题5分,共30分)1. 设集合A={x|x^24x+3<0},B={x|x^24x+3≥0},则A∪B=______。
A. RB. (∞, 3]C. (3, +∞)D. 空集2. 函数f(x)=x^33x+2的导数f'(x)的零点个数是______。
A. 1B. 2C. 3D. 43. 若等差数列{an}的通项公式为an=2n1,则数列{an^2}的前5项和是______。
A. 55B. 60C. 65D. 704. 设函数f(x)=ln(x+1),则f(x)在区间(0, +∞)上是______。
A. 单调递增B. 单调递减C. 先增后减D. 先减后增5. 已知三角形ABC的边长分别为a、b、c,且满足a^2+b^2=c^2,则三角形ABC是______。
A. 直角三角形B. 钝角三角形C. 锐角三角形D. 等腰三角形6. 若直线y=2x+3与圆x^2+y^2=9相切,则圆的半径是______。
A. 3B. 2C. 1D. √2二、填空题(每小题5分,共20分)7. 已知函数f(x)=x^24x+3,则f(x)的极小值为______。
8. 已知等比数列{an}的公比为q,且a1+a2+a3=14,a1a2a3=8,则q=______。
9. 已知抛物线y=x^24x+3的顶点坐标为______。
10. 已知直线y=2x+3与圆x^2+y^2=9相切,则切点坐标为______。
三、解答题(每小题10分,共30分)11. 解不等式组:x2y≤4,2x+y≥6。
12. 已知等差数列{an}的前n项和为Sn=n^2+3n,求an。
13. 已知函数f(x)=x^33x+2,求f(x)的单调区间和极值。
四、证明题(10分)14. 已知等差数列{an}的公差为d,证明:an+1an1=2d。
五、应用题(10分)15. 已知一个长方体的长、宽、高分别为a、b、c,且满足a^2+b^2+c^2=36,求长方体的最大体积。
2023年成人高等学校招生全国统一考试专升本高等数学(二)真题一、选择题(1~10小题,每题4分,共40分。
在每小给出的四个选项中,只有一是符合题目要求的)1.x→∞x2+1 x2+xlim=()A.-1B.0C.12D.12.设f(x)=x3+5sin x,f'(0)=()A.5B.3C.1D.03.设f(x)=ln x-x,f'(x)=()A.xB.x-1C.1x D.1x-14.f(x)=2x3-9x2+3的单调递减区间为()A.(3,+∞)B.(-∞,+∞)C.(-∞,0)D.(0,3)5.x23dx=()A.x32+CB.35x53+C C.x53+C D.x13+C6.设函数f(x)=x ,则1-1f(x)dx=()A.-2B.0C.1D.27.连续函数f(x)满足x0f(t)dt=e x-1,求f'(x)=()A.e xB.e x-1C.e x+1D.x+18.设z=e xy,dz=()A.e xy dx+e xy dyB.e x dx+e y dyC.ye xy dx+xe xy dyD.e y dx+e x dy9.设z=14(x2+y2),∂2z∂x∂y=()A.x2B.0 C.y2D.x+y10.扔硬币5次,3次正面朝上的概率是()A. B. C. D.二、填空题(11~20小题,每题4分,共40分)11.x→31+x-2x-3=lim。
12.x→∞(x+1 x-1)lim x=。
13.f(x)=e2x,则f(n)(0)=。
14.f(x)=x2-2x+4在(x0,f(x))处切线与直线y=x-1平行,x=。
15.曲线y=xe x的拐点坐标为。
16.y=2x1+x2的垂直渐近线是。
17.xx2+4dx=。
18.曲线y=x2与x=y2所围成图形的面积是。
19.+∞0xe-x2dx=。
20.z=x2+y2-x-y-xy的驻点为。
三、解答题(21~28小题,共70分。
一、选择题(1~10,每小题4分,共40分。
每小题给出的四个选项中,只有一项是符合题目要求的) 1. lim x→0(1+2x)13x=A. e 32 B. e 23C. e 16D. e 62. 设函数y=x+2sinx ,则dy= A. (1-2cosx)dx B. (1+2cosx)dx C. (1-cosx)dx D.(1+cosx)dx3. lim x→1x 2+x+1x 2−x+2 = A. 32B. 1C. 2D. 124. 设函数f(x)=3+x 5,则f ’(x)= A. x 4 B. 1+x 4 C. 15x 4D. 5x 45. 设函数f(x)=2lnx ,则f ’’(x)= A.2x 2B. −2x2C.1x 2D. −1x 26. ∫(1+x)dx =2−2 A.4 B.0 C.2E. - 4 7. ∫3x 5dx =A. 34x 4+CB.35x 4+CC. −34x 4+C D. −35x 4+C8. 把3本不同的语文书和2本不同的英语书排成一排,则2本英语书卡好相邻的概率为 A. 25 B. 45C. 35D. 12 9. 设函数z=x 2-4y 2,则dz= A. xdx -4ydy B. xdx -ydy C. 2xdx -4ydy D.2xdx -8ydy10. 设函数z=x 3+xy 2+3,则ðz ðy=A.3x 2+2xyB.3x 2+y 2C.2xyD.2y二、填空题(11~20小题,每小题4分,共40分) 11. 设函数y=e 2x ,则dy=_________.12. 函数f(x)=x 3-6x 的单调递减区间为___________.13. 若函数f(x)={x 2−2,x ≤0,a +sinx ,x >0,在x=0处连续,则a=__________.14. limx→0sinx 2x 2=______________.15. ∫(3x +2sinx)dx =____________.16. 曲线y=arctan(3x+1)在点(0,π4)处切线的斜率为__________. 17. (∫sint 22x0dt)′=_____________.18. ∫e x 1−∞dx =_____________.19. 区域D={(x,y)|1≤x ≤2 ,1≤y ≤x 2}的面积为__________. 20. 方程y 3+lny −x 2=0在点(1,1)的某领域确定隐函数y=y(x),则dydx |x=1=________.三、解答题(21~28题,共70分。