高考数学压轴专题专题备战高考《三角函数与解三角形》难题汇编及答案解析
- 格式:doc
- 大小:1.25 MB
- 文档页数:16
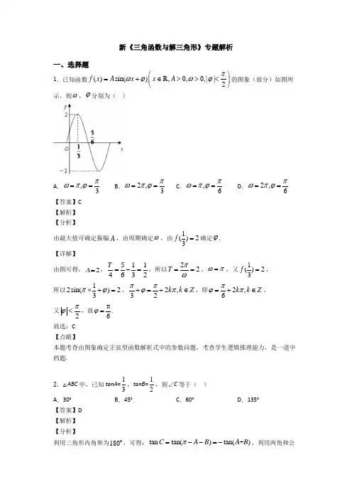
新数学《三角函数与解三角形》专题解析一、选择题1.如图所示,已知双曲线C :()222210,0x y a b a b-=>>的右焦点为F ,双曲线的右支上一点A ,它关于原点O 的对称点为B ,满足120AFB ∠=︒,且3BF AF =,则双曲线C 的离心率是( )A .27B .52C .7 D .7【答案】C 【解析】 【分析】利用双曲线的性质,推出AF ,BF ,通过求解三角形转化求解离心率即可. 【详解】解:双曲线2222:1(0,0)x y C a b a b-=>>的右焦点为F ,双曲线C 的右支上一点A ,它关于原点O 的对称点为B ,满足120AFB ∠=︒,且||3||BF AF =,可得||||2BF AF a -=,||AF a =,||3BF a =,60F BF ∠'=︒,所以2222cos60F F AF BF AF BF '=+-︒g ,可得222214962c a a a =+-⨯,2247c a =,所以双曲线的离心率为:72e =. 故选:C .【点睛】本题考查双曲线的简单性质的应用,三角形的解法,考查转化思想以及计算能力,属于中档题.2.能使sin(2)3cos(2)y x x θθ=+++为奇函数,且在0,4⎡⎤⎢⎥⎣⎦π上是减函数的θ的一个值是( ) A .5π3B .43π C .23π D .3π【答案】C 【解析】 【分析】首先利用辅助角公式化简函数,然后根据函数的奇偶性和单调性求得θ的值. 【详解】依题意π2sin 23y x θ⎛⎫=++⎪⎝⎭,由于函数为奇函数,故πππ,π33k k θθ+==-,当1,2k =时,2π3θ=或5π3θ=,由此排除B,D 两个选项.当2π3θ=时,()2sin 2π2sin 2y x x =+=-在0,4⎡⎤⎢⎥⎣⎦π上是减函数,符合题意.当5π3θ=时,()2sin 22π2sin 2y x x =+=,在0,4⎡⎤⎢⎥⎣⎦π上是增函数,不符合题意.故选C. 【点睛】本小题主要考查诱导公式的运用,考查三角函数的奇偶性和单调性,属于基础题.3.小赵开车从A 处出发,以每小时40千米的速度沿南偏东40︒的方向直线行驶,30分钟后到达B 处,此时,小王发来微信定位,显示他自己在A 的南偏东70︒方向的C 处,且A 与C 的距离为153千米,若此时,小赵以每小时52千米的速度开车直线到达C 处接小王,则小赵到达C 处所用的时间大约为( )()7 2.6≈A .10分钟B .15分钟C .20分钟D .25分钟【答案】B 【解析】 【分析】首先根据题中所给的条件,得到30BAC ∠=︒,20AB =,153AC =,两边和夹角,之后应用余弦定理求得13BC =≈(千米),根据题中所给的速度,进而求得时间,得到结果. 【详解】根据条件可得30BAC ∠=︒,20AB =,AC =, 由余弦定理可得2222cos30175BC AB AC AB AC ︒=+-⋅⋅=,则13BC =≈(千米), 由B 到达C 所需时间约为130.2552=(时)15=分钟. 故选:B . 【点睛】该题是一道关于解三角形的实际应用题,解题的关键是掌握余弦定理的应用,属于简单题目.4.在△ABC 中,角A ,B ,C 的对边分别为a ,b ,c ,若(a ﹣c cos B )sin A =c cos A sin B ,则△ABC 的形状一定是( ) A .钝角三角形 B .直角三角形 C .等腰三角形 D .锐角三角形【答案】C 【解析】 【分析】根据题意,由(cos )sin cos sin a c B A c A B -=变形可得sin sin a A c C =,进而由正弦定理可得22a c =,即a c =,即可得答案. 【详解】根据题意,在ABC ∆中,(cos )sin cos sin a c B A c A B -=, 变形可得:sin cos sin cos sin (cos sin cos sin )sin()sin a A c B A c A B c B A A B c A B c C =+=+=+=,即有sin sin a A c C =,又由正弦定理可得22a c =,即a c =. 故选:C . 【点睛】本题主要考查三角形的形状判断,考查正弦定理的应用,意在考查学生对这些知识点的理解掌握水平,属于基础题.5.在ABC ∆中,角,,A B C 的对边分别为,,a b c ,且ABC ∆的面积S C =,且1,a b ==c =( )A BC D 【答案】B 【解析】由题意得,三角形的面积1sin 2S ab C C ==,所以tan 2C =,所以cos 5C =, 由余弦定理得2222cos 17c a b ab C =+-=,所以c =,故选B.6.在ABC ∆中,角,,A B C 所对的边分别为,,a b c 满足,222b c a bc +-=,0AB BC ⋅>u ur u u r u u,2a =,则bc +的取值范围是( ) A .31,2⎛⎫ ⎪⎝⎭B.32⎫⎪⎪⎝⎭C .13,22⎛⎫⎪⎝⎭D .31,2⎛⎤ ⎥⎝⎦【答案】B 【解析】 【分析】利用余弦定理222cos 2b c a A bc+-=,可得3A π=,由|||cos()|0AB BC AB BC B π⋅=⋅->u u u u u u u u r u ur u r u r,可得B为钝角,由正弦定理可得sin sin(120)30)o o b c B B B ∴+=+-=+,结合B 的范围,可得解【详解】由余弦定理有:222cos 2b c a A bc+-=,又222b c a bc +-=故2221cos 222b c a bc A bc bc +-===又A 为三角形的内角,故3A π=又2a=sin sin sin(120)ob c c B C B ==- 又|||cos()|0AB BC AB BC B π⋅=⋅->u u u u u u u u r u ur u r u r故cos 0B B <∴为钝角3sin sin(120)sin 30)2o o b c B B B B B ∴+=+-=+=+(90,120)o o B ∈Q ,可得130(120150)sin(30)(2o o o o B B +∈∴+∈,330))22ob c B∴+=+∈故选:B【点睛】本题考查了正弦定理、余弦定理和向量的综合应用,考查了学生综合分析,转化划归,数学运算能力,属于中档题7.已知在锐角ABC∆中,角A,B,C的对边分别为a,b,c,若2cos cosb Cc B=,则111tan tan tanA B C++的最小值为()A.3BCD.【答案】A【解析】【分析】先根据已知条件,把边化成角得到B,C关系式,结合均值定理可求.【详解】∵2cos cosb Cc B=,∴2sin cos sinCcosB C B=,∴tan2tanC B=.又A B Cπ++=,∴()()tan tan tanA B C B Cπ=-+=-+⎡⎤⎣⎦22tan tan3tan3tan1tan tan12tan2tan1B C B BB C B B+=-=-=---,∴21112tan111tan tan tan3tan tan2tanBA B C B B B-++=++27tan36tanBB=+.又∵在锐角ABC∆中, tan0B>,∴27tan36tan3BB+≥=,当且仅当tan2B=时取等号,∴min111tan tan tan3A B C⎛⎫++=⎪⎝⎭,故选A.【点睛】本题主要考查正弦定理和均值定理,解三角形时边角互化是求解的主要策略,侧重考查数学运算的核心素养.8.△ABC中,已知tanA=13,tanB=12,则∠C等于()A.30°B.45°C.60°D.135°【答案】D 【解析】 【分析】利用三角形内角和为180o ,可得:tan tan()tan(+)C A B A B π=--=-,利用两角和公式和已知条件,即可得解. 【详解】 在△ABC 中,11tan tan 32tan tan()tan(+)=-1111tan tan 132A BC A B A B A B π++=--=-=-=---⋅,所以135C ?o .故选:D. 【点睛】本题考查了正切的两角和公式,考查了三角形内角和,考查了转化思想和计算能力,属于中档题.9.已知函数()2sin()0,,2f x x πωϕωϕπ⎛⎫⎡⎤=+>∈ ⎪⎢⎥⎣⎦⎝⎭的部分图象如图所示,其中()01f =,5||2MN =,则点M 的横坐标为( )A .12B .25-C .1-D .23-【答案】C 【解析】 【分析】 由(0)1f =求出56πϕ=,由5||23MN πω=⇒=,再根据()2f x =可得答案.【详解】由函数()2sin()0,,2f x x πωϕωϕπ⎛⎫⎡⎤=+>∈ ⎪⎢⎥⎣⎦⎝⎭的部分图象,可得(0)2sin 1f ϕ==,56πϕ∴=,5||23MN πω===, ∴函数5()2sin 36f x x ππ⎛⎫=+ ⎪⎝⎭,令52sin 236x ππ⎛⎫+= ⎪⎝⎭, 得52,0362x k k ππππ+=+=得1x =-. 故选:C. 【点睛】本题主要考查三角函数的图象与性质,考查了数形结合思想的应用,解题的关键是利用勾股定理列方程求出3πω=,属于中档题.10.在ABC ∆中,若2sin sin cos 2CA B =,则ABC ∆是( ) A .等边三角形 B .等腰三角形C .不等边三角形D .直角三角形【答案】B 【解析】试题分析:因为2sin sin cos2CA B =,所以,1cos sin sin 2C A B +=,即2sin sin 1cos[()],cos()1A B A B A B π=+-+-=,故A=B ,三角形为等腰三角形,选B 。
【高中数学】数学《三角函数与解三角形》试卷含答案一、选择题1.在ABC ∆中,角A 、B 、C 所对的边分别为a 、b 、c ,且222b c a bc +=+若2sin sin sin B C A ⋅=,则ABC ∆的形状是()A .等腰三角形B .直角三角形C .等边三角形D .等腰直角三角形【答案】C 【解析】 【分析】直接利用余弦定理的应用求出A 的值,进一步利用正弦定理得到:b =c ,最后判断出三角形的形状. 【详解】在△ABC 中,角A 、B 、C 所对的边分别为a 、b 、c , 且b 2+c 2=a 2+bc .则:2221222b c a bc cosA bc bc +-===,由于:0<A <π,故:A 3π=.由于:sin B sin C =sin 2A , 利用正弦定理得:bc =a 2, 所以:b 2+c 2﹣2bc =0, 故:b =c ,所以:△ABC 为等边三角形. 故选C . 【点睛】本题考查了正弦定理和余弦定理及三角形面积公式的应用,主要考查学生的运算能力和转化能力,属于基础题型.2.△ABC 中,已知tanA =13,tanB =12,则∠C 等于( )A .30°B .45°C .60°D .135°【答案】D 【解析】 【分析】利用三角形内角和为180o ,可得:tan tan()tan(+)C A B A B π=--=-,利用两角和公式和已知条件,即可得解. 【详解】 在△ABC 中,11tan tan 32tan tan()tan(+)=-1111tan tan 132A B C A B A B A B π++=--=-=-=---⋅, 所以135C ?o .故选:D. 【点睛】本题考查了正切的两角和公式,考查了三角形内角和,考查了转化思想和计算能力,属于中档题.3.已知函数()sin f x a x x =的一条对称轴为56x π=,函数()f x 在区间()12,x x 上具有单调性,且()()12f x f x =-,则下述四个结论:①实数a 的值为1;②()()1,x f x 和()()22,x f x 两点关于函数()f x 图象的一条对称轴对称; ③21x x -的最大值为π, ④12x x +的最小值为23π. 其中所有正确结论的编号是( ) A .①②③ B .①③④C .①④D .③④【答案】B 【解析】 【分析】 根据56x π=是函数()f x 的一条对称轴,确定函数()f x ,再根据函数()f x 在区间()12,x x 上具有单调性,得到21x x -的最大值为2Tπ=,然后由()()12f x f x =-,得到()()11,x f x 和()()22,x f x 两点关于函数()f x 的一个对称中心对称求解验证.【详解】 ∵56x π=是函数()f x 的一条对称轴,∴()53f x f x π⎛⎫=-⎪⎝⎭, 令0x =,得()503f f π⎛⎫=⎪⎝⎭,即-1a =,①正确; ∴()sin 2sin 3π⎛⎫=-=- ⎪⎝⎭f x x x x .又因为函数()f x 在区间()12,x x 上具有单调性,∴21x x -的最大值为2Tπ=,且()()12f x f x =-, ∴()()11,x f x 和()()22,x f x 两点关于函数()f x 的一个对称中心对称,∴121233223x x x x k ππ⎛⎫⎛⎫-+- ⎪ ⎪+π⎝⎭⎝⎭=-=π,k Z ∈, ∴12223x x k ππ+=+,k Z ∈,当0k =时,12x x +取最小值23π,所以①③④正确,②错误. 故选:B 【点睛】本题主要考查三角函数的图象和性质,还考查了推理论证,运算求解的能力,属于中档题.4.已知ABC V 的三条边的边长分别为2米、3米、4米,将三边都增加x 米后,仍组成一个钝角三角形,则x 的取值范围是( ) A .102x << B .112x << C .12x << D .01x <<【答案】D 【解析】 【分析】根据余弦定理和三角形三边关系可求得x 的取值范围. 【详解】将ABC V 的三条边的边长均增加x 米形成A B C '''V ,设A B C '''V 的最大角为A '∠,则A '∠所对的边的长为()4x +米,且A '∠为钝角,则cos 0A '∠<,所以()()()()()2222342340x x x x x x x ⎧+++<+⎪+++>+⎨⎪>⎩,解得01x <<.故选:D. 【点睛】本题考查利用余弦定理和三角形三边关系求参数的取值范围,灵活利用余弦定理是解本题的关键,考查计算能力,属于中等题.5.小赵开车从A 处出发,以每小时40千米的速度沿南偏东40︒的方向直线行驶,30分钟后到达B 处,此时,小王发来微信定位,显示他自己在A 的南偏东70︒方向的C 处,且A 与C的距离为52千米的速度开车直线到达C 处接小王,则小赵到达C 处所用的时间大约为( )()7 2.6≈A .10分钟B .15分钟C .20分钟D .25分钟【答案】B 【解析】 【分析】首先根据题中所给的条件,得到30BAC ∠=︒,20AB =,153AC =,两边和夹角,之后应用余弦定理求得5713BC =≈(千米),根据题中所给的速度,进而求得时间,得到结果. 【详解】根据条件可得30BAC ∠=︒,20AB =,153AC =, 由余弦定理可得2222cos30175BC AB AC AB AC ︒=+-⋅⋅=, 则5713BC =≈(千米), 由B 到达C 所需时间约为130.2552=(时)15=分钟. 故选:B . 【点睛】该题是一道关于解三角形的实际应用题,解题的关键是掌握余弦定理的应用,属于简单题目.6.函数()[]()cos 2,2f x x x ππ=∈-的图象与函数()sin g x x =的图象的交点横坐标的和为( ) A .53π B .2πC .76π D .π【答案】B 【解析】 【分析】根据两个函数相等,求出所有交点的横坐标,然后求和即可. 【详解】令sin cos2x x =,有2sin 12sin x x =-,所以sin 1x =-或1sin 2x =.又[],2x ππ∈-,所以2x π=-或32x π=或6x π=或56x π=,所以函数()[]()cos 2,2f x x x ππ=∈-的图象与函数()sin g x x =的图象交点的横坐标的和3522266s πππππ=-+++=,故选B. 【点睛】本题主要考查三角函数的图象及给值求角,侧重考查数学建模和数学运算的核心素养.7.函数sin 26y x π⎛⎫=+ ⎪⎝⎭的图象可由函数2cos 2y x x =-的图象( ) A .向右平移3π个单位,再将所得图象上所有点的纵坐标伸长到原来的2倍,横坐标不变得到 B .向右平移6π个单位,再将所得图象上所有点的纵坐标伸长到原来的2倍,横坐标不变得到 C .向左平移3π个单位,再将所得图象上所有点的纵坐标缩短到原来的12,横坐标不变得到 D .向左平移6π个单位,再将所得图象上所有点的纵坐标缩短到原来的12,横坐标不变得到 【答案】D 【解析】 【分析】合并cos2y x x =-得:2sin 26y x π⎛⎫=- ⎪⎝⎭,利用平移、伸缩知识即可判断选项。
【最新】数学《三角函数与解三角形》高考复习知识点一、选择题1.在ABC ∆中,若2sin sin cos 2CA B =,则ABC ∆是( ) A .等边三角形 B .等腰三角形C .不等边三角形D .直角三角形【答案】B 【解析】试题分析:因为2sin sin cos2CA B =,所以,1cos sin sin 2C A B +=,即2sin sin 1cos[()],cos()1A B A B A B π=+-+-=,故A=B ,三角形为等腰三角形,选B 。
考点:本题主要考查和差倍半的三角函数,三角形内角和定理,诱导公式。
点评:简单题,判断三角形的形状,一般有两种思路,一种是从角入手,一种是从边入手。
2.如图,直三棱柱ABC A B C '''-的侧棱长为3,AB BC ⊥,3AB BC ==,点E ,F 分别是棱AB ,BC 上的动点,且AE BF =,当三棱锥B EBF '-的体积取得最大值时,则异面直线A F '与AC 所成的角为( )A .2πB .3π C .4π D .6π 【答案】C 【解析】 【分析】设AE BF a ==,13B EBF EBF V S B B '-'=⨯⨯V ,利用基本不等式,确定点 E ,F 的位置,然后根据//EF AC ,得到A FE '∠即为异面直线A F '与AC 所成的角,再利用余弦定理求解. 【详解】设AE BF a ==,则()()23119333288B EBFa a V a a '-+-⎡⎤=⨯⨯⨯-⨯≤=⎢⎥⎣⎦,当且仅当3a a =-,即32a =时等号成立, 即当三棱锥B EBF '-的体积取得最大值时,点E ,F 分别是棱AB ,BC 的中点,方法一:连接A E',AF,则352A E'=,352AF=,2292A F AA AF''=+=,13222EF AC==,因为//EF AC,所以A FE'∠即为异面直线A F'与AC所成的角,由余弦定理得222819452424cos93222222A F EF A EA FEA F EF+-''+-'∠==='⋅⋅⨯⨯,∴4A FEπ'∠=.方法二:以B为坐标原点,以BC、BA、BB'分别为x轴、y轴、z轴建立空间直角坐标系,则()0,3,0A,()3,0,0C,()0,3,3A',3,0,02F⎛⎫⎪⎝⎭,∴3,3,32A F⎛⎫'=--⎪⎝⎭u u u u r,()3,3,0AC=-u u u r,所以9922cos,92322A F ACA F ACA F AC+'⋅'==='⋅⨯u u u u r u u u ru u u u r u u u ru u u u r u u u r,所以异面直线A F'与AC所成的角为4π.故选:C【点睛】本题主要考查异面直线所成的角,余弦定理,基本不等式以及向量法求角,还考查了推理论证运算求解的能力,属于中档题.3.在ABC∆中,角,,A B C的对边分别为,,a b c,且ABC∆的面积25S C=,且1,25a b==c=()A15B17C19D21【答案】B【解析】由题意得,三角形的面积1sin 2S ab C C ==,所以tan 2C =,所以cos 5C =, 由余弦定理得2222cos 17c a b ab C =+-=,所以c =,故选B.4.在ABC ∆中,角,,A B C 所对的边分别为,,a b c 满足,222b c a bc +-=,0AB BC ⋅>u ur u u r u u,2a =,则bc +的取值范围是( ) A .31,2⎛⎫ ⎪⎝⎭B.32⎫⎪⎪⎝⎭C .13,22⎛⎫⎪⎝⎭D .31,2⎛⎤ ⎥⎝⎦【答案】B 【解析】 【分析】利用余弦定理222cos 2b c a A bc+-=,可得3A π=,由|||cos()|0AB BC AB BC B π⋅=⋅->u u u u u u u u r u ur u r u r,可得B为钝角,由正弦定理可得sin sin(120)30)o o b c B B B ∴+=+-=+,结合B 的范围,可得解【详解】由余弦定理有:222cos 2b c a A bc+-=,又222b c a bc +-=故2221cos 222b c a bc A bc bc +-===又A 为三角形的内角,故3A π=又2a=sin sin sin(120)ob c c B C B ==- 又|||cos()|0AB BC AB BC B π⋅=⋅->u u u u u u u u r u ur u r u r故cos 0B B <∴为钝角3sin sin(120)sin 30)2o o b c B B B B B ∴+=+-=+=+(90,120)o o B ∈Q ,可得130(120150)sin(30)(2o o o o B B +∈∴+∈,330))22ob c B∴+=+∈故选:B【点睛】本题考查了正弦定理、余弦定理和向量的综合应用,考查了学生综合分析,转化划归,数学运算能力,属于中档题5.已知在锐角ABC∆中,角A,B,C的对边分别为a,b,c,若2cos cosb Cc B=,则111tan tan tanA B C++的最小值为()A.3BCD.【答案】A【解析】【分析】先根据已知条件,把边化成角得到B,C关系式,结合均值定理可求.【详解】∵2cos cosb Cc B=,∴2sin cos sinCcosB C B=,∴tan2tanC B=.又A B Cπ++=,∴()()tan tan tanA B C B Cπ=-+=-+⎡⎤⎣⎦22tan tan3tan3tan1tan tan12tan2tan1B C B BB C B B+=-=-=---,∴21112tan111tan tan tan3tan tan2tanBA B C B B B-++=++27tan36tanBB=+.又∵在锐角ABC∆中, tan0B>,∴27tan36tan3BB+≥=,当且仅当tan2B=时取等号,∴min111tan tan tan3A B C⎛⎫++=⎪⎝⎭,故选A.【点睛】本题主要考查正弦定理和均值定理,解三角形时边角互化是求解的主要策略,侧重考查数学运算的核心素养.6.在ABC∆中,若sin:sin:sin2:3:4A B C=,则ABC∆是()A.直角三角形B.钝角三角形C.锐角三角形D.等腰直角三角形【答案】B【解析】 【分析】由题意利用正弦定理,推出a ,b ,c 的关系,然后利用余弦定理求出cosC 的值,即可得解. 【详解】∵sinA :sinB :sinC=2:3:4∴由正弦定理可得:a :b :c=2:3:4, ∴不妨令a=2x ,b=3x ,c=4x ,∴由余弦定理:c 2=a 2+b 2﹣2abcosC ,所以cosC=2222a b c ab+-=2224916223x x x x x +-⨯⨯=﹣14, ∵0<C <π, ∴C 为钝角. 故选B . 【点睛】本题是基础题,考查正弦定理,余弦定理的应用,考查计算能力,常考题型.7.已知函数()()03f x x πωω⎛⎫=-> ⎪⎝⎭的最小正周期为π,若()()122f x f x ⋅=-,则12x x -的最小值为( )A .2π B .3π C .πD .4π【答案】A 【解析】 【分析】由正弦型函数的最小正周期可求得ω,得到函数解析式,从而确定函数的最大值和最小值;根据()()122f x f x ⋅=-可知1x x =和2x x =必须为最大值点和最小值点才能够满足等式;利用整体对应的方式可构造方程组求得()12122x x k k ππ-=-+,12,k k Z ∈;从而可知120k k -=时取最小值. 【详解】由()f x 最小正周期为π可得:2ππω= 2ω∴= ()23f x x π⎛⎫∴=- ⎪⎝⎭()max f x ∴,()min f x =()()122f x f x ⋅=-Q 1x x ∴=和2x x =分别为()f x 的最大值点和最小值点设1x x =为最大值点,2x x =为最小值点()1112222232,2232x k k k Z x k ππππππ⎧-=+⎪⎪∴∈⎨⎪-=-⎪⎩()12122x x k k ππ∴-=-+,当120k k -=时,12min2x x π-=本题正确选项:A 【点睛】本题考查正弦型函数性质的综合应用,涉及到正弦型函数最小正周期和函数值域的求解;关键是能够根据函数的最值确定1x 和2x 为最值点,从而利用整体对应的方式求得结果.8.能使sin(2))y x x θθ=+++为奇函数,且在0,4⎡⎤⎢⎥⎣⎦π上是减函数的θ的一个值是( ) A .5π3B .43π C .23π D .3π【答案】C 【解析】 【分析】首先利用辅助角公式化简函数,然后根据函数的奇偶性和单调性求得θ的值. 【详解】依题意π2sin 23y x θ⎛⎫=++⎪⎝⎭,由于函数为奇函数,故πππ,π33k k θθ+==-,当1,2k =时,2π3θ=或5π3θ=,由此排除B,D 两个选项.当2π3θ=时,()2sin 2π2sin 2y x x =+=-在0,4⎡⎤⎢⎥⎣⎦π上是减函数,符合题意.当5π3θ=时,()2sin 22π2sin 2y x x =+=,在0,4⎡⎤⎢⎥⎣⎦π上是增函数,不符合题意.故选C. 【点睛】本小题主要考查诱导公式的运用,考查三角函数的奇偶性和单调性,属于基础题.9.{}n a 为等差数列,公差为d ,且01d <<,5()2k a k Z π≠∈,223557sin 2sin cos sin a a a a +⋅=,函数()sin(4)(0)f x d wx d w =+>在20,3π⎛⎫⎪⎝⎭上单调且存在020,3x π⎛⎫∈ ⎪⎝⎭,使得()f x 关于0(,0)x 对称,则w 的取值范围是( ) A .20,3⎛⎤ ⎥⎝⎦ B .30,2⎛⎤ ⎥⎝⎦C .24,33⎛⎤⎥⎝⎦D .33,42⎛⎤⎥⎝⎦【答案】D 【解析】 【分析】推导出sin4d =1,由此能求出d ,可得函数解析式,利用在203x π⎛⎫∈ ⎪⎝⎭,上单调且存在()()0020203x f x f x x π⎛⎫∈+-= ⎪⎝⎭,,,即可得出结论. 【详解】∵{a n }为等差数列,公差为d ,且0<d <1,a 52k π≠(k ∈Z ), sin 2a 3+2sin a 5•cos a 5=sin 2a 7, ∴2sin a 5cos a 5=sin 2a 7﹣sin 2a 3=2sin 372a a +cos 732a a -•2cos 372a a +sin 732a a -=2sin a 5cos2d •2cos a 5sin2d , ∴sin4d =1,∴d 8π=.∴f (x )8π=cosωx ,∵在203x π⎛⎫∈ ⎪⎝⎭,上单调 ∴23ππω≥, ∴ω32≤; 又存在()()0020203x f x f x x π⎛⎫∈+-= ⎪⎝⎭,,, 所以f (x )在(0,23π)上存在零点, 即223ππω<,得到ω34>. 故答案为 33,42⎛⎤⎥⎝⎦故选D【点睛】本题考查等差数列的公差的求法,考查三角函数的图象与性质,准确求解数列的公差是本题关键,考查推理能力,是中档题.10.如图,在等腰直角ABC ∆中,D ,E 分别为斜边BC 的三等分点(D 靠近点B ),过E 作AD 的垂线,垂足为F ,则AF =u u u v( )A .3155AB AC +u u uv u u u v B .2155AB AC +u u uv u u u v C .481515AB AC +u u uv u u u v D .841515AB AC +u u uv u u u v 【答案】D 【解析】 【分析】设出等腰直角三角形ABC 的斜边长,由此结合余弦定理求得各边长,并求得cos DAE ∠,由此得到45AF AD =u u u r u u u r,进而利用平面向量加法和减法的线性运算,将45AF AD =u u u r u u u r 表示为以,AB AC u u u r u u u r为基底来表示的形式.【详解】设6BC =,则32,2AB AC BD DE EC =====,22π2cos4AD AE BD BA BD BA ==+-⋅⋅10=,101044cos 2105DAE +-∠==⨯, 所以45AF AF AD AE ==,所以45AF AD =u u u r u u u r . 因为()1133AD AB BC AB AC AB =+=+-u u u r u u u r u u u r u u u r u u u r u u u r 2133AB AC =+u u ur u u u r , 所以421845331515AF AB AC AB AC ⎛⎫=⨯+=+ ⎪⎝⎭u u u r u u u r u u u r u u u r u u u r. 故选:D 【点睛】本小题主要考查余弦定理解三角形,考查利用基底表示向量,属于中档题.11.已知函数f (x )=sin 2x +sin 2(x 3π+),则f (x )的最小值为( )A .12B .14C.4D.2【答案】A 【解析】 【分析】先通过降幂公式和辅助角法将函数转化为()11cos 223f x x π⎛⎫=-+ ⎪⎝⎭,再求最值. 【详解】已知函数f (x )=sin 2x +sin 2(x 3π+), =21cos 21cos 2322x x π⎛⎫-+⎪-⎝⎭+,=1cos 2111cos 22223x x π⎛⎛⎫-=-+ ⎪ ⎝⎭⎝⎭, 因为[]cos 21,13x π⎛⎫+∈- ⎪⎝⎭, 所以f (x )的最小值为12. 故选:A 【点睛】本题主要考查倍角公式及两角和与差的三角函数的逆用,还考查了运算求解的能力,属于中档题.12.函数()1sin cos 1sin cos 1tan 01sin cos 1sin cos 32x x x x f x x x x x x x π+-++⎛⎫=++<< ⎪+++-⎝⎭的最小值为( ) A.13+ BCD【答案】B 【解析】 【分析】利用二倍角公式化简函数()f x ,求导数,利用导数求函数的最小值即可. 【详解】22222sin 2sin cos 2cos 2sin cos1sin cos 1sin cos 2222221sin cos 1sin cos 2cos 2sin cos 2sin 2sin cos 222222x x x x x x x x x x x x x x x xx x x x +++-+++=++++-++2sin sin cos 2cos sin cos sin cos 222222222sin cos sin 2cos sin cos 2sin sin cos 22222222x x x x x x x xx x x x x x x x x ⎛⎫⎛⎫++ ⎪ ⎪⎝⎭⎝⎭=+=+=⎛⎫⎛⎫++ ⎪ ⎪⎝⎭⎝⎭, 则()21tan 0sin 32f x x x x π⎛⎫=+<< ⎪⎝⎭, 32222221sin 2cos 16cos cos 1()sin 3cos sin 3cos 3sin cos x x x x f x x x x x x x '''--+⎛⎫⎛⎫=+=-+= ⎪ ⎪⎝⎭⎝⎭. 令()cos 0,1t x =∈,()3261g t t t =--+为减函数,且102g ⎛⎫=⎪⎝⎭, 所以当03x π<<时,()11,02t g t <<<,从而()'0f x <; 当32x ππ<<时,()10,02t g t <<>,从而()'0f x >. 故()min 3f x f π⎛⎫==⎪⎝⎭. 故选:A 【点睛】本题主要考查了三角函数的恒等变换,利用导数求函数的最小值,换元法,属于中档题.13.若函数()y f x =同时满足下列三个性质:①最小正周期为π;②图象关于直线3x π=对称;③在区间,63ππ⎡⎤-⎢⎥⎣⎦上单调递增,则()y f x =的解析式可以是( ) A .sin 26y x π⎛⎫=- ⎪⎝⎭B .sin 26x y π⎛⎫=-⎪⎝⎭ C .cos 26y x π⎛⎫=- ⎪⎝⎭D .cos 23y x π⎛⎫=+⎪⎝⎭【答案】A 【解析】 【分析】利用性质①可排除B ,利用性质②可排除C ,利用性质③可排除D ,通过验证选项A 同时满足三个性质. 【详解】逐一验证,由函数()f x 的最小正周期为π,而B 中函数最小正周期为2412ππ=,故排除B ;又cos 2cos 0362πππ⎛⎫⨯-== ⎪⎝⎭,所以cos 26y x π⎛⎫=- ⎪⎝⎭的图象不关于直线3x π=对称,故排除C ; 若63x ππ-≤≤,则023x ππ≤+≤,故函数cos 23y x π⎛⎫=+ ⎪⎝⎭在,63ππ⎡⎤-⎢⎥⎣⎦上单调递减,故排除D ; 令2262x πππ-≤-≤,得63x ππ-≤≤,所以函数sin 26y x π⎛⎫=- ⎪⎝⎭在,63ππ⎡⎤-⎢⎥⎣⎦上单调递增.由周期公式可得22T ππ==,当3x π=时,sin(2)sin 1362πππ⨯-==, 所以函数sin 26y x π⎛⎫=- ⎪⎝⎭同时满足三个性质.故选A . 【点睛】本题考查了三角函数的周期性,对称性,单调性,属于中档题.14.已知()0,απ∈,3sin 35πα⎛⎫+= ⎪⎝⎭,则cos 26πα⎛⎫+= ⎪⎝⎭( ) A .2425B .2425-C .725D .725-【答案】B 【解析】 【分析】根据余弦的二倍角公式先利用sin 3πα⎛⎫+ ⎪⎝⎭求得2cos 23πα⎛⎫+ ⎪⎝⎭.再由诱导公式求出sin 26πα⎛⎫+ ⎪⎝⎭,再利用同角三角函数关系中的平方关系求得cos 26πα⎛⎫+ ⎪⎝⎭.根据角的取值范围,舍去不合要求的解即可. 【详解】 因为3sin 35πα⎛⎫+= ⎪⎝⎭ 由余弦二倍角公式可得22237cos 212sin 1233525ππαα⎛⎫⎛⎫⎛⎫+=-+=-⨯= ⎪ ⎪ ⎪⎝⎭⎝⎭⎝⎭ 而2cos 2cos 2sin 23626ππππααα⎛⎫⎛⎫⎛⎫+=++=-+ ⎪ ⎪ ⎪⎝⎭⎝⎭⎝⎭所以27sin 2cos 26325ππαα⎛⎫⎛⎫+=-+=- ⎪⎪⎝⎭⎝⎭由同角三角函数关系式可得24cos 2625πα⎛⎫+==± ⎪⎝⎭ 因为()0,απ∈ 则4,333πππα⎛⎫+∈ ⎪⎝⎭,而3sin 035πα⎛⎫+=> ⎪⎝⎭ 所以,33ππαπ⎛⎫+∈ ⎪⎝⎭则,33ππαπ⎛⎫+∈ ⎪⎝⎭所以22,233ππαπ⎛⎫⎛⎫+∈ ⎪⎪⎝⎭⎝⎭32,3262ππππα⎛⎫⎛⎫+-∈ ⎪ ⎪⎝⎭⎝⎭,即32,662πππα⎛⎫+∈ ⎪⎝⎭又因为7sin 20625πα⎛⎫+=-< ⎪⎝⎭,所以32,62ππαπ⎛⎫+∈ ⎪⎝⎭故cos 206πα⎛⎫+< ⎪⎝⎭所以24cos 2625πα⎛⎫+=- ⎪⎝⎭ 故选:B 【点睛】本题考查了同角三角函数关系式及诱导公式的化简应用,三角函数恒等变形及角的范围确定,综合性较强,属于中档题.15.若函数tan 23y x k π⎛⎫=-+ ⎪⎝⎭,0,6x π⎛⎫∈ ⎪⎝⎭的图象都在x 轴上方,则实数k 的取值范围为( )A .)+∞ B .)+∞C .()+∞D .()【答案】A 【解析】 【分析】计算tan 203x π⎛⎫<-< ⎪⎝⎭,tan 23x k π⎛⎫->- ⎪⎝⎭恒成立,得到答案.【详解】∵0,6x π⎛⎫∈ ⎪⎝⎭,∴2033x ππ-<-<,∴tan 203x π⎛⎫-< ⎪⎝⎭,函数tan 23y x k π⎛⎫=-+ ⎪⎝⎭,0,6x π⎛⎫∈ ⎪⎝⎭的图象都在x 轴上方, 即对任意的0,6x π⎛⎫∈ ⎪⎝⎭,都有tan 203x k π⎛⎫-+> ⎪⎝⎭,即tan 23x k π⎛⎫->- ⎪⎝⎭,∵tan 23x π⎛⎫-> ⎪⎝⎭k -≤,k ≥故选:A . 【点睛】本题考查了三角函数恒成立问题,转化为三角函数值域是解题的关键.16.已知曲线1:sin C y x =,21:cos 23C y x π⎛⎫=- ⎪⎝⎭,则下面结论正确的是( )A .把1C 上各点的横坐标缩短到原来的12倍,纵坐标不变,再把得到的曲线向右平移3π个单位长度,得到曲线2CB .把1C 上各点的横坐标伸长到原来的2倍,纵坐标不变,再把得到的曲线向右平移3π个单位长度,得到曲线2CC .把1C 上各点的横坐标缩短到原来的12倍,纵坐标不变,再把得到的曲线向左平移3π个单位长度,得到曲线2CD .把1C 上各点的横坐标伸长到原来的2倍,纵坐标不变,再把得到的曲线向左平移3π个单位长度,得到曲线2C 【答案】D 【解析】 【分析】根据三角函数的周期变换和左右平移变换依次得到各选项中所得的函数解析式,从而得到正确选项. 【详解】A 中,将sin y x =横坐标缩短到原来的12倍得:sin 2y x =;向右平移3π个单位长度后得:2sin 2sin 2sin 2cos 233266y x x x x πππππ⎛⎫⎛⎫⎛⎫⎛⎫=-=-=--=-- ⎪ ⎪ ⎪ ⎪⎝⎭⎝⎭⎝⎭⎝⎭,A 错误;B 中,将sin y x =横坐标伸长到原来的2倍得:1sin2y x =;向右平移3π个单位长度后得:11121sinsin cos cos 232622632y x x x x πππππ⎡⎤⎛⎫⎛⎫⎛⎫⎛⎫=-=-=--=- ⎪ ⎪ ⎪ ⎪⎢⎥⎝⎭⎝⎭⎝⎭⎝⎭⎣⎦,B 错误;C 中,将sin y x =横坐标缩短到原来的12倍得:sin 2y x =;向左平移3π个单位长度后得:2sin 2sin 2sin 2cos 233266y x x x x πππππ⎛⎫⎛⎫⎛⎫⎛⎫=+=+=++=+ ⎪ ⎪ ⎪ ⎪⎝⎭⎝⎭⎝⎭⎝⎭,C 错误;D 中,将sin y x =横坐标伸长到原来的2倍得:1sin2y x =;向左平移3π个单位长度后得:1111sin sin cos cos 232622623y x x x x πππππ⎡⎤⎛⎫⎛⎫⎛⎫⎛⎫=+=+=-+=- ⎪ ⎪ ⎪ ⎪⎢⎥⎝⎭⎝⎭⎝⎭⎝⎭⎣⎦,D 正确. 故选:D 【点睛】本题考查三角函数的周期变换和平移变换的问题,关键是能够准确掌握变换原则,得到变换后的函数解析式.17.关于函数()()()sin tan cos tan f x x x =-有下述四个结论: ①()f x 是奇函数; ②()f x 在区间0,4π⎛⎫⎪⎝⎭单调递增; ③π是()f x 的周期; ④()f x 的最大值为2.其中所有正确结论的个数是( ) A .4 B .3C .2D .1【答案】C 【解析】 【分析】计算()()()sin tan cos tan f x x x -=--得到①错误,根据复合函数单调性判断法则判断②正确,()()f x f x π+=③正确,假设()f x 的最大值为2,取()2f a =,得到矛盾,④错误,得到答案. 【详解】()()()sin tan cos tan f x x x =-,()()()sin tan cos tan f x x x -=---⎡⎤⎡⎤⎣⎦⎣⎦()()sin tan cos tan x x =--,所以()f x 为非奇非偶函数,①错误; 当0,4x π⎛⎫∈ ⎪⎝⎭时,令tan t x =,()0,1t ∈, 又()0,1t ∈时sin y t =单调递增,cos y t =单调递减,根据复合函数单调性判断法则,当0,4x π⎛⎫∈ ⎪⎝⎭时,()sin tan y x =,()cos tan y x =-均为增函数, 所以()f x 在区间0,4π⎛⎫⎪⎝⎭单调递增,所以②正确;()()()sin tan cos tan f x x x πππ+=+-+⎡⎤⎡⎤⎣⎦⎣⎦()()()sin tan cos tan x x f x =-=,所以π是()f x 的周期,所以③正确;假设()f x 的最大值为2,取()2f a =,必然()sin tan 1a =,()cos tan 1a =-, 则tan 22a k ππ=+,k Z ∈与tan 2a k ππ=+,k Z ∈矛盾,所以()f x 的最大值小于2,所以④错误. 故选:C . 【点睛】本题考查了三角函数奇偶性,单调性,周期,最值,意在考查学生对于三角函数知识的综合应用.18.在三棱锥P ABC -中,PA ⊥平面ABC ,2π,43BAC AP ∠==,AB AC ==P ABC -的外接球的表面积为( )A .32πB .48πC .64πD .72π【答案】C 【解析】 【分析】先求出ABC V 的外接圆的半径,然后取ABC V 的外接圆的圆心G ,过G 作//GO AP ,且122GO AP ==,由于PA ⊥平面ABC ,故点O 为三棱锥P ABC -的外接球的球心,OA 为外接球半径,求解即可. 【详解】在ABC V中,AB AC ==23BAC π∠=,可得6ACB π∠=, 则ABC V的外接圆的半径π2sin 2sin 6AB r ACB ===ABC V 的外接圆的圆心G ,过G 作//GO AP ,且122GO AP ==, 因为PA ⊥平面ABC ,所以点O 为三棱锥P ABC -的外接球的球心, 则222OA OG AG =+,即外接球半径4R ==,则三棱锥P ABC -的外接球的表面积为24π4π1664πR =⨯=. 故选C.【点睛】本题考查了三棱锥的外接球表面积的求法,考查了学生的空间想象能力,属于中档题.19.在函数:①cos |2|y x =;②|cos |y x =;③cos 26y x π⎛⎫=+⎪⎝⎭;④tan 24y x π⎛⎫=- ⎪⎝⎭中,最小正周期为π的所有函数为( )A .①②③B .①③④C .②④D .①③【答案】A 【解析】逐一考查所给的函数:cos 2cos2y x x == ,该函数为偶函数,周期22T ππ== ; 将函数cos y x = 图象x 轴下方的图象向上翻折即可得到cos y x = 的图象,该函数的周期为122ππ⨯= ; 函数cos 26y x π⎛⎫=+ ⎪⎝⎭的最小正周期为22T ππ== ; 函数tan 24y x π⎛⎫=-⎪⎝⎭的最小正周期为22T ππ==;综上可得最小正周期为π的所有函数为①②③. 本题选择A 选项.点睛:求三角函数式的最小正周期时,要尽可能地化为只含一个三角函数的式子,否则很容易出现错误.一般地,经过恒等变形成“y =A sin(ωx +φ),y =A cos(ωx +φ),y =A tan(ωx +φ)”的形式,再利用周期公式即可.20.函数()4sin (0)3f x x πωω⎛⎫=+> ⎪⎝⎭的最小正周期是3π,则其图象向左平移6π个单位长度后得到的函数的一条对称轴是( ) A .4x π=B .3x π=C .56x π=D .1912x π=【答案】D 【解析】 【分析】由三角函数的周期可得23πω=,由函数图像的变换可得, 平移后得到函数解析式为244sin 39y x π⎛⎫=+ ⎪⎝⎭,再求其对称轴方程即可. 【详解】解:函数()4sin (0)3f x x πωω⎛⎫=+> ⎪⎝⎭的最小正周期是3π,则函数2()4sin 33f x x π⎛⎫=+ ⎪⎝⎭,经过平移后得到函数解析式为2244sin 4sin 36339y x x πππ⎡⎤⎛⎫⎛⎫=++=+⎪ ⎪⎢⎥⎝⎭⎝⎭⎣⎦,由24()392x k k πππ+=+∈Z , 得3()212x k k ππ=+∈Z ,当1k =时,1912x π=. 故选D. 【点睛】本题考查了正弦函数图像的性质及函数图像的平移变换,属基础题.。
新数学复习题《三角函数与解三角形》专题解析一、选择题1.已知ABC V 的内角,,A B C 的对边分别为,,a b c ,且cos cos a B b A +=,1a =,b =c =( )A B .1CD 【答案】B 【解析】 【分析】先由正弦定理将cos cos 2cos a B b A C+=中的边转化为角,可得sin()A B +=可求出角6C π=,再利用余弦定理可求得结果.【详解】解:因为cos cos a B b A +=,所以正弦定理得,sin cos sin cos 2cos CA B B A C+=所以sin()A B +=sin C =因为sin 0C ≠,所以cos C =, 又因为(0,)C π∈,所以6C π=,因为1a =,b =所以由余弦定理得,2222cos 13211c a b ab C =+-=+-⨯=, 所以1c = 故选:B 【点睛】此题考查的是利用正、余弦定理解三角形,属于中档题.2.已知函数()sin f x a x x =的一条对称轴为56x π=,函数()f x 在区间()12,x x 上具有单调性,且()()12f x f x =-,则下述四个结论:①实数a 的值为1;②()()1,x f x 和()()22,x f x 两点关于函数()f x 图象的一条对称轴对称; ③21x x -的最大值为π, ④12x x +的最小值为23π. 其中所有正确结论的编号是( ) A .①②③ B .①③④C .①④D .③④【答案】B 【解析】 【分析】 根据56x π=是函数()f x 的一条对称轴,确定函数()f x ,再根据函数()f x 在区间()12,x x 上具有单调性,得到21x x -的最大值为2Tπ=,然后由()()12f x f x =-,得到()()11,x f x 和()()22,x f x 两点关于函数()f x 的一个对称中心对称求解验证.【详解】∵56x π=是函数()f x 的一条对称轴,∴()53f x f x π⎛⎫=- ⎪⎝⎭,令0x =,得()503f f π⎛⎫=⎪⎝⎭,即-1a =,①正确; ∴()sin 2sin 3π⎛⎫=-=- ⎪⎝⎭f x x x x .又因为函数()f x 在区间()12,x x 上具有单调性, ∴21x x -的最大值为2Tπ=,且()()12f x f x =-, ∴()()11,x f x 和()()22,x f x 两点关于函数()f x 的一个对称中心对称,∴121233223x x x x k ππ⎛⎫⎛⎫-+- ⎪ ⎪+π⎝⎭⎝⎭=-=π,k Z ∈, ∴12223x x k ππ+=+,k Z ∈,当0k =时,12x x +取最小值23π,所以①③④正确,②错误. 故选:B 【点睛】本题主要考查三角函数的图象和性质,还考查了推理论证,运算求解的能力,属于中档题.3.在△ABC 中,角A ,B ,C 的对边分别为a ,b ,c ,若(a ﹣c cos B )sin A =c cos A sin B ,则△ABC 的形状一定是( ) A .钝角三角形 B .直角三角形 C .等腰三角形 D .锐角三角形【答案】C 【解析】 【分析】根据题意,由(cos )sin cos sin a c B A c A B -=变形可得sin sin a A c C =,进而由正弦定理可得22a c =,即a c =,即可得答案. 【详解】根据题意,在ABC ∆中,(cos )sin cos sin a c B A c A B -=, 变形可得:sin cos sin cos sin (cos sin cos sin )sin()sin a A c B A c A B c B A A B c A B c C =+=+=+=,即有sin sin a A c C =,又由正弦定理可得22a c =,即a c =. 故选:C . 【点睛】本题主要考查三角形的形状判断,考查正弦定理的应用,意在考查学生对这些知识点的理解掌握水平,属于基础题.4.函数()[]()cos 2,2f x x x ππ=∈-的图象与函数()sin g x x =的图象的交点横坐标的和为( ) A .53π B .2πC .76π D .π【答案】B 【解析】 【分析】根据两个函数相等,求出所有交点的横坐标,然后求和即可. 【详解】令sin cos2x x =,有2sin 12sin x x =-,所以sin 1x =-或1sin 2x =.又[],2x ππ∈-,所以2x π=-或32x π=或6x π=或56x π=,所以函数()[]()cos 2,2f x x x ππ=∈-的图象与函数()sin g x x =的图象交点的横坐标的和3522266s πππππ=-+++=,故选B. 【点睛】本题主要考查三角函数的图象及给值求角,侧重考查数学建模和数学运算的核心素养.5.如图,边长为1正方形ABCD ,射线BP 从BA 出发,绕着点B 顺时针方向旋转至BC ,在旋转的过程中,记([0,])2ABP x x π∠=∈,BP 所经过的在正方形ABCD 内的区域(阴影部分)的面积为()y f x =,则函数()f x 的图像是( )A .B .C .D .【答案】D 【解析】 【分析】根据条件列()y f x =,再根据函数图象作判断. 【详解】 当0,4x π⎡⎤∈⎢⎥⎣⎦时,()112y f x tanx ==⨯⨯; 当,42x ππ⎛⎤∈⎥⎝⎦时,()11112y f x tanx ==-⨯⨯; 根据正切函数图象可知选D. 【点睛】本题考查函数解析式以及函数图象,考查基本分析识别能力,属基本题.6.设函数f (x )=cos (x +3π),则下列结论错误的是 A .f(x)的一个周期为−2πB .y=f(x)的图像关于直线x=83π对称C .f(x+π)的一个零点为x=6π D .f(x)在(2π,π)单调递减 【答案】D 【解析】f (x )的最小正周期为2π,易知A 正确; f 8π3⎛⎫⎪⎝⎭=cos 8ππ33⎛⎫+ ⎪⎝⎭=cos3π=-1,为f (x )的最小值,故B 正确; ∵f (x +π)=cos ππ3x ⎛⎫++ ⎪⎝⎭=-cos π3x ⎛⎫+ ⎪⎝⎭,∴f ππ6⎛⎫+ ⎪⎝⎭=-cos ππ63⎛⎫+ ⎪⎝⎭=-cos 2π=0,故C 正确; 由于f 2π3⎛⎫⎪⎝⎭=cos 2ππ33⎛⎫+ ⎪⎝⎭=cosπ=-1,为f (x )的最小值,故f (x )在,2ππ⎛⎫ ⎪⎝⎭上不单调,故D 错误. 故选D.7.能使sin(2))y x x θθ=+++为奇函数,且在0,4⎡⎤⎢⎥⎣⎦π上是减函数的θ的一个值是( ) A .5π3B .43π C .23π D .3π 【答案】C 【解析】 【分析】首先利用辅助角公式化简函数,然后根据函数的奇偶性和单调性求得θ的值. 【详解】依题意π2sin 23y x θ⎛⎫=++⎪⎝⎭,由于函数为奇函数,故πππ,π33k k θθ+==-,当1,2k =时,2π3θ=或5π3θ=,由此排除B,D 两个选项.当2π3θ=时,()2sin 2π2sin 2y x x =+=-在0,4⎡⎤⎢⎥⎣⎦π上是减函数,符合题意.当5π3θ=时,()2sin 22π2sin 2y x x =+=,在0,4⎡⎤⎢⎥⎣⎦π上是增函数,不符合题意.故选C. 【点睛】本小题主要考查诱导公式的运用,考查三角函数的奇偶性和单调性,属于基础题.8.在△ABC 中,7b =,5c =,3B π∠=,则a 的值为 A .3 B .4C .7D .8【答案】D 【解析】 【分析】根据题中所给的条件两边一角,由余弦定理可得2222cos b a c ac B =+-,代入计算即可得到所求的值. 【详解】因为7,5,3b c B π==∠=,由余弦定理可得2222cos b a c ac B =+-,即214925252a a =+-⨯⨯,整理得25240a a --=, 解得8a =或5a =-(舍去),故选D. 【点睛】该题考查的是有关解三角形的问题,在解题的过程中,涉及到的知识点有余弦定理,解三角形所用的就是正弦定理和余弦定理,结合题中的条件,选择适当的方法求得结果.9.已知双曲线()222210,0x y a b a b-=>>的左右焦点分别为1F ,2F ,M 为双曲线上一点,若121cos 4F MF ∠=,122MF MF =,则此双曲线渐近线方程为( ) A.y = B.3y x =±C .y x =±D .2y x =±【答案】A 【解析】 【分析】因为M 为双曲线上一点,可得122MF MF a -=,在12F MF ∆使用余弦定理,结合已知条件即可求得答案. 【详解】Q 双曲线()222210,0x y a b a b-=>>的左右焦点分别为1F ,2F ,M 为双曲线上一点 ∴ 121222MF MF a MF MF ⎧-=⎪⎨=⎪⎩,解得:14MF a =,22MF a = 在12F MF ∆中,根据余弦定理可得:∴ 12121222122c 2os F F MF MF M MF MF F F ∠=+-⋅⋅可得:2221(2)(4)(2)2424c a a a a =+-⋅⋅⋅ 化简可得:2c a =由双曲线性质可得:22222243b c a a a a =-=-=可得:b =Q 双曲线渐近线方程为:b y x a=±则双曲线渐近线方程为: y = 故选:A. 【点睛】本题考查了求双曲线渐近线方程问题,解题关键是掌握双曲线的基本知识,数形结合,考查分析能力和计算能力,属于中档题.10.已知1F 、2F 分别为双曲线22146x y -=的左、右焦点,M 为双曲线右支上一点且满足120MF MF ⋅=u u u u v u u u u v ,若直线2MF 与双曲线的另一个交点为N ,则1MF N ∆的面积为( )A .12B .C .24D .【答案】C 【解析】 【分析】设1MF m =,2MF n =,根据双曲线的定义和12MF MF ⊥,可求出6m =,2n =,再设2NF t =,则14NF t =+根据勾股定理求出6t =即可求出三角形的面积. 【详解】解:设1MF m =,2MF n =,∵1F 、2F 分别为双曲线22146x y -=的左、右焦点,∴24m n a -==,122F F c ==∵120MF MF ⋅=u u u u v u u u u v, ∴12MF MF ⊥,∴222440m n c +==, ∴()2222m n m n mn -=+-, 即2401624mn =-=, ∴12mn =, 解得6m =,2n =,设2NF t =,则124NF a t t =+=+,在1Rt NMF ∆中可得()()222426t t +=++, 解得6t =, ∴628MN =+=, ∴1MF N ∆的面积111862422S MN MF =⋅=⨯⨯=. 故选C .【点睛】本题考查了双曲线的定义和向量的数量积和三角形的面积,考查了运算能力和转化能力,属于中档题.11.已知ππ43πsin()cos()0,322ααα++-=-<<则2πcos()3α+等于( )A 5B .35-C .45D .35【答案】C 【解析】 【分析】首先根据等式化简,得到4sin 65πα⎛⎫+=- ⎪⎝⎭,再利用诱导公式化简2cos 3πα⎛⎫+ ⎪⎝⎭求值. 【详解】解析:∵ππ43sin cos 32αα⎛⎫⎛⎫++-= ⎪ ⎪⎝⎭⎝⎭133343sin sin sin 22ααααα+== 433sin 6πα⎛⎫=+= ⎪⎝⎭ ∴π4sin 65()α+=-.又2ππππcos cos sin 32()())6(6ααα+=++=-+,∴2π4co (s 35)α+=. 故选:C 【点睛】本题考查三角恒等变换,化简求值,重点考查转化与变形,计算能力,属于基础题型.12.函数()1sin cos 1sin cos 1tan 01sin cos 1sin cos 32x x x x f x x x x x x x π+-++⎛⎫=++<< ⎪+++-⎝⎭的最小值为( ) A.13+ BCD【答案】B 【解析】 【分析】利用二倍角公式化简函数()f x ,求导数,利用导数求函数的最小值即可. 【详解】22222sin 2sin cos 2cos 2sin cos1sin cos 1sin cos 2222221sin cos 1sin cos 2cos 2sin cos 2sin 2sin cos 222222x x x x x x x x x x x x x x x xx x x x +++-+++=++++-++ 2sin sin cos 2cos sin cos sin cos 222222222sin cos sin 2cos sin cos 2sin sin cos 22222222x x x x x x x xx x x x x x x x x ⎛⎫⎛⎫++ ⎪ ⎪⎝⎭⎝⎭=+=+=⎛⎫⎛⎫++ ⎪ ⎪⎝⎭⎝⎭, 则()21tan 0sin 32f x x x x π⎛⎫=+<< ⎪⎝⎭, 32222221sin 2cos 16cos cos 1()sin 3cos sin 3cos 3sin cos x x x x f x x x x x x x '''--+⎛⎫⎛⎫=+=-+= ⎪ ⎪⎝⎭⎝⎭. 令()cos 0,1t x =∈,()3261g t t t =--+为减函数,且102g ⎛⎫=⎪⎝⎭, 所以当03x π<<时,()11,02t g t <<<,从而()'0f x <; 当32x ππ<<时,()10,02t g t <<>,从而()'0f x >. 故()min 33f x f π⎛⎫== ⎪⎝⎭. 故选:A 【点睛】本题主要考查了三角函数的恒等变换,利用导数求函数的最小值,换元法,属于中档题.13.已知函数()3cos(2)2f x x π=+,若对于任意的x ∈R ,都有12()()()f x f x f x 剟成立,则12x x -的最小值为( ) A .4 B .1C .12D .2【答案】D 【解析】 【分析】由题意得出()f x 的一个最大值为()2f x ,一个最小值为()1f x ,于此得出12x x -的最小值为函数()y f x =的半个周期,于此得出答案. 【详解】对任意的x ∈R ,()()()12f x f x f x 剟成立. 所以()()2min 3f x f x ==-,()()2max 3f x f x ==,所以12min22Tx x -==,故选D . 【点睛】本题考查正余弦型函数的周期性,根据题中条件得出函数的最值是解题的关键,另外就是灵活利用正余弦型函数的周期公式,考查分析问题的能力,属于中等题.14.已知()0,απ∈,3sin 35πα⎛⎫+= ⎪⎝⎭,则cos 26πα⎛⎫+= ⎪⎝⎭( )A .2425B .2425-C .725D .725-【答案】B 【解析】 【分析】根据余弦的二倍角公式先利用sin 3πα⎛⎫+⎪⎝⎭求得2cos 23πα⎛⎫+⎪⎝⎭.再由诱导公式求出sin 26πα⎛⎫+ ⎪⎝⎭,再利用同角三角函数关系中的平方关系求得cos 26πα⎛⎫+ ⎪⎝⎭.根据角的取值范围,舍去不合要求的解即可. 【详解】因为3sin 35πα⎛⎫+= ⎪⎝⎭由余弦二倍角公式可得22237cos 212sin 1233525ππαα⎛⎫⎛⎫⎛⎫+=-+=-⨯= ⎪ ⎪ ⎪⎝⎭⎝⎭⎝⎭而2cos 2cos 2sin 23626ππππααα⎛⎫⎛⎫⎛⎫+=++=-+ ⎪ ⎪ ⎪⎝⎭⎝⎭⎝⎭所以27sin 2cos 26325ππαα⎛⎫⎛⎫+=-+=- ⎪ ⎪⎝⎭⎝⎭由同角三角函数关系式可得24cos 2625πα⎛⎫+==± ⎪⎝⎭ 因为()0,απ∈ 则4,333πππα⎛⎫+∈ ⎪⎝⎭,而3sin 035πα⎛⎫+=> ⎪⎝⎭ 所以,33ππαπ⎛⎫+∈ ⎪⎝⎭则,33ππαπ⎛⎫+∈ ⎪⎝⎭所以22,233ππαπ⎛⎫⎛⎫+∈ ⎪ ⎪⎝⎭⎝⎭32,3262ππππα⎛⎫⎛⎫+-∈ ⎪ ⎪⎝⎭⎝⎭,即32,662πππα⎛⎫+∈ ⎪⎝⎭ 又因为7sin 20625πα⎛⎫+=-< ⎪⎝⎭,所以32,62ππαπ⎛⎫+∈ ⎪⎝⎭故cos 206πα⎛⎫+< ⎪⎝⎭所以24cos 2625πα⎛⎫+=- ⎪⎝⎭ 故选:B 【点睛】本题考查了同角三角函数关系式及诱导公式的化简应用,三角函数恒等变形及角的范围确定,综合性较强,属于中档题.15.在OAB ∆中,已知OB =u u u v 1AB u u u v=,45AOB ∠=︒,点P 满足(),OP OA OB λμλμ=+∈R u u u v u u u v u u u v ,其中λ,μ满足23λμ+=,则OP u u u v的最小值为( )A .5B C .3D .2【答案】A 【解析】 【分析】根据2OB =u u u r,1AB =uu u r ,45AOB ∠=︒,由正弦定理可得OAB ∆为等腰直角三角形,进而求得点A 坐标.结合平面向量的数乘运算与坐标加法运算,用λ,μ表示出OP u u u r.再由23λμ+=,将OP u u u r 化为关于λ的二次表达式,由二次函数性质即可求得OP u u u r的最小值.【详解】在OAB ∆中,已知2OB =u u u r,1AB =uu u r ,45AOB ∠=︒由正弦定理可得sin sin AB OBAOB OAB=∠∠u u u r u u u r 代入2sin 22OAB =∠,解得sin 1OAB ∠=即2OAB π∠=所以OAB ∆为等腰直角三角形以O 为原点,OB 所在直线为x 轴,以OB 的垂线为y 轴建立平面直角坐标系如下图所示:则点A 坐标为22⎝⎭所以22OA =⎝⎭u u u r ,)2,0OB =u u ur因为(),OP OA OB λμλμ=+∈R u u u r u u u r u u u r则)222,022OP λμ⎛ =+ ⎝⎭u u u r 222,22λμλ⎛⎫⎪ ⎪⎝⎭=则2222222OP λμλ⎛⎫=++⎛⎫⎪ ⎪ ⎪ ⎪⎝⎭⎝⎭u u u r2222λλμμ=++因为23λμ+=,则32μλ=- 代入上式可得==所以当95λ=时, min OP ==u u u r 故选:A 【点睛】本题考查了平面向量基本定理的应用,正弦定理判断三角形形状,平面向量的坐标运算,属于中档题.16.我国古代数学家秦九韶在《数书九章》中记述了“三斜求积术”,用现代式子表示即为:在ABC ∆中,角,,A B C 所对的边分别为,,a b c ,则ABC∆的面积S =根据此公式,若()cos 3cos 0a B b c A ++=,且2222a b c --=,则ABC ∆的面积为()AB .CD .【答案】A 【解析】 【分析】根据()cos 3cos 0a B b c A ++=,利用正弦定理边化为角得sin cos cos sin 3sin cos 0A B A B C A ++=,整理为()sin 13cos 0C A +=,根据sin 0C ≠,得1cos 3A =-,再由余弦定理得3bc =,又2222a b c --=,代入公式=S . 【详解】由()cos 3cos 0a B b c A ++=得sin cos cos sin 3sin cos 0A B A B C A ++=, 即()sin 3sin cos 0A B C A ++=,即()sin 13cos 0C A +=, 因为sin 0C ≠,所以1cos 3A =-, 由余弦定理22222cos 23a b c bc A bc --=-==,所以3bc =,由ABC ∆的面积公式得S ===故选:A 【点睛】本题主要考查正弦定理和余弦定理以及类比推理,还考查了运算求解的能力,属于中档题.17.已知2433sin 5cos 77ππαα⎛⎫⎛⎫+=-+ ⎪ ⎪⎝⎭⎝⎭,则tan 14πα⎛⎫-= ⎪⎝⎭( )A .53-B .35-C .35D .53【答案】B 【解析】 【分析】根据诱导公式计算得到35tan 73πα⎛⎫+= ⎪⎝⎭,故3tan tan 1472πππαα⎡⎤⎛⎫⎛⎫-=+- ⎪ ⎪⎢⎥⎝⎭⎝⎭⎣⎦,解得答案. 【详解】由诱导公式可知24333sin 3sin 33sin 777πππαπαα⎡⎤⎛⎫⎛⎫⎛⎫+=++=-+ ⎪ ⎪ ⎪⎢⎥⎝⎭⎝⎭⎝⎭⎣⎦, 又2433sin 5cos 77ππαα⎛⎫⎛⎫+=-+⎪ ⎪⎝⎭⎝⎭得333sin 5cos 77ππαα⎛⎫⎛⎫-+=-+ ⎪ ⎪⎝⎭⎝⎭, 所以35tan 73πα⎛⎫+= ⎪⎝⎭,313tan tan 314725tan 7πππααπα⎡⎤⎛⎫⎛⎫-=+-=-=- ⎪⎪⎢⎥⎛⎫⎝⎭⎝⎭⎣⎦+ ⎪⎝⎭. 故选:B . 【点睛】本题考查了三角恒等变换,意在考查学生的计算能力和转化能力.18.定义在R 上的函数()f x 既是偶函数又是周期函数,若()f x 的最小正周期是π,且当π0,2x ⎡⎤∈⎢⎥⎣⎦时,()sin f x x =,则5π3f ⎛⎫⎪⎝⎭的值为( ) A .12-BC .D .12【答案】B 【解析】分析:要求53f π⎛⎫⎪⎝⎭,则必须用()sin f x x =来求解,通过奇偶性和周期性,将变量转化到区间02π⎡⎤⎢⎥⎣⎦,上,再应用其解析式求解 详解:()f x Q 的最小正周期是π552333f f f ππππ⎛⎫⎛⎫⎛⎫∴=-=-⎪ ⎪ ⎪⎝⎭⎝⎭⎝⎭()f x Q 是偶函数33f f ππ⎛⎫⎛⎫∴-= ⎪ ⎪⎝⎭⎝⎭,533f f ππ⎛⎫⎛⎫= ⎪ ⎪⎝⎭⎝⎭Q 当02x π⎡⎤∈⎢⎥⎣⎦,时,()sin f x x =,则5 sin 3332f f πππ⎛⎫⎛⎫===⎪ ⎪⎝⎭⎝⎭故选B点睛:本题是一道关于正弦函数的题目,掌握正弦函数的周期性是解题的关键,考查了函数的周期性和函数单调性的性质.19.ABC ∆的内角A B C 、、的对边分别是a b c 、、,若2B A =,1a =,b =c =( )A .B .2CD .1【答案】B 【解析】1sin A ===cos 2A =,所以222122c c =+-,整理得2320,c c -+=求得1c =或 2.c = 若1c =,则三角形为等腰三角形,030,60A C B ===不满足内角和定理,排除. 【考点定位】本题考查正弦定理和余弦定理的应用,考查运算能力和分类讨论思想.当求出cos A =0030,60A B ==,便于三角形的初步定型,也为排除1c =提供了依据.如果选择支中同时给出了1或2,会增大出错率.20.已知曲线1:sin C y x =,21:cos 23C y x π⎛⎫=-⎪⎝⎭,则下面结论正确的是( )A .把1C 上各点的横坐标缩短到原来的12倍,纵坐标不变,再把得到的曲线向右平移3π个单位长度,得到曲线2CB .把1C 上各点的横坐标伸长到原来的2倍,纵坐标不变,再把得到的曲线向右平移3π个单位长度,得到曲线2CC .把1C 上各点的横坐标缩短到原来的12倍,纵坐标不变,再把得到的曲线向左平移3π个单位长度,得到曲线2CD .把1C 上各点的横坐标伸长到原来的2倍,纵坐标不变,再把得到的曲线向左平移3π个单位长度,得到曲线2C 【答案】D 【解析】 【分析】根据三角函数的周期变换和左右平移变换依次得到各选项中所得的函数解析式,从而得到正确选项. 【详解】A 中,将sin y x =横坐标缩短到原来的12倍得:sin 2y x =;向右平移3π个单位长度后得:2sin 2sin 2sin 2cos 233266y x x x x πππππ⎛⎫⎛⎫⎛⎫⎛⎫=-=-=--=-- ⎪⎪ ⎪ ⎪⎝⎭⎝⎭⎝⎭⎝⎭,A 错误;B 中,将sin y x =横坐标伸长到原来的2倍得:1sin2y x =;向右平移3π个单位长度后得:11121sin sin cos cos 232622632y x x x x πππππ⎡⎤⎛⎫⎛⎫⎛⎫⎛⎫=-=-=--=- ⎪ ⎪ ⎪ ⎪⎢⎥⎝⎭⎝⎭⎝⎭⎝⎭⎣⎦,B 错误;C 中,将sin y x =横坐标缩短到原来的12倍得:sin 2y x =;向左平移3π个单位长度后得:2sin 2sin 2sin 2cos 233266y x x x x πππππ⎛⎫⎛⎫⎛⎫⎛⎫=+=+=++=+ ⎪⎪ ⎪ ⎪⎝⎭⎝⎭⎝⎭⎝⎭,C 错误;D 中,将sin y x =横坐标伸长到原来的2倍得:1sin2y x =;向左平移3π个单位长度后得:1111sin sin cos cos 232622623y x x x x πππππ⎡⎤⎛⎫⎛⎫⎛⎫⎛⎫=+=+=-+=- ⎪ ⎪ ⎪ ⎪⎢⎥⎝⎭⎝⎭⎝⎭⎝⎭⎣⎦,D 正确. 故选:D 【点睛】本题考查三角函数的周期变换和平移变换的问题,关键是能够准确掌握变换原则,得到变换后的函数解析式.。
【高中数学】《三角函数与解三角形》知识点汇总一、选择题1.将函数()()sin 0,π2f x x ϕωϕω⎛⎫=+>< ⎪⎝⎭的图象向右平移6π个单位长度后,所得图象关于y 轴对称,且1π2f ω⎛⎫=- ⎪⎝⎭,则当ω取最小值时,函数()f x 的解析式为( )A .()sin 26f x x π⎛⎫=+⎪⎝⎭B .()sin 2π6f x x ⎛⎫=- ⎪⎝⎭C .()sin 4π6f x x ⎛⎫=+ ⎪⎝⎭D .()sin 4π6f x x ⎛⎫=- ⎪⎝⎭【答案】C 【解析】 【分析】由题意利用函数()sin y A x ωφ=+的图象变换规律,可得所得函数的解析式,由12f πω⎛⎫=- ⎪⎝⎭,求出φ,再根据所得图象关于y 轴对称求出ω,可得()f x 的解析式.【详解】解:将函数()()sin (0,)2f x x πωφωφ=+><的图象向右平移6π个单位长度后,可得sin 6y x ωπωφ⎛⎫=-+ ⎪⎝⎭的图象;∵所得图象关于y 轴对称,∴62k ωππφπ-+=+,k Z ∈.∵()1sin sin 2f ππφφω⎛⎫=-=+=- ⎪⎝⎭,即1sin 2φ=,26ππφφ<=,. ∴63k ωπππ-=+,620k ω=-->,则当ω取最小值时,取1k =-,可得4ω=,∴函数()f x 的解析式为()sin 46f x x π⎛⎫=+ ⎪⎝⎭. 故选C . 【点睛】本题主要考查函数()sin y A x ωφ=+的图象变换规律,正弦函数的性质,属于中档题.2.△ABC 中,已知tanA =13,tanB =12,则∠C 等于( )A .30°B .45°C .60°D .135°【答案】D 【解析】 【分析】利用三角形内角和为180o ,可得:tan tan()tan(+)C A B A B π=--=-,利用两角和公式和已知条件,即可得解. 【详解】 在△ABC 中,11tan tan 32tan tan()tan(+)=-1111tan tan 132A BC A B A B A B π++=--=-=-=---⋅,所以135C ?o .故选:D. 【点睛】本题考查了正切的两角和公式,考查了三角形内角和,考查了转化思想和计算能力,属于中档题.3.已知ABC V 的三条边的边长分别为2米、3米、4米,将三边都增加x 米后,仍组成一个钝角三角形,则x 的取值范围是( ) A .102x << B .112x << C .12x << D .01x <<【答案】D 【解析】 【分析】根据余弦定理和三角形三边关系可求得x 的取值范围. 【详解】将ABC V 的三条边的边长均增加x 米形成A B C '''V ,设A B C '''V 的最大角为A '∠,则A '∠所对的边的长为()4x +米,且A '∠为钝角,则cos 0A '∠<,所以()()()()()2222342340x x x x x x x ⎧+++<+⎪+++>+⎨⎪>⎩,解得01x <<.故选:D. 【点睛】本题考查利用余弦定理和三角形三边关系求参数的取值范围,灵活利用余弦定理是解本题的关键,考查计算能力,属于中等题.4.已知函数()2sin()0,,2f x x πωϕωϕπ⎛⎫⎡⎤=+>∈ ⎪⎢⎥⎣⎦⎝⎭的部分图象如图所示,其中()01f =,5||2MN =,则点M 的横坐标为( )A .12B .25-C .1-D .23-【答案】C 【解析】 【分析】 由(0)1f =求出56πϕ=,由5||23MN πω=⇒=,再根据()2f x =可得答案.【详解】由函数()2sin()0,,2f x x πωϕωϕπ⎛⎫⎡⎤=+>∈ ⎪⎢⎥⎣⎦⎝⎭的部分图象,可得(0)2sin 1f ϕ==,56πϕ∴=, 22512||2243MN ππωω⎛⎫==+⋅= ⎪⎝⎭, ∴函数5()2sin 36f x x ππ⎛⎫=+ ⎪⎝⎭,令52sin 236x ππ⎛⎫+= ⎪⎝⎭, 得52,0362x k k ππππ+=+=得1x =-. 故选:C. 【点睛】本题主要考查三角函数的图象与性质,考查了数形结合思想的应用,解题的关键是利用勾股定理列方程求出3πω=,属于中档题.5.{}n a 为等差数列,公差为d ,且01d <<,5()2k a k Z π≠∈,223557sin 2sin cos sin a a a a +⋅=,函数()sin(4)(0)f x d wx d w =+>在20,3π⎛⎫⎪⎝⎭上单调且存在020,3x π⎛⎫∈ ⎪⎝⎭,使得()f x 关于0(,0)x 对称,则w 的取值范围是( ) A .20,3⎛⎤ ⎥⎝⎦ B .30,2⎛⎤ ⎥⎝⎦ C .24,33⎛⎤⎥⎝⎦D .33,42⎛⎤ ⎥⎝⎦【答案】D 【解析】 【分析】推导出sin4d =1,由此能求出d ,可得函数解析式,利用在203x π⎛⎫∈ ⎪⎝⎭,上单调且存在()()0020203x f x f x x π⎛⎫∈+-= ⎪⎝⎭,,,即可得出结论. 【详解】∵{a n }为等差数列,公差为d ,且0<d <1,a 52k π≠(k ∈Z ), sin 2a 3+2sin a 5•cos a 5=sin 2a 7, ∴2sin a 5cos a 5=sin 2a 7﹣sin 2a 3=2sin 372a a +cos 732a a -•2cos 372a a +sin 732a a -=2sin a 5cos2d •2cos a 5sin2d , ∴sin4d =1,∴d 8π=.∴f (x )8π=cosωx ,∵在203x π⎛⎫∈ ⎪⎝⎭,上单调 ∴23ππω≥, ∴ω32≤; 又存在()()0020203x f x f x x π⎛⎫∈+-= ⎪⎝⎭,,, 所以f (x )在(0,23π)上存在零点, 即223ππω<,得到ω34>.故答案为 33,42⎛⎤ ⎥⎝⎦故选D 【点睛】本题考查等差数列的公差的求法,考查三角函数的图象与性质,准确求解数列的公差是本题关键,考查推理能力,是中档题.6.已知函数()sin 26f x x π⎛⎫=-⎪⎝⎭,若方程()23f x =的解为12,x x (120x x π<<<),则()21sin x x -=( )A .23B .49C .3D .9【答案】C 【解析】 【分析】 由已知可得2123x x π=-,结合x 1<x 2求出x 1的范围,再由()121122236sin x x sin x cos x ππ⎛⎫⎛⎫-=-=-- ⎪ ⎪⎝⎭⎝⎭求解即可. 【详解】因为0<x π<,∴112666x πππ⎛⎫-∈- ⎪⎝⎭,, 又因为方程()23f x =的解为x 1,x 2(0<x 1<x 2<π), ∴1223x x π+=,∴2123x x π=-, ∴()121122236sin x x sin x cos x ππ⎛⎫⎛⎫-=-=-- ⎪ ⎪⎝⎭⎝⎭, 因为122123x x x x π=-<,,∴0<x 13π<,∴12662x πππ⎛⎫-∈- ⎪⎝⎭,,∴由()112263f x sin x π⎛⎫=-= ⎪⎝⎭,得126cos x π⎛⎫-= ⎪⎝⎭,∴()12sin x x -=,故()21sin x x -故选C . 【点睛】本题考查了三角函数的恒等变换及化简求值和三角函数的图象与性质,属中档题.7.设当x θ=时,函数()sin 2cos f x x x =-取得最大值,则cos θ=()A .5-B .CD 【答案】B 【解析】 【分析】由辅助角公式可确定()max f x =sin 2cos θθ-=平方关系可构造出方程组求得结果. 【详解】()()sin 2cos f x x x x ϕ=-=+Q ,其中tan 2ϕ=- ()max f x ∴sin 2cos θθ-=又22sin cos 1θθ+= cos θ∴=【点睛】本题考查根据三角函数的最值求解三角函数值的问题,关键是能够确定三角函数的最值,从而得到关于所求三角函数值的方程,结合同角三角函数关系构造方程求得结果.8.锐角ABC ∆中,角A 、B 、C 所对的边分别为,,a b c ,若()sin 03A B C π⎛⎫+++= ⎪⎝⎭,b =c =,则角B =( )A .6π B .4π C .3π D .512π 【答案】B 【解析】 【分析】先由()sin 03A B C π⎛⎫+++= ⎪⎝⎭求出3A π=,然后用余弦定理算出a =再用余弦定理算出cos B 即可. 【详解】因为()sin 03A B C π⎛⎫+++= ⎪⎝⎭所以11sin cos sin 02222A A A A A +=-=所以tan A =0,2A π⎛⎫∈ ⎪⎝⎭,所以3A π=所以由余弦定理得:22222co1232222sa b c bc A⎛-=+-=+⨯=⎝⎭所以a=所以222232cos22a c bBac+-+-===因为0,2Bπ⎛⎫∈ ⎪⎝⎭,所以4Bπ=故选:B【点睛】本题考查的是利用余弦定理解三角形,数据不特殊,计算能力是解题的关键.9.已知函数()()πsin06f x xωω⎛⎫=->⎪⎝⎭,若()π2f f⎛⎫=- ⎪⎝⎭在π0,2⎛⎫⎪⎝⎭上有且仅有三个零点,则ω= ( )A.23B.2 C.143D.263【答案】C【解析】∵函数()()sin06f x xπωω⎛⎫=->⎪⎝⎭,()02f fπ⎛⎫=- ⎪⎝⎭∴1sin()sin()6262πππω-=--=-∴2266kπππωπ-=+或52,266k k Zπππωπ-=+∈∴243kω=+或42,k kω=+∈Z∵函数()f x在0,2π⎛⎫⎪⎝⎭上有且仅有三个零点∴(,)6626x ππωππω-∈-- ∴2326ωππππ<-≤∴131933ω<≤ ∴143ω=或6ω= 故选C.10.在∆ABC 中,内角A ,B ,C 所对的边分别为a ,b ,c .则“sin >sin A B ”是“a b >”的( )A .充分而不必要条件B .必要而不充分条件C .充要条件D .既不充分也不必要条件【答案】C 【解析】由正弦定理得sin sin 22a b A B a b R R>⇔>⇔> ,所以“sin sin A B >”是“a b >”的充要条件,选C.11.设函数())cos(2)f x x x ϕϕ=+++(||)2πϕ<,且其图像关于直线0x =对称,则( )A .()y f x =的最小正周期为π,且在(0,)2π上为增函数B .()y f x =的最小正周期为2π,且在(0,)4π上为增函数 C .()y f x =的最小正周期为π,且在(0,)2π上为减函数D .()y f x =的最小正周期为2π,且在(0,)4π上为减函数【答案】C 【解析】试题分析:())cos(2)f x x x ϕϕ=+++2sin(2)6x πϕ=++,∵函数图像关于直线0x =对称,∴函数()f x 为偶函数,∴3πϕ=,∴()2cos 2f x x =,∴22T ππ==,∵02x π<<,∴02x π<<,∴函数()f x 在(0,)2π上为减函数.考点:1.三角函数式的化简;2.三角函数的奇偶性;3.三角函数的周期;4.三角函数的单调性.12.在ABC ∆中,若2sin sin cos 2CA B =,则ABC ∆是( ) A .等边三角形 B .等腰三角形C .不等边三角形D .直角三角形【答案】B 【解析】试题分析:因为2sin sin cos2CA B =,所以,1cos sin sin 2C A B +=,即2sin sin 1cos[()],cos()1A B A B A B π=+-+-=,故A=B ,三角形为等腰三角形,选B 。
【高中数学】数学《三角函数与解三角形》高考复习知识点一、选择题1.函数y=ππππcos sin cos -sin 4444x x x x ⎡⎤⎡⎤⎛⎫⎛⎫⎛⎫⎛⎫+++++ ⎪ ⎪ ⎪ ⎪⎢⎥⎢⎥⎝⎭⎝⎭⎝⎭⎝⎭⎣⎦⎣⎦在一个周期内的图象是( )A .B .C .D .【答案】B 【解析】 【分析】首先根据二倍角余弦公式化简得到函数的解析式,再由函数表达式得到函数的单调性和周期,进而得到选项. 【详解】根据两角和差公式展开得到: y=ππππcos sin cos -sin 4444x x x x ⎡⎤⎡⎤⎛⎫⎛⎫⎛⎫⎛⎫+++++ ⎪ ⎪ ⎪ ⎪⎢⎥⎢⎥⎝⎭⎝⎭⎝⎭⎝⎭⎣⎦⎣⎦ 22πππcos sin cos 2424x x x ⎛⎫⎛⎫⎛⎫+-+=+ ⎪ ⎪ ⎪⎝⎭⎝=⎝⎭⎭=-sin2x ,函数在0的右侧是单调递减的,且周期为π,故选B. 故答案选B . 【点睛】这个题目考查了三角函数的恒等变换,题型为已知函数表达式选择函数的图像,这种题目,一般是先根据函数的表达式得到函数的定义域,或者值域,进行排除;也可以根据函数的表达式判断函数的单调性,周期性等,之后结合选项选择.2.已知函数()sin 3f x a x x =的一条对称轴为56x π=,函数()f x 在区间()12,x x 上具有单调性,且()()12f x f x =-,则下述四个结论:①实数a 的值为1;②()()1,x f x 和()()22,x f x 两点关于函数()f x 图象的一条对称轴对称; ③21x x -的最大值为π, ④12x x +的最小值为23π.其中所有正确结论的编号是( ) A .①②③ B .①③④C .①④D .③④【答案】B 【解析】 【分析】 根据56x π=是函数()f x 的一条对称轴,确定函数()f x ,再根据函数()f x 在区间()12,x x 上具有单调性,得到21x x -的最大值为2Tπ=,然后由()()12f x f x =-,得到()()11,x f x 和()()22,x f x 两点关于函数()f x 的一个对称中心对称求解验证.【详解】 ∵56x π=是函数()f x 的一条对称轴,∴()53f x f x π⎛⎫=-⎪⎝⎭, 令0x =,得()503f f π⎛⎫= ⎪⎝⎭,即-1a =,①正确;∴()sin 2sin 3π⎛⎫=-=- ⎪⎝⎭f x x x x .又因为函数()f x 在区间()12,x x 上具有单调性, ∴21x x -的最大值为2Tπ=,且()()12f x f x =-, ∴()()11,x f x 和()()22,x f x 两点关于函数()f x 的一个对称中心对称,∴121233223x x x x k ππ⎛⎫⎛⎫-+- ⎪ ⎪+π⎝⎭⎝⎭=-=π,k Z ∈, ∴12223x x k ππ+=+,k Z ∈,当0k =时,12x x +取最小值23π,所以①③④正确,②错误. 故选:B 【点睛】本题主要考查三角函数的图象和性质,还考查了推理论证,运算求解的能力,属于中档题.3.在ABC ∆中,角,,A B C 所对的边分别为,,a b c 满足,222b c a bc +-=,0AB BC ⋅>u ur u u r u u,a =b c +的取值范围是( ) A .31,2⎛⎫ ⎪⎝⎭B.322⎛⎫⎪⎪⎝⎭C .13,22⎛⎫⎪⎝⎭D .31,2⎛⎤ ⎥⎝⎦【解析】 【分析】利用余弦定理222cos 2b c a A bc+-=,可得3A π=,由|||cos()|0AB BC AB BC B π⋅=⋅->u u u u u u u u r u ur u r u r,可得B为钝角,由正弦定理可得sin sin(120)30)o o b c B B B ∴+=+-=+,结合B 的范围,可得解【详解】由余弦定理有:222cos 2b c a A bc+-=,又222b c a bc +-=故2221cos 222b c a bc A bc bc +-===又A 为三角形的内角,故3A π=又a=sin sin sin(120)2ob c c B C B ==- 又|||cos()|0AB BC AB BC B π⋅=⋅->u u u u u u u u r u ur u r u r故cos 0B B <∴为钝角3sin sin(120)sin 30)22o o b c B B B B B ∴+=+-=+=+(90,120)o o B ∈Q ,可得130(120150)sin(30)(,22o o o o B B +∈∴+∈,330))22o b c B ∴+=+∈ 故选:B 【点睛】本题考查了正弦定理、余弦定理和向量的综合应用,考查了学生综合分析,转化划归,数学运算能力,属于中档题4.已知函数()()03f x x πωω⎛⎫=-> ⎪⎝⎭的最小正周期为π,若()()122f x f x ⋅=-,则12x x -的最小值为( )A .2π B .3π C .πD .4π【解析】 【分析】由正弦型函数的最小正周期可求得ω,得到函数解析式,从而确定函数的最大值和最小值;根据()()122f x f x ⋅=-可知1x x =和2x x =必须为最大值点和最小值点才能够满足等式;利用整体对应的方式可构造方程组求得()12122x x k k ππ-=-+,12,k k Z ∈;从而可知120k k -=时取最小值. 【详解】由()f x 最小正周期为π可得:2ππω= 2ω∴= ()23f x x π⎛⎫∴=- ⎪⎝⎭()max f x ∴,()min f x =()()122f x f x ⋅=-Q 1x x ∴=和2x x =分别为()f x 的最大值点和最小值点设1x x =为最大值点,2x x =为最小值点()1112222232,2232x k k k Z x k ππππππ⎧-=+⎪⎪∴∈⎨⎪-=-⎪⎩()12122x x k k ππ∴-=-+,当120k k -=时,12min2x x π-=本题正确选项:A 【点睛】本题考查正弦型函数性质的综合应用,涉及到正弦型函数最小正周期和函数值域的求解;关键是能够根据函数的最值确定1x 和2x 为最值点,从而利用整体对应的方式求得结果.5.函数sin 26y x π⎛⎫=+ ⎪⎝⎭的图象可由函数2cos 2y x x =-的图象( ) A .向右平移3π个单位,再将所得图象上所有点的纵坐标伸长到原来的2倍,横坐标不变得到 B .向右平移6π个单位,再将所得图象上所有点的纵坐标伸长到原来的2倍,横坐标不变得到 C .向左平移3π个单位,再将所得图象上所有点的纵坐标缩短到原来的12,横坐标不变得到D .向左平移6π个单位,再将所得图象上所有点的纵坐标缩短到原来的12,横坐标不变得到 【答案】D 【解析】 【分析】合并3sin2cos2y x x =-得:2sin 26y x π⎛⎫=- ⎪⎝⎭,利用平移、伸缩知识即可判断选项。
高考数学《三角函数与解三角形》练习题一、选择题1.已知函数()()sin 3cos 0x f x x ωωω=->,若集合()(){}0,1x f x π∈=-含有4个元素,则实数ω的取值范围是( ) A .35,22⎡⎫⎪⎢⎣⎭B .35,22⎛⎤⎥⎝⎦C .725,26⎡⎫⎪⎢⎣⎭D .725,26⎛⎤⎥⎝⎦【答案】D 【解析】 【分析】化简f (x )的解析式,作出f (x )的函数图象,利用三角函数的性质求出直线y=﹣1与y=f (x )在(0,+∞)上的交点坐标,则π介于第4和第5个交点横坐标之间. 【详解】 f (x )=2sin (ωx ﹣3π), 作出f (x )的函数图象如图所示:令2sin (ωx ﹣3π)=﹣1得ωx ﹣3π=﹣6π+2kπ,或ωx ﹣3π=76π+2kπ, ∴x=6πω+2k πω,或x=32πω+2k πω,k ∈Z , 设直线y=﹣1与y=f (x )在(0,+∞)上从左到右的第4个交点为A ,第5个交点为B , 则x A =322ππωω+,x B =46ππωω+, ∵方程f (x )=﹣1在(0,π)上有且只有四个实数根, ∴x A <π≤x B ,即322ππωω+<π≤46ππωω+,解得72526ω≤<. 故选B .【点睛】本题考查了三角函数的恒等变换,三角函数的图象与性质,属于中档题.2.已知函数()sin f x a x x =的一条对称轴为56x π=,函数()f x 在区间()12,x x 上具有单调性,且()()12f x f x =-,则下述四个结论:①实数a 的值为1;②()()1,x f x 和()()22,x f x 两点关于函数()f x 图象的一条对称轴对称; ③21x x -的最大值为π, ④12x x +的最小值为23π. 其中所有正确结论的编号是( ) A .①②③ B .①③④C .①④D .③④【答案】B 【解析】 【分析】 根据56x π=是函数()f x 的一条对称轴,确定函数()f x ,再根据函数()f x 在区间()12,x x 上具有单调性,得到21x x -的最大值为2Tπ=,然后由()()12f x f x =-,得到()()11,x f x 和()()22,x f x 两点关于函数()f x 的一个对称中心对称求解验证.【详解】 ∵56x π=是函数()f x 的一条对称轴,∴()53f x f x π⎛⎫=-⎪⎝⎭, 令0x =,得()503f f π⎛⎫= ⎪⎝⎭,即-1a =,①正确;∴()sin 2sin 3π⎛⎫=-=- ⎪⎝⎭f x x x x .又因为函数()f x 在区间()12,x x 上具有单调性, ∴21x x -的最大值为2Tπ=,且()()12f x f x =-, ∴()()11,x f x 和()()22,x f x 两点关于函数()f x 的一个对称中心对称,∴121233223x x x x k ππ⎛⎫⎛⎫-+- ⎪ ⎪+π⎝⎭⎝⎭=-=π,k Z ∈, ∴12223x x k ππ+=+,k Z ∈,当0k =时,12x x +取最小值23π,所以①③④正确,②错误. 故选:B 【点睛】本题主要考查三角函数的图象和性质,还考查了推理论证,运算求解的能力,属于中档题.3.已知ABC V 的三条边的边长分别为2米、3米、4米,将三边都增加x 米后,仍组成一个钝角三角形,则x 的取值范围是( ) A .102x << B .112x << C .12x << D .01x <<【答案】D 【解析】 【分析】根据余弦定理和三角形三边关系可求得x 的取值范围. 【详解】将ABC V 的三条边的边长均增加x 米形成A B C '''V ,设A B C '''V 的最大角为A '∠,则A '∠所对的边的长为()4x +米,且A '∠为钝角,则cos 0A '∠<,所以()()()()()2222342340x x x x x x x ⎧+++<+⎪+++>+⎨⎪>⎩,解得01x <<.故选:D. 【点睛】本题考查利用余弦定理和三角形三边关系求参数的取值范围,灵活利用余弦定理是解本题的关键,考查计算能力,属于中等题.4.在ABC ∆中,角,,A B C 的对边分别为,,a b c ,且ABC ∆的面积S C =,且1,a b ==c =( )ABCD【答案】B 【解析】由题意得,三角形的面积1sin 2S ab C C ==,所以tan 2C =,所以cos C =, 由余弦定理得2222cos 17c a b ab C =+-=,所以c =,故选B.5.已知函数f (x )=2x -1,()2cos 2,0?2,0a x x g x x a x +≥⎧=⎨+<⎩(a ∈R ),若对任意x 1∈[1,+∞),总存在x 2∈R ,使f (x 1)=g (x 2),则实数a 的取值范围是()A .1,2⎛⎫-∞ ⎪⎝⎭B .2,3⎛⎫+∞⎪⎝⎭C .[]1,1,22⎛⎫-∞ ⎪⎝⎭U D .371,,224⎡⎤⎡⎤⎢⎥⎢⎥⎣⎦⎣⎦U 【答案】C 【解析】 【分析】对a 分a=0,a <0和a >0讨论,a >0时分两种情况讨论,比较两个函数的值域的关系,即得实数a 的取值范围. 【详解】当a =0时,函数f (x )=2x -1的值域为[1,+∞),函数()g x 的值域为[0,++∞),满足题意. 当a <0时,y =22(0)x a x +<的值域为(2a ,+∞), y =()cos 20a x x +≥的值域为[a +2,-a +2],因为a +2-2a =2-a >0,所以a +2>2a , 所以此时函数g (x )的值域为(2a ,+∞), 由题得2a <1,即a <12,即a <0. 当a >0时,y =22(0)x a x +<的值域为(2a ,+∞),y =()cos 20a x x +≥的值域为[-a +2,a +2], 当a ≥23时,-a +2≤2a ,由题得21,1222a a a a -+≤⎧∴≤≤⎨+≥⎩. 当0<a <23时,-a +2>2a ,由题得2a <1,所以a <12.所以0<a <12. 综合得a 的范围为a <12或1≤a ≤2, 故选C . 【点睛】本题主要考查函数的图象和性质,考查指数函数和三角函数的图象和性质,意在考查学生对这些知识的理解掌握水平和分析推理能力.6.已知函数()2sin()0,,2f x x πωϕωϕπ⎛⎫⎡⎤=+>∈ ⎪⎢⎥⎣⎦⎝⎭的部分图象如图所示,其中()01f =,5||2MN =,则点M 的横坐标为( )A .12B .25-C .1-D .23-【答案】C 【解析】 【分析】 由(0)1f =求出56πϕ=,由5||23MN πω=⇒=,再根据()2f x =可得答案.【详解】由函数()2sin()0,,2f x x πωϕωϕπ⎛⎫⎡⎤=+>∈ ⎪⎢⎥⎣⎦⎝⎭的部分图象, 可得(0)2sin 1f ϕ==,56πϕ∴=, 22512||2243MN ππωω⎛⎫==+⋅= ⎪⎝⎭, ∴函数5()2sin 36f x x ππ⎛⎫=+ ⎪⎝⎭,令52sin 236x ππ⎛⎫+= ⎪⎝⎭, 得52,0362x k k ππππ+=+=得1x =-. 故选:C. 【点睛】本题主要考查三角函数的图象与性质,考查了数形结合思想的应用,解题的关键是利用勾股定理列方程求出3πω=,属于中档题.7.△ABC 中,已知tanA =13,tanB =12,则∠C 等于( )A .30°B .45°C .60°D .135°【答案】D 【解析】 【分析】利用三角形内角和为180o ,可得:tan tan()tan(+)C A B A B π=--=-,利用两角和公式和已知条件,即可得解. 【详解】 在△ABC 中,11tan tan 32tan tan()tan(+)=-1111tan tan 132A B C A B A B A B π++=--=-=-=---⋅, 所以135C ?o .故选:D. 【点睛】本题考查了正切的两角和公式,考查了三角形内角和,考查了转化思想和计算能力,属于中档题.8.在ABC ∆中,角A 、B 、C 所对的边分别为a 、b 、c ,且222b c a bc +=+若2sin sin sin B C A ⋅=,则ABC ∆的形状是()A .等腰三角形B .直角三角形C .等边三角形D .等腰直角三角形【答案】C 【解析】 【分析】直接利用余弦定理的应用求出A 的值,进一步利用正弦定理得到:b =c ,最后判断出三角形的形状. 【详解】在△ABC 中,角A 、B 、C 所对的边分别为a 、b 、c , 且b 2+c 2=a 2+bc .则:2221222b c a bc cosA bc bc +-===,由于:0<A <π,故:A 3π=.由于:sin B sin C =sin 2A , 利用正弦定理得:bc =a 2, 所以:b 2+c 2﹣2bc =0, 故:b =c ,所以:△ABC 为等边三角形. 故选C . 【点睛】本题考查了正弦定理和余弦定理及三角形面积公式的应用,主要考查学生的运算能力和转化能力,属于基础题型.9.如图,在等腰直角ABC ∆中,D ,E 分别为斜边BC 的三等分点(D 靠近点B ),过E 作AD 的垂线,垂足为F ,则AF =u u u v( )A .3155AB AC +u u uv u u u vB .2155AB AC +u u uv u u u vC .481515AB AC +u u uv u u u v D .841515AB AC +u u uv u u u v 【答案】D 【解析】 【分析】设出等腰直角三角形ABC 的斜边长,由此结合余弦定理求得各边长,并求得cos DAE ∠,由此得到45AF AD =u u u r u u u r,进而利用平面向量加法和减法的线性运算,将45AF AD =u u u r u u u r 表示为以,AB AC u u u r u u u r为基底来表示的形式.【详解】设6BC =,则32,2AB AC BD DE EC =====,22π2cos4AD AE BD BA BD BA ==+-⋅⋅10=,101044cos 2105DAE +-∠==⨯, 所以45AF AF AD AE ==,所以45AF AD =u u u r u u u r . 因为()1133AD AB BC AB AC AB =+=+-u u u r u u u r u u u r u u u r u u u r u u u r 2133AB AC =+u u ur u u u r , 所以421845331515AF AB AC AB AC ⎛⎫=⨯+=+ ⎪⎝⎭u u u r u u u r u u u r u u u r u u u r. 故选:D 【点睛】本小题主要考查余弦定理解三角形,考查利用基底表示向量,属于中档题.10.函数()1sin cos 1sin cos 1tan 01sin cos 1sin cos 32x x x x f x x x x x x x π+-++⎛⎫=++<< ⎪+++-⎝⎭的最小值为( ) A .123+ B 53C 243+D 43【答案】B 【解析】 【分析】利用二倍角公式化简函数()f x ,求导数,利用导数求函数的最小值即可. 【详解】22222sin 2sin cos 2cos 2sin cos1sin cos 1sin cos 2222221sin cos 1sin cos 2cos 2sin cos 2sin 2sin cos 222222x x x x x x x x x x x x x x x xx x x x +++-+++=++++-++ 2sin sin cos 2cos sin cos sin cos 222222222sin cos sin 2cos sin cos 2sin sin cos 22222222x x x x x x x xx x x x x x x x x ⎛⎫⎛⎫++ ⎪ ⎪⎝⎭⎝⎭=+=+=⎛⎫⎛⎫++ ⎪ ⎪⎝⎭⎝⎭, 则()21tan 0sin 32f x x x x π⎛⎫=+<< ⎪⎝⎭, 32222221sin 2cos 16cos cos 1()sin 3cos sin 3cos 3sin cos x x x x f x x x x x x x '''--+⎛⎫⎛⎫=+=-+= ⎪ ⎪⎝⎭⎝⎭. 令()cos 0,1t x =∈,()3261g t t t =--+为减函数,且102g ⎛⎫=⎪⎝⎭, 所以当03x π<<时,()11,02t g t <<<,从而()'0f x <; 当32x ππ<<时,()10,02t g t <<>,从而()'0f x >. 故()min 3f x f π⎛⎫== ⎪⎝⎭. 故选:A 【点睛】本题主要考查了三角函数的恒等变换,利用导数求函数的最小值,换元法,属于中档题.11.已知π1cos 25α⎛⎫-= ⎪⎝⎭,则cos2α=( )A .725B .725-C .2325D .2325-【答案】C 【解析】 【分析】由已知根据三角函数的诱导公式,求得sin α,再由余弦二倍角,即可求解. 【详解】由π1cos α25⎛⎫-=⎪⎝⎭,得1sin α5=,又由2123cos2α12sin α122525=-=-⨯=. 故选C . 【点睛】本题主要考查了本题考查三角函数的化简求值,其中解答中熟记三角函数的诱导公式及余弦二倍角公式的应用是解答的关键,着重考查了推理与计算能力,属于基础题.12.若函数tan 23y x k π⎛⎫=-+ ⎪⎝⎭,0,6x π⎛⎫∈ ⎪⎝⎭的图象都在x 轴上方,则实数k 的取值范围为( )A .)+∞ B .)+∞C .()+∞D .()【答案】A 【解析】 【分析】计算tan 203x π⎛⎫<-< ⎪⎝⎭,tan 23x k π⎛⎫->- ⎪⎝⎭恒成立,得到答案.【详解】∵0,6x π⎛⎫∈ ⎪⎝⎭,∴2033x ππ-<-<,∴tan 203x π⎛⎫-< ⎪⎝⎭,函数tan 23y x k π⎛⎫=-+ ⎪⎝⎭,0,6x π⎛⎫∈ ⎪⎝⎭的图象都在x 轴上方, 即对任意的0,6x π⎛⎫∈ ⎪⎝⎭,都有tan 203x k π⎛⎫-+> ⎪⎝⎭,即tan 23x k π⎛⎫->- ⎪⎝⎭,∵tan 23x π⎛⎫-> ⎪⎝⎭k -≤,k ≥ 故选:A . 【点睛】本题考查了三角函数恒成立问题,转化为三角函数值域是解题的关键.13.已知函数()sin()f x x πϕ=+某个周期的图象如图所示,A ,B 分别是()f x 图象的最高点与最低点,C 是()f x 图象与x 轴的交点,则tan ∠BAC =( )A .12B .47C 255D 76565【答案】B 【解析】 【分析】过A 作AD 垂直于x 轴于点D ,AB 与x 轴交于E ,设C (a ,0),可得32CD =,11,2AD DE ==,3tan 2CD CAD AD ∠==,1tan 2ED EAD AD ∠==,再利用tan tan()BAC CAD EAD ∠=∠-∠计算即可.【详解】过A 作AD 垂直于x 轴于点D ,AB 与x 轴交于E , 由题可得周期为2,设(,0)C a ,则1(,1)2B a +-,3(,1)2A a +, 所以32CD =,11,2AD DE ==,3tan 2CD CAD AD ∠==,1tan 2ED EAD AD ∠== 所以tan tan tan tan()1tan tan CAD EADBAC CAD EAD CAD EAD∠-∠∠=∠-∠=+∠⋅∠31422317122-==+⨯. 故选:B【点睛】本题主要考查两角差的正切公式,涉及到正弦型函数图象等知识,考查学生数学运算能力,是一道中档题.14.{}n a 为等差数列,公差为d ,且01d <<,5()2k a k Z π≠∈,223557sin 2sin cos sin a a a a +⋅=,函数()sin(4)(0)f x d wx d w =+>在20,3π⎛⎫⎪⎝⎭上单调且存在020,3x π⎛⎫∈ ⎪⎝⎭,使得()f x 关于0(,0)x 对称,则w 的取值范围是( ) A .20,3⎛⎤ ⎥⎝⎦ B .30,2⎛⎤ ⎥⎝⎦C .24,33⎛⎤⎥⎝⎦D .33,42⎛⎤⎥⎝⎦【答案】D 【解析】 【分析】推导出sin4d =1,由此能求出d ,可得函数解析式,利用在203x π⎛⎫∈ ⎪⎝⎭,上单调且存在()()0020203x f x f x x π⎛⎫∈+-= ⎪⎝⎭,,,即可得出结论. 【详解】∵{a n }为等差数列,公差为d ,且0<d <1,a 52k π≠(k ∈Z ), sin 2a 3+2sin a 5•cos a 5=sin 2a 7, ∴2sin a 5cos a 5=sin 2a 7﹣sin 2a 3=2sin 372a a +cos 732a a -•2cos 372a a +sin 732a a -=2sin a 5cos2d •2cos a 5sin2d , ∴sin4d =1,∴d 8π=.∴f (x )8π=cosωx ,∵在203x π⎛⎫∈ ⎪⎝⎭,上单调 ∴23ππω≥, ∴ω32≤; 又存在()()0020203x f x f x x π⎛⎫∈+-= ⎪⎝⎭,,, 所以f (x )在(0,23π)上存在零点, 即223ππω<,得到ω34>. 故答案为 33,42⎛⎤⎥⎝⎦故选D 【点睛】本题考查等差数列的公差的求法,考查三角函数的图象与性质,准确求解数列的公差是本题关键,考查推理能力,是中档题.15.某船开始看见灯塔A 时,灯塔A 在船南偏东30o 方向,后来船沿南偏东60︒的方向航行45km 后,看见灯塔A 在船正西方向,则这时船与灯塔A 的距离是( ) A .152km B .30kmC .15kmD .153km【答案】D 【解析】 【分析】如图所示,设灯塔位于A 处,船开始的位置为B ,船行45km 后处于C ,根据题意求出BAC ∠与BAC ∠的大小,在三角形ABC 中,利用正弦定理算出AC 的长,可得该时刻船与灯塔的距离. 【详解】设灯塔位于A 处,船开始的位置为B ,船行45km 后处于C ,如图所示,可得60DBC ∠=︒,30ABD ∠=︒,45BC =30ABC ∴∠=︒,120BAC ∠=︒在三角形ABC 中,利用正弦定理可得:sin sin AC BCABC BAC=∠∠,可得sin 1sin 2BC ABC AC BAC ∠===∠ 故选D 【点睛】本题主要考查的是正弦定理,以及特殊角的三角函数值,熟练掌握正弦定理是解决本题的关键,属于基础题.16.函数()sin())f x x x ωϕωϕ=+++(ω>0)的图像过点(1,2),若f (x )相邻的两个零点x 1,x 2满足|x 1-x 2|=6,则f (x )的单调增区间为( ) A .[-2+12k ,4+12k](k ∈Z ) B .[-5+12k ,1+12k](k ∈Z ) C .[1+12k ,7+12k](k ∈Z ) D .[-2+6k ,1+6k](k ∈Z )【答案】B 【解析】 【分析】由题意得()23f x sin x πωϕ⎛⎫=++⎪⎝⎭,根据相邻两个零点满足126x x -=得到周期为12T =,于是可得6π=ω.再根据函数图象过点()1,2求出2()k k Z ϕπ=∈,于是可得函数的解析式,然后可求出单调增区间. 【详解】由题意得()()()23f x sin x x sin x πωϕωϕωϕ⎛⎫=++=++ ⎪⎝⎭, ∵()f x 相邻的两个零点1x ,2x 满足126x x -=, ∴函数()f x 的周期为12T =, ∴6π=ω, ∴()263f x sin x ππϕ⎛⎫=++⎪⎝⎭.又函数图象过点()1,2, ∴2222632sin sin cos πππϕϕϕ⎛⎫⎛⎫++=+==⎪ ⎪⎝⎭⎝⎭,∴cos 1ϕ=,∴2()k k Z ϕπ=∈, ∴()263f x sin x ππ⎛⎫=+ ⎪⎝⎭.由22,2632k x k k Z ππππππ-+≤+≤+∈,得512112,k x k k Z -+≤≤+∈,∴()f x 的单调增区间为[]()512,112k k k Z -++∈. 故选B . 【点睛】解答本题的关键是从题中所给的信息中得到相关数据,进而得到函数的解析式,然后再求出函数的单调递增区间,解体时注意整体代换思想的运用,考查三角函数的性质和应用,属于基础题.17.关于函数()()()sin tan cos tan f x x x =-有下述四个结论: ①()f x 是奇函数;②()f x 在区间0,4π⎛⎫⎪⎝⎭单调递增;③π是()f x 的周期; ④()f x 的最大值为2.其中所有正确结论的个数是( ) A .4 B .3C .2D .1【答案】C 【解析】 【分析】计算()()()sin tan cos tan f x x x -=--得到①错误,根据复合函数单调性判断法则判断②正确,()()f x f x π+=③正确,假设()f x 的最大值为2,取()2f a =,得到矛盾,④错误,得到答案. 【详解】()()()sin tan cos tan f x x x =-,()()()sin tan cos tan f x x x -=---⎡⎤⎡⎤⎣⎦⎣⎦()()sin tan cos tan x x =--,所以()f x 为非奇非偶函数,①错误; 当0,4x π⎛⎫∈ ⎪⎝⎭时,令tan t x =,()0,1t ∈, 又()0,1t ∈时sin y t =单调递增,cos y t =单调递减,根据复合函数单调性判断法则,当0,4x π⎛⎫∈ ⎪⎝⎭时,()sin tan y x =,()cos tan y x =-均为增函数, 所以()f x 在区间0,4π⎛⎫⎪⎝⎭单调递增,所以②正确;()()()sin tan cos tan f x x x πππ+=+-+⎡⎤⎡⎤⎣⎦⎣⎦()()()sin tan cos tan x x f x =-=,所以π是()f x 的周期,所以③正确;假设()f x 的最大值为2,取()2f a =,必然()sin tan 1a =,()cos tan 1a =-, 则tan 22a k ππ=+,k Z ∈与tan 2a k ππ=+,k Z ∈矛盾,所以()f x 的最大值小于2,所以④错误. 故选:C . 【点睛】本题考查了三角函数奇偶性,单调性,周期,最值,意在考查学生对于三角函数知识的综合应用.18.将函数sin(2)4y x π=-的图象向左平移4π个单位,所得图象对应的函数在区间(,)m m -上无极值点,则m 的最大值为( )A .8π B .4π C .38π D .2π 【答案】A 【解析】 【分析】由三角函数的图象变换,求得函数sin 24y x π⎛⎫=+⎪⎝⎭,求得增区间3,,88k k k Z ππππ⎡⎤-++∈⎢⎥⎣⎦,令0k =,可得函数的单调递增区间为3,88ππ⎡⎤-⎢⎥⎣⎦,进而根据函数sin 24y x π⎛⎫=+ ⎪⎝⎭在区间(),m m -上无极值点,即可求解. 【详解】由题意,将函数sin 24y x π⎛⎫=- ⎪⎝⎭的图象向左平移4π个单位, 可得函数sin 2sin 2444y x x πππ⎡⎤⎛⎫⎛⎫=+-=+ ⎪ ⎪⎢⎥⎝⎭⎝⎭⎣⎦, 令222,242k x k k Z πππππ-+≤+≤+∈,解得3,88k x k k Z ππππ-+≤≤+∈即函数sin 24y x π⎛⎫=+⎪⎝⎭的单调递增区间为3,,88k k k Z ππππ⎡⎤-++∈⎢⎥⎣⎦,令0k =,可得函数的单调递增区间为3,88ππ⎡⎤-⎢⎥⎣⎦, 又由函数sin 24y x π⎛⎫=+ ⎪⎝⎭在区间(),m m -上无极值点,则m 的最大值为8π,故选A. 【点睛】本题主要考查了三角函数的图象变换,以及三角函数的性质的应用,其中解答中熟练应用三角函数的图象变换得到函数的解析式,再根据三角函数的性质,求得其单调递增区间是解答的关键,着重考查了运算与求解能力,属于中档试题.19.在函数:①cos |2|y x =;②|cos |y x =;③cos 26y x π⎛⎫=+ ⎪⎝⎭;④tan 24y x π⎛⎫=- ⎪⎝⎭中,最小正周期为π的所有函数为( ) A .①②③ B .①③④C .②④D .①③【答案】A 【解析】逐一考查所给的函数:cos 2cos2y x x == ,该函数为偶函数,周期22T ππ== ; 将函数cos y x = 图象x 轴下方的图象向上翻折即可得到cos y x = 的图象,该函数的周期为122ππ⨯= ; 函数cos 26y x π⎛⎫=+ ⎪⎝⎭的最小正周期为22T ππ== ; 函数tan 24y x π⎛⎫=-⎪⎝⎭的最小正周期为22T ππ==;综上可得最小正周期为π的所有函数为①②③. 本题选择A 选项.点睛:求三角函数式的最小正周期时,要尽可能地化为只含一个三角函数的式子,否则很容易出现错误.一般地,经过恒等变形成“y =A sin(ωx +φ),y =A cos(ωx +φ),y =A tan(ωx +φ)”的形式,再利用周期公式即可.20.在极坐标系中,曲线4sin 6πρθ⎛⎫=+ ⎪⎝⎭关于( ) A .直线3πθ=对称B .直线6πθ=对称C .点2,6π⎛⎫⎪⎝⎭对称 D .极点对称【答案】A 【解析】 【分析】由4sin 6πρθ⎛⎫=+ ⎪⎝⎭,得直角坐标方程:2220x x y -+-= ,圆心为( ,又因为直线3πθ=即:y = 过点(,由此便可得出答案.【详解】由曲线4sin 6πρθ⎛⎫=+⎪⎝⎭,即:24sin 6πρρθ⎛⎫=+ ⎪⎝⎭,又因为cos sin x y ρθρθ=⎧⎨=⎩,化简得曲线的直角坐标方程:2220x x y -+-= ,故圆心为( .又因为直线3πθ=,直角坐标方程为:y = ,直线y =过点(,故曲线关于直线3πθ=对称故选:A. 【点睛】本题主要考查曲线及直线的极坐标方程与直角坐标方程的转化,以及圆关于过圆心的直线对称的知识,属于中等难度题目.。
新《三角函数与解三角形》专题解析一、选择题1.已知函数()sin()R,0,0,||2f x A x x A πωϕωϕ⎛⎫=+∈>>< ⎪⎝⎭的图象(部分)如图所示,则ω,ϕ分别为( )A .,3πωπϕ==B .2,3πωπϕ==C .,6πωπϕ==D .2,6πωπϕ==【答案】C 【解析】 【分析】由最大值可确定振幅A ,由周期确定ω,由1()23f =确定ϕ. 【详解】 由图可得,2A =,5114632T =-=,所以22T πω==,ωπ=,又1()23f =,所以12sin()23πϕ⨯+=,2,32k k Z ππϕπ+=+∈,即2,6k k Z πϕπ=+∈, 又2πϕ<,故6π=ϕ. 故选:C 【点睛】本题考查由图象确定正弦型函数解析式中的参数问题,考查学生逻辑推理能力,是一道中档题.2.△ABC 中,已知tanA =13,tanB =12,则∠C 等于( )A .30°B .45°C .60°D .135°【答案】D 【解析】 【分析】利用三角形内角和为180o ,可得:tan tan()tan(+)C A B A B π=--=-,利用两角和公式和已知条件,即可得解. 【详解】 在△ABC 中,11tan tan 32tantan()tan(+)=-1111tan tan 132A B C A B A B A B π++=--=-=-=---⋅, 所以135C ?o .故选:D. 【点睛】本题考查了正切的两角和公式,考查了三角形内角和,考查了转化思想和计算能力,属于中档题.3.小赵开车从A 处出发,以每小时40千米的速度沿南偏东40︒的方向直线行驶,30分钟后到达B 处,此时,小王发来微信定位,显示他自己在A 的南偏东70︒方向的C 处,且A 与C 的距离为153千米,若此时,小赵以每小时52千米的速度开车直线到达C 处接小王,则小赵到达C 处所用的时间大约为( )()7 2.6≈A .10分钟B .15分钟C .20分钟D .25分钟【答案】B 【解析】 【分析】首先根据题中所给的条件,得到30BAC ∠=︒,20AB =,153AC =,两边和夹角,之后应用余弦定理求得5713BC =≈(千米),根据题中所给的速度,进而求得时间,得到结果. 【详解】根据条件可得30BAC ∠=︒,20AB =,153AC =, 由余弦定理可得2222cos30175BC AB AC AB AC ︒=+-⋅⋅=, 则5713BC =≈(千米), 由B 到达C 所需时间约为130.2552=(时)15=分钟. 故选:B .【点睛】该题是一道关于解三角形的实际应用题,解题的关键是掌握余弦定理的应用,属于简单题目.4.函数()[]()cos 2,2f x x x ππ=∈-的图象与函数()sin g x x =的图象的交点横坐标的和为( ) A .53π B .2πC .76π D .π【答案】B 【解析】 【分析】根据两个函数相等,求出所有交点的横坐标,然后求和即可. 【详解】令sin cos2x x =,有2sin 12sin x x =-,所以sin 1x =-或1sin 2x =.又[],2x ππ∈-,所以2x π=-或32x π=或6x π=或56x π=,所以函数()[]()cos 2,2f x x x ππ=∈-的图象与函数()sin g x x =的图象交点的横坐标的和3522266s πππππ=-+++=,故选B. 【点睛】本题主要考查三角函数的图象及给值求角,侧重考查数学建模和数学运算的核心素养.5.如图,边长为1正方形ABCD ,射线BP 从BA 出发,绕着点B 顺时针方向旋转至BC ,在旋转的过程中,记([0,])2ABP x x π∠=∈,BP 所经过的在正方形ABCD 内的区域(阴影部分)的面积为()y f x =,则函数()f x 的图像是( )A .B .C .D .【答案】D 【解析】 【分析】根据条件列()y f x =,再根据函数图象作判断. 【详解】 当0,4x π⎡⎤∈⎢⎥⎣⎦时,()112y f x tanx ==⨯⨯; 当,42x ππ⎛⎤∈⎥⎝⎦时,()11112y f x tanx ==-⨯⨯; 根据正切函数图象可知选D. 【点睛】本题考查函数解析式以及函数图象,考查基本分析识别能力,属基本题.6.已知函数sin(),0()cos(),0x a x f x x b x +≤⎧=⎨+>⎩的图像关于y 轴对称,则sin y x =的图像向左平移( )个单位,可以得到cos()y x a b =++的图像( ). A .4π B .3π C .2π D .π【答案】D 【解析】 【分析】根据条件确定,a b 关系,再化简()cos y x a b =++,最后根据诱导公式确定选项. 【详解】因为函数()()(),0,0sin x a x f x cos x b x ⎧+≤⎪=⎨+>⎪⎩的图像关于y 轴对称,所以sin cos 22a b ππ⎛⎫⎛⎫-+=+ ⎪ ⎪⎝⎭⎝⎭,()()sin cos a b ππ-+=+,即sin cos sin cos b a a b ,==,因此π2π()2a b k k Z +=+∈, 从而()()cos sin y x a b sinx x π=++=-=+,选D. 【点睛】本题考查偶函数性质、诱导公式、三角函数图象变换,考查基本分析识别能力,属中档题.7.已知函数()()03f x x πωω⎛⎫=-> ⎪⎝⎭的最小正周期为π,若()()122f x f x ⋅=-,则12x x -的最小值为( )A .2πB .3π C .πD .4π 【答案】A 【解析】 【分析】由正弦型函数的最小正周期可求得ω,得到函数解析式,从而确定函数的最大值和最小值;根据()()122f x f x ⋅=-可知1x x =和2x x =必须为最大值点和最小值点才能够满足等式;利用整体对应的方式可构造方程组求得()12122x x k k ππ-=-+,12,k k Z ∈;从而可知120k k -=时取最小值. 【详解】由()f x 最小正周期为π可得:2ππω= 2ω∴= ()23f x x π⎛⎫∴=- ⎪⎝⎭()max f x ∴,()min f x =()()122f x f x ⋅=-Q 1x x ∴=和2x x =分别为()f x 的最大值点和最小值点设1x x =为最大值点,2x x =为最小值点()1112222232,2232x k k k Z x k ππππππ⎧-=+⎪⎪∴∈⎨⎪-=-⎪⎩()12122x x k k ππ∴-=-+,当120k k -=时,12min2x x π-=本题正确选项:A 【点睛】本题考查正弦型函数性质的综合应用,涉及到正弦型函数最小正周期和函数值域的求解;关键是能够根据函数的最值确定1x 和2x 为最值点,从而利用整体对应的方式求得结果.8.如图所示,已知双曲线C :()222210,0x y a b a b-=>>的右焦点为F ,双曲线的右支上一点A ,它关于原点O 的对称点为B ,满足120AFB ∠=︒,且3BF AF =,则双曲线C 的离心率是( )A .27B .52C .7 D .7【答案】C 【解析】 【分析】利用双曲线的性质,推出AF ,BF ,通过求解三角形转化求解离心率即可. 【详解】解:双曲线2222:1(0,0)x y C a b a b-=>>的右焦点为F ,双曲线C 的右支上一点A ,它关于原点O 的对称点为B ,满足120AFB ∠=︒,且||3||BF AF =,可得||||2BF AF a -=,||AF a =,||3BF a =,60F BF ∠'=︒,所以2222cos60F F AF BF AF BF '=+-︒g ,可得222214962c a a a =+-⨯,2247c a =,所以双曲线的离心率为:72e =. 故选:C .【点睛】本题考查双曲线的简单性质的应用,三角形的解法,考查转化思想以及计算能力,属于中档题.9.要得到函数y =sin (2x +9π)的图象,只需将函数y =cos (2x ﹣9π)的图象上所有点( ) A .向左平移518π个单位长度 B .向右平移518π个单位长度 C .向左平移536π个单位长度 D .向右平移536π个单位长度 【答案】D【解析】 【分析】先将函数cos 29y x π⎛⎫=- ⎪⎝⎭转化为7sin 218y x π⎛⎫=+ ⎪⎝⎭,再结合两函数解析式进行对比,得出结论. 【详解】 函数75cos 2sin 2sin 2sin 299218369y x x x x ππππππ⎡⎤⎛⎫⎛⎫⎛⎫⎛⎫=-=-+=+=++ ⎪ ⎪ ⎪ ⎪⎢⎥⎝⎭⎝⎭⎝⎭⎝⎭⎣⎦ ∴要得到函数sin 29y x π⎛⎫=+ ⎪⎝⎭的图象,只需将函数cos 29y x π⎛⎫=- ⎪⎝⎭的图象上所有点向右平移536π个单位长度,故选D . 【点睛】本题考查函数()sin y A x b ωϕ=++的图象变化规律,关键在于能利用诱导公式将异名函数化为同名函数,再根据左右平移规律得出结论.10.{}n a 为等差数列,公差为d ,且01d <<,5()2k a k Z π≠∈,223557sin 2sin cos sin a a a a +⋅=,函数()sin(4)(0)f x d wx d w =+>在20,3π⎛⎫⎪⎝⎭上单调且存在020,3x π⎛⎫∈ ⎪⎝⎭,使得()f x 关于0(,0)x 对称,则w 的取值范围是( ) A .20,3⎛⎤ ⎥⎝⎦ B .30,2⎛⎤ ⎥⎝⎦C .24,33⎛⎤⎥⎝⎦D .33,42⎛⎤⎥⎝⎦【答案】D 【解析】 【分析】推导出sin4d =1,由此能求出d ,可得函数解析式,利用在203x π⎛⎫∈ ⎪⎝⎭,上单调且存在()()0020203x f x f x x π⎛⎫∈+-= ⎪⎝⎭,,,即可得出结论. 【详解】∵{a n }为等差数列,公差为d ,且0<d <1,a 52k π≠(k ∈Z ), sin 2a 3+2sin a 5•cos a 5=sin 2a 7, ∴2sin a 5cos a 5=sin 2a 7﹣sin 2a 3=2sin372a a +cos 732a a -•2cos 372a a +sin 732a a -=2sin a 5cos2d •2cos a 5sin2d ,∴sin4d =1, ∴d 8π=.∴f (x )8π=cosωx ,∵在203x π⎛⎫∈ ⎪⎝⎭,上单调 ∴23ππω≥, ∴ω32≤; 又存在()()0020203x f x f x x π⎛⎫∈+-= ⎪⎝⎭,,, 所以f (x )在(0,23π)上存在零点, 即223ππω<,得到ω34>. 故答案为 33,42⎛⎤⎥⎝⎦故选D 【点睛】本题考查等差数列的公差的求法,考查三角函数的图象与性质,准确求解数列的公差是本题关键,考查推理能力,是中档题.11.已知函数()sin()f x x πϕ=+某个周期的图象如图所示,A ,B 分别是()f x 图象的最高点与最低点,C 是()f x 图象与x 轴的交点,则tan ∠BAC =( )A .12B .47C 255D 76565【答案】B 【解析】 【分析】过A 作AD 垂直于x 轴于点D ,AB 与x 轴交于E ,设C (a ,0),可得32CD =,11,2AD DE ==,3tan 2CD CADAD ∠==,1tan 2ED EAD AD ∠==,再利用tan tan()BAC CAD EAD ∠=∠-∠计算即可.【详解】过A 作AD 垂直于x 轴于点D ,AB 与x 轴交于E , 由题可得周期为2,设(,0)C a ,则1(,1)2B a +-,3(,1)2A a +, 所以32CD =,11,2AD DE ==,3tan 2CD CAD AD ∠==,1tan 2ED EAD AD ∠== 所以tan tan tan tan()1tan tan CAD EADBAC CAD EAD CAD EAD∠-∠∠=∠-∠=+∠⋅∠31422317122-==+⨯. 故选:B【点睛】本题主要考查两角差的正切公式,涉及到正弦型函数图象等知识,考查学生数学运算能力,是一道中档题.12.已知π1cos 25α⎛⎫-= ⎪⎝⎭,则cos2α=( )A .725B .725-C .2325D .2325-【答案】C 【解析】 【分析】由已知根据三角函数的诱导公式,求得sin α,再由余弦二倍角,即可求解. 【详解】 由π1cos α25⎛⎫-=⎪⎝⎭,得1sin α5=,又由2123cos2α12sin α122525=-=-⨯=.故选C . 【点睛】本题主要考查了本题考查三角函数的化简求值,其中解答中熟记三角函数的诱导公式及余弦二倍角公式的应用是解答的关键,着重考查了推理与计算能力,属于基础题.13.已知()0,απ∈,3sin 35πα⎛⎫+= ⎪⎝⎭,则cos 26πα⎛⎫+= ⎪⎝⎭( ) A .2425B .2425-C .725D .725-【答案】B 【解析】 【分析】根据余弦的二倍角公式先利用sin 3πα⎛⎫+⎪⎝⎭求得2cos 23πα⎛⎫+⎪⎝⎭.再由诱导公式求出sin 26πα⎛⎫+ ⎪⎝⎭,再利用同角三角函数关系中的平方关系求得cos 26πα⎛⎫+ ⎪⎝⎭.根据角的取值范围,舍去不合要求的解即可. 【详解】因为3sin 35πα⎛⎫+= ⎪⎝⎭由余弦二倍角公式可得22237cos 212sin 1233525ππαα⎛⎫⎛⎫⎛⎫+=-+=-⨯= ⎪ ⎪ ⎪⎝⎭⎝⎭⎝⎭而2cos 2cos 2sin 23626ππππααα⎛⎫⎛⎫⎛⎫+=++=-+ ⎪ ⎪ ⎪⎝⎭⎝⎭⎝⎭所以27sin 2cos 26325ππαα⎛⎫⎛⎫+=-+=- ⎪ ⎪⎝⎭⎝⎭由同角三角函数关系式可得24cos 2625πα⎛⎫+==± ⎪⎝⎭ 因为()0,απ∈ 则4,333πππα⎛⎫+∈ ⎪⎝⎭,而3sin 035πα⎛⎫+=> ⎪⎝⎭ 所以,33ππαπ⎛⎫+∈ ⎪⎝⎭则,33ππαπ⎛⎫+∈ ⎪⎝⎭所以22,233ππαπ⎛⎫⎛⎫+∈ ⎪⎪⎝⎭⎝⎭32,3262ππππα⎛⎫⎛⎫+-∈ ⎪ ⎪⎝⎭⎝⎭,即32,662πππα⎛⎫+∈ ⎪⎝⎭又因为7sin 20625πα⎛⎫+=-< ⎪⎝⎭,所以32,62ππαπ⎛⎫+∈ ⎪⎝⎭故cos 206πα⎛⎫+< ⎪⎝⎭所以24cos 2625πα⎛⎫+=- ⎪⎝⎭ 故选:B 【点睛】本题考查了同角三角函数关系式及诱导公式的化简应用,三角函数恒等变形及角的范围确定,综合性较强,属于中档题.14.直线y a =与函数()tan (0)4f x x πωω⎛⎫=+> ⎪⎝⎭的图象的相邻两个交点的距离为2π,若()f x 在()(),0m m m ->上是增函数,则m 的取值范围是( )A .(0,]4πB .(0,]2πC .3(0,]4π D .3(0,]2π 【答案】B 【解析】 【分析】根据直线y a =与函数()f x 的图象的相邻两个交点的距离为一个周期,得到12ω=,则()1tan 24f x x π⎛⎫=+ ⎪⎝⎭,然后求得其单调增区间,再根据()f x 在()(),0m m m ->上是增函数,由(,)m m -是增区间的子集求解. 【详解】因为直线y a =与函数()f x 的图象的相邻两个交点的距离为一个周期, 所以12ω=,()1tan 24f x x π⎛⎫=+ ⎪⎝⎭,由12242k x k πππππ-<+<+,得322()22k x k k ππππ-<<+∈Z ,所以()f x 在3,22ππ⎛⎫-⎪⎝⎭上是增函数, 由3(,),22m m ππ⎛⎫-⊆-⎪⎝⎭, 解得02m π<≤.故选:B 【点睛】本题主要考查正切函数的图象和性质,还考查了运算求解的能力,属于中档题15.已知2433sin 5cos 77ππαα⎛⎫⎛⎫+=-+ ⎪ ⎪⎝⎭⎝⎭,则tan 14πα⎛⎫-= ⎪⎝⎭( )A .53-B .35-C .35D .53【答案】B 【解析】 【分析】根据诱导公式计算得到35tan 73πα⎛⎫+= ⎪⎝⎭,故3tan tan 1472πππαα⎡⎤⎛⎫⎛⎫-=+- ⎪ ⎪⎢⎥⎝⎭⎝⎭⎣⎦,解得答案. 【详解】由诱导公式可知24333sin 3sin 33sin 777πππαπαα⎡⎤⎛⎫⎛⎫⎛⎫+=++=-+ ⎪ ⎪ ⎪⎢⎥⎝⎭⎝⎭⎝⎭⎣⎦, 又2433sin 5cos 77ππαα⎛⎫⎛⎫+=-+⎪ ⎪⎝⎭⎝⎭得333sin 5cos 77ππαα⎛⎫⎛⎫-+=-+ ⎪ ⎪⎝⎭⎝⎭, 所以35tan 73πα⎛⎫+= ⎪⎝⎭,313tan tan 314725tan 7πππααπα⎡⎤⎛⎫⎛⎫-=+-=-=- ⎪⎪⎢⎥⎛⎫⎝⎭⎝⎭⎣⎦+ ⎪⎝⎭. 故选:B . 【点睛】本题考查了三角恒等变换,意在考查学生的计算能力和转化能力.16.已知双曲线()222210,0x y a b a b-=>>的左右焦点分别为1F ,2F ,M 为双曲线上一点,若121cos 4F MF ∠=,122MF MF =,则此双曲线渐近线方程为( ) A.y = B.y x = C .y x =± D .2y x =±【答案】A 【解析】 【分析】因为M 为双曲线上一点,可得122MF MF a -=,在12F MF ∆使用余弦定理,结合已知条件即可求得答案. 【详解】Q 双曲线()222210,0x y a b a b-=>>的左右焦点分别为1F ,2F ,M 为双曲线上一点 ∴ 121222MF MF a MF MF ⎧-=⎪⎨=⎪⎩,解得:14MF a =,22MF a = 在12F MF ∆中,根据余弦定理可得:∴ 12121222122c 2os F F MF MF M MF MF F F ∠=+-⋅⋅可得:2221(2)(4)(2)2424c a a a a =+-⋅⋅⋅ 化简可得:2c a =由双曲线性质可得:22222243b c a a a a =-=-= 可得:b =Q 双曲线渐近线方程为:b y x a=±则双曲线渐近线方程为: y = 故选:A. 【点睛】本题考查了求双曲线渐近线方程问题,解题关键是掌握双曲线的基本知识,数形结合,考查分析能力和计算能力,属于中档题.17.在三角形ABC 中,给出命题:p “2ab c >”,命题:q “3C π<”,则p 是q 的( )A .充分不必要条件B .必要不充分条件C .充分必要条件D .既不充分也不必要条件【答案】A 【解析】 【分析】由余弦定理将2c 化为222cos a b ab C +-,整理后利用基本不等式求得12cos 2C +>,求出C 范围,即可判断充分性,取4a =,7b =,6c =,则可判断必要性不成立,两者结合可得正确的选项. 【详解】充分性:由余弦定理,2222cos c a b ab C =+-, 所以2ab c >,即222cos ab a b ab C >+-,整理得,2212cos a b C ab++>,由基本不等式,222a b ab ab+≥=,当且仅当a b =时等号成立, 此时,12cos 2C +>,即1cos 2C >,解得3C π<, 充分性得证;必要性:取4a =,7b =,6c =,则164936291cos 247562C +-==>⨯⨯,故3C π<,但228ab c =<,故3C π<推不出2ab c >.故必要性不成立; 故p 是q 的充分不必要条件. 故选:A 【点睛】本题主要考查充分必要条件的判断、余弦定理的应用和基本不等式的应用,考查学生分析转化能力,属于中档题.18.在ABC ∆中,角A ,B ,C 所对的边分别为,,,3,sin a b c a c b A ===cos ,6a B b π⎛⎫+= ⎪⎝⎭则( )A .1 BC D 【答案】C 【解析】 【分析】将sin b A = cos 6a B π⎛⎫+ ⎪⎝⎭结合正弦定理化简,求得B ,再由余弦定理即可求得b . 【详解】因为sin b A = cos 6a B π⎛⎫+⎪⎝⎭,展开得sin b A =1?cos sin 2B a B -,由正弦定理化简得sin sinB A =1?cos sin 22sinA B sinA B -= cos B即3tanB =,而三角形中0<B<π,所以π 6B =由余弦定理可得2222cos b a c ac B =+- ,代入(2223236b π=+-⨯⨯解得b =所以选C 【点睛】本题考查了三角函数式的化简,正弦定理与余弦定理的应用,属于基础题.19.已知函数()sin()f x x ωϕ=+(0>ω,2πω<)的最小正周期为π,且其图象向左平移3π个单位后,得到函数()cos g x x ω=的图象,则函数()f x 的图象( ) A .关于直线12x π=对称B .关于直线512x π=对称 C .关于点(,0)12π对称D .关于点5(,0)12π对称 【答案】C 【解析】试题分析:依题意()()2,sin 2f x x ωϕ==+,平移后为2sin 2cos 2,36x x ππϕϕ⎛⎫++==- ⎪⎝⎭,()sin 26f x x π⎛⎫=- ⎪⎝⎭,关于,012π⎛⎫⎪⎝⎭对称.考点:三角函数图象与性质.20.将函数sin(2)4y x π=-的图象向左平移4π个单位,所得图象对应的函数在区间(,)m m -上无极值点,则m 的最大值为( )A .8π B .4π C .38π D .2π 【答案】A 【解析】 【分析】由三角函数的图象变换,求得函数sin 24y x π⎛⎫=+⎪⎝⎭,求得增区间3,,88k k k Z ππππ⎡⎤-++∈⎢⎥⎣⎦,令0k =,可得函数的单调递增区间为3,88ππ⎡⎤-⎢⎥⎣⎦,进而根据函数sin 24y x π⎛⎫=+ ⎪⎝⎭在区间(),m m -上无极值点,即可求解. 【详解】由题意,将函数sin 24y x π⎛⎫=- ⎪⎝⎭的图象向左平移4π个单位, 可得函数sin 2sin 2444y x x πππ⎡⎤⎛⎫⎛⎫=+-=+ ⎪ ⎪⎢⎥⎝⎭⎝⎭⎣⎦, 令222,242k x k k Z πππππ-+≤+≤+∈,解得3,88k x k k Z ππππ-+≤≤+∈ 即函数sin 24y x π⎛⎫=+⎪⎝⎭的单调递增区间为3,,88k k k Z ππππ⎡⎤-++∈⎢⎥⎣⎦,令0k =,可得函数的单调递增区间为3,88ππ⎡⎤-⎢⎥⎣⎦, 又由函数sin 24y x π⎛⎫=+ ⎪⎝⎭在区间(),m m -上无极值点,则m 的最大值为8π,故选A. 【点睛】本题主要考查了三角函数的图象变换,以及三角函数的性质的应用,其中解答中熟练应用三角函数的图象变换得到函数的解析式,再根据三角函数的性质,求得其单调递增区间是解答的关键,着重考查了运算与求解能力,属于中档试题.。
数学《三角函数与解三角形》期末复习知识要点一、选择题1.已知πππsin()cos()0,322ααα++-=-<<则2πcos()3α+等于( )A B .35-C .45D .35【答案】C 【解析】 【分析】首先根据等式化简,得到4sin 65πα⎛⎫+=- ⎪⎝⎭,再利用诱导公式化简2cos 3πα⎛⎫+ ⎪⎝⎭求值. 【详解】解析:∵ππsin cos 32αα⎛⎫⎛⎫++-= ⎪ ⎪⎝⎭⎝⎭13sin sin sin 22225ααααα++=+=-65πα⎛⎫=+=-⎪⎝⎭ ∴π4sin 65()α+=-.又2ππππcos cos sin 32()())6(6ααα+=++=-+, ∴2π4co (s 35)α+=. 故选:C 【点睛】本题考查三角恒等变换,化简求值,重点考查转化与变形,计算能力,属于基础题型.2.函数()[]()cos 2,2f x x x ππ=∈-的图象与函数()sin g x x =的图象的交点横坐标的和为( ) A .53π B .2πC .76π D .π【答案】B 【解析】 【分析】根据两个函数相等,求出所有交点的横坐标,然后求和即可. 【详解】令sin cos2x x =,有2sin 12sin x x =-,所以sin 1x =-或1sin 2x =.又[],2x ππ∈-,所以2x π=-或32x π=或6x π=或56x π=,所以函数()[]()cos 2,2f x x x ππ=∈-的图象与函数()sin g x x =的图象交点的横坐标的和3522266s πππππ=-+++=,故选B. 【点睛】本题主要考查三角函数的图象及给值求角,侧重考查数学建模和数学运算的核心素养.3.已知函数()sin 26f x x π⎛⎫=-⎪⎝⎭,若方程()23f x =的解为12,x x (120x x π<<<),则()21sin x x -=( )A .23B .49C .3D .9【答案】C 【解析】 【分析】 由已知可得2123x x π=-,结合x 1<x 2求出x 1的范围,再由()121122236sin x x sin x cos x ππ⎛⎫⎛⎫-=-=-- ⎪ ⎪⎝⎭⎝⎭求解即可. 【详解】因为0<x π<,∴112666x πππ⎛⎫-∈- ⎪⎝⎭,, 又因为方程()23f x =的解为x 1,x 2(0<x 1<x 2<π), ∴1223x x π+=,∴2123x x π=-, ∴()121122236sin x x sin x cos x ππ⎛⎫⎛⎫-=-=-- ⎪ ⎪⎝⎭⎝⎭, 因为122123x x x x π=-<,,∴0<x 13π<,∴12662x πππ⎛⎫-∈- ⎪⎝⎭,,∴由()112263f x sin x π⎛⎫=-= ⎪⎝⎭,得126cos x π⎛⎫-= ⎪⎝⎭,∴()12sin x x -=,故()21sin x x -故选C . 【点睛】本题考查了三角函数的恒等变换及化简求值和三角函数的图象与性质,属中档题.4.设当x θ=时,函数()sin 2cos f x x x =-取得最大值,则cos θ=() A .5-B .25-C .25D .5 【答案】B 【解析】 【分析】由辅助角公式可确定()max 5f x =,从而得到sin 2cos 5θθ-=;利用同角三角函数平方关系可构造出方程组求得结果. 【详解】()()sin 2cos 5sin f x x x x ϕ=-=+Q ,其中tan 2ϕ=- ()max 5f x ∴=,即sin 2cos 5θθ-=又22sin cos 1θθ+= 25cos 5θ∴=- 【点睛】本题考查根据三角函数的最值求解三角函数值的问题,关键是能够确定三角函数的最值,从而得到关于所求三角函数值的方程,结合同角三角函数关系构造方程求得结果.5.已知函数()sin()R,0,0,||2f x A x x A πωϕωϕ⎛⎫=+∈>>< ⎪⎝⎭的图象(部分)如图所示,则ω,ϕ分别为( )A .,3πωπϕ==B .2,3πωπϕ==C .,6πωπϕ==D .2,6πωπϕ==【答案】C 【解析】 【分析】由最大值可确定振幅A ,由周期确定ω,由1()23f =确定ϕ. 【详解】 由图可得,2A =,5114632T =-=,所以22T πω==,ωπ=,又1()23f =,所以12sin()23πϕ⨯+=,2,32k k Z ππϕπ+=+∈,即2,6k k Z πϕπ=+∈, 又2πϕ<,故6π=ϕ. 故选:C 【点睛】本题考查由图象确定正弦型函数解析式中的参数问题,考查学生逻辑推理能力,是一道中档题.6.在ABC ∆中,角A 、B 、C 所对的边分别为a 、b 、c ,且222b c a bc +=+若2sin sin sin B C A ⋅=,则ABC ∆的形状是()A .等腰三角形B .直角三角形C .等边三角形D .等腰直角三角形【答案】C 【解析】 【分析】直接利用余弦定理的应用求出A 的值,进一步利用正弦定理得到:b =c ,最后判断出三角形的形状. 【详解】在△ABC 中,角A 、B 、C 所对的边分别为a 、b 、c , 且b 2+c 2=a 2+bc .则:2221222b c a bc cosA bc bc +-===,由于:0<A <π,故:A 3π=.由于:sin B sin C =sin 2A , 利用正弦定理得:bc =a 2, 所以:b 2+c 2﹣2bc =0, 故:b =c ,所以:△ABC 为等边三角形. 故选C . 【点睛】本题考查了正弦定理和余弦定理及三角形面积公式的应用,主要考查学生的运算能力和转化能力,属于基础题型.7.设函数())cos(2)f x x x ϕϕ=+++(||)2πϕ<,且其图像关于直线0x =对称,则( )A .()y f x =的最小正周期为π,且在(0,)2π上为增函数B .()y f x =的最小正周期为2π,且在(0,)4π上为增函数 C .()y f x =的最小正周期为π,且在(0,)2π上为减函数D .()y f x =的最小正周期为2π,且在(0,)4π上为减函数【答案】C 【解析】试题分析:())cos(2)f x x x ϕϕ=+++2sin(2)6x πϕ=++,∵函数图像关于直线0x =对称,∴函数()f x 为偶函数,∴3πϕ=,∴()2cos 2f x x =,∴22T ππ==, ∵02x π<<,∴02x π<<,∴函数()f x 在(0,)2π上为减函数.考点:1.三角函数式的化简;2.三角函数的奇偶性;3.三角函数的周期;4.三角函数的单调性.8.在∆ABC 中,内角A ,B ,C 所对的边分别为a ,b ,c .则“sin >sin A B ”是“a b >”的( )A .充分而不必要条件B .必要而不充分条件C .充要条件D .既不充分也不必要条件【答案】C 【解析】由正弦定理得sin sin 22a b A B a b R R>⇔>⇔> ,所以“sin sin A B >”是“a b >”的充要条件,选C.9.已知函数()sin (0)f x x x ωωω=+>的图象关于直线8x π=对称,则ω的最小值为( ) A .13B .23C .43D .83【答案】C【解析】 【分析】利用辅助角公式将函数()y f x =的解析式化简为()2sin 3f x x πω⎛⎫=+⎪⎝⎭,根据题意得出()832k k Z πππωπ+=+∈,可得出关于ω的表达式,即可求出正数ω的最小值.【详解】()sin 2sin 3f x x x x πωωω⎛⎫=+=+ ⎪⎝⎭Q ,由于该函数的图象关于直线8x π=对称,则()832k k Z πππωπ+=+∈,得()483k k Z ω=+∈, 0ω>Q ,当0k =时,ω取得最小值43.故选:C. 【点睛】本题考查利用正弦型函数的对称性求参数,解题时要将三角函数的解析式利用三角恒等变换思想化简,并通过对称性列出参数的表达式求解,考查计算能力,属于中等题.10.函数()1sin cos 1sin cos 1tan 01sin cos 1sin cos 32x x x x f x x x x x x x π+-++⎛⎫=++<< ⎪+++-⎝⎭的最小值为( ) A.13+ BCD【答案】B 【解析】 【分析】利用二倍角公式化简函数()f x ,求导数,利用导数求函数的最小值即可. 【详解】22222sin 2sin cos 2cos 2sin cos1sin cos 1sin cos 2222221sin cos 1sin cos 2cos 2sin cos 2sin 2sin cos 222222x x x x x x x x x x x x x x x xx x x x +++-+++=++++-++ 2sin sin cos 2cos sin cos sin cos 222222222sin cos sin 2cos sin cos 2sin sin cos 22222222x x x x x x x xx x x x x x x x x ⎛⎫⎛⎫++ ⎪ ⎪⎝⎭⎝⎭=+=+=⎛⎫⎛⎫++ ⎪ ⎪⎝⎭⎝⎭,则()21tan 0sin 32f x x x x π⎛⎫=+<< ⎪⎝⎭, 32222221sin 2cos 16cos cos 1()sin 3cos sin 3cos 3sin cos x x x x f x x x x x x x '''--+⎛⎫⎛⎫=+=-+= ⎪ ⎪⎝⎭⎝⎭. 令()cos 0,1t x =∈,()3261g t t t =--+为减函数,且102g ⎛⎫=⎪⎝⎭, 所以当03x π<<时,()11,02t g t <<<,从而()'0f x <; 当32x ππ<<时,()10,02t g t <<>,从而()'0f x >.故()min 3f x f π⎛⎫== ⎪⎝⎭. 故选:A 【点睛】本题主要考查了三角函数的恒等变换,利用导数求函数的最小值,换元法,属于中档题.11.函数()2sin sin cos y x x x =+的最大值为( )A .1B 1CD .2【答案】A 【解析】由题意,得()22sin sin cos 2sin 2sin cos sin2cos21y x x x x x x x x =+=+=-+π2114x ⎛⎫=-+≤ ⎪⎝⎭;故选A.12.若函数()y f x =同时满足下列三个性质:①最小正周期为π;②图象关于直线3x π=对称;③在区间,63ππ⎡⎤-⎢⎥⎣⎦上单调递增,则()y f x =的解析式可以是( ) A .sin 26y x π⎛⎫=- ⎪⎝⎭B .sin 26x y π⎛⎫=-⎪⎝⎭ C .cos 26y x π⎛⎫=- ⎪⎝⎭D .cos 23y x π⎛⎫=+⎪⎝⎭【答案】A 【解析】 【分析】利用性质①可排除B ,利用性质②可排除C ,利用性质③可排除D ,通过验证选项A 同时满足三个性质.逐一验证,由函数()f x 的最小正周期为π,而B 中函数最小正周期为2412ππ=,故排除B ;又cos 2cos 0362πππ⎛⎫⨯-== ⎪⎝⎭,所以cos 26y x π⎛⎫=- ⎪⎝⎭的图象不关于直线3x π=对称,故排除C ; 若63x ππ-≤≤,则023x ππ≤+≤,故函数cos 23y x π⎛⎫=+ ⎪⎝⎭在,63ππ⎡⎤-⎢⎥⎣⎦上单调递减,故排除D ; 令2262x πππ-≤-≤,得63x ππ-≤≤,所以函数sin 26y x π⎛⎫=- ⎪⎝⎭在,63ππ⎡⎤-⎢⎥⎣⎦上单调递增.由周期公式可得22T ππ==,当3x π=时,sin(2)sin 1362πππ⨯-==, 所以函数sin 26y x π⎛⎫=- ⎪⎝⎭同时满足三个性质.故选A . 【点睛】本题考查了三角函数的周期性,对称性,单调性,属于中档题.13.若θ是第二象限角,则下列选项中能确定为正值的是( ) A .sin B .cosC .tanD .cos2θ【答案】C 【解析】 【分析】直接利用三角函数象限角的三角函数的符号判断即可. 【详解】由θ是第二象限角可得为第一或第三象限角,所以tan >0.故选C 【点睛】本题考查三角函数值的符号的判断,是基础题.14.已知1tan 4,tan θθ+=则2sin ()4πθ+=( )A .15 B .14C .12D .34【答案】D 【解析】根据同角三角函数的关系化简1tan 4tan θθ+=成关于正余弦的关系式,再利用降幂公式与诱导公式化简2sin ()4πθ+求解即可.【详解】由题, 1tan 4,tan θθ+=则22sin cos sin cos 444sin cos 1cos sin sin cos θθθθθθθθθθ++=⇒=⇒=, 故1sin 22θ=. 所以2sin ()4πθ+=1cos 222πθ⎛⎫-+ ⎪⎝⎭1sin 2324θ+==. 故选:D 【点睛】本题主要考查了三角函数的公式运用,在有正切函数时可考虑转化为正余弦的关系进行化简,属于基础题.15.在ABC V 中,角A ,B ,C 的对边分别为a ,b ,c ,若1b =,c =,且2sin()cos 12cos sin B C C A C +=-,则ABC V 的面积是( )AB .12CD .14或12【答案】C 【解析】 【分析】根据已知关系求出1sin 2B =,根据余弦定理求出边a ,根据面积公式即可得解. 【详解】因为2sin()cos 12cos sin B C C A C +=-,所以2sin cos 12cos sin A C A C =-, 所以2sin cos 2cos sin 1A C A C +=,所以2sin()1A C +=, 所以2sin 1B =,即1sin 2B =, 因为b c <,所以B C <,所以角B为锐角,所以cos B ==, 由余弦定理2222cos b a c ac B =+-得2132a a =+-⨯, 整理可得2320a a -+=,解得1a =或2a =.当1a =时,ABC V 的面积是111sin 12224S ac B ==⨯=;当2a =时,ABC V 的面积是111sin 2222S ac B ==⨯=. 故选:C. 【点睛】此题考查根据余弦定理解三角形,关键在于熟练掌握定理公式,结合边角关系解方程,根据面积公式求解.16.将函数()()sin 0,π2f x x ϕωϕω⎛⎫=+>< ⎪⎝⎭的图象向右平移6π个单位长度后,所得图象关于y 轴对称,且1π2f ω⎛⎫=- ⎪⎝⎭,则当ω取最小值时,函数()f x 的解析式为( )A .()sin 26f x x π⎛⎫=+ ⎪⎝⎭B .()sin 2π6f x x ⎛⎫=- ⎪⎝⎭C .()sin 4π6f x x ⎛⎫=+ ⎪⎝⎭D .()sin 4π6f x x ⎛⎫=- ⎪⎝⎭【答案】C 【解析】 【分析】由题意利用函数()sin y A x ωφ=+的图象变换规律,可得所得函数的解析式,由12f πω⎛⎫=- ⎪⎝⎭,求出φ,再根据所得图象关于y 轴对称求出ω,可得()f x 的解析式.【详解】解:将函数()()sin (0,)2f x x πωφωφ=+><的图象向右平移6π个单位长度后,可得sin 6y x ωπωφ⎛⎫=-+ ⎪⎝⎭的图象;∵所得图象关于y 轴对称,∴62k ωππφπ-+=+,k Z ∈.∵()1sin sin 2f ππφφω⎛⎫=-=+=- ⎪⎝⎭,即1sin 2φ=,26ππφφ<=,. ∴63k ωπππ-=+,620k ω=-->, 则当ω取最小值时,取1k =-,可得4ω=,∴函数()f x 的解析式为()sin 46f x x π⎛⎫=+ ⎪⎝⎭. 故选C .【点睛】本题主要考查函数()sin y A x ωφ=+的图象变换规律,正弦函数的性质,属于中档题.17.已知函数()sin()f x x ωϕ=+(0>ω,2πω<)的最小正周期为π,且其图象向左平移3π个单位后,得到函数()cos g x x ω=的图象,则函数()f x 的图象( ) A .关于直线12x π=对称B .关于直线512x π=对称 C .关于点(,0)12π对称D .关于点5(,0)12π对称 【答案】C 【解析】试题分析:依题意()()2,sin 2f x x ωϕ==+,平移后为2sin 2cos 2,36x x ππϕϕ⎛⎫++==- ⎪⎝⎭,()sin 26f x x π⎛⎫=- ⎪⎝⎭,关于,012π⎛⎫ ⎪⎝⎭对称.考点:三角函数图象与性质.18.已知函数())(0f x x ωϕω=+>,)22ππ-<ϕ<,1(3A ,0)为()f x 图象的对称中心,B ,C 是该图象上相邻的最高点和最低点,若4BC =,则()f x 的单调递增区间是()A .2(23k -,42)3k +,k Z ∈ B .2(23k ππ-,42)3k ππ+,k Z ∈C .2(43k -,44)3k +,k Z ∈ D .2(43k ππ-,44)3k ππ+,k Z ∈【答案】C 【解析】 【分析】由三角函数图像的性质可求得:2πω=,6πϕ=-,即()sin()26f x x ππ=-,再令222262k x k ππππππ--+剟,求出函数的单调增区间即可.【详解】解:函数())(0f x x ωϕω=+>,)22ππ-<ϕ<, 因为1(3A ,0)为()f x 图象的对称中心,B ,C 是该图象上相邻的最高点和最低点,又4BC =,∴222()42T +=,即221216πω+=,求得2πω=.再根据123k πϕπ+=g ,k Z ∈,可得6πϕ=-,()3sin()26f x x ππ∴=-,令222262k x k ππππππ--+剟,求得244433k x k -+剟, 故()f x 的单调递增区间为2(43k -,44)3k +,k Z ∈, 故选:C . 【点睛】本题考查了三角函数图像的性质及单调性,属中档题.19.已知向量m =r (1,cosθ),(sin ,2)n θ=-r ,且m r ⊥n r,则sin 2θ+6cos 2θ的值为( )A .12B .2C .D .﹣2【答案】B 【解析】 【分析】根据m r ⊥n r 可得tanθ,而sin 2θ+6cos 2θ22226sin cos cos sin cos θθθθθ+=+,分子分母同除以cos 2θ,代入tanθ可得答案. 【详解】因为向量m =r (1,cosθ),n =r(sinθ,﹣2),所以sin 2cos m n θθ⋅=-u r r因为m r ⊥n r ,所以sin 2cos 0θθ-=,即tanθ=2,所以sin 2θ+6cos 2θ22222626226141sin cos cos tan sin cos tan θθθθθθθ++⨯+====+++ 2.故选:B. 【点睛】本题主要考查平面向量的数量积与三角恒等变换,还考查运算求解的能力,属于中档题.20.设函数()()sin f x x x x R =∈,则下列结论中错误的是( ) A .()f x 的一个周期为2π B .()f x 的最大值为2 C .()f x 在区间2,63ππ⎛⎫⎪⎝⎭上单调递减 D .3f x π⎛⎫+⎪⎝⎭的一个零点为6x π=【答案】D 【解析】【分析】先利用两角和的正弦公式化简函数()f x ,再由奇偶性的定义判断A ;由三角函数的有界性判断B ;利用正弦函数的单调性判断C ;将6x π=代入3f x π⎛⎫+ ⎪⎝⎭判断D . 【详解】()sin f x x x = 23sin x π⎛⎫=+ ⎪⎝⎭,()f x 周期22,1T A ππ==正确; ()f x 的最大值为2,B 正确,25,,,63326x x πππππ⎛⎫⎛⎫∈∴+∈ ⎪⎪⎝⎭⎝⎭Q , ()f x ∴在2,63ππ⎛⎫⎪⎝⎭上递减,C 正确;6x π=时,1032f x f ππ⎛⎫⎛⎫+==≠ ⎪ ⎪⎝⎭⎝⎭, 6x π=不是3f x π⎛⎫+⎪⎝⎭的零点,D 不正确. 故选D. 【点睛】本题通过对多个命题真假的判断,综合考查两角和的正弦公式以及三角函数的单调性、三角函数的周期性、三角函数的最值与零点,意在考查对基础知识掌握的熟练程度,属于中档题.。
新高中数学《三角函数与解三角形》专题解析一、选择题1.已知ABC V 的内角,,A B C 的对边分别为,,a b c ,且cos cos a B b A +=,1a =,b =c =( )A B .1CD 【答案】B 【解析】 【分析】先由正弦定理将cos cos 2cos a B b A C+=中的边转化为角,可得sin()A B +=可求出角6C π=,再利用余弦定理可求得结果.【详解】解:因为cos cos a B b A +=,所以正弦定理得,sin cos sin cos 2cos CA B B A C+=所以sin()A B +=sin C =因为sin 0C ≠,所以cos C =, 又因为(0,)C π∈,所以6C π=,因为1a =,b =所以由余弦定理得,2222cos 13211c a b ab C =+-=+-⨯=, 所以1c = 故选:B 【点睛】此题考查的是利用正、余弦定理解三角形,属于中档题.2.在ABC ∆中,角,,A B C 的对边分别为,,a b c ,且ABC ∆的面积S C =,且1,a b ==c =( )A BC D 【答案】B【解析】由题意得,三角形的面积1sin 2S ab C C ==,所以tan 2C =,所以cos C =,由余弦定理得2222cos 17c a b ab C =+-=,所以c =,故选B.3.若函数()sin 2f x x =向右平移6π个单位后,得到()y g x =,则关于()y g x =的说法正确的是( )A .图象关于点,06π⎛⎫- ⎪⎝⎭中心对称B .图象关于6x π=-轴对称C .在区间5,126ππ⎡⎤--⎢⎥⎣⎦单调递增 D .在5,1212ππ⎡⎤-⎢⎥⎣⎦单调递增 【答案】D 【解析】 【分析】利用左加右减的平移原则,求得()g x 的函数解析式,再根据选项,对函数性质进行逐一判断即可. 【详解】函数()sin 2f x x =向右平移6π个单位,得()sin 2()sin(2)63g x x x ππ=-=-. 由23x π-=k π,得26k x ππ=+()k ∈Z ,所以,06π⎛⎫- ⎪⎝⎭不是()g x 的对称中心,故A 错; 由23x π-=2k ππ+, 得212k x π5π=+()k ∈Z ,所以()g x 的图象不关于6x π=-轴对称,故B 错; 由222232k x k πππππ-≤-≤+,得1212k x k π5ππ-≤≤π+()k ∈Z , 所以在区间5,126ππ⎡⎤--⎢⎥⎣⎦上()g x 不单调递增,在5,1212ππ⎡⎤-⎢⎥⎣⎦上单调递增, 故C 错,D 对; 故选:D . 【点睛】解答三角函数问题时一般需将解析式化简为sin()y A x B ωϕ=++或cos()y A x B ωϕ=++,从而可利用正(余)弦型周期计算公式2||T πω=周期,对正弦型函数,其函数图象的对称中心为,k B πϕω-⎛⎫⎪⎝⎭,且对称中心在函数图象上,而对称轴必经过图象的最高点或最低点,此时函数取得最大值或最小值.4.已知函数()()03f x x πωω⎛⎫=-> ⎪⎝⎭的最小正周期为π,若()()122f x f x ⋅=-,则12x x -的最小值为( )A .2π B .3π C .πD .4π【答案】A 【解析】 【分析】由正弦型函数的最小正周期可求得ω,得到函数解析式,从而确定函数的最大值和最小值;根据()()122f x f x ⋅=-可知1x x =和2x x =必须为最大值点和最小值点才能够满足等式;利用整体对应的方式可构造方程组求得()12122x x k k ππ-=-+,12,k k Z ∈;从而可知120k k -=时取最小值. 【详解】由()f x 最小正周期为π可得:2ππω= 2ω∴= ()23f x x π⎛⎫∴=- ⎪⎝⎭()max f x ∴,()min f x =()()122f x f x ⋅=-Q 1x x ∴=和2x x =分别为()f x 的最大值点和最小值点设1x x =为最大值点,2x x =为最小值点()1112222232,2232x k k k Z x k ππππππ⎧-=+⎪⎪∴∈⎨⎪-=-⎪⎩()12122x x k k ππ∴-=-+,当120k k -=时,12min2x x π-=本题正确选项:A 【点睛】本题考查正弦型函数性质的综合应用,涉及到正弦型函数最小正周期和函数值域的求解;关键是能够根据函数的最值确定1x 和2x 为最值点,从而利用整体对应的方式求得结果.5.函数sin 26y x π⎛⎫=+⎪⎝⎭的图象可由函数2cos 2y x x =-的图象( )A .向右平移3π个单位,再将所得图象上所有点的纵坐标伸长到原来的2倍,横坐标不变得到 B .向右平移6π个单位,再将所得图象上所有点的纵坐标伸长到原来的2倍,横坐标不变得到 C .向左平移3π个单位,再将所得图象上所有点的纵坐标缩短到原来的12,横坐标不变得到 D .向左平移6π个单位,再将所得图象上所有点的纵坐标缩短到原来的12,横坐标不变得到 【答案】D 【解析】 【分析】合并cos2y x x =-得:2sin 26y x π⎛⎫=- ⎪⎝⎭,利用平移、伸缩知识即可判断选项。
高中数学《三角函数与解三角形》知识点归纳一、选择题1.已知函数()()sin 3cos 0x f x x ωωω=->,若集合()(){}0,1x f x π∈=-含有4个元素,则实数ω的取值范围是( ) A .35,22⎡⎫⎪⎢⎣⎭B .35,22⎛⎤⎥⎝⎦C .725,26⎡⎫⎪⎢⎣⎭D .725,26⎛⎤⎥⎝⎦【答案】D 【解析】 【分析】化简f (x )的解析式,作出f (x )的函数图象,利用三角函数的性质求出直线y=﹣1与y=f (x )在(0,+∞)上的交点坐标,则π介于第4和第5个交点横坐标之间. 【详解】 f (x )=2sin (ωx ﹣3π), 作出f (x )的函数图象如图所示:令2sin (ωx ﹣3π)=﹣1得ωx ﹣3π=﹣6π+2kπ,或ωx ﹣3π=76π+2kπ, ∴x=6πω+2k πω,或x=32πω+2k πω,k ∈Z , 设直线y=﹣1与y=f (x )在(0,+∞)上从左到右的第4个交点为A ,第5个交点为B , 则x A =322ππωω+,x B =46ππωω+, ∵方程f (x )=﹣1在(0,π)上有且只有四个实数根, ∴x A <π≤x B ,即322ππωω+<π≤46ππωω+,解得72526ω≤<. 故选B .【点睛】本题考查了三角函数的恒等变换,三角函数的图象与性质,属于中档题.2.要得到函数y =sin (2x +9π)的图象,只需将函数y =cos (2x ﹣9π)的图象上所有点( ) A .向左平移518π个单位长度 B .向右平移518π个单位长度 C .向左平移536π个单位长度 D .向右平移536π个单位长度 【答案】D 【解析】 【分析】先将函数cos 29y x π⎛⎫=- ⎪⎝⎭转化为7sin 218y x π⎛⎫=+⎪⎝⎭,再结合两函数解析式进行对比,得出结论. 【详解】 函数75cos 2sin 2sin 2sin 299218369y x x x x ππππππ⎡⎤⎛⎫⎛⎫⎛⎫⎛⎫=-=-+=+=++ ⎪ ⎪ ⎪ ⎪⎢⎥⎝⎭⎝⎭⎝⎭⎝⎭⎣⎦ ∴要得到函数sin 29y x π⎛⎫=+ ⎪⎝⎭的图象,只需将函数cos 29y x π⎛⎫=- ⎪⎝⎭的图象上所有点向右平移536π个单位长度,故选D . 【点睛】本题考查函数()sin y A x b ωϕ=++的图象变化规律,关键在于能利用诱导公式将异名函数化为同名函数,再根据左右平移规律得出结论.3.已知ABC V 的三条边的边长分别为2米、3米、4米,将三边都增加x 米后,仍组成一个钝角三角形,则x 的取值范围是( ) A .102x << B .112x << C .12x << D .01x <<【答案】D 【解析】 【分析】根据余弦定理和三角形三边关系可求得x 的取值范围. 【详解】将ABC V 的三条边的边长均增加x 米形成A B C '''V ,设A B C '''V 的最大角为A '∠,则A '∠所对的边的长为()4x +米,且A '∠为钝角,则cos 0A '∠<,所以()()()()()2222342340x x x x x x x ⎧+++<+⎪+++>+⎨⎪>⎩,解得01x <<.故选:D. 【点睛】本题考查利用余弦定理和三角形三边关系求参数的取值范围,灵活利用余弦定理是解本题的关键,考查计算能力,属于中等题.4.在△ABC 中,角A ,B ,C 的对边分别为a ,b ,c ,若(a ﹣c cos B )sin A =c cos A sin B ,则△ABC 的形状一定是( ) A .钝角三角形 B .直角三角形 C .等腰三角形 D .锐角三角形【答案】C 【解析】 【分析】根据题意,由(cos )sin cos sin a c B A c A B -=变形可得sin sin a A c C =,进而由正弦定理可得22a c =,即a c =,即可得答案. 【详解】根据题意,在ABC ∆中,(cos )sin cos sin a c B A c A B -=, 变形可得:sin cos sin cos sin (cos sin cos sin )sin()sin a A c B A c A B c B A A B c A B c C =+=+=+=,即有sin sin a A c C =,又由正弦定理可得22a c =,即a c =. 故选:C . 【点睛】本题主要考查三角形的形状判断,考查正弦定理的应用,意在考查学生对这些知识点的理解掌握水平,属于基础题.5.已知在锐角ABC ∆中,角A ,B ,C 的对边分别为a ,b ,c ,若2cos cos b C c B =,则111tan tan tan A B C++的最小值为( ) ABCD.【答案】A 【解析】 【分析】先根据已知条件,把边化成角得到B,C 关系式,结合均值定理可求. 【详解】∵2cos cos b C c B =,∴2sin cos sinCcos B C B =, ∴tan 2tan C B =.又A B C π++=, ∴()()tan tan tan A B C B C π=-+=-+⎡⎤⎣⎦22tan tan 3tan 3tan 1tan tan 12tan 2tan 1B C B BB C B B +=-=-=---, ∴21112tan 111tan tan tan 3tan tan 2tan B A B C B B B -++=++27tan 36tan B B =+. 又∵在锐角ABC ∆中, tan 0B >,∴27tan 36tan B B +≥=,当且仅当tan 2B =时取等号,∴min111tan tan tan 3A B C ⎛⎫++=⎪⎝⎭,故选A. 【点睛】本题主要考查正弦定理和均值定理,解三角形时边角互化是求解的主要策略,侧重考查数学运算的核心素养.6.已知函数sin(),0()cos(),0x a x f x x b x +≤⎧=⎨+>⎩的图像关于y 轴对称,则sin y x =的图像向左平移( )个单位,可以得到cos()y x a b =++的图像( ). A .4π B .3π C .2π D .π【答案】D 【解析】 【分析】根据条件确定,a b 关系,再化简()cos y x a b =++,最后根据诱导公式确定选项. 【详解】 因为函数()()(),0,0sin x a x f x cos x b x ⎧+≤⎪=⎨+>⎪⎩的图像关于y 轴对称,所以sin cos 22a b ππ⎛⎫⎛⎫-+=+ ⎪ ⎪⎝⎭⎝⎭,()()sin cos a b ππ-+=+,即sin cos sin cos b a a b ,==,因此π2π()2a b k k Z +=+∈, 从而()()cos sin y x a b sinx x π=++=-=+,选D. 【点睛】本题考查偶函数性质、诱导公式、三角函数图象变换,考查基本分析识别能力,属中档题.7.已知函数()sin()R,0,0,||2f x A x x A πωϕωϕ⎛⎫=+∈>>< ⎪⎝⎭的图象(部分)如图所示,则ω,ϕ分别为( )A .,3πωπϕ==B .2,3πωπϕ==C .,6πωπϕ==D .2,6πωπϕ==【答案】C 【解析】 【分析】由最大值可确定振幅A ,由周期确定ω,由1()23f =确定ϕ. 【详解】 由图可得,2A =,5114632T =-=,所以22T πω==,ωπ=,又1()23f =,所以12sin()23πϕ⨯+=,2,32k k Z ππϕπ+=+∈,即2,6k k Z πϕπ=+∈, 又2πϕ<,故6π=ϕ. 故选:C 【点睛】本题考查由图象确定正弦型函数解析式中的参数问题,考查学生逻辑推理能力,是一道中档题.8.锐角ABC ∆中,角A 、B 、C 所对的边分别为,,a b c ,若()sin 303A B C π⎛⎫+++= ⎪⎝⎭,2b =26c +=,则角B =( )A .6π B .4π C .3π D .512π 【答案】B 【解析】 【分析】先由()sin 03A B C π⎛⎫+++= ⎪⎝⎭求出3A π=,然后用余弦定理算出a =再用余弦定理算出cos B 即可. 【详解】因为()sin 03A B C π⎛⎫+++= ⎪⎝⎭所以11sin sin 022A A A A A +==所以tan A =0,2A π⎛⎫∈ ⎪⎝⎭,所以3A π=所以由余弦定理得:22222co 12322s a b c bc A -=+-=+=⎝⎭所以a =所以222232cos 22a c b B ac +-+-===因为0,2B π⎛⎫∈ ⎪⎝⎭,所以4B π=故选:B 【点睛】本题考查的是利用余弦定理解三角形,数据不特殊,计算能力是解题的关键.9.将函数()()sin 0,π2f x x ϕωϕω⎛⎫=+>< ⎪⎝⎭的图象向右平移6π个单位长度后,所得图象关于y 轴对称,且1π2f ω⎛⎫=- ⎪⎝⎭,则当ω取最小值时,函数()f x 的解析式为( )A .()sin 26f x x π⎛⎫=+⎪⎝⎭B .()sin 2π6f x x ⎛⎫=- ⎪⎝⎭C .()sin 4π6f x x ⎛⎫=+ ⎪⎝⎭D .()sin 4π6f x x ⎛⎫=- ⎪⎝⎭【答案】C 【解析】 【分析】由题意利用函数()sin y A x ωφ=+的图象变换规律,可得所得函数的解析式,由12f πω⎛⎫=- ⎪⎝⎭,求出φ,再根据所得图象关于y 轴对称求出ω,可得()f x 的解析式.【详解】解:将函数()()sin (0,)2f x x πωφωφ=+><的图象向右平移6π个单位长度后,可得sin 6y x ωπωφ⎛⎫=-+ ⎪⎝⎭的图象;∵所得图象关于y 轴对称,∴62k ωππφπ-+=+,k Z ∈.∵()1sin sin 2f ππφφω⎛⎫=-=+=- ⎪⎝⎭,即1sin 2φ=,26ππφφ<=,. ∴63k ωπππ-=+,620k ω=-->,则当ω取最小值时,取1k =-,可得4ω=, ∴函数()f x 的解析式为()sin 46f x x π⎛⎫=+ ⎪⎝⎭. 故选C . 【点睛】本题主要考查函数()sin y A x ωφ=+的图象变换规律,正弦函数的性质,属于中档题.10.在三角形ABC 中,给出命题:p “2ab c >”,命题:q “3C π<”,则p 是q 的( )A .充分不必要条件B .必要不充分条件C .充分必要条件D .既不充分也不必要条件【答案】A 【解析】 【分析】由余弦定理将2c 化为222cos a b ab C +-,整理后利用基本不等式求得12cos 2C +>,求出C 范围,即可判断充分性,取4a =,7b =,6c =,则可判断必要性不成立,两者结合可得正确的选项. 【详解】充分性:由余弦定理,2222cos c a b ab C =+-, 所以2ab c >,即222cos ab a b ab C >+-,整理得,2212cos a b C ab++>,由基本不等式,222a b ab ab+≥=,当且仅当a b =时等号成立, 此时,12cos 2C +>,即1cos 2C >,解得3C π<, 充分性得证;必要性:取4a =,7b =,6c =,则164936291cos 247562C +-==>⨯⨯,故3C π<,但228ab c =<,故3C π<推不出2ab c >.故必要性不成立; 故p 是q 的充分不必要条件. 故选:A 【点睛】本题主要考查充分必要条件的判断、余弦定理的应用和基本不等式的应用,考查学生分析转化能力,属于中档题.11.在ABC ∆中,060,A BC D ∠==是边AB 上的一点,CD CBD =∆的面积为1,则BD 的长为( ) A .32B .4C .2D .1【答案】C 【解析】1sin 1sin2BCD BCD ∠=∴∠=2242BD BD ∴=-=∴=,选C12.若函数()sin()f x A x ωϕ=+(其中0A >,||)2πϕ<图象的一个对称中心为(3π,0),其相邻一条对称轴方程为712x π=,该对称轴处所对应的函数值为1-,为了得到()cos2g x x =的图象,则只要将()f x 的图象( )A .向右平移6π个单位长度 B .向左平移12π个单位长度C .向左平移6π个单位长度 D .向右平移12π个单位长度【答案】B 【解析】 【分析】由函数的图象的顶点坐标求出A ,由周期求出ω,由五点法作图求出ϕ的值,可得()f x 的解析式,再根据函数()sin y A x ωϕ=+的图象变换规律,诱导公式,得出结论. 【详解】根据已知函数()()sin f x A x ωϕ=+(其中0A >,)2πϕ<的图象过点,03π⎛⎫ ⎪⎝⎭,7,112π⎛⎫-⎪⎝⎭, 可得1A =,1274123πππω⋅=-, 解得:2ω=. 再根据五点法作图可得23πϕπ⋅+=,可得:3πϕ=,可得函数解析式为:()sin 2.3f x x π⎛⎫=+⎪⎝⎭故把()sin 23f x x π⎛⎫=+ ⎪⎝⎭的图象向左平移12π个单位长度, 可得sin 2cos236y x x ππ⎛⎫=++= ⎪⎝⎭的图象, 故选B . 【点睛】本题主要考查由函数()sin y A x ωϕ=+的部分图象求解析式,由函数的图象的顶点坐标求出A ,由周期求出ω,由五点法作图求出ϕ的值,函数()sin y A x ωϕ=+的图象变换规律,诱导公式的应用,属于中档题.13.若,2παπ⎛⎫∈ ⎪⎝⎭,2cos2sin 4παα⎛⎫=- ⎪⎝⎭,则sin 2α的值为( )A .78-B .78C .18-D .18【答案】A 【解析】 【分析】利用二倍角公式及两角差的正弦公式化简得到cos sin 4αα+=,再将两边平方利用二倍角正弦公式计算可得; 【详解】解:因为2cos2sin 4παα⎛⎫=-⎪⎝⎭所以()222cos sin sincos cossin 44ππαααα-=-所以()())2cos sin cos sin cos sin αααααα-+=- ,cos sin 02παπαα⎛⎫∈-≠ ⎪⎝⎭Q ,所以cos sin 4αα+=所以()21cos sin 8αα+=,即221cos 2cos sin sin 8αααα++=,11sin 28α+= 所以7sin 28α=- 故选:A 【点睛】本题考查两角和差的正弦公式、二倍角公式的应用,属于中档题;14.已知sin α,sin()10αβ-=-,,αβ均为锐角,则β=( ) A .512πB .3π C .4π D .6π 【答案】C 【解析】 【分析】 由题意,可得22ππαβ-<-<,利用三角函数的基本关系式,分别求得cos ,cos()ααβ-的值,利用sin[(]sin )ααββ=--,化简运算,即可求解.【详解】由题意,可得α,β均为锐角,∴-2π <α-β<2π.又sin(α-β),∴cos(α-β).又sin α=5,∴cos α=5, ∴sin β=sin[α-(α-β)]=sin αcos(α-β)-cos αsin(α-β)=-×10⎛⎫- ⎪ ⎪⎝⎭.∴β=4π. 【点睛】本题主要考查了三角函数的化简、求值问题,其中熟记三角函数的基本关系式和三角恒等变换的公式,合理构造sin[(]sin )ααββ=--,及化简与运算是解答的关键,着重考查了推理与运算能力,属于基础题.15.在OAB ∆中,已知OB =u u u v 1AB u u u v=,45AOB ∠=︒,点P 满足(),OP OA OB λμλμ=+∈R u u u v u u u v u u u v ,其中λ,μ满足23λμ+=,则OP u u u v的最小值为( )ABCD【答案】A 【解析】 【分析】根据OB =u u u r,1AB =uu u r ,45AOB ∠=︒,由正弦定理可得OAB ∆为等腰直角三角形,进而求得点A 坐标.结合平面向量的数乘运算与坐标加法运算,用λ,μ表示出OP u u u r.再由23λμ+=,将OP u u u r 化为关于λ的二次表达式,由二次函数性质即可求得OP u u u r的最小值.【详解】在OAB ∆中,已知OB =u u u r,1AB =uu u r ,45AOB ∠=︒由正弦定理可得sin sin AB OBAOB OAB=∠∠u u u r u u u rsin OAB =∠,解得sin 1OAB ∠=即2OAB π∠=所以OAB ∆为等腰直角三角形以O 为原点,OB 所在直线为x 轴,以OB 的垂线为y 轴建立平面直角坐标系如下图所示:则点A 坐标为22,22⎛ ⎝⎭所以2222OA ⎛= ⎝⎭u u u r ,)2,0OB =u u ur因为(),OP OA OB λμλμ=+∈R u u u r u u u r u u u r则)222,022OP λμ⎛ =+ ⎝⎭u u u r 222,22λμλ⎛⎫⎪ ⎪⎝⎭= 则2222222OP λμλ⎛⎫=++⎛⎫⎪ ⎪ ⎪ ⎪⎝⎭⎝⎭u u u r 2222λλμμ=++因为23λμ+=,则32μλ=- 代入上式可得()()22322232λλλλ+-+-218518λλ-=+299555λ⎛⎫=-+ ⎪⎝⎭所以当95λ=时, min 9355OP ==u u u r 故选:A 【点睛】本题考查了平面向量基本定理的应用,正弦定理判断三角形形状,平面向量的坐标运算,属于中档题.16.我国古代数学家秦九韶在《数书九章》中记述了“三斜求积术”,用现代式子表示即为:在ABC ∆中,角,,A B C 所对的边分别为,,a b c ,则ABC ∆的面积S =根据此公式,若()cos 3cos 0a B b c A ++=,且2222a b c --=,则ABC ∆的面积为( )AB.CD.【答案】A 【解析】 【分析】根据()cos 3cos 0a B b c A ++=,利用正弦定理边化为角得sin cos cos sin 3sin cos 0A B A B C A ++=,整理为()sin 13cos 0C A +=,根据sin 0C ≠,得1cos 3A =-,再由余弦定理得3bc =,又2222a b c --=,代入公式=S . 【详解】由()cos 3cos 0a B b c A ++=得sin cos cos sin 3sin cos 0A B A B C A ++=, 即()sin 3sin cos 0A B C A ++=,即()sin 13cos 0C A +=, 因为sin 0C ≠,所以1cos 3A =-, 由余弦定理22222cos 23a b c bc A bc --=-==,所以3bc =, 由ABC ∆的面积公式得S ===故选:A 【点睛】本题主要考查正弦定理和余弦定理以及类比推理,还考查了运算求解的能力,属于中档题.17.将函数cos y x =的图象先左移4π,再纵坐标不变,横坐标缩为原来的12,所得图象的解析式为( ) A .sin 24y x π⎛⎫=+⎪⎝⎭B .13sin 24y x π⎛⎫=+⎪⎝⎭C .1sin 24y x π⎛⎫=+ ⎪⎝⎭D .3sin 24y x π⎛⎫=+ ⎪⎝⎭ 【答案】D【分析】根据三角函数的平移伸缩变换法则得到答案. 【详解】cos sin 2y x x π⎛⎫==+ ⎪⎝⎭向左平移4π个单位,故变为3sin 4y x π⎛⎫=+ ⎪⎝⎭,纵坐标不变,横坐标缩为原来的12,变为3sin 24y x π⎛⎫=+ ⎪⎝⎭. 故选:D . 【点睛】本题考查了三角函数的平移伸缩变换,意在考查学生对于平移伸缩变换的理解和掌握.18.函数()22sin 3cos 2f x x x =+-,2,36x ππ⎡⎤∈-⎢⎥⎣⎦的值域为( ) A .40,3⎡⎤⎢⎥⎣⎦B .41,3⎡⎤⎢⎥⎣⎦C .51,4⎡⎤⎢⎥⎣⎦D .50,4⎡⎤⎢⎥⎣⎦【答案】A 【解析】 【分析】化简得到()23sin 2sin 1f x x x =-++,设sin t x =,利用二次函数性质得到答案. 【详解】根据22sin cos 1x x +=,得()23sin 2sin 1f x x x =-++,2,36x ππ⎡⎤∈-⎢⎥⎣⎦, 令sin t x =,由2,36x ππ⎡⎤∈-⎢⎥⎣⎦,得1sin 1,2x ⎡⎤∈-⎢⎥⎣⎦, 故[]0,1t ∈,有2321y t t =-++,[]0,1t ∈,二次函数对称轴为13t =, 当13t =时,最大值43y =;当1t =时,最小值0y =, 综上,函数()f x 的值域为40,3⎡⎤⎢⎥⎣⎦. 故选:A . 【点睛】本题考查了三角函数值域,换元可以简化运算,是解题的关键.19.在ABC ∆中,角A 、B 、C 所对的边分别为a 、b 、c ,且222b c a bc +=+若2sin sin sin B C A ⋅=,则ABC ∆的形状是()A .等腰三角形B .直角三角形C .等边三角形D .等腰直角三角形【解析】 【分析】直接利用余弦定理的应用求出A 的值,进一步利用正弦定理得到:b =c ,最后判断出三角形的形状. 【详解】在△ABC 中,角A 、B 、C 所对的边分别为a 、b 、c , 且b 2+c 2=a 2+bc .则:2221222b c a bc cosA bc bc +-===,由于:0<A <π,故:A 3π=.由于:sin B sin C =sin 2A , 利用正弦定理得:bc =a 2, 所以:b 2+c 2﹣2bc =0, 故:b =c ,所以:△ABC 为等边三角形. 故选C . 【点睛】本题考查了正弦定理和余弦定理及三角形面积公式的应用,主要考查学生的运算能力和转化能力,属于基础题型.20.已知曲线1:sin C y x =,21:cos 23C y x π⎛⎫=- ⎪⎝⎭,则下面结论正确的是( )A .把1C 上各点的横坐标缩短到原来的12倍,纵坐标不变,再把得到的曲线向右平移3π个单位长度,得到曲线2CB .把1C 上各点的横坐标伸长到原来的2倍,纵坐标不变,再把得到的曲线向右平移3π个单位长度,得到曲线2CC .把1C 上各点的横坐标缩短到原来的12倍,纵坐标不变,再把得到的曲线向左平移3π个单位长度,得到曲线2CD .把1C 上各点的横坐标伸长到原来的2倍,纵坐标不变,再把得到的曲线向左平移3π个单位长度,得到曲线2C 【答案】D【分析】根据三角函数的周期变换和左右平移变换依次得到各选项中所得的函数解析式,从而得到正确选项. 【详解】A 中,将sin y x =横坐标缩短到原来的12倍得:sin 2y x =;向右平移3π个单位长度后得:2sin 2sin 2sin 2cos 233266y x x x x πππππ⎛⎫⎛⎫⎛⎫⎛⎫=-=-=--=-- ⎪⎪ ⎪ ⎪⎝⎭⎝⎭⎝⎭⎝⎭,A 错误;B 中,将sin y x =横坐标伸长到原来的2倍得:1sin2y x =;向右平移3π个单位长度后得:11121sin sin cos cos 232622632y x x x x πππππ⎡⎤⎛⎫⎛⎫⎛⎫⎛⎫=-=-=--=- ⎪ ⎪ ⎪ ⎪⎢⎥⎝⎭⎝⎭⎝⎭⎝⎭⎣⎦,B 错误;C 中,将sin y x =横坐标缩短到原来的12倍得:sin 2y x =;向左平移3π个单位长度后得:2sin 2sin 2sin 2cos 233266y x x x x πππππ⎛⎫⎛⎫⎛⎫⎛⎫=+=+=++=+ ⎪⎪ ⎪ ⎪⎝⎭⎝⎭⎝⎭⎝⎭,C 错误;D 中,将sin y x =横坐标伸长到原来的2倍得:1sin2y x =;向左平移3π个单位长度后得:1111sin sin cos cos 232622623y x x x x πππππ⎡⎤⎛⎫⎛⎫⎛⎫⎛⎫=+=+=-+=- ⎪ ⎪ ⎪ ⎪⎢⎥⎝⎭⎝⎭⎝⎭⎝⎭⎣⎦,D 正确. 故选:D 【点睛】本题考查三角函数的周期变换和平移变换的问题,关键是能够准确掌握变换原则,得到变换后的函数解析式.。
【高中数学】数学高考《三角函数与解三角形》复习资料(1)一、选择题1.若函数()sin()f x A x ωϕ=+(其中0A >,||)2πϕ<图象的一个对称中心为(3π,0),其相邻一条对称轴方程为712x π=,该对称轴处所对应的函数值为1-,为了得到()cos2g x x =的图象,则只要将()f x 的图象( )A .向右平移6π个单位长度 B .向左平移12π个单位长度 C .向左平移6π个单位长度 D .向右平移12π个单位长度【答案】B 【解析】 【分析】由函数的图象的顶点坐标求出A ,由周期求出ω,由五点法作图求出ϕ的值,可得()f x 的解析式,再根据函数()sin y A x ωϕ=+的图象变换规律,诱导公式,得出结论. 【详解】根据已知函数()()sin f x A x ωϕ=+(其中0A >,)2πϕ<的图象过点,03π⎛⎫ ⎪⎝⎭,7,112π⎛⎫-⎪⎝⎭, 可得1A =,1274123πππω⋅=-, 解得:2ω=. 再根据五点法作图可得23πϕπ⋅+=,可得:3πϕ=,可得函数解析式为:()sin 2.3f x x π⎛⎫=+⎪⎝⎭故把()sin 23f x x π⎛⎫=+ ⎪⎝⎭的图象向左平移12π个单位长度, 可得sin 2cos236y x x ππ⎛⎫=++= ⎪⎝⎭的图象, 故选B . 【点睛】本题主要考查由函数()sin y A x ωϕ=+的部分图象求解析式,由函数的图象的顶点坐标求出A ,由周期求出ω,由五点法作图求出ϕ的值,函数()sin y A x ωϕ=+的图象变换规律,诱导公式的应用,属于中档题.2.在△ABC 中,角A ,B ,C 的对边分别为a ,b ,c ,若(a ﹣c cos B )sin A =c cos A sin B ,则△ABC 的形状一定是( ) A .钝角三角形 B .直角三角形 C .等腰三角形 D .锐角三角形【答案】C 【解析】 【分析】根据题意,由(cos )sin cos sin a c B A c A B -=变形可得sin sin a A c C =,进而由正弦定理可得22a c =,即a c =,即可得答案. 【详解】根据题意,在ABC ∆中,(cos )sin cos sin a c B A c A B -=, 变形可得:sin cos sin cos sin (cos sin cos sin )sin()sin a A c B A c A B c B A A B c A B c C =+=+=+=,即有sin sin a A c C =,又由正弦定理可得22a c =,即a c =. 故选:C . 【点睛】本题主要考查三角形的形状判断,考查正弦定理的应用,意在考查学生对这些知识点的理解掌握水平,属于基础题.3.函数()[]()cos 2,2f x x x ππ=∈-的图象与函数()sin g x x =的图象的交点横坐标的和为( ) A .53π B .2πC .76π D .π【答案】B 【解析】 【分析】根据两个函数相等,求出所有交点的横坐标,然后求和即可. 【详解】令sin cos2x x =,有2sin 12sin x x =-,所以sin 1x =-或1sin 2x =.又[],2x ππ∈-,所以2x π=-或32x π=或6x π=或56x π=,所以函数()[]()cos 2,2f x x x ππ=∈-的图象与函数()sin g x x =的图象交点的横坐标的和3522266s πππππ=-+++=,故选B. 【点睛】本题主要考查三角函数的图象及给值求角,侧重考查数学建模和数学运算的核心素养.4.上世纪末河南出土的以鹤的尺骨(翅骨)制成的“骨笛”(图1),充分展示了我国古代高超的音律艺术及先进的数学水平,也印证了我国古代音律与历法的密切联系.图2为骨笛测量“春(秋)分”,“夏(冬)至”的示意图,图3是某骨笛的部分测量数据(骨笛的弯曲忽略不计),夏至(或冬至)日光(当日正午太阳光线)与春秋分日光(当日正午太阳光线)的夹角等于黄赤交角.由历法理论知,黄赤交角近1万年持续减小,其正切值及对应的年代如下表: 黄赤交角 2341︒'2357︒'2413︒'2428︒'2444︒'正切值 0.439 0.444 0.450 0.455 0.461 年代公元元年公元前2000年公元前4000年公元前6000年公元前8000年根据以上信息,通过计算黄赤交角,可估计该骨笛的大致年代是( ) A .公元前2000年到公元元年 B .公元前4000年到公元前2000年 C .公元前6000年到公元前4000年 D .早于公元前6000年【答案】D 【解析】 【分析】先理解题意,然后根据题意建立平面几何图形,在利用三角函数的知识计算出冬至日光与春秋分日光的夹角,即黄赤交角,即可得到正确选项. 【详解】解:由题意,可设冬至日光与垂直线夹角为α,春秋分日光与垂直线夹角为β, 则αβ-即为冬至日光与春秋分日光的夹角,即黄赤交角, 将图3近似画出如下平面几何图形:则16tan 1.610α==,169.4tan 0.6610β-==, tan tan 1.60.66tan()0.4571tan tan 1 1.60.66αβαβαβ---==≈++⨯g .0.4550.4570.461<<Q ,∴估计该骨笛的大致年代早于公元前6000年.故选:D . 【点睛】本题考查利用三角函数解决实际问题的能力,运用了两角和与差的正切公式,考查了转化思想,数学建模思想,以及数学运算能力,属中档题.5.{}n a 为等差数列,公差为d ,且01d <<,5()2k a k Z π≠∈,223557sin 2sin cos sin a a a a +⋅=,函数()sin(4)(0)f x d wx d w =+>在20,3π⎛⎫⎪⎝⎭上单调且存在020,3x π⎛⎫∈ ⎪⎝⎭,使得()f x 关于0(,0)x 对称,则w 的取值范围是( ) A .20,3⎛⎤ ⎥⎝⎦ B .30,2⎛⎤ ⎥⎝⎦C .24,33⎛⎤⎥⎝⎦D .33,42⎛⎤⎥⎝⎦【答案】D 【解析】 【分析】推导出sin4d =1,由此能求出d ,可得函数解析式,利用在203x π⎛⎫∈ ⎪⎝⎭,上单调且存在()()0020203x f x f x x π⎛⎫∈+-= ⎪⎝⎭,,,即可得出结论. 【详解】∵{a n }为等差数列,公差为d ,且0<d <1,a 52k π≠(k ∈Z ), sin 2a 3+2sin a 5•cos a 5=sin 2a 7, ∴2sin a 5cos a 5=sin 2a 7﹣sin 2a 3=2sin 372a a +cos 732a a -•2cos 372a a +sin 732a a -=2sin a 5cos2d •2cos a 5sin2d , ∴sin4d =1,∴d 8π=.∴f (x )8π=cosωx ,∵在203x π⎛⎫∈ ⎪⎝⎭,上单调 ∴23ππω≥, ∴ω32≤; 又存在()()0020203x f x f x x π⎛⎫∈+-= ⎪⎝⎭,,, 所以f (x )在(0,23π)上存在零点, 即223ππω<,得到ω34>. 故答案为 33,42⎛⎤⎥⎝⎦故选D 【点睛】本题考查等差数列的公差的求法,考查三角函数的图象与性质,准确求解数列的公差是本题关键,考查推理能力,是中档题.6.设函数f (x )=cos (x +3π),则下列结论错误的是 A .f(x)的一个周期为−2π B .y=f(x)的图像关于直线x=83π对称 C .f(x+π)的一个零点为x=6π D .f(x)在(2π,π)单调递减 【答案】D 【解析】f (x )的最小正周期为2π,易知A 正确;f 8π3⎛⎫ ⎪⎝⎭=cos 8ππ33⎛⎫+ ⎪⎝⎭=cos3π=-1,为f (x )的最小值,故B 正确; ∵f (x +π)=cos ππ3x ⎛⎫++ ⎪⎝⎭=-cos π3x ⎛⎫+ ⎪⎝⎭,∴f ππ6⎛⎫+ ⎪⎝⎭=-cos ππ63⎛⎫+ ⎪⎝⎭=-cos 2π=0,故C 正确;由于f 2π3⎛⎫ ⎪⎝⎭=cos 2ππ33⎛⎫+ ⎪⎝⎭=cosπ=-1,为f (x )的最小值,故f (x )在,2ππ⎛⎫ ⎪⎝⎭上不单调,故D 错误. 故选D.7.定义在R 上的函数()f x 既是偶函数又是周期函数,若()f x 的最小正周期是π,且当π0,2x ⎡⎤∈⎢⎥⎣⎦时,()sin f x x =,则5π3f ⎛⎫⎪⎝⎭的值为( )A .12-B .2C .D .12【答案】B 【解析】 分析:要求53f π⎛⎫⎪⎝⎭,则必须用()sin f x x =来求解,通过奇偶性和周期性,将变量转化到区间02π⎡⎤⎢⎥⎣⎦,上,再应用其解析式求解 详解:()f x Q 的最小正周期是π552333f f f ππππ⎛⎫⎛⎫⎛⎫∴=-=-⎪ ⎪ ⎪⎝⎭⎝⎭⎝⎭()f x Q 是偶函数33f f ππ⎛⎫⎛⎫∴-= ⎪ ⎪⎝⎭⎝⎭,533f f ππ⎛⎫⎛⎫= ⎪ ⎪⎝⎭⎝⎭Q 当02x π⎡⎤∈⎢⎥⎣⎦,时,()sin f x x =,则5 sin 3332f f πππ⎛⎫⎛⎫===⎪ ⎪⎝⎭⎝⎭故选B点睛:本题是一道关于正弦函数的题目,掌握正弦函数的周期性是解题的关键,考查了函数的周期性和函数单调性的性质.8.将函数()()sin 0,π2f x x ϕωϕω⎛⎫=+>< ⎪⎝⎭的图象向右平移6π个单位长度后,所得图象关于y 轴对称,且1π2f ω⎛⎫=- ⎪⎝⎭,则当ω取最小值时,函数()f x 的解析式为( )A .()sin 26f x x π⎛⎫=+ ⎪⎝⎭B .()sin 2π6f x x ⎛⎫=- ⎪⎝⎭C .()sin 4π6f x x ⎛⎫=+ ⎪⎝⎭D .()sin 4π6f x x ⎛⎫=- ⎪⎝⎭【答案】C 【解析】 【分析】由题意利用函数()sin y A x ωφ=+的图象变换规律,可得所得函数的解析式,由12f πω⎛⎫=- ⎪⎝⎭,求出φ,再根据所得图象关于y 轴对称求出ω,可得()f x 的解析式.【详解】解:将函数()()sin (0,)2f x x πωφωφ=+><的图象向右平移6π个单位长度后,可得sin 6y x ωπωφ⎛⎫=-+ ⎪⎝⎭的图象;∵所得图象关于y 轴对称,∴62k ωππφπ-+=+,k Z ∈.∵()1sin sin 2f ππφφω⎛⎫=-=+=- ⎪⎝⎭,即1sin 2φ=,26ππφφ<=,. ∴63k ωπππ-=+,620k ω=-->,则当ω取最小值时,取1k =-,可得4ω=,∴函数()f x 的解析式为()sin 46f x x π⎛⎫=+ ⎪⎝⎭. 故选C . 【点睛】本题主要考查函数()sin y A x ωφ=+的图象变换规律,正弦函数的性质,属于中档题.9.已知ABC V 的三条边的边长分别为2米、3米、4米,将三边都增加x 米后,仍组成一个钝角三角形,则x 的取值范围是( ) A .102x << B .112x << C .12x << D .01x <<【答案】D 【解析】 【分析】根据余弦定理和三角形三边关系可求得x 的取值范围. 【详解】将ABC V 的三条边的边长均增加x 米形成A B C '''V ,设A B C '''V 的最大角为A '∠,则A '∠所对的边的长为()4x +米,且A '∠为钝角,则cos 0A '∠<,所以()()()()()2222342340x x x x x x x ⎧+++<+⎪+++>+⎨⎪>⎩,解得01x <<.故选:D.【点睛】本题考查利用余弦定理和三角形三边关系求参数的取值范围,灵活利用余弦定理是解本题的关键,考查计算能力,属于中等题.10.在ABC ∆中,060,10,A BC D ∠==是边AB 上的一点,2,CD CBD =∆的面积为1,则BD 的长为( ) A .32B .4C .2D .1【答案】C 【解析】1210sin 1sin 25BCD BCD ⨯⨯⨯∠=∴∠= 2222102210425BD BD ∴=+-⨯⨯⨯=∴=,选C11.已知函数()sin()f x x πϕ=+某个周期的图象如图所示,A ,B 分别是()f x 图象的最高点与最低点,C 是()f x 图象与x 轴的交点,则tan ∠BAC =( )A .12B .47C 255D 76565【答案】B 【解析】 【分析】过A 作AD 垂直于x 轴于点D ,AB 与x 轴交于E ,设C (a ,0),可得32CD =,11,2AD DE ==,3tan 2CD CAD AD ∠==,1tan 2ED EAD AD ∠==,再利用tan tan()BAC CAD EAD ∠=∠-∠计算即可.【详解】过A 作AD 垂直于x 轴于点D ,AB 与x 轴交于E ,由题可得周期为2,设(,0)C a ,则1(,1)2B a +-,3(,1)2A a +, 所以32CD =,11,2AD DE ==,3tan 2CD CAD AD ∠==,1tan 2ED EAD AD ∠== 所以tan tan tan tan()1tan tan CAD EADBAC CAD EAD CAD EAD∠-∠∠=∠-∠=+∠⋅∠31422317122-==+⨯. 故选:B【点睛】本题主要考查两角差的正切公式,涉及到正弦型函数图象等知识,考查学生数学运算能力,是一道中档题.12.已知5sin α,sin()1010αβ-=-,,αβ均为锐角,则β=( ) A .512πB .3π C .4π D .6π 【答案】C 【解析】 【分析】 由题意,可得22ππαβ-<-<,利用三角函数的基本关系式,分别求得cos ,cos()ααβ-的值,利用sin[(]sin )ααββ=--,化简运算,即可求解.【详解】由题意,可得α,β均为锐角,∴-2π <α-β<2π.又sin(α-β)=-10,∴cos(α-β)=10. 又sin αcos α∴sin β=sin[α-(α-β)]=sin αcos(α-β)-cos αsin(α-β)=-×⎛ ⎝⎭.∴β=4π. 【点睛】本题主要考查了三角函数的化简、求值问题,其中熟记三角函数的基本关系式和三角恒等变换的公式,合理构造sin[(]sin )ααββ=--,及化简与运算是解答的关键,着重考查了推理与运算能力,属于基础题.13.在OAB ∆中,已知OB =u u u v 1AB u u u v=,45AOB ∠=︒,点P 满足(),OP OA OB λμλμ=+∈R u u u v u u u v u u u v ,其中λ,μ满足23λμ+=,则OP u u u v的最小值为( )A.5BC.3D.2【答案】A 【解析】 【分析】根据OB =u u u r,1AB =uu u r ,45AOB ∠=︒,由正弦定理可得OAB ∆为等腰直角三角形,进而求得点A 坐标.结合平面向量的数乘运算与坐标加法运算,用λ,μ表示出OP u u u r.再由23λμ+=,将OP u u u r 化为关于λ的二次表达式,由二次函数性质即可求得OP u u u r的最小值.【详解】在OAB ∆中,已知OB =u u u r,1AB =uu u r ,45AOB ∠=︒由正弦定理可得sin sin AB OBAOB OAB=∠∠u u u r u u u rsin OAB =∠,解得sin 1OAB ∠=即2OAB π∠=所以OAB ∆为等腰直角三角形以O 为原点,OB 所在直线为x 轴,以OB 的垂线为y 轴建立平面直角坐标系如下图所示:则点A 坐标为22,22⎛ ⎝⎭所以2222OA ⎛= ⎝⎭u u u r ,)2,0OB =u u ur因为(),OP OA OB λμλμ=+∈R u u u r u u u r u u u r则)222,022OP λμ⎛ =+ ⎝⎭u u u r 222,22λμλ⎛⎫⎪ ⎪⎝⎭= 则2222222OP λμλ⎛⎫=++⎛⎫⎪ ⎪ ⎪ ⎪⎝⎭⎝⎭u u u r 2222λλμμ=++因为23λμ+=,则32μλ=- 代入上式可得()()22322232λλλλ+-+-218518λλ-=+299555λ⎛⎫=-+ ⎪⎝⎭所以当95λ=时, min 9355OP ==u u u r 故选:A 【点睛】本题考查了平面向量基本定理的应用,正弦定理判断三角形形状,平面向量的坐标运算,属于中档题.14.将函数cos y x =的图象先左移4π,再纵坐标不变,横坐标缩为原来的12,所得图象的解析式为( )A .sin 24y x π⎛⎫=+ ⎪⎝⎭B .13sin 24y x π⎛⎫=+⎪⎝⎭C .1sin 24y x π⎛⎫=+ ⎪⎝⎭D .3sin 24y x π⎛⎫=+ ⎪⎝⎭ 【答案】D 【解析】 【分析】根据三角函数的平移伸缩变换法则得到答案. 【详解】cos sin 2y x x π⎛⎫==+ ⎪⎝⎭向左平移4π个单位,故变为3sin 4y x π⎛⎫=+ ⎪⎝⎭,纵坐标不变,横坐标缩为原来的12,变为3sin 24y x π⎛⎫=+ ⎪⎝⎭. 故选:D . 【点睛】本题考查了三角函数的平移伸缩变换,意在考查学生对于平移伸缩变换的理解和掌握.15.函数()()()cos 20f x x ϕϕπ=+<<在区间,66ππ⎡⎤-⎢⎥⎣⎦单调递减,在区间,06π⎛⎫- ⎪⎝⎭上有零点,则ϕ的取值范围是( ) A .,62ππ⎡⎤⎢⎥⎣⎦B .25,36ππ⎡⎫⎪⎢⎣⎭ C .2,23ππ⎛⎤⎥⎝⎦ D .,32ππ⎡⎫⎪⎢⎣⎭【答案】C 【解析】分析:结合余弦函数的单调减区间,求出零点,再结合零点范围列出不等式 详解:当[,]66x ππ∈-,2[,]33x ππϕϕϕ+∈-++,又∵(0,)ϕπ∈,则[,][0,]33ππϕϕπ-++⊆,即033πϕπϕπ⎧-≥⎪⎪⎨⎪+≤⎪⎩,233ππϕ≤≤,由cos(2)0x ϕ+=得2,2x k k Z πϕπ+=+∈,242k x ππϕ=+-, ∴0642ππϕ-<-<,解得526ππϕ<<, 综上223ππϕ<≤. 故选C.点睛:余弦函数的单调减区间:[2,2]k k ππ+π,增区间:[2,22]k k ππππ++,零点:2x k ππ=+,对称轴:x k π=,对称中心:,2)0(k ππ+,k Z ∈.16.若θ是第二象限角,则下列选项中能确定为正值的是( ) A .sin B .cosC .tanD .cos2θ【答案】C 【解析】 【分析】直接利用三角函数象限角的三角函数的符号判断即可. 【详解】由θ是第二象限角可得为第一或第三象限角,所以tan >0.故选C 【点睛】本题考查三角函数值的符号的判断,是基础题.17.在ABC V 中,角A ,B ,C 的对边分别为a ,b ,c ,若1b =,3c =,且2sin()cos 12cos sin B C C A C +=-,则ABC V 的面积是( )A 3B .12C 33D .14或12【答案】C 【解析】 【分析】根据已知关系求出1sin 2B =,根据余弦定理求出边a ,根据面积公式即可得解. 【详解】因为2sin()cos 12cos sin B C C A C +=-,所以2sin cos 12cos sin A C A C =-, 所以2sin cos 2cos sin 1A C A C +=,所以2sin()1A C +=, 所以2sin 1B =,即1sin 2B =, 因为b c <,所以B C <,所以角B 为锐角,所以23cos 1sin 2B B =-=, 由余弦定理2222cos b a c ac B =+-得2313232a a =+-⨯, 整理可得2320a a -+=,解得1a =或2a =. 当1a =时,ABC V 的面积是1113sin 132224S ac B ==⨯=;当2a =时,ABC V 的面积是1113sin 232222S ac B ==⨯⨯⨯=. 故选:C. 【点睛】此题考查根据余弦定理解三角形,关键在于熟练掌握定理公式,结合边角关系解方程,根据面积公式求解.18.已知函数()()sin 3cos 0x f x x ωωω=->,若集合()(){}0,1x f x π∈=-含有4个元素,则实数ω的取值范围是( ) A .35,22⎡⎫⎪⎢⎣⎭B .35,22⎛⎤⎥⎝⎦C .725,26⎡⎫⎪⎢⎣⎭D .725,26⎛⎤ ⎥⎝⎦【答案】D 【解析】 【分析】化简f (x )的解析式,作出f (x )的函数图象,利用三角函数的性质求出直线y=﹣1与y=f (x )在(0,+∞)上的交点坐标,则π介于第4和第5个交点横坐标之间. 【详解】 f (x )=2sin (ωx ﹣3π), 作出f (x )的函数图象如图所示:令2sin (ωx ﹣3π)=﹣1得ωx ﹣3π=﹣6π+2kπ,或ωx ﹣3π=76π+2kπ, ∴x=6πω+2k πω,或x=32πω+2k πω,k ∈Z , 设直线y=﹣1与y=f (x )在(0,+∞)上从左到右的第4个交点为A ,第5个交点为B , 则x A =322ππωω+,x B =46ππωω+, ∵方程f (x )=﹣1在(0,π)上有且只有四个实数根,∴x A <π≤x B ,即322ππωω+<π≤46ππωω+,解得72526ω≤<. 故选B . 【点睛】本题考查了三角函数的恒等变换,三角函数的图象与性质,属于中档题.19.已知函数()()sin x f x x R ωφ+=∈,,其中0ωπφπ>-<,≤.若函数()f x 的最小正周期为4π,且当23x π=时,()f x 取最大值,是( ) A .()f x 在区间[]2ππ--,上是减函数 B .()f x 在区间[]0π-,上是增函数 C .()f x 在区间[]0π,上是减函数 D .()f x 在区间[]02π,上是增函数 【答案】B 【解析】 【分析】先根据题目所给已知条件求得()f x 的解析式,然后求函数的单调区间,由此得出正确选项. 【详解】由于函数()f x 的最小正周期为4π,故2π14π2ω==,即()1sin 2f x x φ⎛⎫=+ ⎪⎝⎭,2ππsin 1,33π6f φφ⎛⎫⎛⎫=+= ⎪ ⎪⎝⎭=⎭⎝.所以()1πsin 26f x x ⎛⎫=+ ⎪⎝⎭.由π1ππ2π2π2262k x k -≤+≤+,解得4π2π4π4π33k x k -≤≤+,故函数的递增区间是4π2π4π,4π33k k ⎡⎤-+⎢⎥⎣⎦,令0k =,则递增区间为4π2π,33⎡⎤-⎢⎥⎣⎦,故B 选项正确.所以本小题选B. 【点睛】本小题主要考查三角函数解析式的求法,考查三角函数单调区间的求法,属于基础题.20.在ABC V 中,角A 的平分线交边BC 于D ,4AB =,8AC =,2BD =,则ABD △的面积是( )A B .C .1D .3【答案】A 【解析】 【分析】先根据正弦定理求得DC ,再结合余弦定理求得cos B ,进而求出ABD S V ,即可求得结论. 【详解】 如图:()sin sin sin ADC ADB ADB π∠=-∠=∠,在ABD △中,由正弦定理得sin sin BD ABBAD ADB=∠∠,同理可得sin sin CD ACCAD ADC=∠∠,因为ABC V 中,角A 的平分线交边BC 于D ,上述两个等式相除得BD ABCD AC=, 4AB =Q ,8AC =,2BD =,8244AC BD CD AB ⋅⨯∴===,6BC ∴=. 2222224681cos 22464AB BC AC B AB BC +-+-∴===-⋅⨯⨯,2115sin 14B ⎛⎫=--=⎪⎝⎭ 1sin 152ABD S AB BD B ∴=⋅⋅=V 故选:A . 【点睛】本题考查三角形面积的求法以及角平分线的性质应用,是中档题,解题时要注意余弦定理的合理运用,考查计算能力,属于中等题.。
新《三角函数与解三角形》专题解析一、选择题1.已知函数()3cos(2)2f x x π=+,若对于任意的x ∈R ,都有12()()()f x f x f x 剟成立,则12x x -的最小值为( ) A .4 B .1C .12D .2【答案】D 【解析】 【分析】由题意得出()f x 的一个最大值为()2f x ,一个最小值为()1f x ,于此得出12x x -的最小值为函数()y f x =的半个周期,于此得出答案. 【详解】对任意的x ∈R ,()()()12f x f x f x 剟成立. 所以()()2min 3f x f x ==-,()()2max 3f x f x ==,所以12min22Tx x -==,故选D . 【点睛】本题考查正余弦型函数的周期性,根据题中条件得出函数的最值是解题的关键,另外就是灵活利用正余弦型函数的周期公式,考查分析问题的能力,属于中等题.2.在ABC ∆中,角,,A B C 所对的边分别为,,a b c 满足,222b c a bc +-=,0AB BC ⋅>u ur u u r u u ,2a =,则bc +的取值范围是( )A .31,2⎛⎫ ⎪⎝⎭B .32⎫⎪⎪⎝⎭C .13,22⎛⎫⎪⎝⎭D .31,2⎛⎤ ⎥⎝⎦【答案】B 【解析】 【分析】利用余弦定理222cos 2b c a A bc+-=,可得3A π=,由|||cos()|0AB BC AB BC B π⋅=⋅->u u u u u u u u r u ur u r u r,可得B 为钝角,由正弦定理可得sin sin(120)30)o o b c B B B ∴+=+-=+,结合B 的范围,可得解【详解】由余弦定理有:222cos 2b c a A bc+-=,又222b c a bc +-=故2221cos 222b c a bc A bc bc +-===又A 为三角形的内角,故3A π=又2a=sin sin sin(120)ob c c B C B ==- 又|||cos()|0AB BC AB BC B π⋅=⋅->u u u u u u u u r u ur u r u r故cos 0B B <∴为钝角3sin sin(120)sin 30)22o o b c B B B B B ∴+=+-=+=+(90,120)o o B ∈Q ,可得130(120150)sin(30)(2o o o o B B +∈∴+∈,330))2o b c B ∴+=+∈ 故选:B 【点睛】本题考查了正弦定理、余弦定理和向量的综合应用,考查了学生综合分析,转化划归,数学运算能力,属于中档题3.已知函数()()πsin 06f x x ωω⎛⎫=-> ⎪⎝⎭,若()π02f f ⎛⎫=- ⎪⎝⎭在π0,2⎛⎫⎪⎝⎭上有且仅有三个零点,则ω= ( ) A .23B .2C .143D .263【答案】C 【解析】∵函数()()sin 06f x x πωω⎛⎫=-> ⎪⎝⎭,()02f fπ⎛⎫=- ⎪⎝⎭∴1sin()sin()6262πππω-=--=- ∴2266k πππωπ-=+或52,266k k Z πππωπ-=+∈ ∴243k ω=+或42,k k ω=+∈Z∵函数()f x 在0,2π⎛⎫⎪⎝⎭上有且仅有三个零点 ∴(,)6626x ππωππω-∈-- ∴2326ωππππ<-≤∴131933ω<≤ ∴143ω=或6ω= 故选C.4.在△ABC 中,7b =,5c =,3B π∠=,则a 的值为 A .3 B .4C .7D .8【答案】D 【解析】 【分析】根据题中所给的条件两边一角,由余弦定理可得2222cos b a c ac B =+-,代入计算即可得到所求的值. 【详解】因为7,5,3b c B π==∠=,由余弦定理可得2222cos b a c ac B =+-,即214925252a a =+-⨯⨯,整理得25240a a --=, 解得8a =或5a =-(舍去),故选D. 【点睛】该题考查的是有关解三角形的问题,在解题的过程中,涉及到的知识点有余弦定理,解三角形所用的就是正弦定理和余弦定理,结合题中的条件,选择适当的方法求得结果.5.已知ABC V 的内角,,A B C 的对边分别为,,a b c ,且cos cos 2cos a B b A C+=,1a =,b =c =( )A B .1CD 【答案】B 【解析】 【分析】先由正弦定理将cos cos 2cos a B b A C+=中的边转化为角,可得sin()A B +=可求出角6C π=,再利用余弦定理可求得结果.【详解】解:因为cos cos a B b A +=,所以正弦定理得,sin cos sin cos 2cos CA B B A C+=所以sin()A B +=sin C =因为sin 0C ≠,所以cos 2C =, 又因为(0,)C π∈,所以6C π=,因为1a =,b =所以由余弦定理得,2222cos 13211c a b ab C =+-=+-⨯=, 所以1c = 故选:B 【点睛】此题考查的是利用正、余弦定理解三角形,属于中档题.6.若,2παπ⎛⎫∈ ⎪⎝⎭,2cos2sin 4παα⎛⎫=- ⎪⎝⎭,则sin 2α的值为( ) A .78-B .78C .18-D .18【答案】A 【解析】 【分析】利用二倍角公式及两角差的正弦公式化简得到cos sin 4αα+=,再将两边平方利用二倍角正弦公式计算可得; 【详解】解:因为2cos2sin 4παα⎛⎫=-⎪⎝⎭所以()222cos sin sincos cossin 44ππαααα-=-所以()())2cos sin cos sin cos sin 2αααααα-+=- ,cos sin 02παπαα⎛⎫∈-≠ ⎪⎝⎭Q ,所以cos sin αα+=所以()21cos sin 8αα+=,即221cos 2cos sin sin 8αααα++=,11sin 28α+= 所以7sin 28α=- 故选:A 【点睛】本题考查两角和差的正弦公式、二倍角公式的应用,属于中档题;7.函数()1sin cos 1sin cos 1tan 01sin cos 1sin cos 32x x x x f x x x x x x x π+-++⎛⎫=++<< ⎪+++-⎝⎭的最小值为( ) ABCD【答案】B 【解析】 【分析】利用二倍角公式化简函数()f x ,求导数,利用导数求函数的最小值即可. 【详解】22222sin 2sin cos 2cos 2sin cos1sin cos 1sin cos 2222221sin cos 1sin cos 2cos 2sin cos 2sin 2sin cos 222222x x x x x x x x x x x x x x x xx x x x +++-+++=++++-++ 2sin sin cos 2cos sin cos sin cos 222222222sin cos sin 2cos sin cos 2sin sin cos 22222222x x x x x x x xx x x x x x x x x ⎛⎫⎛⎫++ ⎪ ⎪⎝⎭⎝⎭=+=+=⎛⎫⎛⎫++ ⎪ ⎪⎝⎭⎝⎭, 则()21tan 0sin 32f x x x x π⎛⎫=+<< ⎪⎝⎭, 32222221sin 2cos 16cos cos 1()sin 3cos sin 3cos 3sin cos x x x x f x x x x x x x '''--+⎛⎫⎛⎫=+=-+= ⎪ ⎪⎝⎭⎝⎭. 令()cos 0,1t x =∈,()3261g t t t =--+为减函数,且102g ⎛⎫=⎪⎝⎭,所以当03x π<<时,()11,02t g t <<<,从而()'0f x <; 当32x ππ<<时,()10,02t g t <<>,从而()'0f x >.故()min 33f x f π⎛⎫== ⎪⎝⎭. 故选:A 【点睛】本题主要考查了三角函数的恒等变换,利用导数求函数的最小值,换元法,属于中档题.8.已知()0,απ∈,3sin 35πα⎛⎫+= ⎪⎝⎭,则cos 26πα⎛⎫+= ⎪⎝⎭( ) A .2425B .2425-C .725D .725-【答案】B 【解析】 【分析】根据余弦的二倍角公式先利用sin 3πα⎛⎫+ ⎪⎝⎭求得2cos 23πα⎛⎫+ ⎪⎝⎭.再由诱导公式求出sin 26πα⎛⎫+ ⎪⎝⎭,再利用同角三角函数关系中的平方关系求得cos 26πα⎛⎫+ ⎪⎝⎭.根据角的取值范围,舍去不合要求的解即可. 【详解】 因为3sin 35πα⎛⎫+= ⎪⎝⎭ 由余弦二倍角公式可得22237cos 212sin 1233525ππαα⎛⎫⎛⎫⎛⎫+=-+=-⨯= ⎪ ⎪ ⎪⎝⎭⎝⎭⎝⎭ 而2cos 2cos 2sin 23626ππππααα⎛⎫⎛⎫⎛⎫+=++=-+ ⎪ ⎪ ⎪⎝⎭⎝⎭⎝⎭所以27sin 2cos 26325ππαα⎛⎫⎛⎫+=-+=- ⎪⎪⎝⎭⎝⎭由同角三角函数关系式可得24cos 2625πα⎛⎫+==± ⎪⎝⎭ 因为()0,απ∈ 则4,333πππα⎛⎫+∈ ⎪⎝⎭,而3sin 035πα⎛⎫+=>⎪⎝⎭所以,33ππαπ⎛⎫+∈ ⎪⎝⎭则,33ππαπ⎛⎫+∈ ⎪⎝⎭所以22,233ππαπ⎛⎫⎛⎫+∈ ⎪⎪⎝⎭⎝⎭32,3262ππππα⎛⎫⎛⎫+-∈ ⎪ ⎪⎝⎭⎝⎭,即32,662πππα⎛⎫+∈ ⎪⎝⎭又因为7sin 20625πα⎛⎫+=-< ⎪⎝⎭,所以32,62ππαπ⎛⎫+∈ ⎪⎝⎭故cos 206πα⎛⎫+< ⎪⎝⎭所以24cos 2625πα⎛⎫+=- ⎪⎝⎭ 故选:B 【点睛】本题考查了同角三角函数关系式及诱导公式的化简应用,三角函数恒等变形及角的范围确定,综合性较强,属于中档题.9.在OAB ∆中,已知OB =u u u v 1AB u u u v=,45AOB ∠=︒,点P 满足(),OP OA OB λμλμ=+∈R u u u v u u u v u u u v ,其中λ,μ满足23λμ+=,则OP u u u v的最小值为( )A.5BC.3D.2【答案】A 【解析】 【分析】根据OB =u u u r,1AB =uu u r ,45AOB ∠=︒,由正弦定理可得OAB ∆为等腰直角三角形,进而求得点A 坐标.结合平面向量的数乘运算与坐标加法运算,用λ,μ表示出OP u u u r.再由23λμ+=,将OP u u u r 化为关于λ的二次表达式,由二次函数性质即可求得OP u u u r的最小值.【详解】在OAB ∆中,已知OB =u u u r,1AB =uu u r ,45AOB ∠=︒由正弦定理可得sin sin AB OBAOB OAB=∠∠u u u r u u u r代入22=,解得sin 1OAB ∠=即2OAB π∠=所以OAB ∆为等腰直角三角形以O 为原点,OB 所在直线为x 轴,以OB 的垂线为y 轴建立平面直角坐标系如下图所示:则点A 坐标为22,22⎛ ⎝⎭所以22OA =⎝⎭u u u r ,)2,0OB =u u u r因为(),OP OA OB λμλμ=+∈R u u u r u u u r u u u r则)222,022OP λμ⎛ =+ ⎝⎭u u u r 222,22λμλ⎛⎫⎪ ⎪⎝⎭= 则2222222OP λμλ⎛⎫=++⎛⎫⎪ ⎪ ⎪ ⎪⎝⎭⎝⎭u u u r2222λλμμ=++因为23λμ+=,则32μλ=- 代入上式可得()()22322232λλλλ+-+-218518λλ-=+299555λ⎛⎫=-+ ⎪⎝⎭所以当95λ=时, min9355OP ==u u u r故选:A 【点睛】本题考查了平面向量基本定理的应用,正弦定理判断三角形形状,平面向量的坐标运算,属于中档题.10.函数()22sin 3cos 2f x x x =+-,2,36x ππ⎡⎤∈-⎢⎥⎣⎦的值域为( ) A .40,3⎡⎤⎢⎥⎣⎦B .41,3⎡⎤⎢⎥⎣⎦C .51,4⎡⎤⎢⎥⎣⎦D .50,4⎡⎤⎢⎥⎣⎦【答案】A 【解析】 【分析】化简得到()23sin 2sin 1f x x x =-++,设sin t x =,利用二次函数性质得到答案. 【详解】根据22sin cos 1x x +=,得()23sin 2sin 1f x x x =-++,2,36x ππ⎡⎤∈-⎢⎥⎣⎦, 令sin t x =,由2,36x ππ⎡⎤∈-⎢⎥⎣⎦,得1sin 1,2x ⎡⎤∈-⎢⎥⎣⎦, 故[]0,1t ∈,有2321y t t =-++,[]0,1t ∈,二次函数对称轴为13t =, 当13t =时,最大值43y =;当1t =时,最小值0y =, 综上,函数()f x 的值域为40,3⎡⎤⎢⎥⎣⎦. 故选:A . 【点睛】本题考查了三角函数值域,换元可以简化运算,是解题的关键.11.在三角形ABC 中,给出命题:p “2ab c >”,命题:q “3C π<”,则p 是q 的( )A .充分不必要条件B .必要不充分条件C .充分必要条件D .既不充分也不必要条件【答案】A 【解析】 【分析】由余弦定理将2c 化为222cos a b ab C +-,整理后利用基本不等式求得12cos 2C +>,求出C 范围,即可判断充分性,取4a =,7b =,6c =,则可判断必要性不成立,两者结合可得正确的选项. 【详解】充分性:由余弦定理,2222cos c a b ab C =+-,所以2ab c >,即222cos ab a b ab C >+-,整理得,2212cos a b C ab++>,由基本不等式,222a b ab +≥=,当且仅当a b =时等号成立, 此时,12cos 2C +>,即1cos 2C >,解得3C π<, 充分性得证;必要性:取4a =,7b =,6c =,则164936291cos 247562C +-==>⨯⨯,故3C π<,但228ab c =<,故3C π<推不出2ab c >.故必要性不成立; 故p 是q 的充分不必要条件. 故选:A 【点睛】本题主要考查充分必要条件的判断、余弦定理的应用和基本不等式的应用,考查学生分析转化能力,属于中档题.12.在ABC V 中,角A ,B ,C 的对边分别为a ,b ,c ,若1b =,c =,且2sin()cos 12cos sin B C C A C +=-,则ABC V 的面积是( )A B .12C D .14或12【答案】C 【解析】 【分析】根据已知关系求出1sin 2B =,根据余弦定理求出边a ,根据面积公式即可得解. 【详解】因为2sin()cos 12cos sin B C C A C +=-,所以2sin cos 12cos sin A C A C =-, 所以2sin cos 2cos sin 1A C A C +=,所以2sin()1A C +=, 所以2sin 1B =,即1sin 2B =,因为b c <,所以B C <,所以角B 为锐角,所以cos 2B ==,由余弦定理2222cos b a c ac B =+-得21322a a =+-⨯, 整理可得2320a a -+=,解得1a =或2a =. 当1a =时,ABC V的面积是111sin 12224S ac B ==⨯=; 当2a =时,ABC V的面积是111sin 22222S ac B ==⨯=. 故选:C. 【点睛】此题考查根据余弦定理解三角形,关键在于熟练掌握定理公式,结合边角关系解方程,根据面积公式求解.13.在ABC ∆中,60B ∠=︒,AD 是BAC ∠的平分线交BC 于D,BD =,1cos 4BAC ∠=,则AD =( ) A .2 BCD【答案】A 【解析】 【分析】先求出sin BAD ∠=,再利用正弦定理求AD. 【详解】∵21cos 12sin 4BAC BAD ∠=-∠=,∴sin 4BAD ∠=.在ABD ∆中,sin sin AD BD B BAD =∠,∴sin 2sin BAD BD BAD =⋅==∠. 【点睛】本题主要考查二倍角的余弦和正弦定理解三角形,意在考查学生对这些知识的理解掌握水平和分析推理能力.14.ABC ∆的内角A B C 、、的对边分别是a b c 、、,若2B A =,1a =,b =c =( )A.B .2CD .1【答案】B 【解析】1,sin sin sin 22sin cos A B A A A ===cos 2A =,所以22212c c =+-2320,c c -+=求得1c =或 2.c = 若1c =,则三角形为等腰三角形,0030,60A C B ===不满足内角和定理,排除. 【考点定位】本题考查正弦定理和余弦定理的应用,考查运算能力和分类讨论思想.当求出cos A =0030,60A B ==,便于三角形的初步定型,也为排除1c =提供了依据.如果选择支中同时给出了1或2,会增大出错率.15.已知曲线1:sin C y x =,21:cos 23C y x π⎛⎫=- ⎪⎝⎭,则下面结论正确的是( )A .把1C 上各点的横坐标缩短到原来的12倍,纵坐标不变,再把得到的曲线向右平移3π个单位长度,得到曲线2CB .把1C 上各点的横坐标伸长到原来的2倍,纵坐标不变,再把得到的曲线向右平移3π个单位长度,得到曲线2CC .把1C 上各点的横坐标缩短到原来的12倍,纵坐标不变,再把得到的曲线向左平移3π个单位长度,得到曲线2CD .把1C 上各点的横坐标伸长到原来的2倍,纵坐标不变,再把得到的曲线向左平移3π个单位长度,得到曲线2C 【答案】D 【解析】 【分析】根据三角函数的周期变换和左右平移变换依次得到各选项中所得的函数解析式,从而得到正确选项. 【详解】A 中,将sin y x =横坐标缩短到原来的12倍得:sin 2y x =;向右平移3π个单位长度后得:2sin 2sin 2sin 2cos 233266y x x x x πππππ⎛⎫⎛⎫⎛⎫⎛⎫=-=-=--=-- ⎪ ⎪ ⎪ ⎪⎝⎭⎝⎭⎝⎭⎝⎭,A 错误;B 中,将sin y x =横坐标伸长到原来的2倍得:1sin2y x =;向右平移3π个单位长度后得:11121sin sin cos cos 232622632y x x x x πππππ⎡⎤⎛⎫⎛⎫⎛⎫⎛⎫=-=-=--=- ⎪ ⎪ ⎪ ⎪⎢⎥⎝⎭⎝⎭⎝⎭⎝⎭⎣⎦,B 错误;C 中,将sin y x =横坐标缩短到原来的12倍得:sin 2y x =;向左平移3π个单位长度后得:2sin 2sin 2sin 2cos 233266y x x x x πππππ⎛⎫⎛⎫⎛⎫⎛⎫=+=+=++=+ ⎪ ⎪ ⎪ ⎪⎝⎭⎝⎭⎝⎭⎝⎭,C 错误;D 中,将sin y x =横坐标伸长到原来的2倍得:1sin2y x =;向左平移3π个单位长度后得:1111sin sin cos cos 232622623y x x x x πππππ⎡⎤⎛⎫⎛⎫⎛⎫⎛⎫=+=+=-+=- ⎪ ⎪ ⎪ ⎪⎢⎥⎝⎭⎝⎭⎝⎭⎝⎭⎣⎦,D 正确. 故选:D 【点睛】本题考查三角函数的周期变换和平移变换的问题,关键是能够准确掌握变换原则,得到变换后的函数解析式.16.已知函数())(0f x x ωϕω=+>,)22ππ-<ϕ<,1(3A ,0)为()f x 图象的对称中心,B ,C 是该图象上相邻的最高点和最低点,若4BC =,则()f x 的单调递增区间是()A .2(23k -,42)3k +,k Z ∈ B .2(23k ππ-,42)3k ππ+,k Z ∈C .2(43k -,44)3k +,k Z ∈ D .2(43k ππ-,44)3k ππ+,k Z ∈【答案】C 【解析】 【分析】由三角函数图像的性质可求得:2πω=,6πϕ=-,即()sin()26f x x ππ=-,再令222262k x k ππππππ--+剟,求出函数的单调增区间即可.【详解】解:函数())(0f x x ωϕω=+>,)22ππ-<ϕ<, 因为1(3A ,0)为()f x 图象的对称中心,B ,C 是该图象上相邻的最高点和最低点,又4BC =,∴222()42T +=,即221216πω+=,求得2πω=.再根据123k πϕπ+=g ,k Z ∈,可得6πϕ=-,()3sin()26f x x ππ∴=-,令222262k x k ππππππ--+剟,求得244433k x k -+剟, 故()f x 的单调递增区间为2(43k -,44)3k +,k Z ∈, 故选:C . 【点睛】本题考查了三角函数图像的性质及单调性,属中档题.17.在ABC △中,若a =3,c =7,∠C =60°,则边长b 为 A .5 B .8 C .5或-8 D .-5或8【答案】B 【解析】由余弦定理c 2=a 2+b 2-2ab cos C ,得24993b b =+-,即()()850b b -+=, 因为b >0,所以b =8.故选B .18.化简21sin 352sin 20︒︒-=( )A .12 B .12-C .1-D .1【答案】B 【解析】 【分析】利用降次公式和诱导公式化简所求表达式,由此求得正确结论. 【详解】依题意,原式1cos7011cos701sin 20122sin 202sin 202sin 202--==-⨯=-⨯=-o o o o o o ,故选B. 【点睛】本小题主要考查三角函数降次公式,考查三角函数诱导公式,属于基础题.19.将函数sin(2)4y x π=-的图象向左平移4π个单位,所得图象对应的函数在区间(,)m m -上无极值点,则m 的最大值为( )A .8π B .4π C .38π D .2π【答案】A 【解析】 【分析】由三角函数的图象变换,求得函数sin 24y x π⎛⎫=+⎪⎝⎭,求得增区间3,,88k k k Z ππππ⎡⎤-++∈⎢⎥⎣⎦,令0k =,可得函数的单调递增区间为3,88ππ⎡⎤-⎢⎥⎣⎦,进而根据函数sin 24y x π⎛⎫=+ ⎪⎝⎭在区间(),m m -上无极值点,即可求解. 【详解】由题意,将函数sin 24y x π⎛⎫=- ⎪⎝⎭的图象向左平移4π个单位, 可得函数sin 2sin 2444y x x πππ⎡⎤⎛⎫⎛⎫=+-=+ ⎪ ⎪⎢⎥⎝⎭⎝⎭⎣⎦, 令222,242k x k k Z πππππ-+≤+≤+∈,解得3,88k x k k Z ππππ-+≤≤+∈ 即函数sin 24y x π⎛⎫=+⎪⎝⎭的单调递增区间为3,,88k k k Z ππππ⎡⎤-++∈⎢⎥⎣⎦,令0k =,可得函数的单调递增区间为3,88ππ⎡⎤-⎢⎥⎣⎦, 又由函数sin 24y x π⎛⎫=+ ⎪⎝⎭在区间(),m m -上无极值点,则m 的最大值为8π,故选A. 【点睛】本题主要考查了三角函数的图象变换,以及三角函数的性质的应用,其中解答中熟练应用三角函数的图象变换得到函数的解析式,再根据三角函数的性质,求得其单调递增区间是解答的关键,着重考查了运算与求解能力,属于中档试题.20.在函数:①cos |2|y x =;②|cos |y x =;③cos 26y x π⎛⎫=+ ⎪⎝⎭;④tan 24y x π⎛⎫=- ⎪⎝⎭中,最小正周期为π的所有函数为( ) A .①②③ B .①③④C .②④D .①③【答案】A 【解析】逐一考查所给的函数:cos 2cos2y x x == ,该函数为偶函数,周期22T ππ== ;将函数cos y x = 图象x 轴下方的图象向上翻折即可得到cos y x = 的图象,该函数的周期为122ππ⨯= ; 函数cos 26y x π⎛⎫=+ ⎪⎝⎭的最小正周期为22T ππ== ; 函数tan 24y x π⎛⎫=-⎪⎝⎭的最小正周期为22T ππ==;综上可得最小正周期为π的所有函数为①②③. 本题选择A 选项.点睛:求三角函数式的最小正周期时,要尽可能地化为只含一个三角函数的式子,否则很容易出现错误.一般地,经过恒等变形成“y =A sin(ωx +φ),y =A cos(ωx +φ),y =A tan(ωx +φ)”的形式,再利用周期公式即可.。
【高中数学】《三角函数与解三角形》知识点一、选择题1.已知函数()()πsin 06f x x ωω⎛⎫=-> ⎪⎝⎭,若()π02f f ⎛⎫=- ⎪⎝⎭在π0,2⎛⎫⎪⎝⎭上有且仅有三个零点,则ω= ( ) A .23B .2C .143D .263【答案】C 【解析】∵函数()()sin 06f x x πωω⎛⎫=-> ⎪⎝⎭,()02f f π⎛⎫=-⎪⎝⎭∴1sin()sin()6262πππω-=--=- ∴2266k πππωπ-=+或52,266k k Z πππωπ-=+∈ ∴243k ω=+或42,k k ω=+∈Z ∵函数()f x 在0,2π⎛⎫⎪⎝⎭上有且仅有三个零点 ∴(,)6626x ππωππω-∈-- ∴2326ωππππ<-≤∴131933ω<≤ ∴143ω=或6ω= 故选C.2.已知函数()sin f x a x x =的一条对称轴为56x π=,函数()f x 在区间()12,x x 上具有单调性,且()()12f x f x =-,则下述四个结论:①实数a 的值为1;②()()1,x f x 和()()22,x f x 两点关于函数()f x 图象的一条对称轴对称; ③21x x -的最大值为π, ④12x x +的最小值为23π. 其中所有正确结论的编号是( )A .①②③B .①③④C .①④D .③④【答案】B 【解析】 【分析】 根据56x π=是函数()f x 的一条对称轴,确定函数()f x ,再根据函数()f x 在区间()12,x x 上具有单调性,得到21x x -的最大值为2Tπ=,然后由()()12f x f x =-,得到()()11,x f x 和()()22,x f x 两点关于函数()f x 的一个对称中心对称求解验证.【详解】 ∵56x π=是函数()f x 的一条对称轴,∴()53f x f x π⎛⎫=-⎪⎝⎭, 令0x =,得()503f f π⎛⎫=⎪⎝⎭,即-1a =,①正确; ∴()sin 2sin 3π⎛⎫=-=- ⎪⎝⎭f x x x x .又因为函数()f x 在区间()12,x x 上具有单调性, ∴21x x -的最大值为2Tπ=,且()()12f x f x =-, ∴()()11,x f x 和()()22,x f x 两点关于函数()f x 的一个对称中心对称,∴121233223x x x x k ππ⎛⎫⎛⎫-+- ⎪ ⎪+π⎝⎭⎝⎭=-=π,k Z ∈, ∴12223x x k ππ+=+,k Z ∈,当0k =时,12x x +取最小值23π,所以①③④正确,②错误. 故选:B 【点睛】本题主要考查三角函数的图象和性质,还考查了推理论证,运算求解的能力,属于中档题.3.在△ABC 中,角A ,B ,C 的对边分别为a ,b ,c ,若(a ﹣c cos B )sin A =c cos A sin B ,则△ABC 的形状一定是( ) A .钝角三角形 B .直角三角形C .等腰三角形D .锐角三角形【答案】C 【解析】 【分析】根据题意,由(cos )sin cos sin a c B A c A B -=变形可得sin sin a A c C =,进而由正弦定理可得22a c =,即a c =,即可得答案. 【详解】根据题意,在ABC ∆中,(cos )sin cos sin a c B A c A B -=, 变形可得:sin cos sin cos sin (cos sin cos sin )sin()sin a A c B A c A B c B A A B c A B c C =+=+=+=,即有sin sin a A c C =,又由正弦定理可得22a c =,即a c =. 故选:C . 【点睛】本题主要考查三角形的形状判断,考查正弦定理的应用,意在考查学生对这些知识点的理解掌握水平,属于基础题.4.函数()[]()cos 2,2f x x x ππ=∈-的图象与函数()sin g x x =的图象的交点横坐标的和为( ) A .53π B .2πC .76π D .π【答案】B 【解析】 【分析】根据两个函数相等,求出所有交点的横坐标,然后求和即可. 【详解】令sin cos2x x =,有2sin 12sin x x =-,所以sin 1x =-或1sin 2x =.又[],2x ππ∈-,所以2x π=-或32x π=或6x π=或56x π=,所以函数()[]()cos 2,2f x x x ππ=∈-的图象与函数()sin g x x =的图象交点的横坐标的和3522266s πππππ=-+++=,故选B. 【点睛】本题主要考查三角函数的图象及给值求角,侧重考查数学建模和数学运算的核心素养.5.上世纪末河南出土的以鹤的尺骨(翅骨)制成的“骨笛”(图1),充分展示了我国古代高超的音律艺术及先进的数学水平,也印证了我国古代音律与历法的密切联系.图2为骨笛测量“春(秋)分”,“夏(冬)至”的示意图,图3是某骨笛的部分测量数据(骨笛的弯曲忽略不计),夏至(或冬至)日光(当日正午太阳光线)与春秋分日光(当日正午太阳光线)的夹角等于黄赤交角.由历法理论知,黄赤交角近1万年持续减小,其正切值及对应的年代如下表: 黄赤交角 2341︒'2357︒'2413︒'2428︒'2444︒'正切值 0.439 0.444 0.450 0.455 0.461 年代公元元年公元前2000年公元前4000年公元前6000年公元前8000年根据以上信息,通过计算黄赤交角,可估计该骨笛的大致年代是( ) A .公元前2000年到公元元年 B .公元前4000年到公元前2000年 C .公元前6000年到公元前4000年 D .早于公元前6000年【答案】D 【解析】 【分析】先理解题意,然后根据题意建立平面几何图形,在利用三角函数的知识计算出冬至日光与春秋分日光的夹角,即黄赤交角,即可得到正确选项. 【详解】解:由题意,可设冬至日光与垂直线夹角为α,春秋分日光与垂直线夹角为β, 则αβ-即为冬至日光与春秋分日光的夹角,即黄赤交角, 将图3近似画出如下平面几何图形:则16tan 1.610α==,169.4tan 0.6610β-==, tan tan 1.60.66tan()0.4571tan tan 1 1.60.66αβαβαβ---==≈++⨯g .0.4550.4570.461<<Q ,∴估计该骨笛的大致年代早于公元前6000年.故选:D . 【点睛】本题考查利用三角函数解决实际问题的能力,运用了两角和与差的正切公式,考查了转化思想,数学建模思想,以及数学运算能力,属中档题.6.{}n a 为等差数列,公差为d ,且01d <<,5()2k a k Z π≠∈,223557sin 2sin cos sin a a a a +⋅=,函数()sin(4)(0)f x d wx d w =+>在20,3π⎛⎫⎪⎝⎭上单调且存在020,3x π⎛⎫∈ ⎪⎝⎭,使得()f x 关于0(,0)x 对称,则w 的取值范围是( ) A .20,3⎛⎤ ⎥⎝⎦B .30,2⎛⎤ ⎥⎝⎦C .24,33⎛⎤⎥⎝⎦D .33,42⎛⎤ ⎥⎝⎦【答案】D 【解析】 【分析】推导出sin4d =1,由此能求出d ,可得函数解析式,利用在203x π⎛⎫∈ ⎪⎝⎭,上单调且存在()()0020203x f x f x x π⎛⎫∈+-= ⎪⎝⎭,,,即可得出结论. 【详解】∵{a n }为等差数列,公差为d ,且0<d <1,a 52k π≠(k ∈Z ), sin 2a 3+2sin a 5•cos a 5=sin 2a 7, ∴2sin a 5cos a 5=sin 2a 7﹣sin 2a 3=2sin 372a a +cos 732a a -•2cos 372a a +sin 732a a -=2sin a 5cos2d •2cos a 5sin2d , ∴sin4d =1,∴d 8π=.∴f (x )8π=cosωx ,∵在203x π⎛⎫∈ ⎪⎝⎭,上单调 ∴23ππω≥, ∴ω32≤; 又存在()()0020203x f x f x x π⎛⎫∈+-= ⎪⎝⎭,,, 所以f (x )在(0,23π)上存在零点,即223ππω<,得到ω34>. 故答案为 33,42⎛⎤⎥⎝⎦故选D 【点睛】本题考查等差数列的公差的求法,考查三角函数的图象与性质,准确求解数列的公差是本题关键,考查推理能力,是中档题.7.已知函数()sin 26f x x π⎛⎫=-⎪⎝⎭,若方程()23f x =的解为12,x x (120x x π<<<),则()21sin x x -=( )A .23B .49C D 【答案】C 【解析】 【分析】 由已知可得2123x x π=-,结合x 1<x 2求出x 1的范围,再由()121122236sin x x sin x cos x ππ⎛⎫⎛⎫-=-=-- ⎪ ⎪⎝⎭⎝⎭求解即可. 【详解】因为0<x π<,∴112666x πππ⎛⎫-∈- ⎪⎝⎭,, 又因为方程()23f x =的解为x 1,x 2(0<x 1<x 2<π), ∴1223x x π+=,∴2123x x π=-, ∴()121122236sin x x sin x cos x ππ⎛⎫⎛⎫-=-=-- ⎪ ⎪⎝⎭⎝⎭, 因为122123x x x x π=-<,,∴0<x 13π<,∴12662x πππ⎛⎫-∈- ⎪⎝⎭,,∴由()112263f x sin x π⎛⎫=-= ⎪⎝⎭,得1263cos x π⎛⎫-= ⎪⎝⎭,∴()123sin x x -=-,故()21sin x x -=3故选C . 【点睛】本题考查了三角函数的恒等变换及化简求值和三角函数的图象与性质,属中档题.8.已知函数()sin()R,0,0,||2f x A x x A πωϕωϕ⎛⎫=+∈>>< ⎪⎝⎭的图象(部分)如图所示,则ω,ϕ分别为( )A .,3πωπϕ==B .2,3πωπϕ==C .,6πωπϕ==D .2,6πωπϕ==【答案】C 【解析】 【分析】由最大值可确定振幅A ,由周期确定ω,由1()23f =确定ϕ. 【详解】 由图可得,2A =,5114632T =-=,所以22T πω==,ωπ=,又1()23f =,所以12sin()23πϕ⨯+=,2,32k k Z ππϕπ+=+∈,即2,6k k Z πϕπ=+∈, 又2πϕ<,故6π=ϕ. 故选:C 【点睛】本题考查由图象确定正弦型函数解析式中的参数问题,考查学生逻辑推理能力,是一道中档题.9.如图,直三棱柱ABC A B C '''-的侧棱长为3,AB BC ⊥,3AB BC ==,点E ,F 分别是棱AB ,BC 上的动点,且AE BF =,当三棱锥B EBF '-的体积取得最大值时,则异面直线A F '与AC 所成的角为( )A .2π B .3π C .4π D .6π 【答案】C【解析】 【分析】设AE BF a ==,13B EBF EBF V S B B '-'=⨯⨯V ,利用基本不等式,确定点 E ,F 的位置,然后根据//EF AC ,得到A FE '∠即为异面直线A F '与AC 所成的角,再利用余弦定理求解. 【详解】设AE BF a ==,则()()23119333288B EBFa a V a a '-+-⎡⎤=⨯⨯⨯-⨯≤=⎢⎥⎣⎦,当且仅当3a a =-,即32a =时等号成立, 即当三棱锥B EBF '-的体积取得最大值时,点E ,F 分别是棱AB ,BC 的中点, 方法一:连接A E ',AF ,则352A E '=,352AF =,2292A F AA AF ''=+=,1322EF AC ==, 因为//EF AC ,所以A FE '∠即为异面直线A F '与AC 所成的角,由余弦定理得222819452424cos 93222222A F EF A E A FE A F EF +-''+-'∠==='⋅⋅⨯⨯, ∴4A FE π'∠=.方法二:以B 为坐标原点,以BC 、BA 、BB '分别为x 轴、y 轴、z 轴建立空间直角坐标系,则()0,3,0A ,()3,0,0C ,()0,3,3A ',3,0,02F ⎛⎫⎪⎝⎭, ∴3,3,32A F ⎛⎫'=-- ⎪⎝⎭u u u u r ,()3,3,0AC =-u u u r ,所以992cos ,922A F AC A F AC A F AC +'⋅'==='⋅⨯u u u u r u u u r u u u u r u u u r u u u u r u u u r ,所以异面直线A F '与AC 所成的角为4π. 故选:C 【点睛】本题主要考查异面直线所成的角,余弦定理,基本不等式以及向量法求角,还考查了推理论证运算求解的能力,属于中档题.10.定义在R 上的函数()f x 既是偶函数又是周期函数,若()f x 的最小正周期是π,且当π0,2x ⎡⎤∈⎢⎥⎣⎦时,()sin f x x =,则5π3f ⎛⎫⎪⎝⎭的值为( ) A .12-BC. D .12【答案】B 【解析】 分析:要求53f π⎛⎫⎪⎝⎭,则必须用()sin f x x =来求解,通过奇偶性和周期性,将变量转化到区间02π⎡⎤⎢⎥⎣⎦,上,再应用其解析式求解 详解:()f x Q 的最小正周期是π552333f f f ππππ⎛⎫⎛⎫⎛⎫∴=-=-⎪ ⎪ ⎪⎝⎭⎝⎭⎝⎭()f x Q 是偶函数33f f ππ⎛⎫⎛⎫∴-= ⎪ ⎪⎝⎭⎝⎭,533f f ππ⎛⎫⎛⎫= ⎪ ⎪⎝⎭⎝⎭Q 当02x π⎡⎤∈⎢⎥⎣⎦,时,()sin f x x =,则5 sin 333f f πππ⎛⎫⎛⎫===⎪ ⎪⎝⎭⎝⎭故选B点睛:本题是一道关于正弦函数的题目,掌握正弦函数的周期性是解题的关键,考查了函数的周期性和函数单调性的性质.11.在ABC ∆中,60B ∠=︒,AD 是BAC ∠的平分线交BC 于D,BD =,1cos 4BAC ∠=,则AD =( ) A .2 BCD.2【答案】A 【解析】 【分析】先求出sin BAD ∠=,再利用正弦定理求AD. 【详解】∵21cos 12sin 4BAC BAD ∠=-∠=,∴sin BAD ∠=.在ABD ∆中,sin sin AD BD B BAD =∠,∴sin 2sin 4BAD BD BAD =⋅==∠. 【点睛】本题主要考查二倍角的余弦和正弦定理解三角形,意在考查学生对这些知识的理解掌握水平和分析推理能力.12.已知函数()sin (0)f x x x ωωω=+>的图象关于直线8x π=对称,则ω的最小值为( ) A .13B .23C .43D .83【答案】C 【解析】 【分析】利用辅助角公式将函数()y f x =的解析式化简为()2sin 3f x x πω⎛⎫=+⎪⎝⎭,根据题意得出()832k k Z πππωπ+=+∈,可得出关于ω的表达式,即可求出正数ω的最小值.【详解】()sin 2sin 3f x x x x πωωω⎛⎫=+=+ ⎪⎝⎭Q ,由于该函数的图象关于直线8x π=对称,则()832k k Z πππωπ+=+∈,得()483k k Z ω=+∈, 0ω>Q ,当0k =时,ω取得最小值43.故选:C. 【点睛】本题考查利用正弦型函数的对称性求参数,解题时要将三角函数的解析式利用三角恒等变换思想化简,并通过对称性列出参数的表达式求解,考查计算能力,属于中等题.13.函数()1sin cos 1sin cos 1tan 01sin cos 1sin cos 32x x x x f x x x x x x x π+-++⎛⎫=++<< ⎪+++-⎝⎭的最小值为( ) ABCD【答案】B 【解析】 【分析】利用二倍角公式化简函数()f x ,求导数,利用导数求函数的最小值即可. 【详解】22222sin 2sin cos 2cos 2sin cos1sin cos 1sin cos 2222221sin cos 1sin cos 2cos 2sin cos 2sin 2sin cos 222222x x x x x x x x x x x x x x x xx x x x +++-+++=++++-++ 2sin sin cos 2cos sin cos sin cos 222222222sin cos sin 2cos sin cos 2sin sin cos 22222222x x x x x x x xx x x x x x x x x ⎛⎫⎛⎫++ ⎪ ⎪⎝⎭⎝⎭=+=+=⎛⎫⎛⎫++ ⎪ ⎪⎝⎭⎝⎭, 则()21tan 0sin 32f x x x x π⎛⎫=+<< ⎪⎝⎭, 32222221sin 2cos 16cos cos 1()sin 3cos sin 3cos 3sin cos x x x x f x x x x x x x '''--+⎛⎫⎛⎫=+=-+= ⎪ ⎪⎝⎭⎝⎭. 令()cos 0,1t x =∈,()3261g t t t =--+为减函数,且102g ⎛⎫=⎪⎝⎭,所以当03x π<<时,()11,02t g t <<<,从而()'0f x <; 当32x ππ<<时,()10,02t g t <<>,从而()'0f x >. 故()min 33f x f π⎛⎫== ⎪⎝⎭. 故选:A 【点睛】本题主要考查了三角函数的恒等变换,利用导数求函数的最小值,换元法,属于中档题.14.若函数()y f x =同时满足下列三个性质:①最小正周期为π;②图象关于直线3x π=对称;③在区间,63ππ⎡⎤-⎢⎥⎣⎦上单调递增,则()y f x =的解析式可以是( ) A .sin 26y x π⎛⎫=-⎪⎝⎭B .sin 26x y π⎛⎫=-⎪⎝⎭C .cos 26y x π⎛⎫=- ⎪⎝⎭D .cos 23y x π⎛⎫=+ ⎪⎝⎭ 【答案】A 【解析】 【分析】利用性质①可排除B ,利用性质②可排除C ,利用性质③可排除D ,通过验证选项A 同时满足三个性质. 【详解】逐一验证,由函数()f x 的最小正周期为π,而B 中函数最小正周期为2412ππ=,故排除B ;又cos 2cos 0362πππ⎛⎫⨯-== ⎪⎝⎭,所以cos 26y x π⎛⎫=- ⎪⎝⎭的图象不关于直线3x π=对称,故排除C ; 若63x ππ-≤≤,则023x ππ≤+≤,故函数cos 23y x π⎛⎫=+ ⎪⎝⎭在,63ππ⎡⎤-⎢⎥⎣⎦上单调递减,故排除D ; 令2262x πππ-≤-≤,得63x ππ-≤≤,所以函数sin 26y x π⎛⎫=- ⎪⎝⎭在,63ππ⎡⎤-⎢⎥⎣⎦上单调递增.由周期公式可得22T ππ==,当3x π=时,sin(2)sin 1362πππ⨯-==, 所以函数sin 26y x π⎛⎫=- ⎪⎝⎭同时满足三个性质.故选A . 【点睛】本题考查了三角函数的周期性,对称性,单调性,属于中档题.15.直线y a =与函数()tan (0)4f x x πωω⎛⎫=+> ⎪⎝⎭的图象的相邻两个交点的距离为2π,若()f x 在()(),0m m m ->上是增函数,则m 的取值范围是( )A .(0,]4πB .(0,]2πC .3(0,]4π D .3(0,]2π 【答案】B 【解析】 【分析】根据直线y a =与函数()f x 的图象的相邻两个交点的距离为一个周期,得到12ω=,则()1tan 24f x x π⎛⎫=+ ⎪⎝⎭,然后求得其单调增区间,再根据()f x 在()(),0m m m ->上是增函数,由(,)m m -是增区间的子集求解. 【详解】因为直线y a =与函数()f x 的图象的相邻两个交点的距离为一个周期, 所以12ω=,()1tan 24f x x π⎛⎫=+ ⎪⎝⎭,由12242k x k πππππ-<+<+,得322()22k x k k ππππ-<<+∈Z , 所以()f x 在3,22ππ⎛⎫-⎪⎝⎭上是增函数, 由3(,),22m m ππ⎛⎫-⊆-⎪⎝⎭, 解得02m π<≤.故选:B 【点睛】本题主要考查正切函数的图象和性质,还考查了运算求解的能力,属于中档题16.我国古代数学家秦九韶在《数书九章》中记述了“三斜求积术”,用现代式子表示即为:在ABC ∆中,角,,A B C 所对的边分别为,,a b c ,则ABC ∆的面积S =根据此公式,若()cos 3cos 0a B b c A ++=,且2222a b c --=,则ABC ∆的面积为( )AB.CD.【答案】A 【解析】 【分析】根据()cos 3cos 0a B b c A ++=,利用正弦定理边化为角得sin cos cos sin 3sin cos 0A B A B C A ++=,整理为()sin 13cos 0C A +=,根据sin 0C ≠,得1cos 3A =-,再由余弦定理得3bc =,又2222a b c --=,代入公式=S . 【详解】由()cos 3cos 0a B b c A ++=得sin cos cos sin 3sin cos 0A B A B C A ++=, 即()sin 3sin cos 0A B C A ++=,即()sin 13cos 0C A +=, 因为sin 0C ≠,所以1cos 3A =-, 由余弦定理22222cos 23a b c bc A bc --=-==,所以3bc =, 由ABC ∆的面积公式得S ===故选:A 【点睛】本题主要考查正弦定理和余弦定理以及类比推理,还考查了运算求解的能力,属于中档题.17.已知2433sin 5cos 77ππαα⎛⎫⎛⎫+=-+ ⎪ ⎪⎝⎭⎝⎭,则tan 14πα⎛⎫-= ⎪⎝⎭( )A .53-B .35-C .35D .53【答案】B 【解析】 【分析】根据诱导公式计算得到35tan 73πα⎛⎫+= ⎪⎝⎭,故3tan tan 1472πππαα⎡⎤⎛⎫⎛⎫-=+- ⎪ ⎪⎢⎥⎝⎭⎝⎭⎣⎦,解得答案. 【详解】由诱导公式可知24333sin 3sin 33sin 777πππαπαα⎡⎤⎛⎫⎛⎫⎛⎫+=++=-+⎪ ⎪ ⎪⎢⎥⎝⎭⎝⎭⎝⎭⎣⎦, 又2433sin 5cos 77ππαα⎛⎫⎛⎫+=-+ ⎪ ⎪⎝⎭⎝⎭得333sin 5cos 77ππαα⎛⎫⎛⎫-+=-+ ⎪⎪⎝⎭⎝⎭, 所以35tan 73πα⎛⎫+= ⎪⎝⎭,313tan tan 314725tan 7πππααπα⎡⎤⎛⎫⎛⎫-=+-=-=- ⎪⎪⎢⎥⎛⎫⎝⎭⎝⎭⎣⎦+ ⎪⎝⎭. 故选:B . 【点睛】本题考查了三角恒等变换,意在考查学生的计算能力和转化能力.18.函数2()sin cos 2cos f x a x a x x =+-的图象关于直线4πx =-对称,则()f x 的最大值为( ) A .2BC.D或【答案】D 【解析】 【分析】根据函数2()sin cos 2cos f x a x a x x =+-的图象关于直线4πx =-对称,则有()(0)2f f π-=,解得a ,得到函数再求最值.【详解】因为函数2()sin cos 2cos f x a x a x x =+-的图象关于直线4πx =-对称, 所以()(0)2f f π-=,即220a a +-=, 解得2a =-或1a =,当2a =-时,()sin 2cos 2cos 44f x x x x x π⎛⎫=--=- ⎪⎝⎭,此时()f x的最大值为;当1a =时,()sin cos 2cos 4f x x x x x π⎛⎫=+-=- ⎪⎝⎭,此时()f x;综上()f x 或. 故选:D 【点睛】本题主要考查三角函数的性质,还考查了分类讨论的思想和运算求解的能力,属于中档题.19.已知函数()sin()f x x ωϕ=+(0>ω,2πω<)的最小正周期为π,且其图象向左平移3π个单位后,得到函数()cos g x x ω=的图象,则函数()f x 的图象( ) A .关于直线12x π=对称B .关于直线512x π=对称 C .关于点(,0)12π对称D .关于点5(,0)12π对称 【答案】C 【解析】试题分析:依题意()()2,sin 2f x x ωϕ==+,平移后为2sin 2cos 2,36x x ππϕϕ⎛⎫++==- ⎪⎝⎭,()sin 26f x x π⎛⎫=- ⎪⎝⎭,关于,012π⎛⎫⎪⎝⎭对称.考点:三角函数图象与性质.20.已知函数())(0f x x ωϕω=+>,)22ππ-<ϕ<,1(3A ,0)为()f x 图象的对称中心,B ,C 是该图象上相邻的最高点和最低点,若4BC =,则()f x 的单调递增区间是()A .2(23k -,42)3k +,k Z ∈ B .2(23k ππ-,42)3k ππ+,k Z ∈C .2(43k -,44)3k +,k Z ∈ D .2(43k ππ-,44)3k ππ+,k Z ∈【答案】C 【解析】 【分析】由三角函数图像的性质可求得:2πω=,6πϕ=-,即()sin()26f x x ππ=-,再令222262k x k ππππππ--+剟,求出函数的单调增区间即可.【详解】解:函数())(0f x x ωϕω=+>,)22ππ-<ϕ<,因为1(3A ,0)为()f x 图象的对称中心,B ,C 是该图象上相邻的最高点和最低点,又4BC =,∴222()42T +=,即221216πω+=,求得2πω=.再根据123k πϕπ+=g ,k Z ∈,可得6πϕ=-,()3sin()26f x x ππ∴=-,令222262k x k ππππππ--+剟,求得244433k x k -+剟, 故()f x 的单调递增区间为2(43k -,44)3k +,k Z ∈, 故选:C . 【点睛】本题考查了三角函数图像的性质及单调性,属中档题.。
【最新】数学《三角函数与解三角形》专题解析一、选择题1.已知函数()3cos(2)2f x x π=+,若对于任意的x ∈R ,都有12()()()f x f x f x 成立,则12x x -的最小值为( ) A .4 B .1 C .12D .2【答案】D 【解析】 【分析】由题意得出()f x 的一个最大值为()2f x ,一个最小值为()1f x ,于此得出12x x -的最小值为函数()y f x =的半个周期,于此得出答案. 【详解】对任意的x ∈R ,()()()12f x f x f x 成立.所以()()2min 3f x f x ==-,()()2max 3f x f x ==,所以12min22Tx x -==,故选D . 【点睛】本题考查正余弦型函数的周期性,根据题中条件得出函数的最值是解题的关键,另外就是灵活利用正余弦型函数的周期公式,考查分析问题的能力,属于中等题.2.函数()[]()cos 2,2f x x x ππ=∈-的图象与函数()sin g x x =的图象的交点横坐标的和为( ) A .53π B .2πC .76π D .π【答案】B 【解析】 【分析】根据两个函数相等,求出所有交点的横坐标,然后求和即可. 【详解】令sin cos2x x =,有2sin 12sin x x =-,所以sin 1x =-或1sin 2x =.又[],2x ππ∈-,所以2x π=-或32x π=或6x π=或56x π=,所以函数()[]()cos 2,2f x x x ππ=∈-的图象与函数()sin g x x =的图象交点的横坐标的和3522266s πππππ=-+++=,故选B. 【点睛】本题主要考查三角函数的图象及给值求角,侧重考查数学建模和数学运算的核心素养.3.已知函数()2sin()0,,2f x x πωϕωϕπ⎛⎫⎡⎤=+>∈ ⎪⎢⎥⎣⎦⎝⎭的部分图象如图所示,其中()01f =,5||2MN =,则点M 的横坐标为( )A .12B .25-C .1-D .23-【答案】C 【解析】 【分析】 由(0)1f =求出56πϕ=,由5||23MN πω=⇒=,再根据()2f x =可得答案.【详解】由函数()2sin()0,,2f x x πωϕωϕπ⎛⎫⎡⎤=+>∈ ⎪⎢⎥⎣⎦⎝⎭的部分图象,可得(0)2sin 1f ϕ==,56πϕ∴=, 22512||2243MN ππωω⎛⎫==+⋅= ⎪⎝⎭, ∴函数5()2sin 36f x x ππ⎛⎫=+ ⎪⎝⎭,令52sin 236x ππ⎛⎫+= ⎪⎝⎭, 得52,0362x k k ππππ+=+=得1x =-. 故选:C. 【点睛】本题主要考查三角函数的图象与性质,考查了数形结合思想的应用,解题的关键是利用勾股定理列方程求出3πω=,属于中档题.4.已知ππ43πsin()cos()0,322ααα++-=-<<则2πcos()3α+等于( )A B .35C .45D .35【答案】C 【解析】 【分析】首先根据等式化简,得到4sin 65πα⎛⎫+=- ⎪⎝⎭,再利用诱导公式化简2cos 3πα⎛⎫+ ⎪⎝⎭求值. 【详解】解析:∵ππsin cos 32αα⎛⎫⎛⎫++-= ⎪ ⎪⎝⎭⎝⎭13sin sin sin 22ααααα+==6πα⎛⎫=+= ⎪⎝⎭∴π4sin 65()α+=-.又2ππππcos cos sin 32()())6(6ααα+=++=-+, ∴2π4co (s 35)α+=. 故选:C 【点睛】本题考查三角恒等变换,化简求值,重点考查转化与变形,计算能力,属于基础题型.5.若函数()sin()f x A x ωϕ=+(其中0A >,||)2πϕ<图象的一个对称中心为(3π,0),其相邻一条对称轴方程为712x π=,该对称轴处所对应的函数值为1-,为了得到()cos2g x x =的图象,则只要将()f x 的图象( )A .向右平移6π个单位长度 B .向左平移12π个单位长度 C .向左平移6π个单位长度 D .向右平移12π个单位长度【答案】B 【解析】 【分析】由函数的图象的顶点坐标求出A ,由周期求出ω,由五点法作图求出ϕ的值,可得()f x 的解析式,再根据函数()sin y A x ωϕ=+的图象变换规律,诱导公式,得出结论. 【详解】根据已知函数()()sin f x A x ωϕ=+(其中0A >,)2πϕ<的图象过点,03π⎛⎫ ⎪⎝⎭,7,112π⎛⎫-⎪⎝⎭, 可得1A =,1274123πππω⋅=-, 解得:2ω=. 再根据五点法作图可得23πϕπ⋅+=,可得:3πϕ=,可得函数解析式为:()sin 2.3f x x π⎛⎫=+ ⎪⎝⎭ 故把()sin 23f x x π⎛⎫=+ ⎪⎝⎭的图象向左平移12π个单位长度, 可得sin 2cos236y x x ππ⎛⎫=++= ⎪⎝⎭的图象, 故选B . 【点睛】本题主要考查由函数()sin y A x ωϕ=+的部分图象求解析式,由函数的图象的顶点坐标求出A ,由周期求出ω,由五点法作图求出ϕ的值,函数()sin y A x ωϕ=+的图象变换规律,诱导公式的应用,属于中档题.6.已知ABC 的三条边的边长分别为2米、3米、4米,将三边都增加x 米后,仍组成一个钝角三角形,则x 的取值范围是( ) A .102x << B .112x << C .12x << D .01x <<【答案】D 【解析】 【分析】根据余弦定理和三角形三边关系可求得x 的取值范围. 【详解】将ABC 的三条边的边长均增加x 米形成A B C ''',设A B C '''的最大角为A '∠,则A '∠所对的边的长为()4x +米,且A '∠为钝角,则cos 0A '∠<,所以()()()()()2222342340x x x x x x x ⎧+++<+⎪+++>+⎨⎪>⎩,解得01x <<.故选:D. 【点睛】本题考查利用余弦定理和三角形三边关系求参数的取值范围,灵活利用余弦定理是解本题的关键,考查计算能力,属于中等题.7.函数()2sin sin cos y x x x =+的最大值为( ) A .12+ B .21- C .2D .2【答案】A 【解析】由题意,得()22sin sin cos 2sin 2sin cos sin2cos21y x x x x x x x x =+=+=-+π2sin 21214x ⎛⎫=-+≤+ ⎪⎝⎭;故选A.8.已知函数()sin()f x x πϕ=+某个周期的图象如图所示,A ,B 分别是()f x 图象的最高点与最低点,C 是()f x 图象与x 轴的交点,则tan ∠BAC =( )A .12B .47C 255D 76565【答案】B 【解析】 【分析】过A 作AD 垂直于x 轴于点D ,AB 与x 轴交于E ,设C (a ,0),可得32CD =,11,2AD DE ==,3tan 2CD CAD AD ∠==,1tan 2ED EAD AD ∠==,再利用tan tan()BAC CAD EAD ∠=∠-∠计算即可.【详解】过A 作AD 垂直于x 轴于点D ,AB 与x 轴交于E ,由题可得周期为2,设(,0)C a ,则1(,1)2B a +-,3(,1)2A a +, 所以32CD =,11,2AD DE ==,3tan 2CD CAD AD ∠==,1tan 2ED EAD AD ∠== 所以tan tan tan tan()1tan tan CAD EADBAC CAD EAD CAD EAD∠-∠∠=∠-∠=+∠⋅∠31422317122-==+⨯. 故选:B【点睛】本题主要考查两角差的正切公式,涉及到正弦型函数图象等知识,考查学生数学运算能力,是一道中档题.9.直线y a =与函数()tan (0)4f x x πωω⎛⎫=+> ⎪⎝⎭的图象的相邻两个交点的距离为2π,若()f x 在()(),0m m m ->上是增函数,则m 的取值范围是( ) A .(0,]4π B .(0,]2πC .3(0,]4π D .3(0,]2π 【答案】B 【解析】 【分析】根据直线y a =与函数()f x 的图象的相邻两个交点的距离为一个周期,得到12ω=,则()1tan 24f x x π⎛⎫=+ ⎪⎝⎭,然后求得其单调增区间,再根据()f x 在()(),0m m m ->上是增函数,由(,)m m -是增区间的子集求解. 【详解】因为直线y a =与函数()f x 的图象的相邻两个交点的距离为一个周期, 所以12ω=,()1tan 24f x x π⎛⎫=+ ⎪⎝⎭,由12242k x k πππππ-<+<+,得322()22k x k k ππππ-<<+∈Z , 所以()f x 在3,22ππ⎛⎫-⎪⎝⎭上是增函数, 由3(,),22m m ππ⎛⎫-⊆- ⎪⎝⎭, 解得02m π<≤.故选:B 【点睛】本题主要考查正切函数的图象和性质,还考查了运算求解的能力,属于中档题10.已知双曲线()222210,0x y a b a b-=>>的左右焦点分别为1F ,2F ,M 为双曲线上一点,若121cos 4F MF ∠=,122MF MF =,则此双曲线渐近线方程为( ) A.y = B.3y x =±C .y x =±D .2y x =±【答案】A 【解析】 【分析】因为M 为双曲线上一点,可得122MF MF a -=,在12F MF ∆使用余弦定理,结合已知条件即可求得答案. 【详解】双曲线()222210,0x y a b a b-=>>的左右焦点分别为1F ,2F ,M 为双曲线上一点∴ 121222MF MF a MF MF ⎧-=⎪⎨=⎪⎩,解得:14MF a =,22MF a = 在12F MF ∆中,根据余弦定理可得:∴ 12121222122c 2os F F MF MF M MF MF F F ∠=+-⋅⋅可得:2221(2)(4)(2)2424c a a a a =+-⋅⋅⋅ 化简可得:2c a =由双曲线性质可得:22222243b c a a a a=-=-=可得:b=双曲线渐近线方程为:by xa=±则双曲线渐近线方程为: y=故选:A.【点睛】本题考查了求双曲线渐近线方程问题,解题关键是掌握双曲线的基本知识,数形结合,考查分析能力和计算能力,属于中档题.11.函数()()()cos20f x xϕϕπ=+<<在区间,66ππ⎡⎤-⎢⎥⎣⎦单调递减,在区间,06π⎛⎫-⎪⎝⎭上有零点,则ϕ的取值范围是()A.,62ππ⎡⎤⎢⎥⎣⎦B.25,36ππ⎡⎫⎪⎢⎣⎭C.2,23ππ⎛⎤⎥⎝⎦D.,32ππ⎡⎫⎪⎢⎣⎭【答案】C【解析】分析:结合余弦函数的单调减区间,求出零点,再结合零点范围列出不等式详解:当[,]66xππ∈-,2[,]33xππϕϕϕ+∈-++,又∵(0,)ϕπ∈,则[,][0,]33ππϕϕπ-++⊆,即33πϕπϕπ⎧-≥⎪⎪⎨⎪+≤⎪⎩,233ππϕ≤≤,由cos(2)0xϕ+=得2,2x k k Zπϕπ+=+∈,242kxππϕ=+-,∴0642ππϕ-<-<,解得526ππϕ<<,综上223ππϕ<≤.故选C.点睛:余弦函数的单调减区间:[2,2]k kππ+π,增区间:[2,22]k kππππ++,零点:2x kππ=+,对称轴:x kπ=,对称中心:,2)0(kππ+,k Z∈.12.ABC中,角A、B、C的对边分别为a,b,c,且tanC cos cosc B A=,若c=4a=,则b的值为()A.6 B.2 C.5 D【答案】A 【解析】 【分析】由正弦定理,两角和的正弦公式化简已知等式可得sin tan C C C =,结合sin 0C ≠,可求得tan C =()0,C π∈,可求C ,从而根据余弦定理24120b b --=,解方程可求b 的值. 【详解】解:∵tan cos cos c C B A =, ∴由正弦定理可得:)()sin tan sin cos sin cos C C A B B A A B C =+=+=,∵sin 0C ≠,∴可得tan C = ∵()0,C π∈, ∴3C π=,∵c =4a =,∴由余弦定理2222cos c a b ab C =+-,可得212816242b b =+-⨯⨯⨯,可得24120b b --=,∴解得6b =,(负值舍去). 故选:A . 【点睛】本题考查正弦定理、余弦定理的综合应用,其中着重考查了正弦定理的边角互化、余弦定理的解三角形,难度一般.利用边角互化求解角度值时,注意三角形内角对应的角度范围.13.在ABC ∆中,角A ,B ,C 所对的边分别为,,,3,sin a b c a c b A ===cos ,6a B b π⎛⎫+= ⎪⎝⎭则( )A .1 BC D 【答案】C 【解析】 【分析】将sin b A = cos 6a B π⎛⎫+ ⎪⎝⎭结合正弦定理化简,求得B ,再由余弦定理即可求得b . 【详解】因为sin b A = cos 6a B π⎛⎫+⎪⎝⎭,展开得sin b A =1?cos sin 2B a B -,由正弦定理化简得sin sinB A =1?cos sin 2B sinA B -= cos B即tanB =,而三角形中0<B<π,所以π 6B =由余弦定理可得2222cos b a c ac B =+- ,代入(2223236b π=+-⨯⨯解得b =所以选C 【点睛】本题考查了三角函数式的化简,正弦定理与余弦定理的应用,属于基础题.14.已知函数()sin (0)f x x x ωωω=+>的图象关于直线8x π=对称,则ω的最小值为( ) A .13B .23C .43D .83【答案】C 【解析】 【分析】利用辅助角公式将函数()y f x =的解析式化简为()2sin 3f x x πω⎛⎫=+⎪⎝⎭,根据题意得出()832k k Z πππωπ+=+∈,可得出关于ω的表达式,即可求出正数ω的最小值.【详解】()sin 2sin 3f x x x x πωωω⎛⎫=+=+ ⎪⎝⎭,由于该函数的图象关于直线8x π=对称,则()832k k Z πππωπ+=+∈,得()483k k Z ω=+∈, 0ω>,当0k =时,ω取得最小值43.故选:C.【点睛】本题考查利用正弦型函数的对称性求参数,解题时要将三角函数的解析式利用三角恒等变换思想化简,并通过对称性列出参数的表达式求解,考查计算能力,属于中等题.15.已知函数()()sin x f x x R ωφ+=∈,,其中0ωπφπ>-<,≤.若函数()f x 的最小正周期为4π,且当23x π=时,()f x 取最大值,是( ) A .()f x 在区间[]2ππ--,上是减函数 B .()f x 在区间[]0π-,上是增函数 C .()f x 在区间[]0π,上是减函数 D .()f x 在区间[]02π,上是增函数 【答案】B 【解析】 【分析】先根据题目所给已知条件求得()f x 的解析式,然后求函数的单调区间,由此得出正确选项. 【详解】由于函数()f x 的最小正周期为4π,故2π14π2ω==,即()1sin 2f x x φ⎛⎫=+ ⎪⎝⎭,2ππsin 1,33π6f φφ⎛⎫⎛⎫=+= ⎪ ⎪⎝⎭=⎭⎝.所以()1πsin 26f x x ⎛⎫=+ ⎪⎝⎭.由π1ππ2π2π2262k x k -≤+≤+,解得4π2π4π4π33k x k -≤≤+,故函数的递增区间是4π2π4π,4π33k k ⎡⎤-+⎢⎥⎣⎦,令0k =,则递增区间为4π2π,33⎡⎤-⎢⎥⎣⎦,故B 选项正确.所以本小题选B. 【点睛】本小题主要考查三角函数解析式的求法,考查三角函数单调区间的求法,属于基础题.16.已知曲线1:sin C y x =,21:cos 23C y x π⎛⎫=- ⎪⎝⎭,则下面结论正确的是( )A .把1C 上各点的横坐标缩短到原来的12倍,纵坐标不变,再把得到的曲线向右平移3π个单位长度,得到曲线2CB .把1C 上各点的横坐标伸长到原来的2倍,纵坐标不变,再把得到的曲线向右平移3π个单位长度,得到曲线2CC .把1C 上各点的横坐标缩短到原来的12倍,纵坐标不变,再把得到的曲线向左平移3π个单位长度,得到曲线2CD .把1C 上各点的横坐标伸长到原来的2倍,纵坐标不变,再把得到的曲线向左平移3π个单位长度,得到曲线2C 【答案】D 【解析】 【分析】根据三角函数的周期变换和左右平移变换依次得到各选项中所得的函数解析式,从而得到正确选项. 【详解】A 中,将sin y x =横坐标缩短到原来的12倍得:sin 2y x =;向右平移3π个单位长度后得:2sin 2sin 2sin 2cos 233266y x x x x πππππ⎛⎫⎛⎫⎛⎫⎛⎫=-=-=--=-- ⎪ ⎪ ⎪ ⎪⎝⎭⎝⎭⎝⎭⎝⎭,A 错误;B 中,将sin y x =横坐标伸长到原来的2倍得:1sin2y x =;向右平移3π个单位长度后得:11121sin sin cos cos 232622632y x x x x πππππ⎡⎤⎛⎫⎛⎫⎛⎫⎛⎫=-=-=--=- ⎪ ⎪ ⎪ ⎪⎢⎥⎝⎭⎝⎭⎝⎭⎝⎭⎣⎦,B 错误;C 中,将sin y x =横坐标缩短到原来的12倍得:sin 2y x =;向左平移3π个单位长度后得:2sin 2sin 2sin 2cos 233266y x x x x πππππ⎛⎫⎛⎫⎛⎫⎛⎫=+=+=++=+ ⎪ ⎪ ⎪ ⎪⎝⎭⎝⎭⎝⎭⎝⎭,C 错误;D 中,将sin y x =横坐标伸长到原来的2倍得:1sin2y x =;向左平移3π个单位长度后得:1111sin sin cos cos 232622623y x x x x πππππ⎡⎤⎛⎫⎛⎫⎛⎫⎛⎫=+=+=-+=- ⎪ ⎪ ⎪ ⎪⎢⎥⎝⎭⎝⎭⎝⎭⎝⎭⎣⎦,D 正确. 故选:D 【点睛】本题考查三角函数的周期变换和平移变换的问题,关键是能够准确掌握变换原则,得到变换后的函数解析式.17.已知函数())(0f x x ωϕω=+>,)22ππ-<ϕ<,1(3A ,0)为()f x 图象的对称中心,B ,C 是该图象上相邻的最高点和最低点,若4BC =,则()f x 的单调递增区间是()A .2(23k -,42)3k +,k Z ∈ B .2(23k ππ-,42)3k ππ+,k Z ∈C .2(43k -,44)3k +,k Z ∈ D .2(43k ππ-,44)3k ππ+,k Z ∈【答案】C 【解析】 【分析】由三角函数图像的性质可求得:2πω=,6πϕ=-,即()sin()26f x x ππ=-,再令222262k x k ππππππ--+,求出函数的单调增区间即可.【详解】解:函数())(0f x x ωϕω=+>,)22ππ-<ϕ<, 因为1(3A ,0)为()f x 图象的对称中心,B ,C 是该图象上相邻的最高点和最低点,又4BC =,∴222()42T +=,即221216πω+=,求得2πω=.再根据123k πϕπ+=,k Z ∈,可得6πϕ=-,()3sin()26f x x ππ∴=-,令222262k x k ππππππ--+,求得244433k x k -+, 故()f x 的单调递增区间为2(43k -,44)3k +,k Z ∈, 故选:C . 【点睛】本题考查了三角函数图像的性质及单调性,属中档题.18.关于函数()()()sin tan cos tan f x x x =-有下述四个结论: ①()f x 是奇函数;②()f x 在区间0,4π⎛⎫⎪⎝⎭单调递增;③π是()f x 的周期; ④()f x 的最大值为2.其中所有正确结论的个数是( ) A .4 B .3C .2D .1【答案】C 【解析】 【分析】计算()()()sin tan cos tan f x x x -=--得到①错误,根据复合函数单调性判断法则判断②正确,()()f x f x π+=③正确,假设()f x 的最大值为2,取()2f a =,得到矛盾,④错误,得到答案. 【详解】()()()sin tan cos tan f x x x =-,()()()sin tan cos tan f x x x -=---⎡⎤⎡⎤⎣⎦⎣⎦()()sin tan cos tan x x =--,所以()f x 为非奇非偶函数,①错误;当0,4x π⎛⎫∈ ⎪⎝⎭时,令tan t x =,()0,1t ∈, 又()0,1t ∈时sin y t =单调递增,cos y t =单调递减,根据复合函数单调性判断法则, 当0,4x π⎛⎫∈ ⎪⎝⎭时,()sin tan y x =,()cos tan y x =-均为增函数, 所以()f x 在区间0,4π⎛⎫⎪⎝⎭单调递增,所以②正确; ()()()sin tan cos tan f x x x πππ+=+-+⎡⎤⎡⎤⎣⎦⎣⎦()()()sin tan cos tan x x f x =-=,所以π是()f x 的周期,所以③正确;假设()f x 的最大值为2,取()2f a =,必然()sin tan 1a =,()cos tan 1a =-, 则tan 22a k ππ=+,k Z ∈与tan 2a k ππ=+,k Z ∈矛盾,所以()f x 的最大值小于2,所以④错误. 故选:C . 【点睛】本题考查了三角函数奇偶性,单调性,周期,最值,意在考查学生对于三角函数知识的综合应用.19.设2α是第一象限角,且cos cos αα=-,则α是第( )象限角 A .一 B .二C .三D .四【答案】B 【解析】 【分析】计算得到720180720k k α︒<<︒+︒,k Z ∈,再根据cos 0α<得到答案. 【详解】∵2α是第一象限角,∴360903602k k α︒<<︒+︒,k Z ∈,∴720180720k k α︒<<︒+︒,k Z ∈,∴α为第一象限角或第二象限角或终边在y 轴正半轴上的轴线角, ∵cos cos αα=-,∴cos 0α<,∴α是第二象限角. 故选:B . 【点睛】本题考查了角度所在象限,意在考查学生的计算能力和转化能力.20.将函数sin(2)4y x π=-的图象向左平移4π个单位,所得图象对应的函数在区间(,)m m -上无极值点,则m 的最大值为( )A .8π B .4π C .38π D .2π 【答案】A 【解析】 【分析】由三角函数的图象变换,求得函数sin 24y x π⎛⎫=+⎪⎝⎭,求得增区间3,,88k k k Z ππππ⎡⎤-++∈⎢⎥⎣⎦,令0k =,可得函数的单调递增区间为3,88ππ⎡⎤-⎢⎥⎣⎦,进而根据函数sin 24y x π⎛⎫=+ ⎪⎝⎭在区间(),m m -上无极值点,即可求解. 【详解】由题意,将函数sin 24y x π⎛⎫=-⎪⎝⎭的图象向左平移4π个单位, 可得函数sin 2sin 2444y x x πππ⎡⎤⎛⎫⎛⎫=+-=+ ⎪ ⎪⎢⎥⎝⎭⎝⎭⎣⎦, 令222,242k x k k Z πππππ-+≤+≤+∈,解得3,88k x k k Z ππππ-+≤≤+∈ 即函数sin 24y x π⎛⎫=+⎪⎝⎭的单调递增区间为3,,88k k k Z ππππ⎡⎤-++∈⎢⎥⎣⎦,令0k =,可得函数的单调递增区间为3,88ππ⎡⎤-⎢⎥⎣⎦, 又由函数sin 24y x π⎛⎫=+ ⎪⎝⎭在区间(),m m -上无极值点,则m 的最大值为8π,故选A. 【点睛】本题主要考查了三角函数的图象变换,以及三角函数的性质的应用,其中解答中熟练应用三角函数的图象变换得到函数的解析式,再根据三角函数的性质,求得其单调递增区间是解答的关键,着重考查了运算与求解能力,属于中档试题.。
数学《三角函数与解三角形》复习知识点(1)一、选择题1.已知函数()()sin 3cos 0x f x x ωωω=->,若集合()(){}0,1x f x π∈=-含有4个元素,则实数ω的取值范围是( ) A .35,22⎡⎫⎪⎢⎣⎭B .35,22⎛⎤⎥⎝⎦C .725,26⎡⎫⎪⎢⎣⎭D .725,26⎛⎤⎥⎝⎦【答案】D 【解析】 【分析】化简f (x )的解析式,作出f (x )的函数图象,利用三角函数的性质求出直线y=﹣1与y=f (x )在(0,+∞)上的交点坐标,则π介于第4和第5个交点横坐标之间. 【详解】 f (x )=2sin (ωx ﹣3π), 作出f (x )的函数图象如图所示:令2sin (ωx ﹣3π)=﹣1得ωx ﹣3π=﹣6π+2kπ,或ωx ﹣3π=76π+2kπ, ∴x=6πω+2k πω,或x=32πω+2k πω,k ∈Z , 设直线y=﹣1与y=f (x )在(0,+∞)上从左到右的第4个交点为A ,第5个交点为B , 则x A =322ππωω+,x B =46ππωω+, ∵方程f (x )=﹣1在(0,π)上有且只有四个实数根, ∴x A <π≤x B ,即322ππωω+<π≤46ππωω+,解得72526ω≤<. 故选B .【点睛】本题考查了三角函数的恒等变换,三角函数的图象与性质,属于中档题.2.在ABC ∆中,角,,A B C 所对应的边分别为,,a b c ,已知cos cos 2b C c B b +=,则ab=( ) A .23 B .2C .2D .1【答案】B 【解析】 【分析】由正弦定理及题设可知,sin cos sin cos 2sin B C C B B +=,即sin()2sin B C B +=,又A B C π++=,可得sin 2sin A B =,再由正弦定理,可得解【详解】由正弦定理:2sin sin b cR B C==,又cos cos 2b C c B b += 得到sin cos sin cos 2sin B C C B B +=,即sin()2sin B C B +=在ABC ∆中,A B C π++=故sin()2sin A B π-=,即sin 2sin A B =故sin 2sin a A b B == 故选:B 【点睛】本题考查了正弦定理在边角互化中的应用,考查了学生综合分析,转化划归,数学运算能力,属于中档题3.如图,边长为1正方形ABCD ,射线BP 从BA 出发,绕着点B 顺时针方向旋转至BC ,在旋转的过程中,记([0,])2ABP x x π∠=∈,BP 所经过的在正方形ABCD 内的区域(阴影部分)的面积为()y f x =,则函数()f x 的图像是( )A .B .C .D .【答案】D 【解析】 【分析】根据条件列()y f x =,再根据函数图象作判断. 【详解】当0,4x π⎡⎤∈⎢⎥⎣⎦时,()112y f x tanx ==⨯⨯; 当,42x ππ⎛⎤∈⎥⎝⎦时,()11112y f x tanx ==-⨯⨯;根据正切函数图象可知选D. 【点睛】本题考查函数解析式以及函数图象,考查基本分析识别能力,属基本题.4.已知函数sin(),0()cos(),0x a x f x x b x +≤⎧=⎨+>⎩的图像关于y 轴对称,则sin y x =的图像向左平移( )个单位,可以得到cos()y x a b =++的图像( ). A .4π B .3π C .2π D .π【答案】D 【解析】 【分析】根据条件确定,a b 关系,再化简()cos y x a b =++,最后根据诱导公式确定选项. 【详解】 因为函数()()(),0,0sin x a x f x cos x b x ⎧+≤⎪=⎨+>⎪⎩的图像关于y 轴对称,所以sin cos 22a b ππ⎛⎫⎛⎫-+=+ ⎪ ⎪⎝⎭⎝⎭,()()sin cos a b ππ-+=+,即sin cos sin cos b a a b ,==,因此π2π()2a b k k Z +=+∈, 从而()()cos sin y x a b sinx x π=++=-=+,选D. 【点睛】本题考查偶函数性质、诱导公式、三角函数图象变换,考查基本分析识别能力,属中档题.5.在△ABC 中,7b =,5c =,3B π∠=,则a 的值为 A .3 B .4C .7D .8【答案】D 【解析】 【分析】根据题中所给的条件两边一角,由余弦定理可得2222cos b a c ac B =+-,代入计算即可得到所求的值. 【详解】因为7,5,3b c B π==∠=,由余弦定理可得2222cos b a c ac B =+-,即214925252a a =+-⨯⨯,整理得25240a a --=, 解得8a =或5a =-(舍去),故选D. 【点睛】该题考查的是有关解三角形的问题,在解题的过程中,涉及到的知识点有余弦定理,解三角形所用的就是正弦定理和余弦定理,结合题中的条件,选择适当的方法求得结果.6.△ABC 中,已知tanA =13,tanB =12,则∠C 等于( )A .30°B .45°C .60°D .135°【答案】D 【解析】 【分析】利用三角形内角和为180o ,可得:tan tan()tan(+)C A B A B π=--=-,利用两角和公式和已知条件,即可得解. 【详解】 在△ABC 中,11tan tan 32tan tan()tan(+)=-1111tan tan 132A B C A B A B A B π++=--=-=-=---⋅, 所以135C ?o .故选:D. 【点睛】本题考查了正切的两角和公式,考查了三角形内角和,考查了转化思想和计算能力,属于中档题.7.已知ABC V 的内角,,A B C 的对边分别为,,a b c,且cos cos 2cos a B b A C+=,1a =,b =c =( )AB .1CD【答案】B 【解析】 【分析】先由正弦定理将cos cos a B b A +=中的边转化为角,可得sin()A B +=可求出角6C π=,再利用余弦定理可求得结果.【详解】解:因为cos cos a B b A +=,所以正弦定理得,sin cos sin cos 2cos CA B B A C+=所以sin()A B +=sin C = 因为sin 0C ≠,所以cos C =, 又因为(0,)C π∈,所以6C π=,因为1a =,b =所以由余弦定理得,2222cos 13211c a b ab C =+-=+-⨯=, 所以1c = 故选:B 【点睛】此题考查的是利用正、余弦定理解三角形,属于中档题.8.设函数())cos(2)f x x x ϕϕ=+++(||)2πϕ<,且其图像关于直线0x =对称,则( )A .()y f x =的最小正周期为π,且在(0,)2π上为增函数B .()y f x =的最小正周期为2π,且在(0,)4π上为增函数 C .()y f x =的最小正周期为π,且在(0,)2π上为减函数D .()y f x =的最小正周期为2π,且在(0,)4π上为减函数【答案】C 【解析】试题分析:())cos(2)f x x x ϕϕ=+++2sin(2)6x πϕ=++,∵函数图像关于直线0x =对称,∴函数()f x 为偶函数,∴3πϕ=,∴()2cos 2f x x =,∴22T ππ==, ∵02x π<<,∴02x π<<,∴函数()f x 在(0,)2π上为减函数.考点:1.三角函数式的化简;2.三角函数的奇偶性;3.三角函数的周期;4.三角函数的单调性.9.若函数()y f x =同时满足下列三个性质:①最小正周期为π;②图象关于直线3x π=对称;③在区间,63ππ⎡⎤-⎢⎥⎣⎦上单调递增,则()y f x =的解析式可以是( ) A .sin 26y x π⎛⎫=-⎪⎝⎭B .sin 26x y π⎛⎫=-⎪⎝⎭ C .cos 26y x π⎛⎫=- ⎪⎝⎭D .cos 23y x π⎛⎫=+ ⎪⎝⎭ 【答案】A 【解析】 【分析】利用性质①可排除B ,利用性质②可排除C ,利用性质③可排除D ,通过验证选项A 同时满足三个性质. 【详解】逐一验证,由函数()f x 的最小正周期为π,而B 中函数最小正周期为2412ππ=,故排除B ;又cos 2cos 0362πππ⎛⎫⨯-== ⎪⎝⎭,所以cos 26y x π⎛⎫=- ⎪⎝⎭的图象不关于直线3x π=对称,故排除C ; 若63x ππ-≤≤,则023x ππ≤+≤,故函数cos 23y x π⎛⎫=+ ⎪⎝⎭在,63ππ⎡⎤-⎢⎥⎣⎦上单调递减,故排除D ; 令2262x πππ-≤-≤,得63x ππ-≤≤,所以函数sin 26y x π⎛⎫=- ⎪⎝⎭在,63ππ⎡⎤-⎢⎥⎣⎦上单调递增.由周期公式可得22T ππ==,当3x π=时,sin(2)sin 1362πππ⨯-==, 所以函数sin 26y x π⎛⎫=- ⎪⎝⎭同时满足三个性质.故选A . 【点睛】本题考查了三角函数的周期性,对称性,单调性,属于中档题.10.将函数cos y x =的图象先左移4π,再纵坐标不变,横坐标缩为原来的12,所得图象的解析式为( ) A .sin 24y x π⎛⎫=+ ⎪⎝⎭B .13sin 24y x π⎛⎫=+⎪⎝⎭C .1sin 24y x π⎛⎫=+ ⎪⎝⎭D .3sin 24y x π⎛⎫=+ ⎪⎝⎭ 【答案】D 【解析】 【分析】根据三角函数的平移伸缩变换法则得到答案. 【详解】cos sin 2y x x π⎛⎫==+ ⎪⎝⎭向左平移4π个单位,故变为3sin 4y x π⎛⎫=+ ⎪⎝⎭,纵坐标不变,横坐标缩为原来的12,变为3sin 24y x π⎛⎫=+ ⎪⎝⎭. 故选:D . 【点睛】本题考查了三角函数的平移伸缩变换,意在考查学生对于平移伸缩变换的理解和掌握.11.若函数tan 23y x k π⎛⎫=-+ ⎪⎝⎭,0,6x π⎛⎫∈ ⎪⎝⎭的图象都在x 轴上方,则实数k 的取值范围为( )A .)+∞ B .)+∞C .()+∞D .()【答案】A 【解析】 【分析】计算tan 203x π⎛⎫<-< ⎪⎝⎭,tan 23x k π⎛⎫->- ⎪⎝⎭恒成立,得到答案.【详解】∵0,6x π⎛⎫∈ ⎪⎝⎭,∴2033x ππ-<-<,∴tan 203x π⎛⎫-< ⎪⎝⎭,函数tan 23y x k π⎛⎫=-+ ⎪⎝⎭,0,6x π⎛⎫∈ ⎪⎝⎭的图象都在x 轴上方, 即对任意的0,6x π⎛⎫∈ ⎪⎝⎭,都有tan 203x k π⎛⎫-+> ⎪⎝⎭,即tan 23x k π⎛⎫->- ⎪⎝⎭,∵tan 23x π⎛⎫-> ⎪⎝⎭k -≤,k ≥ 故选:A . 【点睛】本题考查了三角函数恒成立问题,转化为三角函数值域是解题的关键.12.函数()()()cos 20f x x ϕϕπ=+<<在区间,66ππ⎡⎤-⎢⎥⎣⎦单调递减,在区间,06π⎛⎫- ⎪⎝⎭上有零点,则ϕ的取值范围是( ) A .,62ππ⎡⎤⎢⎥⎣⎦B .25,36ππ⎡⎫⎪⎢⎣⎭ C .2,23ππ⎛⎤⎥⎝⎦ D .,32ππ⎡⎫⎪⎢⎣⎭【答案】C 【解析】分析:结合余弦函数的单调减区间,求出零点,再结合零点范围列出不等式 详解:当[,]66x ππ∈-,2[,]33x ππϕϕϕ+∈-++,又∵(0,)ϕπ∈,则[,][0,]33ππϕϕπ-++⊆,即033πϕπϕπ⎧-≥⎪⎪⎨⎪+≤⎪⎩,233ππϕ≤≤,由cos(2)0x ϕ+=得2,2x k k Z πϕπ+=+∈,242k x ππϕ=+-, ∴0642ππϕ-<-<,解得526ππϕ<<, 综上223ππϕ<≤. 故选C.点睛:余弦函数的单调减区间:[2,2]k k ππ+π,增区间:[2,22]k k ππππ++,零点:2x k ππ=+,对称轴:x k π=,对称中心:,2)0(k ππ+,k Z ∈.13.ABC ∆的内角A B C 、、的对边分别是a b c 、、,若2B A =,1a =,b =c =( )A.B .2CD .1【答案】B 【解析】1sin A ===cos A =,所以22212c c =+-2320,c c -+=求得1c =或 2.c = 若1c =,则三角形为等腰三角形,030,60A C B ===不满足内角和定理,排除. 【考点定位】本题考查正弦定理和余弦定理的应用,考查运算能力和分类讨论思想.当求出cos 2A =后,要及时判断出0030,60A B ==,便于三角形的初步定型,也为排除1c =提供了依据.如果选择支中同时给出了1或2,会增大出错率.14.某船开始看见灯塔A 时,灯塔A 在船南偏东30o 方向,后来船沿南偏东60︒的方向航行45km 后,看见灯塔A 在船正西方向,则这时船与灯塔A 的距离是( ) A. B .30kmC .15kmD.【答案】D 【解析】 【分析】如图所示,设灯塔位于A 处,船开始的位置为B ,船行45km 后处于C ,根据题意求出BAC ∠与BAC ∠的大小,在三角形ABC 中,利用正弦定理算出AC 的长,可得该时刻船与灯塔的距离. 【详解】设灯塔位于A 处,船开始的位置为B ,船行45km 后处于C ,如图所示,可得60DBC ∠=︒,30ABD ∠=︒,45BC =30ABC ∴∠=︒,120BAC ∠=︒在三角形ABC 中,利用正弦定理可得:sin sin AC BCABC BAC=∠∠,可得sin 1153sin 23BC ABC AC km BAC ∠===∠ 故选D 【点睛】本题主要考查的是正弦定理,以及特殊角的三角函数值,熟练掌握正弦定理是解决本题的关键,属于基础题.15.已知函数()sin()f x x ωϕ=+(0>ω,2πω<)的最小正周期为π,且其图象向左平移3π个单位后,得到函数()cos g x x ω=的图象,则函数()f x 的图象( ) A .关于直线12x π=对称B .关于直线512x π=对称 C .关于点(,0)12π对称D .关于点5(,0)12π对称 【答案】C 【解析】试题分析:依题意()()2,sin 2f x x ωϕ==+,平移后为2sin 2cos 2,36x x ππϕϕ⎛⎫++==- ⎪⎝⎭,()sin 26f x x π⎛⎫=- ⎪⎝⎭,关于,012π⎛⎫⎪⎝⎭对称.考点:三角函数图象与性质.16.40cos2d cos sin xx x xπ=+⎰( )A .2(21)-B .21+C .21-D .22-【答案】C 【解析】 【分析】利用三角恒等变换中的倍角公式,对被积函数进行化简,再求积分. 【详解】因为22cos2cos sin cos sin cos sin cos sin x x xx x x x x x-==-++,∴4400cos 2d (cos sin )d (sin cos )214cos sin 0xx x x x x x x x πππ=-=+=-+⎰⎰,故选C . 【点睛】本题考查三角恒等变换知与微积分基本定理的交汇.17.在ABC V 中,角A 的平分线交边BC 于D ,4AB =,8AC =,2BD =,则ABD △的面积是( )A .15B .315C .1D .3【答案】A 【解析】 【分析】先根据正弦定理求得DC ,再结合余弦定理求得cos B ,进而求出ABD S V ,即可求得结论. 【详解】 如图:()sin sin sin ADC ADB ADB π∠=-∠=∠,在ABD △中,由正弦定理得sin sin BD ABBAD ADB=∠∠,同理可得sin sin CD ACCAD ADC=∠∠,因为ABC V 中,角A 的平分线交边BC 于D ,上述两个等式相除得BD ABCD AC=,4AB =Q ,8AC =,2BD =,8244AC BD CD AB ⋅⨯∴===,6BC ∴=.2222224681cos 22464AB BC AC B AB BC +-+-∴===-⋅⨯⨯,sin B ==1sin 2ABD S AB BD B ∴=⋅⋅=V 故选:A . 【点睛】本题考查三角形面积的求法以及角平分线的性质应用,是中档题,解题时要注意余弦定理的合理运用,考查计算能力,属于中等题.18.设2α是第一象限角,且cos cos αα=-,则α是第( )象限角 A .一 B .二C .三D .四【答案】B 【解析】 【分析】计算得到720180720k k α︒<<︒+︒,k Z ∈,再根据cos 0α<得到答案. 【详解】∵2α是第一象限角,∴360903602k k α︒<<︒+︒,k Z ∈,∴720180720k k α︒<<︒+︒,k Z ∈,∴α为第一象限角或第二象限角或终边在y 轴正半轴上的轴线角,∵cos cos αα=-,∴cos 0α<,∴α是第二象限角. 故选:B . 【点睛】本题考查了角度所在象限,意在考查学生的计算能力和转化能力.19.在函数:①cos |2|y x =;②|cos |y x =;③cos 26y x π⎛⎫=+ ⎪⎝⎭;④tan 24y x π⎛⎫=- ⎪⎝⎭中,最小正周期为π的所有函数为( ) A .①②③ B .①③④C .②④D .①③【答案】A 【解析】逐一考查所给的函数:cos 2cos2y x x == ,该函数为偶函数,周期22T ππ== ;将函数cos y x = 图象x 轴下方的图象向上翻折即可得到cos y x = 的图象,该函数的周期为122ππ⨯= ; 函数cos 26y x π⎛⎫=+ ⎪⎝⎭的最小正周期为22T ππ== ; 函数tan 24y x π⎛⎫=-⎪⎝⎭的最小正周期为22T ππ==;综上可得最小正周期为π的所有函数为①②③. 本题选择A 选项.点睛:求三角函数式的最小正周期时,要尽可能地化为只含一个三角函数的式子,否则很容易出现错误.一般地,经过恒等变形成“y =A sin(ωx +φ),y =A cos(ωx +φ),y =A tan(ωx +φ)”的形式,再利用周期公式即可.20.在极坐标系中,曲线4sin 6πρθ⎛⎫=+ ⎪⎝⎭关于( ) A .直线3πθ=对称B .直线6πθ=对称C .点2,6π⎛⎫⎪⎝⎭对称 D .极点对称【答案】A 【解析】 【分析】由4sin 6πρθ⎛⎫=+ ⎪⎝⎭,得直角坐标方程:2220x x y -+-= ,圆心为( ,又因为直线3πθ=即:y = 过点(,由此便可得出答案.【详解】由曲线4sin 6πρθ⎛⎫=+ ⎪⎝⎭,即:24sin 6πρρθ⎛⎫=+ ⎪⎝⎭,又因为cos sin x y ρθρθ=⎧⎨=⎩,化简得曲线的直角坐标方程:2220x x y -+-= ,故圆心为( .又因为直线3πθ=,直角坐标方程为:y = ,直线y =过点(,故曲线关于直线3πθ=对称故选:A. 【点睛】本题主要考查曲线及直线的极坐标方程与直角坐标方程的转化,以及圆关于过圆心的直线对称的知识,属于中等难度题目.。
数学《三角函数与解三角形》复习知识要点(1)一、选择题1.已知sin α,sin()10αβ-=-,,αβ均为锐角,则β=( ) A .512πB .3π C .4π D .6π 【答案】C 【解析】 【分析】 由题意,可得22ππαβ-<-<,利用三角函数的基本关系式,分别求得cos ,cos()ααβ-的值,利用sin[(]sin )ααββ=--,化简运算,即可求解.【详解】由题意,可得α,β均为锐角,∴-2π <α-β<2π.又sin(α-β),∴cos(α-β).又sin α=5,∴cos α=5, ∴sin β=sin[α-(α-β)]=sin αcos(α-β)-cos αsin(α-β)=5×10-5×10⎛⎫- ⎪ ⎪⎝⎭=2.∴β=4π. 【点睛】本题主要考查了三角函数的化简、求值问题,其中熟记三角函数的基本关系式和三角恒等变换的公式,合理构造sin[(]sin )ααββ=--,及化简与运算是解答的关键,着重考查了推理与运算能力,属于基础题.2.将函数()()sin 0,π2f x x ϕωϕω⎛⎫=+>< ⎪⎝⎭的图象向右平移6π个单位长度后,所得图象关于y 轴对称,且1π2f ω⎛⎫=- ⎪⎝⎭,则当ω取最小值时,函数()f x 的解析式为( )A .()sin 26f x x π⎛⎫=+⎪⎝⎭B .()sin 2π6f x x ⎛⎫=- ⎪⎝⎭C .()sin 4π6f x x ⎛⎫=+ ⎪⎝⎭D .()sin 4π6f x x ⎛⎫=- ⎪⎝⎭【答案】C 【解析】由题意利用函数()sin y A x ωφ=+的图象变换规律,可得所得函数的解析式,由12f πω⎛⎫=- ⎪⎝⎭,求出φ,再根据所得图象关于y 轴对称求出ω,可得()f x 的解析式.【详解】解:将函数()()sin (0,)2f x x πωφωφ=+><的图象向右平移6π个单位长度后,可得sin 6y x ωπωφ⎛⎫=-+ ⎪⎝⎭的图象;∵所得图象关于y 轴对称,∴62k ωππφπ-+=+,k Z ∈.∵()1sin sin 2f ππφφω⎛⎫=-=+=- ⎪⎝⎭,即1sin 2φ=,26ππφφ<=,. ∴63k ωπππ-=+,620k ω=-->, 则当ω取最小值时,取1k =-,可得4ω=, ∴函数()f x 的解析式为()sin 46f x x π⎛⎫=+ ⎪⎝⎭. 故选C . 【点睛】本题主要考查函数()sin y A x ωφ=+的图象变换规律,正弦函数的性质,属于中档题.3.△ABC 中,已知tanA =13,tanB =12,则∠C 等于( )A .30°B .45°C .60°D .135°【答案】D 【解析】 【分析】利用三角形内角和为180o ,可得:tan tan()tan(+)C A B A B π=--=-,利用两角和公式和已知条件,即可得解. 【详解】 在△ABC 中,11tan tan 32tan tan()tan(+)=-1111tan tan 132A BC A B A B A B π++=--=-=-=---⋅,所以135C ?o .故选:D.本题考查了正切的两角和公式,考查了三角形内角和,考查了转化思想和计算能力,属于中档题.4.已知函数()()03f x x πωω⎛⎫=-> ⎪⎝⎭的最小正周期为π,若()()122f x f x ⋅=-,则12x x -的最小值为( )A .2π B .3π C .πD .4π【答案】A 【解析】 【分析】由正弦型函数的最小正周期可求得ω,得到函数解析式,从而确定函数的最大值和最小值;根据()()122f x f x ⋅=-可知1x x =和2x x =必须为最大值点和最小值点才能够满足等式;利用整体对应的方式可构造方程组求得()12122x x k k ππ-=-+,12,k k Z ∈;从而可知120k k -=时取最小值. 【详解】由()f x 最小正周期为π可得:2ππω= 2ω∴= ()23f x x π⎛⎫∴=- ⎪⎝⎭()max f x ∴,()min f x =()()122f x f x ⋅=-Q 1x x ∴=和2x x =分别为()f x 的最大值点和最小值点设1x x =为最大值点,2x x =为最小值点()1112222232,2232x k k k Z x k ππππππ⎧-=+⎪⎪∴∈⎨⎪-=-⎪⎩()12122x x k k ππ∴-=-+,当120k k -=时,12min2x x π-=本题正确选项:A 【点睛】本题考查正弦型函数性质的综合应用,涉及到正弦型函数最小正周期和函数值域的求解;关键是能够根据函数的最值确定1x 和2x 为最值点,从而利用整体对应的方式求得结果.5.已知函数()()πsin 06f x x ωω⎛⎫=-> ⎪⎝⎭,若()π02f f ⎛⎫=- ⎪⎝⎭在π0,2⎛⎫⎪⎝⎭上有且仅有三个零点,则ω= ( ) A .23B .2C .143D .263【答案】C 【解析】∵函数()()sin 06f x x πωω⎛⎫=-> ⎪⎝⎭,()02f f π⎛⎫=-⎪⎝⎭∴1sin()sin()6262πππω-=--=- ∴2266k πππωπ-=+或52,266k k Z πππωπ-=+∈ ∴243k ω=+或42,k k ω=+∈Z ∵函数()f x 在0,2π⎛⎫⎪⎝⎭上有且仅有三个零点∴(,)6626x ππωππω-∈-- ∴2326ωππππ<-≤∴131933ω<≤ ∴143ω=或6ω= 故选C.6.若函数()y f x =同时满足下列三个性质:①最小正周期为π;②图象关于直线3x π=对称;③在区间,63ππ⎡⎤-⎢⎥⎣⎦上单调递增,则()y f x =的解析式可以是( )A .sin 26y x π⎛⎫=- ⎪⎝⎭B .sin 26x y π⎛⎫=-⎪⎝⎭ C .cos 26y x π⎛⎫=- ⎪⎝⎭D .cos 23y x π⎛⎫=+⎪⎝⎭【答案】A 【解析】 【分析】利用性质①可排除B ,利用性质②可排除C ,利用性质③可排除D ,通过验证选项A 同时满足三个性质. 【详解】逐一验证,由函数()f x 的最小正周期为π,而B 中函数最小正周期为2412ππ=,故排除B ;又cos 2cos 0362πππ⎛⎫⨯-== ⎪⎝⎭,所以cos 26y x π⎛⎫=- ⎪⎝⎭的图象不关于直线3x π=对称,故排除C ; 若63x ππ-≤≤,则023x ππ≤+≤,故函数cos 23y x π⎛⎫=+ ⎪⎝⎭在,63ππ⎡⎤-⎢⎥⎣⎦上单调递减,故排除D ; 令2262x πππ-≤-≤,得63x ππ-≤≤,所以函数sin 26y x π⎛⎫=- ⎪⎝⎭在,63ππ⎡⎤-⎢⎥⎣⎦上单调递增.由周期公式可得22T ππ==,当3x π=时,sin(2)sin 1362πππ⨯-==, 所以函数sin 26y x π⎛⎫=- ⎪⎝⎭同时满足三个性质.故选A . 【点睛】本题考查了三角函数的周期性,对称性,单调性,属于中档题.7.已知函数()sin (0)f x x x ωωω=+>的图象关于直线8x π=对称,则ω的最小值为( ) A .13B .23C .43D .83【答案】C 【解析】 【分析】利用辅助角公式将函数()y f x =的解析式化简为()2sin 3f x x πω⎛⎫=+⎪⎝⎭,根据题意得出()832k k Z πππωπ+=+∈,可得出关于ω的表达式,即可求出正数ω的最小值.【详解】()sin 2sin 3f x x x x πωωω⎛⎫=+=+ ⎪⎝⎭Q ,由于该函数的图象关于直线8x π=对称,则()832k k Z πππωπ+=+∈,得()483k k Z ω=+∈,0ω>Q ,当0k =时,ω取得最小值43.故选:C. 【点睛】本题考查利用正弦型函数的对称性求参数,解题时要将三角函数的解析式利用三角恒等变换思想化简,并通过对称性列出参数的表达式求解,考查计算能力,属于中等题.8.已知()0,απ∈,3sin 35πα⎛⎫+= ⎪⎝⎭,则cos 26πα⎛⎫+= ⎪⎝⎭( ) A .2425B .2425-C .725D .725-【答案】B 【解析】 【分析】根据余弦的二倍角公式先利用sin 3πα⎛⎫+⎪⎝⎭求得2cos 23πα⎛⎫+⎪⎝⎭.再由诱导公式求出sin 26πα⎛⎫+ ⎪⎝⎭,再利用同角三角函数关系中的平方关系求得cos 26πα⎛⎫+ ⎪⎝⎭.根据角的取值范围,舍去不合要求的解即可. 【详解】 因为3sin 35πα⎛⎫+= ⎪⎝⎭ 由余弦二倍角公式可得22237cos 212sin 1233525ππαα⎛⎫⎛⎫⎛⎫+=-+=-⨯= ⎪ ⎪ ⎪⎝⎭⎝⎭⎝⎭ 而2cos 2cos 2sin 23626ππππααα⎛⎫⎛⎫⎛⎫+=++=-+ ⎪ ⎪ ⎪⎝⎭⎝⎭⎝⎭所以27sin 2cos 26325ππαα⎛⎫⎛⎫+=-+=- ⎪ ⎪⎝⎭⎝⎭由同角三角函数关系式可得24cos 2625πα⎛⎫+==± ⎪⎝⎭ 因为()0,απ∈ 则4,333πππα⎛⎫+∈ ⎪⎝⎭,而3sin 035πα⎛⎫+=> ⎪⎝⎭ 所以,33ππαπ⎛⎫+∈ ⎪⎝⎭则,33ππαπ⎛⎫+∈ ⎪⎝⎭所以22,233ππαπ⎛⎫⎛⎫+∈ ⎪ ⎪⎝⎭⎝⎭32,3262ππππα⎛⎫⎛⎫+-∈ ⎪ ⎪⎝⎭⎝⎭,即32,662πππα⎛⎫+∈ ⎪⎝⎭ 又因为7sin 20625πα⎛⎫+=-< ⎪⎝⎭,所以32,62ππαπ⎛⎫+∈ ⎪⎝⎭故cos 206πα⎛⎫+< ⎪⎝⎭所以24cos 2625πα⎛⎫+=- ⎪⎝⎭ 故选:B 【点睛】本题考查了同角三角函数关系式及诱导公式的化简应用,三角函数恒等变形及角的范围确定,综合性较强,属于中档题.9.已知2433sin 5cos 77ππαα⎛⎫⎛⎫+=-+ ⎪ ⎪⎝⎭⎝⎭,则tan 14πα⎛⎫-= ⎪⎝⎭( )A .53-B .35-C .35D .53【答案】B 【解析】 【分析】根据诱导公式计算得到35tan 73πα⎛⎫+= ⎪⎝⎭,故3tan tan 1472πππαα⎡⎤⎛⎫⎛⎫-=+- ⎪⎪⎢⎥⎝⎭⎝⎭⎣⎦,解得答案. 【详解】由诱导公式可知24333sin 3sin 33sin 777πππαπαα⎡⎤⎛⎫⎛⎫⎛⎫+=++=-+⎪ ⎪ ⎪⎢⎥⎝⎭⎝⎭⎝⎭⎣⎦, 又2433sin 5cos 77ππαα⎛⎫⎛⎫+=-+ ⎪ ⎪⎝⎭⎝⎭得333sin 5cos 77ππαα⎛⎫⎛⎫-+=-+ ⎪⎪⎝⎭⎝⎭, 所以35tan 73πα⎛⎫+= ⎪⎝⎭,313tan tan 314725tan 7πππααπα⎡⎤⎛⎫⎛⎫-=+-=-=- ⎪⎪⎢⎥⎛⎫⎝⎭⎝⎭⎣⎦+ ⎪⎝⎭. 故选:B . 【点睛】本题考查了三角恒等变换,意在考查学生的计算能力和转化能力.10.在ABC V 中,角A ,B ,C 的对边分别为a ,b ,c ,若1b =,3c = ,且2sin()cos 12cos sin B C C A C +=-,则ABC V 的面积是( )A .3 B .12C .3或32D .14或12【答案】C 【解析】 【分析】根据已知关系求出1sin 2B =,根据余弦定理求出边a ,根据面积公式即可得解.【详解】因为2sin()cos 12cos sin B C C A C +=-,所以2sin cos 12cos sin A C A C =-, 所以2sin cos 2cos sin 1A C A C +=,所以2sin()1A C +=, 所以2sin 1B =,即1sin 2B =, 因为b c <,所以B C <,所以角B 为锐角,所以23cos 1sin B B =-=, 由余弦定理2222cos b a c ac B =+-得231323a a =+-⨯⨯⨯, 整理可得2320a a -+=,解得1a =或2a =. 当1a =时,ABC V 的面积是1113sin 13222S ac B ==⨯⨯⨯=; 当2a =时,ABC V 的面积是1113sin 23222S ac B ==⨯⨯⨯=. 故选:C. 【点睛】此题考查根据余弦定理解三角形,关键在于熟练掌握定理公式,结合边角关系解方程,根据面积公式求解.11.已知函数()sin()f x x πϕ=+某个周期的图象如图所示,A ,B 分别是()f x 图象的最高点与最低点,C 是()f x 图象与x 轴的交点,则tan ∠BAC =( )A.12B.47C.255D.76565【答案】B【解析】【分析】过A作AD垂直于x轴于点D,AB与x轴交于E,设C(a,0),可得32CD=,11,2AD DE==,3tan2CDCADAD∠==,1tan2EDEADAD∠==,再利用tan tan()BAC CAD EAD∠=∠-∠计算即可.【详解】过A作AD垂直于x轴于点D,AB与x轴交于E,由题可得周期为2,设(,0)C a,则1(,1)2B a+-,3(,1)2A a+,所以32CD=,11,2AD DE==,3tan2CDCADAD∠==,1tan2EDEADAD∠==所以tan tantan tan()1tan tanCAD EADBAC CAD EADCAD EAD∠-∠∠=∠-∠=+∠⋅∠31422317122-==+⨯.故选:B【点睛】本题主要考查两角差的正切公式,涉及到正弦型函数图象等知识,考查学生数学运算能力,是一道中档题.12.已知在锐角ABC∆中,角A,B,C的对边分别为a,b,c,若2cos cos b C c B =,则111tan tan tan A B C++的最小值为( ) ABCD.【答案】A 【解析】 【分析】先根据已知条件,把边化成角得到B,C 关系式,结合均值定理可求. 【详解】∵2cos cos b C c B =,∴2sin cos sinCcos B C B =, ∴tan 2tan C B =.又A B C π++=, ∴()()tan tan tan A B C B C π=-+=-+⎡⎤⎣⎦22tan tan 3tan 3tan 1tan tan 12tan 2tan 1B C B BB C B B +=-=-=---,∴21112tan 111tan tan tan 3tan tan 2tan B A B C B B B -++=++27tan 36tan B B =+. 又∵在锐角ABC ∆中, tan 0B >,∴27tan 36tan B B +≥=,当且仅当tan 2B =时取等号,∴min111tan tan tan 3A B C ⎛⎫++=⎪⎝⎭,故选A. 【点睛】本题主要考查正弦定理和均值定理,解三角形时边角互化是求解的主要策略,侧重考查数学运算的核心素养.13.△ABC 的内角A 、B 、C 的对边分别为a 、b 、c .已知sin sin (sin cos )0B A C C +-=,a =2,c,则C =A .π12B .π6C .π4D .π3【答案】B 【解析】 【分析】 【详解】试题分析:根据诱导公式和两角和的正弦公式以及正弦定理计算即可 详解:sinB=sin (A+C )=sinAcosC+cosAsinC , ∵sinB+sinA (sinC ﹣cosC )=0,∴sinAcosC+cosAsinC+sinAsinC﹣sinAcosC=0,∴cosAsinC+sinAsinC=0,∵sinC≠0,∴cosA=﹣sinA,∴tanA=﹣1,∵π2<A<π,∴A= 3π4,由正弦定理可得csin sinaC A=,∵a=2,,∴sinC=sinc Aa=12=22,∵a>c,∴C=π6,故选B.点睛:本题主要考查正弦定理及余弦定理的应用,属于难题.在解与三角形有关的问题时,正弦定理、余弦定理是两个主要依据. 解三角形时,有时可用正弦定理,有时也可用余弦定理,应注意用哪一个定理更方便、简捷一般来说 ,当条件中同时出现ab及2b、2a时,往往用余弦定理,而题设中如果边和正弦、余弦函数交叉出现时,往往运用正弦定理将边化为正弦函数再结合和、差、倍角的正余弦公式进行解答.14.某船开始看见灯塔A时,灯塔A在船南偏东30o方向,后来船沿南偏东60︒的方向航行45km后,看见灯塔A在船正西方向,则这时船与灯塔A的距离是()A.B.30km C.15km D.【答案】D【解析】【分析】如图所示,设灯塔位于A处,船开始的位置为B,船行45km后处于C,根据题意求出BAC∠与BAC∠的大小,在三角形ABC中,利用正弦定理算出AC的长,可得该时刻船与灯塔的距离.【详解】设灯塔位于A处,船开始的位置为B,船行45km后处于C,如图所示,可得60DBC ∠=︒,30ABD ∠=︒,45BC =30ABC ∴∠=︒,120BAC ∠=︒在三角形ABC 中,利用正弦定理可得:sin sin AC BCABC BAC=∠∠,可得sin 1153sin 23BC ABC AC km BAC ∠===∠ 故选D 【点睛】本题主要考查的是正弦定理,以及特殊角的三角函数值,熟练掌握正弦定理是解决本题的关键,属于基础题.15.已知函数()sin()f x x ωϕ=+(0>ω,2πω<)的最小正周期为π,且其图象向左平移3π个单位后,得到函数()cos g x x ω=的图象,则函数()f x 的图象( ) A .关于直线12x π=对称B .关于直线512x π=对称 C .关于点(,0)12π对称D .关于点5(,0)12π对称 【答案】C 【解析】试题分析:依题意()()2,sin 2f x x ωϕ==+,平移后为2sin 2cos 2,36x x ππϕϕ⎛⎫++==- ⎪⎝⎭,()sin 26f x x π⎛⎫=- ⎪⎝⎭,关于,012π⎛⎫⎪⎝⎭对称.考点:三角函数图象与性质.16.4cos2d cos sin xx x xπ=+⎰( )A .21)B 21C 21D .22【答案】C 【解析】【分析】利用三角恒等变换中的倍角公式,对被积函数进行化简,再求积分.【详解】因为22cos2cos sincos sincos sin cos sinx x xx xx x x x-==-++,∴4400cos2d(cos sin)d(sin cos)214cos sinxx x x x x xx xπππ=-=+=-+⎰⎰,故选C.【点睛】本题考查三角恒等变换知与微积分基本定理的交汇.17.在ABCV中,角A的平分线交边BC于D,4AB=,8AC=,2BD=,则ABD△的面积是()A.15B.315C.1D.3【答案】A【解析】【分析】先根据正弦定理求得DC,再结合余弦定理求得cos B,进而求出ABDSV,即可求得结论.【详解】如图:()sin sin sinADC ADB ADBπ∠=-∠=∠,在ABD△中,由正弦定理得sin sinBD ABBAD ADB=∠∠,同理可得sin sinCD ACCAD ADC=∠∠,因为ABCV中,角A的平分线交边BC于D,上述两个等式相除得BD ABCD AC=,4AB=Q,8AC=,2BD=,8244AC BDCDAB⋅⨯∴===,6BC∴=.2222224681cos22464AB BC ACBAB BC+-+-∴===-⋅⨯⨯,2115sin14B⎛⎫=--=⎪⎝⎭1sin 2ABD S AB BD B ∴=⋅⋅=V 故选:A . 【点睛】本题考查三角形面积的求法以及角平分线的性质应用,是中档题,解题时要注意余弦定理的合理运用,考查计算能力,属于中等题.18.设函数()()sin f x x x x R =∈,则下列结论中错误的是( ) A .()f x 的一个周期为2π B .()f x 的最大值为2 C .()f x 在区间2,63ππ⎛⎫⎪⎝⎭上单调递减 D .3f x π⎛⎫+⎪⎝⎭的一个零点为6x π=【答案】D 【解析】 【分析】先利用两角和的正弦公式化简函数()f x ,再由奇偶性的定义判断A ;由三角函数的有界性判断B ;利用正弦函数的单调性判断C ;将6x π=代入3f x π⎛⎫+ ⎪⎝⎭判断D . 【详解】()sin f x x x = 23sin x π⎛⎫=+ ⎪⎝⎭,()f x 周期22,1T A ππ==正确; ()f x 的最大值为2,B 正确,25,,,63326x x πππππ⎛⎫⎛⎫∈∴+∈ ⎪⎪⎝⎭⎝⎭Q , ()f x ∴在2,63ππ⎛⎫⎪⎝⎭上递减,C 正确; 6x π=时,1032f x f ππ⎛⎫⎛⎫+==≠ ⎪ ⎪⎝⎭⎝⎭, 6x π=不是3f x π⎛⎫+ ⎪⎝⎭的零点,D 不正确. 故选D. 【点睛】本题通过对多个命题真假的判断,综合考查两角和的正弦公式以及三角函数的单调性、三角函数的周期性、三角函数的最值与零点,意在考查对基础知识掌握的熟练程度,属于中档题.19.在三棱锥P ABC -中,PA ⊥平面ABC ,2π,43BAC AP ∠==,23AB AC ==,则三棱锥P ABC -的外接球的表面积为( )A .32πB .48πC .64πD .72π【答案】C 【解析】 【分析】先求出ABC V 的外接圆的半径,然后取ABC V 的外接圆的圆心G ,过G 作//GO AP ,且122GO AP ==,由于PA ⊥平面ABC ,故点O 为三棱锥P ABC -的外接球的球心,OA 为外接球半径,求解即可. 【详解】在ABC V 中,23AB AC ==,23BAC π∠=,可得6ACB π∠=, 则ABC V 的外接圆的半径2323π2sin 2sin6AB r ACB ===,取ABC V 的外接圆的圆心G ,过G 作//GO AP ,且122GO AP ==, 因为PA ⊥平面ABC ,所以点O 为三棱锥P ABC -的外接球的球心, 则222OA OG AG =+,即外接球半径()222234R =+=,则三棱锥P ABC -的外接球的表面积为24π4π1664πR =⨯=. 故选C.【点睛】本题考查了三棱锥的外接球表面积的求法,考查了学生的空间想象能力,属于中档题.20.在极坐标系中,曲线4sin 6πρθ⎛⎫=+⎪⎝⎭关于( )A .直线3πθ=对称B .直线6πθ=对称C .点2,6π⎛⎫⎪⎝⎭对称 D .极点对称【答案】A 【解析】 【分析】由4sin 6πρθ⎛⎫=+ ⎪⎝⎭,得直角坐标方程:2220x x y -+-= ,圆心为( ,又因为直线3πθ=即:y = 过点(,由此便可得出答案.【详解】由曲线4sin 6πρθ⎛⎫=+ ⎪⎝⎭,即:24sin 6πρρθ⎛⎫=+ ⎪⎝⎭,又因为cos sin x y ρθρθ=⎧⎨=⎩,化简得曲线的直角坐标方程:2220x x y -+-= ,故圆心为( .又因为直线3πθ=,直角坐标方程为:y = ,直线y =过点(,故曲线关于直线3πθ=对称故选:A. 【点睛】本题主要考查曲线及直线的极坐标方程与直角坐标方程的转化,以及圆关于过圆心的直线对称的知识,属于中等难度题目.。