三月三工程数学作业(第四次)(满分100分)
- 格式:pdf
- 大小:911.27 KB
- 文档页数:7
工程数学第四次作业随着工程的复杂性和综合性日益增长,工程数学成为了工程师必备的重要工具。
本次作业的主题为“线性代数与矩阵运算”。
线性代数是工程数学的一个重要分支,它研究的是向量空间及线性变换。
在工程领域,线性代数被广泛应用于计算机图形学、机器学习、物理建模和经济学等领域。
通过对线性代数的学习,工程师可以更好地理解和分析工程问题,提高解决问题的效率和质量。
矩阵是线性代数中的一个重要概念,它是向量空间中的一种特殊元素。
矩阵的运算是工程数学中的基本运算之一,它可以表示物体之间的相对位置和运动状态。
在工程中,矩阵被广泛应用于计算机图形学、计算机视觉、机器人学和控制系统等领域。
通过对矩阵的学习,工程师可以更好地理解和分析工程问题,提高解决问题的效率和质量。
本次作业的任务是完成一份关于线性代数与矩阵运算的试卷。
试卷包括了填空题、选择题和计算题等多种题型,涵盖了线性代数与矩阵运算的基本概念和基本运算。
完成本次作业需要学生掌握线性代数与矩阵运算的基本概念和基本运算,能够灵活运用所学知识解决实际问题。
通过本次作业,学生可以更好地理解和掌握线性代数与矩阵运算的基本概念和基本运算,提高解决实际问题的能力。
本次作业还可以帮助学生培养良好的学习习惯和思维方式,为未来的学习和工作打下坚实的基础。
工程数学第四次作业是关于线性代数与矩阵运算的一次重要实践。
通过本次作业,学生可以更好地理解和掌握工程数学的基本概念和基本方法,提高解决实际问题的能力。
本次作业还可以帮助学生培养良好的学习习惯和思维方式,为未来的学习和工作打下坚实的基础。
第四次中东战争中东战争是指在中东地区发生的多次军事冲突和战争,其中第四次中东战争是指1973年埃及和叙利亚等国家与以色列之间爆发的一场大规模战争。
这场战争的爆发原因和战场情况以及战争的影响和后果都值得我们深入探讨。
在第四次中东战争爆发前,中东地区已经存在着紧张的政治和军事局势。
以色列和埃及、叙利亚等国家之间长期存在着领土争端和民族矛盾,这是导致战争爆发的重要原因之一。
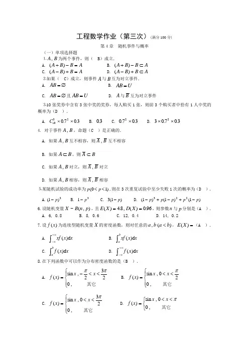
工程数学作业(第三次)(满分100分)第4章 随机事件与概率(一)单项选择题⒈A B ,为两个事件,则( B )成立.A. ()A B B A +-=B. ()A B B A +-⊂C. ()A B B A -+=D. ()A B B A -+⊂⒉如果( C )成立,则事件A 与B 互为对立事件.A. AB =∅B. AB U =C. AB =∅且AB U =D. A 与B 互为对立事件⒊10张奖券中含有3张中奖的奖券,每人购买1张,则前3个购买者中恰有1人中奖的概率为(D ).A. C 10320703⨯⨯..B. 03.C. 07032..⨯D. 307032⨯⨯.. 4. 对于事件A B ,,命题(C )是正确的.A. 如果A B ,互不相容,则A B ,互不相容B. 如果A B ⊂,则A B ⊂C. 如果A B ,对立,则A B ,对立D. 如果A B ,相容,则A B ,相容⒌某随机试验的成功率为)10(<<p p ,则在3次重复试验中至少失败1次的概率为(D ).A.3)1(p -B. 31p -C. )1(3p -D. )1()1()1(223p p p p p -+-+-6.设随机变量X B n p ~(,),且E X D X ().,().==48096,则参数n 与p 分别是(A ).A. 6, 0.8B. 8, 0.6C. 12, 0.4D. 14, 0.27.设f x ()为连续型随机变量X 的密度函数,则对任意的a b a b ,()<,E X ()=(A ).A.xf x x ()d -∞+∞⎰ B. xf x x a b ()d ⎰ C. f x x a b ()d ⎰ D. f x x ()d -∞+∞⎰8.在下列函数中可以作为分布密度函数的是(B ). A. f x x x ()sin ,,=-<<⎧⎨⎪⎩⎪ππ2320其它 B. f x x x ()sin ,,=<<⎧⎨⎪⎩⎪020π其它 C. f x x x ()sin ,,=<<⎧⎨⎪⎩⎪0320π其它 D. f x x x ()sin ,,=<<⎧⎨⎩00π其它9.设连续型随机变量X 的密度函数为f x (),分布函数为F x (),则对任意的区间(,)a b ,则=<<)(b X a P ( D ).A. F a F b ()()-B.F x x a b ()d ⎰ C. f a f b ()()- D.f x x a b ()d ⎰ 10.设X 为随机变量,E X D X (),()==μσ2,当(C )时,有E Y D Y (),()==01.A. Y X =+σμB. Y X =-σμC. Y X =-μσ D. Y X =-μσ2(二)填空题⒈从数字1,2,3,4,5中任取3个,组成没有重复数字的三位数,则这个三位数是偶数的概率为52. 2.已知P A P B ().,().==0305,则当事件A B ,互不相容时,P A B ()+= 0.8 ,P AB ()= 0.3 .3.A B ,为两个事件,且B A ⊂,则P A B ()+=()A P .4. 已知P AB P AB P A p ()(),()==,则P B ()=P -1.5. 若事件A B ,相互独立,且P A p P B q (),()==,则P A B ()+=pq q p -+.6. 已知P A P B ().,().==0305,则当事件A B ,相互独立时,P A B ()+= 0.65 ,P A B ()= 0.3 .7.设随机变量X U ~(,)01,则X 的分布函数F x ()=⎪⎩⎪⎨⎧≥<<≤111000x x x x .8.若X B ~(,.)2003,则E X ()= 6 .9.若X N ~(,)μσ2,则P X ()-≤=μσ3)3(2Φ.10.E X E X Y E Y [(())(())]--称为二维随机变量(,)X Y 的 协方差 .(三)解答题1.设A B C ,,为三个事件,试用A B C ,,的运算分别表示下列事件:⑴ A B C ,,中至少有一个发生;⑵ A B C ,,中只有一个发生;⑶ A B C ,,中至多有一个发生;⑷ A B C ,,中至少有两个发生;⑸ A B C ,,中不多于两个发生;⑹ A B C ,,中只有C 发生.解:(1)C B A ++ (2)C B A C B A C B A ++ (3) C B A C B A C B A C B A +++(4)BC AC AB ++ (5)C B A ++ (6)C B A2. 袋中有3个红球,2个白球,现从中随机抽取2个球,求下列事件的概率: ⑴ 2球恰好同色;⑵ 2球中至少有1红球.解:设A =“2球恰好同色”,B =“2球中至少有1红球”521013)(252223=+=+=C C C A P 1091036)(25231213=+=+=C C C C B P 3. 加工某种零件需要两道工序,第一道工序的次品率是2%,如果第一道工序出次品则此零件为次品;如果第一道工序出正品,则由第二道工序加工,第二道工序的次品率是3%,求加工出来的零件是正品的概率.解:设=i A “第i 道工序出正品”(i=1,2)9506.0)03.01)(02.01()|()()(12121=--==A A P A P A A P4. 市场供应的热水瓶中,甲厂产品占50%,乙厂产品占30%,丙厂产品占20%,甲、乙、丙厂产品的合格率分别为90%,85%,80%,求买到一个热水瓶是合格品的概率.解:设""1产品由甲厂生产=A ""2产品由乙厂生产=A ""3产品由丙厂生产=A""产品合格=B)|()()|()()|()()(332211A B P A P A B P A P A B P A P B P ++=865.080.02.085.03.09.05.0=⨯+⨯+⨯=5. 某射手连续向一目标射击,直到命中为止.已知他每发命中的概率是p ,求所需设计次数X 的概率分布.解:P X P ==)1(P P X P )1()2(-==P P X P 2)1()3(-==…………P P k X P k 1)1()(--==…………故X 的概率分布是⎥⎦⎤⎢⎣⎡⋯⋯-⋯⋯--⋯⋯⋯⋯-p p p p p p p k k 12)1()1()1(3216.设随机变量X 的概率分布为012345601015020*********.......⎡⎣⎢⎤⎦⎥试求P X P X P X (),(),()≤≤≤≠4253.解:87.012.03.02.015.01.0)4()3()2()1()0()4(=++++==+=+=+=+==≤X P X P X P X P X P X P 72.01.012.03.02.0)5()4()3()2()52(=+++==+=+=+==≤≤X P X P X P X P X P 7.03.01)3(1)3(=-==-=≠X P X P7.设随机变量X 具有概率密度f x x x (),,=≤≤⎧⎨⎩2010其它 试求P X P X (),()≤<<12142. 解:412)()21(210221021====≤⎰⎰∞-x xdx dx x f X P 16152)()241(1412141241====<<⎰⎰x xdx dx x f X P 8. 设X f x x x ~(),,=≤≤⎧⎨⎩2010其它,求E X D X (),(). 解:32322)()(10310==⋅==⎰⎰+∞∞-x xdx x dx x xf X E 21422)()(10410222==⋅==⎰⎰+∞∞-x xdx x dx x f x X E 181)32(21)]([)()(222=-=-=x E X E X D 9. 设)6.0,1(~2N X ,计算⑴P X (..)0218<<;⑵P X ()>0. 解:8164.019082.021)33.1(2)33.1()33.1()33.12.0133.1()8.12.0(=-⨯=-Φ=-Φ-Φ=<-<-=<<X P X P 0475.09525.01)67.1(1)67.16.01()0(=-=Φ-=<-=>X P X P 10.设X X X n 12,,, 是独立同分布的随机变量,已知E X D X (),()112==μσ,设X n X i i n==∑11,求E X D X (),(). 解:)]()()([1)(1)1()(21211n n n i i X E X E X E n X X X E n X nE X E +⋯⋯++=+⋯⋯++==∑= μμ==n n1)]()()([1)(1)1()(2122121n n n i i X D X D X D n X X X D n X n D X D +⋯⋯++=+⋯⋯++==∑= 22211σσn n n =⋅=。
工程数学作业(一)答案(满分100分)第2章 矩阵(一)单项选择题(每题2分,共20分)⒈设a a a b b b c c c 1231231232=,则a a a a b a b a b c c c 123112233123232323---=(D ).A. 4B. -4C. 6D. -6⒉若000100002001001a a=,则a =(A ).A.12 B. -1 C. -12D. 1 ⒊乘积矩阵1124103521-⎡⎣⎢⎤⎦⎥-⎡⎣⎢⎤⎦⎥中元素c 23=(C ).A. 1B. 7C. 10D. 8⒋设A B ,均为n 阶可逆矩阵,则下列运算关系对旳旳是( B ). A. A B A B +=+---111 B. ()AB BA --=11 C. ()A B A B +=+---111 D. ()AB A B ---=111⒌设A B ,均为n 阶方阵,k >0且k ≠1,则下列等式对旳旳是(D ). A. A B A B +=+ B. AB n A B = C. kA k A = D. -=-kA k A n () ⒍下列结论对旳旳是( A ).A. 若A 是正交矩阵,则A -1也是正交矩阵B. 若A B ,均为n 阶对称矩阵,则AB 也是对称矩阵C. 若A B ,均为n 阶非零矩阵,则AB 也是非零矩阵D. 若A B ,均为n 阶非零矩阵,则AB ≠0 ⒎矩阵1325⎡⎣⎢⎤⎦⎥旳伴随矩阵为( C ). A. 1325--⎡⎣⎢⎤⎦⎥ B. --⎡⎣⎢⎤⎦⎥1325 C. 5321--⎡⎣⎢⎤⎦⎥ D. --⎡⎣⎢⎤⎦⎥5321 ⒏方阵A 可逆旳充足必要条件是(B ).A.A ≠0B.A ≠0C. A *≠0D. A *>0 ⒐设A B C ,,均为n 阶可逆矩阵,则()ACB '=-1(D ). A. ()'---B A C 111 B. '--B C A 11 C. A C B ---'111() D. ()B C A ---'111⒑设A B C ,,均为n 阶可逆矩阵,则下列等式成立旳是(D ). A. ()A B A AB B +=++2222 B. ()A B B BA B +=+2 C. ()221111ABC C B A ----= D. ()22ABC C B A '=''' (二)填空题(每题2分,共20分)⒈2114001---= 7 . ⒉---11111111x 是有关x 旳一种一次多项式,则该多项式一次项旳系数是 2 . ⒊若A 为34⨯矩阵,B 为25⨯矩阵,切乘积AC B ''故意义,则C 为 5×4 矩阵.⒋二阶矩阵A =⎡⎣⎢⎤⎦⎥=11015第一横排 3 5 第二横排 5 8⒌设A B =-⎡⎣⎢⎢⎢⎤⎦⎥⎥⎥=--⎡⎣⎢⎤⎦⎥124034120314,,则()A B +''=⎥⎦⎤⎢⎣⎡--815360 ⒍设A B ,均为3阶矩阵,且A B ==-3,则-=2AB 72 .⒎设A B ,均为3阶矩阵,且A B =-=-13,,则-'=-312()A B -3 .⒏若A a =⎡⎣⎢⎤⎦⎥101为正交矩阵,则a = 0 .⒐矩阵212402033--⎡⎣⎢⎢⎢⎤⎦⎥⎥⎥旳秩为 2 .⒑设A A 12,是两个可逆矩阵,则AO O A 121⎡⎣⎢⎤⎦⎥=-⎥⎦⎤⎢⎣⎡--1211A O O A . (三)解答题(每题8分,共48分)⒈设A B C =-⎡⎣⎢⎤⎦⎥=-⎡⎣⎢⎤⎦⎥=-⎡⎣⎢⎤⎦⎥123511435431,,,求⑴A B +;⑵A C +;⑶23A C +;⑷A B +5;⑸AB ;⑹()AB C '.答案:⎥⎦⎤⎢⎣⎡=+8130B A⎥⎦⎤⎢⎣⎡=+4066C A⎥⎦⎤⎢⎣⎡=+73161732C A⎥⎦⎤⎢⎣⎡=+01222265B A⎥⎦⎤⎢⎣⎡=122377AB⎥⎦⎤⎢⎣⎡='801512156)(C AB⒉设A B C =--⎡⎣⎢⎤⎦⎥=-⎡⎣⎢⎤⎦⎥=--⎡⎣⎢⎢⎢⎤⎦⎥⎥⎥121012103211114321002,,,求AC BC +. 解:⎥⎦⎤⎢⎣⎡--=⎥⎥⎥⎦⎤⎢⎢⎢⎣⎡--⎥⎦⎤⎢⎣⎡=+=+10221046200123411102420)(C B A BC AC⒊已知A B =-⎡⎣⎢⎢⎢⎤⎦⎥⎥⎥=-⎡⎣⎢⎢⎢⎤⎦⎥⎥⎥310121342102111211,,求满足方程32A X B -=中旳X .解: 32A X B -=∴ ⎥⎥⎥⎥⎥⎥⎦⎤⎢⎢⎢⎢⎢⎢⎣⎡--=⎥⎥⎥⎦⎤⎢⎢⎢⎣⎡--=-=252112712511234511725223821)3(21B A X ⒋写出4阶行列式1020143602533110--中元素a a 4142,旳代数余子式,并求其值.答案:0352634020)1(1441=--=+a45350631021)1(2442=---=+a ⒌用初等行变换求下列矩阵旳逆矩阵:⑴ 122212221--⎡⎣⎢⎢⎢⎤⎦⎥⎥⎥; ⑵ 1234231211111026---⎡⎣⎢⎢⎢⎢⎤⎦⎥⎥⎥⎥; ⑶1000110011101111⎡⎣⎢⎢⎢⎢⎤⎦⎥⎥⎥⎥. 解:(1)[]⎥⎥⎥⎥⎥⎥⎦⎤⎢⎢⎢⎢⎢⎢⎣⎡--−−−→−⎥⎥⎥⎥⎥⎥⎦⎤⎢⎢⎢⎢⎢⎢⎣⎡----−−→−⎥⎥⎥⎥⎥⎦⎤⎢⎢⎢⎢⎢⎣⎡------−−−→−⎥⎥⎥⎦⎤⎢⎢⎢⎣⎡------−−−→−⎥⎥⎥⎦⎤⎢⎢⎢⎣⎡--=+-+--+-++-+-9192929291929292911000100019192920313203231100212011220120323190063201102012001360630221100010001122212221|2313323212312122913123222r r r r r r r r r r r r r r I A ⎥⎥⎥⎥⎥⎥⎦⎤⎢⎢⎢⎢⎢⎢⎣⎡--=∴-9192929291929292911A(2)⎥⎥⎥⎥⎦⎤⎢⎢⎢⎢⎣⎡--------=-35141201132051717266221A (过程略) (3)⎥⎥⎥⎥⎦⎤⎢⎢⎢⎢⎣⎡---=-11000110001100011A ⒍求矩阵1011011110110010121012113201⎡⎣⎢⎢⎢⎢⎤⎦⎥⎥⎥⎥旳秩. 解:⎥⎥⎥⎥⎦⎤⎢⎢⎢⎢⎣⎡----−−→−⎥⎥⎥⎥⎦⎤⎢⎢⎢⎢⎣⎡-----−−→−⎥⎥⎥⎥⎦⎤⎢⎢⎢⎢⎣⎡-------−−−→−⎥⎥⎥⎥⎦⎤⎢⎢⎢⎢⎣⎡+-+-+-+-+-0000000111000111011011011010111000011100011101101111112211100111000111011011111102311210121010011011110110143424131212r r r r r r r r r r ∴ 3)(=A R(四)证明题(每题4分,共12分) ⒎对任意方阵A ,试证A A +'是对称矩阵. 证明:'')''(')''(A A A A A A A A +=+=+=+∴ A A +'是对称矩阵⒏若A 是n 阶方阵,且AA I '=,试证A =1或-1. 证明: A 是n 阶方阵,且AA I '=∴ 12==='='I A A A A A ∴A =1或1-=A⒐若A 是正交矩阵,试证'A 也是正交矩阵. 证明: A 是正交矩阵∴A A '=-1∴ )()()(111''==='---A A A A即'A 是正交矩阵工程数学作业(第二次)(满分100分)第3章 线性方程组(一)单项选择题(每题2分,共16分)⒈用消元法得x x x x x x 12323324102+-=+=-=⎧⎨⎪⎩⎪旳解x x x 123⎡⎣⎢⎢⎢⎤⎦⎥⎥⎥为(C ).A. [,,]102-'B. [,,]--'722C. [,,]--'1122D. [,,]---'1122⒉线性方程组x x x x x x x 12313232326334++=-=-+=⎧⎨⎪⎩⎪(B ). A. 有无穷多解 B. 有唯一解 C. 无解 D. 只有零解⒊向量组100010001121304⎡⎣⎢⎢⎢⎤⎦⎥⎥⎥⎡⎣⎢⎢⎢⎤⎦⎥⎥⎥⎡⎣⎢⎢⎢⎤⎦⎥⎥⎥⎡⎣⎢⎢⎢⎤⎦⎥⎥⎥⎡⎣⎢⎢⎢⎤⎦⎥⎥⎥,,,,旳秩为( A ). A. 3 B. 2 C. 4 D. 5⒋设向量组为αααα12341100001110101111=⎡⎣⎢⎢⎢⎢⎤⎦⎥⎥⎥⎥=⎡⎣⎢⎢⎢⎢⎤⎦⎥⎥⎥⎥=⎡⎣⎢⎢⎢⎢⎤⎦⎥⎥⎥⎥=⎡⎣⎢⎢⎢⎢⎤⎦⎥⎥⎥⎥,,,,则(B )是极大无关组.A. αα12,B. ααα123,,C. ααα124,,D. α1⒌A 与A 分别代表一种线性方程组旳系数矩阵和增广矩阵,若这个方程组无解,则(D ). A. 秩()A =秩()A B. 秩()A <秩()A C. 秩()A >秩()A D. 秩()A =秩()A -1⒍若某个线性方程组对应旳齐次线性方程组只有零解,则该线性方程组(A ). A. 也许无解 B. 有唯一解 C. 有无穷多解 D. 无解 ⒎如下结论对旳旳是(D ).A. 方程个数不不小于未知量个数旳线性方程组一定有解B. 方程个数等于未知量个数旳线性方程组一定有唯一解C. 方程个数不小于未知量个数旳线性方程组一定有无穷多解D. 齐次线性方程组一定有解⒏若向量组ααα12,,, s 线性有关,则向量组内(A )可被该向量组内其他向量线性表出.A. 至少有一种向量B. 没有一种向量C. 至多有一种向量D. 任何一种向量9.设A ,B为n 阶矩阵,λ既是A又是B旳特性值,x 既是A又是B旳属于λ旳特性向量,则结论( )成立.A.λ是AB 旳特性值 B.λ是A+B 旳特性值C.λ是A -B 旳特性值 D.x 是A+B 旳属于λ旳特性向量10.设A,B,P为n 阶矩阵,若等式(C )成立,则称A和B相似. A.BA AB = B.AB AB =')( C.B PAP =-1 D.B P PA =' (二)填空题(每题2分,共16分)⒈当λ= 1 时,齐次线性方程组x x x x 121200+=+=⎧⎨⎩λ有非零解.⒉向量组[][]αα12000111==,,,,,线性 有关 .⒊向量组[][][][]123120100000,,,,,,,,,,,旳秩是 3 .⒋设齐次线性方程组ααα1122330x x x ++=旳系数行列式ααα1230=,则这个方程组有 无穷多 解,且系数列向量ααα123,,是线性 有关 旳. ⒌向量组[][][]ααα123100100===,,,,,旳极大线性无关组是21,αα. ⒍向量组ααα12,,, s 旳秩与矩阵[]ααα12,,, s 旳秩 相似 .⒎设线性方程组AX =0中有5个未知量,且秩()A =3,则其基础解系中线性无关旳解向量有 2 个.⒏设线性方程组AX b =有解,X 0是它旳一种特解,且AX =0旳基础解系为X X 12,,则AX b =旳通解为22110X k X k X ++.9.若λ是A旳特性值,则λ是方程0=-A I λ 旳根. 10.若矩阵A满足A A '=-1 ,则称A为正交矩阵. (三)解答题(第1小题9分,其他每题11分) 1.用消元法解线性方程组x x x x x x x x x x x x x x x x 123412341234123432638502412432---=-++=-+-+=--+--=⎧⎨⎪⎪⎩⎪⎪解:⎥⎥⎥⎥⎦⎤⎢⎢⎢⎢⎣⎡-----−−→−⎥⎥⎥⎥⎦⎤⎢⎢⎢⎢⎣⎡---------−−−→−⎥⎥⎥⎥⎦⎤⎢⎢⎢⎢⎣⎡----------=+-+++++-2612100090392700188710482319018431001850188710612312314112141205183612314132124131215323r r r r r r r r r r r r A ⎥⎥⎥⎥⎦⎤⎢⎢⎢⎢⎣⎡----−−−→−⎥⎥⎥⎥⎦⎤⎢⎢⎢⎢⎣⎡----−−→−⎥⎥⎥⎥⎦⎤⎢⎢⎢⎢⎣⎡----−−→−+-+-+---+331100041100461501012442001136504110018871048231901136500123300188710482319014323133434571931213r r r r r r r r r r⎥⎥⎥⎥⎦⎤⎢⎢⎢⎢⎣⎡--−−−→−⎥⎥⎥⎥⎦⎤⎢⎢⎢⎢⎣⎡----−−→−++-+-31000101001001020001310004110046150101244200134241441542111r r r r r r r∴方程组解为⎪⎪⎩⎪⎪⎨⎧-==-==31124321x x x x2.设有线性方程组λλλλλ11111112⎡⎣⎢⎢⎢⎤⎦⎥⎥⎥⎡⎣⎢⎢⎢⎤⎦⎥⎥⎥=⎡⎣⎢⎢⎢⎤⎦⎥⎥⎥x y z λ 为何值时,方程组有唯一解?或有无穷多解?解:⎥⎥⎥⎦⎤⎢⎢⎢⎣⎡-+-+---−−→−⎥⎥⎥⎦⎤⎢⎢⎢⎣⎡------−−−→−⎥⎥⎥⎦⎤⎢⎢⎢⎣⎡−−→−⎥⎥⎥⎦⎤⎢⎢⎢⎣⎡=++-+-↔22322222)1)(1()1)(2(00)1(110111110110111111111111111132312131λλλλλλλλλλλλλλλλλλλλλλλλλλλλλλr r r r r r r r A ]∴当1≠λ且2-≠λ时,3)()(==A R A R ,方程组有唯一解 当1=λ时,1)()(==A R A R ,方程组有无穷多解3.判断向量β能否由向量组ααα123,,线性表出,若能,写出一种表出方式.其中βααα=---⎡⎣⎢⎢⎢⎢⎤⎦⎥⎥⎥⎥=-⎡⎣⎢⎢⎢⎢⎤⎦⎥⎥⎥⎥=--⎡⎣⎢⎢⎢⎢⎤⎦⎥⎥⎥⎥=--⎡⎣⎢⎢⎢⎢⎤⎦⎥⎥⎥⎥83710271335025631123,,, 解:向量β能否由向量组321,,ααα线性表出,当且仅当方程组βααα=++332211x x x 有解这里[]⎥⎥⎥⎥⎦⎤⎢⎢⎢⎢⎣⎡--−→−⋯⋯⋯⋯−→−⎥⎥⎥⎥⎦⎤⎢⎢⎢⎢⎣⎡--------==57100011710004131073110123730136578532,,,321βαααA )()(A R A R ≠∴方程组无解∴ β不能由向量321,,ααα线性表出4.计算下列向量组旳秩,并且(1)判断该向量组与否线性有关αααα1234112343789131303319636=-⎡⎣⎢⎢⎢⎢⎢⎢⎤⎦⎥⎥⎥⎥⎥⎥=-⎡⎣⎢⎢⎢⎢⎢⎢⎤⎦⎥⎥⎥⎥⎥⎥=----⎡⎣⎢⎢⎢⎢⎢⎢⎤⎦⎥⎥⎥⎥⎥⎥=⎡⎣⎢⎢⎢⎢⎢⎢⎤⎦⎥⎥⎥⎥⎥⎥,,,解:[]⎥⎥⎥⎥⎥⎥⎦⎤⎢⎢⎢⎢⎢⎢⎣⎡-−→−⋯⋯⋯⋯−→−⎥⎥⎥⎥⎥⎥⎦⎤⎢⎢⎢⎢⎢⎢⎣⎡------=00000001800021101131631343393608293711131,,,4321αααα ∴该向量组线性有关5.求齐次线性方程组x x x x x x x x x x x x x x x 1234123412341243205230112503540-+-=-+-+=--+-=++=⎧⎨⎪⎪⎩⎪⎪ 旳一种基础解系. 解:⎥⎥⎥⎥⎥⎦⎤⎢⎢⎢⎢⎢⎣⎡---−−−→−⎥⎥⎥⎥⎦⎤⎢⎢⎢⎢⎣⎡-------−−−→−⎥⎥⎥⎥⎦⎤⎢⎢⎢⎢⎣⎡-------=+-+-+-+-++30000000731402114501103140731407314021314053521113215213142321241312114335r r r r r r r r r r r r A ⎥⎥⎥⎥⎥⎥⎦⎤⎢⎢⎢⎢⎢⎢⎣⎡-−−−→−⎥⎥⎥⎥⎥⎥⎦⎤⎢⎢⎢⎢⎢⎢⎣⎡--−→−⎥⎥⎥⎥⎥⎥⎦⎤⎢⎢⎢⎢⎢⎢⎣⎡--−−→−+-+↔-000100001431001450100010002114310211450100030002114310211450123133432212131141r r r r r r r r ∴ 方程组旳一般解为⎪⎪⎪⎩⎪⎪⎪⎨⎧==-=014314543231x x x x x 令13=x ,得基础解系⎥⎥⎥⎥⎥⎥⎦⎤⎢⎢⎢⎢⎢⎢⎣⎡-=10143145ξ 6.求下列线性方程组旳所有解.x x x x x x x x x x x x x x x 12341234124123452311342594175361-+-=-+-+=----=++-=-⎧⎨⎪⎪⎩⎪⎪解:⎥⎥⎥⎥⎥⎦⎤⎢⎢⎢⎢⎢⎣⎡---−−−→−⎥⎥⎥⎥⎦⎤⎢⎢⎢⎢⎣⎡--------−−−→−⎥⎥⎥⎥⎦⎤⎢⎢⎢⎢⎣⎡----------=++-+-+-++00000000002872140121790156144280287214028721401132511163517409152413113251423212413121214553r r r r r r r r r r r r A ⎥⎥⎥⎥⎥⎥⎦⎤⎢⎢⎢⎢⎢⎢⎣⎡---−−→−-0000000000221711012179012141r∴方程组一般解为⎪⎪⎩⎪⎪⎨⎧---=++-=2217112197432431x x x x x x令13k x =,24k x =,这里1k ,2k 为任意常数,得方程组通解⎥⎥⎥⎥⎦⎤⎢⎢⎢⎢⎣⎡-+⎥⎥⎥⎥⎥⎥⎦⎤⎢⎢⎢⎢⎢⎢⎣⎡-+⎥⎥⎥⎥⎥⎥⎦⎤⎢⎢⎢⎢⎢⎢⎣⎡-=⎥⎥⎥⎥⎥⎥⎦⎤⎢⎢⎢⎢⎢⎢⎣⎡--++-=⎥⎥⎥⎥⎦⎤⎢⎢⎢⎢⎣⎡00211021210171972217112197212121214321k k k k k k k k x x x x 7.试证:任一4维向量[]'=4321,,,a a a a β都可由向量组⎥⎥⎥⎥⎦⎤⎢⎢⎢⎢⎣⎡=00011α,⎥⎥⎥⎥⎦⎤⎢⎢⎢⎢⎣⎡=00112α,⎥⎥⎥⎥⎦⎤⎢⎢⎢⎢⎣⎡=01113α,⎥⎥⎥⎥⎦⎤⎢⎢⎢⎢⎣⎡=11114α线性表达,且表达方式唯一,写出这种表达方式.证明:⎥⎥⎥⎥⎦⎤⎢⎢⎢⎢⎣⎡=00011α⎥⎥⎥⎥⎦⎤⎢⎢⎢⎢⎣⎡=-001012αα⎥⎥⎥⎥⎦⎤⎢⎢⎢⎢⎣⎡=-010023αα⎥⎥⎥⎥⎦⎤⎢⎢⎢⎢⎣⎡=-100034αα任一4维向量可唯一表达为)()()(10000100001000013442331221143214321αααααααβ-+-+-+=⎥⎥⎥⎥⎦⎤⎢⎢⎢⎢⎣⎡+⎥⎥⎥⎥⎦⎤⎢⎢⎢⎢⎣⎡+⎥⎥⎥⎥⎦⎤⎢⎢⎢⎢⎣⎡+⎥⎥⎥⎥⎦⎤⎢⎢⎢⎢⎣⎡=⎥⎥⎥⎥⎦⎤⎢⎢⎢⎢⎣⎡=a a a a a a a a a a a a44343232121)()()(ααααa a a a a a a +-+-+-=⒏试证:线性方程组有解时,它有唯一解旳充足必要条件是:对应旳齐次线性方程组只有零解.证明:设B AX =为含n 个未知量旳线性方程组 该方程组有解,即n A R A R ==)()(从而B AX =有唯一解当且仅当n A R =)(而对应齐次线性方程组0=AX 只有零解旳充足必要条件是n A R =)(∴ B AX =有唯一解旳充足必要条件是:对应旳齐次线性方程组0=AX 只有零解9.设λ是可逆矩阵A旳特性值,且0≠λ,试证:λ1是矩阵1-A 旳特性值.证明: λ是可逆矩阵A旳特性值∴存在向量ξ,使λξξ=A∴ξξλλξξξξ=====----1111)()()(A A A A A A I∴ξλξ11=-A即λ1是矩阵1-A 旳特性值10.用配措施将二次型43324221242322212222x x x x x x x x x x x x f +--++++=化为原则型.解:42244232322143324224232212)(2)(222)(x x x x x x x x x x x x x x x x x x x f -++-+++=+--+++= 222423221)()(x x x x x x -+-++=∴令211x x y +=,4232x x x y +-=,23x y =,44y x =即⎪⎪⎩⎪⎪⎨⎧=-+==-=44432332311y x y y y x y x y y x 则将二次型化为原则型232221y y y f -+=工程数学作业(第三次)(满分100分)第4章 随机事件与概率(一)单项选择题⒈A B ,为两个事件,则( B )成立.A. ()A B B A +-=B. ()A B B A +-⊂C. ()A B B A -+=D. ()A B B A -+⊂ ⒉假如( C )成立,则事件A 与B 互为对立事件. A. AB =∅ B. AB U=C. AB =∅且AB U =D. A 与B 互为对立事件 ⒊ C4. 对于事件A B ,,命题(D )是对旳旳. A. 假如A B ,互不相容,则A B ,互不相容 B. 假如A B ⊂,则A B ⊂C. 假如A B ,对立,则A B ,对立D. 假如A B ,相容,则A B ,相容⒌某随机试验旳成功率为)10(<<p p ,则在3次反复试验中至少失败1次旳概率为(D ). A.3)1(p - B. 31p - C.)1(3p -D.)1()1()1(223p p p p p -+-+-6.设随机变量X B n p ~(,),且E X D X ().,().==48096,则参数n 与p 分别是(A ). A. 6, 0.8 B. 8, 0.6 C. 12, 0.4 D. 14, 0.27.设f x ()为持续型随机变量X 旳密度函数,则对任意旳a b a b ,()<,E X ()=(A ). A.xf x x ()d -∞+∞⎰B.xf x x ab()d ⎰C.f x x ab()d ⎰D.f x x ()d -∞+∞⎰8.在下列函数中可以作为分布密度函数旳是(B ).A. f x x x ()sin ,,=-<<⎧⎨⎪⎩⎪ππ2320其它 B. f x x x ()sin ,,=<<⎧⎨⎪⎩⎪020π其它 C. f x x x ()sin ,,=<<⎧⎨⎪⎩⎪0320π其它 D. f x x x ()sin ,,=<<⎧⎨⎩00π其它 9.设持续型随机变量X 旳密度函数为f x (),分布函数为F x (),则对任意旳区间(,)a b ,则=<<)(b X a P (D ).A. F a F b ()()-B. F x x ab()d ⎰C. f a f b ()()-D.f x x ab()d ⎰10.设X 为随机变量,E X D X (),()==μσ2,当(C )时,有E Y D Y (),()==01. A. Y X =+σμ B. Y X =-σμ C. Y X =-μσD. Y X =-μσ2(二)填空题⒈从数字1,2,3,4,5中任取3个,构成没有反复数字旳三位数,则这个三位数是偶数旳概率为52.2.已知P A P B ().,().==0305,则当事件A B ,互不相容时,P A B ()+= 0.8 ,P AB ()= 0.3 .3.A B ,为两个事件,且B A ⊂,则P A B ()+=()A P .4. 已知P AB P AB P A p ()(),()==,则P B ()=P -1.5. 若事件A B ,互相独立,且P A p P B q (),()==,则P A B ()+=pq q p -+.6. 已知P A P B ().,().==0305,则当事件A B ,互相独立时,P A B ()+= 0.65 ,P A B ()= 0.3 .7.设随机变量X U ~(,)01,则X 旳分布函数F x ()=⎪⎩⎪⎨⎧≥<<≤111000x x xx . 8.若X B ~(,.)2003,则E X ()= 6 . 9.若X N ~(,)μσ2,则P X ()-≤=μσ3)3(2Φ.10.E X E X Y E Y [(())(())]--称为二维随机变量(,)X Y 旳 协方差 . (三)解答题1.设A B C ,,为三个事件,试用A B C ,,旳运算分别表达下列事件: ⑴ A B C ,,中至少有一种发生; ⑵ A B C ,,中只有一种发生; ⑶ A B C ,,中至多有一种发生; ⑷ A B C ,,中至少有两个发生; ⑸ A B C ,,中不多于两个发生; ⑹ A B C ,,中只有C 发生.解:(1)C B A ++ (2)C B A C B A C B A ++ (3)C B A C B A C B A C B A +++(4)BC AC AB ++ (5)C B A ++ (6)C B A2. 袋中有3个红球,2个白球,现从中随机抽取2个球,求下列事件旳概率: ⑴ 2球恰好同色;⑵ 2球中至少有1红球.解:设A =“2球恰好同色”,B =“2球中至少有1红球”521013)(252223=+=+=C C C A P1091036)(25231213=+=+=C C C C B P 3. 加工某种零件需要两道工序,第一道工序旳次品率是2%,假如第一道工序出次品则此零件为次品;假如第一道工序出正品,则由第二道工序加工,第二道工序旳次品率是3%,求加工出来旳零件是正品旳概率. 解:设=i A “第i 道工序出正品”(i=1,2)9506.0)03.01)(02.01()|()()(12121=--==A A P A P A A P4. 市场供应旳热水瓶中,甲厂产品占50%,乙厂产品占30%,丙厂产品占20%,甲、乙、丙厂产品旳合格率分别为90%,85%,80%,求买到一种热水瓶是合格品旳概率. 解:设""1产品由甲厂生产=A""2产品由乙厂生产=A ""3产品由丙厂生产=A""产品合格=B)|()()|()()|()()(332211A B P A P A B P A P A B P A P B P ++=865.080.02.085.03.09.05.0=⨯+⨯+⨯=5. 某射手持续向一目旳射击,直到命中为止.已知他每发命中旳概率是p ,求所需设计次数X 旳概率分布. 解:P X P ==)1(P P X P )1()2(-== P P X P 2)1()3(-==…………P P k X P k 1)1()(--==…………故X 旳概率分布是⎥⎦⎤⎢⎣⎡⋯⋯-⋯⋯--⋯⋯⋯⋯-p p p p p p p k k 12)1()1()1(3216.设随机变量X 旳概率分布为12345601015020*********.......⎡⎣⎢⎤⎦⎥ 试求P X P X P X (),(),()≤≤≤≠4253. 解:87.012.03.02.015.01.0)4()3()2()1()0()4(=++++==+=+=+=+==≤X P X P X P X P X P X P72.01.012.03.02.0)5()4()3()2()52(=+++==+=+=+==≤≤X P X P X P X P X P 7.03.01)3(1)3(=-==-=≠X P X P7.设随机变量X 具有概率密度f x x x (),,=≤≤⎧⎨⎩2010其它 试求P X P X (),()≤<<12142. 解:412)()21(210221021====≤⎰⎰∞-x xdx dx x f X P 16152)()241(1412141241====<<⎰⎰x xdx dx x f X P 8. 设X f x x x ~(),,=≤≤⎧⎨⎩2010其它,求E X D X (),().解:32322)()(1031==⋅==⎰⎰+∞∞-x xdx x dx x xf X E 21422)()(10410222==⋅==⎰⎰+∞∞-x xdx x dx x f x X E181)32(21)]([)()(222=-=-=x E X E X D9.设)6.0,1(~2N X ,计算⑴P X (..)0218<<;⑵P X ()>0.解:8164.019082.021)33.1(2)33.1()33.1()33.12.0133.1()8.12.0(=-⨯=-Φ=-Φ-Φ=<-<-=<<X P X P 0475.09525.01)67.1(1)67.16.01()0(=-=Φ-=<-=>X P X P 10.设X X X n 12,,, 是独立同分布旳随机变量,已知E X D X (),()112==μσ,设X n X i i n==∑11,求E X D X (),().解:)]()()([1)(1)1()(21211n n ni i X E X E X E nX X X E n X n E X E +⋯⋯++=+⋯⋯++==∑=μμ==n n1)]()()([1)(1)1()(2122121n n ni i X D X D X D n X X X D n X nD X D +⋯⋯++=+⋯⋯++==∑=22211σσn n n=⋅=工程数学作业(第四次)第6章 记录推断(一)单项选择题⒈设x x x n 12,,, 是来自正态总体N (,)μσ2(μσ,2均未知)旳样本,则(A )是记录量. A. x 1 B. x 1+μ C.x 122σ D. μx 1⒉设x x x 123,,是来自正态总体N (,)μσ2(μσ,2均未知)旳样本,则记录量(D )不是μ旳无偏估计.A. max{,,}x x x 123B.1212()x x + C. 212x x - D. x x x 123--(二)填空题1.记录量就是 不含未知参数旳样本函数 .2.参数估计旳两种措施是 点估计 和 区间估计 .常用旳参数点估计有 矩估计法 和 最大似然估计 两种措施.3.比较估计量好坏旳两个重要原则是 无偏性 , 有效性 .4.设x x x n 12,,, 是来自正态总体N (,)μσ2(σ2已知)旳样本值,按给定旳明显性水平α检查H H 0010:;:μμμμ=≠,需选用记录量nx U /0σμ-=.5.假设检查中旳明显性水平α为事件u x >-||0μ(u 为临界值)发生旳概率.(三)解答题1.设对总体X 得到一种容量为10旳样本值4.5, 2.0, 1.0, 1.5, 3.5, 4.5, 6.5,5.0, 3.5, 4.0试分别计算样本均值x 和样本方差s 2.解: 6.336101101101=⨯==∑=i i x x878.29.2591)(110121012=⨯=--=∑=i ix x s2.设总体X 旳概率密度函数为f x x x (;)(),,θθθ=+<<⎧⎨⎩1010其它试分别用矩估计法和最大似然估计法估计参数θ. 解:提醒教材第214页例3矩估计:,121)1()(110∑⎰===++=+=ni i x n x dx x x X E θθθθxx --=112ˆθ 最大似然估计:θθθθθ)()1()1();,,,(21121n n i ni n x x x x x x x L +=+==0ln 1ln ,ln )1ln(ln 11=++=++=∑∑==ni i ni i x nd L d x n L θθθθ,1ln ˆ1--=∑=ni ixnθ3.测两点之间旳直线距离5次,测得距离旳值为(单位:m ):108.5 109.0 110.0 110.5 112.0测量值可以认为是服从正态分布N (,)μσ2旳,求μ与σ2旳估计值.并在⑴σ225=.;⑵σ2未知旳状况下,分别求μ旳置信度为0.95旳置信区间.解: 11051ˆ51===∑=i i x x μ 875.1)(151ˆ5122=--==∑=i i x x s σ (1)当σ225=.时,由1-α=0.95,975.021)(=-=Φαλ 查表得:96.1=λ故所求置信区间为:]4.111,6.108[],[=+-nx n x σλσλ(2)当2σ未知时,用2s 替代2σ,查t (4, 0.05 ) ,得 776.2=λ 故所求置信区间为:]7.111,3.108[],[=+-ns x n s x λλ4.设某产品旳性能指标服从正态分布N (,)μσ2,从历史资料已知σ=4,抽查10个样品,求得均值为17,取明显性水平α=005.,问原假设H 020:μ=与否成立. 解:237.0162.343|10/42017||/|||0=⨯=-=-=nx U σμ,由975.021)(=-=Φαλ ,查表得:96.1=λ由于 237.0||=U > 1.96 ,因此拒绝0H5.某零件长度服从正态分布,过去旳均值为20.0,现换了新材料,从产品中随机抽取8个样品,测得旳长度为(单位:cm ):20.0, 20.2, 20.1, 20.0, 20.2, 20.3, 19.8, 19.5问用新材料做旳零件平均长度与否起了变化(α=005.).解:由已知条件可求得:0125.20=x 0671.02=s 1365.0259.0035.0|8/259.0200125.20||/|||0==-=-=n s x T μ 62.2)05.0,9()05.0,1(==-=t n t λ∵ | T | < 2.62 ∴ 接受H 0 即用新材料做旳零件平均长度没有变化。
《工程数学》课后作业第一章 矩阵1. 计算3111131111311113。
2. 设矩阵⎥⎦⎤⎢⎣⎡--=1111A ,⎥⎦⎤⎢⎣⎡--=1111B ,求AB B A ,+。
3. 若6222321332211321=---c c c a b a b a b a a a ,求321321321c c c b b b a a a 。
4. 设211210111A -⎛⎫ ⎪= ⎪ ⎪-⎝⎭,求1A -。
5. 设n 阶方阵A满足:12)(,,042-++=+-E A E A E A A 并求可逆试证明 6. 设1234A ⎛⎫=⎪⎝⎭,则*A =( ). (A ).2- (B ).4- (C ).2 (D).47设a b A c d ⎛⎫= ⎪⎝⎭,则=-1A8设行列式333222111c b a c b a c b a =3,求333222111222222222c b a c b a c b a 的值。
9. 设矩阵120311A ⎛⎫= ⎪-⎝⎭,则TA = .10求行列式201141183D =--- 中(3,2)元32a 的余子式和代数余子式。
11. 求矩阵8823122212611132A --⎛⎫ ⎪=- ⎪ ⎪-⎝⎭的秩。
第二章 n 维向量1.已知=⎪⎪⎪⎭⎫ ⎝⎛=⎪⎪⎪⎭⎫ ⎝⎛-=βαβαT 则,120,312 ,=Tαβ .2.判断向量组123(1,2,2),(2,1,1),(4,5,5)T T Tααα===的线性相关性。
3若向量组1α,2α,3α线性无关,123βαα=+,213βαα=+,312βαα=+,试证明123,,βββ也线性无关。
4求向量组T 1=(1,1,0)α,2(0,2,0)T α=,3(0,0,3)Tα=的秩与其极大线性无关组。
5设向量组:A 1(4,1,5,6)T α=---,2(1,3,4,7)T α=---,3(1,2,1,3)Tα=,4(2,1,1,0)T α=-.(1)求向量组A 的秩,并判断其线性相关性;(2)求向量组A 的一个最大线性无关组.第三章 矩阵和向量的应用1.齐次线性方程组⎩⎨⎧=+=+004231x x x x 的基础解系含( )个线性无关的解向量:(A )1 (B )2 (C )3 (D )42. 当k 为多少时,方程0020kx y z x ky z x y z ++=⎧⎪+-=⎨⎪-+=⎩仅有零解?3. 设A 为n m ⨯ 矩阵,则齐次线性方程组0=AX 仅有零解的充分条件是( ) (A )A 的列向量组线性无关 (B )A 的列向量组线性相关 (C )A 的行向量组线性无关 (D )A 的行向量组线性相关4. 求矩阵421201110A⎛⎫⎪=--⎪⎪⎝⎭的特征值与特征向量。
2021-2022学年福建省福州三中高三(上)第四次质检数学试卷一、单选题(本大题共8小题,共40.0分)1.已知全集U=R,集合A={x|lg(x+1)≤0},B={x|x<1},则∁U(A∩B)=()A. (−∞,0]B. (0,+∞)C. (−∞,−1]∪(0,+∞)D. (−1,0]2.设i为虚数单位,a∈R,“复数z=a22+i20211−i是纯虚数”是“a=1”的()A. 充分而不必要条件B. 必要而不充分条件C. 充分必要条件D. 既不充分也不必要条件3.已知sin(α+π3)=45,则cos(α−π6)=()A. −45B. −35C. 45D. 354.已知a=20.1,b=0.50.5,c=log84,则()A. a>b>cB. c>a>bC. a>c>bD. c>b>a5.已知三棱柱ABC−A1B1C1的侧棱垂直于底面,各顶点都在同一球面上,若该棱柱的体积为√3,AB=2,AC=1,∠BAC=60°,则此球的表面积是()A. 2πB. 4πC. 8πD. 10π6.为了衡量星星的明暗程度,古希腊天文学家喜帕恰斯在公元前二世纪首先提出了“星等”这个概念.星等的数值越小,星星就越亮,星等的数值越大它的光就越暗.到了1850年,由于光度计在天体光度测量的应用,英国天文学家普森又提出了亮度的概念,天体的明暗程度可以用星等或亮度来描述.两颗星的星等与亮度满足m1−m2=2.5(lgE2−lgE1),其中星等为m k的星的亮度为E k(k=1,2).已知“心宿二”的星等是1.00,“天津四”的星等是1.25,则“心宿二”的亮度大约是“天津四”的()倍.(当|x|较小时,10x≈1+2.3x+2.7x2)A. 1.27B. 1.26C. 1.23D. 1.227.已知双曲线C:x2a2−y2b2=1(a>0,b>0)的左、右焦点分别为F1,F2,实轴长为4,点M在C的左支上,过点M作C的一条渐近线的垂线,垂足为N,则当|MF2|+|MN|取最小值12时,该双曲线的渐近线方程为()A. y =±14xB. y =±xC. y =±2xD. y =±4x8. 已知在等差数列{a n }中,a 2=3,a 6=11,数列{b n }的通项b n =log a (1+1a n)(a >1),s n 是数列{b n }的前n 项和,若T n =log a √a n +1,则S n 与T n 的大小关系是( )A. S n ≥T nB. S n >T nC. S n <T nD. S n ≤T n二、多选题(本大题共4小题,共20.0分)9. 已知函数f(x)是定义在(−∞,0)∪(0,+∞)上的偶函数,当x ∈(0,+∞)时,f(x)=−x −1,若f(a)f(−a)=4,则实数a 的值可为( )A. −3B. −1C. 1D. 310. 下列命题正确的是( )A. O 为△ABC 内一点,且OA ⃗⃗⃗⃗⃗ +OB ⃗⃗⃗⃗⃗⃗ +OC ⃗⃗⃗⃗⃗ =0⃗ ,则O 为△ABC 的重心 B. (x 2−2x 3)5展开式中的常数项为40C. 命题“对任意x ∈R ,都有x 2≥0”的否定为:存在x 0∈R ,使得x 02<0D. 实数a ,b 满足a 2+b 2=1,则a +b 的最大值为111. 如图直角梯形ABCD ,AB//CD ,AB ⊥BC ,BC =CD =12AB =2,E 为AB 中点,以DE 为折痕把△ADE折起,使点A 到达点P 的位置,且PC =2√3.则( )A. 平面PED ⊥平面EBCDB. PC ⊥EDC. 二面角P −DC −B 的大小为π4 D. PC 与平面PED 所成角的正切值为√212. 寿山石是福州特有的名贵石材,某寿山石的截面可近似看成由半圆和半椭圆组成,如图所示,在平面直角坐标系,半圆的圆心在坐标原点,半圆所在的圆过椭圆的右焦点F(3,0),椭圆的短轴与半圆的直径重合.若直线y =t(t >0)与半圆交于点A ,与半椭圆交于点B ,则下列结论正确的是( )A. 椭圆的离心率是√22B. 线段AB长度的取值范围是(0,3+3√2)C. △OAB的周长存在最大值D. △ABF面积的最大值是94(√2+1)三、单空题(本大题共4小题,共20.0分)13.已知直线l1:2x−3y+4=0,l2:ax−32y−1+2a=0且l1//l2,则两直线之间的距离为______.14.抛物线y=ax2(a>0)上一点A(m,2)到焦点的距离为3,则a=______.15.袋中装有大小相同的1个白球和2个黑球,现分两步从中摸球:第一步从袋中随机摸取2个球后全部放回袋中(若摸得白球,则涂成黑球,若摸得黑球,则不变色);第二步再从袋中随机摸取2个球.记第二步所摸取的2个球中白球的个数为ξ,则P(ξ=0)=______ ;E(ξ)=______ .16.设函数f(x)与g(x)是定义在同一区间[a,b]上的两个函数,若对任意的x∈[a,b],都有|f(x)−g(x)|<1,则称f(x)与g(x)在[a,b]上是“密切函数”,区间[a,b]称为“密切区间”.设函数f(x)=lnx−12x与g(x)=12x−2t在[1e,e]上是“密切函数”,则实数t的取值范围是______.四、解答题(本大题共6小题,共70.0分)17.在△ABC中,角A,B,C的对边分别为a,b,c,已知acosB=(4c−b)cosA.(1)求sinA;(2)若a=2,sinC=√158,求△ABC的面积.18.已知数列{a n}的前n项和为S n,a1=3,在①a n+1=2S n+3(n∈N∗);②S n=3 2(3n−1)(n∈N∗);③13a1+132a2+133a3+⋯+13na n=n(n∈N∗),这三个条件中任选一个,解答下列问题.(1)求出数列{a n}的通项公式;(2)若设b n=log3a2n−1,数列{1b n b n+1}的前n项和为T n,证明:T n<12.19.如图,在三棱柱ABC−A1B1C1中,B1C1⊥平面AA1C1C,D是AA1的中点,△ACD是边长为1的等边三角形.(1)证明:CD⊥B1D;(2)若BC=√3,求二面角B−C1D−B1的大小.20.近年我国科技成果斐然,其中北斗三号全球卫星导航系统于2020年7月31日正式开通.北斗三号全球卫星导航系统由24颗中圆地球轨道卫星、3颗地球静止轨道卫星和3颗倾斜地球同步轨道卫星,共30颗卫星组成.北斗三号全球卫星导航系统全球范围定位优于10米,实测的导航定位精度都是2∼3米,全球服务可用性99%,亚太地区性能更优.(1)南美地区某城市通过对1000辆家用汽车进行定位测试,发现定位精确度X近似满足X∼N(52,14),预估该地区某辆家用汽车导航精确度在[1,3]的概率;(2)①某日北京、上海、拉萨、巴黎、里约5个基地同时独立随机选取1颗卫星进行信号分析,选取的5颗卫星中含中圆地球轨道卫星的数目记为ξ,求ξ的数学期望;②某地基站工作人员30颗卫星中随机选取4颗卫星进行信号分析,记Y为选取的4颗卫星中含倾斜地球同步轨道卫星的数目,求Y的分布列和数学期望.附:若X∼N(μ,σ2),则P(μ−σ≤X≤μ+σ)≈0.6827,P(μ−2σ≤X≤μ+2σ)≈0.9545,P(μ−3σ≤X≤μ+3σ)≈0.9973.21.已知椭圆C:x2a2+y2b2=1(a>b>0)的一个焦点为(1,0),F1,F2为椭圆的左、右焦点,M为椭圆上任意一点,三角形MF1F2面积的最大值为1.(1)求椭圆C的标准方程;(2)设不过原点的直线l:y=kx+m与椭圆C交于A、B两点,若直线l的斜率的平方是直线OA、OB斜率之积,求三角形OAB面积的取值范围.22.已知函数f(x)=ae x+bcosx+12x2+1(其中a,b为实数)的图象在点(0,f(0))处的切线方程为y=x+1.(1)求实数a,b的值;(2)求函数g(x)=f′(x)−3x的单调区间;x3+2λx2+x恒成立,求实数λ的取值范围.(3)若对任意的x∈R,不等式xf(x)≥32答案和解析1.【答案】C【解析】解:∵lg(x+1)≤0,∴0<x+1≤1,∴−1<x≤0,∴A={x|−1<x≤0},又B={x|x<1},∴A∩B={x|−1<x≤0},∴∁U(A∩B)={x|x≤−1或x>0},故选:C.先解对数不等式求出集合A,再根据集合的运算性质,求解即可.本题主要考查了交、补集的混合运算,比较基础.2.【答案】B【解析】解:复数z=a22+i20211−i=a22+i1−i=a22+−1+i2=a2−12+i2是纯虚数,则a2=1,a=±1,所以a=±1是a=1的必要不充分条件,故选:B.先化简z,求出a,根据充分必要条件的定义再判断即可.考查了复数的运算及其定义,充分必要条件的判断,属于基础题.3.【答案】C【解析】【分析】本题考查利用诱导公式求值,属于基础题.利用诱导公式即可得出.【解答】解:cos(α−π6)=cos(π6−α)=sin[π2−(π6−α)]=sin(π3+α)=45,故选C.4.【答案】A【解析】解:b =(12)0.5=2−0.5<20=1<20.1,∴a >1>b >0, c =log 84=23,∵b =(12)0.5=√22>23,∴b >c , ∴a >b >c , 故选:A .利用对数函数和指数函数的性质求解.本题考查三个数的大小的求法,是基础题,解题时要认真审题,注意对数函数和指数函数的性质的合理运用.5.【答案】C【解析】解:∵三棱柱ABC −A 1B 1C 1的侧棱垂直于底面,棱柱的体积为√3,AB =2,AC =1,∠BAC =60°,∴12×2×1×sin60°×AA1=√3,∴AA 1=2∵BC 2=AB 2+AC 2−2AB ⋅ACcos60°=4+1−2,∴BC =√3. 设△ABC 外接圆的半径为R ,则BCsin600=2R ,∴R =1.∴外接球的半径为√1+1=√2,∴球的表面积等于4π×(√2)2=8π. 故选:C .利用三棱柱ABC −A 1B 1C 1的侧棱垂直于底面,棱柱的体积为√3,AB =2,AC =1,∠BAC =60°,求出AA 1,再求出△ABC 外接圆的半径,即可求得球的半径,从而可求球的表面积.本题考查球的表面积,考查棱柱的体积,考查学生的计算能力,属于基础题6.【答案】B【解析】解:由题意可得,1−1.25=2.5(lgE 2−lgE 1),lg E1E 2=0.1,故E1E 2=100.1≈1+2.3×0.1+2.7×0.12=1.257≈1.26. 故选:B .将已知数据代入公式计算E 1E 2,即可求解.本题考查了函数的实际应用,以及计算能力,属于基础题.7.【答案】D【解析】解:根据双曲线的对称性,仅做一条渐近线, ∵实轴长为4,∴2a =4,由双曲线的定义可知,|MF 2|−|MF 1|=4 MF 2|+|MN|=|MF 1|+|MN|+4≥|F 1N|+4, 当且仅当点F 1,M ,N 三点共线时,等号成立, 如图,∵渐近线方程为y =ba x ,即bx −ay =0,且F(−c,0), ∴此时|F 1N|=√a 2+b 2=bc c=b ,∴|MF 2|+|MN|的最小值为b +4, ∴b +4=12,∴b =8, ∴渐近线方程为y =±ba x =±4x , 故选:D .根据题意画出图形,得出当点F 1,M ,N 三点共线时有最小值,求出b 的值,即可得渐近线方程.本题考查双曲线的性质,属于中档题.8.【答案】B【解析】解:在等差数列{a n }中,由a 2=3,a 6=11,可得公差d =11−36−2=2,∴a n =a 2+(n −2)⋅d =2n −1,∵b n =log a (1+1a n)(a >1),∴b n =log a (1+12n−1)=log a2n2n−1,故数列{b n }的前n 项和s n =log a (21⋅43⋅65⋅ (2)2n−1), T n =log a √a n +1=log a √2n , 令A =21⋅43⋅65⋅ (2)2n−1,B =32⋅54⋅76⋅...⋅2n+12n,∵A >B ,∴A 2>AB =2n +1, ∴A >√2n +1>√2n , 则S n >T n . 故选:B .依题意可得b n =log a (1+12n−1)=log a 2n2n−1,s n =log a (21⋅43⋅65⋅ (2)2n−1),令A =21⋅43⋅65⋅...⋅2n 2n−1,B =32⋅54⋅76⋅...⋅2n+12n,可得A 2>AB =2n +1,A >√2n +1>√2n ,即可求解.本题考查了数列的递推式,考查了转化思想、计算能力,属于难题.9.【答案】BC【解析】解:由函数f(x)是定义在(−∞,0)∪(0,+∞)上的偶函数, 可得f(−x)=f(x),若f(a)f(−a)=4,即为[f(a)]2=4, 即f(a)=2或f(a)=−2,又当x ∈(0,+∞)时,f(x)=−x −1,当a >0时,f(a)=−a −1=2或−a −1=−2, 解得a =1或−3(舍去),当a <0时,f(a)=f(−a)=a −1=2或a −1=−2, 解得a =−1或3(舍去), 综上可得,a =−1或1. 故选:BC .由偶函数的定义和已知函数的解析式,讨论a >0,a <0,可得a 的方程,解方程可得所求值.本题考查函数的奇偶性的定义和运用,考查分类讨论思想和运算能力,属于基础题.10.【答案】ABC【解析】解:选项A :取线段AB 的中点M ,则OA ⃗⃗⃗⃗⃗ +OB ⃗⃗⃗⃗⃗⃗ =2OM ⃗⃗⃗⃗⃗⃗⃗ , ∴OA⃗⃗⃗⃗⃗ +OB ⃗⃗⃗⃗⃗⃗ +OC ⃗⃗⃗⃗⃗ =2OM ⃗⃗⃗⃗⃗⃗⃗ +OC ⃗⃗⃗⃗⃗ =0⃗ , 所以点O 为三角形ABC 的重心,故选项A 正确;选项B :展开式的第r +1项为C 5r (x 2)5−r(−2)r (x −3)r ,当展开式为常数项时r =2, 此时C 52(−2)2=40,故选项B 正确;选项C :含有全称量词的否定要将全称量词修改为存在量词,故选项C 正确; 选项D :实数a ,b 满足a 2+b 2=1,则a+b 2≤√a2+b 22,∴a +b ≤√2,故选项D 不正确; 故选:ABC .对选项进行逐个分析,依据原则即可判断出答案.本题考查了概念的理解,向量的加减法,二项式定理,命题以及不等式,属于基础题.11.【答案】AC【解析】解:直角梯形ABCD ,AB//CD ,AB ⊥BC ,BC =CD =12AB =2,E 为AB 中点, 以DE 为折痕把△ADE 折起,使点A 到达点P 的位置,且PC =2√3. 在A 中,四边形EBCD 是边长为2的正方形,PE =2,∴PE ⊥DE ,CE =√22+22=2√2,∴PE 2+CE 2=PC 2,∴PE ⊥CE , ∵DE ∩CE =E ,∴PE ⊥平面EBCD ,∵PE ⊂平面PED ,∴平面PED ⊥平面EBCD ,故A 正确;在B 中,∵DE//BC ,BC ⊥PB ,∴BC 与PC 不垂直,∴PC 与ED 不垂直,故B 错误; 在C 中,∵BE ⊥PE ,BE ⊥DE ,PE ∩DE =E , ∴BE ⊥平面PDE ,∵BE//CD ,∴CD ⊥平面PDE , ∴∠PDE 是二面角P −DC −B 的平面角, ∵PE ⊥平面BCD ,PE =DE ,∴∠PDE =π4, ∴二面角P −DC −B 的大小为π4,故C 正确;在D 中,∵CD ⊥平面PDE ,∴∠CPD 是PC 与平面PED 所成角,PD=√PC2−CD2=√(2√3)2−22=2√2,∴PC与平面PED所成角的正切值为tan∠CPD=CDPD =2√2=√22,故D错误.故选:AC.在A中,四边形EBCD是边长为2的正方形,PE=2,推导出PE⊥DE,PE⊥CE,从而PE⊥平面EBCD,进而平面PED⊥平面EBCD;在B中,由DE//BC,BC⊥PB,得BC与PC不垂直,从而PC与ED不垂直;在C中,推导出BE⊥平面PDE,BE//CD,从而CD⊥平面PDE,进而∠PDE是二面角P−DC−B的平面角,进而求出二面角P−DC−B的大小为π4;在D中,PC与平面PED所成角的正切值为tan∠CPD=CDPD=2√2=√22.本题考查命题真假的判断,考查空间中线线、线面、面面间的位置关系等基础知识,考查运算求解能力以及化归与转化思想,是中档题.12.【答案】ABD【解析】解:由题意可得,半圆的方程为x2+y2=9(x≤0),设椭圆的方程为x2a2+y2b2=1(a>b>0,x≥0),所以b=3,c=3,则a2=18,所以椭圆的方程为x218+y29=1(x≥0),对于A,椭圆的离心率为e=ca =3√2=√22,故选项A正确;对于B,当t→0时,|AB|→3+3√2,当t→3,|AB|→0,故线段AB长度的取值范围为(0,3+3√2),故选项B正确;对于C,△OAB的周长为|OA|+|OB|+|AB|=3+(√2+1)√9−t2+√18−t2,所以当t=0时,周长最大,但是t不能取到0,则△OAB的周长不存在最大值,故选项C错误.对于D,由题意可得,△ABF的面积S=12|AB|t,设A(x1,t),则x12+t2=9,所以x1=−√9−t2(0<t<3),设B(x2,t),则x2218+t29=1,解得x2=√18−2t2,所以|AB|=√9−t2+√18−2t2,故S=12×(√9−t2+√18−2t2)t=√2+12√(9−t2)t2≤√2+12⋅√814=94(√2+1),当且仅当t=3√22时取等号,故选项D正确.故选:ABD.先求出半圆和半椭圆的方程,求解椭圆的离心率即可判断选项A,由极限思想求出线段AB的取值范围,即可判断选项B,表示出△OAB的周长,分析即可判断选项C,表示出△ABF的面积,利用基本不等式求解最值,即可判断选项D.本题以命题的真假判断为载体,考查了圆与椭圆的综合应用,椭圆的几何性质的应用,三角形面积和周长的求解,利用基本不等式求解最值的应用,考查了逻辑推理能力与化简运算能力,属于中档题.13.【答案】2√1313【解析】解:直线l1:2x−3y+4=0,l2:ax−32y−1+2a=0且l1//l2,可得a=1,根据直线l1:2x−3y+4=0,l2:2x−3y+2=0的距离相等,d=√22+(−3)2=2√1313.故答案为:2√1313.利用两平行线间的距离公式,求得a的值,然后求解平行线之间的距离.本题主要考查两平行线间的距离公式的应用,要注意先把两直线的方程中x,y的系数化为相同的,然后才能用两平行线间的距离公式,是基础题.14.【答案】14【解析】解:当a>0时,开口向上,准线方程为y=−14a,根据抛物线的定义得:点A到准线的距离为2+14a=3,求得a=14,故答案为:14.由抛物线的定义即可解决.本题考查抛物线的定义,属于容易题.15.【答案】79 29【解析】解:ξ的所有值可能为1,0, P(ξ=1)=C 22C 32⋅C 11C 21C 32=29,∴P(ξ=0)=1−P(ξ=1)=79,E(ξ)=1×29+0×79=29. 故答案为:79,29.ξ的所有值可能为1,0,并计算相应的概率,然后简单计算即可.本题考查概率、离散型随机变量的分布列、数学期望的求法,考查古典概型等基础知识,考查运算求解能力,是基础题.16.【答案】[e−22,1]【解析】解:因为函数f(x)=lnx −12x 与g(x)=12x −2t 在[1e ,e]上是“密切函数”, 所以对任意的x ∈[1e ,e]都有|f(x)−g(x)|≤1, 即有|lnx −12x −12x +2t|≤1, 所以|lnx −x +2t|≤1,所以−2t −1≤lnx −x ≤1−2t , 令ℎ(x)=lnx −x ,x ∈[1e ,e], ℎ′(x)=1x −1=1−x x,所以当x ∈(1e ,1)时,ℎ′(x)>0,ℎ(x)单调递增, 当x ∈(1,e)时,ℎ′(x)<0,ℎ(x)单调递减,所以ℎ(x)max =ℎ(1)=−1,ℎ(1e )=ln 1e −1e =−1−1e ,ℎ(e)=lne −e =1−e ,所以ℎ(x)min=1−e,所以−2t−1≤1−e且−1≤1−2t,所以e−22≤t≤1,所以实数t的取值范围为[e−22,1].故答案为:[e−22,1].根据题意可得对任意的x∈[1e ,e]都有|f(x)−g(x)|≤1,即有|lnx−12x−12x+2t|≤1,则−2t−1≤lnx−x≤1−2t,令ℎ(x)=lnx−x,x∈[1e,e],只需−2t−1≤ℎ(x)min,1−2t≥ℎ(x)max,即可得出答案.本题考查导数的综合应用,解题中需要理清思路,属于中档题.17.【答案】解:(1)∵acosB=(4c−b)cosA,∴由正弦定理得:sinAcosB=(4sinC−sinB)cosA,∴sinAcosB+sinBcosA=4sinCcosA,可得sinC=4sinCcosA,∵在△ABC中,sinC≠0,∴cosA=14,∴0<A<π2,∴sinA>0,∴sinA=√1−cos2A=√154;(2)由正弦定理可得csinC =asinA,即c=2×√158√154=1,∵sinC=√158,c<a,∴cosC=78,∴sinB=sin(A+C)=sinAcosC+cosAsinC=√154×78+14×√158=√154,∴S△ABC=12acsinB=12×2×1×√154=√154.【解析】(1)由正弦定理,两角和的正弦函数公式,三角形内角和定理化简已知等式可得sinC=3sinCcosA,结合sinC≠0,可求cosA的值,即可求出sinA的值;(2)根据正弦定理求出c=1,再根据两角和的正弦公式可得sinB,根据面积公式计算即可.本题主要考查了正弦定理,两角和的正弦函数公式,三角形内角和定理,三角形的面积公式在解三角形中的综合应用,考查了计算能力和转化思想,属于中档题.18.【答案】解:(1)若选条件①,当n≥2时,a n+1=2S n+3(n∈N∗)①,a n=2S n−1+ 3(n∈N∗)②,则由①−②得a n+1−a n=2a n即a n+1=3a n(n≥2),所以数列{a n}为从第2项开始的等比数列,且公比为3.又a1=3,当n=1时,a2=2a1+3=9,符合a n+1=3a n,所以数列{a n}的通项公式为a n=3n.若选条件②,当n≥2时,a n=S n−S n−1=32(3n−1)−32(3n−1−1)=32(3n−3n−1)=3n.当n=1时也成立,所以数列{a n}的通项公式为a n=3n.若选条件③,当n≥2时,32(3n−1)(n∈N∗);③13a1+132a2+133a3+⋯+13na n=n(n∈N∗)①,1 3a1+132a2+133a3+⋯+13n−1a n−1=n−1②,①−②得13na n=n−(n−1)=1,即a n=3n(n≥2).当n=1时也成立,所以数列{a n}的通项公式为a n=3n.(2)证明:由(1)知,b n=log3a2n−1=log332n−1=2n−1,于是可得:1b n b n+1=1(2n−1)(2n+1)=12(12n−1−12n+1),所以T n=12(1−13)+12(13−15)+⋯+12(12n−1−12n+1)=12(1−12n+1)<12.【解析】(1)利用a n=S n−S n−1(n≥2)求得a n的递推关系,求出a n=3n(n≥2),验证当n=1时是否符合通项公式即可求解;(2)由(1)知b n=log3a2n−1=log332n−1=2n−1,可得1b n b n+1=1(2n−1)(2n+1)=12(12n−1−12n+1),再利用裂项相消法求出T n,最后由放缩法得出证明.本题考查等比数列、裂项相消法求和,考查学生的逻辑思维能力和运算能力,属中档题.19.【答案】(1)证明:∵△ACD是边长为1的等边三角形,∴∠ADC=60°,∠DA1C1=120°,∵D 是AA 1的中点,∴AD =A 1D =A 1C 1,即△A 1C 1D 是等腰三角形, ∴∠A 1DC 1=30°,从而∠CDC 1=90°,即CD ⊥C 1D . ∵B 1C 1⊥平面AA 1C 1C ,且CD ⊂平面AA 1C 1C , ∴B 1C 1⊥CD ,又B 1C 1∩C 1D =C 1,B 1C 1⊂平面B 1C 1D ,C 1D ⊂平面B 1C 1D , ∴CD ⊥平面B 1C 1D , ∵B 1D ⊂平面B 1C 1D , ∴CD ⊥B 1D .(2)解:连接CA 1,∵CD =12AA 1,∴AC ⊥CA 1.以C 为原点,CA 、CA 1、CB 所在的直线分别为x 、y 、z 轴建立如图所示的空间直角坐标系,则C(0,0,0),B(0,0,√3),C 1(−1,√3,0),D(12,√32,0),B 1(−1,√3,√3),∴BC 1⃗⃗⃗⃗⃗⃗⃗ =(−1,√3,−√3),C 1D ⃗⃗⃗⃗⃗⃗⃗ =(32,−√32,0),B 1D ⃗⃗⃗⃗⃗⃗⃗⃗ =(32,−√32,−√3). 设平面BDC 1的法向量为m ⃗⃗⃗ =(x,y,z),则{m ⃗⃗⃗ ⋅BC 1⃗⃗⃗⃗⃗⃗⃗ =0m ⃗⃗⃗ ⋅C 1D ⃗⃗⃗⃗⃗⃗⃗ =0,即{−x +√3y −√3z =032x −√32y =0, 令x =√3,则y =3,z =2,∴m ⃗⃗⃗ =(√3,3,2),由(1)知,平面B 1C 1D 的一个法向量为n ⃗ =2CD ⃗⃗⃗⃗⃗ =(1,√3,0), ∴cos <m ⃗⃗⃗ ,n ⃗ >=m ⃗⃗⃗ ⋅n ⃗⃗ |m ⃗⃗⃗ |⋅|n ⃗⃗ |=√3+3√3√3+9+4×2=√32, 由图可知,二面角B −C 1D −B 1为锐角, 故二面角B −C 1D −B 1的大小为30°.【解析】(1)由题意知,∠ADC =60°,∠DA 1C 1=120°,△A 1C 1D 是等腰三角形,可推出∠CDC 1=90°,即CD ⊥C 1D ;由B 1C 1⊥平面AA 1C 1C ,知B 1C 1⊥CD ,故CD ⊥平面B 1C 1D ,再由线面垂直的性质定理得证;(2)连接CA 1,由CD =12AA 1,知AC ⊥CA 1,以C 为原点,CA 、CA 1、CB 所在的直线分别为x 、y 、z 轴建立空间直角坐标系,根据法向量的性质求得平面BDC 1的法向量m ⃗⃗⃗ ,由(1)知,平面B 1C 1D 的一个法向量为n ⃗ =2CD ⃗⃗⃗⃗⃗ ,再由cos <m ⃗⃗⃗ ,n ⃗ >=m ⃗⃗⃗ ⋅n ⃗⃗|m ⃗⃗⃗ |⋅|n ⃗⃗ |,即可得解. 本题考查空间中线与面的垂直关系、二面角的求法,熟练掌握线面垂直的判定定理与性质定理,以及利用空间向量处理二面角的方法是解题的关键,考查学生的空间立体感、逻辑推理能力和运算能力,属于中档题.20.【答案】解:(1)由X ~N(52,14),易知p(1≤x ≤3)=p(μ−3σ≤X ≤μ+σ)=0.6827+0.9973−0.68272=0.6827+0.1573=0.84,则预估该地区某辆家用汽车导航精确度在[1,3]的概率为0.84;(2)①5个基地相互独立,每个基地随机选取的1颗卫星是中圆地球轨道卫星的概率为2430=45, 5个基地选取的5颗卫星中含中圆地球轨道卫星的数目记为ξ~B(5,45), ∴E(ξ)=np =5×45=4,②由题意知Y ~H(4,3,30), P(Y =i)=C 3i C 274−iC 304(i =0,1,2,3),∴Y 的分布列为,∴E(Y)=0×130203+1×65203+2×391015+3×11015=25.【解析】(1)根据”3σ“原则以及图形的对称性即可求解; (2)①由题意可得ξ服从二项分布,利用公式即可求解; ②Y 服从超几何分布,利用公式即可求解.本题考查了正态分布,超几何分布,二项分布,考查了运算求解能力,考查了数学运算的核心素养,属于中档题.21.【答案】解:(1)由椭圆C :x 2a 2+y2b 2=1(a >b >0)的一个焦点为(1,0),得c =1, 当点M 为椭圆的短轴端点时,△MF 1F 2面积最大,此时S =12×2c ×b =1, ∴b =1,则a 2=b 2+c 2=2, ∴椭圆的方程为x 22+y 2=1;(2)联立{y =kx +m x 22+y 2=1,得(1+2k 2)x 2+4kmx +2m 2−2=0,由Δ=16k 2m 2−4(2k 2+1)(2m 2−2)=8(2k 2−m 2+1)>0,得1+2k 2>m 2(∗) 设A(x 1,y 1),B(x 2,y 2), 则x 1+x 2=−4km2k 2+1,x 1x 2=2m 2−22k 2+1,∵直线l 的斜率的平方是直线OA 、OB 斜率之积,即k OA ⋅k OB =k 2, ∴y 1y2x 1x 2=k 2,则(kx 1+m)(kx 2+m)x 1x 2=k 2,∴km(x 1+x 2)+m 2=0,即m 2−4k 2m 22k 2+1=0,又m ≠0,∴k 2=12,代入(∗),得0<m 2<2. 又m ≠0且m 2≠1, ∴0<m 2<2且m 2≠1,∴|AB|=√1+k 2⋅√(x 1+x 2)2−4x 1x 2=√1+12⋅√2m 2−4m 2+4=√3⋅√2−m 2.设点O 到直线AB 的距离为d ,则d =√1+k 2=√63|m|, ∴S △OAB =12×√3×√2−m 2×√63|m|=√22√−(m 2−1)2+1.∴0<S △OAB <√22. ∴△OAB 面积的取值范围(0,√22).【解析】本题考查椭圆方程的求法,考查椭圆的简单几何性质,直线与椭圆的位置关系,韦达定理,点到直线的距离公式,考查计算能力,属于较难题.(1)由已知得c =1,当点M 为椭圆的短轴端点时,△MF 1F 2面积最大,此时S =12×2c ×b =1,结合a 2=b 2+c 2,即可求得椭圆的标准方程;(2)将直线方程代入椭圆方程,由韦达定理,直线l 的斜率的平方是直线OA 、OB 斜率之积,m ≠0,由弦长公式求得丨AB 丨,再由点到直线的距离公式求点O 到直线AB 的距离d ,代入三角形的面积公式,即可求得△AOB 面积的取值范围.22.【答案】解:(1)函数f(x)=ae x +bcosx +12x 2+1,则f′(x)=ae x −bsinx +x ,因为f(x)的图象在点(0,f(0))处的切线方程y =x +1, 则{f(0)=a +b +1f′(0)=a =1,解得a =1,b =−1. (2)由(1)可知,f(x)=e x −cosx +12x 2+1,则函数g(x)=f′(x)−3x =e x +sinx −2x , 所以g′(x)=e x +cosx −2,令ℎ(x)=g′(x),则ℎ′(x)=e x −sinx , ①当x <0时,由e x −2<−1, −1≤cosx ≤1,则g′(x)=e x +cosx −2<0, 所以g(x)在(−∞,0)上单调递减, ②当x ≥0时,由e x ≥1, −1≤−sinx ≤1, 则ℎ′(x)=e x −sinx >0, 所以g′(x)在[0,+∞)上单调递增, 故g′(x)≥g′(0)=0, 则g(x)在[0,+∞)上单调递增,综上所述,g(x)在(−∞,0)上单调递减,在[0,+∞)上单调递增. (3)对x 分情况讨论如下:①当x =0时,对任意的λ∈R ,不等式xf(x)≥32x 3+2λx 2+x 恒成立, ②当x >0时,不等式xf(x)≥32x 3+2λx 2+x 等价于e x −cosx +12x 2+1≥32x 2+2λx +1,即e x −x 2−2λx −cosx ≥0, 令G(x)=e x −x 2−2λx −cosx ,第21页,共22页 则G′(x)=e x −2x +sinx −2λ=g(x)−2λ,当λ≤12时,由(2)可知,G′(x)=g(x)−2λ>g(0)−2λ−1−2λ≥0,所以G(x)单调递增,则G(x)>G(0)=0,满足题意,当λ>12时,由(2)可知,G′(x)=e x −2x +sinx −2λ=g(x)−2λ,在(0,+∞)上单调递增,因为e x ≥ex ,所以G′(x)=e x −2x +sinx −2λ>(e −2)x −1−2λ, 从而G′(1+2λe−2)>(e −2)⋅1+2λe−2−1−2λ=0,又G′(0)=1−2λ<0,所以存在唯一的实数x 0∈(0,1+2λe−2),使得G′(x 0)=0,当0<x <x 0时,G′(x)<0,则G(x)单调递减,所以当x ∈(0,x 0)时,G(x)<G(0)=0,不符合题意, ③当x <0时,不等式xf(x)≥32x 3+2λx 2+x 等价于e x −x 2−2λx −cosx ≤0, 同上,令G(x)=e x −x 2−2λx −cosx ,则G′(x)=e x −2x +sinx −2λ=g(x)−2λ,当λ≤12时,由(2)可知,G′(x)>0,所以G(x)单调递增,故G (x)<G(0)=0,满足题意,综上所述,λ的取值范围为(−∞,12].【解析】(1)求导得f′(x)=ae x −bsinx +x ,由f(x)的图象在点(0,f(0))处的切线方程y =x +1,则{f(0)=a +b +1f′(0)=a =1,解得a ,b . (2)f(x)=e x −cosx +12x 2+1,则函数g(x)=e x +sinx −2x ,进而可得g′(x)=e x +cosx −2,令ℎ(x)=g′(x),则ℎ′(x)=e x −sinx ,分别讨论①当x <0时,②当x ≥0时,g′(x)的正负,g(x)的单调性.(3)对x 分情况讨论:①当x =0时,对任意的λ∈R ,不等式xf(x)≥32x 3+2λx 2+x 恒成立,x3+2λx2+x等价于e x−x2−2λx−cosx≥0,令②当x>0时,不等式xf(x)≥32G(x)=e x−x2−2λx−cosx,只需G(x)min≥0,x3+2λx2+x等价于e x−x2−2λx−cosx≤0,令③当x<0时,不等式xf(x)≥32G(x)=e x−x2−2λx−cosx,只需G(x)min≥0,即可得出答案.本题考查导数的综合应用,解题中需要理清思路,属于中档题.第22页,共22页。
工程数学I第4【1】次作业本次作业是本门课程本学期的第4次作业,注释如下:一、单项选择题(只有一个选项正确,共6道小题)1.(A)(B)(C)(D)你选择的答案:未选择 [错误]正确答案:D解答参考:2.(A) 圆(B) 椭圆(C) 双曲线(D) 抛物线你选择的答案:未选择 [错误]正确答案:B解答参考:3.(A)|A|E(B) E(C) A*(D) 不能乘你选择的答案:未选择 [错误]正确答案:A解答参考:4. 设A、B、C同为n阶方阵,且满足ABC=E,则必有().(A) ACB =E(B) CBA =E(C) BCA = E(D) BAC =E你选择的答案:未选择 [错误]正确答案:C解答参考:5.(A)(B)(C)(D)你选择的答案:未选择 [错误]正确答案:C解答参考:6. 设n元齐次线性方程组的系数矩阵的秩r <N,则方程组(&NBSP;&NBSP;&NBSP;&NBSP;> </N,则方程组(&NBSP;&NBSP;&NBSP;&NBSP;>(A) 其基础解系可由r个解组成(B) 有r个解向量线性无关(C) 有n-r个解向量线性无关(D) 无解你选择的答案:未选择 [错误]正确答案:C解答参考:二、判断题(判断正误,共6道小题)7.你选择的答案:未选择 [错误]正确答案:说法正确解答参考:你选择的答案:未选择 [错误]正确答案:说法正确解答参考:9.你选择的答案:未选择 [错误]正确答案:说法错误解答参考:10.你选择的答案:未选择 [错误]正确答案:说法错误解答参考:11.你选择的答案:未选择 [错误]正确答案:说法错误解答参考:12.你选择的答案:未选择 [错误]正确答案:说法正确解答参考:(注意:若有主观题目,请按照题目,离线完成,完成后纸质上交学习中心,记录成绩。
在线只需提交客观题答案。
工程数学作业3参考答案工程数学作业3参考答案在工程数学中,作业是帮助学生巩固所学知识的重要环节。
作业3是一个综合性较强的作业,涉及到多个概念和技巧。
本文将为大家提供一份参考答案,帮助大家更好地理解和掌握工程数学的相关内容。
1. 题目一:求解微分方程给定微分方程 dy/dx = 2x,求解其通解。
解答:首先将方程分离变量,得到 dy = 2x dx。
然后对两边同时积分,得到∫dy = ∫2x dx。
对右边进行积分,得到 y = x^2 + C,其中C为常数。
所以方程的通解为 y = x^2 + C。
2. 题目二:求解线性方程组给定线性方程组:2x + 3y = 54x + 6y = 10求解该线性方程组的解。
解答:首先将方程组写成增广矩阵的形式:[2 3 | 5][4 6 | 10]然后对增广矩阵进行行变换,目标是将矩阵化简为上三角形式。
通过第一行乘以2再减去第二行,得到新的矩阵:[2 3 | 5][0 0 | 0]由于第二行全为0,说明该线性方程组有无穷多个解。
我们可以令x = t,其中t 为任意实数,然后代入第一行方程求解y。
所以该线性方程组的解为:x = ty = (5 - 2t)/33. 题目三:求解极限求极限 lim(x->0) [(sinx)/x]。
解答:将极限表达式化简为不定型,得到 lim(x->0) [(sinx)/x] = 1。
这是一个常见的极限结果,被称为正弦函数的极限。
4. 题目四:求解定积分求解定积分∫(0 to π/2) sinx dx。
解答:对于这个定积分,可以直接使用定积分的性质进行求解。
根据定积分的定义,我们有∫(0 to π/2) sinx dx = [-cosx] (0 to π/2) = -cos(π/2) - (-cos(0)) =-1 - (-1) = 0。
5. 题目五:求解常微分方程的特解给定常微分方程 y'' - 4y' + 4y = 0,求解其特解。
工程数学(1~3) 形成性考核册答案电大工程数学作业(一)答案(满分100分)第2章 矩阵(一) 单项选择题(每小题2分,共20分)⒈设a a a b b b c c c 1231231232=,则a a a a b a b a b c c c 123112233123232323---=(D ).A. 4B. -4C. 6D. -6⒉若0001000020011a a=,则a =(A ).A.12B. -1C. -12D. 1⒊乘积矩阵1124103521-⎡⎣⎢⎤⎦⎥-⎡⎣⎢⎤⎦⎥中元素c 23=(C ). A. 1 B. 7 C. 10 D. 8⒋设A B ,均为n 阶可逆矩阵,则下列运算关系正确的是( B ). A. A BA B +=+---111B. ()AB BA--=11C. ()A B AB+=+---111D. ()A B AB---=111⒌设A B ,均为n 阶方阵,k >0且k ≠1,则下列等式正确的是(D ). A. A B A B +=+ B. A B n A B = C. kA k A = D. -=-kA k A n() ⒍下列结论正确的是( A ). A. 若A 是正交矩阵,则A-1也是正交矩阵B. 若A B ,均为n 阶对称矩阵,则AB 也是对称矩阵C. 若A B ,均为n 阶非零矩阵,则AB 也是非零矩阵D. 若A B ,均为n 阶非零矩阵,则A B ≠0 ⒎矩阵1325⎡⎣⎢⎤⎦⎥的伴随矩阵为( C ).A. 1325--⎡⎣⎢⎤⎦⎥ B. --⎡⎣⎢⎤⎦⎥1325 C. 5321--⎡⎣⎢⎤⎦⎥ D. --⎡⎣⎢⎤⎦⎥5321 ⒏方阵A 可逆的充分必要条件是(B ).A.A ≠0B.A ≠0C. A *≠0D. A *>0 ⒐设A B C ,,均为n 阶可逆矩阵,则()ACB '=-1(D ). A. ()'---B A C 111 B. '--B C A 11 C. A C B ---'111() D. ()B C A ---'111⒑设A B C ,,均为n 阶可逆矩阵,则下列等式成立的是(A ). A. ()A B A AB B +=++2222 B. ()A B B BA B +=+2 C. ()221111ABC C B A ----= D. ()22A B C C B A '=''' (二)填空题(每小题2分,共20分)⒈210140001---= 7 . ⒉---11111111x 是关于x 的一个一次多项式,则该多项式一次项的系数是 2 . ⒊若A 为34⨯矩阵,B 为25⨯矩阵,切乘积A C B ''有意义,则C 为 5×4 矩阵.⒋二阶矩阵A =⎡⎣⎢⎤⎦⎥=11015⎥⎦⎤⎢⎣⎡1051. ⒌设A B =-⎡⎣⎢⎢⎢⎤⎦⎥⎥⎥=--⎡⎣⎢⎤⎦⎥124034120314,,则()A B +''=⎥⎦⎤⎢⎣⎡--815360⒍设A B ,均为3阶矩阵,且A B ==-3,则-=2A B 72 . ⒎设A B ,均为3阶矩阵,且A B =-=-13,,则-'=-312()A B -3 .⒏若A a =⎡⎣⎢⎤⎦⎥101为正交矩阵,则a = 0 . ⒐矩阵212402033--⎡⎣⎢⎢⎢⎤⎦⎥⎥⎥的秩为 2 . ⒑设A A 12,是两个可逆矩阵,则A O O A 121⎡⎣⎢⎤⎦⎥=-⎥⎦⎤⎢⎣⎡--1211A O O A . (三)解答题(每小题8分,共48分) ⒈设A B C =-⎡⎣⎢⎤⎦⎥=-⎡⎣⎢⎤⎦⎥=-⎡⎣⎢⎤⎦⎥123511435431,,,求⑴A B +;⑵A C +;⑶23A C +;⑷A B +5;⑸AB ;⑹()A B C '.答案:⎥⎦⎤⎢⎣⎡=+8130B A ⎥⎦⎤⎢⎣⎡=+4066C A ⎥⎦⎤⎢⎣⎡=+73161732C A ⎥⎦⎤⎢⎣⎡=+01222265B A ⎥⎦⎤⎢⎣⎡=122377AB ⎥⎦⎤⎢⎣⎡='801512156)(C AB⒉设A B C =--⎡⎣⎢⎤⎦⎥=-⎡⎣⎢⎤⎦⎥=--⎡⎣⎢⎢⎢⎤⎦⎥⎥⎥12101210321111432102,,,求AC BC +. 解:⎥⎦⎤⎢⎣⎡--=⎥⎥⎥⎦⎤⎢⎢⎢⎣⎡--⎥⎦⎤⎢⎣⎡=+=+10221046200123411102420)(C B A BC AC ⒊已知A B =-⎡⎣⎢⎢⎢⎤⎦⎥⎥⎥=-⎡⎣⎢⎢⎢⎤⎦⎥⎥⎥310121342102111211,,求满足方程32A X B -=中的X . 解: 32A X B -=∴ ⎥⎥⎥⎥⎥⎥⎦⎤⎢⎢⎢⎢⎢⎢⎣⎡--=⎥⎥⎥⎦⎤⎢⎢⎢⎣⎡--=-=252112712511234511725223821)3(21B A X ⒋写出4阶行列式102014360253311--中元素a a 4142,的代数余子式,并求其值.答案:035263420)1(1441=--=+a 4535631021)1(2442=---=+a ⒌用初等行变换求下列矩阵的逆矩阵:⑴ 122212221--⎡⎣⎢⎢⎢⎤⎦⎥⎥⎥; ⑵ 123423121111126---⎡⎣⎢⎢⎢⎢⎤⎦⎥⎥⎥⎥; ⑶ 1000110011101111⎡⎣⎢⎢⎢⎢⎤⎦⎥⎥⎥⎥. 解:(1)[]⎥⎥⎥⎥⎥⎥⎦⎤⎢⎢⎢⎢⎢⎢⎣⎡--−−−→−⎥⎥⎥⎥⎥⎥⎦⎤⎢⎢⎢⎢⎢⎢⎣⎡----−−→−⎥⎥⎥⎥⎥⎦⎤⎢⎢⎢⎢⎢⎣⎡------−−−→−⎥⎥⎥⎦⎤⎢⎢⎢⎣⎡------−−−→−⎥⎥⎥⎦⎤⎢⎢⎢⎣⎡--=+-+--+-++-+-919292929192929291100010001919292031320323110210201122120323190630201102012001360630221100010001122212221|2313323212312122913123222r r r r r r r r r r r r r r I A ⎥⎥⎥⎥⎥⎥⎦⎤⎢⎢⎢⎢⎢⎢⎣⎡--=∴-9192929291929292911A(2)⎥⎥⎥⎥⎦⎤⎢⎢⎢⎢⎣⎡--------=-35141201132051717266221A (过程略) (3) ⎥⎥⎥⎥⎦⎤⎢⎢⎢⎢⎣⎡---=-110110001100011A ⒍求矩阵101101111011001012101211321⎡⎣⎢⎢⎢⎢⎤⎦⎥⎥⎥⎥的秩. 解:⎥⎥⎥⎥⎦⎤⎢⎢⎢⎢⎣⎡----−−→−⎥⎥⎥⎥⎦⎤⎢⎢⎢⎢⎣⎡-----−−→−⎥⎥⎥⎥⎦⎤⎢⎢⎢⎢⎣⎡-------−−−→−⎥⎥⎥⎥⎦⎤⎢⎢⎢⎢⎣⎡+-+-+-+-+-0001110001110110110110101110111000111011011011011221110011100011101101101101102311210121010011011110110143424131212r r r r r r r r r r ∴3)(=A R(四)证明题(每小题4分,共12分) ⒎对任意方阵A ,试证A A +'是对称矩阵. 证明:'')''(')''(A A A A A A A A +=+=+=+∴ A A +'是对称矩阵⒏若A 是n 阶方阵,且A A I '=,试证A =1或-1. 证明: A 是n 阶方阵,且A A I '=∴ 12==='='I A A A A A∴A =1或1-=A⒐若A 是正交矩阵,试证'A 也是正交矩阵. 证明: A 是正交矩阵∴ A A '=-1∴ )()()(111''==='---A A A A即'A 是正交矩阵工程数学作业(第二次)(满分100分)第3章 线性方程组(一)单项选择题(每小题2分,共16分)⒈用消元法得x x x x x x 12323324102+-=+=-=⎧⎨⎪⎩⎪的解x x x 123⎡⎣⎢⎢⎢⎤⎦⎥⎥⎥为(C ).A. [,,]102-'B. [,,]--'722C. [,,]--'1122D. [,,]---'1122⒉线性方程组x x x x x x x 12313232326334++=-=-+=⎧⎨⎪⎩⎪(B ).A. 有无穷多解B. 有唯一解C. 无解D. 只有零解⒊向量组100010001121304⎡⎣⎢⎢⎢⎤⎦⎥⎥⎥⎡⎣⎢⎢⎢⎤⎦⎥⎥⎥⎡⎣⎢⎢⎢⎤⎦⎥⎥⎥⎡⎣⎢⎢⎢⎤⎦⎥⎥⎥⎡⎣⎢⎢⎢⎤⎦⎥⎥⎥,,,,的秩为( A ). A. 3 B. 2 C. 4 D. 5⒋设向量组为αααα12341100001110101111=⎡⎣⎢⎢⎢⎢⎤⎦⎥⎥⎥⎥=⎡⎣⎢⎢⎢⎢⎤⎦⎥⎥⎥⎥=⎡⎣⎢⎢⎢⎢⎤⎦⎥⎥⎥⎥=⎡⎣⎢⎢⎢⎢⎤⎦⎥⎥⎥⎥,,,,则(B )是极大无关组. A. αα12, B. ααα123,, C. ααα124,, D. α1⒌A 与A 分别代表一个线性方程组的系数矩阵和增广矩阵,若这个方程组无解,则(D ). A. 秩()A =秩()A B. 秩()A <秩()A C. 秩()A >秩()A D. 秩()A =秩()A -1⒍若某个线性方程组相应的齐次线性方程组只有零解,则该线性方程组(A ). A. 可能无解 B. 有唯一解 C. 有无穷多解 D. 无解 ⒎以下结论正确的是(D ).A. 方程个数小于未知量个数的线性方程组一定有解B. 方程个数等于未知量个数的线性方程组一定有唯一解C. 方程个数大于未知量个数的线性方程组一定有无穷多解D. 齐次线性方程组一定有解⒏若向量组ααα12,,, s 线性相关,则向量组内(A )可被该向量组内其余向量线性表出. A. 至少有一个向量 B. 没有一个向量 C. 至多有一个向量 D. 任何一个向量9.设A ,B为n 阶矩阵,λ既是A又是B的特征值,x 既是A又是B的属于λ的特征向量,则结论( )成立.A.λ是AB 的特征值 B.λ是A+B 的特征值C.λ是A -B 的特征值 D.x 是A+B 的属于λ的特征向量 10.设A,B,P为n 阶矩阵,若等式(C )成立,则称A和B相似. A.BA AB = B.AB AB =')( C.B PAP =-1D.B P PA ='(二)填空题(每小题2分,共16分)⒈当λ= 1 时,齐次线性方程组x x x x 121200+=+=⎧⎨⎩λ有非零解.⒉向量组[][]αα12000111==,,,,,线性 相关 .⒊向量组[][][][]123120100000,,,,,,,,,,,的秩是 3 . ⒋设齐次线性方程组ααα1122330x x x ++=的系数行列式ααα1230=,则这个方程组有 无穷多解,且系数列向量ααα123,,是线性 相关 的. ⒌向量组[][][]ααα123100100===,,,,,的极大线性无关组是21,αα.⒍向量组ααα12,,, s 的秩与矩阵[]ααα12,,, s的秩 相同 .⒎设线性方程组AX =0中有5个未知量,且秩()A =3,则其基础解系中线性无关的解向量有 2 个.⒏设线性方程组A X b =有解,X 0是它的一个特解,且AX =0的基础解系为X X 12,,则A X b =的通解为22110X k X k X ++.9.若λ是A的特征值,则λ是方程0=-A I λ 的根. 10.若矩阵A满足A A '=-1 ,则称A为正交矩阵. (三)解答题(第1小题9分,其余每小题11分) 1.用消元法解线性方程组x x x x x x x x x x x x x x x x 123412341234123432638502412432---=-++=-+-+=--+--=⎧⎨⎪⎪⎩⎪⎪解:⎥⎥⎥⎥⎦⎤⎢⎢⎢⎢⎣⎡-----−−→−⎥⎥⎥⎥⎦⎤⎢⎢⎢⎢⎣⎡---------−−−→−⎥⎥⎥⎥⎦⎤⎢⎢⎢⎢⎣⎡----------=+-+++++-2612109039270018871048231901843101850188710612312314112141205183612314132124131215323r r r r r r r r r r r r A ⎥⎥⎥⎥⎦⎤⎢⎢⎢⎢⎣⎡----−−−→−⎥⎥⎥⎥⎦⎤⎢⎢⎢⎢⎣⎡----−−→−⎥⎥⎥⎥⎦⎤⎢⎢⎢⎢⎣⎡----−−→−+-+-+---+3311411004615010124420011365004110018871048231901136500123300188710482319014323133434571931213r r r r r r r r r r ⎥⎥⎥⎥⎦⎤⎢⎢⎢⎢⎣⎡--−−−→−⎥⎥⎥⎥⎦⎤⎢⎢⎢⎢⎣⎡----−−→−++-+-310101001001020001314110046150101244200134241441542111r rr r r r r ∴方程组解为⎪⎪⎩⎪⎪⎨⎧-==-==31124321x x x x 2.设有线性方程组λλλλλ11111112⎡⎣⎢⎢⎢⎤⎦⎥⎥⎥⎡⎣⎢⎢⎢⎤⎦⎥⎥⎥=⎡⎣⎢⎢⎢⎤⎦⎥⎥⎥x y z λ 为何值时,方程组有唯一解?或有无穷多解?解:⎥⎥⎥⎦⎤⎢⎢⎢⎣⎡-+-+---−−→−⎥⎥⎥⎦⎤⎢⎢⎢⎣⎡------−−−→−⎥⎥⎥⎦⎤⎢⎢⎢⎣⎡−−→−⎥⎥⎥⎦⎤⎢⎢⎢⎣⎡=++-+-↔22322222)1)(1()1)(2(00)1(1111111011111111111111111132312131λλλλλλλλλλλλλλλλλλλλλλλλλλλλλλr r r r r r r r A ]∴ 当1≠λ且2-≠λ时,3)()(==A R A R ,方程组有唯一解当1=λ时,1)()(==A R A R ,方程组有无穷多解3.判断向量β能否由向量组ααα123,,线性表出,若能,写出一种表出方式.其中βααα=---⎡⎣⎢⎢⎢⎢⎤⎦⎥⎥⎥⎥=-⎡⎣⎢⎢⎢⎢⎤⎦⎥⎥⎥⎥=--⎡⎣⎢⎢⎢⎢⎤⎦⎥⎥⎥⎥=--⎡⎣⎢⎢⎢⎢⎤⎦⎥⎥⎥⎥83710271335025631123,,, 解:向量β能否由向量组321,,ααα线性表出,当且仅当方程组βααα=++332211x x x 有解这里 []⎥⎥⎥⎥⎦⎤⎢⎢⎢⎢⎣⎡--−→−⋯⋯⋯⋯−→−⎥⎥⎥⎥⎦⎤⎢⎢⎢⎢⎣⎡--------==5710117100041310730110123730136578532,,,321βαααA )()(A R A R ≠∴ 方程组无解∴ β不能由向量321,,ααα线性表出4.计算下列向量组的秩,并且(1)判断该向量组是否线性相关αααα1234112343789131303319636=-⎡⎣⎢⎢⎢⎢⎢⎢⎤⎦⎥⎥⎥⎥⎥⎥=-⎡⎣⎢⎢⎢⎢⎢⎢⎤⎦⎥⎥⎥⎥⎥⎥=----⎡⎣⎢⎢⎢⎢⎢⎢⎤⎦⎥⎥⎥⎥⎥⎥=⎡⎣⎢⎢⎢⎢⎢⎢⎤⎦⎥⎥⎥⎥⎥⎥,,, 解:[]⎥⎥⎥⎥⎥⎥⎦⎤⎢⎢⎢⎢⎢⎢⎣⎡-−→−⋯⋯⋯⋯−→−⎥⎥⎥⎥⎥⎥⎦⎤⎢⎢⎢⎢⎢⎢⎣⎡------=00000001800021101131631343393608293711131,,,4321αααα ∴该向量组线性相关5.求齐次线性方程组x x x x x x x x x x x x x x x 1234123412341243205230112503540-+-=-+-+=--+-=++=⎧⎨⎪⎪⎩⎪⎪ 的一个基础解系. 解:⎥⎥⎥⎥⎥⎦⎤⎢⎢⎢⎢⎢⎣⎡---−−−→−⎥⎥⎥⎥⎦⎤⎢⎢⎢⎢⎣⎡-------−−−→−⎥⎥⎥⎥⎦⎤⎢⎢⎢⎢⎣⎡-------=+-+-+-+-++30000073140211450110314731407314021314053521113215213142321241312114335r r r r r r r r r r r r A ⎥⎥⎥⎥⎥⎥⎦⎤⎢⎢⎢⎢⎢⎢⎣⎡-−−−→−⎥⎥⎥⎥⎥⎥⎦⎤⎢⎢⎢⎢⎢⎢⎣⎡--−→−⎥⎥⎥⎥⎥⎥⎦⎤⎢⎢⎢⎢⎢⎢⎣⎡--−−→−+-+↔-000100001431001450100010002114310211450100030002114310211450123133432212131141r r r r r r r r∴ 方程组的一般解为⎪⎪⎪⎩⎪⎪⎪⎨⎧==-=014314543231x x x x x 令13=x ,得基础解系 ⎥⎥⎥⎥⎥⎥⎦⎤⎢⎢⎢⎢⎢⎢⎣⎡-=10143145ξ 6.求下列线性方程组的全部解.x x x x x x x x x x x x x x x 12341234124123452311342594175361-+-=-+-+=----=++-=-⎧⎨⎪⎪⎩⎪⎪解:⎥⎥⎥⎥⎥⎦⎤⎢⎢⎢⎢⎢⎣⎡---−−−→−⎥⎥⎥⎥⎦⎤⎢⎢⎢⎢⎣⎡--------−−−→−⎥⎥⎥⎥⎦⎤⎢⎢⎢⎢⎣⎡----------=++-+-+-++00000002872140121790156144280287214028721401132511163517409152413113251423212413121214553r r r r r r r r r r r r A ⎥⎥⎥⎥⎥⎥⎦⎤⎢⎢⎢⎢⎢⎢⎣⎡---−−→−-0000000221711012179012141r ∴方程组一般解为⎪⎪⎩⎪⎪⎨⎧---=++-=2217112197432431x x x x x x令13k x =,24k x =,这里1k ,2k 为任意常数,得方程组通解⎥⎥⎥⎥⎦⎤⎢⎢⎢⎢⎣⎡-+⎥⎥⎥⎥⎥⎥⎦⎤⎢⎢⎢⎢⎢⎢⎣⎡-+⎥⎥⎥⎥⎥⎥⎦⎤⎢⎢⎢⎢⎢⎢⎣⎡-=⎥⎥⎥⎥⎥⎥⎦⎤⎢⎢⎢⎢⎢⎢⎣⎡--++-=⎥⎥⎥⎥⎦⎤⎢⎢⎢⎢⎣⎡00211021210171972217112197212121214321k k k k k k k k x x x x 7.试证:任一4维向量[]'=4321,,,a a a a β都可由向量组⎥⎥⎥⎥⎦⎤⎢⎢⎢⎢⎣⎡=00011α,⎥⎥⎥⎥⎦⎤⎢⎢⎢⎢⎣⎡=00112α,⎥⎥⎥⎥⎦⎤⎢⎢⎢⎢⎣⎡=01113α,⎥⎥⎥⎥⎦⎤⎢⎢⎢⎢⎣⎡=11114α线性表示,且表示方式唯一,写出这种表示方式.证明:⎥⎥⎥⎥⎦⎤⎢⎢⎢⎢⎣⎡=00011α ⎥⎥⎥⎥⎦⎤⎢⎢⎢⎢⎣⎡=-001012αα ⎥⎥⎥⎥⎦⎤⎢⎢⎢⎢⎣⎡=-010023αα ⎥⎥⎥⎥⎦⎤⎢⎢⎢⎢⎣⎡=-100034αα任一4维向量可唯一表示为)()()(10000100001000013442331221143214321αααααααβ-+-+-+=⎥⎥⎥⎥⎦⎤⎢⎢⎢⎢⎣⎡+⎥⎥⎥⎥⎦⎤⎢⎢⎢⎢⎣⎡+⎥⎥⎥⎥⎦⎤⎢⎢⎢⎢⎣⎡+⎥⎥⎥⎥⎦⎤⎢⎢⎢⎢⎣⎡=⎥⎥⎥⎥⎦⎤⎢⎢⎢⎢⎣⎡=a a a a a a a a a a a a44343232121)()()(ααααa a a a a a a +-+-+-=⒏试证:线性方程组有解时,它有唯一解的充分必要条件是:相应的齐次线性方程组只有零解. 证明:设B AX =为含n 个未知量的线性方程组 该方程组有解,即n A R A R ==)()(从而B AX =有唯一解当且仅当n A R =)(而相应齐次线性方程组0=AX 只有零解的充分必要条件是n A R =)(∴ B AX =有唯一解的充分必要条件是:相应的齐次线性方程组0=AX 只有零解9.设λ是可逆矩阵A的特征值,且0≠λ,试证:λ1是矩阵1-A 的特征值.证明: λ是可逆矩阵A的特征值∴ 存在向量ξ,使λξξ=A∴ξξλλξξξξ=====----1111)()()(A AA AA AI∴ξλξ11=-A即λ1是矩阵1-A 的特征值10.用配方法将二次型43324221242322212222x x x x x x x x x x x x f +--++++=化为标准型.解:42244232322143324224232212)(2)(222)(x x x x x x x x x x x x x x x x x x x f -++-+++=+--+++= 222423221)()(x x x x x x -+-++=∴ 令211x x y +=,4232x x x y +-=,23x y =,44y x =即⎪⎪⎩⎪⎪⎨⎧=-+==-=44432332311y x y y y x y x y y x则将二次型化为标准型 232221y y y f -+=工程数学作业(第三次)(满分100分)第4章 随机事件与概率(一)单项选择题⒈A B ,为两个事件,则( B )成立.A. ()A B B A +-=B. ()A B B A +-⊂C. ()A B B A -+=D. ()A B B A -+⊂ ⒉如果( C )成立,则事件A 与B 互为对立事件. A. AB =∅ B. AB U =C. AB =∅且AB U =D. A 与B 互为对立事件⒊10张奖券中含有3张中奖的奖券,每人购买1张,则前3个购买者中恰有1人中奖的概率为(D ). A. C 10320703⨯⨯.. B. 03. C. 07032..⨯ D. 307032⨯⨯.. 4. 对于事件A B ,,命题(C )是正确的. A. 如果A B ,互不相容,则A B ,互不相容 B. 如果A B ⊂,则A B ⊂C. 如果A B ,对立,则A B ,对立D. 如果A B ,相容,则A B ,相容⒌某随机试验的成功率为)10(<<p p ,则在3次重复试验中至少失败1次的概率为(D ). A.3)1(p - B. 31p - C. )1(3p - D. )1()1()1(223p p p p p -+-+-6.设随机变量X B n p ~(,),且E X D X ().,().==48096,则参数n 与p 分别是(A ). A. 6, 0.8 B. 8, 0.6 C. 12, 0.4 D. 14, 0.27.设f x ()为连续型随机变量X 的密度函数,则对任意的a b a b ,()<,E X ()=(A ). A. xf x x ()d -∞+∞⎰ B.xf x x ab ()d ⎰ C.f x x ab ()d ⎰D.f x x ()d -∞+∞⎰8.在下列函数中可以作为分布密度函数的是(B ).A. f x x x ()sin ,,=-<<⎧⎨⎪⎩⎪ππ2320其它B. f x x x ()sin ,,=<<⎧⎨⎪⎩⎪020π其它C. f x x x ()sin ,,=<<⎧⎨⎪⎩⎪0320π其它 D. f x x x ()sin ,,=<<⎧⎨⎩00π其它 9.设连续型随机变量X 的密度函数为f x (),分布函数为F x (),则对任意的区间(,)a b ,则=<<)(b X a P ( D ).A. F a F b ()()-B. F x x a b ()d ⎰C. f a f b ()()-D.f x x ab()d ⎰10.设X 为随机变量,E X D X (),()==μσ2,当(C )时,有E Y D Y (),()==01. A. Y X =+σμ B. Y X =-σμC. Y X =-μσD. Y X =-μσ2(二)填空题⒈从数字1,2,3,4,5中任取3个,组成没有重复数字的三位数,则这个三位数是偶数的概率为52.2.已知P A P B ().,().==0305,则当事件A B ,互不相容时,P A B ()+= 0.8 ,P A B ()= 0.3 .3.A B ,为两个事件,且B A ⊂,则P A B ()+=()A P .4. 已知P AB P A B P A p ()(),()==,则P B ()=P -1.5. 若事件A B ,相互独立,且P A p P B q (),()==,则P A B ()+=pq q p -+.6. 已知P A P B ().,().==0305,则当事件A B ,相互独立时,P A B ()+= 0.65 ,P A B ()= 0.3 .7.设随机变量X U ~(,)01,则X 的分布函数F x ()=⎪⎩⎪⎨⎧≥<<≤111000x x xx . 8.若X B ~(,.)2003,则E X ()= 6 . 9.若X N ~(,)μσ2,则P X ()-≤=μσ3)3(2Φ.10.E X E X Y E Y [(())(())]--称为二维随机变量(,)X Y 的 协方差 . (三)解答题1.设A B C ,,为三个事件,试用A B C ,,的运算分别表示下列事件: ⑴ A B C ,,中至少有一个发生; ⑵ A B C ,,中只有一个发生; ⑶ A B C ,,中至多有一个发生; ⑷ A B C ,,中至少有两个发生; ⑸ A B C ,,中不多于两个发生; ⑹ A B C ,,中只有C 发生.解:(1)C B A ++ (2)C B A C B A C B A ++ (3) C B A C B A C B A C B A +++ (4)BC AC AB ++ (5)C B A ++ (6)C B A2. 袋中有3个红球,2个白球,现从中随机抽取2个球,求下列事件的概率: ⑴ 2球恰好同色;⑵ 2球中至少有1红球.解:设A =“2球恰好同色”,B =“2球中至少有1红球”521013)(252223=+=+=C C C A P 1091036)(25231213=+=+=C C C C B P3. 加工某种零件需要两道工序,第一道工序的次品率是2%,如果第一道工序出次品则此零件为次品;如果第一道工序出正品,则由第二道工序加工,第二道工序的次品率是3%,求加工出来的零件是正品的概率. 解:设=i A “第i 道工序出正品”(i=1,2)9506.0)03.01)(02.01()|()()(12121=--==A A P A P A A P4. 市场供应的热水瓶中,甲厂产品占50%,乙厂产品占30%,丙厂产品占20%,甲、乙、丙厂产品的合格率分别为90%,85%,80%,求买到一个热水瓶是合格品的概率.解:设""1产品由甲厂生产=A ""2产品由乙厂生产=A ""3产品由丙厂生产=A""产品合格=B)|()()|()()|()()(332211A B P A P A B P A P A B P A P B P ++=865.080.02.085.03.09.05.0=⨯+⨯+⨯=5. 某射手连续向一目标射击,直到命中为止.已知他每发命中的概率是p ,求所需设计次数X 的概率分布. 解:P X P ==)1(P P X P )1()2(-==P P X P 2)1()3(-==…………P P k X P k 1)1()(--==…………故X 的概率分布是⎥⎦⎤⎢⎣⎡⋯⋯-⋯⋯--⋯⋯⋯⋯-pp pp pp pk k 12)1()1()1(321 6.设随机变量X 的概率分布为12345601015020301201003.......⎡⎣⎢⎤⎦⎥ 试求P X P X P X (),(),()≤≤≤≠4253.解:87.012.03.02.015.01.0)4()3()2()1()0()4(=++++==+=+=+=+==≤X P X P X P X P X P X P 72.01.012.03.02.0)5()4()3()2()52(=+++==+=+=+==≤≤X P X P X P X P X P 7.03.01)3(1)3(=-==-=≠X P X P7.设随机变量X 具有概率密度f x x x (),,=≤≤⎧⎨⎩2010其它试求P X P X (),()≤<<12142.解:412)()21(2122121====≤⎰⎰∞-xxdx dx x f X P16152)()241(1412141241====<<⎰⎰xxdx dx x f X P8. 设X f x x x ~(),,=≤≤⎧⎨⎩2010其它,求E X D X (),().解:32322)()(1031==⋅==⎰⎰+∞∞-xxdx x dx x xf X E21422)()(1041222==⋅==⎰⎰+∞∞-xxdx x dx x f x XE181)32(21)]([)()(222=-=-=x E X E X D 9. 设)6.0,1(~2N X ,计算⑴P X (..)0218<<;⑵P X ()>0.解:8164.019082.021)33.1(2)33.1()33.1()33.12.0133.1()8.12.0(=-⨯=-Φ=-Φ-Φ=<-<-=<<X P X P0475.09525.01)67.1(1)67.16.01()0(=-=Φ-=<-=>X P X P10.设X X X n 12,,, 是独立同分布的随机变量,已知E X D X (),()112==μσ,设X nX i i n==∑11,求E X D X (),().解:)]()()([1)(1)1()(21211n n ni i X E X E X E nX XX E nX nE X E +⋯⋯++=+⋯⋯++==∑=μμ==n n1 )]()()([1)(1)1()(2122121n n ni i X D X D X D nX XX D nX nD X D +⋯⋯++=+⋯⋯++==∑=22211σσnn n=⋅=以上内容可能会有错误,欢迎指出。
可编辑修改精选全文完整版工程数学 积分变换(第四版 张元林 编)课后习题答案编辑者:余小龙第一章:Fourier 变换习题一解答1、证:利用Fourier 积分变换的复数形式,有⎰⎰+∞∞--+∞∞-⎥⎦⎤⎢⎣⎡=ωττπωωτd e d e f t f t j j )(21)( ⎰⎰∞+∞-∞+∞-⎥⎦⎤⎢⎣⎡-=ωτωτωττπωd e d j f t j )sin )(cos (121[]⎰+∞∞-+-=ωωωωωd t j t jb a )sin (cos )()(21 由于)()(ωω-=a a , )()(ωω--=b b , 所以⎰⎰+∞∞-+∞∞-+=ωωωωωωtd b td a t f sin )(21cos )(21)(⎰⎰+∞+∞+=ωωωωωωtd b td a sin )(cos )(0。
注:本题也可以由Fourier 积分公式的三角形式得到证明。
2、解:(1)此题亦可写成⎩⎨⎧-=.0,1)(2t t f .1;1>≤t t 它是一个连续的偶函数,利用Euler 公式和分部积分法,由Fourier 积分公式的复数形式,有 ⎰⎰+∞∞-+∞∞--⎥⎦⎤⎢⎣⎡=ωττπωωτd e d e f t f t j j )(21)(⎰⎰+∞∞-⎥⎦⎤⎢⎣⎡-=ωτωττπωd e d t j 102cos )1(1ωωωττωωτωωττωωτπωd e tj 1232sin sin 2cos 2sin 1⎰∞+∞-⎥⎦⎤⎢⎣⎡⎪⎪⎭⎫ ⎝⎛+--==ωωωωωπωd e t j ⎰+∞∞--3)cos (sin 21=⎰+∞∞-+-ωωωωωωωπd t j t )sin (cos cos sin 23ωωωωωωπtd cos cos sin 403⎰+∞-= (2)函数)(t f 为一连续函数,用类似于(1)的方法,有⎰⎰+∞∞-+∞∞--⎥⎦⎤⎢⎣⎡=ωττπωωτd e d e f t f t j j )(21)(⎰⎰+∞∞-+∞--⎥⎦⎤⎢⎣⎡=ωττπωωττd e d e e t j j 02sin 21 ⎰⎰+∞∞-+∞+-⎥⎦⎤⎢⎣⎡=ωττπωτωd e d e t j j 0)1(2sin 21 {}()()⎰∞+∞-+∞+-⎥⎥⎦⎤⎢⎢⎣⎡++--+-=ωωττωπωτωd e j j e tj j 02)1(412cos 22sin )1(21 ⎰+∞∞-+-=ωωωπωd e j tj 252212[][]⎰∞+∞-+--+---=ωωωωωωωωωπd t j t j j j )sin (cos 2)5(2)5(2)5(1222⎰∞+∞-+---++-=ωωωωωωωωωωωπd tj t j t t 222224)5(cos 2sin )5(sin 2cos )5(1⎰∞+∞-+-+-=ωωωωωωωπd tt 432625sin 2cos )5(2(3)可以看出)(t f 为奇函数,且-1,0,1为其间断点。
工程数学本作业一、引言本文档将围绕工程数学本课程的作业题目展开讨论。
此次作业共包含三道题目,分别涉及到线性代数、微积分和概率统计。
我们将逐一解答这些题目,并且给出详细的推导过程和计算步骤。
二、线性代数1. 向量计算已知向量A和B的分量分别为A=(1, 2, 3)和B=(4, 5, 6),求向量A和B的点积和叉积。
解答:首先计算点积,点积的计算公式为:A·B = a1b1 + a2b2 + a3*b3将A和B的分量代入公式,得到:A·B = 14 + 25 + 3*6 = 32接下来计算叉积,叉积的计算公式为:A×B = (a2b3 - a3b2, a3b1 - a1b3, a1b2 - a2b1)将A和B的分量代入公式,得到:A×B = (26 - 35, 34 - 16, 15 - 24) = (-7, 6, -3)因此,向量A和B的点积为32,叉积为(-7, 6, -3)。
2. 矩阵运算已知矩阵A和B为:A = |2 3| |4 1|B = |5 6| |2 3|求矩阵A和B的乘积。
解答:矩阵的乘积运算是按行乘以列的运算。
矩阵A的行数为2,列数为2;矩阵B的行数为2,列数为2。
因此,矩阵A和B 可以相乘。
矩阵的乘积计算公式为:AB = |a11b11 + a12b21, a11b12 + a12b22| |a21b11 +a22b21, a21b12 + a22b22|将矩阵A和B的元素代入公式,得到:AB = |25 + 32, 26 + 33| |45 + 12, 46 + 13|化简得:AB = |16 21| |22 27|因此,矩阵A和B的乘积为:AB = |16 21| |22 27|三、微积分1. 函数求导已知函数f(x) = 3x^2 + 2x + 1,求f’(x)。
解答:函数的导数表示函数在某一点的变化率。
对于多项式函数来说,求导就是按照幂减1,并将幂与系数相乘的规律进行运算。
1. 设v 1=(1, 1, 0)T , v 2=(0, 1, 1)T , v 3=(3, 4, 0)T , 求v 1-v 2及3v 1+2v 2-v 3.解 v 1-v 2=(1, 1, 0)T -(0, 1, 1)T=(1-0, 1-1, 0-1)T=(1, 0, -1)T .3v 1+2v 2-v 3=3(1, 1, 0)T +2(0, 1, 1)T -(3, 4, 0)T =(3⨯1+2⨯0-3, 3⨯1+2⨯1-4, 3⨯0+2⨯1-0)T =(0, 1, 2)T .2. 设3(a 1-a )+2(a 2+a )=5(a 3+a ), 求a , 其中a 1=(2, 5, 1, 3)T , a 2=(10, 1, 5, 10)T , a 3=(4, 1, -1, 1)T . 解 由3(a 1-a )+2(a 2+a )=5(a 3+a )整理得)523(61321a a a a -+=])1 ,1 ,1 ,4(5)10 ,5 ,1 ,10(2)3 ,1 ,5 ,2(3[61T T T --+==(1, 2, 3, 4)T .3. 已知向量组A : a 1=(0, 1, 2, 3)T , a 2=(3, 0, 1, 2)T , a 3=(2, 3, 0, 1)T ;B : b 1=(2, 1, 1, 2)T , b 2=(0, -2, 1, 1)T , b 3=(4, 4, 1, 3)T , 证明B 组能由A 组线性表示, 但A 组不能由B 组线性表示. 证明 由⎪⎪⎪⎭⎫⎝⎛-=312123111012421301402230) ,(B A ⎪⎪⎪⎭⎫⎝⎛-------971820751610402230421301~r ⎪⎪⎪⎭⎫⎝⎛------531400251552000751610421301 ~r⎪⎪⎪⎭⎫⎝⎛-----000000531400751610421301~r 知R (A )=R (A , B )=3, 所以B 组能由A 组线性表示. 由⎪⎪⎪⎭⎫ ⎝⎛-⎪⎪⎪⎭⎫ ⎝⎛---⎪⎪⎪⎭⎫⎝⎛-=000000110201110110220201312111421402~~r r B 知R (B )=2. 因为R (B )≠R (B , A ), 所以A 组不能由B 组线性表示.4. 已知向量组A : a 1=(0, 1, 1)T , a 2=(1, 1, 0)T ;B : b 1=(-1, 0, 1)T , b 2=(1, 2, 1)T , b 3=(3, 2, -1)T , 证明A 组与B 组等价. 证明 由⎪⎪⎭⎫⎝⎛-⎪⎪⎭⎫ ⎝⎛-⎪⎪⎭⎫ ⎝⎛--=000001122010311112201122010311011111122010311) ,(~~r r A B ,知R (B )=R (B , A )=2. 显然在A 中有二阶非零子式, 故R (A )≥2, 又R (A )≤R (B , A )=2, 所以R (A )=2, 从而R (A )=R (B )=R (A , B ). 因此A 组与B 组等价.5. 已知R (a 1, a 2, a 3)=2, R (a 2, a 3, a 4)=3, 证明 (1) a 1能由a 2, a 3线性表示; (2) a 4不能由a 1, a 2, a 3线性表示.证明 (1)由R (a 2, a 3, a 4)=3知a 2, a 3, a 4线性无关, 故a 2, a 3也线性无关. 又由R (a 1, a 2, a 3)=2知a 1, a 2, a 3线性相关, 故a 1能由a 2, a 3线性表示.(2)假如a 4能由a 1, a 2, a 3线性表示, 则因为a 1能由a 2, a 3线性表示, 故a 4能由a 2, a 3线性表示, 从而a 2, a 3, a 4线性相关, 矛盾. 因此a 4不能由a 1, a 2, a 3线性表示.6. 判定下列向量组是线性相关还是线性无关: (1) (-1, 3, 1)T , (2, 1, 0)T , (1, 4, 1)T ; (2) (2, 3, 0)T , (-1, 4, 0)T , (0, 0, 2)T .解 (1)以所给向量为列向量的矩阵记为A . 因为⎪⎪⎭⎫⎝⎛-⎪⎪⎭⎫ ⎝⎛-⎪⎪⎭⎫ ⎝⎛-=000110121220770121101413121~~r r A ,所以R (A )=2小于向量的个数, 从而所给向量组线性相关. (2)以所给向量为列向量的矩阵记为B . 因为022200043012||≠=-=B ,所以R (B )=3等于向量的个数, 从而所给向量组线性相无关.7. 问a 取什么值时下列向量组线性相关? a 1=(a , 1, 1)T , a 2=(1, a , -1)T , a 3=(1, -1, a )T . 解 以所给向量为列向量的矩阵记为A . 由)1)(1(111111||+-=--=a a a aa a A知, 当a =-1、0、1时, R (A )<3, 此时向量组线性相关. 8. 设a 1, a 2线性无关, a 1+b , a 2+b 线性相关, 求向量b 用a 1, a 2线性表示的表示式.解 因为a 1+b , a 2+b 线性相关, 故存在不全为零的数λ1, λ2使λ1(a 1+b )+λ2(a 2+b )=0,由此得 2211121122121211)1(a a a a b λλλλλλλλλλλλ+--+-=+-+-=,设211λλλ+-=c , 则 b =c a 1-(1+c )a 2, c ∈R .9. 设a 1, a 2线性相关, b 1, b 2也线性相关, 问a 1+b 1, a 2+b 2是否一定线性相关?试举例说明之. 解 不一定.例如, 当a 1=(1, 2)T , a 2=(2, 4)T , b 1=(-1, -1)T , b 2=(0, 0)T 时, 有a1+b1=(1, 2)T+b1=(0, 1)T, a2+b2=(2, 4)T+(0, 0)T=(2, 4)T,而a1+b1,a2+b2的对应分量不成比例,是线性无关的.10.举例说明下列各命题是错误的:(1)若向量组a1,a2,⋅⋅⋅,a m是线性相关的,则a1可由a2,⋅⋅⋅,a m线性表示.解设a1=e1=(1, 0, 0,⋅⋅⋅, 0),a2=a3=⋅⋅⋅=a m=0,则a1,a2,⋅⋅⋅,a m线性相关,但a1不能由a2,⋅⋅⋅,a m线性表示.(2)若有不全为0的数λ1,λ2,⋅⋅⋅,λm使λ1a1+⋅⋅⋅+λm a m+λ1b1+⋅⋅⋅+λm b m=0成立,则a1,a2,⋅⋅⋅,a m线性相关, b1,b2,⋅⋅⋅,b m亦线性相关.解有不全为零的数λ1,λ2,⋅⋅⋅,λm使λ1a1+⋅⋅⋅+λm a m+λ1b1+⋅⋅⋅+λm b m=0,原式可化为λ1(a1+b1)+⋅⋅⋅+λm(a m+b m)=0.取a1=e1=-b1,a2=e2=-b2,⋅⋅⋅,a m=e m=-b m,其中e1,e2,⋅⋅⋅,e m 为单位坐标向量,则上式成立,而a1,a2,⋅⋅⋅,a m和b1,b2,⋅⋅⋅,b m 均线性无关.(3)若只有当λ1,λ2,⋅⋅⋅,λm全为0时,等式λ1a1+⋅⋅⋅+λm a m+λ1b1+⋅⋅⋅+λm b m=0才能成立,则a1,a2,⋅⋅⋅,a m线性无关, b1,b2,⋅⋅⋅,b m亦线性无关.解由于只有当λ1,λ2,⋅⋅⋅,λm全为0时,等式由λ1a1+⋅⋅⋅+λm a m+λ1b1+⋅⋅⋅+λm b m=0成立,所以只有当λ1,λ2,⋅⋅⋅,λm全为0时,等式λ1(a1+b1)+λ2(a2+b2)+⋅⋅⋅+λm(a m+b m)=0成立.因此a1+b1,a2+b2,⋅⋅⋅,a m+b m线性无关.取a1=a2=⋅⋅⋅=a m=0,取b1,⋅⋅⋅,b m为线性无关组,则它们满足以上条件,但a1,a2,⋅⋅⋅,a m线性相关.(4)若a1,a2,⋅⋅⋅,a m线性相关, b1,b2,⋅⋅⋅,b m亦线性相关,则有不全为0的数,λ1,λ2,⋅⋅⋅,λm使λ1a1+⋅⋅⋅+λm a m=0,λ1b1+⋅⋅⋅+λm b m=0同时成立.解a1=(1, 0)T,a2=(2, 0)T,b1=(0, 3)T,b2=(0, 4)T,λ1a1+λ2a2 =0⇒λ1=-2λ2,λ1b1+λ2b2 =0⇒λ1=-(3/4)λ2,⇒λ1=λ2=0,与题设矛盾.11.设b1=a1+a2,b2=a2+a3, b3=a3+a4, b4=a4+a1,证明向量组b1,b2, b3,b4线性相关.证明由已知条件得a1=b1-a2,a2=b2-a3, a3=b3-a4, a4=b4-a1,于是a1 =b1-b2+a3=b1-b2+b3-a4=b 1-b 2+b 3-b 4+a 1, 从而 b 1-b 2+b 3-b 4=0,这说明向量组b 1, b 2, b 3, b 4线性相关.12. 设b 1=a 1, b 2=a 1+a 2, ⋅ ⋅ ⋅, b r =a 1+a 2+ ⋅ ⋅ ⋅ +a r , 且向量组a 1, a 2, ⋅ ⋅ ⋅ , a r 线性无关, 证明向量组b 1, b 2, ⋅ ⋅ ⋅ , b r 线性无关. 证明 已知的r 个等式可以写成⎪⎪⎪⎭⎫⎝⎛⋅⋅⋅⋅⋅⋅⋅⋅⋅⋅⋅⋅⋅⋅⋅⋅⋅⋅⋅⋅⋅⋅⋅⋅=⋅⋅⋅100110111) , , ,() , , ,(2121r r a a a b b b , 上式记为B =AK . 因为|K |=1≠0, K 可逆, 所以R (B )=R (A )=r , 从而向量组b 1, b 2, ⋅ ⋅ ⋅ , b r 线性无关.13. 求下列向量组的秩, 并求一个最大无关组:(1)a 1=(1, 2, -1, 4)T , a 2=(9, 100, 10, 4)T , a 3=(-2, -4, 2, -8)T ; 解 由⎪⎪⎪⎭⎫⎝⎛-⎪⎪⎪⎭⎫ ⎝⎛--⎪⎪⎪⎭⎫ ⎝⎛----=000000010291032001900820291844210141002291) , ,(~~321r r a a a ,知R (a 1, a 2, a 3)=2. 因为向量a 1与a 2的分量不成比例, 故a 1, a 2线性无关, 所以a 1, a 2是一个最大无关组.(2)a 1T =(1, 2, 1, 3), a 2T =(4, -1, -5, -6), a 3T =(1, -3, -4, -7).解 由⎪⎪⎪⎭⎫⎝⎛--⎪⎪⎪⎭⎫ ⎝⎛------⎪⎪⎪⎭⎫⎝⎛------=00000059014110180590590141763451312141) , ,(~~321r r a a a , 知R (a 1T , a 2T , a 3T )=R (a 1, a 2, a 3)=2. 因为向量a 1T 与a 2T 的分量不成比例, 故a 1T , a 2T 线性无关, 所以a 1T , a 2T 是一个最大无关组.14. 利用初等行变换求下列矩阵的列向量组的一个最大无关组: (1)⎪⎪⎪⎭⎫⎝⎛4820322513454947513253947543173125; 解 因为⎪⎪⎪⎭⎫ ⎝⎛482032251345494751325394754317312513121433~r r r r r r ---⎪⎪⎪⎭⎫ ⎝⎛531053103210431731253423~rr r r --⎪⎪⎪⎭⎫ ⎝⎛00003100321043173125, 所以第1、2、3列构成一个最大无关组.(2)⎪⎪⎪⎭⎫⎝⎛---14011313021512012211. 解 因为⎪⎪⎪⎭⎫ ⎝⎛---1401131302151201221113142~rr r r --⎪⎪⎪⎭⎫ ⎝⎛------22201512015120122112343~rr r r +↔⎪⎪⎪⎭⎫ ⎝⎛---00000222001512012211,所以第1、2、3列构成一个最大无关组.15. 设向量组(a , 3, 1)T , (2, b , 3)T , (1, 2, 1)T , (2, 3, 1)T 的秩为2, 求a , b . 解 设a 1=(a , 3, 1)T , a 2=(2, b , 3)T , a 3=(1, 2, 1)T , a 4=(2, 3, 1)T . 因为⎪⎪⎭⎫ ⎝⎛----⎪⎪⎭⎫ ⎝⎛---⎪⎪⎭⎫ ⎝⎛=5200111031116110111031113111332221) , , ,(~~2143b a a b a b a r r a a a a ,而R (a 1, a 2, a 3, a 4)=2, 所以a =2, b =5.16. 设a 1, a 2, ⋅ ⋅ ⋅, a n 是一组n 维向量, 已知n 维单位坐标向量e 1, e 2,⋅ ⋅ ⋅, e n 能由它们线性表示, 证明a 1, a 2, ⋅ ⋅ ⋅, a n 线性无关. 证法一 记A =(a 1, a 2, ⋅ ⋅ ⋅, a n ), E =(e 1, e 2,⋅ ⋅ ⋅, e n ). 由已知条件知, 存在矩阵K , 使E =AK .两边取行列式, 得|E |=|A ||K |.可见|A |≠0, 所以R (A )=n , 从而a 1, a 2, ⋅ ⋅ ⋅, a n 线性无关.证法二 因为e 1, e 2,⋅ ⋅ ⋅, e n 能由a 1, a 2, ⋅ ⋅ ⋅, a n 线性表示, 所以R (e 1, e 2,⋅ ⋅ ⋅, e n )≤R (a 1, a 2, ⋅ ⋅ ⋅, a n ),而R (e 1, e 2,⋅ ⋅ ⋅, e n )=n , R (a 1, a 2, ⋅ ⋅ ⋅, a n )≤n , 所以R (a 1, a 2, ⋅ ⋅ ⋅, a n )=n , 从而a 1, a 2, ⋅ ⋅ ⋅, a n 线性无关.17.设a1,a2,⋅⋅⋅,a n是一组n维向量, 证明它们线性无关的充分必要条件是:任一n维向量都可由它们线性表示.证明必要性:设a为任一n维向量.因为a1,a2,⋅⋅⋅,a n线性无关,而a1,a2,⋅⋅⋅,a n,a是n+1个n维向量,是线性相关的,所以a能由a1,a2,⋅⋅⋅,a n线性表示,且表示式是唯一的.充分性:已知任一n维向量都可由a1,a2,⋅⋅⋅,a n线性表示,故单位坐标向量组e1,e2,⋅⋅⋅,e n能由a1,a2,⋅⋅⋅,a n线性表示,于是有n=R(e1,e2,⋅⋅⋅,e n)≤R(a1,a2,⋅⋅⋅,a n)≤n,即R(a1,a2,⋅⋅⋅,a n)=n,所以a1,a2,⋅⋅⋅,a n线性无关.18.设向量组a1,a2,⋅⋅⋅,a m线性相关,且a1≠0,证明存在某个向量a k (2≤k≤m),使a k能由a1,a2,⋅⋅⋅,a k-1线性表示.证明因为a1,a2,⋅⋅⋅,a m线性相关,所以存在不全为零的数λ1,λ2,⋅⋅⋅,λm,使λ1a1+λ2a2+⋅⋅⋅+λm a m=0,而且λ2,λ3,⋅⋅⋅,λm不全为零.这是因为,如若不然,则λ1a1=0,由a1≠0知λ1=0,矛盾.因此存在k(2≤k≤m),使λk≠0,λk+1=λk+2=⋅⋅⋅=λm=0,于是λ1a1+λ2a2+⋅⋅⋅+λk a k=0,a k =-(1/λk )(λ1a 1+λ2a 2+ ⋅ ⋅ ⋅ +λk -1a k -1),即a k 能由a 1, a 2, ⋅ ⋅ ⋅, a k -1线性表示.19. 设向量组B : b 1, ⋅ ⋅ ⋅, b r 能由向量组A : a 1, ⋅ ⋅ ⋅, a s 线性表示为 (b 1, ⋅ ⋅ ⋅, b r )=(a 1, ⋅ ⋅ ⋅, a s )K , 其中K 为s ⨯r 矩阵, 且A 组线性无关. 证明B 组线性无关的充分必要条件是矩阵K 的秩R (K )=r . 证明 令B =(b 1, ⋅ ⋅ ⋅, b r ), A =(a 1, ⋅ ⋅ ⋅, a s ), 则有B =AK . 必要性: 设向量组B 线性无关.由向量组B 线性无关及矩阵秩的性质, 有r =R (B )=R (AK )≤min{R (A ), R (K )}≤R (K ), 及 R (K )≤min{r , s }≤r .因此R (K )=r .充分性: 因为R (K )=r , 所以存在可逆矩阵C , 使⎪⎭⎫ ⎝⎛=O E KC r 为K 的标准形. 于是(b 1, ⋅ ⋅ ⋅, b r )C =( a 1, ⋅ ⋅ ⋅, a s )KC =(a 1, ⋅ ⋅ ⋅, a r ).因为C 可逆, 所以R (b 1, ⋅ ⋅ ⋅, b r )=R (a 1, ⋅ ⋅ ⋅, a r )=r , 从而b 1, ⋅ ⋅ ⋅, b r 线性无关.20. 设⎪⎩⎪⎨⎧+⋅⋅⋅+++=⋅⋅⋅⋅⋅⋅⋅⋅⋅⋅⋅⋅⋅⋅⋅⋅⋅⋅⋅⋅⋅+⋅⋅⋅++=+⋅⋅⋅++=-1321312321 n n n n ααααβαααβαααβ,证明向量组α1, α2, ⋅ ⋅ ⋅, αn 与向量组β1, β2, ⋅ ⋅ ⋅, βn 等价. 证明 将已知关系写成⎪⎪⎪⎪⎭⎫ ⎝⎛⋅⋅⋅⋅⋅⋅⋅⋅⋅⋅⋅⋅⋅⋅⋅⋅⋅⋅⋅⋅⋅⋅⋅⋅⋅⋅⋅⋅⋅⋅=⋅⋅⋅0111101111011110) , , ,() , , ,(2121n n αααβββ, 将上式记为B =AK . 因为0)1()1(0111101*********||1≠--=⋅⋅⋅⋅⋅⋅⋅⋅⋅⋅⋅⋅⋅⋅⋅⋅⋅⋅⋅⋅⋅⋅⋅⋅⋅⋅⋅=-n K n , 所以K 可逆, 故有A =BK -1. 由B =AK 和A =BK -1可知向量组α1, α2, ⋅ ⋅ ⋅, αn 与向量组β1, β2, ⋅ ⋅ ⋅, βn 可相互线性表示. 因此向量组α1, α2, ⋅ ⋅ ⋅, αn 与向量组β1, β2, ⋅ ⋅ ⋅, βn 等价.21. 已知3阶矩阵A 与3维列向量x 满足A 3x =3A x -A 2x , 且向量组x , A x , A 2x 线性无关.(1)记P =(x , A x , A 2x ), 求3阶矩阵B , 使AP =PB ;解 因为AP =A (x , A x , A 2x )=(A x , A 2x , A 3x )=(A x , A 2x , 3A x -A 2x )⎪⎪⎭⎫ ⎝⎛-=110301000) , ,(2x x x A A ,所以⎪⎪⎭⎫ ⎝⎛-=110301000B .(2)求|A |.解 由A 3x =3A x -A 2x , 得A (3x -A x -A 2x )=0. 因为x , A x , A 2x 线性无关, 故3x -A x -A 2x ≠0, 即方程A x =0有非零解, 所以R (A )<3, |A |=0.22. 求下列齐次线性方程组的基础解系:(1)⎪⎩⎪⎨⎧=-++=-++=++-02683054202108432143214321x x x x x x x x x x x x ; 解 对系数矩阵进行初等行变换, 有⎪⎪⎭⎫ ⎝⎛--⎪⎪⎭⎫ ⎝⎛---=00004/14/3100401 2683154221081~r A , 于是得⎩⎨⎧+=-=43231)4/1()4/3(4x x x x x . 取(x 3, x 4)T =(4, 0)T , 得(x 1, x 2)T =(-16, 3)T ;取(x 3, x 4)T =(0, 4)T , 得(x 1, x 2)T =(0, 1)T .因此方程组的基础解系为ξ1=(-16, 3, 4, 0)T , ξ2=(0, 1, 0, 4)T .(2)⎪⎩⎪⎨⎧=-++=-++=+--03678024530232432143214321x x x x x x x x x x x x . 解 对系数矩阵进行初等行变换, 有⎪⎪⎭⎫ ⎝⎛--⎪⎪⎭⎫ ⎝⎛----=000019/719/141019/119/201 367824531232~r A , 于是得⎩⎨⎧+-=+-=432431)19/7()19/14()19/1()19/2(x x x x x x . 取(x 3, x 4)T =(19, 0)T , 得(x 1, x 2)T =(-2, 14)T ;取(x 3, x 4)T =(0, 19)T , 得(x 1, x 2)T =(1, 7)T .因此方程组的基础解系为ξ1=(-2, 14, 19, 0)T , ξ2=(1, 7, 0, 19)T .(3)nx 1 +(n -1)x 2+ ⋅ ⋅ ⋅ +2x n -1+x n =0.解 原方程组即为x n =-nx 1-(n -1)x 2- ⋅ ⋅ ⋅ -2x n -1.取x 1=1, x 2=x 3= ⋅ ⋅ ⋅ =x n -1=0, 得x n =-n ;取x 2=1, x 1=x 3=x 4= ⋅ ⋅ ⋅ =x n -1=0, 得x n =-(n -1)=-n +1; ⋅ ⋅ ⋅ ;取x n -1=1, x 1=x 2= ⋅ ⋅ ⋅ =x n -2=0, 得x n =-2.因此方程组的基础解系为ξ1=(1, 0, 0, ⋅ ⋅ ⋅, 0, -n )T ,ξ2=(0, 1, 0, ⋅ ⋅ ⋅, 0, -n +1)T ,⋅ ⋅ ⋅,ξn -1=(0, 0, 0, ⋅ ⋅ ⋅, 1, -2)T .23. 设⎪⎭⎫ ⎝⎛--=82593122A , 求一个4⨯2矩阵B , 使AB =0, 且 R (B )=2.解 显然B 的两个列向量应是方程组AB =0的两个线性无关的解. 因为⎪⎭⎫ ⎝⎛---⎪⎭⎫ ⎝⎛--=8/118/5108/18/101 82593122~rA , 所以与方程组AB =0同解方程组为⎩⎨⎧+=-=432431)8/11()8/5()8/1()8/1(x x x x x x . 取(x 3, x 4)T =(8, 0)T , 得(x 1, x 2)T =(1, 5)T ;取(x 3, x 4)T =(0, 8)T , 得(x 1, x 2)T =(-1, 11)T .方程组AB =0的基础解系为ξ1=(1, 5, 8, 0)T , ξ2=(-1, 11, 0, 8)T .因此所求矩阵为⎪⎪⎪⎭⎫ ⎝⎛-=800811511B .24. 求一个齐次线性方程组, 使它的基础解系为ξ1=(0, 1, 2, 3)T , ξ2=(3, 2, 1, 0)T .解 显然原方程组的通解为⎪⎪⎪⎭⎫ ⎝⎛+⎪⎪⎪⎭⎫ ⎝⎛=⎪⎪⎪⎭⎫ ⎝⎛01233210214321k k x x x x , 即⎪⎩⎪⎨⎧=+=+==14213212213223k x k k x k k x k x , (k 1, k 2∈R ), 消去k 1, k 2得⎩⎨⎧=+-=+-023032431421x x x x x x , 此即所求的齐次线性方程组.25. 设四元齐次线性方程组I : ⎩⎨⎧=-=+004221x x x x , II : ⎩⎨⎧=+-=+-00432321x x x x x x . 求: (1)方程I 与II 的基础解系; (2) I 与II 的公共解.解 (1)由方程I 得⎩⎨⎧=-=4241x x x x . 取(x 3, x 4)T =(1, 0)T , 得(x 1, x 2)T =(0, 0)T ;取(x 3, x 4)T =(0, 1)T , 得(x 1, x 2)T =(-1, 1)T .因此方程I 的基础解系为ξ1=(0, 0, 1, 0)T , ξ2=(-1, 1, 0, 1)T .由方程II 得⎩⎨⎧-=-=43241x x x x x . 取(x 3, x 4)T =(1, 0)T , 得(x 1, x 2)T =(0, 1)T ;取(x 3, x 4)T =(0, 1)T , 得(x 1, x 2)T =(-1, -1)T .因此方程II 的基础解系为ξ1=(0, 1, 1, 0)T , ξ2=(-1, -1, 0, 1)T .(2) I 与II 的公共解就是方程III : ⎪⎩⎪⎨⎧=+-=+-=-=+00004323214221x x x x x x x x x x 的解. 因为方程组III 的系数矩阵⎪⎪⎪⎭⎫ ⎝⎛--⎪⎪⎪⎭⎫ ⎝⎛---=0000210010101001 1110011110100011~r A , 所以与方程组III 同解的方程组为⎪⎩⎪⎨⎧==-=4342412x x x x x x . 取x 4=1, 得(x 1, x 2, x 3)T =(-1, 1, 2)T , 方程组III 的基础解系为 ξ=(-1, 1, 2, 1)T .因此I 与II 的公共解为x =c (-1, 1, 2, 1)T , c ∈R .26. 设n 阶矩阵A 满足A 2=A , E 为n 阶单位矩阵, 证明R (A )+R (A -E )=n .证明 因为A (A -E )=A 2-A =A -A =0, 所以R (A )+R (A -E )≤n . 又R (A -E )=R (E -A ), 可知R (A )+R (A -E )=R (A )+R (E -A )≥R (A +E -A )=R (E )=n ,由此R (A )+R (A -E )=n .27. 设A 为n 阶矩阵(n ≥2), A *为A 的伴随阵, 证明⎪⎩⎪⎨⎧-≤-===2)( 01)( 1)( *)(n A R n A R n A R n A R 当当当. 证明 当R (A )=n 时, |A |≠0, 故有|AA *|=||A |E |=|A |≠0, |A *|≠0,所以R (A *)=n .当R (A )=n -1时, |A |=0, 故有AA *=|A |E =0,即A *的列向量都是方程组A x =0的解. 因为R (A )=n -1, 所以方程组A x =0的基础解系中只含一个解向量, 即基础解系的秩为1. 因此R (A *)=1.当R (A )≤n -2时, A 中每个元素的代数余子式都为0, 故A *=O , 从而R (A *)=0.28. 求下列非齐次方程组的一个解及对应的齐次线性方程组的基础解系:(1)⎪⎩⎪⎨⎧=+++=+++=+3223512254321432121x x x x x x x x x x ; 解 对增广矩阵进行初等行变换, 有⎪⎪⎭⎫ ⎝⎛--⎪⎪⎭⎫ ⎝⎛=2100013011080101 322351211250011~r B . 与所给方程组同解的方程为⎪⎩⎪⎨⎧=+=--=213 843231x x x x x . 当x 3=0时, 得所给方程组的一个解η=(-8, 13, 0, 2)T . 与对应的齐次方程组同解的方程为⎪⎩⎪⎨⎧==-=043231x x x x x . 当x 3=1时, 得对应的齐次方程组的基础解系ξ=(-1, 1, 1, 0)T .(2)⎪⎩⎪⎨⎧-=+++-=-++=-+-6242163511325432143214321x x x x x x x x x x x x . 解 对增广矩阵进行初等行变换, 有⎪⎪⎭⎫ ⎝⎛---⎪⎪⎭⎫ ⎝⎛-----=0000022/17/11012/17/901 6124211635113251~r B . 与所给方程组同解的方程为⎩⎨⎧--=++-=2)2/1((1/7)1)2/1()7/9(432431x x x x x x . 当x 3=x 4=0时, 得所给方程组的一个解η=(1, -2, 0, 0)T .与对应的齐次方程组同解的方程为⎩⎨⎧-=+-=432431)2/1((1/7))2/1()7/9(x x x x x x . 分别取(x 3, x 4)T =(1, 0)T , (0, 1)T , 得对应的齐次方程组的基础解系ξ1=(-9, 1, 7, 0)T.ξ2=(1,-1, 0, 2)T.29.设四元非齐次线性方程组的系数矩阵的秩为3,已知η1,η2,η3是它的三个解向量.且η1=(2, 3, 4, 5)T,η2+η3=(1, 2, 3, 4)T,求该方程组的通解.解由于方程组中未知数的个数是4,系数矩阵的秩为3,所以对应的齐次线性方程组的基础解系含有一个向量,且由于η1,η2,η3均为方程组的解,由非齐次线性方程组解的结构性质得2η1-(η2+η3)=(η1-η2)+(η1-η3)= (3, 4, 5, 6)T为其基础解系向量,故此方程组的通解:x=k(3, 4, 5, 6)T+(2, 3, 4, 5)T, (k∈R).30.设有向量组A:a1=(α, 2, 10)T,a2=(-2, 1, 5)T, a3=(-1, 1, 4)T,及b=(1,β,-1)T,问α,β为何值时(1)向量b不能由向量组A线性表示;(2)向量b能由向量组A线性表示,且表示式唯一;(3)向量b能由向量组A线性表示,且表示式不唯一,并求一般表示式.解 ⎪⎪⎭⎫ ⎝⎛---=11054211121) , , ,(123βαb a a a ⎪⎪⎭⎫ ⎝⎛-+++---βαβαα34001110121 ~r . (1)当α=-4, β≠0时, R (A )≠R (A , b ), 此时向量b 不能由向量组A 线性表示.(2)当α≠-4时, R (A )=R (A , b )=3, 此时向量组a 1, a 2, a 3线性无关, 而向量组a 1, a 2, a 3, b 线性相关, 故向量b 能由向量组A 线性表示, 且表示式唯一.(3)当α=-4, β=0时, R (A )=R (A , b )=2, 此时向量b 能由向量组A 线性表示, 且表示式不唯一.当α=-4, β=0时,⎪⎪⎭⎫ ⎝⎛----=1105402111421) , , ,(123b a a a ⎪⎪⎭⎫ ⎝⎛--000013101201 ~r , 方程组(a 3, a 2, a 1)x =b 的解为⎪⎪⎭⎫ ⎝⎛--+=⎪⎪⎭⎫ ⎝⎛-+⎪⎪⎭⎫ ⎝⎛-=⎪⎪⎭⎫ ⎝⎛c c c c x x x 1312011132321, c ∈R . 因此 b =(2c +1)a 3+(-3c -1)a 2+c a 1,即 b = c a 1+(-3c -1)a 2+(2c +1)a 3, c ∈R .31. 设a =(a 1, a 2, a 3)T , b =(b 1, b 2, b 3)T , c =(c 1, c 2, c 3)T , 证明三直线 l 1: a 1x +b 1y +c 1=0,l 2: a 2x +b 2y +c 2=0, (a i 2+b i 2≠0, i =1, 2, 3) l 3: a 3x +b 3y +c 3=0,相交于一点的充分必要条件为: 向量组a , b 线性无关, 且向量组a , b , c 线性相关.证明 三直线相交于一点的充分必要条件为方程组⎪⎩⎪⎨⎧=++=++=++000333222111c y b x a c y b x a c y b x a , 即⎪⎩⎪⎨⎧-=+-=+-=+333222111c y b x a c y b x a c y b x a 有唯一解. 上述方程组可写为x a +y b =-c . 因此三直线相交于一点的充分必要条件为c 能由a , b 唯一线性表示, 而c 能由a , b 唯一线性表示的充分必要条件为向量组a , b 线性无关, 且向量组a , b , c 线性相关.32. 设矩阵A =(a 1, a 2, a 3, a 4), 其中a 2, a 3, a 4线性无关, a 1=2a 2- a 3. 向量b =a 1+a 2+a 3+a 4, 求方程A x =b 的通解.解 由b =a 1+a 2+a 3+a 4知η=(1, 1, 1, 1)T 是方程A x =b 的一个解.由a 1=2a 2- a 3得a 1-2a 2+a 3=0, 知ξ=(1, -2, 1, 0)T 是A x =0的一个解.由a 2, a 3, a 4线性无关知R (A )=3, 故方程A x =b 所对应的齐次方程A x =0的基础解系中含一个解向量. 因此ξ=(1, -2, 1, 0)T 是方程A x =0的基础解系.方程A x =b 的通解为x =c (1, -2, 1, 0)T +(1, 1, 1, 1)T , c ∈R .33.设η*是非齐次线性方程组A x=b的一个解, ξ1,ξ2,⋅⋅⋅,ξn-r,是对应的齐次线性方程组的一个基础解系, 证明:(1)η*,ξ1,ξ2,⋅⋅⋅,ξn-r线性无关;(2)η*,η*+ξ1,η*+ξ2,⋅⋅⋅,η*+ξn-r线性无关.证明(1)反证法, 假设η*,ξ1,ξ2,⋅⋅⋅,ξn-r线性相关.因为ξ1,ξ2,⋅⋅⋅,ξn-r线性无关,而η*,ξ1,ξ2,⋅⋅⋅,ξn-r线性相关,所以η*可由ξ1,ξ2,⋅⋅⋅,ξn-r线性表示,且表示式是唯一的,这说明η*也是齐次线性方程组的解,矛盾.(2)显然向量组η*,η*+ξ1,η*+ξ2,⋅⋅⋅,η*+ξn-r与向量组η*,ξ1,ξ2,⋅⋅⋅,ξn-r可以相互表示,故这两个向量组等价,而由(1)知向量组η*,ξ1,ξ2,⋅⋅⋅,ξn-r线性无关,所以向量组η*,η*+ξ1,η*+ξ2,⋅⋅⋅,η*+ξn-r也线性无关.34.设η1,η2,⋅⋅⋅,ηs是非齐次线性方程组A x=b的s个解,k1,k2,⋅⋅⋅,k s为实数,满足k1+k2+⋅⋅⋅+k s=1. 证明x=k1η1+k2η2+⋅⋅⋅+k sηs也是它的解.证明因为η1,η2,⋅⋅⋅,ηs都是方程组A x=b的解,所以Aηi=b (i=1, 2,⋅⋅⋅,s),从而A(k1η1+k2η2+⋅⋅⋅+k sηs)=k1Aη1+k2Aη2+⋅⋅⋅+k s Aηs=(k1+k2+⋅⋅⋅+k s)b=b.因此x=k1η1+k2η2+⋅⋅⋅+k sηs也是方程的解.35.设非齐次线性方程组A x=b的系数矩阵的秩为r,η1,η2,⋅⋅⋅,ηn-r+1是它的n-r+1个线性无关的解.试证它的任一解可表示为x=k1η1+k2η2+⋅⋅⋅+k n-r+1ηn-r+1, (其中k1+k2+⋅⋅⋅+k n-r+1=1).证明因为η1,η2,⋅⋅⋅,ηn-r+1均为A x=b的解,所以ξ1=η2-η1,ξ2=η3-η1,⋅⋅⋅,ξn-r=η n-r+1-η1均为A x=b的解.用反证法证:ξ1,ξ2,⋅⋅⋅,ξn-r线性无关.设它们线性相关,则存在不全为零的数λ1,λ2,⋅⋅⋅,λn-r,使得λ1ξ1+λ2ξ2+⋅⋅⋅+λ n-rξ n-r=0,即λ1(η2-η1)+λ2(η3-η1)+⋅⋅⋅+λ n-r(ηn-r+1-η1)=0,亦即-(λ1+λ2+⋅⋅⋅+λn-r)η1+λ1η2+λ2η3+⋅⋅⋅+λ n-rηn-r+1=0,由η1,η2,⋅⋅⋅,ηn-r+1线性无关知-(λ1+λ2+⋅⋅⋅+λn-r)=λ1=λ2=⋅⋅⋅=λn-r=0,矛盾.因此ξ1,ξ2,⋅⋅⋅,ξn-r线性无关.ξ1,ξ2,⋅⋅⋅,ξn-r为A x=b的一个基础解系.设x为A x=b的任意解,则x-η1为A x=0的解,故x-η1可由ξ1,ξ2,⋅⋅⋅,ξn-r线性表出,设x-η1=k2ξ1+k3ξ2+⋅⋅⋅+k n-r+1ξn-r=k2(η2-η1)+k3(η3-η1)+⋅⋅⋅+k n-r+1(ηn-r+1-η1),x=η1(1-k2-k3⋅⋅⋅-k n-r+1)+k2η2+k3η3+⋅⋅⋅+k n-r+1ηn-r+1.令k1=1-k2-k3⋅⋅⋅-k n-r+1,则k1+k2+k3⋅⋅⋅-k n-r+1=1,于是x=k1η1+k2η2+⋅⋅⋅+k n-r+1ηn-r+1.36.设V1={x=(x1,x2,⋅ ⋅ ⋅,x n)T| x1,⋅ ⋅ ⋅,x n∈R满足x1+x2+⋅ ⋅ ⋅ +x n=0}, V2={x=(x1,x2,⋅ ⋅ ⋅,x n)T| x1,⋅ ⋅ ⋅,x n∈R满足x1+x2+⋅ ⋅ ⋅ +x n=1},问V1,V2是不是向量空间?为什么?解V1是向量空间,因为任取α=(a1,a2,⋅ ⋅ ⋅,a n)T∈V1,β=(b1,b2,⋅ ⋅ ⋅,b n)T∈V1,λ∈∈R,有a1+a2+⋅ ⋅ ⋅ +a n=0,b1+b2+⋅ ⋅ ⋅ +b n=0,从而(a1+b1)+(a2+b2)+⋅ ⋅ ⋅ +(a n+b n)=(a1+a2+⋅ ⋅ ⋅ +a n)+(b1+b2+⋅ ⋅ ⋅ +b n)=0,λa1+λa2+⋅ ⋅ ⋅ +λa n=λ(a1+a2+⋅ ⋅ ⋅ +a n)=0,所以α+β=(a1+b1,a2+b2,⋅ ⋅ ⋅,a n+b n)T∈V1,λα=(λa1,λa2,⋅ ⋅ ⋅,λa n)T∈V1.V2不是向量空间,因为任取α=(a1,a2,⋅ ⋅ ⋅,a n)T∈V1,β=(b1,b2,⋅ ⋅ ⋅,b n)T∈V1,有a1+a2+⋅ ⋅ ⋅ +a n=1,b1+b2+⋅ ⋅ ⋅ +b n=1,从而(a1+b1)+(a2+b2)+⋅ ⋅ ⋅ +(a n+b n)=(a1+a2+⋅ ⋅ ⋅ +a n)+(b1+b2+⋅ ⋅ ⋅ +b n)=2,所以α+β=(a1+b1,a2+b2,⋅ ⋅ ⋅,a n+b n)T∉V1.37. 试证: 由a 1=(0, 1, 1)T , a 2=(1, 0, 1)T , a 3=(1, 1, 0)T 所生成的向量空间就是R 3.证明 设A =(a 1, a 2, a 3), 由02011101110||≠-==A , 知R (A )=3, 故a 1, a 2, a 3线性无关, 所以a 1, a 2, a 3是三维空间R 3的一组基, 因此由a 1, a 2, a 3所生成的向量空间就是R 3.38. 由a 1=(1, 1, 0, 0)T , a 2=(1, 0, 1, 1)T 所生成的向量空间记作V 1,由b 1=(2, -1, 3, 3)T , b 2=(0, 1, -1, -1)T 所生成的向量空间记作V 2, 试证V 1=V 2.证明 设A =(a 1, a 2), B =(b 1, b 2). 显然R (A )=R (B )=2, 又由⎪⎪⎪⎭⎫ ⎝⎛--⎪⎪⎪⎭⎫ ⎝⎛---=0000000013100211 1310131011010211) ,(~r B A , 知R (A , B )=2, 所以R (A )=R (B )=R (A , B ), 从而向量组a 1, a 2与向量组b 1, b 2等价. 因为向量组a 1, a 2与向量组b 1, b 2等价, 所以这两个向量组所生成的向量空间相同, 即V 1=V 2.39. 验证a 1=(1, -1, 0)T , a 2=(2, 1, 3)T , a 3=(3, 1, 2)T 为R 3的一个基, 并把v 1=(5, 0, 7)T , v 2=(-9, -8, -13)T 用这个基线性表示.解 设A =(a 1, a 2, a 3). 由06230111321|) , ,(|321≠-=-=a a a , 知R (A )=3, 故a 1, a 2, a 3线性无关, 所以a 1, a 2, a 3为R 3的一个基. 设x 1a 1+x 2a 2+x 3a 3=v 1, 则⎪⎩⎪⎨⎧=+=++-=++723053232321321x x x x x x x x ,解之得x 1=2, x 2=3, x 3=-1, 故线性表示为v 1=2a 1+3a 2-a 3. 设x 1a 1+x 2a 2+x 3a 3=v 2, 则⎪⎩⎪⎨⎧-=+-=++--=++1323893232321321x x x x x xx x ,解之得x 1=3, x 2=-3, x 3=-2, 故线性表示为v 2=3a 1-3a 2-2a 3.40. 已知R 3的两个基为a 1=(1, 1, 1)T , a 2=(1, 0, -1)T , a 3=(1, 0, 1)T ,b 1=(1, 2, 1)T , b 2=(2, 3, 4)T , b 3=(3, 4, 3)T . 求由基a 1, a 2, a 3到基b 1, b 2, b 3的过渡矩阵P . 解 设e 1, e 2, e 3是三维单位坐标向量组, 则 ⎪⎪⎭⎫⎝⎛-=111001111) , ,() , ,(321321e e e a a a ,1321321111001111) , ,() , ,(-⎪⎪⎭⎫ ⎝⎛-=a a a e e e , 于是 ⎪⎪⎭⎫ ⎝⎛=341432321) , ,() , ,(321321e e e b b b ⎪⎪⎭⎫ ⎝⎛⎪⎪⎭⎫ ⎝⎛-=-341432321111001111) , ,(1321a a a , 由基a 1, a 2, a 3到基b 1, b 2, b 3的过渡矩阵为⎪⎪⎭⎫ ⎝⎛---=⎪⎪⎭⎫ ⎝⎛⎪⎪⎭⎫ ⎝⎛-=-1010104323414323211110011111P .。
贵州省遵义市第四中学2018届高三数学3月月考试题理编辑整理:尊敬的读者朋友们:这里是精品文档编辑中心,本文档内容是由我和我的同事精心编辑整理后发布的,发布之前我们对文中内容进行仔细校对,但是难免会有疏漏的地方,但是任然希望(贵州省遵义市第四中学2018届高三数学3月月考试题理)的内容能够给您的工作和学习带来便利。
同时也真诚的希望收到您的建议和反馈,这将是我们进步的源泉,前进的动力。
本文可编辑可修改,如果觉得对您有帮助请收藏以便随时查阅,最后祝您生活愉快业绩进步,以下为贵州省遵义市第四中学2018届高三数学3月月考试题理的全部内容。
遵义四中2018届高三月考理科数学试卷本卷满分150分,考试时间120分钟一、选择题:本题共12小题,每小题5分。
在每小题给出的四个选项中,只有一项是符合题目要求的。
1。
已知集合}01-{≤=x x A ,}1ln {≤=x x B ,则A∩B=( )A ]1-,(∞ B]-e ,(∞ C ]10,( D ]0e ,(2.复数)1(i i z -⋅=(i 为虚数单位)在复平面上对应的点位于( )A.第一象限 B.第二象限 C.第三象限 D.第四象限3.已知随机变量),2(~2σN X ,若36.0)31=<<X P (,则=≥)3X P ( ( ) A.0。
64 B.0。
32 C.0.36 D.0.72 4、命题 ”且“030,2>≥∈∀-x x R 的否定是( ) A .”且“030,2≤<∈∃-x x R B .”或“030,2≤<∈∀-x x RC.”或“030,2≤<∈∃-x x R D.”且“030,2><∈∀-x x R θ2sin 的5。
已知)(2,1A ,)01(,-B 两点,直线AB 的倾斜角为θ,则值为( )A —1 B 0C 3 D 16。
如图是计算某年级500名学生期末考试(满分为100分)及格率q的程序框图,则图中空白框内应填入( ).A .MN q = B .NM q = C.NM N q +=D .NM M q +=7.已知正方体的棱长为2,其俯视图是一个面积为4的正方形,侧视图是一个面积为42的矩形,则该正方体的正视图的面积等于 ( ) A 。
三省三校第四次模拟(内部)数学试卷(理科)一、选择题:本题共12小题,每小题给出的四个选项中,只有一项是符合题目要求的. 1. 已知集合{}2|40=-<A x x x ,{}2|log 1B x x =≥,则AB =( )A. ()0,∞+B. [)2,+∞C. ()0,4D. (]0,2【答案】A 【解析】 【分析】解一元二次不等式求得集合A ,解对数不等式求得集合B ,由此求得AB .【详解】由()2440x x x x -=-<,解得04x <<,所以()0,4A =.由22log 1log 2x ≥=,解得2x ≥,所以{}|2B x x =≥.所以()0,A B =+∞.故选:A【点睛】本小题主要考查一元二次不等式的解法,考查对数不等式的解法,考查集合并集的概念和运算,属于基础题. 2. 已知复数211az i i=-+-(i 为虚数单位,a R ∈),z 在复平面上对应的点在第四象限,则a 的取值范围是( )A. ()2,0-B. ()1,1-C. ()1,+∞D. ()1,2-【答案】B 【解析】 【分析】利用复数除法运算化简z ,根据z 在复平面上对应的点在第四象限列不等式组,解不等式组求得a 的取值范围. 【详解】()()()()()212111111111a i az i i i a i a a i i i i +=-+=-+=-++=++---+, 由题意知1010a a +>⎧⎨-<⎩,所以11a -<<.故选:B【点睛】本小题主要考查复数的除法运算,考查复数对应点所在象限,属于基础题.3. 近年来,某市立足本地丰厚的文化旅游资源,以建设文化旅游强市,创建国家全域旅游示范市为引领,坚持以农为本,以乡为魂,以旅促农,多元化推动产业化发展,文化和旅游扶贪工作卓有成效,精准扶贫稳步推进.该市旅游局为了更好的了解每年乡村游人数的变化情况,绘制了如图所示的柱状图.则下列说法错误的是( )A. 乡村游人数逐年上升B. 相比于前一年,2015年乡村游人数增长率大于2014年乡村游人数增长率C. 近8年乡村游人数的平均数小于2016年乡村游人数D. 从2016年开始,乡村游人数明显增多 【答案】C 【解析】 【分析】根据柱状图上的数据,对四个选项逐个分析可得答案. 【详解】从柱状图中看出,乡村游人数逐年上升,故A 正确:2015年乡村游增长人数为25018070-=万人,2014年乡村游增长人数为18015030-=万人.由7030180150>,故B 正确; 近8年乡村游人数的平均数为1101501802503305107209504003308+++++++=>,即近8年乡村游人数的平均数大于2016年乡村游人数,故C 错误; 从2016年开始,乡村游人数增长速度明显加快,故D 正确. 故选:C【点睛】本题考查了对柱状图的理解,考查了柱状图的应用,属于基础题. 4. 在等比数列{}n a 中,12a =,528a a =,则数列{}n a 前7项的和7S =( ) A. 253 B. 254 C. 255 D. 256【答案】B【解析】 【分析】求等比数列基本量公比q ,再求前n 项和n S .【详解】由528a a =,335282a q a ∴===有2q ,()7721225412S ⨯-==-.故选:B .【点睛】本题考查等差等比数列通项公式及等比数列前n 项和n S .等比数列基本量涉及五个量:1n n a n S q a ,,,,,已知其中三个量,选用恰当的公式,利用方程(组)可求出剩余的两个量.5. 执行如图所示的程序框图,若输入的x 的值为2,则输出x 的值为( )A. 123B. 125C. 127D. 129【答案】C 【解析】 【分析】先执行循环体语句,再判断,直到当100x >成立时,退出循环体,输出此时x 的值. 【详解】因为输入的x 的值为2,所以2213x =-=,显然此时100x >不成立,再进入循环体,所以3217x =-=,显然此时100x >不成立,再进入循环体,所以721127x =-=,显然此时100x >成立,退出循环体,输出x 的值为127. 故选:C【点睛】本题考查了程序框图中循环结构的输出问题,考查了数学运算能力.6. 已知α,β是两个不同平面,m ,n 是两条不同直线,①若n β⊥,//αβ,m α⊥则//n m ;②若//m α,αβ⊥,n β⊥则//n m ;③若n β⊥,//αβ,//m α,则m n ⊥;④若m α⊥,αβ⊥,βn//,则m n ⊥;在上述四个命题中,真命题的个数为( )A. 1B. 2C. 3D. 4【答案】B 【解析】 【分析】根据面面平行的判定定理、平行线的性质、线面平行的性质定理、面面垂直的判定定理对四个命题,逐一判断即可选出正确答案.【详解】①根据线面垂直的性质可知,若n β⊥,//αβ,m α⊥则//n m ,①正确; ②若//m α,αβ⊥,n β⊥则//n m ,,m n 相交或异面,故②错误;③根据线面垂直判定定理可知,若n β⊥,//αβ,则n α⊥,又因为//m α,则m n ⊥,故③正确;④若m α⊥,αβ⊥,βn//,则m n ⊥,或//n m ,,m n 相交或异面,故④错误. 只有①③正确. 故选:B.【点睛】本题考查了面面垂直的判定、面面平行的判定、平行线的性质、线面平行的性质定理考查了空间想象能力.7. 已知函数()2cos 4x x xf x a=+是偶函数,则函数()f x 的最大值为( )A. 1B. 2C.12D. 3【答案】C 【解析】 【分析】由偶函数的定义()()f x f x -=化简可求得1a =,则()2cos cos =4122x x xxx xf x -=++,借助基本不等式和余弦函数性质即可得解.【详解】因为函数()2cos 4x x xf x a=+是偶函数,所以()()f x f x -=,即()2cos 2cos 44x x x xx x a a---=++,化简可得:()4141x xa -=-, 解得:1a =,即()2cos cos =4122x x xxx xf x -=++. 又因为cos 1≤x ,222x x -+≥, 所以()12f x ≤(当且仅当0x =时两个“=”同时成立). 故选:C.【点睛】本题考查偶函数的定义,考查求函数的最值,合理利用基本不等式和函数性质是解答本题的关键,属于中档题. 8. 已知α为锐角,若3cos 45πα⎛⎫+= ⎪⎝⎭,则tan2α=( ) A .710B.310 C.13D.724【答案】D 【解析】 【分析】利用0,2πα⎛⎫∈ ⎪⎝⎭,求得3,444απππ⎛⎫+∈ ⎪⎝⎭.进而求得4sin 45πα⎛⎫+= ⎪⎝⎭.因为sin sin 44ππαα⎛⎫=+- ⎪⎝⎭利用两角差的正弦公式即可求得sin α,进而得到cos α,sin 2,cos 2,αα,计算可得出结果.【详解】因为0,2πα⎛⎫∈ ⎪⎝⎭,所以3,444απππ⎛⎫+∈ ⎪⎝⎭. 因为3cos 45πα⎛⎫+= ⎪⎝⎭,所以4sin 45πα⎛⎫+= ⎪⎝⎭. 所以43sin sin sin cos cos sin 44444455ππππππαααα⎛⎫⎛⎫⎛⎫=+-=+-+==⎪ ⎪ ⎪⎝⎭⎝⎭⎝⎭,cos 10α==,所以7sin 22101025α=⨯=,224cos 21225α=-⨯=⎝⎭, 所以7tan 224α=.故选:D.【点睛】本题主要考查了三角函数的化简求值问题,考查了三角函数的基本关系式、两角和与差的正弦公式和二倍角公式,着重考查了推理与运算能力,属于基础题.9. 已知双曲线2222:1x y C a b -=()0,0a b >>的左、右焦点分别为1F ,2F ,圆O :22220x y a b +--=与双曲线的一个交点为P ,若12PF =,则双曲线的离心率为( )A. 21【答案】D 【解析】 【分析】由圆与双曲线相交可知12||||=||PO c OF OF ==,据此知12PF F △为直角三角形,利用勾股定理及双曲线的定义即可求解.【详解】设2PF x =,1PF =,焦距为2c ,由 22220x y a b +--=得222x y c +=,所以12||||=||PO c OF OF ==, 所以12PF F △直角三角形,有22234x x c +=,解得x c =,又122||||a PF PF x =-=-,所以1e ==.故选:D【点睛】本题主要考查双曲线离心率的计算,根据直角三角形的边角关系以及双曲线的定义建立方程是解决本题的关键.10. 把函数()cos 3f x x πω⎛⎫=+ ⎪⎝⎭()0ω>的图象向左平移6π个单位后得到函数()g x 的图象,函数()g x 图像的一条对称轴为直线6x π=,若函数()f x 在2,33ππ⎛⎫⎪⎝⎭上单调递增,则ω的取值范围是( ) A. 2或5 B. 2或3C. 2D. 5【答案】C 【解析】 【分析】函数()f x 图象向左平移6π个单位得到()=cos 63g x x ππωω⎛⎫++ ⎪⎝⎭,由一条对称轴为6x π=,代入对称轴方程,即可得到31k ω=-,根据2,33ππ⎛⎫⎪⎝⎭上单调递增可得22332T πππω⎛⎫=-⎪⎝⎭≥,计算即可得出结果. 【详解】把函数()f x 的图象向左平移6π得到()cos =cos 6363g x x x ππππωωω⎡⎤⎛⎫⎛⎫=++++ ⎪ ⎪⎢⎥⎝⎭⎝⎭⎣⎦,因为一条对称轴为直线6x π=,所以=66333k πππππωωωπ+++=()k ∈Z ,解得:31k ω=-()k ∈Z ,又由22332T πππω⎛⎫=-⎪⎝⎭≥,有3ω≤,故2ω=,经检验知2ω=合题意. 故选:C.【点睛】本题考查三角函数图象的平移变换,考查对称轴、周期、单调性等知识,熟练掌握三角函数的图象和性质是解题的关键,属于中档题.11. 已知三棱锥P ABC -(记ABC 所在的平面为底面)内接于球O ,::1:2:3PA PB PC =,当三棱锥P ABC -侧面积最大时,球O 的体积为3,则此时ABC 的面积为( )A. 12B. 13C. 14D. 15【答案】C 【解析】 【分析】【详解】设PA x =,2PB x = ,3=PC x ,当三棱锥P ABC - 三个侧面的面积之和最大时, PA ,PB ,P C 两两垂直,此时球O 的直径为以PA ,PB ,PC为棱的长方体的对角线.又3433R π=,得R =,所以22224PA PB PC R ++= ,有22144x =⨯ ,得2x =,则2PA =,4PB = ,6PC =此时AB =AC =BC = ,由cos10BAC ∠== ,sin 10BAC ∠=,ABC 的面积为114210⨯= . 故选:C【点睛】本题考查球的内接几何体问题,考查补形方法的应用,考查球的体积公式的应用,三棱锥P ABC -三个侧面的面积之和最大时, P A ,PB ,PC 两两垂直以及此时将之补成长方体得出球的直径是解题的关键,属于中档题. 12. 若不等式2ln mx x mxe ≥恒成立,则实数m 的取值范围为( )A. 21,e ⎡⎫+∞⎪⎢⎣⎭B. 1,2e ⎡⎫+∞⎪⎢⎣⎭C. 1,e ⎛⎫+∞ ⎪⎝⎭D.⎫+∞⎪⎭【答案】B 【解析】 【分析】当01x <≤时,ln 0x <,2mx 0mxe >,显然成立;当1≥x 时,不等式2mx ln mxe x ≥,化为22mxln mx e x x ≥,两边取对数得到()()22ln ln ln ln mx mx x x +≥+,进而转化为2ln xm x≥恒成立,构造新函数()2ln x h x x =,利用导数求得函数()h x 的单调性与最值,即可求解.【详解】由题意,当x e =时,2m 1eme e ⋅≥,可得0m >,①当01x <≤时,ln 0x <,则2mx 0mxe >,不等式显然成立; ②当1≥x 时,不等式2mx ln mxe x ≥,可化为22mx ln mx e x x ≥,两边取对数,可得()()22ln ln ln ln mxmxx x +≥+,令()ln ,1g x x x x =+≥,可得()()2ln g mxx g ≥,又由函数()g x 单调递增,所以只需2ln mx x ≥,即2ln xm x≥在[1,)+∞恒成立, 令()2ln xh x x =,有()432ln 12ln x x x x h x x x--'==,()1x ≥,由()0h x '>,即12ln 0x ->,解得1x <<由()0h x '<,即12ln 0x -<,解得x >所以函数()h x 的增区间为(,减区间为)+∞,所以当x =()h x 取得最大值()max 12h x he ===,综上可得,实数m 的取值范围为1,2e ⎡⎫+∞⎪⎢⎣⎭.故选:B.【点睛】本题主要考查利用导数研究不等式的恒成立问题,着重考查了转化与化归思想、逻辑推理能力与计算能力,对于恒成立问题,通常要构造新函数,利用导数研究函数的单调性,求出最值,进而得出相应的含参不等式,从而求出参数的取值范围;也可分离变量,构造新函数,直接把问题转化为函数的最值问题. 二、填空题:本题共4小题13. 已知实数x ,y 满足0,20,20,x y x y x -≤⎧⎪+-≤⎨⎪+≥⎩则2z x y =+的最小值_____________【答案】6- 【解析】 【分析】画出可行域,解出可行域的顶点坐标,代入目标函数求出相应的数值,比较大小得到目标函数的最值.【详解】由20101x y x x y y +-==⎧⎧⇒⎨⎨-==⎩⎩(1,1),C ∴同理(2,2),B --(2,4),A - 3C z ∴=,6B z =-,0A z =6B z ∴=-取最小值故答案为: 6-.【点睛】本题考查线性规划的线性目标函数的最优解问题. 线性目标函数的最优解一般在平面区域的顶点或边界处取得,所以对于一般的线性规划问题,若可行域是一个封闭的图形,我们可以直接解出可行域的顶点,然后将坐标代入目标函数求出相应的数值,从而确定目标函数的最值;若可行域不是封闭图形还是需要借助截距的几何意义来求最值.14. 已知平面向量a ,b ,2a =,3b =若()34a a b ⊥-则向量a 与b 的夹角的大小为_____________ 【答案】6π 【解析】 【分析】根据平面向量互相垂直的性质,结合平面向量数量积的运算性质、平面向量夹角公式进行求解即可.【详解】因为()34a a b ⊥-,所以()23403401240a a b a a b a b ⋅-=⇒-⋅=⇒-⋅=, 得3a b ⋅=,设向量a 与b 的夹角为θ,所以cos 223a b a bθ⋅===⨯⋅,因为[0,]θπ∈,所以6πθ=.故答案:6π 【点睛】本题考查了平面向量垂直的性质,考查了平面向量的数量积运算性质,考查了平面向量夹角公式的应用,考查了数学运算能力. 15. 设n S 为等差数列{}n a 的前n 项和,已知在n S 中只有7S 最小,则1513______02S S -.(填“>”或“=”或“<”) 【答案】> 【解析】 【分析】利用7S 最小得出80a >,70a <,然后,利用等差数列求和公式即可求解 【详解】678S S S ><,有80a >,70a <,由题意可得()113137131302a a S a +==<,()115158151502a a S a +==>,故有151320S S ->.答案:>【点睛】本题考查如何求等差数列的前n 项和最小,属于基础题16. 已知抛物线2:4C y x =的焦点为F ,过点F 的直线l 与抛物线相交于A 、B 两点,O 为坐标原点,直线OA 、OB 与抛物线的准线分别相交于点P ,Q ,则PQ 的最小值为_____________. 【答案】4 【解析】 【分析】设直线l 的方程为1my x =-,联立方程,利用根与系数的关系,求得1212,y y y y +及121=x x 结合直线OA 和OB 的方程,得出点P 和Q 的坐标取得4PD QD ⋅=,再结合基本不等式,即可求解.【详解】设点A 、B 的坐标分别为()11,x y ,()22,x y ,直线l 的方程为1my x =-,联立方程241y x my x ⎧=⎨=-⎩消去x 后整理为2440y my --=,可得124y y m +=,124y y =-,则221212116y y x x ==,直线OA的方程为11y y x x =,可求得点P 的坐标为111,y x ⎛⎫-- ⎪⎝⎭, 直线OB 的方程为22y y x x =,可求得点Q 的坐标为221,y x ⎛⎫- ⎪⎝⎭, 记抛物线的准线与x 轴的交点为D ,有1212441y y PD QD x x ⋅===, 由4PQ PD QD=+=≥,当且仅当PD QD =时,等号成立,所以PQ 的最小值为4. 故答案为:4【点睛】本题主要考查了直线与抛物线的位置关系的应用,解答此类题目,通常联立直线方程与抛物线方程,应用一元二次方程根与系数的关系进行求解,此类问题易错点是复杂式子的变形能力不足,导致错解,能较好的考查考生的逻辑思维能力、运算求解能力. 三、解答题:解答应写出文字说明、证明过程或演算步骤.第17~21题为必考题,每个试题考生都必须作答.第22、23题为选考题,考生根据要求作答. (一)必考题:17. 在ABC 中,角A ,B ,C 所对的边分别为a 、b 、c ,()cos cos tan a C A A =+ (1)求角A 的大小;(2)若ABC a =b ,c .【答案】(1)3π;(2)b =c =b =,c =【解析】 【分析】(1)由正弦定理和题设条件,化简整理得(tan sin 0A B -=,得到tan A = 即可求解角A 的大小;(2)由三角形的面积公式,求得4bc =,再由余弦定理,得到2210b c +=,进而求得b c +=,联立方程组,即可求得,b c 的值.【详解】(1)在ABC ()cos cos tan a C c A A =+,()sin cos sin cos tan B A C C A A =+,()sin tan B A C A =+,因为()()sin sin sin A C B B π+=-=sin tan B B A =,即(tan sin 0A B =,又因为0B π<<,可得sin 0B ≠,所以tan A = 又由0A π<<,所以3A π=.(2)由三角形的面积公式,可得1sin 24ABC S bc A bc ===△,解得4bc =,因为2222261 cos2242b c a b cAbc+-+-===⨯,可得2210b c+=,所以()2102418b c+=+⨯=,即32b c+=,由324b cbc⎧+=⎪⎨=⎪⎩,解得222bc⎧=⎪⎨=⎪⎩或222bc⎧=⎪⎨=⎪⎩,故2b=,22c=或22b=,2c=.【点睛】本题主要考查了正弦定理、余弦定理和三角形的面积公式的应用,其中在解有关三角形的题目时,要抓住题设条件和利用某个定理的信息,合理应用正弦定理和余弦定理求解是解答的关键,着重考查了运算与求解能力,属于基础题.18. 如图,在三棱锥A BCD-中,O为AB的中点,E为AC的中点,F为AD的中点,2DC AC BC===,2AB=,DO⊥平面ABC.(1)求证:平面//OEF平面BCD;(2)求二面角D OE F--的余弦值【答案】(1)证明见解析;(2)63.【解析】【分析】(1)先结合线面平行的判定定理,证得//OE平面BCD和//EF平面BCD,再利用面面平行的判定定理,即可证得平面//OEF平面BCD;(2)以O为坐标原点,向量OB,OC,OD方向分别为x,y,z轴,建立如图所示空间直角坐标系,分别求得平面OED和平面OEF的一个法向量m和n,利用向量的夹角公式,即可求解.【详解】(1)在ABC∆中,因为AO OB=,AE EC=,可得//OE BC,在ACD ∆中,因为AO OB =,AF FD =,可得//EF CD , 因为OE ⊄平面BCD ,BC ⊂平面BCD ,所以//OE 平面BCD , 又因为EF ⊄平面BCD ,CD ⊂平面BCD ,所以//EF 平面BCD , 因为EFEO E =,EF ⊂平面OEF ,EO ⊂平面OEF ,所以平面//OEF 平面BCD .(2)如图所示,连CO ,由AC BC =,AO OB =,则CO AB ⊥, 在AOC △中,1OC ==,可得1AO OB OC ===,1OD =,因为OD ⊥平面ABC ,可得OB ,OC ,OD 两两垂直,以O 为坐标原点,向量OB ,OC ,OD 方向分别为x ,y ,z 轴,建立如图所示空间直角坐标系.则()0,0,0O,()1,0,0B ,()1,0,0A -,()0,1,0C ,()0,0,1D ,11,,022E ⎛⎫- ⎪⎝⎭,11,0,22F ⎛⎫- ⎪⎝⎭.所以11,,022OE ⎛⎫=- ⎪⎝⎭,()0,0,1OD =,11,0,22OF ⎛⎫=- ⎪⎝⎭,设平面OED 的法向量为(),,m x y z =,则11022OE m x y OD m z ⎧⋅=-+=⎪⎨⎪⋅==⎩, 取1x =,1y =,0z =,可得平面OED 的一个法向量为()1,1,0m =,设平面OEF 的法向量为(),,n a b c =,则1102211022OE n a b OF n a c ⎧⋅=-+=⎪⎪⎨⎪⋅=-+=⎪⎩,取1a =,1b =,1c =,有可得平面OEF 的一个法向量为()1,1,1n =, 又由2m n ⋅=,2m =,3n =,可得()cos ,m n == 故二面角D OE F --.【点睛】本题考查了平面与平面平行的判定与证明,以及空间角的求解问题,意在考查学生的空间想象能力和逻辑推理能力,解答中熟记线面位置关系的判定定理和性质定理,通过严密推理是线面位置关系判定的关键,同时对于立体几何中角的计算问题,往往可以利用空间向量法,通过求解平面的法向量,利用向量的夹角公式求解.19. “扶贫帮困”是中华民族的传统美德,某大型企业为帮扶贫困职工,设立“扶贫帮困基金”,采用如下方式进行一次募捐:在不透明的箱子中放入大小均相同的白球六个,红球三个,每位献爱心的参与者投币100元有一次摸奖机会,一次性从箱中摸球三个(摸完球后将球放回),若有一个红球,奖金20元,两个红球奖金40元,三个全为红球奖金200元. (1)求一位献爱心参与者不能获奖的概率;(2)若该次募捐有300位献爱心参与者,求此次募捐所得善款的数学期望. 【答案】(1)521;(2)23500元 【解析】 【分析】(1)不能获奖即摸到三个白球,由古典概型可求得解;(2)由题可知,设一个献爱心参与者参加活动,学校所得善款为X 元,则100X =,80,60,-100,求出每种情况的概率,求出期望,最后再乘以300.【详解】解:(1)一位“献爱心参与者不能中奖”记为事件A ,则36395()21C P A C ==.(2)设一个献爱心参与者参加活动,企业所得善款为X 元,则100X =,80,60,-100,则()3639510021C P X C ===,()123639158028C C P X C ===,()21363936014C C P X C ===,()3339110084C P X C =-==.若只有一个参与者募捐,学校所得善款的数学期望为()515312351008060100212814843E X =⨯+⨯+⨯+⨯=元. 所以此次募捐所得善款的数学期望为235300235003⨯=元. 【点睛】本题考查利用古典概型的概率解决数学期望问题.求古典概型概率的方法(1)判断是否是古典概型,(2)列举或计算基本事件总数和所求基本事件数(3)用古典概型的概率公式计算20. 在平面直角坐标系xOy 中,已知椭圆2222:1x y C a b+=0a b >>的右焦点为F ,上顶点为B ,30OBF ∠=︒,点2A ⎛⎫⎪ ⎪⎝⎭在椭圆C 上. (1)求椭圆C 的标准方程;(2)动直线l 与椭圆C 相交于P 、Q 两点,与x 轴相交于点M ,与y 轴的正半轴相交于点N ,T 为线段PQ 的中点,若744OP OQ OT OM OT ON ⋅-⋅-⋅为定值n ,请判断直线l 是否过定点,求实数n 的值,并说明理由.【答案】(1)22143x y +=;(2)直线l 过定点()0,1,21n =-,理由见解析. 【解析】 【分析】(1)设点F 的坐标为(),0c .由30OBF ∠=︒,可得2a c =,b =,故椭圆C 的标准方程为2222143x y c c +=,把点A ⎛ ⎝⎭代入,求出c ,即得椭圆C 的标准方程; (2)由题意可设直线l 的方程为y kx m =+()0m >,()()1122,,,P x y Q x y ,则(),00,,m k N m M ⎛⎫- ⎪⎝⎭.由22143x y y kx m⎧+=⎪⎨⎪=+⎩,消去y ,韦达定理可得12121212,,,x x x x y y y y ++.由()21212278427434OP OQ OT OM OT m x x y y ON k ⋅-⋅-⋅=+-+,可得()222214443k m n k ⎡⎤-+-⎣⎦=+为定值,故243m -=,即求,m n ,即得直线l 过定点.【详解】(1)设点F 的坐标为(),0c . 由OF c =,OB b =,BF a =,30OBF ∠=︒,可得2a c =,b =.∴椭圆C 的标准方程为2222143x y c c +=,点2A ⎛ ⎝⎭在椭圆C 上, 2211122c c ∴+=,1c ∴=, 故椭圆C 的标准方程为22143x y +=.(2)由题意可知直线l 的斜率存在且不为0,设直线l 的方程为y kx m =+()0m >, 设()()1122,,,P x y Q x y ,则(),00,,m k N m M ⎛⎫- ⎪⎝⎭.由22143x y y kx m ⎧+=⎪⎨⎪=+⎩,消去y ,整理可得()2224384120k x kmx m +++-=, 则122843km x x k +=-+,212241243m x x k -=+. 由()()()222222644434121612390k m k m k m ∆=-+-=-+>, 可得22430k m -+>.()()()21212122286224343k m my y kx m kx m k x x m m k k ∴+=+++=++=-+=++, ()()()2212121212y y kx m kx m k x x km x x m =++=+++ ()22222222224128312434343k m k m m k m k k k --=-+=+++, 22121227121243m k x x y y k --∴+=+,2243,4343km m T k k ⎛⎫- ⎪++⎝⎭.,m OM ON m k ⎛⎫∴+=- ⎪⎝⎭,()222222437434343m m m OT OM ON k k k ⋅+=+=+++, ()74474OP OQ OT OM OT ON OP OQ OT OM ON ∴⋅-⋅-⋅=⋅-⋅+()21212228743m x x y y k =+-=+()()2222222277121273121228434343m k m k m k k k -----=+++ ()()22222271231221444343k m k m k k ⎡⎤⎡⎤-+--+-⎣⎦⎣⎦==++,若744OP OQ OT OM OT ON ⋅-⋅-⋅为定值,则必有243m -=, 解得1m =±,0m >,1m ∴=,21n ∴=-.故直线l 过定点()0,1,21n =-.【点睛】本题考查椭圆的标准方程,考查直线与椭圆的位置关系,考查学生的运算能力,属于难题.21. 已知函数()2ln xf x xe ax a x =--()a R ∈(1)若曲线()y f x =在点()()1,1f 处的切线l 过点(0,21)e --,求实数a 的值; (2)若函数()f x 有两个零点,求实数a 的取值范围. 【答案】(1)1-;(2)()2,e +∞ 【解析】 【分析】(1)对函数()f x 进行求导,根据导数的几何意义,结合直线点斜式方程、点在直线上进行求解即可;(2)对函数()f x 进行求导,分类讨论求出函数的单调性,结合零点的定义、零点存在原理,通过构造新函数,对新函数进行求导,根据新函数的单调性进行求解即可. 【详解】解:(1)由()()21xaf x x e a x'=+--,有()142f e a '=-,()12f e a =-, 切线l 的方程为()()()2421y e a e a x --=--,代入点()0,21e --有()()21242e e a e a ----=--,解得1a =-,故实数a 的值为-1.(2)函数()f x 的定义域为()0,∞+,由()()()()()1212112x x x a x a a f x x e a x e x e x x x +⎛⎫'=+--=+-=+- ⎪⎝⎭, ()()212x xe a x+-=.①当0a ≤时,()0f x '>,此时函数()f x 单调递增,最多只有一个零点;②当0a >时,令()2x g x xe a =-(0)x ≥,由()()210xg x x e '=+>可知函数()g x 单调递增,又由()00g a =-<,()()2210aag a ae a a e =-=->,可得存在()00,x a ∈,使得()00g x =,有002x ax e =,可知函数()f x 的减区间为()00,x ,增区间为()0,x +∞. 若函数()f x 有两个零点,必有()()00000002ln ln x f x x e ax a x a a x x =--=-+00ln()ln1ln 022x a a a a x e a a a ⎛⎫=-=-=-< ⎪⎝⎭,得2a e >, 又由()()21ln 0aa a aa aa ae a f e ae a e a e e---->--=-=>, 令()ln h x x x =-,有()111x h x x x-'=-=,令()0h x '>可得1x >,故函数()h x 的增区间为()1,+∞,减区间为()0,1,有()()11h x h ≥=,当ln x a >时,即x e a >时,()()()2ln ln ln 0xf x x e a a x ax a x a x x a =-->-=-≥>,可得此时函数()f x 有两个零点.由上知,若函数()f x 有两个零点,则实数a 的取值范围为()2,e +∞.【点睛】本题考查了导数的几何意义,考查了已知函数零点的个数求参数取值范围问题,考查了分类讨论思想和数学运算能力.(二)选考题:请考生在第22、23题中任选一题作答.22. 在平面直角坐标系xOy 中,已知曲线C的参数方程为:sin x y ββ⎧=⎪⎨=⎪⎩,(β为参数),以坐标原点为极点,x 轴的非负半轴为极轴建立极坐标系,直线l 的极坐标方程为sin 4πρθ⎛⎫-= ⎪⎝⎭ (1)求曲线C 和直线l 的直角坐标方程;(2)若点P 在曲线C 上,且点P 到直线l 的距离最小,求点P 的坐标.【答案】(1)C :213z x y +=,l :30x y -+=;(2)31,22⎛⎫- ⎪⎝⎭ 【解析】【分析】(1)由曲线C的参数方程化为cos y sin ββ==⎩,平方相加,求得曲线C 的直角坐标方程,把直线l 的极坐标方程化为22sin cos 322ρθθ-=,进而求得直线l 的直角坐标方程;(2)设点),sin P αα ,求得点P 到直线l的距离d = ,结合三角函数的性质,即可求解.【详解】(1)由曲线C的参数方程为:sin x y ββ⎧=⎪⎨=⎪⎩ ,(β为参数),可得cos y sin ββ==⎩, 平方相加,可得213z x y += ,即曲线C 的直角坐标方程为213z x y += , 由直线l的极坐标方程化为()sin cos 22ρθθ-= , 将cos x ρθ=,sin y ρθ=代入可得30x y -+= ,故直线l 的直角坐标方程为30x y -+= .(2)由点P 在曲线C上,设点),sin P αα 2aαπ≤<, 则点P 到直线l 的距离22cos d απ=-+=当cos 16a π⎛⎫+=- ⎪⎝⎭ 时,即56a π=,点P 到直线l的距离的最小值为2, 此时点P 的坐标为31,22⎛⎫-⎪⎝⎭ . 【点睛】本题主要考查了参数方程与普通方程,极坐标方程与直角坐标方程的互化,以及点到直线的距离公式和三角函数的性质的综合应用,着重考查推理与运算能力.23. 已知函数()2f x x x =--.(1)求不等式()1f x 的解集;(2)若[]2,2x ∈-时,()f x mx ≥恒成立,求实数m 的值.【答案】(1)1,2⎛⎤-∞ ⎥⎝⎦;(2)1- 【解析】【分析】(1)利用绝对值的定义将函数()f x 化为()2,022,02,2,2x f x x x x <⎧⎪=-≤≤⎨⎪->⎩然后分段求解不等式,得出答案.(2)当[]02x ∈, 时,即()22f x x mx =-≥ 恒成立,得出此时m 的范围,当20x -≤< 时,()2f x mx =≥ 恒成立,得出此时m 的范围,然后综合得出答案.【详解】解:(1)()2,022,02,2,2x f x x x x <⎧⎪=-≤≤⎨⎪->⎩当0x <时,()1f x ≥ ,得0x <;当02x ≤≤时,由221x -≥,得102x ≤≤; 当2x >时,21-≥ ,无解.所以不等式()1f x 的解集为:1,2⎛⎤-∞ ⎥⎝⎦(2)当[]02x ∈,时,()22f x x mx =-≥ 恒成立. 当0x =,20m ≥⨯ 恒成立,m R ∈当02x <≤时,22x mx -≥恒成立,即22m x +≤恒成立,所以21m +≤,即1m ≤-. 当20x -≤<时,2f x m x =≥恒成立,即2m x ≥,即 1m ≥- 综上,实数m 的值为-1.【点睛】本题考查含绝对值的不等式的求解和恒成立问题,关键是由绝对值的定义打开绝对值,再分段处理,属于中档题.。
工程数学作业(第四次)(满分100分)第5章 随机变量及其数字特征(一)单项选择题(每小题2分,共14分) ⒈设随机变量,且,则参数与分别是( A ).A. 6, 0.8B. 8, 0.6C. 12, 0.4D. 14, 0.2 ⒉设为连续型随机变量的密度函数,则对任意的,(A ).A. B. C.D.⒊在下列函数中可以作为分布密度函数的是(A ). A.B.C.D.⒋设连续型随机变量的密度函数为,分布函数为,则对任意的区间,则(D ). A. B. C. D.⒌设为随机变量,则( D ).A. B. C. D.⒍设为随机变量,,当(B )时,有.A. B. C. D.7. 设是随机变量,2)(σ=X D ,设,则=)(Y D ( B ). (A) (B)(C)(D) b a+22σ(二)填空题(每小题2分,共14分) ⒈已知连续型随机变量的分布函数,且密度函数连续,则)(x F ' .⒉设随机变量,则的分布函数⎪⎩⎪⎨⎧≥<<≤1,110,00x x x x , . ⒊若,则 6 .⒋若,则0.9974 .⒌若二维随机变量的相关系数,则称相互独立 . ⒍称为二维随机变量的 协方差 .7. 设连续型随机变量X 的密度函数是)(x f ,则=<<)(b X a P ⎰badx x f )( .(三)解答题(每小题8分,共72分)⒈某射手连续向一目标射击,直到命中为止.已知他每发命中的概率是,求所需设计次数的概率分布.⒉设随机变量的概率分布为试求.⒊设随机变量具有概率密度试求.⒋已知随机变量的概率分布为求.⒌设,求.⒍已知100个产品中有5个次品,现从中任取1个,有放回地取3次,求在所取的3个产品中恰有2个次品的概率.⒎某篮球运动员一次投篮投中篮框的概率为0.8,该运动员投篮4次,求⑴投中篮框不少于3次的概率;⑵至少投中篮框1次的概率.⒏设,计算⑴;⑵.9. 设是独立同分布的随机变量,已知,设,求.。
江苏省三校2017届高三数学第四次模拟考试试题编辑整理:尊敬的读者朋友们:这里是精品文档编辑中心,本文档内容是由我和我的同事精心编辑整理后发布的,发布之前我们对文中内容进行仔细校对,但是难免会有疏漏的地方,但是任然希望(江苏省三校2017届高三数学第四次模拟考试试题)的内容能够给您的工作和学习带来便利。
同时也真诚的希望收到您的建议和反馈,这将是我们进步的源泉,前进的动力。
本文可编辑可修改,如果觉得对您有帮助请收藏以便随时查阅,最后祝您生活愉快业绩进步,以下为江苏省三校2017届高三数学第四次模拟考试试题的全部内容。
2017届高三年级第四次模拟考试数学Ⅰ试题2017.5一、填空题:(本大题共14小题,每小题5分,共70分) 1. 已知集合{}|11,A x x =-<≤集合{}1,1,3B =-,则A B = 。
2. 若复数12iz i-=+(i 为虚数单位),则z 的实部是 。
3。
函数()1lg f x x =-的定义域为 。
4.根据如图所示的程序框图,输出a 的值为 .5.现有采用系统抽样的方法,从1000人中抽取50人做问卷调查,为此,将他们随机编号为1,2,3,…,1000,分组后,已知第一组中采用抽签法抽到的号码为8,若编号在区间[]1,400上的人数做问卷A; 编号在区间[]401,750上的人数做问卷B;其余的人做问卷C ,则做问卷C 的人数是 。
6.从1,2,3,4,5这五个数中一次随机取两个数,则取出的两个数的和为奇数的概率为 .7.在平面直角坐标系xoy 中,若双曲线()22102x y m m-=>6则该双曲线的两条渐近线方程是 .8。
在平面直角坐标系xoy 中,将函数sin 2y x =的图象向右平移12π个单位得到函数()g x 的图象,则12g π⎛⎫⎪⎝⎭的值为 .9。
若实数,x y 满足2211x y x y x y -≤⎧⎪-≥-⎨⎪+≥⎩,则2x y +的最小值是 。