武汉大学水力学课本习题解答7章
- 格式:doc
- 大小:422.00 KB
- 文档页数:16
第一章 绪论1-1.20℃的水2.5m 3,当温度升至80℃时,其体积增加多少? [解] 温度变化前后质量守恒,即2211V V ρρ= 又20℃时,水的密度31/23.998m kg =ρ 80℃时,水的密度32/83.971m kg =ρ 321125679.2m V V ==∴ρρ 则增加的体积为3120679.0m V V V =-=∆1-2.当空气温度从0℃增加至20℃时,运动粘度ν增加15%,重度γ减少10%,问此时动力粘度μ增加多少(百分数)? [解] 原原ρννρμ)1.01()15.01(-+==原原原μρν035.1035.1==035.0035.1=-=-原原原原原μμμμμμ此时动力粘度μ增加了3.5%1-3.有一矩形断面的宽渠道,其水流速度分布为μρ/)5.0(002.02y hy g u -=,式中ρ、μ分别为水的密度和动力粘度,h 为水深。
试求m h 5.0=时渠底(y =0)处的切应力。
[解] μρ/)(002.0y h g dydu-=)(002.0y h g dydu-==∴ρμτ 当h =0.5m ,y =0时)05.0(807.91000002.0-⨯⨯=τPa 807.9=1-4.一底面积为45×50cm 2,高为1cm 的木块,质量为5kg ,沿涂有润滑油的斜面向下作等速运动,木块运动速度u=1m/s ,油层厚1cm ,斜坡角22.620 (见图示),求油的粘度。
[解] 木块重量沿斜坡分力F 与切力T 平衡时,等速下滑yu AT mg d d sin μθ== 001.0145.04.062.22sin 8.95sin ⨯⨯⨯⨯==δθμu A mg s Pa 1047.0⋅=μ1-5.已知液体中流速沿y 方向分布如图示三种情况,试根据牛顿内摩擦定律yud d μτ=,定性绘出切应力沿y 方向的分布图。
[解]1-6.为导线表面红绝缘,将导线从充满绝缘涂料的模具中拉过。
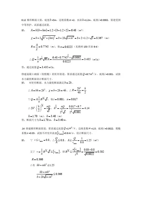
8.12梯形断面土渠,底宽b =3m ,边坡系数m =2,水深h =1.2m ,底坡i =0.0002,渠道受到中等养护,试求通过流量。
解: ()()1.23 1.22 6.48A h b hm =+=⨯+⨯=(m 2)232 1.28.367b b χ=+=+=+⨯=(m )0.7745AR χ==(m ),取0.0225n =(见教材153页表6-4)∴231 6.480.7745 3.4350.0225Q n⨯===(m 3/s )答:通过流量 3.435Q =m 3/s 。
修建混凝土砌面(较粗糙)的矩形渠道,要求通过流量Q =9.7s m /3,底坡i =0.001,试按水力最优断面设计断面尺寸。
解: 对矩形断面,水力最优断面满足2b h =。
∴22A bh h ==,24b h h χ=+=,∴2242h hR h ==∵1Q An=0.001i =,0.017n =∴23222h h ⎛⎫⋅= ⎪⎝⎭,83110.0179.7 4.14nQ h ⨯=== 1.70h =(m ), 3.40b =(m ) 答:断面尺寸为 1.70h =m , 3.40b =m 。
.14修建梯形断面渠道,要求通过流量Q =1s m /3,边坡系数m =1.0,底坡i =0.0022,粗糙系数n =0.03,试按不冲允许流速[]max v =0.8s m /,设计断面尺寸。
解: ∵ max 0.8v v ≤=,∴0.8QA≤,max 1 1.250.8Q A v ≥==(m 2) 又∵[]max 1v v n =≤,即[]2max 3120.502n v R i ≤== 0.366R =∴有 21.25hb mh +≥20.366≤即有2 1.253.42hb h b ⎫+≥⎪⎬+≥⎪⎭解得:2 1.870.6840h h -+=0.51.37h ⎧=⎨⎩, 2.012.455b ⎧=⎨-⎩∴ 2.00b =(m ),0.5h =(m )答:断面尺寸为 2.00b =m ,0.5h =m 。
第一章 绪论1-1.20℃的水2.5m 3,当温度升至80℃时,其体积增加多少? [解] 温度变化前后质量守恒,即2211V V ρρ= 又20℃时,水的密度31/23.998m kg =ρ 80℃时,水的密度32/83.971m kg =ρ 321125679.2m V V ==∴ρρ 则增加的体积为3120679.0m V V V =-=∆1-2.当空气温度从0℃增加至20℃时,运动粘度ν增加15%,重度γ减少10%,问此时动力粘度μ增加多少(百分数)? [解] 原原ρννρμ)1.01()15.01(-+==Θ原原原μρν035.1035.1==035.0035.1=-=-原原原原原μμμμμμΘ此时动力粘度μ增加了3.5%1-3.有一矩形断面的宽渠道,其水流速度分布为μρ/)5.0(002.02y hy g u -=,式中ρ、μ分别为水的密度和动力粘度,h 为水深。
试求m h 5.0=时渠底(y =0)处的切应力。
[解] μρ/)(002.0y h g dydu-=Θ)(002.0y h g dydu-==∴ρμτ 当h =0.5m ,y =0时)05.0(807.91000002.0-⨯⨯=τPa 807.9=1-4.一底面积为45×50cm 2,高为1cm 的木块,质量为5kg ,沿涂有润滑油的斜面向下作等速运动,木块运动速度u=1m/s ,油层厚1cm ,斜坡角22.620 (见图示),求油的粘度。
[解] 木块重量沿斜坡分力F 与切力T 平衡时,等速下滑yuATmgddsinμθ==001.0145.04.062.22sin8.95sin⨯⨯⨯⨯==δθμuAmgsPa1047.0⋅=μ1-5.已知液体中流速沿y方向分布如图示三种情况,试根据牛顿内摩擦定律yuddμτ=,定性绘出切应力沿y方向的分布图。
[解]1-6.为导线表面红绝缘,将导线从充满绝缘涂料的模具中拉过。
已知导线直径0.9mm,长度20mm,涂料的粘度μ=0.02Pa.s。
水力学课后习题详解水力学是一门研究液体在静止和运动状态下的力学规律及其应用的学科。
在学习水力学的过程中,课后习题是巩固知识、加深理解的重要环节。
下面,我们将对一些常见的水力学课后习题进行详细的分析和解答。
首先,来看一道关于静水压力的题目。
题目:一矩形闸门,宽为 2m,高为 3m,垂直放置在水中,顶部与水面齐平。
求闸门所受的静水压力。
解答:这道题主要考查静水压力的计算。
我们知道,静水压力等于压强乘以受压面积。
首先,计算闸门底部的压强,根据液体压强公式$p =\rho gh$,其中$\rho$为水的密度(取 1000kg/m³),$g$为重力加速度(取 98m/s²),$h$为水深,此处为 3m。
则底部压强$p =1000×98×3 = 29400$(Pa)。
接下来计算受压面积,即矩形闸门的面积,$A = 2×3 =6$(m²)。
最后,静水压力$F = pA = 29400×6 = 176400$(N)。
再看一道关于水流能量方程的题目。
题目:已知某管道中水流的速度为 2m/s,压强为 200kPa,位置高度为 5m。
在另一位置,水流速度为 3m/s,压强为 150kPa,位置高度为 2m。
求这两点之间的水头损失。
解答:这道题需要运用水流能量方程。
水流能量方程为:$z_1 +\frac{p_1}{\rho g} +\frac{v_1^2}{2g} = z_2 +\frac{p_2}{\rho g} +\frac{v_2^2}{2g} + h_w$,其中$z$为位置高度,$p$为压强,$\rho$为水的密度,$v$为水流速度,$g$为重力加速度,$h_w$为水头损失。
将已知数据代入方程:$5 +\frac{200×1000}{1000×98} +\frac{2^2}{2×98} = 2 +\frac{150×1000}{1000×98} +\frac{3^2}{2×98} + h_w$解这个方程可得:$h_w = 5 + 2041 +***********= 884$(m)下面是一道关于明渠均匀流的习题。
第七章明槽恒定流动1、缓变流一定是缓流,急变流一定是急流。
( )2、棱柱形明渠中形成 S2型水面曲线时,其弗劳德数F r 沿程减小。
( )3、S2 型水面曲线是发生在 ( )(1) 缓坡渠道中的缓流 (2) 陡坡渠道中的缓流(3) 缓坡渠道中的急流 (4) 陡坡渠道中的急流4、在明渠渐变流中 ( )(1)总水头线一定平行于底坡线(2)总水头线与自由水面相重合(3)测压管水头线与自由水面一致(4)水面线与底坡线平行5、发生水跃的充分必要条件是 ( )(1)从层流过渡到紊流(2)从陡坡过渡到缓坡(3)从缓流过渡到急流(4)从急流过渡到缓流6、已知某水闸下游收缩断面水深h c0 = 0.6 m (相应的跃后水深h c0 = 3.5 m) ,临界水深 h c = 1.6 m,下游河道水深t = 1.4 m ,则闸下将发生 ( )(1)远离水跃 (2) 临界水跃 (3) 淹没水跃 (4) 急流7、明渠中发生M3、S3、H3、A3 型水面曲线时,其弗劳德数F r ( )(1)小于1 (2)等于1 (3)大于1 (4)无法确定8、有两条梯形断面渠道 1和 2,已知其流量、边坡系数、糙率和底宽均相同,但底坡i1 > i2 ,则其均匀流水深h01和h02的关系为 ( ) (1)h01> h02(2)h01< h02(3)h01= h02(4)无法确定9、有两条梯形断面渠道 1 和 2,已知其流量、边坡系数、底坡和糙率均相同,但底宽b1 > b2 ,则其均匀流水深h01和h02的关系为 ( ) (1)h01大于h02 (2)h01小于h02(3)相等 (4)无法确定10、有两条梯形断面渠道 1 和 2,其流量、边坡系数、底宽及底坡均相同,但糙率n1 > n2,则其均匀流水深h01和h02的关系为 ( )(1)h01大于 h02 (2)h01小于 h02(3)相等 (4) 无法确定11、有四条矩形断面棱柱形渠道,其过水断面面积、糙率、底坡均相同,其底宽b与均匀流水深h。
水力学课后计算题及答案第一章 绪论1-1.20℃的水2.5m 3,当温度升至80℃时,其体积增加多少? [解] 温度变化前后质量守恒,即2211V V ρρ= 又20℃时,水的密度31/23.998m kg =ρ 80℃时,水的密度32/83.971m kg =ρ 321125679.2m V V ==∴ρρ 则增加的体积为3120679.0m V V V =-=∆1-2.当空气温度从0℃增加至20℃时,运动粘度ν增加15%,重度γ减少10%,问此时动力粘度μ增加多少(百分数)? [解] 原原ρννρμ)1.01()15.01(-+==原原原μρν035.1035.1==035.0035.1=-=-原原原原原μμμμμμ此时动力粘度μ增加了3.5%1-3.有一矩形断面的宽渠道,其水流速度分布为μρ/)5.0(002.02y hy g u -=,式中ρ、μ分别为水的密度和动力粘度,h 为水深。
试求m h 5.0=时渠底(y =0)处的切应力。
[解] μρ/)(002.0y h g dydu-=)(002.0y h g dydu-==∴ρμτ 当h =0.5m ,y =0时)05.0(807.91000002.0-⨯⨯=τPa 807.9=1-4.一底面积为45×50cm 2,高为1cm 的木块,质量为5kg ,沿涂有润滑油的斜面向下作等速运动,木块运动速度u=1m/s ,油层厚1cm ,斜坡角22.620 (见图示),求油的粘度。
[解] 木块重量沿斜坡分力F 与切力T 平衡时,等速下滑yuAT mg d d sin μθ== 001.0145.04.062.22sin 8.95sin ⨯⨯⨯⨯==δθμu A mg s Pa 1047.0⋅=μ1-5.已知液体中流速沿y 方向分布如图示三种情况,试根据牛顿内摩擦定律yud d μτ=,定性绘出切应力沿y 方向的分布图。
[解]1-6.为导线表面红绝缘,将导线从充满绝缘涂料的模具中拉过。
第七章明槽恒定流动1、缓变流一定是缓流,急变流一定是急流。
( )2、棱柱形明渠中形成 S2型水面曲线时,其弗劳德数F r 沿程减小。
( )3、S2 型水面曲线是发生在 ( )(1) 缓坡渠道中的缓流 (2) 陡坡渠道中的缓流(3) 缓坡渠道中的急流 (4) 陡坡渠道中的急流4、在明渠渐变流中 ( )(1)总水头线一定平行于底坡线(2)总水头线与自由水面相重合(3)测压管水头线与自由水面一致(4)水面线与底坡线平行5、发生水跃的充分必要条件是 ( )(1)从层流过渡到紊流(2)从陡坡过渡到缓坡(3)从缓流过渡到急流(4)从急流过渡到缓流6、已知某水闸下游收缩断面水深h c0 = 0.6 m (相应的跃后水深h c0 = 3.5 m) ,临界水深 h c = 1.6 m,下游河道水深t = 1.4 m ,则闸下将发生 ( )(1)远离水跃 (2) 临界水跃 (3) 淹没水跃 (4) 急流7、明渠中发生M3、S3、H3、A3 型水面曲线时,其弗劳德数F r ( )(1)小于1 (2)等于1 (3)大于1 (4)无法确定8、有两条梯形断面渠道 1和 2,已知其流量、边坡系数、糙率和底宽均相同,但底坡i1 > i2 ,则其均匀流水深h01和h02的关系为 ( ) (1)h01> h02(2)h01< h02(3)h01= h02(4)无法确定9、有两条梯形断面渠道 1 和 2,已知其流量、边坡系数、底坡和糙率均相同,但底宽b1 > b2 ,则其均匀流水深h01和h02的关系为 ( ) (1)h01大于h02 (2)h01小于h02(3)相等 (4)无法确定10、有两条梯形断面渠道 1 和 2,其流量、边坡系数、底宽及底坡均相同,但糙率n1 > n2,则其均匀流水深h01和h02的关系为 ( )(1)h01大于 h02 (2)h01小于 h02(3)相等 (4) 无法确定11、有四条矩形断面棱柱形渠道,其过水断面面积、糙率、底坡均相同,其底宽b与均匀流水深h。
第一章测试1【单选题】(2分)按连续介质的概念,流体质点是指()A.无大小的几何点;B.流体的分子;C.几何尺寸同流动空间相比是极小量,又含有大量分子的微元体。
D.流体内的固体颗粒;2【多选题】(2分)作用在流体的质量力包括()A.压力;B.重力;C.摩擦力;D.惯性力。
3【单选题】(2分)单位质量力的国际单位是:()A.N/kgB.m/sC.m/s2D.N4【单选题】(2分)与牛顿内摩擦定律直接有关系的因素是()A.切应力和剪切变形速率B.压应力和剪切变形速率C.切应力和剪切变形D.切应力和压强5【单选题】(2分)水的粘性随温度的升高而()A.减小B.无关C.不变D.增大6【单选题】(2分)气体的粘性随温度的升高而()A.增大;B.减小;C.不变;D,无关。
7【单选题】(2分)流体的运动粘度υ的国际单位是()A.m2/sB.N·s/m2C.N/m2D.kg/m8【单选题】(2分)理想流体的特征是()A.不可压缩B.无粘性C.符合pV=RT。
D.粘度是常数9【单选题】(2分)当水的压强增加1个大气压时,水的密度增大约为()A.不变。
B.C.D.10【单选题】(2分)水力学中,单位质量力是指作用在()A.单位重量液体上的质量力。
B.单位质量液体上的质量力;C.单位体积液体上的质量力;D.单位面积液体上的质量力第一章测试1【单选题】(2分)按连续介质的概念,流体质点是指()A.流体的分子;B.流体内的固体颗粒;C.无大小的几何点;D.几何尺寸同流动空间相比是极小量,又含有大量分子的微元体。
2【多选题】(2分)作用在流体的质量力包括()A.压力;B.摩擦力;C.重力;D.惯性力。
3【单选题】(2分)单位质量力的国际单位是:()A.m/s2B.N/kgC.m/sD.N4【单选题】(2分)与牛顿内摩擦定律直接有关系的因素是()A.切应力和剪切变形速率B.切应力和剪切变形C.切应力和压强D.压应力和剪切变形速率5【单选题】(2分)水的粘性随温度的升高而()A.无关B.减小C.增大D.不变6【单选题】(2分)气体的粘性随温度的升高而()A.增大;B.减小;C.不变;D,无关。
第七章明渠恒定非均匀流由于产生明渠均匀流的条件非常严格,自然界中的水流条件很难满足,故实际中的人工渠道或天然河道中的水流绝大多数是非均匀流。
明渠非均匀流的特点是底坡线、水面线、总水头线彼此互不平行(如图7-1所示)。
产生明渠非均匀流的原因很多,例如明渠横断面的几何形状或尺寸的沿流程改变,粗糙度或底坡沿流程改变,在明渠中修建水工建筑物(闸、桥梁、涵洞等),都能使明渠水流发生非均匀流。
明渠非均匀流中也存在渐变流和急变流,若流线是接近于相互平行的直线,或流线间夹角很小、流线的曲率半径很大,这种水流称为明渠非均匀渐变流。
反之,则为明渠非均匀急变流。
图7-1本章首先分析和讨论明渠非均匀流的一些基本概念和明渠急变流(水跃和水跌),然后讨论明渠非均匀渐变流水深(或水位)沿程变化的基本方程,最后着重研究水面曲线变化规律,并进行水面线计算。
而本章的重点是明渠非均匀流中水面曲线变化的规律及其计算方法。
在实际工程中,例如,在桥渡勘测设计时,为了预计建桥后墩台对河流的影响,便需算出桥址附近的水位标高;在河渠上修建水电站,为了确定由于水位抬高所造成的水库淹没范围,亦要进行水面曲线的计算。
因明渠非均匀流的水深沿程变化,即h=f(s),为了不致引起混乱,将明渠均匀流的水深称为正常水深,以h0表示。
§7-1 明渠水流的三种流态明渠水流有的比较平缓,象灌溉渠道中的水流和平原地区江河中的流动。
如果在明渠水流中有一障碍物,便可观察到障碍物上水深降低,障碍物前水位壅高能逆流上传到较远的地方(见图7-2a);而明渠水流有的则非常湍急,像山区河道中的水流,过坝下溢的水流,跌水、瀑布和险滩地的水流。
如遇障碍物仅在石块附近隆起,障碍物上水深增加,障碍物干扰的影响不能问上游传播(见图7-2b)。
上述两种情况表明,明渠水流存在两种不同的流态。
它们对于所产生的干扰波(Disturbance Wave)的传播,有着不同的影响。
障碍物的存在可视为对水流发生的干扰,下面分析干扰波在明渠中传播的特点。
水力学课后计算题及答案第一章 绪论1-1.20℃的水2.5m 3,当温度升至80℃时,其体积增加多少? [解] 温度变化前后质量守恒,即2211V V ρρ= 又20℃时,水的密度31/23.998m kg =ρ 80℃时,水的密度32/83.971m kg =ρ 321125679.2m V V ==∴ρρ 则增加的体积为3120679.0m V V V =-=∆1-2.当空气温度从0℃增加至20℃时,运动粘度ν增加15%,重度γ减少10%,问此时动力粘度μ增加多少(百分数)? [解] 原原ρννρμ)1.01()15.01(-+==原原原μρν035.1035.1==035.0035.1=-=-原原原原原μμμμμμ此时动力粘度μ增加了3.5%1-3.有一矩形断面的宽渠道,其水流速度分布为μρ/)5.0(002.02y hy g u -=,式中ρ、μ分别为水的密度和动力粘度,h 为水深。
试求m h 5.0=时渠底(y =0)处的切应力。
[解] μρ/)(002.0y h g dydu-=)(002.0y h g dydu-==∴ρμτ 当h =0.5m ,y =0时)05.0(807.91000002.0-⨯⨯=τPa 807.9=1-4.一底面积为45×50cm 2,高为1cm 的木块,质量为5kg ,沿涂有润滑油的斜面向下作等速运动,木块运动速度u=1m/s ,油层厚1cm ,斜坡角22.620 (见图示),求油的粘度。
[解] 木块重量沿斜坡分力F 与切力T 平衡时,等速下滑yuAT mg d d sin μθ== 001.0145.04.062.22sin 8.95sin ⨯⨯⨯⨯==δθμu A mg s Pa 1047.0⋅=μ1-5.已知液体中流速沿y 方向分布如图示三种情况,试根据牛顿内摩擦定律yud d μτ=,定性绘出切应力沿y 方向的分布图。
[解]1-6.为导线表面红绝缘,将导线从充满绝缘涂料的模具中拉过。