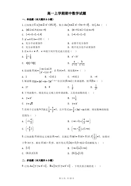
陕西省高一上学期期中数学试题
- 格式:doc
- 大小:1.03 MB
- 文档页数:14
西安2023—2024学年度第一学期期中考试高一数学试题(答案在最后)(时间:120分钟满分:100分)一、选择题(本题共8小题,每小题3.5分,共28分.在每小题给出的四个选项中,只有一项是符合题目要求的)1.集合{}N|13M x x =∈-≤<的真子集的个数是()A.3B.6C.7D.8【答案】C 【解析】【分析】根据题意,求得{}012M =,,,结合真子集的个数的计算方法,即可求解.【详解】由集合{}{}N|130,1,2M x x =∈-≤<=,所以集合M 的真子集的个数为3217-=.故选:C.2.设,a b ∈R ,则“lg lg 0a b +=”是“1ab =”的().A.充分不必要条件B.必要不充分条件C.充分必要条件D.既不充分也不必要条件【答案】A 【解析】【分析】根据对数的运算性质,结合充分性、必要性的定义进行判断即可.【详解】由lg lg 0a b +=lg 01ab ab ⇒=⇒=且0a >且0b >,故选:A .3.已知集合{}2A x x =>,{}2B x x m =<,且R B A ⊆ð,则实数m 的取值范围是()A.()1,+∞B.[)1,+∞C.(),1-∞ D.(],1-∞【答案】A 【解析】【分析】先求出{}R |2B x x m =≥ð,再根据条件R B A ⊆ð,即可求出结果.【详解】因为{}2B x x m =<,所以{}R |2B x x m =≥ð,又{}2A x x =>,R B A ⊆ð,所以22m >,得到1m >,故选:A.4.已知8215,log 3ab ==,则32a b -=()A.25B.5C.259D.53【答案】B 【解析】【分析】先由对数公式把,a b 化简,然后代入32a b -即可求解.【详解】由题意可得2215log 15aa =⇒=,38221log 3log 3log 33b ===,所以2222221153log 153log 3log 15log 3log log 533a b ⎛⎫-=-⨯=-== ⎪⎝⎭,所以2log 53225a b -==.故选:B.5.三个数0.35a =,50.3b =,515c ⎛⎫= ⎪⎝⎭大小的顺序是()A.a b c >>B.a c b>> C.b a c>> D.c a b>>【答案】A 【解析】【分析】利用指数函数、幂函数的单调性即可求解.【详解】由5x y =为增函数,则0.30551a =>=,由5y x =为增函数,555110.35⎛⎫>> ⎪⎝⎭,所以a b c >>.故选:A6.已知0.150log 2,log 2a b ==,则21a b+=()A.-2 B.-1C.1D.2【答案】B 【解析】【分析】先取倒数,再应用对数运算律计算即可.【详解】因为0.150log 2,log 2a b ==,所以2211log 0.1,log 50a b==,2222211log 0.01log 50log 0.5log 12a b +=+===-.故选:B.7.已知:p 存在2,10x R mx ∈+≤;:q 对任意2,10x R x mx ∈++>,若p 或q 为假,则实数m 的取值范围为()A.2m ≤-B.2m ≥ C.2m ≥或2m ≤- D.22m -≤≤【答案】B 【解析】【分析】先求出p ,q 是真命题的x 的范围,由于p 或q 为假命题,得到p ,q 应该全假,即p ,q 的否定为真,列出方程组,求出m 的范围.【详解】解:若p 真则0m <;若q 真,即210x mx ++>恒成立,所以△240m =-<,解得22m -<<.因为p 或q 为假命题,所以p ,q 全假.所以有022m m m ⎧⎨-⎩或 ,所以2m .故选:B .【点睛】复合命题的真假与构成其简单命题的真假的关系是解决复合命题真假的依据:p 且q 的真假,当p ,q 全真则真,有假则假;p 或q 的真假,p ,q 中有真则真,全假则假;非p 的真假与p 的真假相反.8.一元二次不等式20ax bx c ++>的解集为()2,3,则不等式20cx bx a ++<的解集为()A .11,32⎛⎫ ⎪⎝⎭B.1123,⎛⎫-- ⎪⎝⎭C.()3,2-- D.113,,2⎛⎫⎛⎫-∞⋃+∞ ⎪⎪⎝⎭⎝⎭【答案】D 【解析】【分析】根据一元二次不等式与对应方程的关系,利用根与系数的关系,求出b 、c 与a 的关系,代入所求不等式,求出解集即可.【详解】一元二次不等式20ax bx c ++>的解集为()2,3,∴a<0,且2,3是方程20ax bx c ++=的两个实数根,∴2323b a c a ⎧+=-⎪⎪⎨⎪⨯=⎪⎩,解得5,6b a c a =-=,其中a<0;∴不等式20cx bx a ++<化为2650ax ax a -+<,即26510x x -+>,解得13x <或12x >,因此所求不等式的解集为11,,32⎛⎫⎛⎫-∞⋃+∞ ⎪ ⎪⎝⎭⎝⎭.故选:D .二、选择题(本题共4小题,每小题4分,共16分.在每小题给出的四个选项中,有多项符合题目要求.全部选对得4分,有选错的得0分,部分选对得2分.)9.若函数()2313x ax f x +-⎛⎫= ⎪⎝⎭的图像经过点()31,,则()A.2a =- B.()f x 在()1∞-,上单调递减C.()f x 的最大值为81 D.()f x 的最小值为181【答案】AC 【解析】【分析】利用函数经过点()31,,可求出a ,再应用函数性质每个选项分别判断即可.【详解】对于A :由题意得()361313a f +⎛⎫== ⎪⎝⎭,得2a =-,故A 正确;对于B :令函数223u x x =--,则该函数在(),1-∞上单调递减,在[)1,∞+上单调递增.因为13uy ⎛⎫= ⎪⎝⎭是减函数,所以()f x 在(),1-∞上单调递增,在[)1,∞+上单调递减,故B 错误;对于C D :因为()f x 在(),1-∞上单调递增,在[)1,∞+上单调递减,所以()()max 181f x f ==,()f x 无最小值.故C 正确,D 错误;故选:AC .10.若0a b <<,那么下列不等式一定成立的是()A.11b ba a+>+ B.11a b a b -<-C.22ac bc < D.11a b>【答案】BD 【解析】【分析】利用不等式的性质即可讨论即可求解.【详解】对于A,若 1.5,0.5a b =-=-,则10.51110.53b b a a +==-<=+-,故A 不一定成立;对于B,因为0a b <<,所以11a b>,所以11a b -<-,所以11a b a b-<-,所以B 一定成立;对于C,当0,c =22ac bc =,所以C 不一定成立;对于D,因为0a b <<,所以11a b>,所以D 一定成立.故选:BD.11.下面关于函数23()2x f x x -=-的性质,说法正确的是()A.()f x 的定义域为(,2)(2,)-∞⋃+∞B.()f x 的值域为RC.()f x 在定义域上单调递减D.点(2,2)是()f x 图象的对称中心【答案】AD 【解析】【分析】由1()22f x x =+-,可知由1y x =向右平移2个单位,再向上平移2个单位得到()f x ,根据1y x =的性质得到()f x 的性质,即可判断;【详解】解:()221231()2222x x f x x x x -+-===+---由1y x =向右平移2个单位,再向上平移2个单位得到1()22f x x =+-,因为1y x=关于()0,0对称,所以()f x 关于()2,2对称,故D 正确;函数()f x 的定义域为(,2)(2,)-∞⋃+∞,值域为(,2)(2,)-∞⋃+∞,故A 正确,B 错误;函数()f x 在(,2)-∞和(2,)+∞上单调递减,故C 错误;故选:AD12.已知正数,a b 满足421a b +=,则()A.144a a +的最小值为 2 B.ab 的最大值为132C.112a b+的最小值为8 D.22164a b +的最小值为12【答案】BCD 【解析】【分析】利用基本不等式的性质,逐个选项进行判断即可,注意等号成立的条件.【详解】对于A ,0a >,所以,1424a a +≥,当且仅当1=4a 时等号成立,但此时,=0b ,与题意不符,故A 错误;对于B,421a b +=≥解得132ab ≥,当且仅当4=24+2=1a b a b ⎧⎨⎩,即1=41=8b a ⎧⎪⎪⎨⎪⎪⎩时,等号成立,故B 正确;对于C ,11114()(42)4822b aa b a b a b a b +=++=++≥,当且仅当22=44+2=1b a a b ⎧⎨⎩,即1=41=8b a ⎧⎪⎪⎨⎪⎪⎩时,等号成立,故C 正确;对于D ,由421a b +=,可得2241168b a a =+-,所以,2223281164a a a b +=-+,当18a =时,此时,14b =,所以,22164a b +的最小值为12,故D 正确.故选:BCD三、填空题(本题共4小题,每小题4分,共16分.把答案填在答题卡上的相应位置.)13.若33m m --=99m m -+的值为__________.【答案】14【解析】【分析】33m m --=.【详解】33m m --=()23312m m --=,即99212m m -+-=,解得9914m m -+=.故答案为:1414.某城市出粗车按如下方法收费:起步价6元,可行3km (含3km ),3km 后到10km (含10km )每多走1km (不足1km 按1km 计)加价0.5元,10km 后每多走1km 加价0.8元,某人坐出租车走了13km ,他应交费____________元.【答案】11.9【解析】【分析】结合已知条件,利用分段函数的概念直接计算即可.【详解】结合已知条件可知,某人坐出租车走了13km 所交费为6(103)0.5(1310)0.811.9y =+-⨯+-⨯=(元).故答案为:11.9.15.高斯是德国著名的数学家,近代数学奠基者之一,用其名字命名的“高斯函数”为:对于实数x ,符号[]x 表示不超过x 的最大整数,例如[e]3-=-,[2.1]2=,定义函数()[]f x x x =-,则函数()f x 的值域为______.【答案】[0,1)【解析】【分析】根据高斯函数的定义,可得函数()[]f x x x =-的图象,即可的解.【详解】由高斯函数的定义可得:当01x ≤<时,[]0x =,则[]x x x -=,当12x ≤<时,[]1x =,则[]1x x x -=-,当23x ≤<时,[]2x =,则[]2x x x -=-,当34x ≤<时,[]3x =,则[]3x x x -=-,易见该函数具有周期性,绘制函数图象如图所示,由图象知()f x 的值域为[0,1).故答案为:[0,1)16.已知关于x 的不等式2(1)320k x x -+-<有且仅有两个不同的整数解,则实数k 的取值范围为__________.(结果用区间表示)【答案】[)3,6【解析】【分析】根据题意,分10k -=,10k -<以及10k ->讨论,结合条件列出不等式,代入计算,即可得到结果.【详解】当10k -=时,即1k =,此时不等式为320x -<,解得23x <,则不等式有无数个整数解,不符合题意;当10k -<时,即1k <,则函数()2(1)32f k x x x -=+-的开口向下,则不等式的整数解有无数个,不符合题意;当10k ->时,即1k >,使得不等式2(1)320k x x -+-<有且仅有两个不同的整数解,则()981810k k ∆=+-=+>,且函数()2(1)32f k x x x -=+-,()020f =-<,所以0是其中的一个整数解,则另一个整数解为1或1-,而()11320f k k =-+-=>,所以1不是另一个整数解,所以另一个整数解是1-,则()()1020f f ⎧-<⎪⎨-≥⎪⎩,解得36k ≤<;综上所述,实数k 的取值范围为[)3,6.故答案为:[)3,6四、解答题(本题共5小题,共40分.解答应写出文字说明、证明过程或演算步骤.)17.(1)计算:122302132(9.6)3(1.5)48--⎛⎫⎛⎫----+ ⎪ ⎪⎝⎭⎝⎭;(2)已知lg 2a =,lg 3b =,用a ,b 表示36log 5【答案】(1)52-;(2)122aa b -+.【解析】【分析】(1)根据指数幂的运算法则,准确运算,即可求解;(2)根据对数的运算法和换底公式,准确运算,即可求解.【详解】解:(1)由指数幂的运算性质,可得:原式12232927344531()41299822--⎛⎫⎛⎫---+ ⎪ ⎪⎝⎭⎝==---=-⎭+(2)由对数的运算性质,可得:36lg 5lg10lg 21lg 21log 5lg 36lg 4lg 92lg 22lg 322aa b---====+++.18.已知集合302x A xx -⎧⎫=<⎨⎬+⎩⎭,{}22210B x x mx m =-+-<,{}2C x x m =-<.(1)若m 使幂函数()234()33m f x m m x-=-+在(0,)+∞上为减函数,求集合R A B ⋂ð;(2)已知x A ∈是x C ∈的必要不充分条件,求m 的取值范围.【答案】(1)2{|0x x -<≤或23}x ≤<(2)[]0,1【解析】【分析】(1)根据幂函数的性质,求得1m =,再由不等式的解法,求得集合,,A B C ,结合集合的运算法则,即可求解;(2)根据题意,求得集合,A C ,结合题意,转化为C 是A 的真子集,列出不等式组,即可求解.【小问1详解】解:由幂函数()234()33m f x m m x-=-+,可得2331m m -+=,即2320m m -+=,解得1m =或2m =,当1m =时,可得1()f x x -=,此时函数()f x 在(0,)+∞上为减函数,符合题意;当2m =时,可得2()f x x =,此时函数()f x 在(0,)+∞上为增函数,不符合题意,所以1m =,可得集合{}{}220|02B x x x x x =-<=<<,{}{}12|13C x x x x =-<=-<<则R {0B x =≤ð或2}x ≥,又因为{}30|232x A xx x x -⎧⎫=<=-<<⎨⎬+⎩⎭,所以R {|20A x x B =-<≤ ð或23}x ≤<.【小问2详解】解:由集合{}|23A x x =-<<,{}{}2|22C x x m x m x m =-<=-<<+,因为x A ∈是x C ∈的必要不充分条件,可得集合C 是A 的真子集,则满足2223m m -≥-⎧⎨+≤⎩且等号不能同时成立,解得01m ≤≤,即实数m 的取值范围为[]0,1.19.已知()y f x =是定义在R 上的奇函数,且0x <时,()12x f x =+(1)求函数()f x 的解析式.(2)画出函数()y f x =的图象,并写出函数()y f x =单调区间及值域.【答案】(1)()12,0{0,011,02x xx f x x x +<==-->(2)单调增区间为(-∞,0),(0,+∞);值域为{y|1<y<2或-2<y<-1或y =0}【解析】【分析】试题分析:(1)由函数为奇函数可得()00=f ,将0x >转化为0x -<,代入函数式,结合奇偶性可求得函数解析式;(2)利用函数图像可得到单调区间及值域试题解析:(1)因为y =f (x )是定义在R 上的奇函数,所以f (-0)=-f (0),所以f (0)=0,因为x<0时,f (x )=1+2x ,所以x>0时,f (x )=-f (-x )=-(1+2-x )=-1-12x,所以f (x )=12,0{0,011,02x x x x x +<=-->(2)函数f (x)的图象为根据f (x )的图象知:f (x )的单调增区间为(-∞,0),(0,+∞);值域为{y|1<y<2或-2<y<-1或y =0}.考点:函数求解析式及函数单调性最值【详解】20.已知()f x 是二次函数,且满足()02f =,()()224f x f x x +-=+,(1)求()f x 的解析式(2)当[],1x m m ∈+,其中m R ∈,求()f x 的最小值.【答案】(1)()2122f x x x =++(2)()2min 272,2223,2122,12m m m f x m m m m ⎧++≤-⎪⎪⎪=-<≤-⎨⎪⎪++>-⎪⎩【解析】【分析】(1)设()2f x ax bx c =++,利用待定系数法可求函数的解析式;(2)分类讨论二次函数的对称轴在区间的左侧,中间,右侧,结合二次函数的的性质求解函数的最值即可.【小问1详解】设()2f x ax bx c =++,因为()02f =,所以2c =又()()224f x f x x +-=+,∴22(2)(2)()24a x b x c ax bx c x ++++-++=+,即44224ax a b x ++=+,∴42424a ab =⎧⎨+=⎩,解得1,12a b ==,∴()2122f x x x =++.【小问2详解】∵()2122f x x x =++,对称轴=1x -,开口向上,故函数在区间(],1-∞-单调递减,在区间[)1,-+∞单调递增,故()()min 312f x f =-=当2m ≤-时,即11m +≤-,此时函数在区间[],1m m +上单调递减,()()2min 171222f x f m m m =+=++;当21m -<≤-时,此时函数在区间[],1m -上单调递减,在区间(]1,1m -+上单调递增,()()min 312f x f =-=;当1m >-时,此时函数在区间[],1m m +上单调递增,()()2min 22m f x f m m ==++;所以()f x 的最小值为()2min 272,2223,2122,12m m m f x m m m m ⎧++≤-⎪⎪⎪=-<≤-⎨⎪⎪++>-⎪⎩21.已知函数()21x b f x ax +=+是定义在区间[]1,1-上的奇函数,且()112f -=-.(1)求函数()f x 的解析式;(2)判断函数()f x 在区间[]1,1-上的单调性,并用函数单调性的定义证明.(3)求满足不等式()()2110f t f t -+-<的实数t 的取值范围.【答案】(1)()21x f x x =+;(2)单调递增,证明见解析;(3)[)0,1.【解析】【分析】(1)由奇函数性质及()112f -=-求得参数即可;(2)设1211x x -£<£,结合因式分解证()()120f x f x -<;(3)由[][]211,111,1t t ⎧-∈-⎪⎨-∈-⎪⎩求得定义域,由奇函数及增函数性质可得211t t -<-,求解即可【小问1详解】由奇函数性质得,()()()222200111x b x b b f x f x b ax ax a x +-+=--⇒=-⇒=⇒=++-+,又()()21112111f a a -==-⇒=--+,∴()21x f x x =+;【小问2详解】函数()f x 在区间[]1,1-上单调递增.证明如下:设1211x x -£<£,则()()()()()()121212122222121211111x x x x x x f x f x x x x x ---=-=++++,由121210,0x x x x ->-<得()()()()12120f x f x f x f x -<⇒<,故函数()f x 在区间[]1,1-上单调递增;【小问3详解】由[][]211,111,1t t t ⎧-∈-⎪⎡⇒∈⎨⎣-∈-⎪⎩,由奇函数性质得()()()()()222110111f t f t f t f t f t -+-<⇔-<--=-,由增函数性质得21121t t t -<-⇒-<<.综上,实数t 的取值范围为[)0,1。
陕西省高一上学期数学期中考试试卷姓名:________ 班级:________ 成绩:________一、单选题 (共10题;共20分)1. (2分) (2019高一上·柳江月考) 已知集合A满足,则集合A的个数为()A . 1B . 2C . 3D . 42. (2分) (2019高一上·长春月考) 设是定义在上的奇函数,当时,,则()A .B .C . 0D . 13. (2分) (2019高一上·宜丰月考) 已知某二次函数的图象与函数的图象的形状一样,开口方向相反,且其顶点为,则此函数的解析式为()A .B .C .D .4. (2分) (2019高一上·番禺期中) 已知是定义域为的奇函数,满足 .若,则()A .B .C .D .5. (2分)已知a=log32,b=(log32)2 , c=log4,则()A . a<c<bB . c<b<aC . a<b<cD . b<a<c6. (2分) (2019高一上·射洪月考) 已知集合 , ,则()A .B .C .D .7. (2分)已知单位向量、满足⊥,则函数f(x)=(x+)2 (x∈R)()A . 既不是奇函数也不是偶函数B . 既是奇函数又是偶函数C . 是偶函数D . 是奇函数8. (2分) (2020高三上·滕州月考) 函数的部分图像大致是()A .B . 、C .D .9. (2分)(2017·河北模拟) 已知函数f(x)= ,则函数F(x)=f[f(x)]﹣af(x)﹣的零点个数是4个时,下列选项是a的取值范围的子集的是()A .B .C .D .10. (2分) (2018高一下·吉林期中) 定义在上的奇函数满足,且在上是减函数,是锐角三角形的两个内角,则与的大小关系是()A .B .C .D .二、填空题 (共5题;共5分)11. (1分) (2018高一上·北京期中) 函数的定义域是________.12. (1分)(2018·南充模拟) 已知函数(且)恒过定点,则________.13. (1分) (2019高一上·南康月考) 已知,则的值为________.14. (1分)(2019·四川模拟) 若函数的定义域和值域都是,则________.15. (1分) (2019高一上·应县期中) 函数的零点有两个,则实数的取值范围是________.三、解答题 (共7题;共70分)16. (5分) (2019高三上·东城月考) 已知函数.(1)求的值及函数的最小正周期;(2)求f(x)在区间上的最大值和最小值.17. (10分) (2020高一上·钦州期末) 计算:(1);(2);18. (10分) (2018高一上·浙江期中) 已知函数的定义域为集合.(1)求A及;(2)若,求实数a的取值范围.19. (5分)已知函数f(x)=(log2x﹣2)(log4x﹣),2≤x≤4(1)求该函数的值域;(2)若f(x)≤mlog2x对于x∈[2,4]恒成立,求m的取值范围.20. (10分) (2016高二上·高青期中) 已知二次函数f(x)=ax2+2x+c的对称轴为x=1,g(x)=x+ (x >0).(1)求函数g(x)的最小值及取得最小值时x的值;(2)试确定c的取值范围,使g(x)﹣f(x)=0至少有一个实根;(3)若F(x)=﹣f(x)+4x+c,存在实数t,对任意x∈[1,m],使F(x+t)≤3x恒成立,求实数m的取值范围.21. (15分) (2020高一上·成都月考) 定义在上的函数,对任意,都有,且当时,.(1)求与的值;(2)证明为偶函数:(3)判断在上的单调性,并求解不等式.22. (15分) (2016高一下·黄陵开学考) 已知函数f(x)=ax2+2x+c(a、c∈N*)满足:①f(1)=5;②6<f(2)<11.(1)求a、c的值;(2)若对任意的实数x∈[ , ],都有f(x)﹣2mx≤1成立,求实数m的取值范围.参考答案一、单选题 (共10题;共20分)答案:1-1、考点:解析:答案:2-1、考点:解析:答案:3-1、考点:解析:答案:4-1、考点:解析:答案:5-1、考点:解析:答案:6-1、考点:解析:答案:7-1、考点:解析:答案:8-1、考点:解析:答案:9-1、考点:解析:答案:10-1、考点:解析:二、填空题 (共5题;共5分)答案:11-1、考点:解析:答案:12-1、考点:解析:答案:13-1、考点:解析:答案:14-1、考点:解析:答案:15-1、考点:解析:三、解答题 (共7题;共70分)答案:16-1、答案:16-2、考点:解析:答案:17-1、答案:17-2、考点:解析:答案:18-1、答案:18-2、考点:解析:答案:19-1、答案:19-2、考点:解析:答案:20-1、答案:20-2、答案:20-3、考点:解析:答案:21-1、答案:21-2、答案:21-3、考点:解析:答案:22-1、答案:22-2、考点:解析:。
陕西省高一上学期数学期中考试试卷姓名:________ 班级:________ 成绩:________一、单选题 (共10题;共20分)1. (2分)已知集合M={5,a2﹣3a+5},N={1,3},若M∩N≠∅,则实数a的值为()A . 1B . 2C . 4D . 1或22. (2分) (2018高二上·嘉兴期末) 下列命题一定正确的是()A . 三点确定一个平面B . 依次首尾相接的四条线段必共面C . 直线与直线外一点确定一个平面D . 两条直线确定一个平面3. (2分) (2016高一上·重庆期末) 若区间[x1 , x2]的长度定义为|x2﹣x1|,函数f(x)= (m∈R,m≠0)的定义域和值域都是[a,b],则区间[a,b]的最大长度为()A .B .C .D . 34. (2分) (2018高一上·民乐期中) 下列四组函数中,表示同一函数的是()A . ,B . ,C . ,D . ,5. (2分) (2019高一上·仁寿期中) 下列函数中,既是偶函数又在上单调递增的函数是()A .B .C .D .6. (2分) (2018高一上·长春期中) 函数的零点所在的区间是()A .B .C .D .7. (2分) (2018高三上·通榆期中) 已知函数是定义在上的奇函数,若对于任意给定的不等实数 ,不等式恒成立,则不等式的解集为()A .B .C .D .8. (2分) (2018高一上·旅顺口期中) 若对于任意,都有成立,则的范围是()A .B .C . (-∞,1)D .9. (2分)一个几何体的三视图如下左图所示,则此几何体的体积是()A . 112B . 80C . 72D . 6410. (2分)(2017·天津) 已知奇函数f(x)在R上是增函数,g(x)=xf(x).若a=g(﹣log25.1),b=g (20.8),c=g(3),则a,b,c的大小关系为()A . a<b<cB . c<b<aC . b<a<cD . b<c<a二、填空题 (共5题;共5分)11. (1分) (2016高一上·金台期中) 已知集合U=R,A={x|x≥2},B={x|x<﹣1},则∁U(A∩B)=________.12. (1分) (2016高一上·玉溪期中) 函数y=log (x2﹣6x+17)的值域为________13. (1分)若函数f(x)=3x2﹣5x+a的一个零点在区间(﹣2,0)内,另一个零点在区间(1,3)内,则实数a的取值范围是________14. (1分)(2017·深圳模拟) 函数f(x)= ,则f(f(3))=________.15. (1分)已知一个正三棱柱的所有棱长均相等,其侧(左)视图如图所示,那么此三棱柱正(主)视图的面积为________.表面积为________.体积为________.三、解答题 (共4题;共40分)16. (10分)已知实数x满足,求函数y=(log2x﹣1)•(log2x﹣2)的值域.17. (10分) (2018高一上·成都月考) 已知函数,其中。
2023—2024学年陕西省安康市名校高一上学期期中联考数学试卷一、单选题1. 已知集合,,则()A.B.C.D.2. 若实数满足,则的取值范围是()A.B.C.D.3. 已知,,且,则和的最小值分别为()A.8和8B.和C.8和9D.和94. 下列各组函数中,表示同一函数的是()A.,B.,C.,D.,5. 设奇函数在上为增函数,且,则不等式的解集为()A.B.C.D.6. 已知幂函数在区间上单调递增,则()A.-2B.1C.D.-17. 某文具店购进一批新型台灯,若按每盏台灯15元的价格销售,每天能卖出30盏;若售价每提高1元,日销售量将减少2盏,现决定提价销售,为了使这批台灯每天获得400元以上(不含400元)的销售收入.则这批台灯的销售单价x(单位:元)的取值范围是()A.B.C.D.8. 命题,,则为()A.,B.,C.,D.,二、多选题9. 已知集合,,则()A.,B.,C.,D.,10. 下列说法正确的有()A.“,使得”的否定是“,都有”B.若命题“,”为假命题,则实数的取值范围是C.若,,,则“”的充要条件是“”D.“”是“”的充分不必要条件11. 小王两次购买同一种物品,已知物品单价分别为和,且每次购买这种物品所花的钱数一样,两次购物的平均价格为,则下面正确的是()A.B.C.D.12. 对任意的,,函数满足,且,当时,,则下列说法正确的是()A.B.函数为奇函数C.当时,D.在上单调递增三、填空题13. 集合,用列举法表示是 ______ .14. 若不等式对于都成立,则实数m的取值范围为__________ .15. 函数图象如图所示,则 ________ .16. 已知幂函数,若,则的取值范围是__________ .四、解答题17. 已知集合,或.(1)若,求;(2)若,求a的取值范围.18. 回答下列问题(1)已知都是正实数,比较与的大小;(2)已知,,求的取值范围.19. (1)已知克糖水中含有克糖(),再添加克糖)(假设全部溶解),糖水变甜了.这一事实可以表示为不等式,证明这个不等式成立.(2)已知都是正数,求证;20. 中共中央政治局会议中明确提出支持新能源汽车加快发展.发展新能源汽车是我国从汽车大国迈向汽车强国的必由之路,是推动绿色发展的战略举措.2023年某企业计划引进新能源汽车生产设备,通过市场分析,全年需投入固定成本2500万元,每生产百辆,需另投入成本万元,且,由市场调研知,若每辆车售价5万元,则当年内生产的车辆能在当年全部销售完.(1)求出2023年的利润万元关于年产量百辆的函数关系式;(2)当2023年的年产量为多少百辆时,企业所获利润最大?并求出最大利润.21. 定义在上的函数,对任意的,都有成立,且当时,.(1)求的值;(2)证明:在上为增函数;(3)当时,解不等式.22. 已知函数,.(1)若,证明:在上单调递增;(2)若在上是单调的,求的取值范围.。
陕西省高一上学期期中数学试卷A卷姓名:________ 班级:________ 成绩:________一、选择题 (共8题;共16分)1. (2分)设集合,则有()A .B .C .D .2. (2分)定义在R上的函数y=f(x)是奇函数,且满足f(1+x)=f(1﹣x),当x∈[﹣1,1]时,f(x)=x3 ,则f(2013)的值是()A . ﹣1B . 0C . 1D . 23. (2分) (2019高二下·昭通月考) 已知集合,则()A .B .C .D .4. (2分)下列函数中,在(0,+∞)上为减函数的是()A . f(x)=B . f(x) =C .D .5. (2分) (2016高一上·淄博期中) 与函数y=x表示同一个函数是()A . y=B . y=aC . y=D . y=6. (2分)已知,则()A . x<z<yB . x<y<zC . z<y<xD . x=y<z7. (2分)非空集合,使得成立的所有的集合是()A .B .C .D .8. (2分)函数的零点所在的大致区间是()A . (1,2)B . (2,e)C . (e,3)D .二、填空题 (共5题;共5分)9. (1分) (2016高一上·如皋期末) 设全集U={﹣1,2,4},集合A={﹣1,4},则∁UA=________.10. (1分) (2017高一上·沛县月考) 设全集,,则下图中阴影表示的集合为________.11. (1分) =________.12. (1分) (2017高一上·山东期中) 若 = 则 =________.13. (1分)甲、乙、丙、丁四个物体同时从某一点出发向同一个方向运动,其路程fi(x)(i=1,2,3,4)关于时间x(x≥0)的函数关系式分别为f1(x)=2x﹣1,f2(x)=x3 , f3(x)=x,f4(x)=log2(x+1),有以下结论:①当x>1时,甲走在最前面;②当x>1时,乙走在最前面;③当0<x<1时,丁走在最前面,当x>1时,丁走在最前面;④丙不可能走在最前面,也不可能走在最后面;⑤如果它们一直运动下去,最终走在最前面的是甲.其中,正确结论的序号为________ (把正确结论的序号都填上,多填或少填均不得分)三、解答题 (共4题;共40分)14. (10分) (2016高一上·宁德期中) 已知集合A={x|2≤x≤6},集合B={x|x≥3}.(1)求CR(A∩B);(2)若C={x|x≤a},且A⊆C,求实数a的取值范围.15. (5分)已知函数f(x)=ln(3+x)+ln(3﹣x).(Ⅰ)求函数y=f(x)的定义域;(Ⅱ)判断函数y=f(x)的奇偶性;(Ⅲ)若f(2m﹣1)<f(m),求m的取值范围.16. (15分) (2019高三上·上海月考) 某旅游胜地欲开发一座景观山,从山的侧面进行勘测,迎面山坡线由同一平面的两段抛物线组成,其中所在的抛物线以为顶点、开口向下,所在的抛物线以为顶点、开口向上,以过山脚(点)的水平线为轴,过山顶(点)的铅垂线为轴建立平面直角坐标系如图(单位:百米).已知所在抛物线的解析式,所在抛物线的解析式为(1)求值,并写出山坡线的函数解析式;(2)在山坡上的700米高度(点)处恰好有一小块平地,可以用来建造索道站,索道的起点选择在山脚水平线上的点处,(米),假设索道可近似地看成一段以为顶点、开口向上的抛物线当索道在上方时,索道的悬空高度有最大值,试求索道的最大悬空高度;(3)为了便于旅游观景,拟从山顶开始、沿迎面山坡往山下铺设观景台阶,台阶每级的高度为20厘米,长度因坡度的大小而定,但不得少于20厘米,每级台阶的两端点在坡面上(见图).试求出前三级台阶的长度(精确到厘米),并判断这种台阶能否一直铺到山脚,简述理由?17. (10分) (2016高一下·大连开学考) 综合题。
2021-2022学年陕西省渭南市蒲城县高一上学期期中数学试题一、单选题1.已知集合{}14P x x =<< ,{}25Q x x =<< ,则P Q =( ) A .{}12x x << B .{}24x x << C .{}45x x << D .{}15x x <<【答案】B【分析】根据集合的交集运算,即可求得答案.【详解】由题意集合{}14P x x =<< ,{}25Q x x =<< , 则P Q ={}24x x <<, 故选:B2.下列函数中是增函数的为( ) A .y x =- B .2yxC .y x =D .3y x =【答案】D【分析】直接利用基本初等函数的单调性即可得到答案. 【详解】y x =-在R 上单调递减,2yx 在()0-∞,上单调递减,在()0+∞,上单调递增,y x =在()0-∞,上单调递减,在()0+∞,上单调递增,3y x =在R 上单调递增. 故选:D3.已知幂函数()y f x =的图像过点()9,3,则()1f =( ) A .1 B .-1 C .2 D .-2【答案】A【分析】根据幂函数定义,假设()f x x α=,代入点()9,3即可求出函数解析式,进而求解()1f 的值即可.【详解】已知()y f x =为幂函数,所以假设()f x x α=,代入点()9,3,得93α=,即12α=. 故()12f x x =,即得()12111f ==. 故选:A4.函数1()23xf x ⎛⎫=- ⎪⎝⎭的图象不经过( )A .第一象限B .第二象限C .第三象限D .第四象限【答案】A【分析】画出函数图象,结合图象即可得出答案.【详解】解:画出函数1()23xf x ⎛⎫=- ⎪⎝⎭的图象,由图可知其图象不过第一象限.故选:A.5.利用二分法求方程32330x x +-=的近似解时,若第一次确定的有解区间是[]0,1,则第二次确定的有解区间是( ) A .[]1,2 B .1,22⎡⎤⎢⎥⎣⎦C .1,12⎡⎤⎢⎥⎣⎦D .10,2⎡⎤⎢⎥⎣⎦【答案】C【分析】设()3233f x x x =+-,先确定()()0,1f f 的符号,再根据12f ⎛⎫ ⎪⎝⎭的符号,确定第二次的有解区间即可.【详解】设()3233f x x x =+-,()()15030,120,024f f f ⎛⎫=-<=>=-< ⎪⎝⎭,∴第二次确定的有解区间是1,12⎡⎤⎢⎥⎣⎦.故选:C.6.不等式432x <的解集是( )A .50,2⎛⎫ ⎪⎝⎭B .5,2⎛⎫-∞ ⎪⎝⎭C .5,2⎛⎫+∞ ⎪⎝⎭D .2,5⎛⎫-∞ ⎪⎝⎭【答案】B【分析】将不等式两边均改为以2为底数的指数幂形式,根据指数函数单调性即可求解.【详解】25543222252x x x x <⇒<⇒<⇒<. 故选:B 7.函数241xy x =+的图象大致为( ) A . B .C .D .【答案】A【分析】由题意首先确定函数的奇偶性,然后考查函数在特殊点的函数值排除错误选项即可确定函数的图象.【详解】由函数的解析式可得:()()241xf x f x x --==-+,则函数()f x 为奇函数,其图象关于坐标原点对称,选项CD 错误; 当1x =时,42011y ==>+,选项B 错误. 故选:A.【点睛】函数图象的识辨可从以下方面入手:(1)从函数的定义域,判断图象的左右位置;从函数的值域,判断图象的上下位置.(2)从函数的单调性,判断图象的变化趋势.(3)从函数的奇偶性,判断图象的对称性.(4)从函数的特征点,排除不合要求的图象.利用上述方法排除、筛选选项. 8.若2log 0.3a =,12log 0.4b =,0.30.2c =,则( )A .a b c <<B .a c b <<C .b a c <<D .c b a <<【答案】B【分析】根据对数函数、指数函数的单调性进行求解即可. 【详解】因为22log 0.3log 10<=,1122log 0.4log 0.51>=,...030002021<<=,所以a c b <<, 故选:B9.把物体放在冷空气中冷却,如果物体原来的温度是1T (C ︒),空气的温度是0T (C ︒),经过t 分钟后物体的温度T (C ︒)可由公式()0.25010e t T T T T -=+-求得.把温度是90C ︒的物体,放在10C ︒的空气中冷却t 分钟后,物体的温度是50C ︒,那么t 的值约等于(参考数据:ln3 1.10≈,ln 20.69≈)( ) A .1.76 B .2.76 C .2.98 D .4.40【答案】B【分析】根据所给数据代入方程即可求得结果. 【详解】由题可知:190T =,010T =,50T =,代入方程()0.25010e t T T T T -=+-得:0.255010(9010)e t -=+-,即0.251e2t-=,两边取对数得:10.25ln ln 22t -==-, 而ln 20.69≈,故0.690.25t -≈-, 解得: 2.76t ≈. 故选:B10.已知2,m <-点()()()1231,,,,1,m y m y m y -+都在二次函数22y x x =-的图象上,则( ) A .123y y y << B .321y y y << C .132y y y << D .213y y y <<【答案】B【解析】根据二次函数22y x x =-的对称轴、开口方向和单调性确定正确选项. 【详解】二次函数22y x x =-的对称轴为1x =,开口向上,在(),1∞-上递减, 由于2m <-,则13,2,11m m m -<-<-+<-, 且11m m m -<<+, 所以321y y y <<. 故选:B【点睛】本小题主要考查函数的单调性,属于基础题.11.已知函数()f x 是定义在R 上的偶函数,当[)0,x ∈+∞时,()24f x x x =-.若函数()()()R g x f x m m =+∈,则函数()g x 的零点个数不可能是( )A .1B .2C .3D .4【答案】A【分析】根据()f x 的奇偶性以及[)0,x ∈+∞时的解析式,可作出其图象,数形结合,讨论m 的取值情况,即可判断函数()g x 的零点个数情况.【详解】函数()f x 是定义在R 上的偶函数,当[)0,x ∈+∞时,()224(2)4f x x x x =-=--,作出()f x 的图象如图:,故当0m =时,()()g x f x =有3个零点;当0m <或4m =时,()()g x f x m =+的图象与x 轴有两个交点,则函数有2个零点; 当04m <<时,()()g x f x m =+的图象与x 轴有4个交点,则函数有4个零点;由于()()g x f x m =+也为偶函数,结合()f x 图象可知,()()g x f x m =+不可能有1个零点, 故选:A12.已知函数()()()1,,,0010,1px p q p q q q R x x x x ⎧⎛⎫=<⎪ ⎪=⎝⎭⎨⎪==⎩当且为互质的正整数,当或或为内的无理数称为黎曼函数,黎曼函数在高等数学中被广泛应用.下列关于黎曼函数()R x 的说法正确的是(注:p ,q 为互质的正整数(p q <),即p q为已约分的最简真分数)( ) A .()R x 的值域为10,2⎡⎤⎢⎥⎣⎦B .()R x 的最大值为1C .()R x 在()0,1上单调递增D .()R x 的最大值为12【答案】D【分析】根据黎曼函数的定义可知,()R x 的值域是不连续的,可判断A ;若()R x 的最大值为1,则1q =,这与,p q 为互质的正整数(p q <)矛盾,排除B ;取1212x x ==<而11022R R ⎛⎫== ⎪⎝⎭>,可判断C ;通过排除即可得出结果.【详解】对于A ,根据黎曼函数的定义可知,()R x 的值域是集合111110,,,,,,2345E q ⎧⎫=⋅⋅⋅⋅⋅⋅⎨⎬⎩⎭,是离散的数值,而不是10,2⎡⎤⎢⎥⎣⎦,所以A 错误;对于B ,若()R x 的最大值为1,即11q=则1q =,此时正整数p 并不存在,这与,p q 为互质的正整数且p q <矛盾,排除B ;对于C,取特殊值代入,不妨取1212x x =<11022R R⎛⎫== ⎪⎝⎭>,根据函数单调性定义可知,()R x 在()0,1上不是单调递增的,所以排除C ;对于D ,根据()R x 的值域是集合111110,,,,,,2345E q ⎧⎫=⋅⋅⋅⋅⋅⋅⎨⎬⎩⎭可知,()R x 的最大值为12,即D 正确;故选:D.二、填空题13.已知()125f x x -=-,则()f x =_________. 【答案】23x --【分析】令1x t -=,得1x t =-,然后利用换元法计算即可.【详解】令1x t -=,得1x t =-,因为()125f x x -=-,得()()21523f t t t =--=--,得()23f x x =-- 故答案为:23x --14.函数312xy ⎛⎫= ⎪⎝⎭的值域是_________.【答案】()0,∞+【分析】根据指数函数的值域求解.【详解】31128x xy ⎛⎫⎛⎫== ⎪ ⎪⎝⎭⎝⎭,由指数函数的值域知此函数的值域为()0,∞+.故答案为:()0,∞+15.设函数812,(,1]()log ,(1,)x x f x x x ∞∞-⎧∈-=⎨∈+⎩若()14f x =,则x =_________.【答案】3【分析】分段讨论求解即可【详解】当(,1]x ∈-∞时,21()224xf x --===, 所以2x =不满足题意;当(1,)x ∈+∞时,()11444811()log 81334f x x x ==⇒===满足题意; 所以3x =; 故答案为:3.16.已知函数()log (2)(01)a f x x a a =-<<在区间12,23⎡⎤⎢⎥⎣⎦上恒有()0f x >,则实数a 的取值范围是_________. 【答案】1,13⎛⎫⎪⎝⎭【分析】根据对数型符合函数的单调性即可求解.【详解】若函数()log (2)(01)a f x x a a =-<<在区间12,23⎡⎤⎢⎥⎣⎦上恒有()0f x >,则01,203a f <<⎧⎪⎨⎛⎫> ⎪⎪⎝⎭⎩,解得113a <<.故答案为:1,13⎛⎫⎪⎝⎭三、解答题17.计算下列各式的值:(1)1301(21)27π-⎛⎫-+ ⎪⎝⎭; (2)ln 2230.01log 3log 2lg 5log 4e ⨯+--. 【答案】(1)2 (2)0【分析】(1)根据指数幂的运算法则计算即可。
2024—2025学年陕西省西安市鄠邑区高一上学期期中质量检测数学试卷一、单选题(★) 1. 设集合,则()A.B.C.D.(★) 2. 已知集合,,若中恰有三个元素,则由a的取值组成的集合为()A.B.C.D.(★★) 3. 若,则一定有()A.B.C.D.(★) 4. 已知命题,,若为假命题,则的取值范围为()A.B.C.D.(★★) 5. 已知函数,若,则实数的值为()A.B.C.D.(★) 6. 下列函数中,既是偶函数又在上单调递减的函数是()A.B.C.D.(★★) 7. 函数,和的图象如图所示,则下列四个说法错误的是()A.如果,那么B.如果,那么C.如果,那么D.如果时,那么(★★★) 8. 如图,点在边长为1的正方形边上运动,是的中点,当点沿运动时,点经过的路程与的面积的函数的图象的形状大致是()A.B.C.D.E.均不是二、多选题(★) 9. 下列叙述正确的是()A.若,则B.C.,,则D.有个非空子集(★★★) 10. 对任意两个实数,定义若,,下列关于函数的说法正确的是()A.函数是偶函数B.方程有三个解C.函数在区间上单调递增D.函数有4个单调区间(★★) 11. 已知正数,满足,则()A.有最大值B.有最小值8C.有最小值4D.有最小值三、填空题(★★) 12. 设,,若是的充分不必要条件,则的取值范围是______ .(★) 13. 当时,不等式的解集为 ___________ .(★★) 14. 设,则 ________ .四、解答题(★★) 15. 集合,,.(1)求(2)现有两个条件:①,②条件,,若是的充分不必要条件;在这两个条件中任选一个填到横线上,并解答本题,选择多个条件作答时,按第一选择给分. 已知___________,求实数的取值范围.(★★★) 16. 已知函数.(1)当时,解不等式;(2)若,的解集为,求最小值.(★★★) 17. 已知函数是定义在上的奇函数,且.(1)求函数的解析式;(2)判断在上的单调性,并用单调性定义证明.(★★) 18. 某化工厂引进一条先进生产线生产某种化工产品,其生产的总成本万元与年产量吨之间的函数关系可以近似地表示为,已知此生产线的年产量最小为60吨,最大为110吨.(1)年产量为多少吨时,生产每吨产品的平均成本最低?并求最低平均成本;(2)若每吨产品的平均出厂价为24万元,且产品能全部售出,则年产量为多少吨时,可以获得最大利润?并求最大利润.(★★★) 19. 已知函数的定义域为,若存在区间,使得,则称区间为函数的“和谐区间”.如:函数在区间上的值域为,则为函数的“和谐区间”.(1)请直接写出函数的所有的“和谐区间”;(2)在直角坐标系中画出函数的图象;(3)若为函数的一个“和谐区间”,求的值.。
高一上学期期中数学试题一、单选题(本大题共8小题)1. 已知集合{}2Z160U x x =∈-≤∣,集合{}2Z 340A x x x =∈--<∣,则UA =( )A .{14xx ≤≤∣或4}x =- B .{41xx -≤≤-∣或4}x = C .{}4,3,2,1,4---- D .{}4,3,2,1----2. 24x =是2x =-的( ) A .充分不必要条件 B .必要不充分条件C .充分必要条件D .既不充分也不必要条件3. 若,,a b c R ∈,a b >则下列不等式成立的是( ) A .11a b<B .22a b <C .a c b c >D .2211a bc c >++ 4. 设函数()21,01,0x x f x x x -+≤⎧=⎨->⎩,若()3f a =,则实数=a ( )A .2B .2-或2C .4-或2D .4-5. 幂函数2225()(5)m m f x m m x +-=+-在区间(0,)+∞上单调递增,则(3)f =( )A .27B .9C .19D .1276. 下列函数中,既是其定义域上的单调函数,又是奇函数的是( ) A .4y x = B .1y x=C .y =D .3y x =7. 若两个正实数,x y 满足141x y +=,且不等式234yx m m +<-有解,则实数m 的取值范围为( )A .41,3⎛⎫- ⎪⎝⎭B .()4,1,3∞∞⎛⎫--⋃+ ⎪⎝⎭C .4,13⎛⎫- ⎪⎝⎭D .()4,1,3⎛⎫-∞-⋃+∞ ⎪⎝⎭8. 已知函数()f x 的定义域是()0,∞+,且满足()()()1,12f xy f x f y f ⎛⎫=+= ⎪⎝⎭,如果对于0x y <<,都有()()f x f y >,则不等式()()232f x f x +-≥-的解集为( ) A .[]1,2 B .][(),12,-∞⋃+∞C .()()0,12,3D .][()0,12,3⋃二、多选题(本大题共4小题)9. 已知{}21|A y y x ==+,(){}21|,B x y y x ==+ ,下列关系正确的是( )A .=AB B .()1,2A ∈C .1B ∉D .2A ∈10. 已知关于x 的不等式20ax bx c ++>的解集为{}|23<<x x ,则下列说法正确的有( ) A .0a >B .0a b c ++<C .24c a b ++的最小值为6D .不等式20cx bx a -+<的解集为1|32x x x ⎧⎫<->⎨⎬⎩⎭或11. 下列说法正确的是( )A .偶函数()f x 的定义域为[]21,a a -,则1a =B .若函数()21y f x =-的定义域是[]2,3-,则f x y =的定义域是(]3,5-C .奇函数()f x 在[]2,4上单调递增,且最大值为8,最小值为1-,则()()24215f f -+-=-D .若集合{}2|420A x ax x =-++=中至多有一个元素,则2a ≤-12. 已知定义在R 上的函数()f x 的图像是连续不断的,且满足以下条件:①()()R,x f x f x ∀∈-=;② ()12,0,x x ∀∈+∞,当12x x ≠时,()()21210f x f x x x ->-;③()10f -=.则下列选项成立的是( )A .()f x 在(),0∞-上单调递减,B .()()53f f -<C .若()()12f m f -<,则3m <D .若()0f x x>,则()()1,01,x ∈-⋃+∞三、填空题(本大题共3小题)13. 已知()y f x =为奇函数,当0x ≥时()()1f x x x =+,则()3f -= . 14. 已知1x >,则1411y x x =++-的最小值是 . 15. 已知()f x 是定义域为(),-∞+∞的偶函数,且满足()()()2,01f x f x f +=-=,则()()()()()12320212022f f f f f +++++= .四、双空题(本大题共1小题)16. 已知函数()22,31,3x x x c f x c x x ⎧+-≤≤⎪=⎨<≤⎪⎩,若0c ,则()f x 的值域是 ;若()f x 的值域是[]1,3-,则实数c 的取值范围是 .五、解答题(本大题共6小题)17. (1)某网店销售一批新款削笔器,每个削笔器的最低售价为15元.若按最低售价销售,每天能卖出30个;若一个削笔器的售价每提高1元,日销售量将减少2个.为了使这批削笔器每天获得400元以上的销售收入,应怎样制定这批削笔器的销售价格?(2)根据定义证明函数1y x x=+在区间()1,+∞上单调递增. 18. 已知命题2120p x x a ∀≤≤-≥:,,命题22R +2+2+=0q x x ax a a ∃∈:,. (1)若命题p 的否定为真命题,求实数a 的取值范围;(2)若命题p 为真命题,命题q 为假命题,求实数a 的取值范围.19. 已知函数()f x A ,集合={1<<1+}B x a x a -.(1)当=2a 时,求R A B ⋂();(2)若B A ⊆,求a 的取值范围.20. 已知幂函数()22()55m f x m m x -=-+的图象关于点(0,0)对称.(1)求该幂函数()f x 的解析式;(2)设函数()|()|g x f x =,在如图的坐标系中作出函数()g x 的图象; (3)直接写出函数()g x 的单调区间.21. 已知函数()223,R f x x bx b =-+∈. (1)求不等式()24f x b <-的解集;(2)当[]1,2x ∈-时,函数()y f x =的最小值为1,求当[]1,2x ∈-时,函数()y f x =的最大值.22. 设函数()()22,52(0)1x f x g x ax a a x ==+->+,(1)若对任意的[]10,1x ∈,存在[]20,1x ∈使得()()12f x g x ≥,求实数a 的取值范围; (2)若对任意的[]10,1x ∈,存在[]20,1x ∈使得()()12f x g x =,求实数a 的取值范围.参考答案1. 【答案】C【分析】解一元二次不等式求得集合U 和A ,根据补集的概念即可求得答案.【详解】解不等式2340x x --<得14,{Z 14}{0123}x A x x -<<∴=∈-<<=∣,,,, 由2160x -≤,可得44x -≤≤,{}Z 44{432101234}U x x ∴=∈-≤≤=----∣,,,,,,,,, {}4,3,2,1,4U A ∴=----故选:C. 2. 【答案】B【分析】先解方程24x =,进而判断出.24x =是2x =-的必要不充分条件. 【详解】①当24x =时,则2x =±,∴充分性不成立,②当2x =-时,则24x =,∴必要性成立,∴24x =是2x =-的必要不充分条件. 故选:B. 3. 【答案】D【分析】通过反例1a =,1b ,0c 可排除ABC ;利用不等式的性质可证得D 正确.【详解】若1a =,1b,则1111a b=>=-,221a b ==,则A 、B 错误; 若a b >,0c ,则0a c b c ==,则C 错误;211c +≥,21011c ∴<≤+,又a b >,2211a bc c ∴>++,则D 正确.故选:D. 4. 【答案】B【分析】根据()21,01,0x x f x x x -+≤⎧=⎨->⎩,分0a ≤和 0a >讨论求解. 【详解】解:()21,01,0x x f x x x -+≤⎧=⎨->⎩,当0a ≤时,13a -+=,则2a =-, 当0a >时,令24a =,则2a =, 故实数2a =-或2, 故选:B. 5. 【答案】A【分析】根据幂函数的概念及性质,求得实数m 的值,得到幂函数的解析式,即可求解.【详解】由题意,令251m m +-=,即260m m +-=,解得2m =或3m =-,当2m =时,可得函数3()f x x =,此时函数()f x 在(0,)+∞上单调递增,符合题意; 当3m =-时,可得2()f x x -=,此时函数()f x 在(0,)+∞上单调递减,不符合题意, 即幂函数3()f x x =,则(3)27f =. 故选:A. 6. 【答案】D【分析】根据幂函数的单调性与奇偶性分析判断.【详解】对于A :∵()44x x -=,则4y x =是偶函数,故A 错误; 对于B :∵11=--x x ,则1y x=为奇函数,在()(),0,0,-∞+∞单调递减,但在定义域上不单调,故B 错误;对于C :y =[)0,∞+,在定义域上单调递增,但定义域不关于原点对称,即y =C 错误;对于3D :y x =在定义域R 上单调递增,且33()x x -=-,即3y x =为奇函数,故D 正确; 故选:D. 7. 【答案】B【分析】根据基本不等式,结合不等式有解的性质进行求解即可. 【详解】不等式234y x m m +<-有解,2min 3,0,04y x m m x y <⎛⎫∴+->> ⎪⎝⎭,且141x y +=,144224444y y x y x x x y y x ⎛⎫⎛⎫∴+=++=++≥= ⎪ ⎪⎝⎭⎝⎭,当且仅当44x y y x =,即2,8x y ==时取“=",min 44y x ⎛⎫∴+= ⎪⎝⎭,故234m m ->,即()()1340m m +->,解得1m <-或4,3m >∴实数m 的取值范围是()4,1,3∞∞⎛⎫--⋃+ ⎪⎝⎭. 故选:B. 8. 【答案】D【分析】由赋值法得()42f =-,由函数的单调性转化后求解,【详解】由于()()()f xy f x f y =+,令1x y ==得()()121f f =,即()10f =,则()()11122022f f f f ⎛⎫⎛⎫=⨯=+= ⎪ ⎪⎝⎭⎝⎭,由于112f ⎛⎫= ⎪⎝⎭,则()21f =-, 即有()()4222f f ==-,由于对于0x y <<,都有()()f x f y >,则()f x 在()0,∞+上递减, 不等式()()232f x f x +-≥-即为()()234f x x f ⎡⎤-≥⎣⎦.则20302(3)4x x x x >⎧⎪->⎨⎪-≤⎩,解得01x <≤或23x ≤<,即解集为][()0,12,3⋃. 故选:D9. 【答案】CD【分析】根据集合A 、B 的特征,结合元素与集合的关系进行判断.【详解】∵{}2|1{|1}A y y x y y ==+=是数集;{}2(,)|1B x y y x ==+为点集,∴2A ∈,2B ∉,1B ∉,故A 错误,C 、D 正确;由21y x =+知,=1x 时=2y ,∴(1,2)B ∈,(1,2)A ∉,故B 错误. 故选:CD . 10. 【答案】BC【分析】由不等式与方程的关系得出02323a b a c a ⎧⎪<⎪⎪+=-⎨⎪⎪⨯=⎪⎩,从而得到:5b a =-,6c a =,且a<0,再依次对四个选项判断即可得出答案.【详解】不等式20ax bx c ++>的解集为{}|23<<x x ,02323a b a c a ⎧⎪<⎪⎪∴+=-⎨⎪⎪⨯=⎪⎩,解得:5b a =-,6c a =,且a<0,故选项A 错误;5620a b c a a a a ++=-+=<,故选项B 正确;()2243641964c a a a b a a ++⎛⎫==-+-≥ ⎪+-⎝⎭, 当且仅当13a =-时等号成立,故选项C 正确;20cx bx a -+<可化为:2650ax ax a ++<,即26510x x ++>,则解集为1123x x x ⎧⎫--⎨⎬⎩⎭或,故选项D 错误;综上所述选项B 、C 正确, 故选:BC. 11. 【答案】BC【分析】根据偶函数的定义域关于原点对称,可判断A 项错误;根据抽象函数定义域的求解法则,以及使得分式根式有意义,可列出不等式组,可判断B 项正确;根据条件可得()21f =-,()48f =,根据奇函数的性质可求得()2f -与()4f -的值,代入即可得出C 项正确;由题意可知,方程2420ax x -++=至多有一个解,对a 是否为0讨论,可得D 项错误.【详解】由偶函数()f x 的定义域为[]21,a a -,可得210a a -+=,解得13a =,A 错;因为函数()21y f x =-的定义域是[]2,3-,所以23x -≤≤,即5215x -≤-≤.所以函数()f x 的定义域为[]5,5-.要使f x y =5530x x -≤≤⎧⎨+>⎩,解得35x -<≤,即y =(]3,5-,B 对;因为,奇函数()f x 在[]2,4上单调递增,且最大值为8,最小值为-1, 则()21f =-,()48f =,根据奇函数的性质可得,()()221f f -=-=,()()448f f -=-=-, 则()()()24228115f f -+-=⨯-+=-,则C 项正确;因为集合{}2420A x ax x =-++=∣中至多有一个元素, 所以方程2420ax x -++=至多有一个解,当0a =时,方程420x +=只有一个解12x =-,符合题意;当0a ≠时,由方程2420ax x -++=至多有一个解,可得Δ1680a =+≤,解得2a ≤-. 所以,0a =或2a ≤-,则D 项错误. 故选:BC. 12. 【答案】AD【分析】由①可得,()f x 为偶函数.由②可得,()f x 在()0,∞+上单调递增.后分析选项可得答案.【详解】由()()()21121221,0,,,0f x f x x x x x x x ∞-∀∈+≠>-得:()f x 在()0,∞+上单调递增,由R x ∀∈,()()f x f x -=得:函数()f x 是R 上的偶函数.对于A 选项,因()f x 在()0,∞+上单调递增,且()f x 为偶函数,则()f x 在(),0∞-上单调递减,故A 正确.对于B ,C 选项,因()f x 为偶函数,则()()f x f x =.又()f x 在()0,∞+上单调递增,则()()()553,f f f -=>故B 错误;()()()()1212f m f f m f -<⇔-<,又函数()f x 的图像是连续不断的,则有12m -<,解得13,m -<<故C 错误;对于D 选项,由()0f x >及()10f -=得:()()11f x f x >⇔>,解得1x <-或1x >,由()0f x <得:()()11f x f x <⇔<,解得11x -<< 则()0f x x>可化为:()00f x x ⎧>⎨>⎩或()00f x x ⎧<⎨<⎩,解得1x >或10x -<<,即()()1,01,x ∈-⋃+∞,故D 正确.故选:AD13. 【答案】-12【分析】利用奇函数的性质()()f x f x -=-即可得到答案. 【详解】因为()y f x =为奇函数,所以()()f x f x -=-, 故()()()3331312f f -=-=-⨯+=-. 故答案为:-12. 14. 【答案】9【分析】将目标式变形,利用基本不等式即可得出其最值. 【详解】1x >,10x ->,()(11414152415911x x x x x ∴++=-++-=--, 当且仅当()1411x x -=-即3=2x 时取等号, 32x ∴=时, 1411y x x =++-取最小值9. 故答案为:9. 15. 【答案】1-【分析】由()()2f x f x +=-知函数是周期为4的周期函数,再结合偶函数可求()()()()1234f f f f ,,,的值,从而可求()()()()()12320212022f f f f f +++++的值.【详解】由()f x 满足()()2f x f x +=-,则()()()42f x f x f x +=-+=,即函数是周期为4的周期函数;根据题意,()f x 是定义域为(),-∞+∞的偶函数,则有()()11f f -=,又由()f x 满足()()2f x f x +=-,则()()()111f f f -=-=,所以()()110f f =-=,由()()2f x f x +=-,可得()()()()201,310f f f f =-=-=-=, 则()()()()12340f f f f +++=, 所以()()()()()12320212022f f f f f +++++()()()()()()5051234121f f f f f f ⎡⎤=+++++=-⎣⎦. 故答案为:1-.16. 【答案】 [1,)-+∞ 1[,1]3.【分析】作出函数()f x 的图象,根据二次函数与反比例函数的图象与性质,结合图象,即可求解.【详解】由0c 时,函数()22,301,03x x x f x x x⎧+-≤≤⎪=⎨<≤⎪⎩,当[3,0]x ∈-时,函数()22f x x x =+,可得函数()f x 在[3,1]--上单调递减,在[1,0]-上单调递增, 且()()(3)3,11,00f f f -=-=-=,所以函数的值为[1,3]-; 当(0,3]x ∈时,函数()1f x x =为单调递减函数,其值域为1[,)3+∞, 综上可得,函数()f x 的值域为[1,)-+∞; 作出函数()f x 的图象,如图所示, 若函数()f x 的值域为[1,3]-,当1y =-时,即221x x +=-,解得=1x -, 当3y =时,即223x x +=,解得3x =-或1x =, 当13x=时,可得13x =,结合图象,可得实数c 的取值范围是1[,1]3.故答案为:[1,)-+∞;1[,1]3.17. 【答案】(1)应将这批削笔器的销售价格制定在每个15元到20元之间(包括15元但不包括20元);(2)证明见解析.【分析】(1)设这批削笔器的销售价格定为()15x x 元/个,解不等式()30152400x x ⎡⎤--⨯⋅>⎣⎦即得解;(2)利用函数单调性的定义证明.【详解】(1)设这批削笔器的销售价格定为()15x x 元/个,由题意得()30152400x x ⎡⎤--⨯⋅>⎣⎦,即2302000,x x -+<方程230200x x -+=的两个实数根为1210,20x x ==,2302000x x ∴-+<解集为{1020}x x <<∣, 又15,1520x x ≥∴≤<,故应将这批削笔器的销售价格制定在每个15元到20元之间(包括15元但不包括20元),才能使这批削笔器每天获得400元以上的销售收入.(2)证明:()12,1,x x ∀∈+∞,且12x x <,有()()()211212121212121212121211111x x x x y y x x x x x x x x x x x x x x x x ⎛⎫⎛⎫⎛⎫---=+-+=-+-=-+=- ⎪ ⎪ ⎪⎝⎭⎝⎭⎝⎭.由()12,1,x x ∈+∞,得121,1x x >>.所以12121,10x x x x >->. 又由12x x <,得120x x -<.于是()12121210x x x x x x --<,即12y y <. 所以,函数1y x x=+在区间()1,+∞上单调递增. 18. 【答案】(1)(1,)+∞ (2)(0,1]【分析】(1)先求出p ⌝,然后利用其为真命题,求出a 的取值范围即可; (2)由(1)可知,命题p 为真命题时a 的取值范围,然后再求解q 为真命题时a 的取值范围,从而得到q ⌝为真命题时a 的取值范围,即可得到答案. 【详解】(1)根据题意,当12x ≤≤时,214x ≤≤, p ⌝:存在12x ≤≤,20x a -<为真命题,则1a >, 所以实数a 的取值范围是(1,)+∞;(2)由(1)可知,命题p 为真命题时,1a ≤, 命题q 为真命题时,2244(2)0a a a ∆=-+≥,解得0a ≤, 所以q ⌝为真命题时,0a >,所以1>0a a ≤⎧⎨⎩,解得01a <≤,所以实数a 的取值范围为(0,1]. 19. 【答案】(1){3<1x x -≤-或}34x ≤≤(2){3}aa ≤|【分析】(1)求出定义域,得到{-34}A xx =<≤|,进而计算出RB 及()R A B ⋂;(2)分B =∅与B ≠∅,列出不等式,求出a 的取值范围. 【详解】(1)要使函数()f x 40+3>0x x -≥⎧⎨⎩,解得:34x -<≤, 所以集合{-34}A x x =<≤|. 2a =,∴{}{}=1<<1+=1<<3B x a x a x x --, ∴{=1RB x x ≤-或}3x ≥,∴{=3<1RA B x x ⋂-≤-或}34x ≤≤;(2)B A ⊆,①当B =∅时,11a a -≥+,即0a ≤,满足题意;②当B ≠∅时,由B A ⊆,得1<1+131+4a a a a --≥-≤⎧⎪⎨⎪⎩,解得:03a <≤,综上所述:a 的取值范围为{}3a a ≤.20. 【答案】(1)1()f x x -=(2)作图见解析(3)递增区间是(,0)-∞,递减区间是(0,)+∞【分析】(1)利用幂函数的定义求出m 值,再结合其图象性质即可得解.(2)由(1)求出函数()g x ,再借助反比例函数、对称性作出()g x 的图象.(3)根据(2)中图象特征写出函数()g x 的单调区间.【详解】(1)因幂函数()22()55m f x m m x -=-+,则2551m m -+=,解得1m =或4m =,当1m =时,函数11()f x x x-==定义域是(,0)(0,)-∞+∞,()f x 是奇函数,图象关于原点对称,则1m =,当4m =时,函数2()f x x =是R 上的偶函数,其图象关于y 轴对称,关于原点不对称,所以幂函数()f x 的解析式是1()f x x -=(2)因函数()|()|g x f x =,由(1)知,1()||g x x =,显然()g x 是定义域(,0)(0,)-∞+∞上的偶函数,当0x >时,1()g x x =在(0,)+∞上单调递减,其图象是反比例函数1y x =在第一象限的图象,作出函数()g x 第一象限的图象,再将其关于y 翻折即可得()g x 在定义域上的图象,如图,(3)观察(2)中图象得,函数()g x 的递增区间是(,0)-∞,递减区间是(0,)+∞. 21. 【答案】(1){|11}x b x b -<<+(2)答案见解析【分析】(1)根据题意解一元二次不等式即可;(2)分类讨论函数单调区间,找到最小值点,由最小值为1,求出系数b ,再求函数在区间内的最大值.【详解】(1)若()24f x b <-,即22234x bx b -+<-,则()()110x b x b ⎡⎤⎡⎤---+<⎣⎦⎣⎦,∵11b b -<+,所以11b x b -<<+,故不等式()0f x <的解集为{|11}x b x b -<<+.(2)因为()223f x x bx =-+是开口向上,对称轴为x b =的二次函数,①若1b ≤-,则()f x 在[]1,2-上单调递增,∴函数()y f x =的最小值为()1421f b -=+=,解得32b =-, 故函数()y f x =的最大值为()27413f b =-=;②若2b ≥,则()f x 在[]1,2-上单调递减,∴函数()y f x =的最小值为()2741f b =-=,解得32b =(舍去); ③若12b -<<,则()f x 在[]1,b -上单调递减,在(],2b 上是单调递增,∴函数()y f x =的最小值为()231f b b =-=,解得b =b =(舍去),故函数()y f x =的最大值为()1424f b -=+=+综上所述: 当32b =-时,()f x 的最大值为13;当b =()f x 最大值为4+22. 【答案】(1)5,2⎡⎫+∞⎪⎢⎣⎭(2)5,42⎡⎤⎢⎥⎣⎦【分析】(1)根据题意,分别求出两个函数的最小值,将问题等价转化为min min ()()g x f x ≤,解不等式即可求解;(2)根据题意,分别求出两个函数的值域,然后将问题等价转化为()f x 在[0,1]上值域是()g x 在[0,1]上值域的子集,结合集合的包含关系即可求解.【详解】(1)因为()()()2221221214111x x f x x x x x -+⎡⎤===++-⎢⎥+++⎣⎦,利用1y x x =+函数图像性质可知()f x 在[]0,1上单调递增,于是()f x 在0x =处取得最小值,即()min ()00f x f ==,因为()52g x x a α=+-,注意到0a >,则()g x 在[]0,1上单调递增,于是()g x 在0x =处取得最小值,即()min ()052g x g a ==-,由题意可得:520a -≤,即得5,2a ∞⎡⎫∈+⎪⎢⎣⎭,所以实数a 的取值范围为5,2⎡⎫+∞⎪⎢⎣⎭. (2)由(1)可知:()f x 在1x =处取得最大值,即()max ()11f x f ==于是当[]0,1x ∈时,()f x 的值域[]0,1A = ()g x 在1x =处取得最大值,即()max ()15g x g a ==- 于是当[]0,1x ∈时,()g x 的值域[]52,5B a a =-- 要使得对任意的[]10,1x ∈,存在[]20,1x ∈使得()()12f x g x = 根据()f x 与()g x 的连续性可知A B ⊆成立 则52051a a -≤⎧⎨-≥⎩,解得5,42a ⎡⎤∈⎢⎥⎣⎦,所以实数a 的取值范围为5,42⎡⎤⎢⎥⎣⎦.。
陕西省“西中教育联合体”2024-2025学年高一上学期期中考试数学试题一、单选题1.命题“每一个四边形的对角线都互相垂直”的否定是()A .每一个四边形的对角线都不互相垂直B .存在一个四边形,它的对角线不垂直C .所有对角线互相垂直的四边形是平行四边形D .存在一个四边形,它的对角线互相垂直2.已知集合{}1,,A a b =,{}2,,B a a ab =,若A B =,则20232022a b +=()A .1-B .0C .1D .23.设0.70.80.713,,0.8,3a b c -⎛⎫=== ⎪⎝⎭则()A .a b c >>B .b a c >>C .c a b<<D .c b a>>4.已知关于x 的一元二次不等式20ax bx c ++<的解集为(1,5)-,其中,,a b c 为常数,则不等式20cx bx a ++≤的解集是()A .11,5⎡⎤-⎢⎥⎣⎦B .1,15⎡⎤-⎢⎥⎣⎦C .1,[1,)5⎛⎤-∞-⋃+∞ ⎥⎝⎦D .1(,1],5⎡⎫-∞-⋃+∞⎪⎢⎣⎭5.已知实数1x >,则函数221y x x =+-的最小值为()A .5B .6C .7D .86.函数331x x y =-的图象大致是()A .B .C .D .7.定义在0,+∞上的函数()f x 满足:对()12,0,x x ∞∀∈+,且12x x ≠,都有()()2112120x f x x f x x x ->-成立,且()36f =,则不等式()2f x x>的解集为()A .()3,+∞B .()0,3C .()0,2D .()2,+∞8.已知函数()2,123,1x a a x f x ax ax a x ⎧+≥=⎨-+-+<⎩(0a >且1a ≠),若函数()f x 的值域为R ,则实数a 的取值范围是()A .20,3⎛⎤⎝⎦B .31,2⎛⎤ ⎥⎝⎦C .[)2,+∞D .[)3,+∞二、多选题9.已知集合{}{}22320,(2)20A xx x B x ax a x =-+==-++=∣∣,若B A ⊆,则实数a 的值可以为()A .2B .1C .12D .010.若R a b c ∈,,,则下列命题正确的是()A .若22ac bc <,则a b <B .若01a <<,则aC .若0a b >>且0c <,则b c ba c a+>+D .22245a b a b +≥--11.已知x ,y 都为正数,且21x y +=,则下列说法正确的是()A .2xy 的最大值为14B .224x y +的最小值为12C .()x x y +的最大值为14D .11x y+的最小值为3+12.高斯(Gauss )是德国著名的数学家,近代数学奠基者之一,用其名字命名的“高斯函数”为:设x ∈R ,用[]x 表示不超过x 的最大整数,则[]y x =称为高斯函数,例如:[]2.33-=-,[]15.3115=.已知函数()21122x xf x =-+,()()G x f x =⎡⎤⎣⎦,则下列说法正确的有()A .()G x 是偶函数B .()G x 的值域是{}1,0-C .()f x 是奇函数D .()f x 在R 上是增函数三、填空题1313827-⎛⎫+=⎪⎝⎭.14.函数2()1(0,1)x f x a a a -=+>≠的图象必经过定点.15.不等式210ax ax a -++>对R x ∀∈恒成立,则实数a 的取值范围为.16.函数()1(0)g x ax a =+>,()22f x x x =+,若[]11,1x ∀∈-,[]02,1x ∃∈-使()()10g x f x =成立,则a 的取值范围是.四、解答题17.解关于x 的不等式2(1)0x ax a --+<;18.已知集合{}310A x x =<<,{}29140B x x x =-+<,{}32C x x m =<<,(1)求A B ⋂,()R A B ð;(2)若x C ∈是()x A B ∈ 的充分而不必要条件,求实数m 的取值范围.19.已知函数()21ax bf x x +=+是定义在()1,1-上的函数,()()f x f x -=-恒成立,且12.25f ⎛⎫= ⎪⎝⎭(1)确定函数()f x 的解析式;(2)用定义证明()f x 在()1,1-上是增函数;(3)解不等式()()10f x f x -+<.20.某工厂某种航空产品的年固定成本为250万元,每生产x 件,需另投入成本为()C x ,当年产量不足80件时,21()103C x x x =+(万元).当年产量不小于80件时,10000()511450C x x x=+-(万元).每件商品售价为50万元.通过市场分析,该厂生产的商品能全部售完.(1)写出年利润()L x (万元)关于年产量x (件)的函数解析式;(2)年产量为多少件时,该厂在这一商品的生产中所获利润最大?21.设幂函数()22()33m f x m m x -=--在(0,)+∞单调递增,(1)求()f x 的解析式;(2)设不等式()45f x x ≤+的解集为函数()2()[(1)()]g x f x a f x f x =++-的定义域,记()g x 的最小值为()h a ,求()h a 的解析式.。
陕西省咸阳市礼泉县2024-2025学年高一上学期期中学科素养评价质量调研数学试题一、单选题1.命题p :x M ∀∈,3210x x -+<的否定是()A .x M ∀∉,3210x x -+<B .x M ∀∈,3210x x -+≥C .x M ∃∈,3210x x -+<D .x M ∃∈,3210x x -+≥2.已知集合{1,2},{2,3},{2,4}A B C ===,则()A B C ⋂⋃=()A .{1,2}B .{2}C .{2,4}D .{1,2,3,4}3.下列图象中,可以表示函数=图象的是()A .B .C .D .4.不等式2450x x -++<的解集为()A .{}15x x -<<B .{5xx >∣或1}x <-C .{1xx >∣或5}x <-D .{}51x x -<<5.下列各组函数表示同一函数的是()A .()0f x x =,()1g x =B .()f x =()g x =C .()21f n n =+(n ∈Z ),()21g n n =-(n ∈Z )D .(),0,,0,x x f x x x -<⎧=⎨≥⎩()g t t =6.已知a b c >>,则下列不等式恒成立的是()A .2a b c +<B .11a cb c>++C .11b c a c>--D .ac bc-<-7.已知m ,n ∈R ,则“2mn >”是“224m n +>”的()A .充分不必要条件B .必要不充分条件C .充要条件D .既不充分也不必要条件8.已知函数()f x 是定义在R 上的偶函数,且对任意两个不相等的正数1x ,2x ,都有()()12120f x f x x x -<-.设()6a f =-,()4b f =-,()5c f =,则()A .a c b <<B .c b a <<C .b c a<<D .a b c<<二、多选题9.设0a >,则下列运算中正确的有()A .40.25a a a =B .0.52-=C .()339a a =D 3π=-10.已知函数2y ax bx c =++的部分图象如图所示,则()A .0c <B .2b a =C .20a b c ++<D .关于x 的不等式20cx bx a ++<的解集为1,13⎛⎫- ⎪⎝⎭11.设x ∈R ,用[]x 表示不超过x 的最大整数,则[]y x =称为高斯函数,如[]2.53-=-,[]1.51=.设函数24()1xf x x =+,()[()]g x f x =,则下列说法正确的有()A .[π]4-=-B .0x ∃∈R ,0()3g x =C .()f x 的图象关于原点对称D .()g x 在(0,)+∞上单调递增三、填空题12.函数()211x f x x -=-的定义域为.13.集合{}0,1,2A =的真子集的个数是.14.为提高生产效率,某公司引进新的生产线投入生产,投入生产后,除去成本,每条生产线生产的产品可获得的利润S (单位:万元)与生产线运转时间t (单位:年)满足二次函数关系:225472S t t =-+-,该新生产线年平均利润最大为万元.四、解答题15.已知全集U =R ,集合{}32A x x =-≤≤,{}04B x x =<<,{}13C x x a =≥-.(1)求U A B U ð;(2)若U C B C = ð,求实数a 的取值范围.16.已知幂函数()()22mf x m m x =+的图象过点()4,2.(1)求()f x 的解析式;(2)若函数()()()91g x f x f x =++,求()g x 的最小值.17.已知关于x 的不等式2520x x a -+<的解集为{}1x m x m <<+.(1)求实数,a m 的值;(2)解不等式111ax mx +>-.18.已知函数()9f x x x=+.(1)证明:函数()f x 是奇函数;(2)用定义证明函数()f x 在()3,+∞上单调递增;(3)若[]1,5x ∈,求函数()f x 的最大值.19.已知函数()22f x x mx m =-+.(1)若关于x 的不等式()0f x >恒成立,求实数m 的取值范围;(2)若函数()f x 在[]1,4上单调递减,求实数m 的最小值;(3)是否存在实数m ,使得()f x 在[]1,4上的值域恰好是[]1,4?若存在,求出实数m 的值;若不存在,说明理由.。
陕西省高一上学期数学期中考试试卷(I)卷姓名:________ 班级:________ 成绩:________一、单选题 (共14题;共28分)1. (2分) (2019高三上·番禺月考) 若集合,,则().A .B .C .D .2. (2分) (2017高二下·和平期末) 已知函数f(x)是定义在R上的偶函数,且在区间[0,+∞]上单调递增,若实数a满足f(log2a)+f()≤2f(1),则a的取值范围是()A . [1,2]B . (0, ]C . (0,2]D . [ ,2]3. (2分) (2019高一上·哈尔滨期末) 下图给出四个幂函数的图象,则图象与函数的大致对应是()A . ① ,② ,③ ,④B . ① ,② ,③ ,④C . ① ,② ,③ ,④D . ① ,② ,③ ,④4. (2分) (2019高一上·宁波期中) 已知函数,则()A .B .C .D .5. (2分)若函数f(x)满足“对任意x1 ,x2∈(0,+∞),当x1<x2时,都有f(x1)>f(x2)”,则f(x)的解析式可以是()A . f(x)=(x-1)2B . f(x)=exC . f(x)=D . f(x)=ln(x+1)6. (2分)若的定义域为A,g(x)=f(x−1)-f(x)的定义域为B,那么()A . A∪B=BB . A BC . A⊆BD . A∩B=7. (2分)设,则()A . a<b<cB . a<c<bC . c<a<bD . b<a<c8. (2分) (2016高一下·广州期中) 已知函数,若a,b,c互不相等,且f(a)=f (b)=f(c),则abc的取值范围是()A . (1,10 )B . (5,6)C . (10,12)D . (20,24)9. (2分)定义在上的函数满足,当时,则()A .B .C .D . 110. (2分) (2016高一上·揭阳期中) 定义在(﹣1,1)上的函数f(x)是奇函数,且函数f(x)在(﹣1,1)上是减函数,则满足f(1﹣a)+f(1﹣a2)<0的实数a的取值范围是()A . [0,1]B . (﹣2,1)C . [﹣2,1]D . (0,1)11. (2分)(2016·山东理) 已知函数f(x)的定义域为R.当x<0时,f(x)=x3﹣1;当﹣1≤x≤1时,f(﹣x)=﹣f(x);当x>时,f(x+ )=f(x﹣).则f(6)=()A . ﹣2B . ﹣1C . 0D . 212. (2分) (2016高二上·翔安期中) 已知命题p:m>2,命题q:x2+2x﹣m>0对x∈[1,2]恒成立.若p∧q 为真命题,则实数m的取值范围是()A . 2<m<3B . m>2C . m<﹣1或m>2D . m<﹣113. (2分) (2016高一上·兴国期中) 已知函数f(x)= ,满足对任意的实数x1≠x2都有<0成立,则实数a的取值范围为()A . (﹣∞,2)B . (﹣∞, ]C . (﹣∞,2]D . [ ,2)14. (2分) (2016高一上·杭州期中) 下列函数中,既是奇函数又在区间(0,+∞)上单调递增的函数为()A . y=x3B . y=lgxC . y=|x|D . y=x﹣1二、填空题 (共6题;共6分)15. (1分) (2017高一上·靖江期中) 已知函数f(x)=xα的图象过点(2,),则f(9)=________.16. (1分) (2018高二下·赣榆期末) 在直角坐标系中,如果相异两点都在函数的图象上,那么称为函数的一对关于原点成中心对称的点(与为同一对).函数的图象上有________对关于原点成中心对称的点.17. (1分)若函数f(x)是一次函数,且f(f(x))=4x+1,则f(x)=________.18. (1分) (2019高一上·湖北期中) 函数的单调递增区间是________.19. (1分) (2016高一上·湖州期中) 计算:×2 +() =________,2 =________.20. (1分) (2019高三上·长春月考) 已知定义域为的奇函数,满足 ,下面四个关于函数的说法:①存在实数,使关于的方程有个不相等的实数根;②当时,恒有;③若当时,的最小值为,则;④若关于的方程和的所有实数根之和为零,则.其中说法正确的有________.(将所有正确说法的标号填在横线上)三、解答题 (共5题;共45分)21. (10分) (2019高一上·蕉岭月考) 计算:(1) + + ;(2)解方程.22. (10分) (2017高一上·连云港期中) 已知f(x)是定义在R上的奇函数,当x∈[0,+∞)时,f(x)=2x+x﹣m(m为常数).(1)求常数m的值.(2)求f(x)的解析式.(3)若对于任意x∈[﹣3,﹣2],都有f(k•4x)+f(1﹣2x+1)>0成立,求实数k的取值范围.23. (5分) (2019高三上·济南期中) 已知二次函数 .(1)若是的两个不同零点,是否存在实数 ,使成立?若存在,求的值;若不存在,请说明理由.(2)设 ,函数 ,存在个零点.(i)求的取值范围;(ii)设分别是这个零点中的最小值与最大值,求的最大值.24. (15分) (2016高一上·菏泽期中) 设函数f(x)=ax﹣(m﹣2)a﹣x (a>0且a≠1)是定义域为R的奇函数.(1)求m的值;(2)若f(1)<0,试判断y=f(x)的单调性,并求使不等式f(x2+tx)+f(4﹣x)<0恒成立的t的取值范围;(3)若f(1)= ,g(x)=a2x+a﹣2x﹣2f(x),求g(x)在[1,+∞)上的最小值.25. (5分) (2019高一上·郑州期中) 己知实数,函数(Ⅰ)设,求的取值范围;(Ⅱ)将表示为的函数;(Ⅲ)若函数的最大值为,求的解析式.参考答案一、单选题 (共14题;共28分)1-1、2-1、3、答案:略4-1、5-1、6-1、7-1、8、答案:略9-1、10-1、11-1、12-1、13-1、14-1、二、填空题 (共6题;共6分)15-1、16-1、17-1、18-1、19-1、20-1、三、解答题 (共5题;共45分) 21-1、21-2、22-1、22-2、22-3、23-1、23-2、24-1、24-2、24-3、25-1、。
陕西省高一上学期期中数学试卷(I)卷姓名:________ 班级:________ 成绩:________一、选择 (共12题;共24分)1. (2分) (2016高一下·桃江开学考) 已知集合M={0,2},则M的真子集的个数为()A . 1B . 2C . 3D . 42. (2分) (2016高一上·重庆期中) 下列四组中的函数f(x)与g(x),是同一函数的是()A . f(x)=ln(1﹣x)+ln(1+x),g(x)=ln(1﹣x2)B . f(x)=lgx2 , g(x)=2lgxC . f(x)= • ,g(x)=D . f(x)= ,g(x)=x+13. (2分)若,则的定义域为()A .B .C .D .4. (2分) (2016高一上·抚州期中) 下列函数中,既是偶函数又在(0,+∞)单调递增的函数是()A . y=|x|+1B . y=x3C . y=﹣x2+1D . y=2x5. (2分)下列算式正确的是()A . 26+22=28B . 26﹣22=24C . 26×22=28D . 26÷22=236. (2分)设,则a,b,c的大小关系是A . a<b<cB . b<c<aC . c<b<aD . b<a<c7. (2分)若函数f(x)=,则f(log54)=()A .B . 3C .D . 48. (2分)一次函数y=x+3与y=-2x+6的图象的交点组成的集合是()A . {4,1}B . {1,4}C . {(4,1)}D . {(1,4)}9. (2分)设奇函数f(x)在(0,+∞)上为单调递减函数,且f(2)=0,则不等式≤0的解集为()A . (-∞,-2]∪(0,2]B . [-2,0]∪[2,+∞)C . (-∞,-2]∪[2,+∞)D . [-2,0)∪(0,2]10. (2分)函数的定义域是()A .B .C .D .11. (2分)在R上定义运算⊕:x⊗y=x(1﹣y)若对任意x>2,不等式(x﹣a)⊗x≤a+2都成立,则实数a 的取值范围是()A . [﹣1,7]B . (﹣∞,3]C . (﹣∞,7]D . (﹣∞,﹣1]∪[7,+∞)12. (2分) (2018高三上·三明模拟) 已知函数,则不等式的解集是()A .B .C .D .二、填空 (共4题;共4分)13. (1分) (2016高一上·桓台期中) 幂函数y=f(x)的图象经过点(﹣2,﹣),则满足f(x)=27的x值是________.14. (1分) (2019高三上·通州期中) 已知,,,则三个数的大小关系是________.15. (1分) (2016高一上·商丘期中) 函数f(x)= 的定义域是________.16. (1分) (2017高二下·南昌期末) 下列说法:①分类变量A与B的随机变量K2越大,说明“A与B有关系”的可信度越大.②以模型y=cekx去拟合一组数据时,为了求出回归方程,设z=lny,将其变换后得到线性方程z=0.3x+4,则c,k的值分别是e4和0.3.③根据具有线性相关关系的两个变量的统计数据所得的回归直线方程为y=a+bx中,b=1, =1, =3,则a=1.正确的序号是________.三、解答题 (共6题;共45分)17. (10分) (2016高一上·烟台期中) 解答题。
陕西省汉中市勉县第二中学2024-2025学年高一上学期11月期中考试数学试题一、单选题1.已知集合{}250A x x x =-=,则()A .{}0A∈B .5A∉C .{}5A∈D .0A∈2.设全集R U =,集合{}|01M x x =<≤,{}|1x x ≥,则()U M N = ðA .{}|01x x ≤<B .{}|01x x <≤C .{}|01x x ≤≤D .{}|1x x <3.已知命题:11p x -<<,命题:2q x ≥-,则p 是q 的()A .充分不必要条件B .必要不充分条件C .充要条件D .既不充分也不必要条件4.命题“200x x x ∀≥≥,+”的否定是()A .200x x x ∃<<,+B .200x x x ∃≥≤,+C .200x x x ∃≥<,+D .200x x x ∃≥<,+5.若偶函数()f x 在(],1-∞-上是增函数,则下列关系式中成立的是()A .()()3122f f f ⎛⎫-<-< ⎪⎝⎭B .()()3122f f f ⎛⎫-<-< ⎪⎝⎭C .()()3212f f f ⎛⎫<-<- ⎪⎝⎭D .()()3212f f f ⎛⎫<-<- ⎪⎝⎭6.已知非空集合{}|123A x a x a =-≤≤+,{}|14B x x =-≤≤,若“x B ∈”是“x A ∈”的必要条件,则实数a 的取值范围是()A .10,2⎡⎤⎢⎥⎣⎦B .10,2⎛⎤ ⎥⎝⎦C .[)0,+∞D .1,2∞⎛⎤- ⎥⎝⎦7.中文“函数”一词,最早是由近代数学家李善兰翻译的,之所以这么翻译,他给出的原因是“凡此变数中函彼变数者,则此为彼之函数”,下列选项中是同一个函数的是()A .01y x =-与0y =B .y =y =C .y x =与z =D .2y x x =+与32x x y x+=8.已知函数()y f x =在R 上是奇函数,当0x >时,()22xf x =-,则不等式()()40x f x f x ⎡⎤--<⎣⎦的解集是()A .()1,1-B .()()1,00,1-U C .()(),11,-∞-⋃+∞D .()()(),31,13,∞∞--⋃-⋃+二、多选题9.以下函数中,既是偶函数,又在(1,)+∞上单调递增的函数是()A .2(1)y x =--B .2y x -=C .||e x y =D .y =10.在下列根式与分数指数幂的互化中,不正确的是()A .())0.50x x -=≠B 13y =C .)340x xy y -⎛⎫=≠ ⎪⎝⎭D .13x -=11.函数f (x )=ax -1a(a >0,a ≠1)的图象不可能是()A .B .C .D .三、填空题12.函数[]2()27(2,2f x x x x =+-∈-)的值域是.13.函数()f x 的定义域为.14.若函数()300x x a x f x a x -+<⎧=⎨≥⎩,,(>0,且1a ≠),在定义域R 上满足()()21120f x f x x x ->-,则a 的取值范围是四、解答题15.解下列不等式(1)260x x --<(2)2820x x -+-<(3)2103x x -≥+16.已知x ,y 都是正数.(1)若3212x y +=,求xy 的最大值;(2)若23x y +=,求11x y+的最小值.17.已知函数21,11()23,1x x f x x x ⎧+-≤<=⎨+<-⎩(1)求((2))f f -的值;(2)若()2f a =,求a .18.已知()f x 是定义在R 上的偶函数,当0x ≥时,2()2f x x x =-.(1)求()f x 的解析式,并画出函数图象;(2)根据函数图象写出函数的单调区间和值域.19.为了保护环境,某工厂在政府部门的鼓励下进行技术改进:把二氧化碳转化为某种化工产品,经测算,处理成本y (单位:万元)与处理量x (单位:吨)之间的函数关系可近似表示为2401600y x x =-+,[]3050x ∈,,已知每处理一吨二氧化碳可获得价值20万元的某种化工产品.(1)判断该技术改进能否获利?如果能获利,求出最大利润;如果不能获利,则国家至少需要补贴多少万元该工厂才不会亏损?(2)当处理量为多少吨时,每吨的平均处理成本最少?。
陕西省西安市2023-2024学年高一上学期期中数学试题一、单选题1.已知集合A =x ∈N x <3 ,B =1,2,4 ,则A ∪B =( )A.1,2,4B.0,1,2,4C.1,2,3,4D.0,1,2,3,4【答案】B【详解】因为A =x ∈N x <3 =0,1,2 ,B =1,2,4所以A ∪B =0,1,2,4故选:B2.已知a >b >c ,则下列不等式一定成立的是( )A.ac >bcB.ab >bcC.a +c >2bD.a -c >b -c 【答案】D【详解】对于A ,若c =0,则不等式不成立,故A 错误;对于B ,若b =0,则不等式不成立,故B 错误;对于C ,若a =1,c =-10,b =0,则不等式不成立,故C 错误;对于D ,因为a >b ,所以a +-c >b +-c ,即a -c >b -c ,故D 正确.故选:D3.函数f x =2x 2-1x 3的部分图象大致是( )A. B.C.D.【答案】C【详解】因为f x =2x 2-1x 3定义域-∞,0 ∪0,+∞ ,且f -x =2-x 2-1-x3=-2x 2-1x 3=-f x ,所以f x 是奇函数,则f x 的图象关于原点对称,排除A ,D ;当0<x <22时,f x <0,排除B .故选:C4.“m <2”是“∃x ∈R ,x 2-4x +m <0是真命题”的( )A.充分不必要条件B.必要不充分条件C.充要条件D.既不充分也不必要条件【答案】A【详解】由∃x ∈R ,x 2-4x +m <0是真命题,得Δ=16-4m >0,即m <4,则“m <2”是“m <4”的充分不必要条件.故“m <2”是“∃x ∈R ,x 2-4x +m <0是真命题”的充分不必要条件.故选:A5.某班有56名同学,暑假期间,参加游泳培训的有35名,参加绘画培训的有25名,已知该班有5人既没参加游泳培训,也没参加绘画培训,则只参加游泳培训的同学有( )A.25名B.26名C.30名D.31名【答案】B【详解】如图所示,设该班所有同学为全集U ,参加游泳培训的同学为集合A ,参加绘画培训的同学为集合B ,则既参加游泳培训,又参加绘画培训的同学有35+25 -56-5 =9名,故只参加游泳培训的同学有35-9=26名.故选:B6.已知函数f x =x 3+2x -3,则不等式f x -3 >0的解集是( )A.1,+∞B.3,+∞C.4,+∞D.5,+∞【答案】C【详解】因为函数y =x 3和y =2x -3均在R 上单调递增,所以函数f x =x 3+2x -3在R 上单调递增,又f 1 =0,则不等式f x -3 >0,即f x -3 >f 1 ,所以x -3>1,解得x >4,所以不等式f x -3 >0的解集是4,+∞ .故选:C .7.若x <-1,则函数y =x 2+x +4x +1( )A.有最大值-5B.有最小值-5C.有最大值3D.有最小值3【答案】A【详解】由题意可得y =x 2+x +4x +1=x +1 +4x +1-1.因为x <-1,所以x +1<0,4x +1<0,所以-x +1 >0,-4x +1>0,所以-x +1 +-4x +1 ≥4,当且仅当-x +1 =-4x +1,即x =-3时等号成立,则x +1+4x +1≤-4,从而y =x 2+x +4x +1=x +1 +4x +1-1≤-5.故y =x 2+x +4x +1的最大值为-5,故选:A 8.已知全集U =R ,集合A =x x =3a +4b ,a ,b ∈Z ,B =x x =4a -3b ,a ,b ∈Z 则( )A.A ∩B =∅B.A ∩∁U B ≠0C.A =BD.B ÜA【答案】C【详解】若m ∈A ,则存在a ,b ∈Z ,使得m =3a +4b =4b -3-a ∈B ,同理,若n ∈B ,则存在a ,b ∈Z ,使得n =4a -3b =3-b +4a ∈A ,故A =B ,C 选项正确,ABD 选项错误,故选:C .二、多选题9.下列函数在定义域内是增函数的有( )A.y =x -2xB.y =x -3xC.y =x 3+5x -1D.y =x x +3【答案】BCD【详解】易知函数y =x -2x 在-∞,0 和0,+∞ 上单调递增,但在-∞,0 ∪0,+∞ 上不单调,即A 错误;函数y =x -3x =x +-3x,易知在0,+∞ 上函数单调递增,是增函数,即B 正确;显然函数y =x 3+5x -1在R 上单调递增,是增函数,所以C 正确;由函数y =x x +3=x 32+3可知,利用幂函数性质可知在0,+∞ 上单调递增,是增函数,即D 正确.故选:BCD10.下列命题是真命题的是( )A.所有平行四边形的对角线互相平分B.若x ,y 是无理数,则xy 一定是有理数C.若m <1,则关于x 的方程x 2+2x +m =0有两个负根D.两个相似三角形的周长之比等于它们对应的边长之比【答案】AD【详解】对于A ,所有平行四边形的对角线互相平分,所以A 正确;对于B ,当x =3,y =2时,xy =6是无理数,所以B 错误;对于C ,由关于x 的方程x 2+2x +m =0有两个负根,得m >0,Δ=4-4m >0 解得0<m <1,所以C 错误.对于D ,两个相似三角形的周长之比等于它们对应的边长之比,所以D 正确.故选:AD11.已知对任意的x ,y ∈-∞,0 ∪0,+∞ ,都有f xy =f x +f y ,且当x >1时,f x >0.则( )A.f 1 =0B.f x 的图象关于y 轴对称C.∀x ∈-∞,0 ∪0,+∞ ,f x ≥0D.不等式x -2 f x >0的解集是-1,0 ∪0,1 ∪2,+∞【答案】ABD【详解】对于A ,令y =1,得f x =f x +f 1 ,即f 1 =0,则A 正确.对于B ,令y =x ,得f x 2 =2f x .用-x 代替x ,得f x 2 =2f -x ,则f x =f -x ,即f x 是偶函数,从而f x 的图象关于y 轴对称,故B 正确.对于C ,令x 1>x 2>0,则x 1x 2>1.因为当x >1时,f x >0,所以f x 1x 2>0,则f x 1 -f x 2 =f x 1x 2>0,即f x 1 >f x 2 ,故f x 在0,+∞ 上单调递增.因为f x 是偶函数,所以f x 在-∞,0 上单调递减.因为f 1 =0,所以f -1 =0,所以∃x ∈-1,0 ∪0,1 ,f x <0,则C 错误.对于D ,由x -2 f x >0,得x -2>0f x >0 或x -2<0f x <0 ,解得-1<x <0或0<x <1或x >2,则D 正确.故选:ABD12.已知关于x 的不等式a x 2-2x -3 -2>0的解集是x x 1<x <x 2 ,则( )A.-1<x 1<x 2<3B.x 1+x 2=2C.x 1x 2<-3D.x 2-x 1<4【答案】ABD【详解】不等式a x 2-2x -3 -2>0等价于不等式ax 2-2ax -3a -2>0,因为关于x 的不等式a x 2-2x -3 -2>0的解集是x x 1<x <x 2 ,所以a <0,且x 1+x 2=2,x 1x 2=-3-2a>-3,则x 2-x 1=x 1+x 2 2-4x 1x 2=4-4×-3-2a =16+8a<4,故B ,D 正确,C 错误.设y =a x 2-2x -3 ,a <0,则不等式y >0的解集是x -1<x <3 .又关于x 的不等式a x 2-2x -3 -2>0即y >2的解集是x x 1<x <x 2 ,所以x x 1<x <x 2 是x -1<x <3 的真子集,所以-1<x 1<x 2<3,则A 正确.故选:ABD .三、填空题13.英文单词good 的所有字母组成的集合记为A ,用列举法表示集合A =.【答案】g ,o ,d【详解】根据集合元素的互异性可知集合A =g ,o ,d .故答案为:g ,o ,d14.已知f x =x 3+x 2-2x +1x 2+1+a 是奇函数,则a =.【答案】-1【详解】因为f x =x 3+x 2-2x +1x 2+1+a =x 3-2x x 2+1+a +1,所以f -x =-x 3-2x x 2+1+a +1,则f x +f -x =2a +2,因为f x 是奇函数,所以f x +f -x =0,所以2a +2=0,解得a =-1.故答案为:-115.某校共购买80个篮球,分给六个年级,要求每个年级分到的篮球与其他任一年级分到的篮球数量相差不超过5个,若某年级分到x 个篮球,则x 的最小值是.【答案】10【详解】因为每个年级分到的篮球与其他任一年级分到的篮球数量相差不超过5个,所以80-x 5-x ≤5,可得80-x 5≥x -580-x 5≤x +5解得556≤x ≤352.又因为x ∈N ,所以x 的最小值是10.16.已知函数f x =x 2-2ax +40<x <3a 的任意三个函数值f x 1 ,f x 2 ,f x 3 可以作为一个三角形的三边长,则a 的取值范围是.【答案】0,255【详解】由题意可得f x min =f a =4-a 2,f x max <f 3a =3a 2+4,则a >04-a 2>03a 2+4≤24-a 2,解得0<a ≤255,故答案为:0,255 .四、解答题17.已知集合A =x 2-x >1 ,B =x a +1<x <a +5 .(1)当a =-2时,求A ∩B ;(2)若B ⊆A ,求a 的取值范围.【答案】(1)A ∩B =x -1<x <1 (2)-∞,-4【详解】(1)由已知A =x 2-x >1 =x x <1 ,当a =-2时,B =x -1<x <3 ,所以A ∩B =x -1<x <1 ,(2)由B =x a +1<x <a +5 ,得B ≠∅,又A =x 2-x >1 =x x <1 ,且B ⊆A ,则a +5≤1,解得a ≤-4,即a ∈-∞,-4 .18.已知幂函数f x =m 2-m -5 x m 在0,+∞ 上单调递增.(1)求f x 的解析式;(2)若2a +3 m >a -2 m ,求a 的取值范围.【答案】(1)f x =x 3(2)-5,+∞【详解】(1)由函数f x =m 2-m -5 x m 为幂函数,所以m 2-m -5=1,解得m =-2或m =3,又函数f x 在0,+∞ 上单调递增,所以m >0,即m =3,所以f x =x 3;(2)由(1)得m =3,所以2a +3 3>a -2 3,又函数f x =x 3在R 上单调递增,所以2a +3>a -2,解得a >-5,所以a 的取值范围是-5,+∞ .19.已知二次函数f x 满足f 2x +f x +1 =5x 2-x +4.(1)求f x 的解析式;(2)设函数g x =f x x +1,判断g x 在1,+∞ 上的单调性,并用定义法证明.【答案】(1)f x =x 2-x +2(2)g x 在1,+∞ 上单调递增,证明见解析【详解】(1)设f x =ax 2+bx +c a ≠0 ,则f 2x =4ax 2+2bx +c ,f x +1 =ax 2+2a +b x +a +b +c ,故f 2x +f x +1 =5ax 2+2a +3b x +a +b +2c .因为f 2x +f x +1 =5x 2-x +4,所以5a =52a +3b =-1a +b +2c =4,解得a =1,b =-1,c =2,所以f x =x 2-x +2.(2)g x 在1,+∞ 上单调递增,证明如下:由(1)可得g x =x 2-x +2x +1=x +4x +1-2.设x 1>x 2>1,则g x 1 -g x 2 =x 1+4x 1+1-2-x 2+4x 2+1-2 =x 1-x 2 +4x 1+1-4x 2+1 =x 1-x 2 x 1+1 x 2+1 -4 x 1+1 x 2+1.因为x 1>x 2>1,所以x 1-x 2>0,x 1+1>x 2+1>2,所以x 1+1 x 2+1 >4,所以x 1+1 x 2+1 -4>0,所以x 1-x 2 x 1+1 x 2+1 -4 x 1+1 x 2+1>0,即g x 1 >g x 2 ,故g x 在1,+∞ 上单调递增.20.讨论关于x 的不等式a x -a x -2+a <0a ≠0 的解集.【答案】答案见解析【详解】方程a x -a x -2+a =0a ≠0 的实根为x 1=a ,x 2=2-a .当a <0时,x 1=a <0,x 2=2-a >0,原不等式可化为x -a x -2+a >0,所以原不等式的解集为-∞,a ∪2-a ,+∞ .当a >0时,原不等式可化为x -a x -2+a <0.当0<a <1时,a <2-a ,所以原不等式的解集为a ,2-a .当a =1时,a =2-a =1,所以原不等式的解集为∅.当a >1时,a >2-a ,所以原不等式的解集为2-a ,a .综上所述,当a <0时,原不等式的解集为-∞,a ∪2-a ,+∞ ;当0<a <1时,原不等式的解集为a ,2-a ;当a =1时,原不等式的解集为∅;当a >1时,原不等式的解集为2-a ,a .21.某企业为开发新业务,计划投资20万元引进新设备.用于生产某产品的配件.每生产x 万件该产品配件,需另投入成本f x 万元,且f x =12x 2+4x ,0<x ≤1013x +225x -65,10<x ≤20,已知该产品配件的售价为12元/件,且所生产的配件全部能售完.(1)求该产品配件的年利润W x (单位:万元)关于年生产量x (单位:万件)的函数关系式;(2)当年生产量为多少万件时,年利润最大?并求出最大年利润.【答案】(1)W x =-12x 2+8x -20,0<x ≤10-x -225x+45,10<x ≤20 (2)年生产量为15万件时,该企业年利润最大,最大年利润是15万元【详解】(1)当0<x ≤10时,该产品配件的年利润W x =12x -12x 2+4x -20=-12x 2+8x -20;当10<x ≤20时,W x =12x -13x +225x -65 -20=-x -225x+45.综上,该产品配件的年利润W x =-12x 2+8x -20,0<x ≤10-x -225x +45,10<x ≤20.(2)当0<x ≤10时,W x =-12x 2+8x -20=-12x -8 2+12,则当x =8时,W x max =12万元;当10<x ≤20时,W x =-x -225x +45≤-2225+45=15,当且仅当x =225x,即x =15时,W x max =15万元.因为15>12,所以年生产量为15万件时,该企业年利润最大,最大年利润是15万元.22.已知定义在-2,2 上的函数f x 满足∀m ,n ∈-1,1 ,f 2m +f 2n =2f m +n ⋅f m -n ,f 0 ≠0.(1)试判断f x 的奇偶性,并说明理由.(2)证明:f x +2x 2≥x -98.【答案】(1)偶函数,证明见详解(2)证明详解【详解】(1)f x 为偶函数,理由如下:令m =n =0,由f 2m +f 2n =2f m +n ⋅f m -n ,得2f (0)=2f 2(0),又f 0 ≠0,所以f (0)=1,令n =-m ,则f (2m )+f (-2m )=2f (0)f (2m ),所以f (-2m )=f (2m ),即f (-x )=f (x ),x ∈[-2,2],故f x 为偶函数.(2)令n =0及f (0)=1,可得f (2m )+1=2f 2(m ),所以f (2m )=2f 2(m )-1≥-1,即f (x )≥-1,又y =-2x 2+x -98=-2x -14 2-1≤-1,当x =14∈[-2,2]时,等号成立,故f (x )≥-2x 2+x -98,即f x +2x 2≥x -98,故原不等式得证.。
陕西省宝鸡中学2024-2025学年高一上学期期中考试数学试题一、单选题1.已知集合{}{}1,3,4,8,9,A B x A ==∈,则A B = ()A .{1,3}B .{1,4}C .{1,9}D .{4,9}2.已知,a b为实数,则>是“33a b >”的()A .充分不必要条件B .必要不充分条件C .充分必要条件D .既不充分也不必要条件3.命题“N m ∃∈”的否定是()A .N m ∃∈B .N m ∃∉C .N m ∀∈D .Nm ∀∈4.已知3x >,则43x x +-的最小值为()A .4B .5C .6D .75.已知函数()()2157m f x m m x +=-+为幂函数,则实数m 的值为()A .4或3B .2或3C .3D .26.若不等式20ax bx c -+>的解集为{}21x x -<<,则不等式20ax bx c ++>的解集为()A .{}12x x -<<B .{}11x x -<<C .{}22x x -<<D .{}13x x -<<7.如果记圆周率π小数点第n 位上的数字为y ,那么以下说法正确的为()A .y 不是n 的函数B .y 是n 的函数,定义域是{}1,2,3,4, C .y 是n 的函数,值域是{}1,2,3,4,,9 D .y 是n 的函数,且该函数单调8.已知函数()f x 定义域为R ,满足()1f x +为偶函数,当()12,1,x x ∈+∞且12x x ≠时有不等式()()()12120x x f x f x -->⎡⎤⎣⎦恒成立,设()1,,32a f b f c f ⎛⎫=-== ⎪⎝⎭,则()A .a b c >>B .a c b >>C .c a b>>D .c b a>>二、多选题9.下列说法正确的是()A .任何集合都是它自身的真子集B .{x x 是等边三角形}{x x ⊆是等腰三角形}C .“A =∅”是“A B =∅ ”的充分不必要条件D .集合{}2*|1,N x x a a =+∈={}2*|45,N x x a a a =-+∈10.下列不等式一定成立的是()A .若0a b c >>>,则a a cb b c+<+B .若a b >,且11a b>则0ab <C .若0a b <<,则22a ab b >>D .若01b a <<<,则1a b ab +<+11.已知非零实数,a b 满足241a b +=,则()A .22a b +的最大值为54B .212ab ≤C .24114a b+≥D .1b b+的最小值为2三、填空题12.已知函数()f x 满足11)4f x =-,则(3)f =.13.函数()[]f x x =的函数值表示不超过x 的最大整数,例如,[3.5]4,[2.1]2-=-=,那么函数()[]g x x x =-的值域是.14.定义在R 上的函数()f x ,对任意,x y ∈R 都满足()()()4f x y f x f y +=+-,则()()20242024f f -+=.四、解答题15.已知()2f x x bx c =++,且()()10,30f f ==.(1)求()1f -的值及()f x 的值域;(2)若()g x =()g x 的定义域.16.当k 取什么值时,一元二次不等式23208kx kx +-<对一切实数x 都成立.17.已知集合()(){}20A x x a x a =--<,集合211x B xx ⎧⎫=<⎨⎬-⎩⎭,命题:P x A ∈,命题:q x B ∈.(1)当实数a 为何值时,p 是q 的充要条件;(2)若p 是q 的充分不必要条件,求实数a 的取值范围.18.(1)若正数,x y 满足9x y xy +=,求23x y +的最小值.(2)已知0,0,0a b c >>>,且0a b c +-≥,求4b aa c+的最小值.19.已知函数2()bx a f x bx x a+=++是偶函数,且1(1)2f =.(1)用定义证明()f x 在(,0)-∞上单调递增,并解不等式()(2)f x f x >-;(2)函数1()21,()2()h x x g x mx f x =--=+,对21[1,2],[1,2]x x ∀∈-∃∈-使得()()12h x g x =,求实数m 的取值范围.。
陕西省榆林市榆林市八校2024-2025学年高一上学期11月期中考试数学试题一、单选题1.已知集合{}|1A x x =>-,{}2,1,0,1,2B =--,则()R A B ⋂=ð()A .{}2,1--B .{}1,0,1,2-C .{}0,1,2D .{}1,22.函数y =)A .[]1,0-B .[)1,0-C .(][),10,-∞-⋃+∞D .(]()10,-∞-+∞ ,3.设0a >)A .16a B .15a C .14a D .13a 4.已知函数()()3,02,0x x f x f x x ≥⎧=⎨+<⎩,则()1f -=()A .2B .3C .4D .85.若a ,b ,R c ∈,则下列命题正确的是()A .若b a >,则11a b>B .若33a b >,则ac bc>C .若a b >,c d >,则a c b d ->-D .若22ac bc >,则a b>6.若324a b -≤+≤,12a b -≤-≤,则5a b +的取值范围是()A .255583a b a b ⎧⎫+-≤+≤⎨⎬⎩⎭B .{}513512a b a b +-≤+≤C .{}512511a b a b +-≤+≤D .{}5955a b a b +-≤+≤7.对于实数x ,规定[]x 表示不大于x 的最大整数,如[π]3=,[2.1]3-=-,那么不等式24[]16[]70x x -+<成立的一个充分不必要条件是()A .17,22x ⎛⎫∈ ⎪⎝⎭B .[2,3]x ∈C .)4[1x ∈,D .[0,4]x ∈8.已知f x =()f x 的值域为()A .[)1,+∞B .3,2⎡⎫+∞⎪⎢⎣⎭C .1,2⎛⎤-∞ ⎥⎝⎦D .(],1-∞二、多选题9.下列函数是奇函数的是()A .y x =B .1y x=-C .y =D .2y x =10.下列说法错误的是()A .函数y =与函数y =B .若()f x 是一次函数,且()()165=+f f x x ,则()41f x x =-C .函数()f x 的图象与y 轴最多有一个交点D .函数11y x =+在()(),11,-∞--+∞ 上是单调递减函数11.已知正数a ,b 满足222a b +=,则()A .1ab ≤B .2a b +≤C .4⋅≤D .11224a b +≥三、填空题12.命题“3,20x x x ∀∈+≥R ”的否定是.13.已知113,2,1,,,1,2,322α⎧⎫∈----⎨⎬⎩⎭,若幂函数()f x x α=为偶函数,且在()0,∞+上单调递减,则α的取值集合是.14.已知函数()1,1x f x ax a x ≥=+<⎪⎩在R 上单调递增,则实数a 的取值范围为.四、解答题15.设集合{}{}13,510A xa x a B x x =+≤≤=≤<∣∣.(1)若2a =,求()R ,A B A B ⋃⋃ð;(2)若A B =∅ ,求实数a 的取值范围.16.已知二次函数()222ax a y x +--=.(1)当1a =时,求y 的最小值;(2)若R x ∀∈,3y ≥-恒成立,求实数a 的取值范围.17.已知二次函数()f x 的图象关于直线1x =对称,且经过点()()2,0,2,4A B --:(1)求函数()f x 的解析式;(2)若函数()f x 在[],m n 上的值域为[]2,2m n ,求,m n 的值.18.“三星堆”考古发掘出大量的古代象牙,博物馆需要设计一个透明且密封的长方体玻璃保护罩,并充入昂贵的保护液,保护出土的这些古代象牙,该博物馆需要支付的总费用由以下两部分构成:①保护液的费用,已知罩内该液体的体积比保护罩的容积少30.5m ,且每立方米的保护液费用为500元.②保险费,需支付的保险费为p (元),保护罩的容积为()3m x ,p 与1x -成反比,当容积为33m 时,支付的保险费为4000元.(1)求该博物馆支付的总费用y (元)与保护罩容积()3m x 之间的函数关系式;(2)如何设计保护罩的容积,使博物馆支付的总费用最小?19.已知定义在()1,1-上的函数()f x 满足:对(),1,1x y ∀∈-,都有()()1x y f x f y f xy ⎛⎫++= ⎪+⎝⎭,且当()1,0x ∈-时,()0f x >.(1)判断函数()f x 的奇偶性并用定义证明;(2)判断函数()f x 在()1,1-上的单调性,并用单调性定义证明;(3)解不等式:()1101f x f x ⎛⎫++> ⎪-⎝⎭.。
陕西省高一上学期期中数学试题
姓名:________ 班级:________ 成绩:________
一、单选题 (共12题;共24分)
1. (2分) (2019高一上·珠海期中) 函数的定义域为()
A .
B .
C .
D .
2. (2分)已知集合,则=()
A .
B .
C .
D .
3. (2分)设集合,,则A∩B=()
A . [-2,2]
B . [0,2]
C . (0,2]
D . [0,+∞)
4. (2分) (2019高三上·资阳月考) 已知,,,则()
A .
B .
C .
D .
5. (2分) (2017高三上·汕头开学考) 已知,则下列结论正确的是()
A . h(x)=f(x)+g(x)是偶函数
B . h(x)=f(x)+g(x)是奇函数
C . h(x)=f(x)g(x)是奇函数
D . h(x)=f(x)g(x)是偶函数
6. (2分) (2016高一上·吉林期中) 指数函数f(x)=ax(a>0且a≠1)在R上是增函数,则a的取值范围是()
A . a>1
B . a>2
C . 0<a<1
D . 1<a<2
7. (2分) (2020高一上·辽宁期中) 若函数,则的值为()
A . 1
B . 3
C . 4
D . -4
8. (2分) (2018高一上·衡阳月考) 下列各组函数中是同一函数的是()
A .
B .
C .
D .
9. (2分) (2016高二上·杭州期中) 若,则下列结论不正确的是()
A . a2<b2
B . ab<b2
C . >2
D . |a|﹣|b|=|a﹣b|
10. (2分) (2020高二上·玉溪月考) 函数的部分图象大致是()
A .
B .
C .
D .
11. (2分) (2019高一上·哈尔滨期中) 函数的单调递增区间是()
A .
B .
C .
D .
12. (2分) (2020高一下·南昌期中) 已知函数,(且)的图像恒过点,若直线经过点M,则a+b的最小值为()
A .
B .
C .
D .
二、填空题 (共4题;共4分)
13. (1分) (2018高一上·牡丹江期中) 不论为何值,函数的图象一定经过点P,则点P的坐标为________.
14. (1分) (2017高一上·潮州期末) 函数f(x)=loga(x﹣2)+1的图象经过定点________.
15. (1分) (2020高二上·双峰月考) 等比数列的各项均为正数,且,则
________;
16. (1分) (2019高一上·柳州月考) 已知偶函数在单调递减, .若,则的取值范围是________.
三、解答题 (共6题;共50分)
17. (10分) (2019高一上·屯溪期中) 设集合 ,集合.
(1)若 ,求;
(2)若 ,求实数m的取值范围.
18. (10分)计算:已知log73=a,log74=b,求log748.(其值用a,b表示)
19. (10分) (2017高三上·南通开学考) 已知函数f(x)=(a2﹣3a+3)ax是指数函数,
(1)求f(x)的表达式;
(2)判断F(x)=f(x)﹣f(﹣x)的奇偶性,并加以证明
(3)解不等式:loga(1﹣x)>loga(x+2)
20. (10分) (2017高一上·西城期中) 求下列函数的定义域:
(1).
(2).
21. (5分) (2016高一上·湖州期中) 已知函数f(x)=log (x2﹣ax+b).
(Ⅰ)若函数f(x)的定义域为(﹣∞,2)∪(3,+∞),求实数a,b的值;
(Ⅱ)若f(﹣2)=﹣3且f(x)在(﹣∞,﹣1]上为增函数,求实数b的取值范围.
22. (5分) (2019高一上·邵东期中) 已知函数f(x)是定义域在R上的奇函数,当x>0时,f(x)=x2﹣2x.
(1)求出函数f(x)在R上的解析式;
(2)写出函数的单调区间.
参考答案一、单选题 (共12题;共24分)
答案:1-1、
考点:
解析:
答案:2-1、
考点:
解析:
答案:3-1、
考点:
解析:
答案:4-1、
考点:
解析:
答案:5-1、考点:
解析:
答案:6-1、考点:
解析:
答案:7-1、考点:
解析:
答案:8-1、考点:
解析:
答案:9-1、考点:
解析:
答案:10-1、考点:
解析:
答案:11-1、考点:
解析:
答案:12-1、考点:
解析:
二、填空题 (共4题;共4分)答案:13-1、
考点:
解析:
答案:14-1、
考点:
解析:
答案:15-1、
考点:
解析:
答案:16-1、
考点:
解析:
三、解答题 (共6题;共50分)答案:17-1、
答案:17-2、
考点:
解析:
答案:18-1、考点:
解析:
答案:19-1、答案:19-2、答案:19-3、考点:
解析:
答案:20-1、答案:20-2、
考点:
解析:
答案:21-1、考点:
解析:
答案:22-1、
答案:22-2、考点:
解析:。