《工程数学》形成性考核作业答案
- 格式:docx
- 大小:197.82 KB
- 文档页数:6
国开一体化平台《工程数学(本)》形考作业(5)试题及答案
(课程代码:00490,随机抽题,Ctrl+F查找更快捷,李老师祝同学们取得优异成绩!)----------------------------------------------------------------
形成性考核作业5
---------------------------------------------------------------- 解答题(第1-9题,每题8分,共72分;第10-13题,每题7分,共28分)
题目:1、1.求下列线性方程组的全部解。
解:
题目:2、
解:
题目:3、
解:
题目:4
解:
设长度合格为A事件,直径合格为B事件,则长度直径都合格为AB事件,根据题意有P(A)=0.95,P(B)=0.92,P(AB)=0.87.
题目:5、
解:
题目:6、
题目:7、
题目:8、
题目:9、某篮球运动员一次投篮投中篮框的概率为0.8,该运动员投篮4次,⑴求投中篮框不少于3次的概率;⑵求至少投中篮框1次的概率。
题目:10、
题目:11、
题目:12、
解:
题目:13、
----------------------------------------------------------------。
《工程数学》形成性考核作业3答案第4章 随机事件与概率(一)单项选择题⒈A B ,为两个事件,则( B )成立.A. ()A B B A +-=B. ()A B B A +-⊂C. ()A B B A -+=D. ()A B B A -+⊂ ⒉如果( C )成立,则事件A 与B 互为对立事件. A. AB =∅ B. AB U =C. AB =∅且AB U =D. A 与B 互为对立事件⒊袋中有3个白球7个黑球,每次取1个,不放回,第二次取到白球的概率是( A ). A.103 B. 92 C.93 D. 102 4. 对于事件A B ,,命题(C )是正确的. A. 如果A B ,互不相容,则A B ,互不相容 B. 如果A B ⊂,则A B ⊂ C. 如果A B ,对立,则A B ,对立 D. 如果A B ,相容,则A B ,相容⒌某随机试验的成功率为)10(<<p p ,则在3次重复试验中至少失败1次的概率为(D ).A.3)1(p -B. 31p -C. )1(3p -D.)1()1()1(223p p p p p -+-+-6.设随机变量X B n p ~(,),且E X D X ().,().==48096,则参数n 与p 分别是(A ).A. 6,B. 8, 0.6C. 12,D. 14,7.设f x ()为连续型随机变量X 的密度函数,则对任意的a b a b ,()<,E X ()=(A ).A. xf x x ()d -∞+∞⎰B. xf x x ab()d ⎰C. f x x ab()d ⎰ D. f x x ()d -∞+∞⎰8.在下列函数中可以作为分布密度函数的是(B ).A. f x x x ()sin ,,=-<<⎧⎨⎪⎩⎪ππ2320其它B. f x x x ()sin ,,=<<⎧⎨⎪⎩⎪020π其它C. f x x x ()sin ,,=<<⎧⎨⎪⎩⎪0320π其它 D. f x x x ()sin ,,=<<⎧⎨⎩00π其它 9.设连续型随机变量X 的密度函数为f x (),分布函数为F x (),则对任意的区间(,)a b ,则=<<)(b X a P ( D ).A. F a F b ()()-B. F x x a b()d ⎰C. f a f b ()()-D. f x x ab()d ⎰10.设X 为随机变量,E X D X (),()==μσ2,当(C )时,有E Y D Y (),()==01.A. Y X =+σμB. Y X =-σμC. Y X =-μσD. Y X =-μσ2(二)填空题⒈从数字1,2,3,4,5中任取3个,组成没有重复数字的三位数,则这个三位数是偶数的概率为52.2.已知P A P B ().,().==0305,则当事件A B ,互不相容时,P A B ()+= ,P AB ()= .3.A B ,为两个事件,且B A ⊂,则P A B ()+=()A P .4. 已知P AB P AB P A p ()(),()==,则P B ()=P -1.5. 若事件A B ,相互独立,且P A p P B q (),()==,则P A B ()+=pq q p -+.6. 已知P A P B ().,().==0305,则当事件A B ,相互独立时,P A B ()+= ,P A B ()= .7.设随机变量X U ~(,)01,则X 的分布函数F x ()=⎪⎩⎪⎨⎧≥<<≤111000x x x x .8.若X B ~(,.)2003,则E X ()= 6 . 9.若X N ~(,)μσ2,则P X ()-≤=μσ3)3(2Φ.10.E X E X Y E Y [(())(())]--称为二维随机变量(,)X Y 的 协方差 . (三)解答题1.设A B C ,,为三个事件,试用A B C ,,的运算分别表示下列事件: ⑴ A B C ,,中至少有一个发生; ⑵ A B C ,,中只有一个发生; ⑶ A B C ,,中至多有一个发生; ⑷ A B C ,,中至少有两个发生; ⑸ A B C ,,中不多于两个发生; ⑹ A B C ,,中只有C 发生.解:(1)C B A ++ (2)C B A C B A C B A ++ (3) C B A C B A C B A C B A +++ (4)BC AC AB ++ (5)C B A ++ (6)C B A2. 袋中有3个红球,2个白球,现从中随机抽取2个球,求下列事件的概率:⑴ 2球恰好同色; ⑵ 2球中至少有1红球.解:设A =“2球恰好同色”,B =“2球中至少有1红球”521013)(252223=+=+=C C C A P 1091036)(25231213=+=+=C C C C B P 3. 加工某种零件需要两道工序,第一道工序的次品率是2%,如果第一道工序出次品则此零件为次品;如果第一道工序出正品,则由第二道工序加工,第二道工序的次品率是3%,求加工出来的零件是正品的概率. 解:设=i A “第i 道工序出正品”(i=1,2)9506.0)03.01)(02.01()|()()(12121=--==A A P A P A A P4. 市场供应的热水瓶中,甲厂产品占50%,乙厂产品占30%,丙厂产品占20%,甲、乙、丙厂产品的合格率分别为90%,85%,80%,求买到一个热水瓶是合格品的概率.解:设""1产品由甲厂生产=A ""2产品由乙厂生产=A ""3产品由丙厂生产=A""产品合格=B)|()()|()()|()()(332211A B P A P A B P A P A B P A P B P ++=865.080.02.085.03.09.05.0=⨯+⨯+⨯=5. 某射手每发命中的概率是,连续射击4次,求: (1)恰好命中3次的概率; (2)至少命中1次的概率解:这亇问题可以看作伯努利概型,即假设射手每次射击都是相互独立的,每次的命中率保持不变.设事件A i ={恰有i 次命中},(i=0,1,2,3,4),B={至少命中1次}.(1)由伯努利概型的概率计算公式,得P(A 3)=C 13341.0.9.0.=(2)P(B)=1-P(A 0)=1-C 04.04== 6.设随机变量X 的概率分布为12345601015020301201003.......⎡⎣⎢⎤⎦⎥ 试求P X P X P X (),(),()≤≤≤≠4253.(形考作业上题目是错误X 的概率分布应改为上式) 解:87.012.03.02.015.01.0)4()3()2()1()0()4(=++++==+=+=+=+==≤X P X P X P X P X P X P72.01.012.03.02.0)5()4()3()2()52(=+++==+=+=+==≤≤X P X P X P X P X P 7.03.01)3(1)3(=-==-=≠X P X P7.设随机变量X 具有概率密度f x x x (),,=≤≤⎧⎨⎩2010其它试求P X P X (),()≤<<12142.解:412)()21(210221021====≤⎰⎰∞-x xdx dx x f X P 16152)()241(1412141241====<<⎰⎰x xdx dx x f X P 8. 设X f x x x ~(),,=≤≤⎧⎨⎩2010其它,求E X D X (),().解:32322)()(1031==⋅==⎰⎰+∞∞-x xdx x dx x xf X E 21422)()(1041222==⋅==⎰⎰+∞∞-x xdx x dx x f x X E181)32(21)]([)()(222=-=-=x E X E X D 9. 设)4.0,6.0(~2N X ,计算⑴P X (..)0218<<;⑵P X ()>0. 解:=-Φ-Φ=<-<-=<<)1()3()34.06.01()8.12.0(X P X P 0668.09332.01)5.1(1)5.14.06.0()0(=-=Φ-=-〉-=>X P X P 设X X X n12,,, 是独立同分布的随机变量,已知E X D X (),()112==μσ,设X n X i i n==∑11,求E X D X (),().解:)]()()([1)(1)1()(21211n n ni i X E X E X E nX X X E n X nE X E +⋯⋯++=+⋯⋯++==∑= μμ==n n1)]()()([1)(1)1()(2122121n n ni i X D X D X D nX X X D nXnD X D +⋯⋯++=+⋯⋯++==∑=22211σσn n n =⋅=。
国家开放大学《工程数学(本)》形成性考核作业四测验答案一、解答题(答案在最后)
二、证明题(答案在最后)
参考答案
试题1答案:解:
试题2答案:
试题3答案:解:
试题4答案:
试题5答案:
试题6答案:
试题7答案:
试题8答案:
试题9答案:
试题10答案:
证明:(A+A′)′=A′+(A′)′=A′+A=A+A′∴A+A′是对称矩阵
试题11答案:
证明:∵A是n阶方阵,且AA′=I
∴|AA′|=|A||A′|=|A|2=|I|=1
∴|A|=1或|A|=-1
试题12答案:
证明:设AX=B为含n个未知量的线性方程组
该方程组有解,即R(Ā)=R(A)=n
从而AX=B有唯一解当且仅当R(A)=n
而相应齐次线性方程组AX=0只有零解的充分必要条件是R(A)=n
∴AX=B有唯一解的充分必要条件是:相应的齐次线性方程组AX=0只有零解。
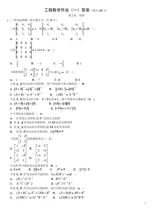
【工程数学】形成性考核册答案工程数学作业(一)答案(满分100分)第2章 矩阵(一)单项选择题(每小题2分,共20分)⒈设a a a b b b c c c 1231231232=,则a a a a b a b a b c c c 123112233123232323---=(D ). A. 4 B. -4 C. 6 D. -6⒉若000100002001001a a =,则a=(A ). A. 12 B. -1 C. -12D. 1⒊乘积矩阵1124103521-⎡⎣⎢⎤⎦⎥-⎡⎣⎢⎤⎦⎥中元素c 23=(C ). A. 1 B. 7 C. 10 D. 8 ⒋设A B ,均为n 阶可逆矩阵,则下列运算关系正确的是( B ). A. A B A B +=+---111B. ()A B B A--=11C. ()A B A B +=+---111D. ()A B A B---=111⒌设A B ,均为n 阶方阵,k >0且k ≠1,则下列等式正确的是(D ). A. A B A B +=+ B. A B n A B = C. k A k A = D. -=-k Ak An() ⒍下列结论正确的是( A ).A. 若A 是正交矩阵,则A -1也是正交矩阵B. 若A B ,均为n 阶对称矩阵,则A B 也是对称矩阵C. 若A B ,均为n 阶非零矩阵,则AB 也是非零矩阵 D. 若A B ,均为n 阶非零矩阵,则A B ≠0 ⒎矩阵1325⎡⎣⎢⎤⎦⎥的伴随矩阵为( C ). A. 1325--⎡⎣⎢⎤⎦⎥ B. --⎡⎣⎢⎤⎦⎥1325 C. 5321--⎡⎣⎢⎤⎦⎥ D. --⎡⎣⎢⎤⎦⎥5321⒏方阵A 可逆的充分必要条件是(B ). A.A ≠0 B.A ≠0 C. A *≠0 D. A *>0 ⒐设A B C ,,均为n 阶可逆矩阵,则()A C B '=-1(D ). A. ()'---BA C 111B. '--B C A 11C. A C B ---'111() D. ()BC A---'111⒑设A B C ,,均为n 阶可逆矩阵,则下列等式成立的是(A ). A. ()A B A A B B +=++2222 B. ()A B B B A B +=+2C. ()221111A B C C B A ----= D. ()22A B C C B A '=''' (二)填空题(每小题2分,共20分)⒈21140001---= 7 . ⒉---11111111x 是关于x的一个一次多项式,则该多项式一次项的系数是 2 . ⒊若A 为34⨯矩阵,B 为25⨯矩阵,切乘积A C B ''有意义,则C 为 5×4 矩阵. ⒋二阶矩阵A =⎡⎣⎢⎤⎦⎥=11015⎥⎦⎤⎢⎣⎡1051. ⒌设A B =-⎡⎣⎢⎢⎢⎤⎦⎥⎥⎥=--⎡⎣⎢⎤⎦⎥124034120314,,则()A B +''=⎥⎦⎤⎢⎣⎡--815360 ⒍设A B ,均为3阶矩阵,且AB ==-3,则-=2A B 72 . ⒎设A B ,均为3阶矩阵,且A B =-=-13,,则-'=-312()A B -3 . ⒏若A a =⎡⎣⎢⎤⎦⎥101为正交矩阵,则a = 0 . ⒐矩阵212402033--⎡⎣⎢⎢⎢⎤⎦⎥⎥⎥的秩为 2 . ⒑设A A 12,是两个可逆矩阵,则A O O A 121⎡⎣⎢⎤⎦⎥=-⎥⎦⎤⎢⎣⎡--1211A O O A . (三)解答题(每小题8分,共48分)⒈设A B C =-⎡⎣⎢⎤⎦⎥=-⎡⎣⎢⎤⎦⎥=-⎡⎣⎢⎤⎦⎥123511435431,,,求⑴A B +;⑵A C +;⑶23A C +;⑷AB +5;⑸A B ;⑹()A BC '.答案:⎥⎦⎤⎢⎣⎡=+8130B A ⎥⎦⎤⎢⎣⎡=+4066C A ⎥⎦⎤⎢⎣⎡=+73161732C A⎥⎦⎤⎢⎣⎡=+01222265B A ⎥⎦⎤⎢⎣⎡=122377AB ⎥⎦⎤⎢⎣⎡='801512156)(C AB⒉设A B C =--⎡⎣⎢⎤⎦⎥=-⎡⎣⎢⎤⎦⎥=--⎡⎣⎢⎢⎢⎤⎦⎥⎥⎥121012103211114321002,,,求A C B C +.解:⎥⎦⎤⎢⎣⎡--=⎥⎥⎥⎦⎤⎢⎢⎢⎣⎡--⎥⎦⎤⎢⎣⎡=+=+10221046200123411102420)(C B A BC AC ⒊已知A B =-⎡⎣⎢⎢⎢⎤⎦⎥⎥⎥=-⎡⎣⎢⎢⎢⎤⎦⎥⎥⎥310121342102111211,,求满足方程32A X B -=中的X . 解: 32A X B-= ∴ ⎥⎥⎥⎥⎥⎥⎦⎤⎢⎢⎢⎢⎢⎢⎣⎡--=⎥⎥⎥⎦⎤⎢⎢⎢⎣⎡--=-=252112712511234511725223821)3(21B A X⒋写出4阶行列式1020143602533110-- 中元素a a 4142,的代数余子式,并求其值.答案:0352634020)1(1441=--=+a 45350631021)1(2442=---=+a⒌用初等行变换求下列矩阵的逆矩阵:⑴ 122212221--⎡⎣⎢⎢⎢⎤⎦⎥⎥⎥; ⑵ 1234231211111026---⎡⎣⎢⎢⎢⎢⎤⎦⎥⎥⎥⎥; ⑶1000110011101111⎡⎣⎢⎢⎢⎢⎤⎦⎥⎥⎥⎥. 解:(1)[]⎥⎥⎥⎥⎥⎥⎦⎤⎢⎢⎢⎢⎢⎢⎣⎡--−−−→−⎥⎥⎥⎥⎥⎥⎦⎤⎢⎢⎢⎢⎢⎢⎣⎡----−−→−⎥⎥⎥⎥⎥⎦⎤⎢⎢⎢⎢⎢⎣⎡------−−−→−⎥⎥⎥⎦⎤⎢⎢⎢⎣⎡------−−−→−⎥⎥⎥⎦⎤⎢⎢⎢⎣⎡--=+-+--+-++-+-91929292919292929110001000191929203132032311002120112201203231900630201102012001360630221100010001122212221|2313323212312122913123222r r r r r r r r r r r r r r I A ⎥⎥⎥⎥⎥⎥⎦⎤⎢⎢⎢⎢⎢⎢⎣⎡--=∴-9192929291929292911A(2)⎥⎥⎥⎥⎦⎤⎢⎢⎢⎢⎣⎡--------=-35141201132051717266221A (过程略) (3) ⎥⎥⎥⎥⎦⎤⎢⎢⎢⎢⎣⎡---=-11000110001100011A ⒍求矩阵1011011110110010121012113201⎡⎣⎢⎢⎢⎢⎤⎦⎥⎥⎥⎥的秩.解:⎥⎥⎥⎥⎦⎤⎢⎢⎢⎢⎣⎡----−−→−⎥⎥⎥⎥⎦⎤⎢⎢⎢⎢⎣⎡-----−−→−⎥⎥⎥⎥⎦⎤⎢⎢⎢⎢⎣⎡-------−−−→−⎥⎥⎥⎥⎦⎤⎢⎢⎢⎢⎣⎡+-+-+-+-+-00000000111000111011011011010111000011100011101101111112211100111000111011011111102311210121010011011110110143424131212r r r r r r r r r r ∴3)(=A R(四)证明题(每小题4分,共12分) ⒎对任意方阵A ,试证AA +'是对称矩阵. 证明:'')''(')''(A A A A A A A A +=+=+=+∴ AA +'是对称矩阵 ⒏若A 是n 阶方阵,且A AI '=,试证A =1或-1. 证明: A 是n 阶方阵,且A AI '= 12==='='I A A A A AA =1或1-=A⒐若A 是正交矩阵,试证'A 也是正交矩阵. 证明: A 是正交矩阵∴ A A '=-1)()()(111''==='---A A A A即'A 是正交矩阵工程数学作业(第二次)(满分100分)第3章 线性方程组(一)单项选择题(每小题2分,共16分)⒈用消元法得x x x x x x 12323324102+-=+=-=⎧⎨⎪⎩⎪的解x x x 123⎡⎣⎢⎢⎢⎤⎦⎥⎥⎥为(C ). A. [,,]102-'B. [,,]--'722C. [,,]--'1122D. [,,]---'1122⒉线性方程组x x x x x x x 12313232326334++=-=-+=⎧⎨⎪⎩⎪(B ). A. 有无穷多解 B. 有唯一解 C. 无解 D. 只有零解⒊向量组100010001121304⎡⎣⎢⎢⎢⎤⎦⎥⎥⎥⎡⎣⎢⎢⎢⎤⎦⎥⎥⎥⎡⎣⎢⎢⎢⎤⎦⎥⎥⎥⎡⎣⎢⎢⎢⎤⎦⎥⎥⎥⎡⎣⎢⎢⎢⎤⎦⎥⎥⎥,,,,的秩为( A ). A. 3 B. 2 C. 4 D. 5⒋设向量组为αααα12341100001110101111=⎡⎣⎢⎢⎢⎢⎤⎦⎥⎥⎥⎥=⎡⎣⎢⎢⎢⎢⎤⎦⎥⎥⎥⎥=⎡⎣⎢⎢⎢⎢⎤⎦⎥⎥⎥⎥=⎡⎣⎢⎢⎢⎢⎤⎦⎥⎥⎥⎥,,,,则(B )是极大无关组. A. αα12, B. ααα123,, C. ααα124,, D. α1 ⒌A 与A 分别代表一个线性方程组的系数矩阵和增广矩阵,若这个方程组无解,则(D ). A. 秩()A =秩()A B. 秩()A <秩()A C. 秩()A >秩()A D. 秩()A=秩()A -1 ⒍若某个线性方程组相应的齐次线性方程组只有零解,则该线性方程组(A ). A. 可能无解 B. 有唯一解 C. 有无穷多解 D. 无解 ⒎以下结论正确的是(D ).A. 方程个数小于未知量个数的线性方程组一定有解B. 方程个数等于未知量个数的线性方程组一定有唯一解C. 方程个数大于未知量个数的线性方程组一定有无穷多解D. 齐次线性方程组一定有解 ⒏若向量组ααα12,,, s线性相关,则向量组内(A )可被该向量组内其余向量线性表出.A. 至少有一个向量B. 没有一个向量C. 至多有一个向量D. 任何一个向量9.设A ,B为n 阶矩阵,λ既是A又是B的特征值,x 既是A又是B的属于λ的特征向量,则结论( )成立.A.λ是AB 的特征值 B.λ是A+B 的特征值C.λ是A -B 的特征值 D.x 是A+B 的属于λ的特征向量10.设A,B,P为n 阶矩阵,若等式(C )成立,则称A和B相似. A.BA AB = B.AB AB =')( C.B PAP =-1 D.B P PA =' (二)填空题(每小题2分,共16分)⒈当λ= 1 时,齐次线性方程组x x x x 12120+=+=⎧⎨⎩λ有非零解.⒉向量组[][]αα12000111==,,,,,线性 相关 . ⒊向量组[][][][]123120100000,,,,,,,,,,,的秩是 3 .⒋设齐次线性方程组ααα1122330x x x ++=的系数行列式ααα1230=,则这个方程组有 无穷多解,且系数列向量ααα123,,是线性 相关 的.⒌向量组[][][]ααα123100100===,,,,,的极大线性无关组是21,αα. ⒍向量组ααα12,,, s的秩与矩阵[]ααα12,,, s的秩 相同 . ⒎设线性方程组A X =0中有5个未知量,且秩()A =3,则其基础解系中线性无关的解向量有 2 个.⒏设线性方程组A X b =有解,X 0是它的一个特解,且A X =0的基础解系为X X 12,,则A X b =的通解为22110X k X k X ++.9.若λ是A的特征值,则λ是方程0=-A I λ 的根. 10.若矩阵A满足A A '=-1 ,则称A为正交矩阵. (三)解答题(第1小题9分,其余每小题11分) 1.用消元法解线性方程组x x x x x x x x x x x x xx x x 123412341234123432638502412432---=-++=-+-+=--+--=⎧⎨⎪⎪⎩⎪⎪ 解:⎥⎥⎥⎥⎦⎤⎢⎢⎢⎢⎣⎡-----−−→−⎥⎥⎥⎥⎦⎤⎢⎢⎢⎢⎣⎡---------−−−→−⎥⎥⎥⎥⎦⎤⎢⎢⎢⎢⎣⎡----------=+-+++++-261210009039270188710482319018431001850188710612312314112141205183612314132124131215323r r r r r r r r r r r r A ⎥⎥⎥⎥⎦⎤⎢⎢⎢⎢⎣⎡----−−−→−⎥⎥⎥⎥⎦⎤⎢⎢⎢⎢⎣⎡----−−→−⎥⎥⎥⎥⎦⎤⎢⎢⎢⎢⎣⎡----−−→−+-+-+---+3311000411004615010124420011365004110018871048231901136500123300188710482319014323133434571931213r r r r r r r r r r ⎥⎥⎥⎥⎦⎤⎢⎢⎢⎢⎣⎡--−−−→−⎥⎥⎥⎥⎦⎤⎢⎢⎢⎢⎣⎡----−−→−++-+-3100010100100102000131004110046150101244200134241441542111r r r r r r r ∴方程组解为⎪⎪⎩⎪⎪⎨⎧-==-==31124321x x x x2.设有线性方程组λλλλλ11111112⎡⎣⎢⎢⎢⎤⎦⎥⎥⎥⎡⎣⎢⎢⎢⎤⎦⎥⎥⎥=⎡⎣⎢⎢⎢⎤⎦⎥⎥⎥x y z λ 为何值时,方程组有唯一解?或有无穷多解?解:⎥⎥⎥⎦⎤⎢⎢⎢⎣⎡-+-+---−−→−⎥⎥⎥⎦⎤⎢⎢⎢⎣⎡------−−−→−⎥⎥⎥⎦⎤⎢⎢⎢⎣⎡−−→−⎥⎥⎥⎦⎤⎢⎢⎢⎣⎡=++-+-↔22322222)1)(1()1)(2(00)1(110111110110111111111111111132312131λλλλλλλλλλλλλλλλλλλλλλλλλλλλλλr r r r r r r r A ]当1≠λ且2-≠λ时,3)()(==A R A R ,方程组有唯一解 当1=λ时,1)()(==A R A R ,方程组有无穷多解3.判断向量β能否由向量组ααα123,,线性表出,若能,写出一种表出方式.其中 βααα=---⎡⎣⎢⎢⎢⎢⎤⎦⎥⎥⎥⎥=-⎡⎣⎢⎢⎢⎢⎤⎦⎥⎥⎥⎥=--⎡⎣⎢⎢⎢⎢⎤⎦⎥⎥⎥⎥=--⎡⎣⎢⎢⎢⎢⎤⎦⎥⎥⎥⎥83710271335025631123,,, 解:向量β能否由向量组321,,ααα线性表出,当且仅当方程组βααα=++332211x x x 有解这里 []⎥⎥⎥⎥⎦⎤⎢⎢⎢⎢⎣⎡--−→−⋯⋯⋯⋯−→−⎥⎥⎥⎥⎦⎤⎢⎢⎢⎢⎣⎡--------==571000117100041310730110123730136578532,,,321βαααA )()(A R A R ≠∴ 方程组无解 β不能由向量321,,ααα线性表出4.计算下列向量组的秩,并且(1)判断该向量组是否线性相关αααα1234112343789131303319636=-⎡⎣⎢⎢⎢⎢⎢⎢⎤⎦⎥⎥⎥⎥⎥⎥=-⎡⎣⎢⎢⎢⎢⎢⎢⎤⎦⎥⎥⎥⎥⎥⎥=----⎡⎣⎢⎢⎢⎢⎢⎢⎤⎦⎥⎥⎥⎥⎥⎥=⎡⎣⎢⎢⎢⎢⎢⎢⎤⎦⎥⎥⎥⎥⎥⎥,,, 解:[]⎥⎥⎥⎥⎥⎥⎦⎤⎢⎢⎢⎢⎢⎢⎣⎡-−→−⋯⋯⋯⋯−→−⎥⎥⎥⎥⎥⎥⎦⎤⎢⎢⎢⎢⎢⎢⎣⎡------=00000001800021101131631343393608293711131,,,4321αααα ∴该向量组线性相关5.求齐次线性方程组x x x x x x x x x x x x x x x 1234123412341243205230112503540-+-=-+-+=--+-=++=⎧⎨⎪⎪⎩⎪⎪ 的一个基础解系. 解:⎥⎥⎥⎥⎥⎦⎤⎢⎢⎢⎢⎢⎣⎡---−−−→−⎥⎥⎥⎥⎦⎤⎢⎢⎢⎢⎣⎡-------−−−→−⎥⎥⎥⎥⎦⎤⎢⎢⎢⎢⎣⎡-------=+-+-+-+-++30000000731402114501103140731407314021314053521113215213142321241312114335r r r r r r r r r r r r A⎥⎥⎥⎥⎥⎥⎦⎤⎢⎢⎢⎢⎢⎢⎣⎡-−−−→−⎥⎥⎥⎥⎥⎥⎦⎤⎢⎢⎢⎢⎢⎢⎣⎡--−→−⎥⎥⎥⎥⎥⎥⎦⎤⎢⎢⎢⎢⎢⎢⎣⎡--−−→−+-+↔-000100001431001450100010002114310211450100030002114310211450123133432212131141r r r r r r r r方程组的一般解为⎪⎪⎪⎩⎪⎪⎪⎨⎧==-=014314543231x x x x x 令13=x ,得基础解系 ⎥⎥⎥⎥⎥⎥⎦⎤⎢⎢⎢⎢⎢⎢⎣⎡-=10143145ξ 6.求下列线性方程组的全部解.x x x x x x x x xx x x x x x 12341234124123452311342594175361-+-=-+-+=----=++-=-⎧⎨⎪⎪⎩⎪⎪解:⎥⎥⎥⎥⎥⎦⎤⎢⎢⎢⎢⎢⎣⎡---−−−→−⎥⎥⎥⎥⎦⎤⎢⎢⎢⎢⎣⎡--------−−−→−⎥⎥⎥⎥⎦⎤⎢⎢⎢⎢⎣⎡----------=++-+-+-++00000000002872140121790156144280287214028721401132511163517409152413113251423212413121214553r r r r r r r r r r r r A ⎥⎥⎥⎥⎥⎥⎦⎤⎢⎢⎢⎢⎢⎢⎣⎡---−−→−-0000000000221711012179012141r ∴方程组一般解为⎪⎪⎩⎪⎪⎨⎧---=++-=2217112197432431x x x x x x令13k x =,24k x =,这里1k ,2k 为任意常数,得方程组通解⎥⎥⎥⎥⎦⎤⎢⎢⎢⎢⎣⎡-+⎥⎥⎥⎥⎥⎥⎦⎤⎢⎢⎢⎢⎢⎢⎣⎡-+⎥⎥⎥⎥⎥⎥⎦⎤⎢⎢⎢⎢⎢⎢⎣⎡-=⎥⎥⎥⎥⎥⎥⎦⎤⎢⎢⎢⎢⎢⎢⎣⎡--++-=⎥⎥⎥⎥⎦⎤⎢⎢⎢⎢⎣⎡00211021210171972217112197212121214321k k k k k k k k x x x x7.试证:任一4维向量[]'=4321,,,a a a a β都可由向量组⎥⎥⎥⎥⎦⎤⎢⎢⎢⎢⎣⎡=00011α,⎥⎥⎥⎥⎦⎤⎢⎢⎢⎢⎣⎡=00112α,⎥⎥⎥⎥⎦⎤⎢⎢⎢⎢⎣⎡=01113α,⎥⎥⎥⎥⎦⎤⎢⎢⎢⎢⎣⎡=11114α线性表示,且表示方式唯一,写出这种表示方式.证明:⎥⎥⎥⎥⎦⎤⎢⎢⎢⎢⎣⎡=00011α ⎥⎥⎥⎥⎦⎤⎢⎢⎢⎢⎣⎡=-001012αα ⎥⎥⎥⎥⎦⎤⎢⎢⎢⎢⎣⎡=-010023αα ⎥⎥⎥⎥⎦⎤⎢⎢⎢⎢⎣⎡=-100034αα任一4维向量可唯一表示为)()()(10000100001000013442331221143214321αααααααβ-+-+-+=⎥⎥⎥⎥⎦⎤⎢⎢⎢⎢⎣⎡+⎥⎥⎥⎥⎦⎤⎢⎢⎢⎢⎣⎡+⎥⎥⎥⎥⎦⎤⎢⎢⎢⎢⎣⎡+⎥⎥⎥⎥⎦⎤⎢⎢⎢⎢⎣⎡=⎥⎥⎥⎥⎦⎤⎢⎢⎢⎢⎣⎡=a a a a a a a a a a a a44343232121)()()(ααααa a a a a a a +-+-+-=⒏试证:线性方程组有解时,它有唯一解的充分必要条件是:相应的齐次线性方程组只有零解. 证明:设B AX =为含n 个未知量的线性方程组 该方程组有解,即n A R A R ==)()(从而B AX =有唯一解当且仅当n A R =)(而相应齐次线性方程组0=AX 只有零解的充分必要条件是n A R =)(B AX =有唯一解的充分必要条件是:相应的齐次线性方程组0=AX 只有零解9.设λ是可逆矩阵A的特征值,且0≠λ,试证:λ1是矩阵1-A 的特征值.证明: λ是可逆矩阵A的特征值∴ 存在向量ξ,使λξξ=Aξξλλξξξξ=====----1111)()()(A A A A A A Iξλξ11=-A即λ1是矩阵1-A 的特征值 10.用配方法将二次型43324221242322212222x x x x x x x x x x x x f +--++++=化为标准型. 解:42244232322143324224232212)(2)(222)(x x x x x x x x x x x x x x x x x x x f -++-+++=+--+++=222423221)()(x x x x x x -+-++=∴ 令211x x y +=,4232x x x y +-=,23x y =,44y x =即⎪⎪⎩⎪⎪⎨⎧=-+==-=44432332311y x y y y x y x y y x则将二次型化为标准型 232221y y y f -+=工程数学作业(第三次)(满分100分)第4章 随机事件与概率(一)单项选择题⒈AB ,为两个事件,则( B )成立. A. ()A B B A +-= B. ()A B B A +-⊂ C. ()A B B A -+= D. ()A B B A -+⊂⒉如果( C )成立,则事件A 与B 互为对立事件.A. A B =∅B. A B U= C. A B =∅且A B U = D. A 与B 互为对立事件⒊10张奖券中含有3张中奖的奖券,每人购买1张,则前3个购买者中恰有1人中奖的概率为(D ).A. C 10320703⨯⨯.. B. 03. C. 07032..⨯ D. 307032⨯⨯.. 4. 对于事件AB ,,命题(C )是正确的.A. 如果A B ,互不相容,则AB ,互不相容B. 如果A B ⊂,则A B ⊂C. 如果A B ,对立,则AB ,对立D. 如果A B ,相容,则AB ,相容⒌某随机试验的成功率为)10(<<p p ,则在3次重复试验中至少失败1次的概率为(D ). A.3)1(p - B. 31p - C. )1(3p - D. )1()1()1(223p p p p p -+-+- 6.设随机变量X B n p ~(,),且E X D X ().,().==48096,则参数n 与p 分别是(A ). A. 6, 0.8 B. 8, 0.6 C. 12, 0.4 D. 14, 0.2 7.设f x ()为连续型随机变量X 的密度函数,则对任意的a b ab ,()<,E X ()=(A ). A. xf x x ()d -∞+∞⎰ B. x f x x ab()d ⎰ C.f xx a b()d ⎰ D. f x x()d -∞+∞⎰8.在下列函数中可以作为分布密度函数的是(B ).A. f x x x ()s i n ,,=-<<⎧⎨⎪⎩⎪ππ2320其它B. f x x x ()s i n ,,=<<⎧⎨⎪⎩⎪020π其它 C. f x x x ()s i n ,,=<<⎧⎨⎪⎩⎪0320π其它 D. f x x x ()s i n,,=<<⎧⎨⎩00π其它 9.设连续型随机变量X 的密度函数为f x (),分布函数为F x (),则对任意的区间(,)a b ,则=<<)(b X a P ( D ).A. F a F b ()()-B. Fxx a b()d ⎰ C. fa fb ()()- D. f xx ab()d ⎰ 10.设X 为随机变量,E XD X (),()==μσ2,当(C )时,有E Y D Y (),()==01. A. Y X =+σμB. Y X =-σμC. Y X =-μσD. Y X =-μσ2(二)填空题⒈从数字1,2,3,4,5中任取3个,组成没有重复数字的三位数,则这个三位数是偶数的概率为2. 2.已知P AP B ().,().==0305,则当事件A B ,互不相容时,P A B ()+= 0.8 ,P A B (= 0.3 . 3.A B ,为两个事件,且BA ⊂,则P A B ()+=()A P . 4. 已知P A B P A B P A p ()(),()==,则P B ()=P -1.5. 若事件A B ,相互独立,且P A p P B q (),()==,则P A B ()+=pq q p -+.6. 已知P AP B ().,().==0305,则当事件A B ,相互独立时,P A B ()+= 0.65 ,P A B ()=0.3 .7.设随机变量X U ~(,)01,则X 的分布函数F x ()=⎪⎩⎪⎨⎧≥<<≤111000x x xx . 8.若X B ~(,.)2003,则E X ()= 6 . 9.若X N ~(,)μσ2,则P X ()-≤=μσ3)3(2Φ.10.E X E X Y E Y [(())(())]--称为二维随机变量(,)XY 的 协方差 . (三)解答题 1.设A B C ,,为三个事件,试用A B C ,,的运算分别表示下列事件: ⑴ A B C ,,中至少有一个发生; ⑵ A B C ,,中只有一个发生; ⑶ A B C ,,中至多有一个发生; ⑷ A B C ,,中至少有两个发生; ⑸ A B C ,,中不多于两个发生; ⑹ A B C ,,中只有C 发生. 解:(1)C B A ++ (2)C B A C B A C B A ++ (3) C B A C B A C B A C B A +++ (4)BC AC AB ++ (5)C B A ++ (6)C B A2. 袋中有3个红球,2个白球,现从中随机抽取2个球,求下列事件的概率: ⑴ 2球恰好同色;⑵ 2球中至少有1红球.解:设A =“2球恰好同色”,B =“2球中至少有1红球”521013)(252223=+=+=C C C A P 1091036)(25231213=+=+=C C C C B P 3. 加工某种零件需要两道工序,第一道工序的次品率是2%,如果第一道工序出次品则此零件为次品;如果第一道工序出正品,则由第二道工序加工,第二道工序的次品率是3%,求加工出来的零件是正品的概率. 解:设=i A “第i 道工序出正品”(i=1,2)9506.0)03.01)(02.01()|()()(12121=--==A A P A P A A P4. 市场供应的热水瓶中,甲厂产品占50%,乙厂产品占30%,丙厂产品占20%,甲、乙、丙厂产品的合格率分别为90%,85%,80%,求买到一个热水瓶是合格品的概率.解:设""1产品由甲厂生产=A ""2产品由乙厂生产=A ""3产品由丙厂生产=A""产品合格=B)|()()|()()|()()(332211A B P A P A B P A P A B P A P B P ++= 865.080.02.085.03.09.05.0=⨯+⨯+⨯=5. 某射手连续向一目标射击,直到命中为止.已知他每发命中的概率是p ,求所需设计次数X 的概率分布. 解:P X P ==)1(P P X P )1()2(-== P P X P 2)1()3(-== …………P P k X P k 1)1()(--== …………故X 的概率分布是⎥⎦⎤⎢⎣⎡⋯⋯-⋯⋯--⋯⋯⋯⋯-p p p p p p p k k 12)1()1()1(3216.设随机变量X 的概率分布为012345601015020301201003.......⎡⎣⎢⎤⎦⎥ 试求P X P X P X (),(),()≤≤≤≠4253.解:87.012.03.02.015.01.0)4()3()2()1()0()4(=++++==+=+=+=+==≤X P X P X P X P X P X P 72.01.012.03.02.0)5()4()3()2()52(=+++==+=+=+==≤≤X P X P X P X P X P 7.03.01)3(1)3(=-==-=≠X P X P 7.设随机变量X 具有概率密度f x x x (),,=≤≤⎧⎨⎩2010其它 试求P X P X (),()≤<<12142. 解:412)()21(210221021====≤⎰⎰∞-x xdx dx x f X P 16152)()241(1412141241====<<⎰⎰x xdx dx x f X P 8. 设X f x x x ~(),,=≤≤⎧⎨⎩2010其它,求E X D X(),(). 解:32322)()(1031==⋅==⎰⎰+∞∞-x xdx x dx x xf X E 21422)()(10410222==⋅==⎰⎰+∞∞-x xdx x dx x f x X E181)32(21)]([)()(222=-=-=x E X E X D9. 设)6.0,1(~2N X ,计算⑴P X (..)0218<<;⑵P X ()>0. 解:8164.019082.021)33.1(2)33.1()33.1()33.12.0133.1()8.12.0(=-⨯=-Φ=-Φ-Φ=<-<-=<<X P X P0475.09525.01)67.1(1)67.16.01()0(=-=Φ-=<-=>X P X P10.设X XX n 12,,, 是独立同分布的随机变量,已知E XD X (),()112==μσ,设X n X i i n==∑11,求E X D X (),(). 解:)]()()([1)(1)1()(21211n n ni i X E X E X E nX X X E n X nE X E +⋯⋯++=+⋯⋯++==∑= μμ==n n 1)]()()([1)(1)1()(2122121n n n i i X D X D X D n X X X D n X n D X D +⋯⋯++=+⋯⋯++==∑=22211σσn n n=⋅=工程数学作业(第四次)第6章 统计推断(一)单项选择题⒈设x x x n12,,, 是来自正态总体N (,)μσ2(μσ,2均未知)的样本,则(A )是统计量. A. x 1 B. x 1+μ C. x 122σ D. μx 1 ⒉设x x x 123,,是来自正态总体N (,)μσ2(μσ,2均未知)的样本,则统计量(D )不是μ的无偏估计.A. m a x {,,}xxx 123B. 1212()x x + C. 212x x - D. x x x 123--(二)填空题1.统计量就是 不含未知参数的样本函数 .2.参数估计的两种方法是 点估计 和 区间估计 .常用的参数点估计有 矩估计法 和 最大似然估计 两种方法.3.比较估计量好坏的两个重要标准是 无偏性 , 有效性 .4.设x x x n12,,, 是来自正态总体N (,)μσ2(σ2已知)的样本值,按给定的显著性水平α检验H H 0010:;:μμμμ=≠,需选取统计量n x U /0σμ-=.5.假设检验中的显著性水平α为事件u x >-||0μ(u 为临界值)发生的概率.(三)解答题1.设对总体X 得到一个容量为10的样本值4.5, 2.0, 1.0, 1.5, 3.5, 4.5, 6.5,5.0, 3.5, 4.0试分别计算样本均值x 和样本方差s 2.解: 6.336101101101=⨯==∑=i i x x878.29.2591)(110121012=⨯=--=∑=i i x x s2.设总体X 的概率密度函数为fx x x (;)(),,θθθ=+<<⎧⎨⎩1010其它 试分别用矩估计法和最大似然估计法估计参数θ. 解:提示教材第214页例3矩估计:,121)1()(110∑⎰===++=+=ni i x n x dx x x X E θθθθxx --=112ˆθ 最大似然估计:θθθθθ)()1()1();,,,(21121n n i ni n x x x x x x x L +=+==0ln 1ln ,ln )1ln(ln 11=++=++=∑∑==ni i ni i x nd L d x n L θθθθ,1ln ˆ1--=∑=ni ixnθ3.测两点之间的直线距离5次,测得距离的值为(单位:m ):108.5 109.0 110.0 110.5 112.0测量值可以认为是服从正态分布N (,)μσ2的,求μ与σ2的估计值.并在⑴σ225=.;⑵σ2未知的情况下,分别求μ的置信度为0.95的置信区间.解: 11051ˆ51===∑=i i x x μ 875.1)(151ˆ5122=--==∑=i i x x s σ (1)当σ225=.时,由1-α=0.95,975.021)(=-=Φαλ 查表得:96.1=λ故所求置信区间为:]4.111,6.108[],[=+-n x n x σλσλ(2)当2σ未知时,用2s 替代2σ,查t (4, 0.05 ) ,得 776.2=λ故所求置信区间为:]7.111,3.108[],[=+-nsx n sx λλ4.设某产品的性能指标服从正态分布N (,)μσ2,从历史资料已知σ=4,抽查10个样品,求得均值为17,取显著性水平α=005.,问原假设H 020:μ=是否成立. 解:237.0162.343|10/42017||/|||0=⨯=-=-=nx U σμ,由975.021)(=-=Φαλ ,查表得:96.1=λ因为 237.0||=U > 1.96 ,所以拒绝0H5.某零件长度服从正态分布,过去的均值为20.0,现换了新材料,从产品中随机抽取8个样品,测得的长度为(单位:cm ):20.0, 20.2, 20.1, 20.0, 20.2, 20.3, 19.8, 19.5问用新材料做的零件平均长度是否起了变化(α=005.). 解:由已知条件可求得:0125.20=x 0671.02=s 1365.0259.0035.0|8/259.0200125.20||/|||0==-=-=n s x T μ 62.2)05.0,9()05.0,1(==-=t n t λ∵ | T | < 2.62 ∴ 接受H 0即用新材料做的零件平均长度没有变化。
《工程数学》形成性考核作业2答案第3章 线性方程组(一)单项选择题(每小题2分,共16分)⒈用消元法得x x x x x x 12323324102+-=+=-=⎧⎨⎪⎩⎪的解x x x 123⎡⎣⎢⎢⎢⎤⎦⎥⎥⎥为(C ). A. [,,]102-' B. [,,]--'722C. [,,]--'1122D. [,,]---'1122⒉线性方程组x x x x x x x 12313232326334++=-=-+=⎧⎨⎪⎩⎪(B ).A. 有无穷多解B. 有唯一解C. 无解D. 只有零解⒊向量组100010001121304⎡⎣⎢⎢⎢⎤⎦⎥⎥⎥⎡⎣⎢⎢⎢⎤⎦⎥⎥⎥⎡⎣⎢⎢⎢⎤⎦⎥⎥⎥⎡⎣⎢⎢⎢⎤⎦⎥⎥⎥⎡⎣⎢⎢⎢⎤⎦⎥⎥⎥,,,,的秩为( A ). A. 3 B. 2 C. 4 D. 5⒋设向量组为αααα12341100001110101111=⎡⎣⎢⎢⎢⎢⎤⎦⎥⎥⎥⎥=⎡⎣⎢⎢⎢⎢⎤⎦⎥⎥⎥⎥=⎡⎣⎢⎢⎢⎢⎤⎦⎥⎥⎥⎥=⎡⎣⎢⎢⎢⎢⎤⎦⎥⎥⎥⎥,,,,则(B )是极大无关组.A. αα12,B. ααα123,,C. ααα124,,D. α1⒌A 与A 分别代表一个线性方程组的系数矩阵和增广矩阵,若这个方程组有解,则(A ).A. 秩()A =秩()AB. 秩()A <秩()AC. 秩()A >秩()AD. 秩()A =秩()A -1⒍若某个线性方程组相应的齐次线性方程组只有零解,则该线性方程组(A ).A. 可能无解B. 有唯一解C. 有无穷多解D. 无解 ⒎以下结论正确的是(D ).A. 方程个数小于未知量个数的线性方程组一定有解B. 方程个数等于未知量个数的线性方程组一定有唯一解C. 方程个数大于未知量个数的线性方程组一定有无穷多解D. 齐次线性方程组一定有解⒏若向量组ααα12,,, s 线性相关,则向量组内(A )可被该向量组内其余向量线性表出.A. 至少有一个向量B. 没有一个向量C. 至多有一个向量D. 任何一个向量 9.设A ,B为n 阶矩阵,λ既是A又是B的特征值,x 既是A又是B的属于λ的特征向量,则结论( B )成立.A.λ是AB 的特征值 B.λ是A+B 的特征值C.λ是A -B 的特征值 D.x 是A+B 的属于λ的特征向量10.设A,B,P为n 阶矩阵,若等式(C )成立,则称A和B相似. A.BA AB = B.AB AB =')( C.B PAP =-1 D.B P PA =' (二)填空题(每小题2分,共16分)⒈当λ= 1 时,齐次线性方程组x x x x 12120+=+=⎧⎨⎩λ有非零解.⒉向量组[][]αα12000111==,,,,,线性 相关 .⒊向量组[][][][]123120100000,,,,,,,,,,,的秩是 3 .⒋设齐次线性方程组ααα1122330x x x ++=的系数行列式ααα1230=,则这个方程组有 无穷多 解,且系数列向量ααα123,,是线性 相关 的. ⒌向量组[][][]ααα123100100===,,,,,的极大线性无关组是21,αα. ⒍向量组ααα12,,, s 的秩与矩阵[]ααα12,,, s 的秩 相同 . ⒎设线性方程组AX =0中有5个未知量,且秩()A =3,则其基础解系中线性无关的解向量有 2 个.⒏设线性方程组AX b =有解,X 0是它的一个特解,且AX =0的基础解系为X X 12,,则AX b =的通解为22110X k X k X ++.9.若λ是A的特征值,则λ是方程0=-A I λ 的根. 10.若矩阵A满足A A '=-1 ,则称A为正交矩阵. (三)解答题(第1小题9分,其余每小题11分) 1.用消元法解线性方程组 x x x x x x x x x x x x x x x x 123412341234123432638502412432---=-++=-+-+=--+--=⎧⎨⎪⎪⎩⎪⎪ 解:⎥⎥⎥⎥⎦⎤⎢⎢⎢⎢⎣⎡-----−−→−⎥⎥⎥⎥⎦⎤⎢⎢⎢⎢⎣⎡---------−−−→−⎥⎥⎥⎥⎦⎤⎢⎢⎢⎢⎣⎡----------=+-+++++-2612100090392700188710482319018431001850188710612312314112141205183612314132124131215323r r r r r r r r r r r r A ⎥⎥⎥⎥⎦⎤⎢⎢⎢⎢⎣⎡----−−−→−⎥⎥⎥⎥⎦⎤⎢⎢⎢⎢⎣⎡----−−→−⎥⎥⎥⎥⎦⎤⎢⎢⎢⎢⎣⎡----−−→−+-+-+---+331100041100461501012442001136504110018871048231901136500123300188710482319014323133434571931213r r r r r r r r r r⎥⎥⎥⎥⎦⎤⎢⎢⎢⎢⎣⎡--−−−→−⎥⎥⎥⎥⎦⎤⎢⎢⎢⎢⎣⎡----−−→−++-+-31000101001001020001310004110046150101244200134241441542111r r r r r r r ∴方程组解为⎪⎪⎩⎪⎪⎨⎧-==-==31124321x x x x2.设有线性方程组λλλλλ11111112⎡⎣⎢⎢⎢⎤⎦⎥⎥⎥⎡⎣⎢⎢⎢⎤⎦⎥⎥⎥=⎡⎣⎢⎢⎢⎤⎦⎥⎥⎥x y z λ 为何值时,方程组有唯一解?或有无穷多解?解:⎥⎥⎥⎦⎤⎢⎢⎢⎣⎡-+-+---−−→−⎥⎥⎥⎦⎤⎢⎢⎢⎣⎡------−−−→−⎥⎥⎥⎦⎤⎢⎢⎢⎣⎡−−→−⎥⎥⎥⎦⎤⎢⎢⎢⎣⎡=++-+-↔22322222)1)(1()1)(2(00)1(110111110110111111111111111132312131λλλλλλλλλλλλλλλλλλλλλλλλλλλλλλr r r r r r r r A ]∴ 当1≠λ且2-≠λ时,3)()(==A R A R ,方程组有唯一解当1=λ时,1)()(==A R A R ,方程组有无穷多解3.判断向量β能否由向量组ααα123,,线性表出,若能,写出一种表出方式.其中βααα=---⎡⎣⎢⎢⎢⎢⎤⎦⎥⎥⎥⎥=-⎡⎣⎢⎢⎢⎢⎤⎦⎥⎥⎥⎥=--⎡⎣⎢⎢⎢⎢⎤⎦⎥⎥⎥⎥=--⎡⎣⎢⎢⎢⎢⎤⎦⎥⎥⎥⎥83710271335025631123,,, 解:向量β能否由向量组321,,ααα线性表出,当且仅当方程组βααα=++332211x x x 有解 这里[]⎥⎥⎥⎥⎦⎤⎢⎢⎢⎢⎣⎡--−→−⋯⋯⋯⋯−→−⎥⎥⎥⎥⎦⎤⎢⎢⎢⎢⎣⎡--------==571000117100041310730110123730136578532,,,321βαααA )()(A R A R ≠ ∴ 方程组无解∴ β不能由向量321,,ααα线性表出4.计算下列向量组的秩,并且判断该向量组是否线性相关 ?αααα1234112343789131303319636=-⎡⎣⎢⎢⎢⎢⎢⎢⎤⎦⎥⎥⎥⎥⎥⎥=-⎡⎣⎢⎢⎢⎢⎢⎢⎤⎦⎥⎥⎥⎥⎥⎥=----⎡⎣⎢⎢⎢⎢⎢⎢⎤⎦⎥⎥⎥⎥⎥⎥=⎡⎣⎢⎢⎢⎢⎢⎢⎤⎦⎥⎥⎥⎥⎥⎥,,,解:[]⎥⎥⎥⎥⎥⎥⎦⎤⎢⎢⎢⎢⎢⎢⎣⎡-−→−⋯⋯⋯⋯−→−⎥⎥⎥⎥⎥⎥⎦⎤⎢⎢⎢⎢⎢⎢⎣⎡------=00000001800021101131631343393608293711131,,,4321αααα ∴该向量组线性相关5.求齐次线性方程组x x x x x x x x x x x x x x x 1234123412341243205230112503540-+-=-+-+=--+-=++=⎧⎨⎪⎪⎩⎪⎪ 的一个基础解系.解:⎥⎥⎥⎥⎥⎦⎤⎢⎢⎢⎢⎢⎣⎡---−−−→−⎥⎥⎥⎥⎦⎤⎢⎢⎢⎢⎣⎡-------−−−→−⎥⎥⎥⎥⎦⎤⎢⎢⎢⎢⎣⎡-------=+-+-+-+-++30000000731402114501103140731407314021314053521113215213142321241312114335r r r r r r r r r r r r A ⎥⎥⎥⎥⎥⎥⎦⎤⎢⎢⎢⎢⎢⎢⎣⎡-−−−→−⎥⎥⎥⎥⎥⎥⎦⎤⎢⎢⎢⎢⎢⎢⎣⎡--−→−⎥⎥⎥⎥⎥⎥⎦⎤⎢⎢⎢⎢⎢⎢⎣⎡--−−→−+-+↔-000100001431001450100010002114310211450100030002114310211450123133432212131141r r r r r r r r ∴ 方程组的一般解为⎪⎪⎪⎩⎪⎪⎪⎨⎧==-=014314543231x x x x x 令13=x ,得基础解系 ⎥⎥⎥⎥⎥⎥⎦⎤⎢⎢⎢⎢⎢⎢⎣⎡-=10143145ξ 6.求下列线性方程组的全部解.x x x x x x x x x x x x x x x 12341234124123452311342594175361-+-=-+-+=----=++-=-⎧⎨⎪⎪⎩⎪⎪ 解:⎥⎥⎥⎥⎥⎦⎤⎢⎢⎢⎢⎢⎣⎡---−−−→−⎥⎥⎥⎥⎦⎤⎢⎢⎢⎢⎣⎡--------−−−→−⎥⎥⎥⎥⎦⎤⎢⎢⎢⎢⎣⎡----------=++-+-+-++00000000002872140121790156144280287214028721401132511163517409152413113251423212413121214553r r r r r r r r r r r r A ⎥⎥⎥⎥⎥⎥⎦⎤⎢⎢⎢⎢⎢⎢⎣⎡---−−→−-0000000000221711012179012141r ∴方程组一般解为⎪⎪⎩⎪⎪⎨⎧--=++-=2217112179432431x x x x x x令13k x =,24k x =,这里1k ,2k 为任意常数,得方程组通解⎥⎥⎥⎥⎦⎤⎢⎢⎢⎢⎣⎡-+⎥⎥⎥⎥⎥⎥⎦⎤⎢⎢⎢⎢⎢⎢⎣⎡-+⎥⎥⎥⎥⎥⎥⎦⎤⎢⎢⎢⎢⎢⎢⎣⎡-=⎥⎥⎥⎥⎥⎥⎦⎤⎢⎢⎢⎢⎢⎢⎣⎡--++-=⎥⎥⎥⎥⎦⎤⎢⎢⎢⎢⎣⎡00211021210171792217112179212121214321k k k k k k k k x x x x7.试证:任一4维向量[]'=4321,,,a a a a β都可由向量组⎥⎥⎥⎥⎦⎤⎢⎢⎢⎢⎣⎡=00011α,⎥⎥⎥⎥⎦⎤⎢⎢⎢⎢⎣⎡=00112α,⎥⎥⎥⎥⎦⎤⎢⎢⎢⎢⎣⎡=01113α,⎥⎥⎥⎥⎦⎤⎢⎢⎢⎢⎣⎡=11114α线性表示,且表示方式唯一,写出这种表示方式.证明:⎥⎥⎥⎥⎦⎤⎢⎢⎢⎢⎣⎡=00011α ⎥⎥⎥⎥⎦⎤⎢⎢⎢⎢⎣⎡=-001012αα ⎥⎥⎥⎥⎦⎤⎢⎢⎢⎢⎣⎡=-010023αα ⎥⎥⎥⎥⎦⎤⎢⎢⎢⎢⎣⎡=-100034αα任一4维向量可唯一表示为)()()(10000100001000013442331221143214321αααααααβ-+-+-+=⎥⎥⎥⎥⎦⎤⎢⎢⎢⎢⎣⎡+⎥⎥⎥⎥⎦⎤⎢⎢⎢⎢⎣⎡+⎥⎥⎥⎥⎦⎤⎢⎢⎢⎢⎣⎡+⎥⎥⎥⎥⎦⎤⎢⎢⎢⎢⎣⎡=⎥⎥⎥⎥⎦⎤⎢⎢⎢⎢⎣⎡=a a a a a a a a a a a a 44343232121)()()(ααααa a a a a a a +-+-+-=⒏试证:线性方程组有解时,它有唯一解的充分必要条件是:相应的齐次线性方程组只有零解.证明:设B AX =为含n 个未知量的线性方程组 该方程组有解,即n A R A R ==)()(从而B AX =有唯一解当且仅当n A R =)(而相应齐次线性方程组0=AX 只有零解的充分必要条件是n A R =)(∴ B AX =有唯一解的充分必要条件是:相应的齐次线性方程组0=AX 只有零解9.设λ是可逆矩阵A的特征值,且0≠λ,试证:λ1是矩阵1-A 的特征值. 证明: λ是可逆矩阵A的特征值 ∴ 存在向量ξ,使λξξ=A∴ ξξλλξξξξ=====----1111)()()(A A A A A A I∴ξλξ11=-A即λ1是矩阵1-A 的特征值 10.用配方法将二次型3231212322213212222),,(x x x x x x x x x x x x f --+++=化为标准型,并写出满秩的线性变换。
电大工程数学形成性考核册答案工程数学作业(一)答案第2章矩阵一)单项选择题(每小题2分,共20分)1.设 $b_1=2$,则 $2a_1-3b_1a_2+2a_3-3b_3=-6$,选 D。
2.若 $a_2=1$,则 $a=\frac{1}{2}$,选 A。
3.乘积矩阵 $\begin{pmatrix}1&-1\\2&4\\-1&3\end{pmatrix}$ 中元素 $c_{23}=10$,选 C。
4.设 $A,B$ 均为 $n$ 阶可逆矩阵,则 $(AB)^{-1}=B^{-1}A^{-1}$,选 B。
5.设 $A,B$ 均为 $n$ 阶方阵,$k>0$ 且 $k\neq1$,则 $-kA=(-k)^nA$,选 D。
6.若 $A$ 是正交矩阵,则 $A^{-1}$ 也是正交矩阵,选 A。
7.矩阵 $\begin{pmatrix}1&-2\\5&-3\end{pmatrix}$ 的伴随矩阵为 $\begin{pmatrix}5&-3\\2&-1\end{pmatrix}$,选 C。
8.方阵 $A$ 可逆的充分必要条件是 $A\neq0$,选 B。
9.设 $A,B,C$ 均为 $n$ 阶可逆矩阵,则 $(ACB')^{-1}=B^{-1}C^{-1}A^{-1}$,选 D。
10.设 $A,B,C$ 均为 $n$ 阶可逆矩阵,则$(A+B)^2=A^2+2AB+B^2$,选 A。
二)填空题(每小题2分,共20分)1.$\begin{pmatrix}1&-4\\-1&1\end{pmatrix}^{-1}=\begin{pmatrix}1&4\\1&5\end{pmatrix}$。
2.若 $-1$ 是关于 $x$ 的一个一次多项式,则该多项式一次项的系数为 $2$。
3.$\begin{pmatrix}1&-1\\2&4\\-1&3\end{pmatrix}^T=\begin{pmatrix}1&2&-1\\-1&4&3\end{pmatrix}$。
工程数学(1~3) 形成性考核册答案电大工程数学作业(一)答案(满分100分)第2章 矩阵(一) 单项选择题(每小题2分,共20分)⒈设a a a b b b c c c 1231231232=,则a a a a b a b a b c c c 123112233123232323---=(D ).A. 4B. -4C. 6D. -6⒉若0001000020011a a=,则a =(A ).A.12B. -1C. -12D. 1⒊乘积矩阵1124103521-⎡⎣⎢⎤⎦⎥-⎡⎣⎢⎤⎦⎥中元素c 23=(C ). A. 1 B. 7 C. 10 D. 8⒋设A B ,均为n 阶可逆矩阵,则下列运算关系正确的是( B ). A. A BA B +=+---111B. ()AB BA--=11C. ()A B AB+=+---111D. ()A B AB---=111⒌设A B ,均为n 阶方阵,k >0且k ≠1,则下列等式正确的是(D ). A. A B A B +=+ B. A B n A B = C. kA k A = D. -=-kA k A n() ⒍下列结论正确的是( A ). A. 若A 是正交矩阵,则A-1也是正交矩阵B. 若A B ,均为n 阶对称矩阵,则AB 也是对称矩阵C. 若A B ,均为n 阶非零矩阵,则AB 也是非零矩阵D. 若A B ,均为n 阶非零矩阵,则A B ≠0 ⒎矩阵1325⎡⎣⎢⎤⎦⎥的伴随矩阵为( C ).A. 1325--⎡⎣⎢⎤⎦⎥ B. --⎡⎣⎢⎤⎦⎥1325 C. 5321--⎡⎣⎢⎤⎦⎥ D. --⎡⎣⎢⎤⎦⎥5321 ⒏方阵A 可逆的充分必要条件是(B ).A.A ≠0B.A ≠0C. A *≠0D. A *>0 ⒐设A B C ,,均为n 阶可逆矩阵,则()ACB '=-1(D ). A. ()'---B A C 111 B. '--B C A 11 C. A C B ---'111() D. ()B C A ---'111⒑设A B C ,,均为n 阶可逆矩阵,则下列等式成立的是(A ). A. ()A B A AB B +=++2222 B. ()A B B BA B +=+2 C. ()221111ABC C B A ----= D. ()22A B C C B A '=''' (二)填空题(每小题2分,共20分)⒈210140001---= 7 . ⒉---11111111x 是关于x 的一个一次多项式,则该多项式一次项的系数是 2 . ⒊若A 为34⨯矩阵,B 为25⨯矩阵,切乘积A C B ''有意义,则C 为 5×4 矩阵.⒋二阶矩阵A =⎡⎣⎢⎤⎦⎥=11015⎥⎦⎤⎢⎣⎡1051. ⒌设A B =-⎡⎣⎢⎢⎢⎤⎦⎥⎥⎥=--⎡⎣⎢⎤⎦⎥124034120314,,则()A B +''=⎥⎦⎤⎢⎣⎡--815360⒍设A B ,均为3阶矩阵,且A B ==-3,则-=2A B 72 . ⒎设A B ,均为3阶矩阵,且A B =-=-13,,则-'=-312()A B -3 .⒏若A a =⎡⎣⎢⎤⎦⎥101为正交矩阵,则a = 0 . ⒐矩阵212402033--⎡⎣⎢⎢⎢⎤⎦⎥⎥⎥的秩为 2 . ⒑设A A 12,是两个可逆矩阵,则A O O A 121⎡⎣⎢⎤⎦⎥=-⎥⎦⎤⎢⎣⎡--1211A O O A . (三)解答题(每小题8分,共48分) ⒈设A B C =-⎡⎣⎢⎤⎦⎥=-⎡⎣⎢⎤⎦⎥=-⎡⎣⎢⎤⎦⎥123511435431,,,求⑴A B +;⑵A C +;⑶23A C +;⑷A B +5;⑸AB ;⑹()A B C '.答案:⎥⎦⎤⎢⎣⎡=+8130B A ⎥⎦⎤⎢⎣⎡=+4066C A ⎥⎦⎤⎢⎣⎡=+73161732C A ⎥⎦⎤⎢⎣⎡=+01222265B A ⎥⎦⎤⎢⎣⎡=122377AB ⎥⎦⎤⎢⎣⎡='801512156)(C AB⒉设A B C =--⎡⎣⎢⎤⎦⎥=-⎡⎣⎢⎤⎦⎥=--⎡⎣⎢⎢⎢⎤⎦⎥⎥⎥12101210321111432102,,,求AC BC +. 解:⎥⎦⎤⎢⎣⎡--=⎥⎥⎥⎦⎤⎢⎢⎢⎣⎡--⎥⎦⎤⎢⎣⎡=+=+10221046200123411102420)(C B A BC AC ⒊已知A B =-⎡⎣⎢⎢⎢⎤⎦⎥⎥⎥=-⎡⎣⎢⎢⎢⎤⎦⎥⎥⎥310121342102111211,,求满足方程32A X B -=中的X . 解: 32A X B -=∴ ⎥⎥⎥⎥⎥⎥⎦⎤⎢⎢⎢⎢⎢⎢⎣⎡--=⎥⎥⎥⎦⎤⎢⎢⎢⎣⎡--=-=252112712511234511725223821)3(21B A X ⒋写出4阶行列式102014360253311--中元素a a 4142,的代数余子式,并求其值.答案:035263420)1(1441=--=+a 4535631021)1(2442=---=+a ⒌用初等行变换求下列矩阵的逆矩阵:⑴ 122212221--⎡⎣⎢⎢⎢⎤⎦⎥⎥⎥; ⑵ 123423121111126---⎡⎣⎢⎢⎢⎢⎤⎦⎥⎥⎥⎥; ⑶ 1000110011101111⎡⎣⎢⎢⎢⎢⎤⎦⎥⎥⎥⎥. 解:(1)[]⎥⎥⎥⎥⎥⎥⎦⎤⎢⎢⎢⎢⎢⎢⎣⎡--−−−→−⎥⎥⎥⎥⎥⎥⎦⎤⎢⎢⎢⎢⎢⎢⎣⎡----−−→−⎥⎥⎥⎥⎥⎦⎤⎢⎢⎢⎢⎢⎣⎡------−−−→−⎥⎥⎥⎦⎤⎢⎢⎢⎣⎡------−−−→−⎥⎥⎥⎦⎤⎢⎢⎢⎣⎡--=+-+--+-++-+-919292929192929291100010001919292031320323110210201122120323190630201102012001360630221100010001122212221|2313323212312122913123222r r r r r r r r r r r r r r I A ⎥⎥⎥⎥⎥⎥⎦⎤⎢⎢⎢⎢⎢⎢⎣⎡--=∴-9192929291929292911A(2)⎥⎥⎥⎥⎦⎤⎢⎢⎢⎢⎣⎡--------=-35141201132051717266221A (过程略) (3) ⎥⎥⎥⎥⎦⎤⎢⎢⎢⎢⎣⎡---=-110110001100011A ⒍求矩阵101101111011001012101211321⎡⎣⎢⎢⎢⎢⎤⎦⎥⎥⎥⎥的秩. 解:⎥⎥⎥⎥⎦⎤⎢⎢⎢⎢⎣⎡----−−→−⎥⎥⎥⎥⎦⎤⎢⎢⎢⎢⎣⎡-----−−→−⎥⎥⎥⎥⎦⎤⎢⎢⎢⎢⎣⎡-------−−−→−⎥⎥⎥⎥⎦⎤⎢⎢⎢⎢⎣⎡+-+-+-+-+-0001110001110110110110101110111000111011011011011221110011100011101101101101102311210121010011011110110143424131212r r r r r r r r r r ∴3)(=A R(四)证明题(每小题4分,共12分) ⒎对任意方阵A ,试证A A +'是对称矩阵. 证明:'')''(')''(A A A A A A A A +=+=+=+∴ A A +'是对称矩阵⒏若A 是n 阶方阵,且A A I '=,试证A =1或-1. 证明: A 是n 阶方阵,且A A I '=∴ 12==='='I A A A A A∴A =1或1-=A⒐若A 是正交矩阵,试证'A 也是正交矩阵. 证明: A 是正交矩阵∴ A A '=-1∴ )()()(111''==='---A A A A即'A 是正交矩阵工程数学作业(第二次)(满分100分)第3章 线性方程组(一)单项选择题(每小题2分,共16分)⒈用消元法得x x x x x x 12323324102+-=+=-=⎧⎨⎪⎩⎪的解x x x 123⎡⎣⎢⎢⎢⎤⎦⎥⎥⎥为(C ).A. [,,]102-'B. [,,]--'722C. [,,]--'1122D. [,,]---'1122⒉线性方程组x x x x x x x 12313232326334++=-=-+=⎧⎨⎪⎩⎪(B ).A. 有无穷多解B. 有唯一解C. 无解D. 只有零解⒊向量组100010001121304⎡⎣⎢⎢⎢⎤⎦⎥⎥⎥⎡⎣⎢⎢⎢⎤⎦⎥⎥⎥⎡⎣⎢⎢⎢⎤⎦⎥⎥⎥⎡⎣⎢⎢⎢⎤⎦⎥⎥⎥⎡⎣⎢⎢⎢⎤⎦⎥⎥⎥,,,,的秩为( A ). A. 3 B. 2 C. 4 D. 5⒋设向量组为αααα12341100001110101111=⎡⎣⎢⎢⎢⎢⎤⎦⎥⎥⎥⎥=⎡⎣⎢⎢⎢⎢⎤⎦⎥⎥⎥⎥=⎡⎣⎢⎢⎢⎢⎤⎦⎥⎥⎥⎥=⎡⎣⎢⎢⎢⎢⎤⎦⎥⎥⎥⎥,,,,则(B )是极大无关组. A. αα12, B. ααα123,, C. ααα124,, D. α1⒌A 与A 分别代表一个线性方程组的系数矩阵和增广矩阵,若这个方程组无解,则(D ). A. 秩()A =秩()A B. 秩()A <秩()A C. 秩()A >秩()A D. 秩()A =秩()A -1⒍若某个线性方程组相应的齐次线性方程组只有零解,则该线性方程组(A ). A. 可能无解 B. 有唯一解 C. 有无穷多解 D. 无解 ⒎以下结论正确的是(D ).A. 方程个数小于未知量个数的线性方程组一定有解B. 方程个数等于未知量个数的线性方程组一定有唯一解C. 方程个数大于未知量个数的线性方程组一定有无穷多解D. 齐次线性方程组一定有解⒏若向量组ααα12,,, s 线性相关,则向量组内(A )可被该向量组内其余向量线性表出. A. 至少有一个向量 B. 没有一个向量 C. 至多有一个向量 D. 任何一个向量9.设A ,B为n 阶矩阵,λ既是A又是B的特征值,x 既是A又是B的属于λ的特征向量,则结论( )成立.A.λ是AB 的特征值 B.λ是A+B 的特征值C.λ是A -B 的特征值 D.x 是A+B 的属于λ的特征向量 10.设A,B,P为n 阶矩阵,若等式(C )成立,则称A和B相似. A.BA AB = B.AB AB =')( C.B PAP =-1D.B P PA ='(二)填空题(每小题2分,共16分)⒈当λ= 1 时,齐次线性方程组x x x x 121200+=+=⎧⎨⎩λ有非零解.⒉向量组[][]αα12000111==,,,,,线性 相关 .⒊向量组[][][][]123120100000,,,,,,,,,,,的秩是 3 . ⒋设齐次线性方程组ααα1122330x x x ++=的系数行列式ααα1230=,则这个方程组有 无穷多解,且系数列向量ααα123,,是线性 相关 的. ⒌向量组[][][]ααα123100100===,,,,,的极大线性无关组是21,αα.⒍向量组ααα12,,, s 的秩与矩阵[]ααα12,,, s的秩 相同 .⒎设线性方程组AX =0中有5个未知量,且秩()A =3,则其基础解系中线性无关的解向量有 2 个.⒏设线性方程组A X b =有解,X 0是它的一个特解,且AX =0的基础解系为X X 12,,则A X b =的通解为22110X k X k X ++.9.若λ是A的特征值,则λ是方程0=-A I λ 的根. 10.若矩阵A满足A A '=-1 ,则称A为正交矩阵. (三)解答题(第1小题9分,其余每小题11分) 1.用消元法解线性方程组x x x x x x x x x x x x x x x x 123412341234123432638502412432---=-++=-+-+=--+--=⎧⎨⎪⎪⎩⎪⎪解:⎥⎥⎥⎥⎦⎤⎢⎢⎢⎢⎣⎡-----−−→−⎥⎥⎥⎥⎦⎤⎢⎢⎢⎢⎣⎡---------−−−→−⎥⎥⎥⎥⎦⎤⎢⎢⎢⎢⎣⎡----------=+-+++++-2612109039270018871048231901843101850188710612312314112141205183612314132124131215323r r r r r r r r r r r r A ⎥⎥⎥⎥⎦⎤⎢⎢⎢⎢⎣⎡----−−−→−⎥⎥⎥⎥⎦⎤⎢⎢⎢⎢⎣⎡----−−→−⎥⎥⎥⎥⎦⎤⎢⎢⎢⎢⎣⎡----−−→−+-+-+---+3311411004615010124420011365004110018871048231901136500123300188710482319014323133434571931213r r r r r r r r r r ⎥⎥⎥⎥⎦⎤⎢⎢⎢⎢⎣⎡--−−−→−⎥⎥⎥⎥⎦⎤⎢⎢⎢⎢⎣⎡----−−→−++-+-310101001001020001314110046150101244200134241441542111r rr r r r r ∴方程组解为⎪⎪⎩⎪⎪⎨⎧-==-==31124321x x x x 2.设有线性方程组λλλλλ11111112⎡⎣⎢⎢⎢⎤⎦⎥⎥⎥⎡⎣⎢⎢⎢⎤⎦⎥⎥⎥=⎡⎣⎢⎢⎢⎤⎦⎥⎥⎥x y z λ 为何值时,方程组有唯一解?或有无穷多解?解:⎥⎥⎥⎦⎤⎢⎢⎢⎣⎡-+-+---−−→−⎥⎥⎥⎦⎤⎢⎢⎢⎣⎡------−−−→−⎥⎥⎥⎦⎤⎢⎢⎢⎣⎡−−→−⎥⎥⎥⎦⎤⎢⎢⎢⎣⎡=++-+-↔22322222)1)(1()1)(2(00)1(1111111011111111111111111132312131λλλλλλλλλλλλλλλλλλλλλλλλλλλλλλr r r r r r r r A ]∴ 当1≠λ且2-≠λ时,3)()(==A R A R ,方程组有唯一解当1=λ时,1)()(==A R A R ,方程组有无穷多解3.判断向量β能否由向量组ααα123,,线性表出,若能,写出一种表出方式.其中βααα=---⎡⎣⎢⎢⎢⎢⎤⎦⎥⎥⎥⎥=-⎡⎣⎢⎢⎢⎢⎤⎦⎥⎥⎥⎥=--⎡⎣⎢⎢⎢⎢⎤⎦⎥⎥⎥⎥=--⎡⎣⎢⎢⎢⎢⎤⎦⎥⎥⎥⎥83710271335025631123,,, 解:向量β能否由向量组321,,ααα线性表出,当且仅当方程组βααα=++332211x x x 有解这里 []⎥⎥⎥⎥⎦⎤⎢⎢⎢⎢⎣⎡--−→−⋯⋯⋯⋯−→−⎥⎥⎥⎥⎦⎤⎢⎢⎢⎢⎣⎡--------==5710117100041310730110123730136578532,,,321βαααA )()(A R A R ≠∴ 方程组无解∴ β不能由向量321,,ααα线性表出4.计算下列向量组的秩,并且(1)判断该向量组是否线性相关αααα1234112343789131303319636=-⎡⎣⎢⎢⎢⎢⎢⎢⎤⎦⎥⎥⎥⎥⎥⎥=-⎡⎣⎢⎢⎢⎢⎢⎢⎤⎦⎥⎥⎥⎥⎥⎥=----⎡⎣⎢⎢⎢⎢⎢⎢⎤⎦⎥⎥⎥⎥⎥⎥=⎡⎣⎢⎢⎢⎢⎢⎢⎤⎦⎥⎥⎥⎥⎥⎥,,, 解:[]⎥⎥⎥⎥⎥⎥⎦⎤⎢⎢⎢⎢⎢⎢⎣⎡-−→−⋯⋯⋯⋯−→−⎥⎥⎥⎥⎥⎥⎦⎤⎢⎢⎢⎢⎢⎢⎣⎡------=00000001800021101131631343393608293711131,,,4321αααα ∴该向量组线性相关5.求齐次线性方程组x x x x x x x x x x x x x x x 1234123412341243205230112503540-+-=-+-+=--+-=++=⎧⎨⎪⎪⎩⎪⎪ 的一个基础解系. 解:⎥⎥⎥⎥⎥⎦⎤⎢⎢⎢⎢⎢⎣⎡---−−−→−⎥⎥⎥⎥⎦⎤⎢⎢⎢⎢⎣⎡-------−−−→−⎥⎥⎥⎥⎦⎤⎢⎢⎢⎢⎣⎡-------=+-+-+-+-++30000073140211450110314731407314021314053521113215213142321241312114335r r r r r r r r r r r r A ⎥⎥⎥⎥⎥⎥⎦⎤⎢⎢⎢⎢⎢⎢⎣⎡-−−−→−⎥⎥⎥⎥⎥⎥⎦⎤⎢⎢⎢⎢⎢⎢⎣⎡--−→−⎥⎥⎥⎥⎥⎥⎦⎤⎢⎢⎢⎢⎢⎢⎣⎡--−−→−+-+↔-000100001431001450100010002114310211450100030002114310211450123133432212131141r r r r r r r r∴ 方程组的一般解为⎪⎪⎪⎩⎪⎪⎪⎨⎧==-=014314543231x x x x x 令13=x ,得基础解系 ⎥⎥⎥⎥⎥⎥⎦⎤⎢⎢⎢⎢⎢⎢⎣⎡-=10143145ξ 6.求下列线性方程组的全部解.x x x x x x x x x x x x x x x 12341234124123452311342594175361-+-=-+-+=----=++-=-⎧⎨⎪⎪⎩⎪⎪解:⎥⎥⎥⎥⎥⎦⎤⎢⎢⎢⎢⎢⎣⎡---−−−→−⎥⎥⎥⎥⎦⎤⎢⎢⎢⎢⎣⎡--------−−−→−⎥⎥⎥⎥⎦⎤⎢⎢⎢⎢⎣⎡----------=++-+-+-++00000002872140121790156144280287214028721401132511163517409152413113251423212413121214553r r r r r r r r r r r r A ⎥⎥⎥⎥⎥⎥⎦⎤⎢⎢⎢⎢⎢⎢⎣⎡---−−→−-0000000221711012179012141r ∴方程组一般解为⎪⎪⎩⎪⎪⎨⎧---=++-=2217112197432431x x x x x x令13k x =,24k x =,这里1k ,2k 为任意常数,得方程组通解⎥⎥⎥⎥⎦⎤⎢⎢⎢⎢⎣⎡-+⎥⎥⎥⎥⎥⎥⎦⎤⎢⎢⎢⎢⎢⎢⎣⎡-+⎥⎥⎥⎥⎥⎥⎦⎤⎢⎢⎢⎢⎢⎢⎣⎡-=⎥⎥⎥⎥⎥⎥⎦⎤⎢⎢⎢⎢⎢⎢⎣⎡--++-=⎥⎥⎥⎥⎦⎤⎢⎢⎢⎢⎣⎡00211021210171972217112197212121214321k k k k k k k k x x x x 7.试证:任一4维向量[]'=4321,,,a a a a β都可由向量组⎥⎥⎥⎥⎦⎤⎢⎢⎢⎢⎣⎡=00011α,⎥⎥⎥⎥⎦⎤⎢⎢⎢⎢⎣⎡=00112α,⎥⎥⎥⎥⎦⎤⎢⎢⎢⎢⎣⎡=01113α,⎥⎥⎥⎥⎦⎤⎢⎢⎢⎢⎣⎡=11114α线性表示,且表示方式唯一,写出这种表示方式.证明:⎥⎥⎥⎥⎦⎤⎢⎢⎢⎢⎣⎡=00011α ⎥⎥⎥⎥⎦⎤⎢⎢⎢⎢⎣⎡=-001012αα ⎥⎥⎥⎥⎦⎤⎢⎢⎢⎢⎣⎡=-010023αα ⎥⎥⎥⎥⎦⎤⎢⎢⎢⎢⎣⎡=-100034αα任一4维向量可唯一表示为)()()(10000100001000013442331221143214321αααααααβ-+-+-+=⎥⎥⎥⎥⎦⎤⎢⎢⎢⎢⎣⎡+⎥⎥⎥⎥⎦⎤⎢⎢⎢⎢⎣⎡+⎥⎥⎥⎥⎦⎤⎢⎢⎢⎢⎣⎡+⎥⎥⎥⎥⎦⎤⎢⎢⎢⎢⎣⎡=⎥⎥⎥⎥⎦⎤⎢⎢⎢⎢⎣⎡=a a a a a a a a a a a a44343232121)()()(ααααa a a a a a a +-+-+-=⒏试证:线性方程组有解时,它有唯一解的充分必要条件是:相应的齐次线性方程组只有零解. 证明:设B AX =为含n 个未知量的线性方程组 该方程组有解,即n A R A R ==)()(从而B AX =有唯一解当且仅当n A R =)(而相应齐次线性方程组0=AX 只有零解的充分必要条件是n A R =)(∴ B AX =有唯一解的充分必要条件是:相应的齐次线性方程组0=AX 只有零解9.设λ是可逆矩阵A的特征值,且0≠λ,试证:λ1是矩阵1-A 的特征值.证明: λ是可逆矩阵A的特征值∴ 存在向量ξ,使λξξ=A∴ξξλλξξξξ=====----1111)()()(A AA AA AI∴ξλξ11=-A即λ1是矩阵1-A 的特征值10.用配方法将二次型43324221242322212222x x x x x x x x x x x x f +--++++=化为标准型.解:42244232322143324224232212)(2)(222)(x x x x x x x x x x x x x x x x x x x f -++-+++=+--+++= 222423221)()(x x x x x x -+-++=∴ 令211x x y +=,4232x x x y +-=,23x y =,44y x =即⎪⎪⎩⎪⎪⎨⎧=-+==-=44432332311y x y y y x y x y y x则将二次型化为标准型 232221y y y f -+=工程数学作业(第三次)(满分100分)第4章 随机事件与概率(一)单项选择题⒈A B ,为两个事件,则( B )成立.A. ()A B B A +-=B. ()A B B A +-⊂C. ()A B B A -+=D. ()A B B A -+⊂ ⒉如果( C )成立,则事件A 与B 互为对立事件. A. AB =∅ B. AB U =C. AB =∅且AB U =D. A 与B 互为对立事件⒊10张奖券中含有3张中奖的奖券,每人购买1张,则前3个购买者中恰有1人中奖的概率为(D ). A. C 10320703⨯⨯.. B. 03. C. 07032..⨯ D. 307032⨯⨯.. 4. 对于事件A B ,,命题(C )是正确的. A. 如果A B ,互不相容,则A B ,互不相容 B. 如果A B ⊂,则A B ⊂C. 如果A B ,对立,则A B ,对立D. 如果A B ,相容,则A B ,相容⒌某随机试验的成功率为)10(<<p p ,则在3次重复试验中至少失败1次的概率为(D ). A.3)1(p - B. 31p - C. )1(3p - D. )1()1()1(223p p p p p -+-+-6.设随机变量X B n p ~(,),且E X D X ().,().==48096,则参数n 与p 分别是(A ). A. 6, 0.8 B. 8, 0.6 C. 12, 0.4 D. 14, 0.27.设f x ()为连续型随机变量X 的密度函数,则对任意的a b a b ,()<,E X ()=(A ). A. xf x x ()d -∞+∞⎰ B.xf x x ab ()d ⎰ C.f x x ab ()d ⎰D.f x x ()d -∞+∞⎰8.在下列函数中可以作为分布密度函数的是(B ).A. f x x x ()sin ,,=-<<⎧⎨⎪⎩⎪ππ2320其它B. f x x x ()sin ,,=<<⎧⎨⎪⎩⎪020π其它C. f x x x ()sin ,,=<<⎧⎨⎪⎩⎪0320π其它 D. f x x x ()sin ,,=<<⎧⎨⎩00π其它 9.设连续型随机变量X 的密度函数为f x (),分布函数为F x (),则对任意的区间(,)a b ,则=<<)(b X a P ( D ).A. F a F b ()()-B. F x x a b ()d ⎰C. f a f b ()()-D.f x x ab()d ⎰10.设X 为随机变量,E X D X (),()==μσ2,当(C )时,有E Y D Y (),()==01. A. Y X =+σμ B. Y X =-σμC. Y X =-μσD. Y X =-μσ2(二)填空题⒈从数字1,2,3,4,5中任取3个,组成没有重复数字的三位数,则这个三位数是偶数的概率为52.2.已知P A P B ().,().==0305,则当事件A B ,互不相容时,P A B ()+= 0.8 ,P A B ()= 0.3 .3.A B ,为两个事件,且B A ⊂,则P A B ()+=()A P .4. 已知P AB P A B P A p ()(),()==,则P B ()=P -1.5. 若事件A B ,相互独立,且P A p P B q (),()==,则P A B ()+=pq q p -+.6. 已知P A P B ().,().==0305,则当事件A B ,相互独立时,P A B ()+= 0.65 ,P A B ()= 0.3 .7.设随机变量X U ~(,)01,则X 的分布函数F x ()=⎪⎩⎪⎨⎧≥<<≤111000x x xx . 8.若X B ~(,.)2003,则E X ()= 6 . 9.若X N ~(,)μσ2,则P X ()-≤=μσ3)3(2Φ.10.E X E X Y E Y [(())(())]--称为二维随机变量(,)X Y 的 协方差 . (三)解答题1.设A B C ,,为三个事件,试用A B C ,,的运算分别表示下列事件: ⑴ A B C ,,中至少有一个发生; ⑵ A B C ,,中只有一个发生; ⑶ A B C ,,中至多有一个发生; ⑷ A B C ,,中至少有两个发生; ⑸ A B C ,,中不多于两个发生; ⑹ A B C ,,中只有C 发生.解:(1)C B A ++ (2)C B A C B A C B A ++ (3) C B A C B A C B A C B A +++ (4)BC AC AB ++ (5)C B A ++ (6)C B A2. 袋中有3个红球,2个白球,现从中随机抽取2个球,求下列事件的概率: ⑴ 2球恰好同色;⑵ 2球中至少有1红球.解:设A =“2球恰好同色”,B =“2球中至少有1红球”521013)(252223=+=+=C C C A P 1091036)(25231213=+=+=C C C C B P3. 加工某种零件需要两道工序,第一道工序的次品率是2%,如果第一道工序出次品则此零件为次品;如果第一道工序出正品,则由第二道工序加工,第二道工序的次品率是3%,求加工出来的零件是正品的概率. 解:设=i A “第i 道工序出正品”(i=1,2)9506.0)03.01)(02.01()|()()(12121=--==A A P A P A A P4. 市场供应的热水瓶中,甲厂产品占50%,乙厂产品占30%,丙厂产品占20%,甲、乙、丙厂产品的合格率分别为90%,85%,80%,求买到一个热水瓶是合格品的概率.解:设""1产品由甲厂生产=A ""2产品由乙厂生产=A ""3产品由丙厂生产=A""产品合格=B)|()()|()()|()()(332211A B P A P A B P A P A B P A P B P ++=865.080.02.085.03.09.05.0=⨯+⨯+⨯=5. 某射手连续向一目标射击,直到命中为止.已知他每发命中的概率是p ,求所需设计次数X 的概率分布. 解:P X P ==)1(P P X P )1()2(-==P P X P 2)1()3(-==…………P P k X P k 1)1()(--==…………故X 的概率分布是⎥⎦⎤⎢⎣⎡⋯⋯-⋯⋯--⋯⋯⋯⋯-pp pp pp pk k 12)1()1()1(321 6.设随机变量X 的概率分布为12345601015020301201003.......⎡⎣⎢⎤⎦⎥ 试求P X P X P X (),(),()≤≤≤≠4253.解:87.012.03.02.015.01.0)4()3()2()1()0()4(=++++==+=+=+=+==≤X P X P X P X P X P X P 72.01.012.03.02.0)5()4()3()2()52(=+++==+=+=+==≤≤X P X P X P X P X P 7.03.01)3(1)3(=-==-=≠X P X P7.设随机变量X 具有概率密度f x x x (),,=≤≤⎧⎨⎩2010其它试求P X P X (),()≤<<12142.解:412)()21(2122121====≤⎰⎰∞-xxdx dx x f X P16152)()241(1412141241====<<⎰⎰xxdx dx x f X P8. 设X f x x x ~(),,=≤≤⎧⎨⎩2010其它,求E X D X (),().解:32322)()(1031==⋅==⎰⎰+∞∞-xxdx x dx x xf X E21422)()(1041222==⋅==⎰⎰+∞∞-xxdx x dx x f x XE181)32(21)]([)()(222=-=-=x E X E X D 9. 设)6.0,1(~2N X ,计算⑴P X (..)0218<<;⑵P X ()>0.解:8164.019082.021)33.1(2)33.1()33.1()33.12.0133.1()8.12.0(=-⨯=-Φ=-Φ-Φ=<-<-=<<X P X P0475.09525.01)67.1(1)67.16.01()0(=-=Φ-=<-=>X P X P10.设X X X n 12,,, 是独立同分布的随机变量,已知E X D X (),()112==μσ,设X nX i i n==∑11,求E X D X (),().解:)]()()([1)(1)1()(21211n n ni i X E X E X E nX XX E nX nE X E +⋯⋯++=+⋯⋯++==∑=μμ==n n1 )]()()([1)(1)1()(2122121n n ni i X D X D X D nX XX D nX nD X D +⋯⋯++=+⋯⋯++==∑=22211σσnn n=⋅=以上内容可能会有错误,欢迎指出。
工程数学作业(一)答案(满分100分)第2章 矩阵(一)单项选择题(每小题2分,共20分)⒈设a a a b b b c c c 1231231232=,则a a a a b a b a b c c c 123112233123232323---=(D ).A. 4B. -4C. 6D. -6⒉若000100002001001a a=,则a =(A ).A.12 B. -1 C. -12D. 1 ⒊乘积矩阵1124103521-⎡⎣⎢⎤⎦⎥-⎡⎣⎢⎤⎦⎥中元素c 23=(C ).A. 1B. 7C. 10D. 8⒋设A B ,均为n 阶可逆矩阵,则下列运算关系正确的是( B ). A. A BAB +=+---111 B. ()AB BA --=11C. ()A B A B +=+---111 D. ()AB A B ---=111⒌设A B ,均为n 阶方阵,k >0且k ≠1,则下列等式正确的是(D ). A. A B A B +=+ B. AB n A B =C. kA k A =D. -=-kA k A n()⒍下列结论正确的是( A ).A. 若A 是正交矩阵,则A -1也是正交矩阵B. 若A B ,均为n 阶对称矩阵,则AB 也是对称矩阵C. 若A B ,均为n 阶非零矩阵,则AB 也是非零矩阵D. 若A B ,均为n 阶非零矩阵,则AB ≠0⒎矩阵1325⎡⎣⎢⎤⎦⎥的伴随矩阵为( C ). A. 1325--⎡⎣⎢⎤⎦⎥ B. --⎡⎣⎢⎤⎦⎥1325C. 5321--⎡⎣⎢⎤⎦⎥D. --⎡⎣⎢⎤⎦⎥5321⒏方阵A 可逆的充分必要条件是(B ).A.A ≠0B.A ≠0C. A *≠0D. A *>0⒐设A B C ,,均为n 阶可逆矩阵,则()ACB '=-1(D ).A. ()'---B A C 111 B. '--B C A 11 C. A C B ---'111() D. ()B C A ---'111⒑设A B C ,,均为n 阶可逆矩阵,则下列等式成立的是(A ). A. ()A B A AB B +=++2222 B. ()A B B BA B +=+2C. ()221111ABC C B A ----= D. ()22ABC C B A '='''(二)填空题(每小题2分,共20分)⒈21014001---= 7 . ⒉---11111111x 是关于x 的一个一次多项式,则该多项式一次项的系数是 2 . ⒊若A 为34⨯矩阵,B 为25⨯矩阵,切乘积AC B ''有意义,则C 为 5×4 矩阵.⒋二阶矩阵A =⎡⎣⎢⎤⎦⎥=11015⎥⎦⎤⎢⎣⎡1051. ⒌设A B =-⎡⎣⎢⎢⎢⎤⎦⎥⎥⎥=--⎡⎣⎢⎤⎦⎥124034120314,,则()A B +''=⎥⎦⎤⎢⎣⎡--815360 ⒍设A B ,均为3阶矩阵,且A B ==-3,则-=2AB 72 .⒎设A B ,均为3阶矩阵,且A B =-=-13,,则-'=-312()A B -3 .⒏若A a =⎡⎣⎢⎤⎦⎥101为正交矩阵,则a = 0 .⒐矩阵212402033--⎡⎣⎢⎢⎢⎤⎦⎥⎥⎥的秩为 2 . ⒑设A A 12,是两个可逆矩阵,则A O OA 121⎡⎣⎢⎤⎦⎥=-⎥⎦⎤⎢⎣⎡--1211A O O A . (三)解答题(每小题8分,共48分)⒈设A B C =-⎡⎣⎢⎤⎦⎥=-⎡⎣⎢⎤⎦⎥=-⎡⎣⎢⎤⎦⎥123511435431,,,求⑴A B +;⑵A C +;⑶23A C +;⑷A B +5;⑸AB ;⑹()AB C '.答案:⎥⎦⎤⎢⎣⎡=+8130B A ⎥⎦⎤⎢⎣⎡=+4066C A ⎥⎦⎤⎢⎣⎡=+73161732C A⎥⎦⎤⎢⎣⎡=+01222265B A ⎥⎦⎤⎢⎣⎡=122377AB ⎥⎦⎤⎢⎣⎡='801512156)(C AB⒉设A B C =--⎡⎣⎢⎤⎦⎥=-⎡⎣⎢⎤⎦⎥=--⎡⎣⎢⎢⎢⎤⎦⎥⎥⎥121012103211114321002,,,求AC BC +.解:⎥⎦⎤⎢⎣⎡--=⎥⎥⎥⎦⎤⎢⎢⎢⎣⎡--⎥⎦⎤⎢⎣⎡=+=+10221046200123411102420)(C B A BC AC⒊已知A B =-⎡⎣⎢⎢⎢⎤⎦⎥⎥⎥=-⎡⎣⎢⎢⎢⎤⎦⎥⎥⎥310121342102111211,,求满足方程32A X B -=中的X .解: 32A X B -=∴ ⎥⎥⎥⎥⎥⎥⎦⎤⎢⎢⎢⎢⎢⎢⎣⎡--=⎥⎥⎥⎦⎤⎢⎢⎢⎣⎡--=-=252112712511234511725223821)3(21B A X ⒋写出4阶行列式1020143602533110--中元素a a 4142,的代数余子式,并求其值.答案:0352634020)1(1441=--=+a 45350631021)1(2442=---=+a⒌用初等行变换求下列矩阵的逆矩阵:⑴ 122212221--⎡⎣⎢⎢⎢⎤⎦⎥⎥⎥; ⑵ 1234231211111026---⎡⎣⎢⎢⎢⎢⎤⎦⎥⎥⎥⎥; ⑶1000110011101111⎡⎣⎢⎢⎢⎢⎤⎦⎥⎥⎥⎥.解:(1)[]⎥⎥⎥⎥⎥⎥⎦⎤⎢⎢⎢⎢⎢⎢⎣⎡--−−−→−⎥⎥⎥⎥⎥⎥⎦⎤⎢⎢⎢⎢⎢⎢⎣⎡----−−→−⎥⎥⎥⎥⎥⎦⎤⎢⎢⎢⎢⎢⎣⎡------−−−→−⎥⎥⎥⎦⎤⎢⎢⎢⎣⎡------−−−→−⎥⎥⎥⎦⎤⎢⎢⎢⎣⎡--=+-+--+-++-+-91929292919292929110001000191929203132032311002120112201203231900630201102012001360630221100010001122212221|2313323212312122913123222r r r r r r r r r r r r r r I A ⎥⎥⎥⎥⎥⎥⎦⎤⎢⎢⎢⎢⎢⎢⎣⎡--=∴-9192929291929292911A(2)⎥⎥⎥⎥⎦⎤⎢⎢⎢⎢⎣⎡--------=-35141201132051717266221A (过程略) (3) ⎥⎥⎥⎥⎦⎤⎢⎢⎢⎢⎣⎡---=-11000110001100011A ⒍求矩阵1011011110110010121012113201⎡⎣⎢⎢⎢⎢⎤⎦⎥⎥⎥⎥的秩.解:⎥⎥⎥⎥⎦⎤⎢⎢⎢⎢⎣⎡----−−→−⎥⎥⎥⎥⎦⎤⎢⎢⎢⎢⎣⎡-----−−→−⎥⎥⎥⎥⎦⎤⎢⎢⎢⎢⎣⎡-------−−−→−⎥⎥⎥⎥⎦⎤⎢⎢⎢⎢⎣⎡+-+-+-+-+-00000001110001110110110110101110000111000111011011011011221110011100011101101101101102311210121010011011110110143424131212r r r r r r r r r r ∴ 3)(=A R(四)证明题(每小题4分,共12分) ⒎对任意方阵A ,试证A A +'是对称矩阵. 证明:'')''(')''(A A A A A A A A +=+=+=+∴ A A +'是对称矩阵⒏若A 是n 阶方阵,且AA I '=,试证A =1或-1.证明: A 是n 阶方阵,且AA I '=∴ 12==='='I A A A A A∴A =1或1-=A⒐若A 是正交矩阵,试证'A 也是正交矩阵. 证明: A 是正交矩阵∴ A A '=-1∴ )()()(111''==='---A A A A即'A 是正交矩阵工程数学作业(第二次)(满分100分)第3章 线性方程组(一)单项选择题(每小题2分,共16分)⒈用消元法得x x x x x x 12323324102+-=+=-=⎧⎨⎪⎩⎪的解x x x 123⎡⎣⎢⎢⎢⎤⎦⎥⎥⎥为(C ).A. [,,]102-'B. [,,]--'722C. [,,]--'1122D. [,,]---'1122⒉线性方程组x x x x x x x 12313232326334++=-=-+=⎧⎨⎪⎩⎪(B ). A. 有无穷多解 B. 有唯一解 C. 无解 D. 只有零解⒊向量组100010001121304⎡⎣⎢⎢⎢⎤⎦⎥⎥⎥⎡⎣⎢⎢⎢⎤⎦⎥⎥⎥⎡⎣⎢⎢⎢⎤⎦⎥⎥⎥⎡⎣⎢⎢⎢⎤⎦⎥⎥⎥⎡⎣⎢⎢⎢⎤⎦⎥⎥⎥,,,,的秩为( A ). A. 3 B. 2 C. 4 D. 5⒋设向量组为αααα12341100001110101111=⎡⎣⎢⎢⎢⎢⎤⎦⎥⎥⎥⎥=⎡⎣⎢⎢⎢⎢⎤⎦⎥⎥⎥⎥=⎡⎣⎢⎢⎢⎢⎤⎦⎥⎥⎥⎥=⎡⎣⎢⎢⎢⎢⎤⎦⎥⎥⎥⎥,,,,则(B )是极大无关组.A. αα12,B. ααα123,,C. ααα124,,D. α1⒌A 与A 分别代表一个线性方程组的系数矩阵和增广矩阵,若这个方程组无解,则(D ). A. 秩()A =秩()A B. 秩()A <秩()A C. 秩()A >秩()A D. 秩()A =秩()A -1⒍若某个线性方程组相应的齐次线性方程组只有零解,则该线性方程组(A ). A. 可能无解 B. 有唯一解 C. 有无穷多解 D. 无解 ⒎以下结论正确的是(D ).A. 方程个数小于未知量个数的线性方程组一定有解B. 方程个数等于未知量个数的线性方程组一定有唯一解C. 方程个数大于未知量个数的线性方程组一定有无穷多解D. 齐次线性方程组一定有解⒏若向量组ααα12,,, s 线性相关,则向量组内(A )可被该向量组内其余向量线性表出. A. 至少有一个向量 B. 没有一个向量 C. 至多有一个向量 D. 任何一个向量9.设A ,B为n 阶矩阵,λ既是A又是B的特征值,x 既是A又是B的属于λ的特征向量,则结论( )成立. A.λ是AB 的特征值 B.λ是A+B 的特征值C.λ是A -B 的特征值 D.x 是A+B 的属于λ的特征向量10.设A,B,P为n 阶矩阵,若等式(C )成立,则称A和B相似. A.BA AB = B.AB AB =')( C.B PAP =-1 D.B P PA =' (二)填空题(每小题2分,共16分)⒈当λ= 1 时,齐次线性方程组x x x x 121200+=+=⎧⎨⎩λ有非零解.⒉向量组[][]αα12000111==,,,,,线性 相关 .⒊向量组[][][][]123120100000,,,,,,,,,,,的秩是 3 .⒋设齐次线性方程组ααα1122330x x x ++=的系数行列式ααα1230=,则这个方程组有 无穷多 解,且系数列向量ααα123,,是线性 相关 的.⒌向量组[][][]ααα123100100===,,,,,的极大线性无关组是21,αα. ⒍向量组ααα12,,, s 的秩与矩阵[]ααα12,,, s 的秩 相同 .⒎设线性方程组AX =0中有5个未知量,且秩()A =3,则其基础解系中线性无关的解向量有 2 个. ⒏设线性方程组AX b =有解,X 0是它的一个特解,且AX =0的基础解系为X X 12,,则AX b =的通解为22110X k X k X ++.9.若λ是A的特征值,则λ是方程0=-A I λ 的根. 10.若矩阵A满足A A '=-1 ,则称A为正交矩阵. (三)解答题(第1小题9分,其余每小题11分) 1.用消元法解线性方程组x x x x x x x x x x x x x x x x 123412341234123432638502412432---=-++=-+-+=--+--=⎧⎨⎪⎪⎩⎪⎪解:⎥⎥⎥⎥⎦⎤⎢⎢⎢⎢⎣⎡-----−−→−⎥⎥⎥⎥⎦⎤⎢⎢⎢⎢⎣⎡---------−−−→−⎥⎥⎥⎥⎦⎤⎢⎢⎢⎢⎣⎡----------=+-+++++-261210009039270188710482319018431001850188710612312314112141205183612314132124131215323r r r r r r r r r r r r A ⎥⎥⎥⎥⎦⎤⎢⎢⎢⎢⎣⎡----−−−→−⎥⎥⎥⎥⎦⎤⎢⎢⎢⎢⎣⎡----−−→−⎥⎥⎥⎥⎦⎤⎢⎢⎢⎢⎣⎡----−−→−+-+-+---+3311000411004615010124420011365004110018871048231901136500123300188710482319014323133434571931213r r r r r r r r r r ⎥⎥⎥⎥⎦⎤⎢⎢⎢⎢⎣⎡--−−−→−⎥⎥⎥⎥⎦⎤⎢⎢⎢⎢⎣⎡----−−→−++-+-3100010100100102000131004110046150101244200134241441542111r r r r r r r ∴方程组解为⎪⎪⎩⎪⎪⎨⎧-==-==31124321x x x x2.设有线性方程组λλλλλ11111112⎡⎣⎢⎢⎢⎤⎦⎥⎥⎥⎡⎣⎢⎢⎢⎤⎦⎥⎥⎥=⎡⎣⎢⎢⎢⎤⎦⎥⎥⎥x y z λ 为何值时,方程组有唯一解?或有无穷多解?解:⎥⎥⎥⎦⎤⎢⎢⎢⎣⎡-+-+---−−→−⎥⎥⎥⎦⎤⎢⎢⎢⎣⎡------−−−→−⎥⎥⎥⎦⎤⎢⎢⎢⎣⎡−−→−⎥⎥⎥⎦⎤⎢⎢⎢⎣⎡=++-+-↔22322222)1)(1()1)(2(00)1(110111110110111111111111111132312131λλλλλλλλλλλλλλλλλλλλλλλλλλλλλλr r r r r r r r A ]∴ 当1≠λ且2-≠λ时,3)()(==A R A R ,方程组有唯一解当1=λ时,1)()(==A R A R ,方程组有无穷多解3.判断向量β能否由向量组ααα123,,线性表出,若能,写出一种表出方式.其中βααα=---⎡⎣⎢⎢⎢⎢⎤⎦⎥⎥⎥⎥=-⎡⎣⎢⎢⎢⎢⎤⎦⎥⎥⎥⎥=--⎡⎣⎢⎢⎢⎢⎤⎦⎥⎥⎥⎥=--⎡⎣⎢⎢⎢⎢⎤⎦⎥⎥⎥⎥83710271335025631123,,, 解:向量β能否由向量组321,,ααα线性表出,当且仅当方程组βααα=++332211x x x 有解这里 []⎥⎥⎥⎥⎦⎤⎢⎢⎢⎢⎣⎡--−→−⋯⋯⋯⋯−→−⎥⎥⎥⎥⎦⎤⎢⎢⎢⎢⎣⎡--------==571000117100041310730110123730136578532,,,321βαααA )()(A R A R ≠∴ 方程组无解∴ β不能由向量321,,ααα线性表出4.计算下列向量组的秩,并且(1)判断该向量组是否线性相关αααα1234112343789131303319636=-⎡⎣⎢⎢⎢⎢⎢⎢⎤⎦⎥⎥⎥⎥⎥⎥=-⎡⎣⎢⎢⎢⎢⎢⎢⎤⎦⎥⎥⎥⎥⎥⎥=----⎡⎣⎢⎢⎢⎢⎢⎢⎤⎦⎥⎥⎥⎥⎥⎥=⎡⎣⎢⎢⎢⎢⎢⎢⎤⎦⎥⎥⎥⎥⎥⎥,,,解:[]⎥⎥⎥⎥⎥⎥⎦⎤⎢⎢⎢⎢⎢⎢⎣⎡-−→−⋯⋯⋯⋯−→−⎥⎥⎥⎥⎥⎥⎦⎤⎢⎢⎢⎢⎢⎢⎣⎡------=00000001800021101131631343393608293711131,,,4321αααα ∴该向量组线性相关5.求齐次线性方程组x x x x x x x x x x x x x x x 1234123412341243205230112503540-+-=-+-+=--+-=++=⎧⎨⎪⎪⎩⎪⎪ 的一个基础解系. 解:⎥⎥⎥⎥⎥⎦⎤⎢⎢⎢⎢⎢⎣⎡---−−−→−⎥⎥⎥⎥⎦⎤⎢⎢⎢⎢⎣⎡-------−−−→−⎥⎥⎥⎥⎦⎤⎢⎢⎢⎢⎣⎡-------=+-+-+-+-++30000000731402114501103140731407314021314053521113215213142321241312114335r r r r r r r r r r r r A ⎥⎥⎥⎥⎥⎥⎦⎤⎢⎢⎢⎢⎢⎢⎣⎡-−−−→−⎥⎥⎥⎥⎥⎥⎦⎤⎢⎢⎢⎢⎢⎢⎣⎡--−→−⎥⎥⎥⎥⎥⎥⎦⎤⎢⎢⎢⎢⎢⎢⎣⎡--−−→−+-+↔-000100001431001450100010002114310211450100030002114310211450123133432212131141r r r r r r r r ∴ 方程组的一般解为⎪⎪⎪⎩⎪⎪⎪⎨⎧==-=014314543231x x x x x 令13=x ,得基础解系 ⎥⎥⎥⎥⎥⎥⎦⎤⎢⎢⎢⎢⎢⎢⎣⎡-=10143145ξ 6.求下列线性方程组的全部解.x x x x x x x x x x x x x x x 12341234124123452311342594175361-+-=-+-+=----=++-=-⎧⎨⎪⎪⎩⎪⎪解:⎥⎥⎥⎥⎥⎦⎤⎢⎢⎢⎢⎢⎣⎡---−−−→−⎥⎥⎥⎥⎦⎤⎢⎢⎢⎢⎣⎡--------−−−→−⎥⎥⎥⎥⎦⎤⎢⎢⎢⎢⎣⎡----------=++-+-+-++00000000002872140121790156144280287214028721401132511163517409152413113251423212413121214553r r r r r r r r r r r r A ⎥⎥⎥⎥⎥⎥⎦⎤⎢⎢⎢⎢⎢⎢⎣⎡---−−→−-0000000000221711012179012141r ∴方程组一般解为⎪⎪⎩⎪⎪⎨⎧---=++-=2217112197432431x x x x x x令13k x =,24k x =,这里1k ,2k 为任意常数,得方程组通解⎥⎥⎥⎥⎦⎤⎢⎢⎢⎢⎣⎡-+⎥⎥⎥⎥⎥⎥⎦⎤⎢⎢⎢⎢⎢⎢⎣⎡-+⎥⎥⎥⎥⎥⎥⎦⎤⎢⎢⎢⎢⎢⎢⎣⎡-=⎥⎥⎥⎥⎥⎥⎦⎤⎢⎢⎢⎢⎢⎢⎣⎡--++-=⎥⎥⎥⎥⎦⎤⎢⎢⎢⎢⎣⎡00211021210171972217112197212121214321k k k k k k k k x x x x 7.试证:任一4维向量[]'=4321,,,a a a a β都可由向量组⎥⎥⎥⎥⎦⎤⎢⎢⎢⎢⎣⎡=00011α,⎥⎥⎥⎥⎦⎤⎢⎢⎢⎢⎣⎡=00112α,⎥⎥⎥⎥⎦⎤⎢⎢⎢⎢⎣⎡=01113α,⎥⎥⎥⎥⎦⎤⎢⎢⎢⎢⎣⎡=11114α线性表示,且表示方式唯一,写出这种表示方式.证明:⎥⎥⎥⎥⎦⎤⎢⎢⎢⎢⎣⎡=00011α ⎥⎥⎥⎥⎦⎤⎢⎢⎢⎢⎣⎡=-001012αα ⎥⎥⎥⎥⎦⎤⎢⎢⎢⎢⎣⎡=-010023αα ⎥⎥⎥⎥⎦⎤⎢⎢⎢⎢⎣⎡=-100034αα任一4维向量可唯一表示为)()()(10000100001000013442331221143214321αααααααβ-+-+-+=⎥⎥⎥⎥⎦⎤⎢⎢⎢⎢⎣⎡+⎥⎥⎥⎥⎦⎤⎢⎢⎢⎢⎣⎡+⎥⎥⎥⎥⎦⎤⎢⎢⎢⎢⎣⎡+⎥⎥⎥⎥⎦⎤⎢⎢⎢⎢⎣⎡=⎥⎥⎥⎥⎦⎤⎢⎢⎢⎢⎣⎡=a a a a a a a a a a a a44343232121)()()(ααααa a a a a a a +-+-+-=⒏试证:线性方程组有解时,它有唯一解的充分必要条件是:相应的齐次线性方程组只有零解. 证明:设B AX =为含n 个未知量的线性方程组 该方程组有解,即n A R A R ==)()(从而B AX =有唯一解当且仅当n A R =)(而相应齐次线性方程组0=AX 只有零解的充分必要条件是n A R =)(∴ B AX =有唯一解的充分必要条件是:相应的齐次线性方程组0=AX 只有零解9.设λ是可逆矩阵A的特征值,且0≠λ,试证:λ1是矩阵1-A 的特征值.证明: λ是可逆矩阵A的特征值∴ 存在向量ξ,使λξξ=A∴ξξλλξξξξ=====----1111)()()(A A A A A A I∴ξλξ11=-A即λ1是矩阵1-A 的特征值 10.用配方法将二次型43324221242322212222x x x x x x x x x x x x f +--++++=化为标准型. 解:42244232322143324224232212)(2)(222)(x x x x x x x x x x x x x x x x x x x f -++-+++=+--+++=222423221)()(x x x x x x -+-++=∴ 令211x x y +=,4232x x x y +-=,23x y =,44y x =即⎪⎪⎩⎪⎪⎨⎧=-+==-=44432332311y x y y y x y x y y x则将二次型化为标准型 232221y y y f -+=工程数学作业(第三次)(满分100分)第4章 随机事件与概率(一)单项选择题⒈A B ,为两个事件,则( B )成立.A. ()A B B A +-=B. ()A B B A +-⊂C. ()A B B A -+=D. ()A B B A -+⊂ ⒉如果( C )成立,则事件A 与B 互为对立事件. A. AB =∅ B. AB U =C. AB =∅且AB U =D. A 与B 互为对立事件⒊10张奖券中含有3张中奖的奖券,每人购买1张,则前3个购买者中恰有1人中奖的概率为(D ). A. C 10320703⨯⨯.. B. 03. C. 07032..⨯ D. 307032⨯⨯.. 4. 对于事件A B ,,命题(C )是正确的. A. 如果A B ,互不相容,则A B ,互不相容 B. 如果A B ⊂,则A B ⊂ C. 如果A B ,对立,则A B ,对立D. 如果A B ,相容,则A B ,相容⒌某随机试验的成功率为)10(<<p p ,则在3次重复试验中至少失败1次的概率为(D ). A.3)1(p - B. 31p - C. )1(3p - D. )1()1()1(223p p p p p -+-+- 6.设随机变量X B n p ~(,),且E X D X ().,().==48096,则参数n 与p 分别是(A ). A. 6, 0.8 B. 8, 0.6 C. 12, 0.4 D. 14, 0.27.设f x ()为连续型随机变量X 的密度函数,则对任意的a b a b ,()<,E X ()=(A ). A. xf x x ()d -∞+∞⎰B.xf x x ab()d ⎰C.f x x ab()d ⎰D.f x x ()d -∞+∞⎰8.在下列函数中可以作为分布密度函数的是(B ).A. f x x x ()sin ,,=-<<⎧⎨⎪⎩⎪ππ2320其它B. f x x x ()sin ,,=<<⎧⎨⎪⎩⎪020π其它C. f x x x ()sin ,,=<<⎧⎨⎪⎩⎪0320π其它 D. f x x x ()sin ,,=<<⎧⎨⎩00π其它9.设连续型随机变量X 的密度函数为f x (),分布函数为F x (),则对任意的区间(,)a b ,则=<<)(b X a P ( D ). A. F a F b ()()- B. F x x a b()d ⎰ C. f a f b ()()- D.f x x ab()d ⎰10.设X 为随机变量,E X D X (),()==μσ2,当(C )时,有E Y D Y (),()==01. A. Y X =+σμ B. Y X =-σμC. Y X =-μσD. Y X =-μσ2(二)填空题⒈从数字1,2,3,4,5中任取3个,组成没有重复数字的三位数,则这个三位数是偶数的概率为52. 2.已知P A P B ().,().==0305,则当事件A B ,互不相容时,P A B ()+= 0.8 ,P AB ()= 0.3 . 3.A B ,为两个事件,且B A ⊂,则P A B ()+=()A P .4. 已知P AB P AB P A p ()(),()==,则P B ()=P -1.5. 若事件A B ,相互独立,且P A p P B q (),()==,则P A B ()+=pq q p -+.6. 已知P A P B ().,().==0305,则当事件A B ,相互独立时,P A B ()+= 0.65 ,P A B ()= 0.3 .7.设随机变量X U ~(,)01,则X 的分布函数F x ()=⎪⎩⎪⎨⎧≥<<≤111000x x x x .8.若X B ~(,.)2003,则E X ()= 6 .9.若X N ~(,)μσ2,则P X ()-≤=μσ3)3(2Φ.10.E X E X Y E Y [(())(())]--称为二维随机变量(,)X Y 的 协方差 . (三)解答题1.设A B C ,,为三个事件,试用A B C ,,的运算分别表示下列事件: ⑴ A B C ,,中至少有一个发生; ⑵ A B C ,,中只有一个发生; ⑶ A B C ,,中至多有一个发生; ⑷ A B C ,,中至少有两个发生; ⑸ A B C ,,中不多于两个发生; ⑹ A B C ,,中只有C 发生.解:(1)C B A ++ (2)C B A C B A C B A ++ (3) C B A C B A C B A C B A +++ (4)BC AC AB ++ (5)C B A ++ (6)C B A2. 袋中有3个红球,2个白球,现从中随机抽取2个球,求下列事件的概率: ⑴ 2球恰好同色;⑵ 2球中至少有1红球.解:设A =“2球恰好同色”,B =“2球中至少有1红球”521013)(252223=+=+=C C C A P 1091036)(25231213=+=+=C C C C B P 3. 加工某种零件需要两道工序,第一道工序的次品率是2%,如果第一道工序出次品则此零件为次品;如果第一道工序出正品,则由第二道工序加工,第二道工序的次品率是3%,求加工出来的零件是正品的概率. 解:设=i A “第i 道工序出正品”(i=1,2)9506.0)03.01)(02.01()|()()(12121=--==A A P A P A A P4. 市场供应的热水瓶中,甲厂产品占50%,乙厂产品占30%,丙厂产品占20%,甲、乙、丙厂产品的合格率分别为90%,85%,80%,求买到一个热水瓶是合格品的概率.解:设""1产品由甲厂生产=A ""2产品由乙厂生产=A ""3产品由丙厂生产=A""产品合格=B)|()()|()()|()()(332211A B P A P A B P A P A B P A P B P ++=865.080.02.085.03.09.05.0=⨯+⨯+⨯=5. 某射手连续向一目标射击,直到命中为止.已知他每发命中的概率是p ,求所需设计次数X 的概率分布. 解:P X P ==)1(P P X P )1()2(-==P P X P 2)1()3(-==…………P P k X P k 1)1()(--==…………故X 的概率分布是⎥⎦⎤⎢⎣⎡⋯⋯-⋯⋯--⋯⋯⋯⋯-p p p p p p p k k 12)1()1()1(321 6.设随机变量X 的概率分布为012345601015020*********.......⎡⎣⎢⎤⎦⎥ 试求P X P X P X (),(),()≤≤≤≠4253.解:87.012.03.02.015.01.0)4()3()2()1()0()4(=++++==+=+=+=+==≤X P X P X P X P X P X P72.01.012.03.02.0)5()4()3()2()52(=+++==+=+=+==≤≤X P X P X P X P X P7.03.01)3(1)3(=-==-=≠X P X P7.设随机变量X 具有概率密度f x x x (),,=≤≤⎧⎨⎩2010其它 试求P X P X (),()≤<<12142. 解:412)()21(210221021====≤⎰⎰∞-x xdx dx x f X P 16152)()241(1412141241====<<⎰⎰x xdx dx x f X P 8. 设X f x x x ~(),,=≤≤⎧⎨⎩2010其它,求E X D X (),(). 解:32322)()(10310==⋅==⎰⎰+∞∞-x xdx x dx x xf X E 21422)()(10410222==⋅==⎰⎰+∞∞-x xdx x dx x f x X E 181)32(21)]([)()(222=-=-=x E X E X D 9. 设)6.0,1(~2N X ,计算⑴P X (..)0218<<;⑵P X ()>0.解:8164.019082.021)33.1(2)33.1()33.1()33.12.0133.1()8.12.0(=-⨯=-Φ=-Φ-Φ=<-<-=<<X P X P 0475.09525.01)67.1(1)67.16.01()0(=-=Φ-=<-=>X P X P 10.设X X X n 12,,, 是独立同分布的随机变量,已知E X D X (),()112==μσ,设X n X i i n==∑11,求E X D X (),().解:)]()()([1)(1)1()(21211n n n i i X E X E X E n X X X E n X nE X E +⋯⋯++=+⋯⋯++==∑= μμ==n n1 )]()()([1)(1)1()(2122121n n n i i X D X D X D nX X X D n X n D X D +⋯⋯++=+⋯⋯++==∑= 22211σσn n n=⋅=工程数学作业(第四次)第6章 统计推断(一)单项选择题⒈设x x x n 12,,, 是来自正态总体N (,)μσ2(μσ,2均未知)的样本,则(A )是统计量.A. x 1B. x 1+μC. x 122σ D. μx 1 ⒉设x x x 123,,是来自正态总体N (,)μσ2(μσ,2均未知)的样本,则统计量(D )不是μ的无偏估计.A. max{,,}x x x 123B. 1212()x x + C. 212x x - D. x x x 123--(二)填空题1.统计量就是 不含未知参数的样本函数 .2.参数估计的两种方法是 点估计 和 区间估计 .常用的参数点估计有 矩估计法 和 最大似然估计 两种方法.3.比较估计量好坏的两个重要标准是 无偏性 , 有效性 .4.设x x x n 12,,, 是来自正态总体N (,)μσ2(σ2已知)的样本值,按给定的显著性水平α检验H H 0010:;:μμμμ=≠,需选取统计量nx U /0σμ-=.5.假设检验中的显著性水平α为事件u x >-||0μ(u 为临界值)发生的概率.(三)解答题1.设对总体X 得到一个容量为10的样本值4.5, 2.0, 1.0, 1.5, 3.5, 4.5, 6.5,5.0, 3.5, 4.0 试分别计算样本均值x 和样本方差s 2. 解:6.336101101101=⨯==∑=i i x x878.29.2591)(110121012=⨯=--=∑=i i x x s2.设总体X 的概率密度函数为f x x x (;)(),,θθθ=+<<⎧⎨⎩1010其它 试分别用矩估计法和最大似然估计法估计参数θ.解:提示教材第214页例3 矩估计:,121)1()(110∑⎰===++=+=n i i x n x dx x x X E θθθθx x --=112ˆθ 最大似然估计:θθθθθ)()1()1();,,,(21121n n i n i n x x x x x x x L +=+==0ln 1ln ,ln )1ln(ln 11=++=++=∑∑==n i i n i i x n d L d x n L θθθθ,1ln ˆ1--=∑=n i ixn θ 3.测两点之间的直线距离5次,测得距离的值为(单位:m ):108.5 109.0 110.0 110.5 112.0测量值可以认为是服从正态分布N (,)μσ2的,求μ与σ2的估计值.并在⑴σ225=.;⑵σ2未知的情况下,分别求μ的置信度为0.95的置信区间.解: 11051ˆ51===∑=i i x x μ 875.1)(151ˆ5122=--==∑=i i x x s σ (1)当σ225=.时,由1-α=0.95,975.021)(=-=Φαλ 查表得:96.1=λ故所求置信区间为:]4.111,6.108[],[=+-n x nx σλσλ(2)当2σ未知时,用2s 替代2σ,查t (4, 0.05 ) ,得 776.2=λ 故所求置信区间为:]7.111,3.108[],[=+-ns x n s x λλ 4.设某产品的性能指标服从正态分布N (,)μσ2,从历史资料已知σ=4,抽查10个样品,求得均值为17,取显著性水平α=005.,问原假设H 020:μ=是否成立.解:237.0162.343|10/42017||/|||0=⨯=-=-=n x U σμ, 由975.021)(=-=Φαλ ,查表得:96.1=λ 因为 237.0||=U > 1.96 ,所以拒绝0H5.某零件长度服从正态分布,过去的均值为20.0,现换了新材料,从产品中随机抽取8个样品,测得的长度为(单位:cm ):20.0, 20.2, 20.1, 20.0, 20.2, 20.3, 19.8, 19.5问用新材料做的零件平均长度是否起了变化(α=005.). 解:由已知条件可求得:0125.20=x 0671.02=s 1365.0259.0035.0|8/259.0200125.20||/|||0==-=-=n s x T μ 62.2)05.0,9()05.0,1(==-=t n t λ ∵ | T | < 2.62 ∴ 接受H 0即用新材料做的零件平均长度没有变化。
工程数学作业(一)答案(满分100分)第2章 矩阵(一)单项选择题(每小题2分,共20分)⒈设a a a b b b c c c 1231231232=,则a a a a b a b a b c c c 123112233123232323---=(D ).A 。
4 B. -4 C. 6 D 。
-6⒉若000100002001001a a =,则a =(A ).A 。
12B 。
-1C 。
-12D. 1⒊乘积矩阵1124103521-⎡⎣⎢⎤⎦⎥-⎡⎣⎢⎤⎦⎥中元素c 23=(C ).A 。
1B 。
7 C. 10 D. 8 ⒋设A B ,均为n 阶可逆矩阵,则下列运算关系正确的是( B ). A. A BAB +=+---111 B 。
()AB BA --=11C. ()A B A B +=+---111 D 。
()AB A B ---=111⒌设A B ,均为n 阶方阵,k >0且k ≠1,则下列等式正确的是(D ). A. A B A B +=+ B. AB n A B =C 。
kA k A = D. -=-kA k A n()⒍下列结论正确的是( A ).A 。
若A 是正交矩阵,则A -1也是正交矩阵B. 若A B ,均为n 阶对称矩阵,则AB 也是对称矩阵C. 若A B ,均为n 阶非零矩阵,则AB 也是非零矩阵 D 。
若A B ,均为n 阶非零矩阵,则AB ≠0⒎矩阵1325⎡⎣⎢⎤⎦⎥的伴随矩阵为( C ). A. 1325--⎡⎣⎢⎤⎦⎥ B 。
--⎡⎣⎢⎤⎦⎥1325C. 5321--⎡⎣⎢⎤⎦⎥ D 。
--⎡⎣⎢⎤⎦⎥5321⒏方阵A 可逆的充分必要条件是(B ).A.A ≠0 B 。
A ≠0 C 。
A *≠0 D 。
A *>0⒐设A B C ,,均为n 阶可逆矩阵,则()ACB '=-1(D ).A 。
()'---B A C 111 B. '--B C A 11 C 。
国家开放大学《工程数学本》形成性考核作业-参考答案(一)最近,国家开放大学的学生们正在进行《工程数学本》的形成性考核作业,本文将为大家提供参考答案。
首先,本次形成性考核作业分为两个部分,分别是选择题和计算/证明题。
下面将分开讲解。
一、选择题1. 垂直于平面x+y+z=1的平面方程是()A. x+y-z=1B. x-y+z=1C. -x+y+z=1D. -x-y+z=1答案:D。
解析:由题意可知,要求垂直于平面x+y+z=1,因此可以设计一个法向量n=[1,1,1],那么直线上任意一点与法向量的内积都为0。
从而有x+y+z-1=0。
将其化简得到该平面的方程为-x-y+z=1。
2. 已知曲线的参数方程 r(t) = (1+2t)i + (t-3)j + (t^2-1)k,它在t=1的单位切向量是()A. 2i-j+2kB. 2i+j+2kC. 4i-j+6kD. -2i-j+2k答案:B。
解析:曲线在t=1时的单位切向量就是它的导数,即r’(1)。
求导可得r’(t) = 2i+j+2tk。
代入t=1得到r’(1) = 2i+j+2k。
3. 行列式D=|2 2 1;3 2 4;1 3 2|的值是()A. -2B. 2C. 4D. 6答案:A。
解析:该行列式可以通过按第二行展开化简为:D=2|2 1| - 2|3 4| + |1 3| = 2*(-2) - 2*(-12) + 3 = -2。
二、计算/证明题1.设A、B、C为3×3的矩阵,且满足:AB=BC,且B可逆,证明:AC=C。
证明:由已知AB=BC可得 A=BCB^-1。
于是有 AC=BCB^-1C = B(IB^-1)C = BC = C。
2.已知函数y=e^(kx)sin(ax+b)在[x0,x0+pi/a]上的最大值为2,最小值为-2,求k和b的值情况。
解析:根据已知条件,可推出y的表达式为y=e^(kx)sin(ax+b),并知道在[x0,x0+pi/a]上最大值为2,最小值为-2,因此可列出以下两个等式:e^(kx0)sin(ax0+b)=2e^(k(x0+pi/a))sin(a(x0+pi/a)+b)=-2将两式相除,可得到e^(kpi/a)=-1。
工程数学作业(一)谜底(满分100分)之南宫帮珍创作第2章矩阵(一)单项选择题(每小题2分, 共20分)⒈设a a a b b b c c c 1231231232=, 则a a a a b a b a b c c c 123112233123232323---=(D ).A. 4B. -4C. 6D. -6⒉若000100002001001a a =, 则a =(A ).A. 12B. -1C. -12D. 1⒊乘积矩阵1124103521-⎡⎣⎢⎤⎦⎥-⎡⎣⎢⎤⎦⎥中元素c 23=(C ).A. 1B. 7C. 10D. 8⒋设A B ,均为n 阶可逆矩阵, 则下列运算关系正确的是( B ). A. A B A B +=+---111 B. ()AB BA --=11C. ()A B A B +=+---111D. ()AB A B ---=111⒌设A B ,均为n 阶方阵, k >0且k ≠1, 则下列等式正确的是(D ).A. A B A B +=+B. AB n A B =C. kA k A =D. -=-kA k A n () ⒍下列结论正确的是( A ).A. 若A 是正交矩阵, 则A -1也是正交矩阵B. 若A B ,均为n 阶对称矩阵, 则AB 也是对称矩阵C. 若A B ,均为n 阶非零矩阵, 则AB 也是非零矩阵D. 若A B ,均为n 阶非零矩阵, 则AB ≠0⒎矩阵1325⎡⎣⎢⎤⎦⎥的陪伴矩阵为( C ).A. 1325--⎡⎣⎢⎤⎦⎥B. --⎡⎣⎢⎤⎦⎥1325C. 5321--⎡⎣⎢⎤⎦⎥D. --⎡⎣⎢⎤⎦⎥5321⒏方阵A 可逆的充沛需要条件是(B ).A.A ≠0B.A ≠0C. A *≠0D. A *>0⒐设A B C ,,均为n 阶可逆矩阵, 则()ACB '=-1(D ). A. ()'---B A C 111 B. '--B C A 11 C. A C B ---'111() D. ()B C A ---'111⒑设A B C ,,均为n 阶可逆矩阵, 则下列等式成立的是(A ). A. ()A B A AB B +=++2222 B. ()A B B BA B +=+2 C. ()221111ABC C B A ----= D. ()22ABC C B A '=''' (二)填空题(每小题2分, 共20分)⒈210140001---=7.⒉---11111111x 是关于x 的一个一次多项式, 则该多项式一次项的系数是2.⒊若A 为34⨯矩阵, B 为25⨯矩阵, 切乘积AC B ''有意义, 则C 为5×4矩阵.⒋二阶矩阵A =⎡⎣⎢⎤⎦⎥=11015⎥⎦⎤⎢⎣⎡1051.⒌设A B =-⎡⎣⎢⎢⎢⎤⎦⎥⎥⎥=--⎡⎣⎢⎤⎦⎥124034120314,, 则()A B +''=⎥⎦⎤⎢⎣⎡--815360 ⒍设A B ,均为3阶矩阵, 且A B ==-3, 则-=2AB 72.⒎设A B ,均为3阶矩阵, 且A B =-=-13,, 则-'=-312()A B -3.⒏若A a =⎡⎣⎢⎤⎦⎥101为正交矩阵, 则a =0. ⒐矩阵212402033--⎡⎣⎢⎢⎢⎤⎦⎥⎥⎥的秩为2.⒑设A A 12,是两个可逆矩阵, 则AO O A 121⎡⎣⎢⎤⎦⎥=-⎥⎦⎤⎢⎣⎡--1211A O O A . (三)解答题(每小题8分, 共48分)⒈设A B C =-⎡⎣⎢⎤⎦⎥=-⎡⎣⎢⎤⎦⎥=-⎡⎣⎢⎤⎦⎥123511435431,,, 求⑴A B +;⑵A C +;⑶23A C +;⑷A B +5;⑸AB ;⑹()AB C '.谜底:⎥⎦⎤⎢⎣⎡=+8130B A ⎥⎦⎤⎢⎣⎡=+4066C A ⎥⎦⎤⎢⎣⎡=+73161732C A ⒉设A B C =--⎡⎣⎢⎤⎦⎥=-⎡⎣⎢⎤⎦⎥=--⎡⎣⎢⎢⎢⎤⎦⎥⎥⎥121012103211114321002,,, 求AC BC +. 解:⎥⎦⎤⎢⎣⎡--=⎥⎥⎥⎦⎤⎢⎢⎢⎣⎡--⎥⎦⎤⎢⎣⎡=+=+10221046200123411102420)(C B A BC AC ⒊已知A B =-⎡⎣⎢⎢⎢⎤⎦⎥⎥⎥=-⎡⎣⎢⎢⎢⎤⎦⎥⎥⎥310121342102111211,, 求满足方程32A X B -=中的X .解: 32A X B -= ⒋写出4阶行列式中元素a a 4142,的代数余子式, 并求其值.谜底:0352634020)1(1441=--=+a 45350631021)1(2442=---=+a⒌用初等行变换求下列矩阵的逆矩阵:⑴122212221--⎡⎣⎢⎢⎢⎤⎦⎥⎥⎥;⑵1234231211111026---⎡⎣⎢⎢⎢⎢⎤⎦⎥⎥⎥⎥;⑶100110011101111⎡⎣⎢⎢⎢⎢⎤⎦⎥⎥⎥⎥. 解:(1)[]⎥⎥⎥⎥⎥⎥⎦⎤⎢⎢⎢⎢⎢⎢⎣⎡--−−−→−⎥⎥⎥⎥⎥⎥⎦⎤⎢⎢⎢⎢⎢⎢⎣⎡----−−→−⎥⎥⎥⎥⎥⎦⎤⎢⎢⎢⎢⎢⎣⎡------−−−→−⎥⎥⎥⎦⎤⎢⎢⎢⎣⎡------−−−→−⎥⎥⎥⎦⎤⎢⎢⎢⎣⎡--=+-+--+-++-+-919292929192929291100010001919292031320323110021020112201203231900630201102012001360630221100010001122212221|2313323212312122913123222r r r r r r r r r r r r r r I A ⎥⎥⎥⎥⎥⎥⎦⎤⎢⎢⎢⎢⎢⎢⎣⎡--=∴-9192929291929292911A(2)⎥⎥⎥⎥⎦⎤⎢⎢⎢⎢⎣⎡--------=-35141201132051717266221A (过程略) (3)⎥⎥⎥⎥⎦⎤⎢⎢⎢⎢⎣⎡---=-11000110001100011A ⒍求矩阵1011011110110010121012113201⎡⎣⎢⎢⎢⎢⎤⎦⎥⎥⎥⎥的秩.解:⎥⎥⎥⎥⎦⎤⎢⎢⎢⎢⎣⎡----−−→−⎥⎥⎥⎥⎦⎤⎢⎢⎢⎢⎣⎡-----−−→−⎥⎥⎥⎥⎦⎤⎢⎢⎢⎢⎣⎡-------−−−→−⎥⎥⎥⎥⎦⎤⎢⎢⎢⎢⎣⎡+-+-+-+-+-00000000111000111011011011010111000011100011101101111112211100111000111011011111102311210121010011011110110143424131212r r r r r r r r r r ∴3)(=A R (四)证明题(每小题4分, 共12分) ⒎对任意方阵A , 试证A A +'是对称矩阵. 证明:'')''(')''(A A A A A A A A +=+=+=+ ∴A A +'是对称矩阵⒏若A 是n 阶方阵, 且AA I '=, 试证A =1或-1. 证明: A 是n 阶方阵, 且AA I '=∴A =1或1-=A⒐若A 是正交矩阵, 试证'A 也是正交矩阵. 证明: A 是正交矩阵即'A 是正交矩阵工程数学作业(第二次)(满分100分)第3章线性方程组(一)单项选择题(每小题2分, 共16分)⒈用消元法得x x x x x x 12323324102+-=+=-=⎧⎨⎪⎩⎪的解x x x 123⎡⎣⎢⎢⎢⎤⎦⎥⎥⎥为(C ).A. [,,]102-'B. [,,]--'722C. [,,]--'1122D. [,,]---'1122⒉线性方程组x x x x x x x 12313232326334++=-=-+=⎧⎨⎪⎩⎪(B ). A. 有无穷多解 B. 有唯一解 C. 无解 D. 只有零解⒊向量组100010001121304⎡⎣⎢⎢⎢⎤⎦⎥⎥⎥⎡⎣⎢⎢⎢⎤⎦⎥⎥⎥⎡⎣⎢⎢⎢⎤⎦⎥⎥⎥⎡⎣⎢⎢⎢⎤⎦⎥⎥⎥⎡⎣⎢⎢⎢⎤⎦⎥⎥⎥,,,,的秩为( A ).A. 3B. 2C. 4D. 5⒋设向量组为αααα12341100001110101111=⎡⎣⎢⎢⎢⎢⎤⎦⎥⎥⎥⎥=⎡⎣⎢⎢⎢⎢⎤⎦⎥⎥⎥⎥=⎡⎣⎢⎢⎢⎢⎤⎦⎥⎥⎥⎥=⎡⎣⎢⎢⎢⎢⎤⎦⎥⎥⎥⎥,,,, 则(B)是极年夜无关组.A. αα12,B. ααα123,,C. ααα124,,D. α1⒌A 与A 分别代表一个线性方程组的系数矩阵和增广矩阵, 若这个方程组无解, 则(D ).A. 秩()A =秩()AB. 秩()A <秩()AC. 秩()A >秩()AD. 秩()A =秩()A -1⒍若某个线性方程组相应的齐次线性方程组只有零解, 则该线性方程组(A ).A. 可能无解B. 有唯一解C. 有无穷多解D. 无解 ⒎以下结论正确的是(D ).A. 方程个数小于未知量个数的线性方程组一定有解B. 方程个数即是未知量个数的线性方程组一定有唯一解C. 方程个数年夜于未知量个数的线性方程组一定有无穷多解D. 齐次线性方程组一定有解⒏若向量组ααα12,,, s 线性相关, 则向量组内(A )可被该向量组内其余向量线性表出.A. 至少有一个向量B. 没有一个向量C. 至多有一个向量D. 任何一个向量9.设A, B为n 阶矩阵, λ既是A又是B的特征值, x 既是A又是B的属于λ的特征向量, 则结论( )成立.A.λ是AB 的特征值 B.λ是A+B 的特征值C.λ是A -B 的特征值 D.x 是A+B 的属于λ的特征向量 10.设A, B, P为n 阶矩阵, 若等式(C )成立, 则称A和B相似.A.BA AB = B.AB AB =')( C.B PAP =-1D.B P PA ='(二)填空题(每小题2分, 共16分)⒈当λ=1时, 齐次线性方程组x x x x 121200+=+=⎧⎨⎩λ有非零解.⒉向量组[][]αα12000111==,,,,,线性相关.⒊向量组[][][][]123120100000,,,,,,,,,,,的秩是3.⒋设齐次线性方程组ααα1122330x x x ++=的系数行列式ααα1230=, 则这个方程组有无穷多解, 且系数列向量ααα123,,是线性相关的.⒌向量组[][][]ααα123100100===,,,,,的极年夜线性无关组是21,αα.⒍向量组ααα12,,, s 的秩与矩阵[]ααα12,,, s 的秩相同.⒎设线性方程组AX =0中有5个未知量, 且秩()A =3, 则其基础解系中线性无关的解向量有2个.⒏设线性方程组AX b =有解, X 0是它的一个特解, 且AX =0的基础解系为X X 12,, 则AX b =的通解为22110X k X k X ++. 9.若λ是A的特征值, 则λ是方程0=-A I λ 的根. 10.若矩阵A满足A A '=-1 , 则称A为正交矩阵. (三)解答题(第1小题9分, 其余每小题11分) 1.用消元法解线性方程组 解:⎥⎥⎥⎥⎦⎤⎢⎢⎢⎢⎣⎡-----−−→−⎥⎥⎥⎥⎦⎤⎢⎢⎢⎢⎣⎡---------−−−→−⎥⎥⎥⎥⎦⎤⎢⎢⎢⎢⎣⎡----------=+-+++++-2612100090392700188710482319018431001850188710612312314112141205183612314132124131215323r r r r r r r r r r r r A ⎥⎥⎥⎥⎦⎤⎢⎢⎢⎢⎣⎡----−−−→−⎥⎥⎥⎥⎦⎤⎢⎢⎢⎢⎣⎡----−−→−⎥⎥⎥⎥⎦⎤⎢⎢⎢⎢⎣⎡----−−→−+-+-+---+3311000411004615010124420011365004110018871048231901136500123300188710482319014323133434571931213r r r r r r r r r r ⎥⎥⎥⎥⎦⎤⎢⎢⎢⎢⎣⎡--−−−→−⎥⎥⎥⎥⎦⎤⎢⎢⎢⎢⎣⎡----−−→−++-+-3100101001001020001310004110046150101244200134241441542111r r r r r r r ∴方程组解为⎪⎪⎩⎪⎪⎨⎧-==-==31124321x x x x2.设有线性方程组λ为何值时, 方程组有唯一解?或有无穷多解? 解:⎥⎥⎥⎦⎤⎢⎢⎢⎣⎡-+-+---−−→−⎥⎥⎥⎦⎤⎢⎢⎢⎣⎡------−−−→−⎥⎥⎥⎦⎤⎢⎢⎢⎣⎡−−→−⎥⎥⎥⎦⎤⎢⎢⎢⎣⎡=++-+-↔22322222)1)(1()1)(2(00)1(110111110110111111111111111132312131λλλλλλλλλλλλλλλλλλλλλλλλλλλλλλr r r r r r r r A ]∴当1≠λ且2-≠λ时, 3)()(==A R A R , 方程组有唯一解那时1=λ, 1)()(==A R A R , 方程组有无穷多解3.判断向量β能否由向量组ααα123,,线性表出, 若能, 写出一种表出方式.其中解:向量β能否由向量组321,,ααα线性表出, 当且仅当方程组βααα=++332211x x x 有解 这里[]⎥⎥⎥⎥⎦⎤⎢⎢⎢⎢⎣⎡--−→−⋯⋯⋯⋯−→−⎥⎥⎥⎥⎦⎤⎢⎢⎢⎢⎣⎡--------==571000117100041310730110123730136578532,,,321βαααA ∴方程组无解∴β不能由向量321,,ααα线性表出4.计算下列向量组的秩, 而且(1)判断该向量组是否线性相关解:[]⎥⎥⎥⎥⎥⎥⎦⎤⎢⎢⎢⎢⎢⎢⎣⎡-−→−⋯⋯⋯⋯−→−⎥⎥⎥⎥⎥⎥⎦⎤⎢⎢⎢⎢⎢⎢⎣⎡------=0000001800021101131631343393608293711131,,,4321αααα ∴该向量组线性相关5.求齐次线性方程组的一个基础解系. 解:∴方程组的一般解为⎪⎪⎪⎩⎪⎪⎪⎨⎧==-=014314543231x x x x x 令13=x , 得基础解系⎥⎥⎥⎥⎥⎥⎦⎤⎢⎢⎢⎢⎢⎢⎣⎡-=10143145ξ 6.求下列线性方程组的全部解. 解:⎥⎥⎥⎥⎥⎦⎤⎢⎢⎢⎢⎢⎣⎡---−−−→−⎥⎥⎥⎥⎦⎤⎢⎢⎢⎢⎣⎡--------−−−→−⎥⎥⎥⎥⎦⎤⎢⎢⎢⎢⎣⎡----------=++-+-+-++00000000002872140121790156144280287214028721401132511163517409152413113251423212413121214553r r r r r r r r r r r r A ⎥⎥⎥⎥⎥⎥⎦⎤⎢⎢⎢⎢⎢⎢⎣⎡---−−→−-0000000000221711012179012141r ∴方程组一般解为⎪⎪⎩⎪⎪⎨⎧---=++-=2217112197432431x x x x x x令13k x =, 24k x =, 这里1k , 2k 为任意常数, 得方程组通解7.试证:任一4维向量[]'=4321,,,a a a a β都可由向量组⎥⎥⎥⎥⎦⎤⎢⎢⎢⎢⎣⎡=00011α, ⎥⎥⎥⎥⎦⎤⎢⎢⎢⎢⎣⎡=00112α, ⎥⎥⎥⎥⎦⎤⎢⎢⎢⎢⎣⎡=01113α, ⎥⎥⎥⎥⎦⎤⎢⎢⎢⎢⎣⎡=11114α线性暗示, 且暗示方式唯一, 写出这种暗示方式.证明:⎥⎥⎥⎥⎦⎤⎢⎢⎢⎢⎣⎡=00011α⎥⎥⎥⎥⎦⎤⎢⎢⎢⎢⎣⎡=-001012αα⎥⎥⎥⎥⎦⎤⎢⎢⎢⎢⎣⎡=-010023αα⎥⎥⎥⎥⎦⎤⎢⎢⎢⎢⎣⎡=-100034αα 任一4维向量可唯一暗示为⒏试证:线性方程组有解时, 它有唯一解的充沛需要条件是:相应的齐次线性方程组只有零解.证明:设B AX =为含n 个未知量的线性方程组 该方程组有解, 即n A R A R ==)()(从而B AX =有唯一解当且仅当n A R =)(而相应齐次线性方程组0=AX 只有零解的充沛需要条件是n A R =)(∴B AX =有唯一解的充沛需要条件是:相应的齐次线性方程组0=AX 只有零解9.设λ是可逆矩阵A的特征值, 且0≠λ, 试证:λ1是矩阵1-A 的特征值.证明: λ是可逆矩阵A的特征值∴存在向量ξ, 使λξξ=A即λ1是矩阵1-A 的特征值10.用配方法将二次型43324221242322212222x x x x x x x x x x x x f +--++++=化为标准型.解:∴ 令211x x y +=, 4232x x x y +-=, 23x y =, 44y x =即⎪⎪⎩⎪⎪⎨⎧=-+==-=44432332311y x y y y x y x y y x 则将二次型化为标准型 232221y y y f -+= 工程数学作业(第三次)(满分100分)第4章随机事件与概率(一)单项选择题⒈A B ,为两个事件, 则( B )成立.A. ()A B B A +-=B. ()A B B A +-⊂C. ()A B B A -+=D. ()A B B A -+⊂ ⒉如果( C )成立, 则事件A 与B 互为对峙事件. A. AB =∅ B. AB U =C. AB =∅且AB U =D. A 与B 互为对峙事件⒊10张奖券中含有3张中奖的奖券, 每人购买1张, 则前3个购买者中恰有1人中奖的概率为(D ).A. C 10320703⨯⨯.. B. 03. C. 07032..⨯ D. 307032⨯⨯.. 4. 对事件A B ,, 命题(C )是正确的. A. 如果A B ,互不相容, 则A B ,互不相容 B. 如果A B ⊂, 则A B ⊂C. 如果A B ,对峙, 则A B ,对峙D. 如果A B ,相容, 则A B ,相容⒌某随机试验的胜利率为)10(<<p p ,则在3次重复试验中至少失败1次的概率为(D ).A.3)1(p -B. 31p -C. )1(3p -D.)1()1()1(223p p p p p -+-+-X B n p ~(,), 且E X D X ().,().==48096, 则参数n 与p 分别是(A ).f x ()为连续型随机变量X 的密度函数, 则对任意的a b a b ,()<, E X ()=(A).A. xf x x ()d -∞+∞⎰ B. xf x x a b ()d ⎰ C. f x x a b()d ⎰ D. f x x ()d -∞+∞⎰8.在下列函数中可以作为分布密度函数的是(B ). A.f x x x ()sin ,,=-<<⎧⎨⎪⎩⎪ππ2320其它 B. f x x x ()sin ,,=<<⎧⎨⎪⎩⎪020π其它 C.f x x x ()sin ,,=<<⎧⎨⎪⎩⎪0320π其它 D. f x x x ()sin ,,=<<⎧⎨⎩00π其它 X 的密度函数为f x (), 分布函数为F x (), 则对任意的区间(,)a b ,则=<<)(b X a P ( D ).A. F a F b ()()-B. F x x a b()d ⎰ C. f a f b ()()- D. f x x a b()d ⎰X 为随机变量, E X D X (),()==μσ2, 当(C )时, 有E Y D Y (),()==01.A. Y X =+σμB. Y X =-σμC. Y X =-μσD. Y X =-μσ2(二)填空题⒈从数字1,2,3,4,5中任取3个, 组成没有重复数字的三位数, 则这个三位数是偶数的概率为52.P A P B ().,().==0305, 则当事件A B ,互不相容时, P A B ()+=,P AB ()=.3.A B ,为两个事件, 且B A ⊂, 则P A B ()+=()A P .4. 已知P AB P AB P A p ()(),()==, 则P B ()=P -1.5. 若事件A B ,相互自力, 且P A p P B q (),()==, 则P A B ()+=pq q p -+.6. 已知P A P B ().,().==0305, 则当事件A B ,相互自力时, P A B ()+=, P A B ()=.X U ~(,)01, 则X 的分布函数F x ()=⎪⎩⎪⎨⎧≥<<≤111000x x x x .X B ~(,.)2003, 则E X ()=6.X N ~(,)μσ2, 则P X ()-≤=μσ3)3(2Φ.10.E X E X Y E Y [(())(())]--称为二维随机变量(,)X Y 的协方差. (三)解答题A B C ,,为三个事件, 试用A B C ,,的运算分别暗示下列事件: ⑴A B C ,,中至少有一个发生; ⑵A B C ,,中只有一个发生; ⑶A B C ,,中至多有一个发生; ⑷A B C ,,中至少有两个发生; ⑸A B C ,,中未几于两个发生; ⑹A B C ,,中只有C 发生.解:(1)C B A ++ (2)C B A C B A C B A ++ (3)C B A C B A C B A C B A +++ (4)BC AC AB ++ (5)C B A ++ (6)C B A2. 袋中有3个红球, 2个白球, 现从中随机抽取2个球, 求下列事件的概率:⑴ 2球恰好同色;⑵ 2球中至少有1红球.解:设A =“2球恰好同色”, B =“2球中至少有1红球”3. 加工某种零件需要两道工序, 第一道工序的次品率是2%, 如果第一道工序出次品则此零件为次品;如果第一道工序出正品, 则由第二道工序加工, 第二道工序的次品率是3%, 求加工出来的零件是正品的概率.解:设=i A “第i 道工序出正品”(i=1,2)4. 市场供应的热水瓶中, 甲厂产物占50%, 乙厂产物占30%, 丙厂产物占20%, 甲、乙、丙厂产物的合格率分别为90%,85%,80%, 求买到一个热水瓶是合格品的概率.解:设""1产品由甲厂生产=A ""2产品由乙厂生产=A ""3产品由丙厂生产=A 5. 某射手连续向一目标射击, 直到命中为止.已知他每发命中的概率是p , 求所需设计次数X 的概率分布. 解:P X P ==)1(………… …………故X 的概率分布是X 的概率分布为试求P X P X P X (),(),()≤≤≤≠4253. 解:X 具有概率密度试求P X P X (),()≤<<12142. 解:412)()21(210221021====≤⎰⎰∞-x xdx dx x f X P 8. 设X f x x x ~(),,=≤≤⎧⎨⎩2010其它, 求E X D X (),().解:32322)()(1031==⋅==⎰⎰+∞∞-x xdx x dx x xf X E 9. 设)6.0,1(~2N X , 计算⑴P X (..)0218<<;⑵P X ()>0. 解:X X X n 12,,, 是自力同分布的随机变量, 已知E X D X (),()112==μσ,设X n X ii n==∑11, 求E X D X (),().解:)]()()([1)(1)1()(21211n n ni i X E X E X E nX X X E n X nE X E +⋯⋯++=+⋯⋯++==∑= 工程数学作业(第四次)第6章统计推断(一)单项选择题⒈设x x x n 12,,, 是来自正态总体N (,)μσ2(μσ,2均未知)的样本, 则(A )是统计量.A. x 1B. x 1+μC. x 122σD. μx 1⒉设x x x 123,,是来自正态总体N (,)μσ2(μσ,2均未知)的样本, 则统计量(D )不是μ的无偏估计.A. max{,,}x x x 123B. 1212()x x +C. 212x x -D. x x x 123--(二)填空题1.统计量就是不含未知参数的样本函数.2.参数估计的两种方法是点估计和区间估计.经常使用的参数点估计有矩估计法和最年夜似然估计两种方法.3.比力估计量好坏的两个重要标准是无偏性, 有效性.4.设x x x n 12,,, 是来自正态总体N (,)μσ2(σ2已知)的样本值, 按给定的显著性水平α检验H H 0010:;:μμμμ=≠, 需选取统计量nx U /0σμ-=.5.假设检验中的显著性水平α为事件u x >-||0μ(u 为临界值)发生的概率.(三)解答题1.设对总体X 获得一个容量为10的样本值试分别计算样本均值x 和样本方差s 2.解: 6.336101101101=⨯==∑=i i x x2.设总体X 的概率密度函数为试分别用矩估计法和最年夜似然估计法估计参数θ. 解:提示教材第214页例3矩估计:,121)1()(110∑⎰===++=+=ni i x n x dx x x X E θθθθx x --=112ˆθ 最年夜似然估计:0ln 1ln ,ln )1ln(ln 11=++=++=∑∑==ni i ni i x nd L d x n L θθθθ, 1ln ˆ1--=∑=ni ixnθ3.测两点之间的直线距离5次, 测得距离的值为(单元:m ):丈量值可以认为是服从正态分布N (,)μσ2的, 求μ与σ2的估计值.并在⑴σ225=.;⑵σ2未知的情况下, 分别求μ的置信度为的置信区间.解: 11051ˆ51===∑=i i x x μ875.1)(151ˆ5122=--==∑=i i x x s σ (1)那时σ225=., 由1-α=0.95, 975.021)(=-=Φαλ 查表得:96.1=λ故所求置信区间为:]4.111,6.108[],[=+-nx nx σλσλ(2)当2σ未知时, 用2s 替代2σ, 查t (4, 0.05 ) , 得 776.2=λ故所求置信区间为:]7.111,3.108[],[=+-ns x n s x λλ4.设某产物的性能指标服从正态分布N (,)μσ2, 从历史资料已知σ=4, 抽查10个样品, 求得均值为17, 取显著性水平α=005.,问原假设H 020:μ=是否成立. 解:237.0162.343|10/42017||/|||0=⨯=-=-=nx U σμ,由975.021)(=-=Φαλ , 查表得:96.1=λ 因为 237.0||=U > 1.96 , 所以拒绝0H5.某零件长度服从正态分布, 过去的均值为, 现换了新资料, 从产物中随机抽取8个样品, 测得的长度为(单元:cm ):问用新资料做的零件平均长度是否起了变动(α=005.).解:由已知条件可求得:0125.20=x 0671.02=s∵| T | < 2.62 ∴ 接受H 0。
【工程数学】形成性考核册答案工程数学作业(一)答案(满分100分)第2章矩阵(一)单项选择题(每小题2分,共20分)⒈设a a a b b b c c c 1231231232,则a a a a b a b a b c c c 123112233123232323(D ).A. 4B. -4C. 6D. -6⒉若001000020011a a,则a(A ).A.12B. -1C.12D. 1⒊乘积矩阵1124103521中元素c 23(C).A. 1B. 7C. 10D. 8⒋设A B ,均为n 阶可逆矩阵,则下列运算关系正确的是(B ).A. A B AB 111B. ()AB BA11C.()A B AB111D.()AB A B111⒌设A B ,均为n 阶方阵,k 0且k1,则下列等式正确的是(D ).A. A BA BB. AB n A BC.kAk AD.kAk An()⒍下列结论正确的是(A ).A. 若A 是正交矩阵,则A 1也是正交矩阵B. 若A B ,均为n 阶对称矩阵,则AB 也是对称矩阵C. 若A B ,均为n 阶非零矩阵,则AB 也是非零矩阵D. 若A B ,均为n 阶非零矩阵,则AB 0⒎矩阵1325的伴随矩阵为(C ).A.1325 B.1325C. 5321 D.5321⒏方阵A 可逆的充分必要条件是(B ).A.A0 B.A 0C. A*0D.A*⒐设A B C ,,均为n 阶可逆矩阵,则()ACB 1(D).A.()B A C111B. B CA11C.A CB 111() D.()B C A 111⒑设A B C ,,均为n 阶可逆矩阵,则下列等式成立的是(A ).A. ()AB A ABB2222 B.()AB BBA B2C.()221111ABC C B A D. ()22ABC C B A(二)填空题(每小题2分,共20分)⒈210140017.⒉11111111x 是关于x 的一个一次多项式,则该多项式一次项的系数是 2.⒊若A 为34矩阵,B 为25矩阵,切乘积AC B 有意义,则C 为5×4矩阵.⒋二阶矩阵A11015151.⒌设AB124034120314,,则()A B 815360⒍设A B ,均为3阶矩阵,且A B3,则2AB72.⒎设A B ,均为3阶矩阵,且AB13,,则312()A B -3.⒏若Aa 101为正交矩阵,则a 0.⒐矩阵212402033的秩为 2 .⒑设A A 12,是两个可逆矩阵,则A O OA 1211211A OO A .(三)解答题(每小题8分,共48分)⒈设ABC123511435431,,,求⑴A B ;⑵A C ;⑶23A C ;⑷A B 5;⑸AB ;⑹()AB C .答案:8130B A4066CA 73161732C A 01222265BA122377AB801512156)(CAB ⒉设ABC1211210321111432102,,,求ACBC .解:10221046212341112420)(CB A BC AC⒊已知A B 310121342102111211,,求满足方程32A XB 中的X .解:32A XB252112712511234511725223821)3(21B A X⒋写出4阶行列式102014360253311中元素a a 4142,的代数余子式,并求其值.答案:0352634020)1(1441a 45350631021)1(2442a ⒌用初等行变换求下列矩阵的逆矩阵:⑴122212221;⑵123423121111126;⑶1000110011101111.解:(1)919292929192929291100100019192920313203231121020112201203231963020110201200136630221100010001122212221|2313323212312122913123222r r r r r r r r r r r r r r IA 9192929291929292911A(2)35141201132051717266221A(过程略)(3) 110110001100011A⒍求矩阵1011011110110010121012113201的秩.解:0000111000111011011011010111000111000111011011011011221110011100011101101101101102311210121010011011110110143424131212r r r r r r r r r r 3)(A R (四)证明题(每小题4分,共12分)⒎对任意方阵A ,试证AA 是对称矩阵.证明:'')''(')''(A AAA A A A AAA 是对称矩阵⒏若A 是n 阶方阵,且AAI ,试证A1或1.证明:A 是n 阶方阵,且AA I12IA AA AA A1或1A⒐若A 是正交矩阵,试证A 也是正交矩阵.证明:A 是正交矩阵AA 1)()()(111A A A A 即A 是正交矩阵工程数学作业(第二次)(满分100分)第3章线性方程组(一)单项选择题(每小题2分,共16分)⒈用消元法得x x x x x x 12323324102的解x x x 123为(C).A. [,,]102B. [,,]722C. [,,]1122 D. [,,]1122⒉线性方程组x x x x x x x 12313232326334(B ).A. 有无穷多解B. 有唯一解C. 无解D. 只有零解⒊向量组100010001121304,,,,的秩为(A ).A. 3B. 2C. 4D. 5⒋设向量组为123411000111101111,,,,则(B )是极大无关组.A. 12,B.123,,C.124,,D.1⒌A 与A 分别代表一个线性方程组的系数矩阵和增广矩阵,若这个方程组无解,则(D ).A. 秩()A 秩()AB. 秩()A 秩()A C. 秩()A 秩()A D. 秩()A 秩()A 1⒍若某个线性方程组相应的齐次线性方程组只有零解,则该线性方程组(A).A. 可能无解B. 有唯一解C. 有无穷多解D. 无解⒎以下结论正确的是(D).A. 方程个数小于未知量个数的线性方程组一定有解B. 方程个数等于未知量个数的线性方程组一定有唯一解C. 方程个数大于未知量个数的线性方程组一定有无穷多解D. 齐次线性方程组一定有解⒏若向量组12,,,s线性相关,则向量组内(A )可被该向量组内其余向量线性表出.A. 至少有一个向量B. 没有一个向量C. 至多有一个向量D. 任何一个向量9.设A ,B为n 阶矩阵,既是A又是B的特征值,x 既是A又是B的属于的特征向量,则结论()成立.A.是AB 的特征值B.是A+B 的特征值C.是A -B 的特征值D.x 是A+B 的属于的特征向量10.设A,B,P为n 阶矩阵,若等式(C)成立,则称A和B相似.A.BAABB.AB AB)(C.B PAP 1D.BPPA (二)填空题(每小题2分,共16分) ⒈当1时,齐次线性方程组x x x x 121200有非零解.⒉向量组12000111,,,,,线性相关.⒊向量组123120100000,,,,,,,,,,,的秩是3.⒋设齐次线性方程组1122330x x x 的系数行列式1230,则这个方程组有无穷多解,且系数列向量123,,是线性相关的.⒌向量组123100100,,,,,的极大线性无关组是21,.⒍向量组12,,,s的秩与矩阵12,,,s的秩相同.⒎设线性方程组AX0中有5个未知量,且秩()A 3,则其基础解系中线性无关的解向量有2个.⒏设线性方程组AXb 有解,X 0是它的一个特解,且AX 0的基础解系为X X 12,,则AXb 的通解为22110X k X k X .9.若是A的特征值,则是方程A I 的根.10.若矩阵A满足A A1,则称A为正交矩阵.(三)解答题(第1小题9分,其余每小题11分)1.用消元法解线性方程组x x x x x x x x x x x x x x x x 123412341234123432638502412432解:2612100090392700188710482319018431001850188710612312314112141205183612314132124131215323r r r r r r r r r r r r A3311411004615010124420011365004110018871048231901136500123300188710482319014323133434571931213r r r r r r r r r r 310010100100102000131000411004615010********34241441542111r r r r r r r 方程组解为31124321x x x x 2.设有线性方程组11111112x y z为何值时,方程组有唯一解?或有无穷多解?解:22322222)1)(1()1)(2(0)1(11011111011111111111111111132312131r r r r r r r r A]当1且2时,3)()(A R A R ,方程组有唯一解当1时,1)()(A R A R ,方程组有无穷多解3.判断向量能否由向量组123,,线性表出,若能,写出一种表出方式.其中83710271335025631123,,,解:向量能否由向量组321,,线性表出,当且仅当方程组332211x x x 有解这里571117100041310730110123730136578532,,,321A)()(A R A R 方程组无解不能由向量321,,线性表出4.计算下列向量组的秩,并且(1)判断该向量组是否线性相关1234112343789131303319636,,,解:00001800021101131631343393608293711131,,,4321该向量组线性相关5.求齐次线性方程组x x x x x x x x x x x x x x x 1234123412341243205230112503540的一个基础解系.解:300007314021145011031473140731402131453521113215213142321241312114335r r r r r r r r r r r r A10000143100145010100021143102114501030002114310211450123133432212131141r r r r r r r r 方程组的一般解为14314543231x x x x x 令13x ,得基础解系101431456.求下列线性方程组的全部解.x x x x x x x x x x x x x x x 12341234124123452311342594175361解:00000287214012179015614428287214028721401132511163517409152413113251423212413121214553r r r r r r r r r r r r A00000000221711012179012141r 方程组一般解为2217112197432431x x x x x x 令13k x ,24k x ,这里1k ,2k 为任意常数,得方程组通解00211021210171972217112197212121214321k k k k k k k k x x x x 7.试证:任一4维向量4321,,,a a a a 都可由向量组00011,0112,1113,11114线性表示,且表示方式唯一,写出这种表示方式.证明:00110101210023100034任一4维向量可唯一表示为)()()(10000100001000013442331221143214321a a a a a a a a a a a a 44343232121)()()(a a a a a a a ⒏试证:线性方程组有解时,它有唯一解的充分必要条件是:相应的齐次线性方程组只有零解.证明:设B AX为含n 个未知量的线性方程组该方程组有解,即n A R A R )()(从而B AX有唯一解当且仅当nA R )(而相应齐次线性方程组0AX只有零解的充分必要条件是nA R )(B AX有唯一解的充分必要条件是:相应的齐次线性方程组0AX只有零解9.设是可逆矩阵A的特征值,且0,试证:1是矩阵1A的特征值.证明:是可逆矩阵A的特征值存在向量,使A1111)()()(AA A A A A I 11A即1是矩阵1A的特征值10.用配方法将二次型43324221242322212222x x x x x x x x xxxxf 化为标准型.解:42244232322143324224232212)(2)(222)(x x x x x x x x x x x x x x x x x x x f 222423221)()(xx x x x x 令211x x y ,4232x x x y ,23x y ,44y x 即44432332311y x y y y x y x y y x 则将二次型化为标准型232221yyyf工程数学作业(第三次)(满分100分)第4章随机事件与概率(一)单项选择题⒈A B ,为两个事件,则(B )成立.A. ()A B B AB. ()A B B AC. ()A B B AD. ()AB B A⒉如果(C )成立,则事件A 与B 互为对立事件.A. ABB. AB UC. AB 且AB UD. A 与B 互为对立事件⒊10张奖券中含有3张中奖的奖券,每人购买1张,则前3个购买者中恰有1人中奖的概率为(D).A.C10320703..B.03.C. 07032.. D. 307032..4. 对于事件A B ,,命题(C)是正确的.A. 如果A B ,互不相容,则A B ,互不相容B. 如果A B ,则A BC. 如果A B ,对立,则A B ,对立D. 如果A B ,相容,则A B ,相容⒌某随机试验的成功率为)10(p p ,则在3次重复试验中至少失败1次的概率为(D).A.3)1(p B. 31pC. )1(3pD. )1()1()1(223p p p p p 6.设随机变量X B n p ~(,),且E X D X ().,().48096,则参数n 与p 分别是(A).A. 6, 0.8 B. 8, 0.6 C. 12, 0.4 D. 14, 0.2 7.设f x ()为连续型随机变量X的密度函数,则对任意的a b ab ,(),E X ()(A).A.xf x x()d B. xf x x ab()d C.f x xab()d D.f x x()d 8.在下列函数中可以作为分布密度函数的是(B ).A.f x x x()sin ,,2320其它B.f x x x()sin ,,020其它C.f x x x()sin ,,0320其它D. f x x x()sin ,,00其它9.设连续型随机变量X 的密度函数为f x (),分布函数为F x (),则对任意的区间(,)a b ,则)(b X aP (D ).A. F a F b ()()B. F x x a b()d C. f a f b ()()D.f x xab ()d 10.设X 为随机变量,E X D X (),()2,当(C)时,有E Y D Y (),()01.A. Y XB. Y XC. YXD. YX2(二)填空题⒈从数字1,2,3,4,5中任取3个,组成没有重复数字的三位数,则这个三位数是偶数的概率为52.2.已知P A P B ().,().0305,则当事件A B ,互不相容时,P A B ()0.8,P AB ()0.3.3.A B ,为两个事件,且B A ,则P AB ()A P .4. 已知P AB P AB P A p ()(),(),则P B ()P 1.5. 若事件A B ,相互独立,且P A p P B q (),(),则P AB ()pq qp .6. 已知P A P B ().,().0305,则当事件A B ,相互独立时,P AB ()0.65,P A B ()0.3.7.设随机变量X U ~(,)01,则X 的分布函数F x ()111000x x xx .8.若X B ~(,.)2003,则E X ()6.9.若X N ~(,)2,则P X()3)3(2.10.E X E X Y E Y [(())(())]称为二维随机变量(,)X Y 的协方差.(三)解答题1.设A B C ,,为三个事件,试用A B C ,,的运算分别表示下列事件:⑴A B C ,,中至少有一个发生;⑵A B C ,,中只有一个发生;⑶A B C ,,中至多有一个发生;⑷A B C ,,中至少有两个发生;⑸A B C ,,中不多于两个发生;⑹A B C ,,中只有C 发生.解:(1)CBA(2)C B A C B A CB A (3) CB AC B A C B A C B A (4)BC AC AB (5)C B A (6)C B A 2. 袋中有3个红球,2个白球,现从中随机抽取2个球,求下列事件的概率:⑴2球恰好同色;⑵2球中至少有1红球.解:设A =“2球恰好同色”,B =“2球中至少有1红球”521013)(252223CCCA P 1091036)(25231213CCCC B P 3. 加工某种零件需要两道工序,第一道工序的次品率是2%,如果第一道工序出次品则此零件为次品;如果第一道工序出正品,则由第二道工序加工,第二道工序的次品率是3%,求加工出来的零件是正品的概率.解:设i A “第i 道工序出正品”(i=1,2)9506.0)03.01)(02.01()|()()(12121A A P A P A A P 4. 市场供应的热水瓶中,甲厂产品占50%,乙厂产品占30%,丙厂产品占20%,甲、乙、丙厂产品的合格率分别为90%,85%,80%,求买到一个热水瓶是合格品的概率.解:设""1产品由甲厂生产A ""2产品由乙厂生产A ""3产品由丙厂生产A ""产品合格B )|()()|()()|()()(332211A B P A P A B P A P A B P A P B P 865.080.02.085.03.09.05.05. 某射手连续向一目标射击,直到命中为止.已知他每发命中的概率是p ,求所需设计次数X 的概率分布.解:PX P )1(P P X P )1()2(P P XP 2)1()3(,,,,PP k X P k 1)1()(,,,,故X 的概率分布是pp pp pp pk k 12)1()1()1(3216.设随机变量X 的概率分布为12345601015020301201003.......试求P X P X P X(),(),()4253.解:87.012.03.02.015.01.0)4()3()2()1()0()4(X P XP XP X P X P X P 72.01.012.03.02.0)5()4()3()2()52(XP X P X P XP X P 7.03.01)3(1)3(XP X P7.设随机变量X 具有概率密度f x x x(),,2010其它试求P XP X (),()12142.解:412)()21(2122121xxdxdxx f XP 16152)()241(1412141241xxdx dxx f X P 8. 设X f x x x~(),,2010其它,求E X D X (),().解:32322)()(1031xxdxx dxx xf X E 21422)()(10410222x xdx xdx x f x X E 181)32(21)]([)()(222x E X E X D 9. 设)6.0,1(~2N X ,计算⑴P X (..)0218;⑵P X ()0.解:8164.019082.021)33.1(2)33.1()33.1()33.12.0133.1()8.12.0(X P X P 0475.09525.01)67.1(1)67.16.01()0(X P XP 10.设X X X n 12,,,是独立同分布的随机变量,已知E X D X (),()112,设XnX i i n11,求E X D X (),().解:)]()()([1)(1)1()(21211n n ni i X E X E X E nX X X E nX n E X E nn1)]()()([1)(1)1()(2122121n n ni i X D X D X D nX X X D n X nD X D 22211nnn工程数学作业(第四次)第6章统计推断(一)单项选择题⒈设x x x n 12,,,是来自正态总体N(,)2(,2均未知)的样本,则(A )是统计量.A. x 1B. x 1C.x122D.x 1⒉设x x x 123,,是来自正态总体N(,)2(,2均未知)的样本,则统计量(D )不是的无偏估计.A. max{,,}x x x 123B.1212()x x C. 212x x D. x x x 123(二)填空题1.统计量就是不含未知参数的样本函数.2.参数估计的两种方法是点估计和区间估计.常用的参数点估计有矩估计法和最大似然估计两种方法.3.比较估计量好坏的两个重要标准是无偏性,有效性.4.设x x x n 12,,,是来自正态总体N (,)2(2已知)的样本值,按给定的显著性水平检验H H 0010:;:,需选取统计量nxU /0.5.假设检验中的显著性水平为事件u x||0(u 为临界值)发生的概率.(三)解答题1.设对总体X 得到一个容量为10的样本值4.5, 2.0, 1.0, 1.5, 3.5, 4.5, 6.5,5.0, 3.5, 4.0试分别计算样本均值x 和样本方差s 2.解:6.336101101101i ix x878.29.2591)(110121012i ix x s2.设总体X 的概率密度函数为f x x x(;)(),,1010其它试分别用矩估计法和最大似然估计法估计参数.解:提示教材第214页例3矩估计:,121)1()(110ni i x nxdxx x X E xx 112?最大似然估计:)()1()1();,,,(21121n nini n x x x x x x x L 0ln 1ln ,ln )1ln(ln 11ni inii x n d L d x n L ,1ln ?1ni ix n3.测两点之间的直线距离5次,测得距离的值为(单位:m ):108.5109.0110.0 110.5112.0测量值可以认为是服从正态分布N(,)2的,求与2的估计值.并在⑴225.;⑵2未知的情况下,分别求的置信度为0.95的置信区间.解:11051?51i ix x875.1)(151?5122i ix x s (1)当225.时,由1-α=0.95,975.021)(查表得:96.1故所求置信区间为:]4.111,6.108[],[n xn x(2)当2未知时,用2s 替代2,查t (4, 0.05 ) ,得776.2故所求置信区间为:]7.111,3.108[],[ns x ns x 4.设某产品的性能指标服从正态分布N(,)2,从历史资料已知4,抽查10个样品,求得均值为17,取显著性水平005.,问原假设H 020:是否成立.解:237.0162.343|10/42017||/|||0n xU ,由975.021)(,查表得:96.1因为237.0||U > 1.96 ,所以拒绝0H 5.某零件长度服从正态分布,过去的均值为20.0,现换了新材料,从产品中随机抽取8个样品,测得的长度为(单位:cm ):20.0, 20.2, 20.1, 20.0, 20.2, 20.3, 19.8, 19.5问用新材料做的零件平均长度是否起了变化(005.).解:由已知条件可求得:0125.20x 0671.02s 1365.0259.0035.0|8/259.0200125.20||/|||0ns x T 62.2)05.0,9()05.0,1(t n t ∵| T | < 2.62∴接受H 0即用新材料做的零件平均长度没有变化。
《工程数学》形成性考核作业3答案第4章 随机事件与概率(一)单项选择题⒈A B ,为两个事件,则( B )成立.A. ()A B B A +-=B. ()A B B A +-⊂C. ()A B B A -+=D. ()A B B A -+⊂ ⒉如果( C )成立,则事件A 与B 互为对立事件. A. AB =∅ B. AB U =C. AB =∅且AB U =D. A 与B 互为对立事件⒊袋中有3个白球7个黑球,每次取1个,不放回,第二次取到白球的概率是( A ). A.103 B. 92 C.93 D. 102 4. 对于事件A B ,,命题(C )是正确的. A. 如果A B ,互不相容,则A B ,互不相容 B. 如果A B ⊂,则A B ⊂ C. 如果A B ,对立,则A B ,对立 D. 如果A B ,相容,则A B ,相容⒌某随机试验的成功率为)10(<<p p ,则在3次重复试验中至少失败1次的概率为(D ).A.3)1(p -B. 31p -C. )1(3p -D.)1()1()1(223p p p p p -+-+-6.设随机变量X B n p ~(,),且E X D X ().,().==48096,则参数n 与p 分别是(A ).A. 6,B. 8, 0.6C. 12,D. 14,7.设f x ()为连续型随机变量X 的密度函数,则对任意的a b a b ,()<,E X ()=(A ).A. xf x x ()d -∞+∞⎰B. xf x x ab()d ⎰C. f x x ab()d ⎰ D. f x x ()d -∞+∞⎰8.在下列函数中可以作为分布密度函数的是(B ).A. f x x x ()sin ,,=-<<⎧⎨⎪⎩⎪ππ2320其它B. f x x x ()sin ,,=<<⎧⎨⎪⎩⎪020π其它C. f x x x ()sin ,,=<<⎧⎨⎪⎩⎪0320π其它 D. f x x x ()sin ,,=<<⎧⎨⎩00π其它 9.设连续型随机变量X 的密度函数为f x (),分布函数为F x (),则对任意的区间(,)a b ,则=<<)(b X a P ( D ).A. F a F b ()()-B. F x x a b()d ⎰C. f a f b ()()-D. f x x ab()d ⎰10.设X 为随机变量,E X D X (),()==μσ2,当(C )时,有E Y D Y (),()==01.A. Y X =+σμB. Y X =-σμC. Y X =-μσD. Y X =-μσ2(二)填空题⒈从数字1,2,3,4,5中任取3个,组成没有重复数字的三位数,则这个三位数是偶数的概率为52.2.已知P A P B ().,().==0305,则当事件A B ,互不相容时,P A B ()+= ,P AB ()= .3.A B ,为两个事件,且B A ⊂,则P A B ()+=()A P .4. 已知P AB P AB P A p ()(),()==,则P B ()=P -1.5. 若事件A B ,相互独立,且P A p P B q (),()==,则P A B ()+=pq q p -+.6. 已知P A P B ().,().==0305,则当事件A B ,相互独立时,P A B ()+= ,P A B ()= .7.设随机变量X U ~(,)01,则X 的分布函数F x ()=⎪⎩⎪⎨⎧≥<<≤111000x x x x .8.若X B ~(,.)2003,则E X ()= 6 . 9.若X N ~(,)μσ2,则P X ()-≤=μσ3)3(2Φ.10.E X E X Y E Y [(())(())]--称为二维随机变量(,)X Y 的 协方差 . (三)解答题1.设A B C ,,为三个事件,试用A B C ,,的运算分别表示下列事件: ⑴ A B C ,,中至少有一个发生; ⑵ A B C ,,中只有一个发生; ⑶ A B C ,,中至多有一个发生; ⑷ A B C ,,中至少有两个发生; ⑸ A B C ,,中不多于两个发生; ⑹ A B C ,,中只有C 发生.解:(1)C B A ++ (2)C B A C B A C B A ++ (3) C B A C B A C B A C B A +++ (4)BC AC AB ++ (5)C B A ++ (6)C B A2. 袋中有3个红球,2个白球,现从中随机抽取2个球,求下列事件的概率:⑴ 2球恰好同色; ⑵ 2球中至少有1红球.解:设A =“2球恰好同色”,B =“2球中至少有1红球”521013)(252223=+=+=C C C A P 1091036)(25231213=+=+=C C C C B P 3. 加工某种零件需要两道工序,第一道工序的次品率是2%,如果第一道工序出次品则此零件为次品;如果第一道工序出正品,则由第二道工序加工,第二道工序的次品率是3%,求加工出来的零件是正品的概率. 解:设=i A “第i 道工序出正品”(i=1,2)9506.0)03.01)(02.01()|()()(12121=--==A A P A P A A P4. 市场供应的热水瓶中,甲厂产品占50%,乙厂产品占30%,丙厂产品占20%,甲、乙、丙厂产品的合格率分别为90%,85%,80%,求买到一个热水瓶是合格品的概率.解:设""1产品由甲厂生产=A ""2产品由乙厂生产=A ""3产品由丙厂生产=A""产品合格=B)|()()|()()|()()(332211A B P A P A B P A P A B P A P B P ++=865.080.02.085.03.09.05.0=⨯+⨯+⨯=5. 某射手每发命中的概率是,连续射击4次,求: (1)恰好命中3次的概率; (2)至少命中1次的概率解:这亇问题可以看作伯努利概型,即假设射手每次射击都是相互独立的,每次的命中率保持不变.设事件A i ={恰有i 次命中},(i=0,1,2,3,4),B={至少命中1次}.(1)由伯努利概型的概率计算公式,得P(A 3)=C 13341.0.9.0.=(2)P(B)=1-P(A 0)=1-C 04.04== 6.设随机变量X 的概率分布为12345601015020301201003.......⎡⎣⎢⎤⎦⎥ 试求P X P X P X (),(),()≤≤≤≠4253.(形考作业上题目是错误X 的概率分布应改为上式) 解:87.012.03.02.015.01.0)4()3()2()1()0()4(=++++==+=+=+=+==≤X P X P X P X P X P X P72.01.012.03.02.0)5()4()3()2()52(=+++==+=+=+==≤≤X P X P X P X P X P 7.03.01)3(1)3(=-==-=≠X P X P7.设随机变量X 具有概率密度f x x x (),,=≤≤⎧⎨⎩2010其它试求P X P X (),()≤<<12142.解:412)()21(210221021====≤⎰⎰∞-x xdx dx x f X P 16152)()241(1412141241====<<⎰⎰x xdx dx x f X P 8. 设X f x x x ~(),,=≤≤⎧⎨⎩2010其它,求E X D X (),().解:32322)()(1031==⋅==⎰⎰+∞∞-x xdx x dx x xf X E 21422)()(1041222==⋅==⎰⎰+∞∞-x xdx x dx x f x X E181)32(21)]([)()(222=-=-=x E X E X D 9. 设)4.0,6.0(~2N X ,计算⑴P X (..)0218<<;⑵P X ()>0. 解:=-Φ-Φ=<-<-=<<)1()3()34.06.01()8.12.0(X P X P 0668.09332.01)5.1(1)5.14.06.0()0(=-=Φ-=-〉-=>X P X P 设X X X n12,,, 是独立同分布的随机变量,已知E X D X (),()112==μσ,设X n X i i n==∑11,求E X D X (),().解:)]()()([1)(1)1()(21211n n ni i X E X E X E nX X X E n X nE X E +⋯⋯++=+⋯⋯++==∑= μμ==n n1)]()()([1)(1)1()(2122121n n ni i X D X D X D nX X X D nXnD X D +⋯⋯++=+⋯⋯++==∑=22211σσn n n =⋅=。