2014甘肃省一万名考试瓜州县成绩公布
- 格式:xls
- 大小:126.00 KB
- 文档页数:24
2014年甘肃高考状元出炉两理科状元687分并列2014年06月23日 09:46:36 来源:兰州晚报分享到:3022日下午2时,随着今年我省高考成绩开始查询,今年的高考状元也相继出炉。
今年理科状元以687分的成绩并列,分别是来自西北师大附中的柴冰倩和来自庆阳一中的郭恒。
文科状元同样被师大附中女生张一番以总分646分摘得。
师大附中考出一堆“双黄蛋”今年我省考生整体成绩较去年高,并列特别多,此次的文理前三名同样如此。
今年全省有十名考生闯进文理前三名,除了文理科状元之外,西北师大附中的陶鑫、白菊以总成绩643分并列全省文科第二名,同样来自附中的李庄威、王欢以总分642分并列全省文科第三名。
西北师大附中的丁月文以总分679分考取全省理工类第二,兰州一中的李许源、师大附中的金瑜以678分并列全省理科第三。
前三名考生之间的成绩也相差不大,文科第一名比第二名仅高了3分,第二名与第三名也只有一分之差。
理科第一名与第二名的成绩相差8分,第二名与第三名的成绩差别也仅是一分之差。
十个“前三”男女各半今年我省文理两位状元全是女儿身,不独是状元,本次我省十名文理“前三”考生中,女生人数与男生人数各五位,文科全省前三名考生中,只有两名男生,理科前三名中有三名男生。
不仅今年如此,近几年来,我省每年都有多名女生考入全省文理科前十名。
对于这种“女生现象”,西北师大附中的有关老师介绍,高考试题兼具选拔性与水平性的双重特点,基础扎实、细心的考生都能考出好成绩,这是“女生现象”迭出的一个原因。
还有今年我省试题重基础的缘故,使得女生成绩超过了男生,不过从目前学校接到学生反馈来的成绩看,理科还是男生整体考得不错。
(。
中公教育甘肃分校2014年甘肃省一万名教师岗面试成绩汇总2014年甘肃省一万名考试已经于2014年7月12日结束,8月11日部分地区教师面试已经结束,为了方便广大考生进行成绩查询,甘肃教育信息网为大家提供了2014年甘肃省一万名教师面试成绩汇总!请点击下面相应地市进行查询。
(下面红色部分为已更新部分)按Ctrl+D收藏本页面!
2014年甘肃一万名教师考试面试成绩汇总
兰州天水定西金昌
庆阳白银陇南临夏
武威张掖甘南
平凉酒泉嘉峪关
点击进入>>>
2014年金昌市一万名考试成绩及排名2014年庆阳市一万名考试成绩及排名
2014年武威市一万名考试成绩及排名2014年临夏州一万名考试成绩及排名
2014年天水市一万名考试成绩及排名2014年定西市一万名考试成绩及排名
2014年张掖市一万名考试成绩及排名2014年酒泉市一万名考试成绩及排名
2014年兰州市一万名考试成绩及排名2014年嘉峪关一万名考试成绩及排名
2014年白银市一万名考试成绩及排名2014年陇南市一万名考试成绩及排名
2014年平凉市一万名考试成绩及排名2014年甘南州一万名考试成绩及排名
甘肃教师招聘考试网丨教师考试历年真题丨教师考试政策解读丨教师考试公告丨教师考试公告丨教师考试备考指导。
中公教育·给人改变未来的力量
甘肃公务员考试qq 交流群:149938881 中公教育甘肃分校 2014年甘肃公务员考试成绩查询及排名(各地市汇总) 2014年甘肃公务员考试笔试已于2014年9月27日结束,此次全省共有7.3万余名考生参加笔试,从报考情况看,甘肃省公务员招录计划与报考人数之比约为1:30。
笔试成绩预计10月下旬公布,届时广大考生可通过甘肃公务员考试网查询成绩,中公教育祝您成功! 2014年甘肃各地市的公务员成绩查询入口,也会在第一时间为大家开通(按住ctrl 并鼠标单击即可访问),
甘肃公务员考试成绩
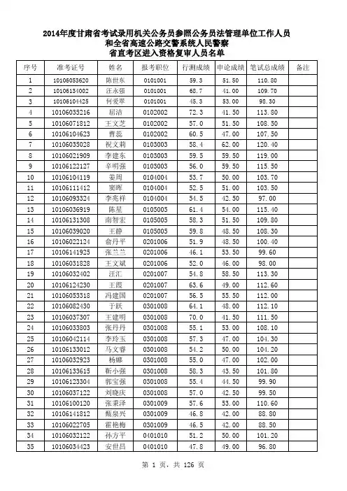
2014年甘肃省直公务员考试成绩查询及排名
2014年甘肃兰州公务员考试成绩查询及排名
2014年甘肃平凉公务员考试成绩查询及排名
2014年甘肃天水公务员考试成绩查询及排名
2014年甘肃庆阳公务员考试成绩查询及排名
2014年甘肃陇南公务员考试成绩查询及排名
2014年甘肃临夏公务员考试成绩查询及排名
2014年甘肃白银公务员考试成绩查询及排名
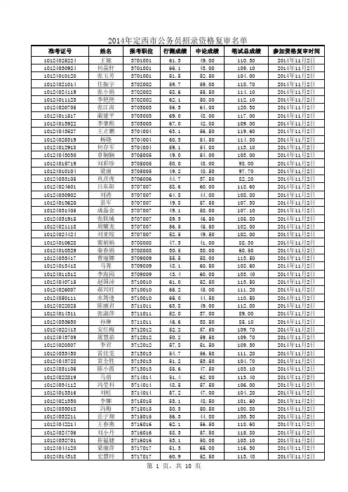
2014年甘肃定西公务员考试成绩查询及排名
2014年甘肃酒泉公务员考试成绩查询及排名
2014年甘肃武威公务员考试成绩查询及排名
2014年甘肃张掖公务员考试成绩查询及排名
2014年甘肃甘南公务员考试成绩查询及排名
2014年甘肃金昌公务员考试成绩查询及排名
【更多2014年甘肃公务员考试时成绩查询、2014年甘肃公务员资格复审、2014年甘肃公务员面试名单、2014年甘肃公务员面试时间、调剂等信息,考生可登陆甘肃公务员考试网:?wt.mc_id=bk10507(按住ctrl 并鼠标单击即可访问)进行查看】。
2014年考试录用公务员笔试成绩表准考证号姓名报考职位行测成绩申论成绩总成绩10127034721徐瑛390100158.957.50116.40 10127034719肖莹莹390100163.049.50112.50 10127042917杜凡390100162.048.00110.00 10127011705赵华390100158.451.00109.40 10127030708贾小军390100151.857.50109.30 10127042511马谦390100149.956.50106.40 10127020120雷鸣390100153.452.00105.40 10127022617赵娟娟390100148.555.00103.50 10127025324樊培丽390100149.753.50103.20 10127044106李亨390100154.346.50100.80 10127030222朱小涵390100154.644.0098.60 10127022524梁玲娟390100152.241.0093.20 10127044419席妍妍390100144.548.5093.00 10127010705董彦录390100153.839.0092.80 10127014102朱俊铭390100149.543.0092.50 10127012613张伟390100142.749.0091.70 10127011421卞祺祥390100149.242.0091.20 10127043820许小婷390100149.341.5090.80 10127041024朱晶390100141.149.5090.60 10127040127张娟390100147.043.5090.50 10127042610郑毅琦390100147.942.5090.40 10127033508杜娟莉390100147.042.5089.50 10127044108马莉390100142.146.5088.60 10127031622杨玉媛390100144.544.0088.50 10127024402张琪390100147.441.0088.40 10127033617史丽琴390100145.443.0088.40 10127022203海小东390100141.447.0088.40 10127010313张彧榜390100145.742.5088.20 10127042302吕正安390100144.743.5088.20 10127020430潘巍元390100145.942.0087.90 10127035006樊雯390100151.236.5087.70 10127034604张革唯390100148.439.0087.40 10127022415杨凯华390100148.538.5087.00 10127040325吕欣遥390100141.145.5086.60 10127042421张红390100142.943.5086.40 10127023009景宏海390100140.545.5086.00 10127030720杨小苗390100138.647.0085.60 10127022815樊杰390100142.642.5085.10 10127032103陈磊390100148.336.5084.80 10127033310赵彩云390100143.841.0084.80 10127020508李永强390100145.439.0084.40 10127021208朱维舟390100147.836.0083.80 10127042618杨东江390100146.537.0083.50 10127020412吕斌390100147.035.5082.50 10127013814张华390100141.441.0082.40 10127012210王文婷390100139.942.0081.90 10127033319段晓娟390100143.738.0081.70 10127033521张明佳390100149.132.5081.60 10127044629翟小红390100135.745.5081.20 10127013028鲁军平390100137.742.0079.70 10127031522张睿390100130.248.0078.20 10127013015何军390100138.539.0077.5010127020618焦玉龙390100137.439.0076.40 10127013324焦永强390100137.039.0076.00 10127030821杨勇智390100135.840.0075.80 10127043014潘文亮390100132.343.5075.80 10127043530强波390100134.440.0074.40 10127023227陈亚慧390100135.239.0074.20 10127021510石树荣390100139.134.0073.10 10127033406于灵生390100134.838.0072.80 10127020416王军390100135.037.5072.50 10127024417杨敏390100133.038.5071.50 10127034423杨树蕊390100139.131.5070.60 10127034830赵菊花390100133.137.5070.60 10127020226金文娟390100118.951.5070.40 10127040512惠宁390100139.929.5069.40 10127022515赵建兵390100128.827.5056.30 10127030612刘俊亮390100131.022.0053.00 10127030407焦倩倩390100136.7-1.0036.70 10127013617李虽强3901001-1.0-1.00-1.00 10127023616马雪花3901001-1.0-1.00-1.00 10127035014李颖3901001-1.0-1.00-1.00 10127043213吴祺3901001-1.0-1.00-1.00 10127040419马会强3901001-1.0-1.00-1.00 10127043130陈灏康3901001-1.0-1.00-1.00 10127033619彭瑾3901001-1.0-1.00-1.00 10127022215李婧3901001-1.0-1.00-1.00 10127011520张玮390200260.250.00110.20 10127044427于新春390200259.146.00105.10 10127020206王小龙390200259.643.50103.10 10127025318严婷390200253.449.00102.40 10127035015秦玲390200259.742.00101.70 10127014124曹玲钰390200250.450.50100.90 10127041414刘超390200251.248.0099.20 10127035109郑瑞军390200252.046.5098.50 10127032203朱广雄390200244.054.0098.00 10127025114杨蕊390200255.342.0097.30 10127041616朱小伟390200250.646.0096.60 10127031315白明明390200252.244.0096.20 10127014401曹喜斌390200247.048.5095.50 10127023614刘筱龙390200244.351.0095.30 10127013726张艳390200244.448.0092.40 10127013304郑发龙390200249.842.0091.80 10127043825陈壮志390200247.443.5090.90 10127044712杨剑390200251.537.5089.00 10127024224黄旭东390200247.840.0087.80 10127011228杨鹏伟390200242.145.5087.60 10127043809岳瑶390200251.335.0086.30 10127042228张江鹏390200238.447.5085.90 10127040928宋贺390200260.325.5085.80 10127044020姚斌390200236.249.0085.20 10127041016张芳390200249.035.5084.50 10127033817蔡晓霞390200246.538.0084.50 10127025721魏科龙390200251.333.0084.30 10127025212蔡福莉390200243.341.0084.30 10127012607王辉390200248.535.0083.5010127041018李彦文390200247.535.5083.00 10127030620高博390200243.337.0080.30 10127024003杨万俊390200248.628.0076.60 10127030404黄欣390200237.7-1.0037.70 10127041627秦正位3902002-1.0-1.00-1.00 10127021028曹阳3902002-1.0-1.00-1.00 10127022513姚明3902002-1.0-1.00-1.00 10127012521崔沈小雪3902002-1.0-1.00-1.00 10127022905冯柏林3902002-1.0-1.00-1.00 10127012116张虎建3902002-1.0-1.00-1.00 10127024727王锋3902002-1.0-1.00-1.00 10127040727马小虎3902002-1.0-1.00-1.00 10127032118李娟3902002-1.0-1.00-1.00 10127022111张安翔3902002-1.0-1.00-1.00 10127044514李沛3902002-1.0-1.00-1.00 10127012629许盼凤3902002-1.0-1.00-1.00 10127013929宋小刚3902002-1.0-1.00-1.00 10127031518罗明明3902002-1.0-1.00-1.00 10127022123孙芳3902002-1.0-1.00-1.00 10127044021何文成3902002-1.0-1.00-1.00 10127024411胡春生3902002-1.0-1.00-1.00 10127041428秦志新390200239.0-2.00-2.00 10127032410荣微390300359.052.50111.50 10127041729李建龙390300349.955.00104.90 10127022825厍省利390300351.948.50100.40 10127043430何建国390300348.849.5098.30 10127012416高晓科390300339.159.0098.10 10127031028边龙海390300349.844.5094.30 10127041920卫新亮390300346.447.5093.90 10127020522李重阳390300358.834.0092.80 10127030113马峰390300348.342.5090.80 10127043929史宇挺390300346.844.0090.80 10127011711张文元390300357.133.0090.10 10127040528朱广勇390300344.942.0086.90 10127012427吴嘉蕃390300342.741.0083.70 10127014128刘娇娇390300343.233.5076.70 10127012415赵倩390300344.631.0075.60 10127012221王一婷3903003-1.0-1.00-1.00 10127030925黎斌苏3903003-1.0-1.00-1.00 10127031513孙闻妮3903003-1.0-1.00-1.00 10127043730庞楠3903003-1.0-1.00-1.00 10127040514刘燕宁3903003-1.0-1.00-1.00 10127030116郑东红390400467.255.00122.20 10127020410岳百合390400463.957.00120.90 10127014423唐龙390400469.451.00120.40 10127013207魏丽390400460.155.50115.60 10127031827赵燕子390400452.959.00111.90 10127025321李伟华390400451.560.00111.50 10127041224刘伟390400461.249.50110.70 10127020102万鸿390400454.356.00110.30 10127034204刘亚妮390400458.650.00108.60 10127024817任薪儒390400454.950.50105.40 10127043026叶丽390400455.350.00105.30 10127024627杨凡390400452.452.50104.9010127043407朱娅婷390400447.756.00103.70 10127042809马丽娜390400468.534.00102.50 10127020413朱春红390400447.854.50102.30 10127020107王娜390400455.746.50102.20 10127034628王玮390400459.642.50102.10 10127043611李凤390400454.247.50101.70 10127034021李红玉390400451.150.00101.10 10127023123窦雪宁390400441.060.00101.00 10127031423马学敏390400451.548.0099.50 10127020610杨燕妮390400451.846.5098.30 10127031725赵立涛390400456.042.0098.00 10127042916薛萍萍390400446.951.0097.90 10127011015李举390400453.344.5097.80 10127032612王程390400449.548.0097.50 10127011223王宁390400451.245.5096.70 10127041426贾红莉390400448.847.5096.30 10127040417姜娜娜390400448.348.0096.30 10127023830许笑笑390400449.746.5096.20 10127013901张学飞390400449.546.5096.00 10127043016谢正民390400453.942.0095.90 10127011720张革芬390400437.158.5095.60 10127033130乔红娟390400447.847.0094.80 10127034817陈卓390400454.140.5094.60 10127022330罗少春390400447.946.5094.40 10127043724于鹏祯390400458.036.0094.00 10127030921李文辉390400449.045.0094.00 10127024616樊小勇390400451.941.0092.90 10127033125魏改芳390400450.142.5092.60 10127012211袁槿兰390400460.931.5092.40 10127043608欧阳洋390400447.844.5092.30 10127035010彭钰兰390400447.744.5092.20 10127011221何小梅390400445.346.5091.80 10127040813梁龙军390400448.443.0091.40 10127023411武荣390400442.349.0091.30 10127034007马丽390400445.745.5091.20 10127025719马玉庆390400442.648.5091.10 10127021030朱丽娜390400440.950.0090.90 10127042013马西芳390400441.449.0090.40 10127040213张虹390400448.541.5090.00 10127020520吴金龙390400440.949.0089.90 10127030713穆星楠390400445.844.0089.80 10127043705刘向瑞390400450.739.0089.70 10127034724卜涓390400443.346.0089.30 10127011701李银霞390400445.443.5088.90 10127032120薛银娟390400450.037.5087.50 10127020423狄泽华390400449.937.5087.40 10127033905李冬阳390400444.043.0087.00 10127031629马玉琼390400449.437.0086.40 10127034526景秀娟390400442.743.5086.20 10127024014姚海霞390400443.841.5085.30 10127022414刘盈390400444.241.0085.20 10127033415白珊390400445.537.5083.00 10127025223柳元强390400450.332.0082.30 10127024304司永合390400443.138.5081.6010127023018杜丽390400445.236.0081.20 10127033404张莹390400444.236.5080.70 10127020210杨银霞390400435.844.5080.30 10127032416王美淇390400441.139.0080.10 10127012916张婷390400434.145.5079.60 10127023605安玉玲390400444.435.0079.40 10127023319王旭东390400437.141.5078.60 10127013329周娜390400439.339.0078.30 10127034127程凯390400438.939.0077.90 10127032629王婷390400433.943.5077.40 10127012811路丽390400444.332.5076.80 10127040717李早锋390400446.529.5076.00 10127043408韩灵飞390400441.534.0075.50 10127010624何军强390400436.238.0074.20 10127012313邵文雯390400429.744.0073.70 10127040804柳丽娟390400440.525.0065.50 10127025224司芙榕3904004-1.0-1.00-1.00 10127030723孙克慧3904004-1.0-1.00-1.00 10127042517郭瑛3904004-1.0-1.00-1.00 10127041902罗晨3904004-1.0-1.00-1.00 10127034825樊瑞霞3904004-1.0-1.00-1.00 10127032624王雅辰3904004-1.0-1.00-1.00 10127022901李玉芳3904004-1.0-1.00-1.00 10127012230柳荣3904004-1.0-1.00-1.00 10127013516刘婷婷3904004-1.0-1.00-1.00 10127010430张刘莉3904004-1.0-1.00-1.00 10127024319温一美3904004-1.0-1.00-1.00 10127026022吴中勤3904004-1.0-1.00-1.00 10127023021苏雯雯3904004-1.0-1.00-1.00 10127044701袁蓉3904004-1.0-1.00-1.00 10127033923张丽红3904004-1.0-1.00-1.00 10127033610张立萍3904004-1.0-1.00-1.00 10127021518张海云390500564.549.00113.50 10127013825刘芸390500558.348.00106.30 10127042401刘文霞390500558.646.50105.10 10127034504孙回军390500552.848.00100.80 10127030924张慧萍390500546.748.0094.70 10127021309梁天合390500546.044.0090.00 10127030110穆星390500545.643.5089.10 10127043402赫婧390500535.152.0087.10 10127022623陈少华390500546.939.5086.40 10127013411靳殷强390500541.245.0086.20 10127041505陈兴强390500539.046.5085.50 10127022612张伟390500536.748.0084.70 10127041114路科锋390500541.940.5082.40 10127043001王蕊390500544.937.0081.90 10127021430朱鹏飞390500540.930.5071.40 10127041804王永平3905005-1.0-1.00-1.00 10127013305刘万斌390500644.059.00103.00 10127031422刘虹霞390500652.738.0090.70 10127033430陈菲菲390500645.345.0090.30 10127032807李淑娟390500648.040.5088.50 10127025017陈亮390500648.637.5086.10 10127044520谢芳390500644.341.0085.3010127043008解小青390500641.043.0084.00 10127012605李澜390500643.438.0081.40 10127033220李乐3905006-1.0-1.00-1.00 10127022807张斌390500756.848.00104.80 10127043618柳永昭390500751.153.00104.10 10127025909蒋小宁390500757.242.0099.20 10127043707张翔390500761.237.5098.70 10127012401杨振鹏390500751.746.0097.70 10127043309姚茂兰390500738.144.0082.10 10127011129靳倩390600862.460.50122.90 10127042230剡元明390600874.547.00121.50 10127021301张羽390600858.151.00109.10 10127010408李伟娅390600857.549.00106.50 10127020302李永博390600859.147.00106.10 10127044716胡金勋390600855.350.50105.80 10127012110徐湘军390600864.441.00105.40 10127034214吴轶凡390600859.346.00105.30 10127041109温珂390600853.352.00105.30 10127042824周亮亮390600854.948.50103.40 10127024822蒲芳蓉390600856.746.50103.20 10127020315吕元辰390600860.041.00101.00 10127012922马星390600856.045.00101.00 10127013713高静390600854.846.00100.80 10127043913王健390600858.242.50100.70 10127012924雷文辉390600857.743.00100.70 10127030224王晗哲390600854.445.0099.40 10127040919陈亮390600847.152.0099.10 10127031321王发平390600853.845.0098.80 10127032009田煜390600850.248.5098.70 10127011616陈耀390600860.638.0098.60 10127033627王瓅390600857.641.0098.60 10127042001唐文艳390600848.650.0098.60 10127023730蒲瑞云390600858.139.5097.60 10127022004白俊龙390600853.444.0097.40 10127025111晁国瑞390600856.340.5096.80 10127014205安倩390600848.448.0096.40 10127010617李军呈390600853.442.0095.40 10127043414袁宏伟390600849.645.5095.10 10127032730霍俊杰390600849.045.5094.50 10127043428李帅臣390600858.735.5094.20 10127031506张艳芬390600849.944.0093.90 10127023617张宗涛390600853.840.0093.80 10127042119徐理强390600852.041.5093.50 10127032529张婷390600841.052.5093.50 10127023110纪海390600859.334.0093.30 10127025801吕建军390600847.744.5092.20 10127012715程军奇390600843.647.5091.10 10127031708张强390600849.341.0090.30 10127023911王红娟390600846.843.5090.30 10127013517张晓旭390600857.732.0089.70 10127013313杜凯390600845.843.0088.80 10127011426孟浩伟390600847.141.0088.10 10127013828姚艳丽390600845.841.5087.30 10127025115刘兴艳390600844.242.5086.7010127042812马腾390600842.644.0086.60 10127025925黄兴华390600850.135.0085.10 10127013211刘明君390600845.738.5084.20 10127013512张文涛390600851.632.0083.60 10127031527胡月390600844.039.5083.50 10127014509杨小强390600846.337.0083.30 10127012827杨奋艳390600836.743.0079.70 10127023313王绎景390600845.433.5078.90 10127010923王文睿390600840.137.5077.60 10127031307杨宏博390600841.531.5073.00 10127025804朱晶390600847.2-1.0047.20 10127041322徐智进3906008-1.0-1.00-1.00 10127011404胡敬银3906008-1.0-1.00-1.00 10127032623曹亚强3906008-1.0-1.00-1.00 10127023402张巧英3906008-1.0-1.00-1.00 10127031323张园志3906008-1.0-1.00-1.00 10127024624马亚丽3906008-1.0-1.00-1.00 10127025414王秀秀3906008-1.0-1.00-1.00 10127043604杨建美3906008-1.0-1.00-1.00 10127031814吴丹3906008-1.0-1.00-1.00 10127042820李德3906008-1.0-1.00-1.00 10127033222龙旭礼3906008-1.0-1.00-1.00 10127013719李倩3906008-1.0-1.00-1.00 10127043629杨文良3906008-1.0-1.00-1.00 10127010317苗国莲3906008-1.0-1.00-1.00 10127041316贾晓沛3906008-1.0-1.00-1.00 10127013626张梅3906008-1.0-1.00-1.00 10127024908杨龙龙3906008-1.0-1.00-1.00 10127010306李艳3906008-1.0-1.00-1.00 10127041623杜晓刚3906008-1.0-1.00-1.00 10127044401姬明月3906008-1.0-1.00-1.00 10127021605陈乐3906008-1.0-1.00-1.00 10127041511彭青龙3906008-1.0-1.00-1.00 10127034414汪斌3906008-1.0-1.00-1.00 10127012914王文杰3906008-1.0-1.00-1.00 10127014216张英3906008-1.0-1.00-1.00 10127043907汶学斌390700953.065.00118.00 10127034006李雅儒390700966.948.00114.90 10127012503张雪390700958.355.50113.80 10127033218郑蕤390700957.454.50111.90 10127043013李海燕390700953.158.50111.60 10127031005李晓虎390700951.756.50108.20 10127013217王紫萱390700961.646.00107.60 10127033626王炳辉390700955.551.50107.00 10127042212马纹390700951.455.00106.40 10127031224吴之宝390700959.146.50105.60 10127020524张明敏390700963.542.00105.50 10127030911王德华390700962.543.00105.50 10127030205宋礼鑫390700957.847.00104.80 10127023401周小渲390700954.350.50104.80 10127022009徐阿梅390700956.947.50104.40 10127041216柴潇悦390700959.045.00104.00 10127044519刘晓娟390700953.450.50103.90 10127043318梁博390700949.154.50103.6010127040216孙晓辉390700959.643.00102.60 10127014119曹晓华390700950.052.00102.00 10127034625张佳丽390700952.649.00101.60 10127044710景宁390700954.447.00101.40 10127022419贺雷390700950.949.50100.40 10127041222李萍雅390700955.744.0099.70 10127022304耿东梅390700954.045.5099.50 10127041726何栋390700958.141.0099.10 10127033901陈燕390700942.556.5099.00 10127020327于明涛390700955.443.5098.90 10127041325马媛聪390700957.341.5098.80 10127032110王杰390700956.842.0098.80 10127032220秦祯英390700955.242.5097.70 10127011314户永霞390700945.752.0097.70 10127030603苟芸霞390700943.253.5096.70 10127024313巫燕萍390700956.639.5096.10 10127043110侯雅婷390700951.744.0095.70 10127020128魏野390700952.543.0095.50 10127044630徐园园390700954.740.0094.70 10127041410司耀文390700946.547.5094.00 10127034002吕明炤390700944.249.5093.70 10127011525宋婷390700945.947.5093.40 10127034126齐忠怀390700951.142.0093.10 10127034315马雯390700953.039.5092.50 10127034803于勇清390700946.346.0092.30 10127012428樊晓丽390700945.347.0092.30 10127012616刘蓉390700952.039.5091.50 10127020106李红艳390700946.445.0091.40 10127012516范煜伟390700957.733.5091.20 10127010203张馨云390700948.642.5091.10 10127041509张金科390700944.646.5091.10 10127025930刘双双390700945.145.0090.10 10127010612赵林虎390700941.748.0089.70 10127042309曹倩390700946.443.0089.40 10127043320芦海青390700946.842.5089.30 10127023424张丽娟390700937.851.5089.30 10127024526杜志龙390700949.239.5088.70 10127025611向娟390700949.239.5088.70 10127032505姚等来390700946.042.5088.50 10127012619柳婉潇390700948.240.0088.20 10127024407尚小伟390700937.051.0088.00 10127034226马世巧390700937.750.0087.70 10127030714张玲芳390700942.045.5087.50 10127014325乔筱妍390700942.145.0087.10 10127030408高源390700952.534.5087.00 10127012103石雨玄390700949.637.0086.60 10127010603姚文杰390700947.838.5086.30 10127021419李昌聪390700947.239.0086.20 10127042411康青奎390700937.547.5085.00 10127031304陶涛390700943.841.0084.80 10127033416张婧390700939.045.5084.50 10127023510张耀魁390700951.932.5084.40 10127040226李志龙390700950.633.5084.10 10127023103李彩彩390700943.640.5084.1010127041711张艳艳390700945.638.0083.60 10127020803张鑫390700947.135.5082.60 10127025216王晓峰390700945.536.5082.00 10127025530冯中元390700944.237.5081.70 10127023513马妍捷390700946.435.0081.40 10127013503万旭花390700935.346.0081.30 10127033515曹浩亮390700935.346.0081.30 10127034123王立军390700943.237.5080.70 10127043412张红光390700947.832.5080.30 10127021807张亚青390700948.531.5080.00 10127031529李炳强390700937.841.5079.30 10127043823薛春菊390700941.937.0078.90 10127041304杨鹏吉390700941.337.5078.80 10127021220潘建刚390700938.139.0077.10 10127011122于红芳390700941.935.0076.90 10127034708李强390700947.229.0076.20 10127024128刘小燕390700940.235.0075.20 10127042708罗明亮390700938.735.5074.20 10127011324魏宾390700927.646.0073.60 10127011101王云龙390700940.832.0072.80 10127041828杨涛390700940.731.0071.70 10127012519罗丽丽390700935.236.5071.70 10127033018赵龙390700944.426.0070.40 10127020924魏志腾390700937.930.0067.90 10127030513王春艳390700934.528.0062.50 10127013114张健飞390700938.321.5059.80 10127023225贾淑玲390700948.5-1.0048.50 10127040108乔登锋390700933.3-1.0033.30 10127034004徐盼盼3907009-1.0-1.00-1.00 10127024121孟旭飞3907009-1.0-1.00-1.00 10127014522高金龙3907009-1.0-1.00-1.00 10127012329张亚丽3907009-1.0-1.00-1.00 10127031218张磊3907009-1.0-1.00-1.00 10127031811王菁瑶3907009-1.0-1.00-1.00 10127022127李璇3907009-1.0-1.00-1.00 10127020202王宇3907009-1.0-1.00-1.00 10127034124聂红霞3907009-1.0-1.00-1.00 10127013004焦剑3907009-1.0-1.00-1.00 10127023912李春霞3907009-1.0-1.00-1.00 10127022024刘世伟3907009-1.0-1.00-1.00 10127035120李昕3907009-1.0-1.00-1.00 10127023522温小婷3907009-1.0-1.00-1.00 10127035021杨伟3907009-1.0-1.00-1.00 10127043022王鹏程3907009-1.0-1.00-1.00 10127013607王洁3907009-1.0-1.00-1.00 10127034308李明滢3907009-1.0-1.00-1.00 10127014419黄雅琼390801057.551.50109.00 10127031105党媛馨390801057.648.50106.10 10127043522何颢390801060.144.50104.60 10127022914周莹390801053.946.0099.90 10127024104向羿铭390801053.446.5099.90 10127012901李婷婷390801055.035.5090.50 10127012625刘小莉390801043.440.5083.90 10127021718陈龙390801049.833.0082.8010127041228姚铜飞390801046.336.5082.80 10127012219王生亮390801039.937.0076.90 10127013419魏晓晖3908010-1.0-1.00-1.00 10127010129马旭升3908010-1.0-1.00-1.00 10127043726崔理晔390901166.350.50116.80 10127042901张永杰390901162.649.50112.10 10127025014张璐390901158.753.00111.70 10127011201张理390901163.248.00111.20 10127021507靳楠楠390901167.541.50109.00 10127034916杨凯390901154.853.50108.30 10127012825马艳390901146.261.50107.70 10127010622刘红霞390901157.549.00106.50 10127025730田挺390901154.351.00105.30 10127025027杜敏390901155.249.50104.70 10127044421郑建兰390901155.948.00103.90 10127021916贾安宁390901153.750.00103.70 10127031601王涵悦390901152.751.00103.70 10127021904王丽娟390901159.244.00103.20 10127032309赵伟390901158.844.00102.80 10127012611徐蓉蓉390901151.351.50102.80 10127030905刘兴誉390901147.954.50102.40 10127021502段婕390901157.844.50102.30 10127012828蒙晓楠390901147.155.00102.10 10127031805王蓉390901152.249.50101.70 10127025625陈鹏举390901152.049.00101.00 10127023228张静390901154.046.50100.50 10127033124李娜390901155.944.0099.90 10127012308郭向兵390901154.445.5099.90 10127042604梁建华390901160.139.5099.60 10127020621何思娴390901154.444.5098.90 10127043025郑茹390901149.149.5098.60 10127012205刘馨阳390901160.737.5098.20 10127011325雷雪莹390901157.241.0098.20 10127043126张罗刚390901148.250.0098.20 10127010113张雪艳390901152.945.0097.90 10127033227高永强390901147.250.5097.70 10127020512张永霞390901144.153.5097.60 10127044608高丽390901146.451.0097.40 10127013817郭世勇390901143.853.5097.30 10127040304牛丽君390901143.853.5097.30 10127031920郭蓉390901152.145.0097.10 10127013413吕雪蕊390901153.443.5096.90 10127014513朱振瑞390901147.449.5096.90 10127041123邓雅琪390901156.240.0096.20 10127030803于秀390901153.143.0096.10 10127033717肖瑞芳390901149.546.0095.50 10127014024王一390901150.844.5095.30 10127030201张鹏390901143.751.5095.20 10127043302张永刚390901152.542.5095.00 10127024514蔡卫娜390901147.947.0094.90 10127042725贾冬梅390901154.140.5094.60 10127030305段惠芳390901144.949.0093.90 10127040711倪婷390901143.950.0093.90 10127033113贺欣390901148.944.5093.4010127024708贾丽娜390901149.643.5093.10 10127024525闫雪390901145.048.0093.00 10127030430宋艳丽390901146.346.5092.80 10127013122张翼390901155.437.0092.40 10127012817罗彬390901152.839.5092.30 10127034918景欢欢390901150.341.5091.80 10127030813张海民390901146.745.0091.70 10127011327刘军香390901150.641.0091.60 10127030815张晨光390901158.932.5091.40 10127012820张一川390901153.737.0090.70 10127041102张亚玲390901145.145.5090.60 10127020125乔莺390901141.649.0090.60 10127025201景翔390901147.542.5090.00 10127040609曹琬雪390901145.944.0089.90 10127014505张等龙390901142.047.5089.50 10127040820马婕390901148.341.0089.30 10127010627车军伟390901145.344.0089.30 10127043714王云周390901143.346.0089.30 10127023814张婷390901150.139.0089.10 10127024614曹亚宁390901152.736.0088.70 10127030529陈爱民390901144.244.5088.70 10127031901张科390901142.646.0088.60 10127023920贾妍妍390901150.438.0088.40 10127021122史鹏举390901147.441.0088.40 10127014103吴琼390901143.444.5087.90 10127033212郑耀文390901149.738.0087.70 10127040730张冬霞390901141.246.5087.70 10127021229张永泰390901150.137.5087.60 10127024920赵梦390901147.640.0087.60 10127010312李雪莹390901149.338.0087.30 10127043325关仲伟390901148.838.5087.30 10127010625杨瑞瑞390901144.243.0087.20 10127024212林霄390901142.644.0086.60 10127031424周芸靖390901142.244.0086.20 10127024604肖旭东390901143.043.0086.00 10127020805夏文娟390901143.442.5085.90 10127044026贾武强390901145.140.5085.60 10127042719刘曦390901144.641.0085.60 10127041409徐丹390901143.841.5085.30 10127010222朱鹏飞390901142.842.5085.30 10127022207张小娜390901151.733.5085.20 10127033313马系玺390901146.239.0085.20 10127040910张强利390901146.738.0084.70 10127031327刘艳子390901136.947.5084.40 10127033118侯领弟390901145.239.0084.20 10127025307刘艳芳390901145.638.5084.10 10127011316樊文静390901138.645.5084.10 10127031710丁万春390901141.842.0083.80 10127012407史莹春390901147.036.5083.50 10127021403高兴盛390901135.448.0083.40 10127043708米伟东390901143.040.0083.00 10127023503王德390901139.044.0083.00 10127022216张虹390901141.741.0082.70 10127043311慕建华390901133.648.5082.1010127012107金婧390901148.533.5082.00 10127011514王东390901139.842.0081.80 10127042410杨小龙390901140.741.0081.70 10127032126路兵兵390901148.932.0080.90 10127021519李丹青390901146.734.0080.70 10127025221史虎城390901144.635.0079.60 10127032324靳恩迅390901138.641.0079.60 10127025425张桃桃390901138.541.0079.50 10127033315王雯婧390901140.938.5079.40 10127043918朱德胜390901138.341.0079.30 10127032114焦素贞390901142.137.0079.10 10127011105樊钰玉390901142.336.5078.80 10127042124陈浩斌390901142.736.0078.70 10127032019念娜390901143.235.0078.20 10127012724何鸿伟390901138.539.5078.00 10127034523杨克勇390901144.233.5077.70 10127032423刘小利390901146.631.0077.60 10127043712邢华390901144.533.0077.50 10127011016杨对梅390901142.734.5077.20 10127022626张文新390901139.637.5077.10 10127011224张辉390901139.937.0076.90 10127030221牛媛媛390901137.439.5076.90 10127010910孔玉虎390901138.937.5076.40 10127013829李绿林390901133.942.5076.40 10127044407杜文斌390901141.335.0076.30 10127024022段利科390901139.237.0076.20 10127012528杨九辉390901139.835.5075.30 10127011816张飞390901134.240.0074.20 10127023808何薛莹390901144.629.5074.10 10127022018赵婷390901139.634.5074.10 10127024124秦蕊娟390901144.030.0074.00 10127012905贾真辉390901149.424.5073.90 10127041521杨婷婷390901133.839.5073.30 10127022704孙国颖390901133.639.5073.10 10127013423魏云云390901136.835.5072.30 10127025215陈思岑390901139.732.5072.20 10127021730王妍妍390901135.536.5072.00 10127031921陶雪瑞390901134.038.0072.00 10127031012赵峰390901137.833.0070.80 10127044115王晓390901136.834.0070.80 10127033211郭涛390901139.828.5068.30 10127014113孙彩梅390901131.836.5068.30 10127034130王晓东390901137.230.5067.70 10127032523朱国海390901128.239.5067.70 10127032627李春娟390901133.833.5067.30 10127031714薛博仁390901137.529.5067.00 10127022426王锡奎390901132.434.0066.40 10127011916杨勇390901139.925.5065.40 10127025219丁鹏飞390901128.836.5065.30 10127042518焦海琼390901132.233.0065.20 10127023016张倩390901131.233.5064.70 10127033721曹洪伟390901137.127.5064.60 10127030413朱龙390901136.525.0061.50 10127033805赵飞390901130.129.5059.6010127020215赵婧宇390901131.125.0056.10 10127010526李红英390901126.129.5055.60 10127044617邸孟亮390901133.618.5052.10 10127043327张佐凯390901125.925.0050.90 10127033202杜海平390901150.0-1.0050.00 10127044403李莉390901145.5-1.0045.50 10127041327刘国辉390901141.9-1.0041.90 10127025109朱晓青390901140.4-1.0040.40 10127041419杨永刚390901134.5-1.0034.50 10127031517张林390901126.5-1.0026.50 10127030625黄甜3909011-1.0-1.00-1.00 10127042524王珍茜3909011-1.0-1.00-1.00 10127043330赵国庆3909011-1.0-1.00-1.00 10127013416柳婧3909011-1.0-1.00-1.00 10127020604张贺丽3909011-1.0-1.00-1.00 10127034529韩文悌3909011-1.0-1.00-1.00 10127031010秦红娟3909011-1.0-1.00-1.00 10127011904陈茂通3909011-1.0-1.00-1.00 10127031709王海娇3909011-1.0-1.00-1.00 10127025422张婷婷3909011-1.0-1.00-1.00 10127023116雷敏3909011-1.0-1.00-1.00 10127011406王飞3909011-1.0-1.00-1.00 10127012018郭文福3909011-1.0-1.00-1.00 10127012808张瑞3909011-1.0-1.00-1.00 10127021814温亚军3909011-1.0-1.00-1.00 10127034703张丽娟3909011-1.0-1.00-1.00 10127013801安海琴3909011-1.0-1.00-1.00 10127035001关冰3909011-1.0-1.00-1.00 10127013116王笛3909011-1.0-1.00-1.00 10127043816冯娟3909011-1.0-1.00-1.00 10127022606何生权3909011-1.0-1.00-1.00 10127035130张娅妮3909011-1.0-1.00-1.00 10127012309范博祥3909011-1.0-1.00-1.00 10127012627刘天龙3909011-1.0-1.00-1.00 10127044404陈泽琼3909011-1.0-1.00-1.00 10127024006范亚榕3909011-1.0-1.00-1.00 10127026002王兴涛3909011-1.0-1.00-1.00 10127022521张小丽3909011-1.0-1.00-1.00 10127021717王永生391001262.155.50117.60 10127024715张倍蓓391001262.546.50109.00 10127043718张平391001258.847.00105.80 10127012719仇蓓391001260.045.50105.50 10127030214谭雯心391001257.448.00105.40 10127022517丁丽琼391001255.248.50103.70 10127010125张晓娅391001252.550.50103.00 10127021218马占存391001252.050.50102.50 10127013812方颖391001259.942.50102.40 10127035004高荣华391001256.645.50102.10 10127031329马茗391001244.657.50102.10 10127041716甘翔391001251.850.00101.80 10127021102谢钰391001255.645.00100.60 10127011908吕正强391001250.650.00100.60 10127034117王小兰391001246.554.00100.50 10127041603魏旭391001254.445.5099.9010127033506王云生391001251.448.0099.40 10127042115蒋亮亮391001251.047.5098.50 10127044222赵健祥391001261.236.5097.70 10127020927杨菲391001246.751.0097.70 10127033021瞿艳391001250.645.5096.10 10127030602李娜391001261.035.0096.00 10127041514马玲391001246.749.0095.70 10127021908薛继龙391001255.440.0095.40 10127042530穆文星391001243.451.0094.40 10127042426郑飞391001255.438.5093.90 10127012529吴青梅391001254.839.0093.80 10127040314温鹏鹏391001253.540.0093.50 10127022717朱银丽391001254.938.5093.40 10127024409史晓刚391001240.952.0092.90 10127014422张泽岳391001256.536.0092.50 10127025306杜文虎391001251.541.0092.50 10127032122张春艳391001246.546.0092.50 10127040527翟小强391001249.942.0091.90 10127010128闫瑛391001249.342.5091.80 10127014122周能能391001255.736.0091.70 10127040109路瑶391001253.138.5091.60 10127010515马楠391001249.342.0091.30 10127025225陈艳娜391001250.839.5090.30 10127043115张馨391001245.344.5089.80 10127040803赵清娟391001242.347.5089.80 10127031830姚立轩391001251.538.0089.50 10127043927张军帅391001249.239.5088.70 10127030621刘明伟391001252.236.0088.20 10127011628王泽兴391001240.946.5087.40 10127023105田密391001237.849.5087.30 10127025612张彪391001248.638.5087.10 10127020317赵文祥391001239.647.5087.10 10127023919彭亚妮391001247.040.0087.00 10127023412朱永刚391001253.933.0086.90 10127041607张高强391001241.845.0086.80 10127022809谭振强391001245.241.0086.20 10127023504韩文391001245.640.5086.10 10127021101李彬391001246.839.0085.80 10127013018仝雅婷391001243.342.5085.80 10127013716董红英391001248.437.0085.40 10127024111郭敏391001251.833.5085.30 10127032603梁雪姣391001244.740.5085.20 10127022403朱旭鹏391001245.439.5084.90 10127032812张卓391001246.437.5083.90 10127024818曹原391001240.642.5083.10 10127011614何山391001248.035.0083.00 10127031021张鹏鹏391001243.939.0082.90 10127024218杨洋391001243.739.0082.70 10127041203陈艳391001242.640.0082.60 10127022303赵建龙391001250.532.0082.50 10127032628叶雪萍391001243.539.0082.50 10127025514张蓉391001238.743.5082.20 10127012206马晓春391001244.537.5082.00 10127025904冯玉聪391001244.737.0081.7010127035027马春阳391001250.531.0081.50 10127032018王旭龙391001247.134.0081.10 10127041510马倩391001238.442.5080.90 10127021907李悦春391001240.939.5080.40 10127012630李顺达391001243.337.0080.30 10127041820王小娟391001248.731.5080.20 10127043526张潇俪391001246.933.0079.90 10127023128赵宁宁391001246.133.5079.60 10127013911史明霞391001240.339.0079.30 10127042111姚翠翠391001234.145.0079.10 10127040625曹鹤391001243.335.5078.80 10127024718张丽391001242.836.0078.80 10127031401者丽娟391001238.939.5078.40 10127032303王欣391001249.328.5077.80 10127022308郭佳雯391001232.644.5077.10 10127022720王强391001226.550.5077.00 10127025108强燕燕391001230.246.5076.70 10127025022康红霞391001243.433.0076.40 10127030219李剑飞391001241.035.0076.00 10127025402马宏伟391001231.943.5075.40 10127022224刘娟娟391001244.629.5074.10 10127041901张毓391001236.837.0073.80 10127044402曾瑞婷391001233.540.0073.50 10127044714张艳391001238.435.0073.40 10127031915宋小娟391001236.736.5073.20 10127032108岳岩391001234.336.5070.80 10127033328刘利霞391001232.738.0070.70 10127020902岳子皓391001240.829.0069.80 10127020504张夏391001237.632.0069.60 10127026021聂伟391001242.527.0069.50 10127033710关钰玄391001236.831.5068.30 10127010114刘梅391001222.343.5065.80 10127040723张瑞391001235.730.0065.70 10127013229张婷婷391001232.831.5064.30 10127013613李海英391001227.536.5064.00 10127043516高睿焓391001236.726.0062.70 10127034118安敬丽391001232.730.0062.70 10127024617汝建华391001226.935.0061.90 10127012722王珍珍391001230.530.5061.00 10127031216汝君丽391001234.025.5059.50 10127034502薛海瑞391001235.823.0058.80 10127022124白红燕391001229.628.5058.10 10127013605张慧娟391001225.931.0056.90 10127043628杜洋391001247.3-1.0047.30 10127023722朱彬391001242.8-1.0042.80 10127020716张楷沅391001237.8-1.0037.80 10127030730朱乐乐391001233.8-1.0033.80 10127014001荆红丹3910012-1.0-1.00-1.00 10127042229王敏3910012-1.0-1.00-1.00 10127013505巨燕妮3910012-1.0-1.00-1.00 10127024911张茜3910012-1.0-1.00-1.00 10127032008朱海霞3910012-1.0-1.00-1.00 10127011925马月月3910012-1.0-1.00-1.00 10127032325冯甲鸿3910012-1.0-1.00-1.00。
特岗教排名顺序号民族代课老基础科专业科地市县区职位姓名准考证号笔试成绩崆峒区农村中小学文科教师朱晟0127010302012031059811汉族否甘肃省平凉市崆峒区农村中小学文科教师廖磊0127010303122021059722汉族否甘肃省平凉市崆峒区农村中小学文科教师白小凤0127010302241961029433汉族否甘肃省平凉市崆峒区农村中小学文科教师杨倩0127010302301951088744汉族否甘肃省平凉市崆峒区农村中小学文科教师高小婷0127010301161931039055汉族否甘肃省平凉市崆峒区农村中小学文科教师朱建丽0127010301121921038966汉族否甘肃省平凉市崆峒区农村中小学文科教师贺婷婷012701030127190989277汉族否甘肃省平凉市崆峒区农村中小学文科教师乔云鹏0127010302191878998810汉族否甘肃省平凉市崆峒区农村中小学文科教师张秀女0127010303081871028588汉族否甘肃省平凉市崆峒区农村中小学文科教师徐海东012701030318187949389汉族否甘肃省平凉市甘肃省平凉市崆峒区农村中小学文科教师刘静静012701030227186103831111汉族否崆峒区农村中小学文科教师黄玲娟01270103012618594911212汉族否甘肃省平凉市崆峒区农村中小学文科教师马天娇012701030119184102821313少数民族否甘肃省平凉市崆峒区农村中小学文科教师白莹012701030124184109751314少数民族否甘肃省平凉市崆峒区农村中小学文科教师张雅丽012701030303184104801315汉族否甘肃省平凉市崆峒区农村中小学文科教师张丹012701030217183114691616少数民族否甘肃省平凉市甘肃省平凉市崆峒区农村中小学文科教师唐瑞01270103030218198831717少数民族否崆峒区农村中小学文科教师仇蓓01270103010418095851818汉族否甘肃省平凉市崆峒区农村中小学文科教师徐敏婕012701030221176102741919汉族否甘肃省平凉市甘肃省平凉市崆峒区农村中小学文科教师唐剑红012701030307175100752021汉族否崆峒区农村中小学文科教师姚曦雯012701030106175101742020汉族否甘肃省平凉市崆峒区农村中小学文科教师何蓉01270103011317497772223汉族否甘肃省平凉市崆峒区农村中小学文科教师杨克勇01270103031017487872222汉族否甘肃省平凉市崆峒区农村中小学文科教师王文文01270103011417398752424汉族否甘肃省平凉市崆峒区农村中小学文科教师史蓉012701030212173104692425汉族否甘肃省平凉市崆峒区农村中小学文科教师刘小星01270103021317378952426汉族否甘肃省平凉市崆峒区农村中小学文科教师陈斐012701030122169101682727汉族否甘肃省平凉市崆峒区农村中小学文科教师沈琴01270103011716890782828汉族否甘肃省平凉市崆峒区农村中小学文科教师虢婷01270103020616799682929汉族否甘肃省平凉市崆峒区农村中小学文科教师温海平01270103012516676903030少数民族否甘肃省平凉市崆峒区农村中小学文科教师纳小连012701030102166100663031汉族否甘肃省平凉市甘肃省平凉市崆峒区农村中小学文科教师刘瑛01270103012316582833233汉族否崆峒区农村中小学文科教师余洁茹01270103020916585803234汉族否甘肃省平凉市甘肃省平凉市崆峒区农村中小学文科教师张晓旭01270103021116587783235汉族否崆峒区农村中小学文科教师朱正勇01270103032016591743232汉族否甘肃省平凉市崆峒区农村中小学文科教师史皎洁01270103011816485793637少数民族否甘肃省平凉市崆峒区农村中小学文科教师张艳茹01270103011016497673636汉族否甘肃省平凉市崆峒区农村中小学文科教师李莹莹01270103020716382813838汉族否甘肃省平凉市崆峒区农村中小学文科教师安兴东01270103020316284783939汉族否甘肃省平凉市崆峒区农村中小学文科教师白玉洁01270103021516283793941汉族否甘肃省平凉市崆峒区农村中小学文科教师张海亮01270103032116291713940汉族否甘肃省平凉市崆峒区农村中小学文科教师韩潇乐01270103030916190714243汉族否甘肃省平凉市崆峒区农村中小学文科教师崔艳01270103012016197644242少数民族否甘肃省平凉市崆峒区农村中小学文科教师安丽01270103012916097634444汉族否甘肃省平凉市崆峒区农村中小学文科教师易瑞凤01270103022616079814445少数民族否甘肃省平凉市崆峒区农村中小学文科教师史云霞01270103032516090704446汉族否甘肃省平凉市崆峒区农村中小学文科教师秦莉莎01270103022915975844749汉族否甘肃省平凉市崆峒区农村中小学文科教师王晓阳01270103020215977824748汉族否甘肃省平凉市崆峒区农村中小学文科教师陈欣01270103010515981784747汉族否甘肃省平凉市甘肃省平凉市崆峒区农村中小学文科教师樊院平01270103031615876825050汉族否崆峒区农村中小学文科教师许晓燕01270103013015794635151汉族否甘肃省平凉市甘肃省平凉市崆峒区农村中小学文科教师闫甜甜01270103030415690665252汉族否崆峒区农村中小学文科教师常乐01270103020515592635354汉族否甘肃省平凉市崆峒区农村中小学文科教师杜婷01270103012115585705353汉族否甘肃省平凉市崆峒区农村中小学文科教师敬烨01270103032415580755355汉族否甘肃省平凉市崆峒区农村中小学文科教师刘晶01270103031515395585656汉族否甘肃省平凉市崆峒区农村中小学文科教师李建江01270103031915375785657汉族否甘肃省平凉市崆峒区农村中小学文科教师朱小芳01270103032215282705858汉族否甘肃省平凉市甘肃省平凉市崆峒区农村中小学文科教师郭玉茹01270103011515287655859汉族否崆峒区农村中小学文科教师荆佳蕊01270103021415285675860汉族否甘肃省平凉市崆峒区农村中小学文科教师徐静01270103010315181706161汉族否甘肃省平凉市甘肃省平凉市崆峒区农村中小学文科教师崔悦白01270103032315173786162汉族否崆峒区农村中小学文科教师白本周01270103010815079716363少数民族否甘肃省平凉市崆峒区农村中小学文科教师路文燕01270103030515084666364汉族否甘肃省平凉市崆峒区农村中小学文科教师赵杰01270103022314987626566汉族否甘肃省平凉市崆峒区农村中小学文科教师杨晓瑞01270103011114989606565汉族否甘肃省平凉市崆峒区农村中小学文科教师贺丽娜01270103031314779686767汉族否甘肃省平凉市崆峒区农村中小学文科教师朱玉芳01270103032614684626868汉族否甘肃省平凉市崆峒区农村中小学文科教师罗昕艳01270103022814577686970汉族否甘肃省平凉市崆峒区农村中小学文科教师朱蕊01270103010114583626969汉族否甘肃省平凉市崆峒区农村中小学文科教师陈星星01270103030114377667171汉族否甘肃省平凉市崆峒区农村中小学文科教师刘姿麟01270103022014274687274汉族否甘肃省平凉市崆峒区农村中小学文科教师沈乐乐01270103031114279637273汉族否甘肃省平凉市甘肃省平凉市崆峒区农村中小学文科教师武静01270103020414273697272汉族否崆峒区农村中小学文科教师马雪琴01270103020813562737575少数民族否甘肃省平凉市崆峒区农村中小学文科教师唐颜平01270103010713462727676汉族否甘肃省平凉市崆峒区农村中小学文科教师马红霞01270103021612967627777少数民族否甘肃省平凉市崆峒区农村中小学文科教师马小荣01270103021012563627878少数民族否甘肃省平凉市崆峒区农村中小学文科教师姜宇凤01270103021812166557979汉族否甘肃省平凉市甘肃省平凉市崆峒区农村中小学文科教师蔡永锋01270103031712066548080少数民族否崆峒区农村中小学文科教师韦娜01270103030611764538181汉族否甘肃省平凉市崆峒区农村中小学文科教师杜海娟01270103022510754538282汉族否甘肃省平凉市甘肃省平凉市崆峒区农村中小学文科教师朱婉莹012701030222-1-1-18383汉族否崆峒区农村中小学文科教师张奎012701030128-1-1-18386汉族否甘肃省平凉市崆峒区农村中小学文科教师刘佳姿012701030109-1-1-18384汉族否甘肃省平凉市崆峒区农村中小学文科教师秦伟平012701030314-1-1-18385少数民族否甘肃省平凉市崆峒区农村中小学理科教师潘富强02270103151623411112311汉族否甘肃省平凉市崆峒区农村中小学理科教师吴玉斌02270103160123011311722少数民族否甘肃省平凉市崆峒区农村中小学理科教师朱瑞仙02270103161522910612333汉族否甘肃省平凉市崆峒区农村中小学理科教师陈慧02270103152222710412344汉族否甘肃省平凉市崆峒区农村中小学理科教师赵志强02270103161722611311355汉族否甘肃省平凉市崆峒区农村中小学理科教师王凡02270103151022210411866汉族否甘肃省平凉市崆峒区农村中小学理科教师冶海霞02270103152022111210977少数民族否甘肃省平凉市崆峒区农村中小学理科教师田红星02270103160821810511388汉族否甘肃省平凉市甘肃省平凉市崆峒区农村中小学理科教师仇静静022701031525214100114910汉族否崆峒区农村中小学理科教师高荣华02270103151321411210299汉族否甘肃省平凉市崆峒区农村中小学理科教师李英英0227010315122131041091111汉族否甘肃省平凉市崆峒区农村中小学理科教师李彬022701031515213891241112汉族否甘肃省平凉市崆峒区农村中小学理科教师杨玉宝022701031603213911221113汉族否甘肃省平凉市崆峒区农村中小学理科教师杨忠红0227010315302131041091114汉族否甘肃省平凉市甘肃省平凉市崆峒区农村中小学理科教师张永杰022701031618212921201515汉族否崆峒区农村中小学理科教师田兴娟0227010316072111021091618汉族否甘肃省平凉市崆峒区农村中小学理科教师马东022701031527211901211616少数民族否甘肃省平凉市甘肃省平凉市崆峒区农村中小学理科教师余广军022701031523211971141617少数民族否崆峒区农村中小学理科教师陈爱民022701031506211971141619汉族否甘肃省平凉市崆峒区农村中小学理科教师赵文华022701031514208921162020汉族否甘肃省平凉市崆峒区农村中小学理科教师张欣022701031609208971112021汉族否甘肃省平凉市崆峒区农村中小学理科教师李国栋022701031502207901172222汉族否甘肃省平凉市崆峒区农村中小学理科教师杨静文022701031508205951102323汉族否甘肃省平凉市崆峒区农村中小学理科教师杨蕊022701031613200931072424汉族否甘肃省平凉市崆峒区农村中小学理科教师郝利利022701031519200941062425汉族否甘肃省平凉市崆峒区农村中小学理科教师马永强022701031616199931062627汉族否甘肃省平凉市崆峒区农村中小学理科教师焦虎强022701031619199931062626汉族否甘肃省平凉市甘肃省平凉市崆峒区农村中小学理科教师王文伟022701031529194871072828汉族否崆峒区农村中小学理科教师王海峰022701031612193821112929汉族否甘肃省平凉市崆峒区农村中小学理科教师闫录明022701031521193741192930汉族否甘肃省平凉市崆峒区农村中小学理科教师李斌02270103160619091993131少数民族否甘肃省平凉市崆峒区农村中小学理科教师宋莉红022701031501181771043232汉族否甘肃省平凉市崆峒区农村中小学理科教师仇小龙022701031528178731053333汉族否甘肃省平凉市崆峒区农村中小学理科教师李文娟022701031517177761013434汉族否甘肃省平凉市崆峒区农村中小学理科教师杨小虎022701031524176731033535少数民族否甘肃省平凉市崆峒区农村中小学理科教师张忠伟022701031611173671063636汉族否甘肃省平凉市崆峒区农村中小学理科教师马世生02270103160417379943637少数民族否甘肃省平凉市崆峒区农村中小学理科教师马建军02270103150417179923838少数民族否甘肃省平凉市崆峒区农村中小学理科教师马蓉02270103151817081893939少数民族否甘肃省平凉市崆峒区农村中小学理科教师梁洪伟022701031507165651004040汉族否甘肃省平凉市崆峒区农村中小学理科教师安莹02270103150916271914141少数民族否甘肃省平凉市崆峒区农村中小学理科教师王亮亮02270103160215976834242汉族否甘肃省平凉市崆峒区农村中小学理科教师陈刚02270103152615565904343汉族否甘肃省平凉市崆峒区农村中小学理科教师姬平阳02270103150515459954444少数民族否甘肃省平凉市崆峒区农村中小学理科教师张小娟02270103160515366874545汉族否甘肃省平凉市崆峒区农村中小学理科教师沈珊珊02270103161015163884646汉族否甘肃省平凉市崆峒区农村中小学理科教师寇宁02270103150314147944747少数民族否甘肃省平凉市崆峒区农村中小学理科教师曹阳02270103151112657694848汉族否甘肃省平凉市崆峒区农村中小学理科教师徐凤婕022*********-1-1-14949汉族否甘肃省平凉市甘肃省平凉市洪珂楠0327010325142031069711汉族否崆峒区农村中小学音体美教师白萍丽0327010328152001039722汉族否甘肃省平凉市崆峒区农村中小学音体美教师唐杨0327010329161971049333汉族否崆峒区农村中小学音体美教师甘肃省平凉市崆峒区农村中小学音体美教师石燕龙0327010325111951078844汉族否甘肃省平凉市丁小龙032701032829190959555少数民族否崆峒区农村中小学音体美教师甘肃省平凉市崆峒区农村中小学音体美教师王怡文0327010329171891078266汉族否甘肃省平凉市崆峒区农村中小学音体美教师涂晓东032701032609185949177汉族否甘肃省平凉市任倩032701032821183899488汉族否崆峒区农村中小学音体美教师甘肃省平凉市李红瑞032701032723182909299汉族否崆峒区农村中小学音体美教师甘肃省平凉市崆峒区农村中小学音体美教师王荣03270103291118189921010少数民族否甘肃省平凉市朱兰君03270103272217998811111汉族否崆峒区农村中小学音体美教师甘肃省平凉市刘莹03270103251017889891212汉族否崆峒区农村中小学音体美教师甘肃省平凉市崆峒区农村中小学音体美教师穆蕊03270103261517794831313少数民族否甘肃省平凉市秦小利03270103271217691851414汉族否崆峒区农村中小学音体美教师甘肃省平凉市王丽颖032701032805174101731516汉族否崆峒区农村中小学音体美教师甘肃省平凉市崆峒区农村中小学音体美教师赵敏03270103290917483911515汉族否甘肃省平凉市徐艳婷03270103290417292801718汉族否崆峒区农村中小学音体美教师甘肃省平凉市樊舟03270103280617294781717汉族否甘肃省平凉市崆峒区农村中小学音体美教师崆峒区农村中小学音体美教师段永廷03270103261617286861719汉族否甘肃省平凉市钟纪红03270103252917282901720汉族否崆峒区农村中小学音体美教师甘肃省平凉市冯婕03270103261917185862122汉族否崆峒区农村中小学音体美教师甘肃省平凉市崆峒区农村中小学音体美教师刘静03270103272117185862121汉族否甘肃省平凉市邓焱之03270103252017086842323汉族否崆峒区农村中小学音体美教师甘肃省平凉市叶星03270103250416785822424汉族否甘肃省平凉市崆峒区农村中小学音体美教师崆峒区农村中小学音体美教师杨卓03270103290716776912425汉族否甘肃省平凉市王元03270103272616689772626汉族否崆峒区农村中小学音体美教师甘肃省平凉市安洁03270103262416685812627少数民族否甘肃省平凉市崆峒区农村中小学音体美教师崆峒区农村中小学音体美教师孟立龙03270103263016579862828汉族否甘肃省平凉市乔小兵03270103252116484802932汉族否甘肃省平凉市崆峒区农村中小学音体美教师甘肃省平凉市沈辉03270103270616478862931汉族否崆峒区农村中小学音体美教师蒙绍师03270103290316479852929汉族否崆峒区农村中小学音体美教师甘肃省平凉市陈媛梅03270103292216381823333汉族否崆峒区农村中小学音体美教师甘肃省平凉市何文娟03270103292316272903434汉族否甘肃省平凉市崆峒区农村中小学音体美教师崆峒区农村中小学音体美教师朱玉潇03270103290516286763435汉族否甘肃省平凉市包荣荣03270103272916183783636少数民族否崆峒区农村中小学音体美教师甘肃省平凉市白英杰03270103262516178833637少数民族否崆峒区农村中小学音体美教师甘肃省平凉市崆峒区农村中小学音体美教师雷芳03270103262016088723838汉族否甘肃省平凉市郭志威03270103261316074863839汉族否崆峒区农村中小学音体美教师甘肃省平凉市崆峒区农村中小学音体美教师杨林轩03270103261215979804040汉族否甘肃省平凉市王源祥03270103261415886724141汉族否崆峒区农村中小学音体美教师甘肃省平凉市李浚铜03270103270815876824142汉族否崆峒区农村中小学音体美教师甘肃省平凉市宋亚妮03270103262715677794343汉族否崆峒区农村中小学音体美教师甘肃省平凉市王箐03270103250515573824445汉族否甘肃省平凉市崆峒区农村中小学音体美教师崆峒区农村中小学音体美教师武嘉琳03270103281115587684444汉族否甘肃省平凉市兰丽霞03270103290615378754647少数民族否崆峒区农村中小学音体美教师甘肃省平凉市钟彩荣03270103250815378754646汉族否崆峒区农村中小学音体美教师甘肃省平凉市崆峒区农村中小学音体美教师李少泽03270103282215287654848汉族否甘肃省平凉市王东03270103282615171804949汉族否崆峒区农村中小学音体美教师甘肃省平凉市崆峒区农村中小学音体美教师吕烨03270103280315169824950汉族否甘肃省平凉市崆峒区农村中小学音体美教师赵钰钰03270103262215174774951汉族否甘肃省平凉市朱倩03270103261115080705252汉族否崆峒区农村中小学音体美教师甘肃省平凉市崆峒区农村中小学音体美教师马莹君03270103260215073775253汉族否甘肃省平凉市丁琪03270103271115064865254汉族否崆峒区农村中小学音体美教师甘肃省平凉市孙健晧03270103282014989605557汉族否崆峒区农村中小学音体美教师甘肃省平凉市陈辉03270103260614968815555少数民族否崆峒区农村中小学音体美教师甘肃省平凉市崆峒区农村中小学音体美教师王建国03270103261814970795556汉族否甘肃省平凉市崆峒区农村中小学音体美教师朱宏彬03270103260314872765859汉族否甘肃省平凉市杨文03270103282514869795858汉族否崆峒区农村中小学音体美教师甘肃省平凉市崆峒区农村中小学音体美教师童伟03270103290814785626060少数民族否甘肃省平凉市田青03270103250914768796061汉族否崆峒区农村中小学音体美教师甘肃省平凉市高亮忠03270103260814769786062汉族否崆峒区农村中小学音体美教师甘肃省平凉市吴云霞03270103261714667796363少数民族否崆峒区农村中小学音体美教师甘肃省平凉市王鹏03270103282714581646464汉族否崆峒区农村中小学音体美教师甘肃省平凉市崆峒区农村中小学音体美教师章婷03270103291814585606465汉族否甘肃省平凉市王彦平03270103262314370736666汉族否崆峒区农村中小学音体美教师甘肃省平凉市崆峒区农村中小学音体美教师周婧钰03270103260514264786767汉族否甘肃省平凉市李俊纬03270103282414259836768汉族否崆峒区农村中小学音体美教师甘肃省平凉市范丽丽03270103282814078626969汉族否崆峒区农村中小学音体美教师甘肃省平凉市李帼媛03270103252313967727070汉族否崆峒区农村中小学音体美教师甘肃省平凉市任海涛03270103252213858807171汉族否甘肃省平凉市崆峒区农村中小学音体美教师崆峒区农村中小学音体美教师杨文静03270103251213873657172汉族否甘肃省平凉市瞿涛03270103250613872667173汉族否崆峒区农村中小学音体美教师甘肃省平凉市崆峒区农村中小学音体美教师汝善成03270103283013861777174汉族否甘肃省平凉市何岳岳03270103280813871677176汉族否崆峒区农村中小学音体美教师甘肃省平凉市曹蕊03270103280413866727175汉族否崆峒区农村中小学音体美教师甘肃省平凉市陈永生03270103271913766717780汉族否崆峒区农村中小学音体美教师甘肃省平凉市邸源03270103281813757807777汉族否甘肃省平凉市崆峒区农村中小学音体美教师崆峒区农村中小学音体美教师刘文强03270103252713768697778汉族否甘肃省平凉市马勇03270103252413754837779少数民族否崆峒区农村中小学音体美教师甘肃省平凉市崆峒区农村中小学音体美教师车国永03270103280913651858182汉族否甘肃省平凉市魏福龙03270103291313672648181少数民族否崆峒区农村中小学音体美教师甘肃省平凉市马文华03270103281413556798383汉族否甘肃省平凉市崆峒区农村中小学音体美教师侯剑男03270103270313561748384汉族否甘肃省平凉市崆峒区农村中小学音体美教师甘肃省平凉市文青03270103281213462728585汉族否崆峒区农村中小学音体美教师朱永涛03270103280213358758787汉族否崆峒区农村中小学音体美教师甘肃省平凉市袁毓阳03270103253013269638888汉族否崆峒区农村中小学音体美教师甘肃省平凉市徐德芳03270103271413152798989汉族否甘肃省平凉市崆峒区农村中小学音体美教师崆峒区农村中小学音体美教师宋燕子03270103281713075559090汉族否甘肃省平凉市李正兴03270103271612970599191汉族否崆峒区农村中小学音体美教师甘肃省平凉市张燕妮03270103251512962679193汉族否崆峒区农村中小学音体美教师甘肃省平凉市崆峒区农村中小学音体美教师张丽03270103270412961689192汉族否甘肃省平凉市马野03270103291412973569194汉族否崆峒区农村中小学音体美教师甘肃省平凉市崆峒区农村中小学音体美教师周娜03270103292612973569195汉族否甘肃省平凉市司婷婷03270103273012864649696汉族否崆峒区农村中小学音体美教师甘肃省平凉市马福军03270103272812861679697少数民族否崆峒区农村中小学音体美教师甘肃省平凉市贾海平032701032710127646398101汉族否崆峒区农村中小学音体美教师甘肃省平凉市柳欢桐03270103281312768599898汉族否甘肃省平凉市崆峒区农村中小学音体美教师崆峒区农村中小学音体美教师李彤032701032910127557298100汉族否甘肃省平凉市张艳03270103291512758699899汉族否崆峒区农村中小学音体美教师甘肃省平凉市刘永和0327010327241256461102102汉族否崆峒区农村中小学音体美教师甘肃省平凉市崆峒区农村中小学音体美教师席聪0327010329191245371103103汉族否甘肃省平凉市田莉0327010329121235271104104少数民族否崆峒区农村中小学音体美教师甘肃省平凉市崆峒区农村中小学音体美教师赵小玲0327010328191237746104105汉族否甘肃省平凉市崆峒区农村中小学音体美教师王敏0327010325261226260106106汉族否甘肃省平凉市常菁0327010328011215071107108少数民族否崆峒区农村中小学音体美教师甘肃省平凉市崆峒区农村中小学音体美教师孙跃倩0327010327201217051107107汉族否甘肃省平凉市曹婉君0327010327091205367109109汉族否崆峒区农村中小学音体美教师甘肃省平凉市王小云0327010327151195861110110汉族否崆峒区农村中小学音体美教师甘肃省平凉市李栋0327010326011194772110111汉族否崆峒区农村中小学音体美教师甘肃省平凉市崆峒区农村中小学音体美教师罗艳0327010326101195762110112汉族否甘肃省平凉市崆峒区农村中小学音体美教师朱宏伟0327010325251185761113113汉族否甘肃省平凉市程珑0327010329211185563113114汉族否崆峒区农村中小学音体美教师甘肃省平凉市崆峒区农村中小学音体美教师张卉0327010325281175562115115汉族否甘肃省平凉市袁晓东0327010327271175760115116汉族否崆峒区农村中小学音体美教师甘肃省平凉市王丹0327010328161175562115117汉族否崆峒区农村中小学音体美教师甘肃省平凉市王君如0327010329011165462118118汉族否崆峒区农村中小学音体美教师甘肃省平凉市袁叶子0327010326041156154119119汉族否崆峒区农村中小学音体美教师甘肃省平凉市崆峒区农村中小学音体美教师刘亚渊0327010329271144470120120汉族否甘肃省平凉市赵嘉敏0327010326071116051121121汉族否崆峒区农村中小学音体美教师甘肃省平凉市崆峒区农村中小学音体美教师张康龙0327010325021105753122122汉族否甘肃省平凉市苏娟0327010326281074958123124少数民族否崆峒区农村中小学音体美教师甘肃省平凉市孟静0327010327071074760123123汉族否崆峒区农村中小学音体美教师甘肃省平凉市仇铷0327010328071064957125126汉族否崆峒区农村中小学音体美教师甘肃省平凉市周玉0327010327021065947125125汉族否甘肃省平凉市崆峒区农村中小学音体美教师崆峒区农村中小学音体美教师郭毅0327010326261056144127127汉族否甘肃省平凉市张俭坤0327010326291044460128128汉族否崆峒区农村中小学音体美教师甘肃省平凉市崆峒区农村中小学音体美教师唐自德0327010327051034855129129汉族否甘肃省平凉市李建新0327010325161014655130130汉族否崆峒区农村中小学音体美教师甘肃省平凉市寇梦娇0327010325171005050131131少数民族否崆峒区农村中小学音体美教师甘肃省平凉市吴苗苗0327010328101005545131132汉族否崆峒区农村中小学音体美教师甘肃省平凉市李娟032701032518994950133133汉族否甘肃省平凉市崆峒区农村中小学音体美教师崆峒区农村中小学音体美教师张强强032701032920995148133134汉族否甘肃省平凉市刘星雨032701032507964056135135汉族否崆峒区农村中小学音体美教师甘肃省平凉市崆峒区农村中小学音体美教师杨竣雅032701032701963660135136汉族否甘肃省平凉市史亚丽032701032925784038137137汉族否崆峒区农村中小学音体美教师甘肃省平凉市马永宁032701032924-1-1-1138138少数民族否甘肃省平凉市崆峒区农村中小学音体美教师郭维雄032701032501-1-1-1138139汉族否甘肃省平凉市崆峒区农村中小学音体美教师甘肃省平凉市何英032701032513-1-1-1138141汉族否崆峒区农村中小学音体美教师顾聆钰032701032519-1-1-1138142汉族否甘肃省平凉市崆峒区农村中小学音体美教师李娜032701032823-1-1-1138147汉族否甘肃省平凉市崆峒区农村中小学音体美教师杨浩032701032902-1-1-1138146汉族否崆峒区农村中小学音体美教师甘肃省平凉市孙庆玲032701032717-1-1-1138144汉族否崆峒区农村中小学音体美教师甘肃省平凉市马帅032701032713-1-1-1138143少数民族否崆峒区农村中小学音体美教师甘肃省平凉市崆峒区农村中小学音体美教师李鹏032701032725-1-1-1138145汉族否甘肃省平凉市崆峒区中等职业学校教师武乐0427010201082129511711汉族否甘肃省平凉市崆峒区中等职业学校教师马燕云0427010201121927711522少数民族否甘肃省平凉市崆峒区中等职业学校教师陈弘042701020103190939733汉族否甘肃省平凉市崆峒区中等职业学校教师慕浩楠0427010201021887711144汉族否甘肃省平凉市崆峒区中等职业学校教师王永生042701020111179809955汉族否甘肃省平凉市崆峒区中等职业学校教师曹玲钰042701020107177859266汉族否甘肃省平凉市崆峒区中等职业学校教师杨剑042701020104173779678汉族否甘肃省平凉市崆峒区中等职业学校教师李力0427010201051736910477汉族否甘肃省平凉市崆峒区中等职业学校教师周国宁0427010201141686610299汉族否甘肃省平凉市崆峒区中等职业学校教师李志林042701020101149451041010汉族否甘肃省平凉市崆峒区中等职业学校教师曹泽民04270102011013759781111汉族否甘肃省平凉市崆峒区中等职业学校教师李国宁04270102011312854741212汉族否甘肃省平凉市崆峒区中等职业学校教师王新宇0427********-1-1-11314汉族否甘肃省平凉市甘肃省平凉市崆峒区中等职业学校教师孙维0427********-1-1-11313汉族否崆峒区乡镇幼儿园教师刘浩浩05270104050221110610511汉族否甘肃省平凉市崆峒区乡镇幼儿园教师刘丹05270104053020410110322汉族否甘肃省平凉市崆峒区乡镇幼儿园教师罗萧0527010403102031148933汉族否甘肃省平凉市崆峒区乡镇幼儿园教师马丽荣0527010401262031089534少数民族否甘肃省平凉市崆峒区乡镇幼儿园教师焦超05270104020720210010255汉族否甘肃省平凉市崆峒区乡镇幼儿园教师刘军玲0527010401231991019866汉族否甘肃省平凉市崆峒区乡镇幼儿园教师朱悦0527010402121971039477汉族否甘肃省平凉市崆峒区乡镇幼儿园教师张莹莹0527010406161961029488汉族否甘肃省平凉市崆峒区乡镇幼儿园教师刘婷05270104052019410292912汉族否甘肃省平凉市甘肃省平凉市崆峒区乡镇幼儿园教师郑苗苗0527010405081949896914汉族否崆峒区乡镇幼儿园教师余茜0527010405031949995913汉族否甘肃省平凉市崆峒区乡镇幼儿园教师张春瑞0527010401221941058999汉族否甘肃省平凉市甘肃省平凉市崆峒区乡镇幼儿园教师秦媛媛05270104020419410193911少数民族否崆峒区乡镇幼儿园教师丁凤娟05270104010219410193910少数民族否甘肃省平凉市崆峒区乡镇幼儿园教师王红05270104062719398951515少数民族否甘肃省平凉市崆峒区乡镇幼儿园教师余海艳052701040413192911011616汉族否甘肃省平凉市崆峒区乡镇幼儿园教师栾双霞05270104021719198931717汉族否甘肃省平凉市崆峒区乡镇幼儿园教师赵佳052701040229191911001718汉族否甘肃省平凉市崆峒区乡镇幼儿园教师潘菊英052701040323190101891919汉族否甘肃省平凉市崆峒区乡镇幼儿园教师秦玉江05270104062519098921920汉族否甘肃省平凉市崆峒区乡镇幼儿园教师朱丽娜05270104050118998912125汉族否甘肃省平凉市崆峒区乡镇幼儿园教师张洁05270104042818997922124汉族否甘肃省平凉市崆峒区乡镇幼儿园教师卜丽蓉052701040613189103862121汉族否甘肃省平凉市崆峒区乡镇幼儿园教师鲁亚丽05270104052818993962126汉族否甘肃省平凉市崆峒区乡镇幼儿园教师张丽052701040214189104852122汉族否甘肃省平凉市崆峒区乡镇幼儿园教师刘朴静052701040205189112772123汉族否甘肃省平凉市崆峒区乡镇幼儿园教师马晓05270104012718597882727少数民族否甘肃省平凉市崆峒区乡镇幼儿园教师王莹052701040230184841002830汉族否甘肃省平凉市甘肃省平凉市崆峒区乡镇幼儿园教师张晶晶052701040601184841002829汉族否崆峒区乡镇幼儿园教师何雅楠05270104070418489952828汉族否甘肃省平凉市甘肃省平凉市崆峒区乡镇幼儿园教师潘婷05270104030918399843131汉族否崆峒区乡镇幼儿园教师陈玲玲05270104021518391923133汉族否甘肃省平凉市崆峒区乡镇幼儿园教师樊文静05270104021318393903132汉族否甘肃省平凉市。
2014甘肃省一万名考试瓜州省 市区 县类别姓名民族性别甘肃省酒泉市瓜州县农村中小学文科教师王龙汉族男甘肃省酒泉市瓜州县农村中小学文科教师任凤玲汉族女甘肃省酒泉市瓜州县农村中小学文科教师伊海艳汉族女甘肃省酒泉市瓜州县农村中小学文科教师吴连峰汉族男甘肃省酒泉市瓜州县农村中小学文科教师金艳芬汉族女甘肃省酒泉市瓜州县农村中小学文科教师万有存汉族女甘肃省酒泉市瓜州县农村中小学文科教师张欢汉族女甘肃省酒泉市瓜州县农村中小学文科教师吕圆圆汉族女甘肃省酒泉市瓜州县农村中小学文科教师李晓静汉族女甘肃省酒泉市瓜州县农村中小学文科教师雷亚琴汉族女甘肃省酒泉市瓜州县农村中小学文科教师陈雪琴汉族女甘肃省酒泉市瓜州县农村中小学文科教师甄晓姗汉族女甘肃省酒泉市瓜州县农村中小学文科教师张瑜汉族女甘肃省酒泉市瓜州县农村中小学文科教师张海燕汉族女甘肃省酒泉市瓜州县农村中小学文科教师王利鹏汉族男甘肃省酒泉市瓜州县农村中小学文科教师张天婷汉族女甘肃省酒泉市瓜州县农村中小学文科教师石金婷汉族女甘肃省酒泉市瓜州县农村中小学文科教师胡珊珊汉族女甘肃省酒泉市瓜州县农村中小学文科教师陶莉娟汉族女甘肃省酒泉市瓜州县农村中小学文科教师魏文渊汉族女甘肃省酒泉市瓜州县农村中小学文科教师蒲银花汉族女甘肃省酒泉市瓜州县农村中小学文科教师潘虹汉族女甘肃省酒泉市瓜州县农村中小学文科教师王丽荣汉族女甘肃省酒泉市瓜州县农村中小学文科教师张瑜汉族女甘肃省酒泉市瓜州县农村中小学文科教师陈建英汉族女甘肃省酒泉市瓜州县农村中小学文科教师沈羚汉族男甘肃省酒泉市瓜州县农村中小学文科教师柴啸汉族男甘肃省酒泉市瓜州县农村中小学文科教师黄丹汉族女甘肃省酒泉市瓜州县农村中小学文科教师刘佳汉族女甘肃省酒泉市瓜州县农村中小学文科教师李晓强汉族男甘肃省酒泉市瓜州县农村中小学文科教师白秀汉族女甘肃省酒泉市瓜州县农村中小学文科教师张莹汉族女甘肃省酒泉市瓜州县农村中小学文科教师李婧汉族女甘肃省酒泉市瓜州县农村中小学文科教师董金霞汉族女甘肃省酒泉市瓜州县农村中小学文科教师马丽娟汉族女甘肃省酒泉市瓜州县农村中小学理科教师柴力汉族男甘肃省酒泉市瓜州县农村中小学理科教师豆生科汉族男甘肃省酒泉市瓜州县农村中小学理科教师刘钊汉族男甘肃省酒泉市瓜州县农村中小学理科教师王发红汉族女甘肃省酒泉市瓜州县农村中小学理科教师俞琴汉族女甘肃省酒泉市瓜州县农村中小学理科教师屈雪莲汉族女甘肃省酒泉市瓜州县农村中小学理科教师张薇汉族女甘肃省酒泉市瓜州县农村中小学理科教师魏莎汉族女甘肃省酒泉市瓜州县农村中小学理科教师刘小伟汉族男甘肃省酒泉市瓜州县农村中小学理科教师魏菲菲汉族女甘肃省酒泉市瓜州县农村中小学理科教师魏显丽汉族女甘肃省酒泉市瓜州县农村中小学理科教师谢丽琼汉族女甘肃省酒泉市瓜州县农村中小学理科教师徐文堂汉族男甘肃省酒泉市瓜州县农村中小学理科教师张永虎汉族男甘肃省酒泉市瓜州县农村中小学理科教师谢国庆汉族男甘肃省酒泉市瓜州县农村中小学理科教师王秀梅汉族女甘肃省酒泉市瓜州县农村中小学理科教师张雪菲汉族女甘肃省酒泉市瓜州县农村中小学理科教师尹凯旋汉族男甘肃省酒泉市瓜州县农村中小学音体美教师朱明光汉族男甘肃省酒泉市瓜州县农村中小学音体美教师闫承文汉族男甘肃省酒泉市瓜州县农村中小学音体美教师刘兰汉族女甘肃省酒泉市瓜州县农村中小学音体美教师王姝琼汉族女甘肃省酒泉市瓜州县农村中小学音体美教师海有蛟汉族男甘肃省酒泉市瓜州县农村中小学音体美教师赵文辉汉族男甘肃省酒泉市瓜州县农村中小学音体美教师赵玉花汉族女甘肃省酒泉市瓜州县农村中小学音体美教师崔沈荣汉族男甘肃省酒泉市瓜州县农村中小学音体美教师崔玉琴汉族女甘肃省酒泉市瓜州县农村中小学音体美教师王强汉族男甘肃省酒泉市瓜州县农村中小学音体美教师张琴汉族女甘肃省酒泉市瓜州县农村中小学音体美教师郑淑萍汉族女甘肃省酒泉市瓜州县农村中小学音体美教师邵万成汉族男甘肃省酒泉市瓜州县农村中小学音体美教师齐宏亮汉族男甘肃省酒泉市瓜州县中等职业学校教师王翔汉族男甘肃省酒泉市瓜州县中等职业学校教师段晓龙汉族男甘肃省酒泉市瓜州县中等职业学校教师王斌洋汉族男甘肃省酒泉市瓜州县乡镇幼儿园教师杨燕汉族女甘肃省酒泉市瓜州县乡镇幼儿园教师潘海莉汉族女甘肃省酒泉市瓜州县乡镇幼儿园教师王进霞汉族女甘肃省酒泉市瓜州县乡镇幼儿园教师聂雅琴汉族女甘肃省酒泉市瓜州县乡镇幼儿园教师杨雪汉族女甘肃省酒泉市瓜州县乡镇幼儿园教师王志圆汉族男甘肃省酒泉市瓜州县乡镇幼儿园教师赵冬梅少数民族女甘肃省酒泉市瓜州县乡镇幼儿园教师杨杨汉族女甘肃省酒泉市瓜州县乡镇幼儿园教师石瑞琦汉族女甘肃省酒泉市瓜州县乡镇幼儿园教师刘春雪汉族女甘肃省酒泉市瓜州县乡镇幼儿园教师陈思汉族女甘肃省酒泉市瓜州县乡镇幼儿园教师梁开萍汉族女甘肃省酒泉市瓜州县乡镇幼儿园教师杨青超汉族女甘肃省酒泉市瓜州县乡镇幼儿园教师王丽汉族女甘肃省酒泉市瓜州县乡镇幼儿园教师李婷婷汉族女甘肃省酒泉市瓜州县乡镇幼儿园教师王芳汉族女甘肃省酒泉市瓜州县乡镇幼儿园教师王丽婷汉族女甘肃省酒泉市瓜州县乡镇幼儿园教师刘静汉族女甘肃省酒泉市瓜州县乡镇幼儿园教师胡福鹏汉族男甘肃省酒泉市瓜州县乡镇幼儿园教师石丹汉族女甘肃省酒泉市瓜州县乡镇幼儿园教师陈彩霞汉族女甘肃省酒泉市瓜州县乡镇幼儿园教师李萃萍汉族女甘肃省酒泉市瓜州县乡镇幼儿园教师张欢汉族女甘肃省酒泉市瓜州县乡镇幼儿园教师张娇汉族女甘肃省酒泉市瓜州县乡镇幼儿园教师李金凤汉族女甘肃省酒泉市瓜州县乡镇幼儿园教师黄倩汉族女甘肃省酒泉市瓜州县乡镇幼儿园教师杨菊花汉族女甘肃省酒泉市瓜州县乡镇幼儿园教师李娜汉族女甘肃省酒泉市瓜州县乡镇幼儿园教师王美娜汉族女甘肃省酒泉市瓜州县乡镇幼儿园教师徐杰汉族女甘肃省酒泉市瓜州县乡镇幼儿园教师张娇汉族女甘肃省酒泉市瓜州县乡镇幼儿园教师张巧迪汉族女甘肃省酒泉市瓜州县乡镇幼儿园教师王萍娥汉族女甘肃省酒泉市瓜州县乡镇卫生院工作人员魏鹏燕汉族女甘肃省酒泉市瓜州县乡镇卫生院工作人员吴强汉族男甘肃省酒泉市瓜州县乡镇卫生院工作人员曹莉汉族女甘肃省酒泉市瓜州县乡镇卫生院工作人员段婷汉族女甘肃省酒泉市瓜州县乡镇卫生院工作人员王罡汉族男甘肃省酒泉市瓜州县乡镇卫生院工作人员马景海汉族男甘肃省酒泉市瓜州县乡镇卫生院工作人员王晶汉族女甘肃省酒泉市瓜州县乡镇卫生院工作人员高宝霞汉族女甘肃省酒泉市瓜州县乡镇卫生院工作人员张欣汉族男甘肃省酒泉市瓜州县乡镇卫生院工作人员姚廷红汉族女甘肃省酒泉市瓜州县乡镇畜牧兽医站工作人员陈娟红汉族女甘肃省酒泉市瓜州县乡镇畜牧兽医站工作人员张海霞汉族女甘肃省酒泉市瓜州县乡镇畜牧兽医站工作人员郭英鹏汉族男甘肃省酒泉市瓜州县乡镇畜牧兽医站工作人员王彦杰汉族男甘肃省酒泉市瓜州县乡镇畜牧兽医站工作人员马磊汉族男甘肃省酒泉市瓜州县乡镇畜牧兽医站工作人员王波汉族男甘肃省酒泉市瓜州县乡镇畜牧兽医站工作人员杨阳汉族女甘肃省酒泉市瓜州县乡镇畜牧兽医站工作人员黄涛汉族男甘肃省酒泉市瓜州县乡镇农技推广站工作人员苏小红汉族女甘肃省酒泉市瓜州县乡镇农技推广站工作人员李倩汉族女甘肃省酒泉市瓜州县乡镇农技推广站工作人员孔庆凤汉族女甘肃省酒泉市瓜州县乡镇农技推广站工作人员王欢汉族女甘肃省酒泉市瓜州县乡镇农技推广站工作人员米永珑汉族男甘肃省酒泉市瓜州县乡镇农技推广站工作人员彭丽丽汉族女甘肃省酒泉市瓜州县乡镇农技推广站工作人员郭海辉汉族男甘肃省酒泉市瓜州县乡镇农技推广站工作人员卢怡宏汉族男甘肃省酒泉市瓜州县乡镇农技推广站工作人员李红霞汉族女甘肃省酒泉市瓜州县乡镇农技推广站工作人员李云涛汉族男甘肃省酒泉市瓜州县乡镇农技推广站工作人员张洁汉族女甘肃省酒泉市瓜州县乡镇农技推广站工作人员宋亚琼汉族女甘肃省酒泉市瓜州县乡镇农技推广站工作人员雒晶晶汉族女甘肃省酒泉市瓜州县乡镇农技推广站工作人员殷志娟汉族女甘肃省酒泉市瓜州县乡镇农技推广站工作人员孙宇慧汉族女甘肃省酒泉市瓜州县乡镇农技推广站工作人员康海洋汉族男甘肃省酒泉市瓜州县乡镇农技推广站工作人员高煜汉族男甘肃省酒泉市瓜州县乡镇农技推广站工作人员陈玉琴汉族女甘肃省酒泉市瓜州县乡镇农技推广站工作人员李文斌汉族男甘肃省酒泉市瓜州县乡镇农技推广站工作人员杨轩汉族男甘肃省酒泉市瓜州县乡镇农技推广站工作人员张文杰汉族男甘肃省酒泉市瓜州县乡镇农技推广站工作人员李雪汉族女甘肃省酒泉市瓜州县乡镇农技推广站工作人员卢晓倩汉族女甘肃省酒泉市瓜州县乡镇农技推广站工作人员张琪峰汉族男甘肃省酒泉市瓜州县乡镇农技推广站工作人员刘童汉族女甘肃省酒泉市瓜州县乡镇农技推广站工作人员刘欢欢汉族女甘肃省酒泉市瓜州县乡镇农技推广站工作人员王倩雯汉族女甘肃省酒泉市瓜州县基层旅游岗位工作人员李海成少数民族男甘肃省酒泉市瓜州县基层旅游岗位工作人员何丽莹汉族女甘肃省酒泉市瓜州县基层旅游岗位工作人员俞万文汉族男甘肃省酒泉市瓜州县基层旅游岗位工作人员吴玉娟汉族女甘肃省酒泉市瓜州县基层旅游岗位工作人员杨亚琴汉族女甘肃省酒泉市瓜州县基层旅游岗位工作人员陈桃霞汉族女甘肃省酒泉市瓜州县基层旅游岗位工作人员张晓林汉族男甘肃省酒泉市瓜州县基层旅游岗位工作人员王少鹏汉族男甘肃省酒泉市瓜州县基层旅游岗位工作人员朱晓蕾汉族女甘肃省酒泉市瓜州县基层旅游岗位工作人员邱丹汉族女甘肃省酒泉市瓜州县基层旅游岗位工作人员杨海婷汉族女甘肃省酒泉市瓜州县基层旅游岗位工作人员郭海姗汉族女甘肃省酒泉市瓜州县基层旅游岗位工作人员汪乐汉族女甘肃省酒泉市瓜州县基层旅游岗位工作人员李梦莹汉族女甘肃省酒泉市瓜州县基层旅游岗位工作人员高扬汉族男甘肃省酒泉市瓜州县基层旅游岗位工作人员刘晓英汉族女甘肃省酒泉市瓜州县基层旅游岗位工作人员韩雪婷汉族女甘肃省酒泉市瓜州县基层旅游岗位工作人员张雪汉族女甘肃省酒泉市瓜州县基层社保岗位工作人员焦志杰汉族男甘肃省酒泉市瓜州县基层社保岗位工作人员朱斌汉族男甘肃省酒泉市瓜州县基层社保岗位工作人员刘欢汉族女甘肃省酒泉市瓜州县基层社保岗位工作人员乔祖恩汉族男甘肃省酒泉市瓜州县基层社保岗位工作人员汤雪桃汉族女甘肃省酒泉市瓜州县基层社保岗位工作人员张娟汉族女甘肃省酒泉市瓜州县基层社保岗位工作人员李仕宁汉族男甘肃省酒泉市瓜州县基层社保岗位工作人员卢东生汉族男甘肃省酒泉市瓜州县基层社保岗位工作人员段海兵汉族男甘肃省酒泉市瓜州县基层社保岗位工作人员张钰汉族女甘肃省酒泉市瓜州县基层社保岗位工作人员李亚军汉族男甘肃省酒泉市瓜州县基层社保岗位工作人员史泰威汉族女甘肃省酒泉市瓜州县基层社保岗位工作人员祁涛汉族男甘肃省酒泉市瓜州县基层社保岗位工作人员高磊汉族男甘肃省酒泉市瓜州县基层社保岗位工作人员卢俏荣汉族女甘肃省酒泉市瓜州县基层社保岗位工作人员杨佳汉族女甘肃省酒泉市瓜州县基层社保岗位工作人员朱丽雯汉族女甘肃省酒泉市瓜州县基层社保岗位工作人员乔鸿汉族男甘肃省酒泉市瓜州县基层社保岗位工作人员王丽霞汉族女甘肃省酒泉市瓜州县基层社保岗位工作人员李健苍汉族男甘肃省酒泉市瓜州县基层社保岗位工作人员常春晖汉族女甘肃省酒泉市瓜州县基层社保岗位工作人员马玉峰汉族男甘肃省酒泉市瓜州县基层社保岗位工作人员欧阳惠子汉族女甘肃省酒泉市瓜州县基层社保岗位工作人员孔令洋汉族男甘肃省酒泉市瓜州县基层社保岗位工作人员许莉汉族女甘肃省酒泉市瓜州县基层社保岗位工作人员曹辉汉族男甘肃省酒泉市瓜州县基层社保岗位工作人员线桂霞汉族女甘肃省酒泉市瓜州县基层社保岗位工作人员马丽蓉汉族女甘肃省酒泉市瓜州县基层社保岗位工作人员赵芳芳汉族女甘肃省酒泉市瓜州县基层社保岗位工作人员张鑫汉族男甘肃省酒泉市瓜州县基层社保岗位工作人员王海斌汉族男甘肃省酒泉市瓜州县基层社保岗位工作人员贺春花汉族女甘肃省酒泉市瓜州县基层社保岗位工作人员李阳汉族男甘肃省酒泉市瓜州县基层社保岗位工作人员方蓉汉族女甘肃省酒泉市瓜州县基层社保岗位工作人员何荣梅汉族女甘肃省酒泉市瓜州县基层社保岗位工作人员赵文静汉族女甘肃省酒泉市瓜州县基层社保岗位工作人员杨鑫汉族男甘肃省酒泉市瓜州县基层社保岗位工作人员赵倩汉族女甘肃省酒泉市瓜州县基层社保岗位工作人员朱玲汉族女甘肃省酒泉市瓜州县基层社保岗位工作人员文海波汉族男甘肃省酒泉市瓜州县基层社保岗位工作人员刘辉汉族男甘肃省酒泉市瓜州县基层社保岗位工作人员徐丽娜汉族女甘肃省酒泉市瓜州县基层社保岗位工作人员张婷汉族女甘肃省酒泉市瓜州县基层社保岗位工作人员张涛汉族男甘肃省酒泉市瓜州县基层社保岗位工作人员李雷汉族男甘肃省酒泉市瓜州县基层社保岗位工作人员谢冰倩汉族女甘肃省酒泉市瓜州县基层社保岗位工作人员周婧汉族女甘肃省酒泉市瓜州县基层社保岗位工作人员王秀云汉族女甘肃省酒泉市瓜州县基层社保岗位工作人员陆鑫汉族女甘肃省酒泉市瓜州县基层社保岗位工作人员黄媛汉族女甘肃省酒泉市瓜州县基层社保岗位工作人员程海云汉族女甘肃省酒泉市瓜州县基层社保岗位工作人员刘健汉族男甘肃省酒泉市瓜州县基层社保岗位工作人员杨晓兰汉族女甘肃省酒泉市瓜州县基层社保岗位工作人员李磊汉族男甘肃省酒泉市瓜州县基层社保岗位工作人员顾亚蓉汉族女甘肃省酒泉市瓜州县基层社保岗位工作人员潘晓庆汉族女甘肃省酒泉市瓜州县基层社保岗位工作人员李丹汉族女甘肃省酒泉市瓜州县基层社保岗位工作人员张青霞汉族女甘肃省酒泉市瓜州县基层社保岗位工作人员曹倩云汉族女甘肃省酒泉市瓜州县基层社保岗位工作人员戴爽汉族女甘肃省酒泉市瓜州县基层社保岗位工作人员石进鑫汉族男甘肃省酒泉市瓜州县基层社保岗位工作人员石金蓉汉族女甘肃省酒泉市瓜州县基层社保岗位工作人员王娇汉族女甘肃省酒泉市瓜州县基层社保岗位工作人员郑文丽汉族女甘肃省酒泉市瓜州县基层社保岗位工作人员聂红娟汉族女甘肃省酒泉市瓜州县基层社保岗位工作人员赵春艳汉族女甘肃省酒泉市瓜州县乡镇文化推广站工作人员杨学丽汉族女甘肃省酒泉市瓜州县乡镇文化推广站工作人员万里平汉族男甘肃省酒泉市瓜州县乡镇文化推广站工作人员段莹雪汉族女甘肃省酒泉市瓜州县乡镇文化推广站工作人员乔祖盛汉族男甘肃省酒泉市瓜州县乡镇文化推广站工作人员王超汉族男甘肃省酒泉市瓜州县乡镇文化推广站工作人员马雪姣汉族女甘肃省酒泉市瓜州县乡镇文化推广站工作人员王鹏汉族男甘肃省酒泉市瓜州县乡镇文化推广站工作人员李艳蓉汉族女甘肃省酒泉市瓜州县乡镇文化推广站工作人员王丹琴汉族女甘肃省酒泉市瓜州县乡镇文化推广站工作人员芦丽丽汉族女甘肃省酒泉市瓜州县乡镇文化推广站工作人员席蕾汉族女甘肃省酒泉市瓜州县乡镇文化推广站工作人员李鹏汉族男甘肃省酒泉市瓜州县乡镇文化推广站工作人员杨文静汉族女甘肃省酒泉市瓜州县乡镇文化推广站工作人员高丹汉族女甘肃省酒泉市瓜州县乡镇文化推广站工作人员何文娇汉族女甘肃省酒泉市瓜州县乡镇文化推广站工作人员景召鹏汉族男甘肃省酒泉市瓜州县乡镇文化推广站工作人员张晶汉族女甘肃省酒泉市瓜州县乡镇文化推广站工作人员刘嫦妍汉族女甘肃省酒泉市瓜州县乡镇文化推广站工作人员张丹汉族女甘肃省酒泉市瓜州县乡镇文化推广站工作人员朱佩芝汉族女甘肃省酒泉市瓜州县乡镇文化推广站工作人员马玲汉族女甘肃省酒泉市瓜州县乡镇文化推广站工作人员杨丹丹汉族女甘肃省酒泉市瓜州县乡镇文化推广站工作人员刘丹丹汉族女甘肃省酒泉市瓜州县乡镇文化推广站工作人员王瑾汉族女甘肃省酒泉市瓜州县三支一扶蔺国蕃汉族男甘肃省酒泉市瓜州县三支一扶黄玉琴汉族女甘肃省酒泉市瓜州县三支一扶张雪汉族女甘肃省酒泉市瓜州县三支一扶李海梅少数民族女甘肃省酒泉市瓜州县三支一扶李红艳汉族女甘肃省酒泉市瓜州县三支一扶胡晓燕汉族女甘肃省酒泉市瓜州县三支一扶周泰山汉族男甘肃省酒泉市瓜州县三支一扶李宇鹏汉族男甘肃省酒泉市瓜州县三支一扶丁海琴汉族女甘肃省酒泉市瓜州县三支一扶马丹汉族女甘肃省酒泉市瓜州县三支一扶张欢汉族女甘肃省酒泉市瓜州县三支一扶张巧玲汉族女甘肃省酒泉市瓜州县三支一扶李星汉族女甘肃省酒泉市瓜州县三支一扶周文婷汉族女甘肃省酒泉市瓜州县三支一扶张媛汉族女甘肃省酒泉市瓜州县三支一扶马丽琼汉族女甘肃省酒泉市瓜州县三支一扶吴海燕汉族女甘肃省酒泉市瓜州县三支一扶石培芳汉族女甘肃省酒泉市瓜州县三支一扶吕叶汉族女甘肃省酒泉市瓜州县三支一扶杜惠华汉族女甘肃省酒泉市瓜州县三支一扶谢鹏汉族男甘肃省酒泉市瓜州县三支一扶李瑞娟汉族女甘肃省酒泉市瓜州县三支一扶雷晓梅汉族女甘肃省酒泉市瓜州县三支一扶李君汉族女甘肃省酒泉市瓜州县三支一扶高雯汉族女甘肃省酒泉市瓜州县三支一扶王海霞汉族女甘肃省酒泉市瓜州县三支一扶王俊东汉族女甘肃省酒泉市瓜州县三支一扶何景秀少数民族女甘肃省酒泉市瓜州县三支一扶黄海霞汉族女甘肃省酒泉市瓜州县三支一扶孙宏汉族女甘肃省酒泉市瓜州县三支一扶龚恒君汉族男甘肃省酒泉市瓜州县三支一扶聂芳汉族女甘肃省酒泉市瓜州县三支一扶何雪莲汉族女甘肃省酒泉市瓜州县三支一扶柳红娟汉族女甘肃省酒泉市瓜州县三支一扶马玲少数民族女甘肃省酒泉市瓜州县三支一扶李淑霞汉族女甘肃省酒泉市瓜州县三支一扶唐涛汉族男甘肃省酒泉市瓜州县三支一扶刘慧琳汉族女甘肃省酒泉市瓜州县三支一扶李磊汉族男甘肃省酒泉市瓜州县三支一扶冯瑾瑾汉族女甘肃省酒泉市瓜州县三支一扶景丹汉族女甘肃省酒泉市瓜州县三支一扶李文若男汉族女甘肃省酒泉市瓜州县三支一扶张佳丽汉族女甘肃省酒泉市瓜州县三支一扶聂双汉族女甘肃省酒泉市瓜州县三支一扶吴鑫汉族男甘肃省酒泉市瓜州县三支一扶赵潇瑜汉族女甘肃省酒泉市瓜州县三支一扶刘俊玲汉族女甘肃省酒泉市瓜州县三支一扶潘文婷汉族女甘肃省酒泉市瓜州县三支一扶景冬瑞汉族女甘肃省酒泉市瓜州县三支一扶张英汉族女甘肃省酒泉市瓜州县三支一扶何鹏志汉族男甘肃省酒泉市瓜州县三支一扶孙居才少数民族男甘肃省酒泉市瓜州县三支一扶罗仕伟汉族男甘肃省酒泉市瓜州县三支一扶连建军汉族男甘肃省酒泉市瓜州县三支一扶石进鹏汉族男甘肃省酒泉市瓜州县三支一扶李晓红少数民族男甘肃省酒泉市瓜州县三支一扶王荣霞汉族女甘肃省酒泉市瓜州县三支一扶乔小强汉族男甘肃省酒泉市瓜州县三支一扶王亚龙汉族男甘肃省酒泉市瓜州县三支一扶郝润菊汉族女甘肃省酒泉市瓜州县三支一扶赵会汉族男甘肃省酒泉市瓜州县三支一扶舒静汉族女甘肃省酒泉市瓜州县三支一扶刘金萍汉族女甘肃省酒泉市瓜州县三支一扶彭亚琼汉族女甘肃省酒泉市瓜州县三支一扶王源汉族男甘肃省酒泉市瓜州县三支一扶陈羽希汉族女甘肃省酒泉市瓜州县三支一扶张新学汉族男。