选修1-1椭圆同步练习题及答案
- 格式:doc
- 大小:342.41 KB
- 文档页数:7
2.1.2 椭圆的简单几何性质1.已知P 是椭圆14522=+y x 上一点,F 1和F 2是焦点,若∠F 1PF 2=30°,则△PF 1F 2的面积为( ) A.334 B.)32(4- C.)32(4+ D.42.椭圆1449422=+y x 内有一点P (3,2)过点P 的弦恰好以P 为中点,那么这弦所在直线的方程为( )A.01223=-+y xB.01232=-+y xC.014494=-+y xD.014449=-+y x3.直线)(01R k kx y ∈=--与椭圆1522=+m y x 恒有公共点,则m 的取值范围是( )A.(0,1)B.(0,5)C.),5()5,1[+∞D.),1(+∞ 4.P , ,F ,F 12045212122则若在椭圆上点的两个焦点为椭圆PF PF P y x ⊥=+到x 轴的距离为___________.5.直线y=1-x 交椭圆mx 2+ny 2=1于M ,N 两点,弦MN 的中点为P ,若K OP ==n m 则,22______. 6.已知椭圆的中心在坐标原点O ,焦点在坐标轴上,直线y=x+1与椭圆交于P 和Q ,且OP ⊥OQ ,|PQ|=210,求椭圆方程.参考答案1.B2.B3.C4.45.22 6. 设椭圆方程为mx 2+ny 2=1(m >0,n >0), P(x 1,y 1),Q(x 2,y 2)由⎩⎨⎧=++=1122ny mx x y 得(m+n)x 2+2nx+n -1=0, Δ=4n 2-4(m+n)(n -1)>0,即m+n -mn >0, 由OP ⊥OQ,所以x 1x 2+y 1y 2=0,即2x 1x 2+(x 1+x 2)+1=0, ∴nm n n m n --+-2)1(2+1=0,∴m+n=2 ① 又2)210()(4=+-+n m mn n m 2, 将m+n=2,代入得m·n=43 ② 由①、②式得m=21,n=23或m=23,n=21 故椭圆方程为22x +23y 2=1或23x 2+21y 2=1.。
1、若方程22153x y k k +=---表示焦点在x 轴的椭圆,则实数k 的取值范围是_______2、椭圆5522=+ky x 的一个焦点是)2,0(,则_____________=k3、若椭圆2215x y m +=的离心率5e =,则m 的值是_________4、直线143x y +=与椭圆221169x y +=相交于,A B 两点,该椭圆上点P 使PAB ∆的面积等于6,这样的点P 共有_______个5、椭圆22193x y +=的焦点为21,F F ,点P 在椭圆上,如果线段1||PF 的中点在y 轴上,那么1||PF 是2||PF 的________倍6、已知椭圆221259x y +=的两焦点12,F F ,过2F 的直线交椭圆于点,A B ,若||8AB =,则11||||_________AF BF +=7、与椭圆22143x y +=具有相同的离心率且过点(2,的椭圆的标准方程是_______8、P 是椭圆14922=+y x 上的点,12,F F 是两个焦点,则12||||PF PF ⋅的最大值_______=最小值_________=9、椭圆369422=+y x 内有一点(1,1)P ,过P 的弦恰被P 平分,则这条弦所在的直线方程是____________10、要使直线)(1R k kx y ∈+=与焦点在x 轴上的椭圆1722=+ay x 总有公共点,则a 的取值范围是____________11、点00(,)P x y 在椭圆14922=+y x 上,焦点12,F F ,当12F PF ∠为钝角时,0______x ∈12、椭圆221mx ny +=与直线10x y +-=相交于,A B 两点,过AB 中点M 与坐标原点的直线的斜率为2,则___________m n=13、椭圆22221(0)x y a b a b +=>>的离心率为12e =,右焦点(0)F c ,,方程20ax bx c +-=的两个实根分别为1x 和2x ,则点12()P x x ,与圆222x y +=的位置关系是______14、已知(1,1)A 为椭圆22195x y +=内一点,1F 为椭圆左焦点,P 为椭圆上一动点.求1||||PF PA +的最大值和最小值15、若x =2u x y =+的取值范围:16、设b a b a b a +=+∈则,62,,22R 的最小值是:17、已知椭圆)0(12222>>=+b a by a x 的两个焦点分别为21,F F ,点P 在椭圆上,且满足021=⋅PF PF ,2tan 21=∠F PF ,则该椭圆的离心率为18、已知ABC ∆的顶点B ()-3,0、C ()3,0,E 、F 分别为AB 、AC 的中点,AB 和AC 边上的中线交于G ,且5|GF |+|GE |=,则点G 的轨迹方程为19、已知12,F F 是椭圆22221(510)(10)x y a a a +=<<-的两个焦点,B 是短轴的一个端点,则△12F BF 的面积的最大值是20、过椭圆2213625x y +=的焦点1F 作直线交椭圆于A 、B 二点,2F 是此椭圆的另一焦点,则∆ABF 2的周长为 .21、已知动点(,)P x y 在椭圆2212516x y +=上,若A 点坐标为(3,0),||1AM =且0PM AM ⋅=,则||PM 的最小值是22、已知,,m n m n +成等差数列,,,m n mn 成等比数列,则椭圆221x y m n+=的离心率是_______23、已知椭圆221164x y +=的左右焦点分别为1F 与2F ,点P在直线:80l x ++=上.当∠12F PF 取最大值时,则12||||PF PF 的值为______________ 24、过椭圆14922=+y x 内一点()1,1P 作弦AB ,若PB AP =,则直线AB 的方程为 .25、若动点(,)P x y 在曲线2214x y +=上变化,则22x y +的最大值为26、设AB 是椭圆22221x y a b+=的不垂直于对称轴的弦,M 为AB 的中点,O 为坐标原点,则AB OM k k ⋅=____________27、设12,F F 分别是椭圆222:1(01)y E x b b +=<<的左、右焦点,过1F 的直线l 与E 相交于,A B 两点,且22||,||,||AF AB BF 成等差数列,则AB 的长为。
椭圆(简答题:较易)1、已知椭圆的中心是坐标原点,直线过它的两个顶点.(1)求椭圆的标准方程;(2)设,过作与轴不重合的直线交椭圆于,两点,连接,,分别交直线于两点,试问直线,的斜率之积是否为定值?若是,求出该定值,若不是,请说明理由.2、已知是椭圆两个焦点,且椭圆经过点.(1)求此椭圆的方程;(2)设点在椭圆上,且, 求的面积.3、已知椭圆的中心在原点,一个焦点,且长轴长与短轴长的比是.(1)求椭圆的方程;(2)设点,点是椭圆上任意一点,求的最小值。
4、动点P(x,y)的坐标满足.试确定点P的轨迹.5、求适合下列条件的椭圆的标准方程:(1)两个焦点的坐标分别是,,椭圆上一点到两焦点的距离之和为26;(2)焦点在坐标轴上,且经过和两点.6、如图,已知圆:经过椭圆()的右焦点及上顶点,过椭圆外一点()且斜率为的直线交于椭圆、两点.(1)求椭圆的方程;(2)若,求的值.7、已知动圆M过定点A(-3,0),并且内切于定圆B:(x-3)2+y2=64,求动圆圆心M的轨迹方程.8、求适合下列条件的椭圆的标准方程:(1)以(0,5)和(0,-5)为焦点,且椭圆上一点P到两焦点的距离之和为26;(2)以椭圆9x2+5y2=45的焦点为焦点,且经过M(2,).9、如图,焦点在轴的椭圆,离心率,且过点,由椭圆上异于点的点发出的光线射到点处被直线反射后交椭圆于点(点与点不重合).(1)求椭圆标准方程;(2)求证:直线的斜率为定值;(3)求的面积的最大值.10、已知椭圆经过点,左焦点为.(Ⅰ)求椭圆的方程;(Ⅱ)若是椭圆的右顶点,过点且斜率为的直线交椭圆于两点,求的面积.11、已知点在椭圆上,椭圆离心率为.(Ⅰ)求椭圆的方程;(Ⅱ)过椭圆右焦点的直线与椭圆交于两点、,在轴上是否存在点,使得为定值?若存在,求出点的坐标;若不存在,请说明理由.12、已知抛物线的焦点为,抛物线上存在一点到焦点的距离为,且点在圆上.(Ⅰ)求抛物线的方程;(Ⅱ)已知椭圆的一个焦点与抛物线的焦点重合,且离心率为.直线交椭圆于、两个不同的点,若原点在以线段为直径的圆的外部,求的取值范围.13、已知抛物线的焦点为,抛物线上存在一点到焦点的距离为,且点在圆上.(Ⅰ)求抛物线的方程;(Ⅱ)已知椭圆的一个焦点与抛物线的焦点重合,且离心率为.直线交椭圆于、两个不同的点,若原点在以线段为直径的圆的外部,求的取值范围.14、(Ⅰ)已知某椭圆的左右焦点分别为,且经过点,求该椭圆的标准方程;(Ⅱ)已知某椭圆过点,求该椭圆的标准方程.15、已知椭圆:的两个焦点与短轴的一个端点是直角三角形的三个顶点,直线:与椭圆有且只有一个公共点.(Ⅰ)求椭圆的方程及点的坐标;(Ⅱ)设是坐标原点,直线平行于,与椭圆交于不同的两点、,且与直线交于点,证明:存在常数,使得,并求的值.16、已知椭圆的中心在坐标原点,焦点在轴上,离心率为,过椭圆上一点,作轴的垂线,垂足为.(1)求椭圆的方程;(2)过点的直线交椭圆于两点,且,求直线的方程.17、设椭圆的左、右顶点分别为是,点在椭圆上且异于两点,为坐标原点.(1)若直线与的斜率之积为,求椭圆的离心率;(2)若,证明直线的斜率满足.18、设椭圆的左、右顶点分别为是,点在椭圆上且异于两点,为坐标原点.(1)若直线与的斜率之积为,求椭圆的离心率;(2)若,证明直线的斜率满足.19、已知椭圆的两个焦点分别为,,短轴的两个端点分别为,.(1)若为等边三角形,求椭圆的方程;(2)若椭圆的短轴长为2,过点的直线与椭圆相交于、两点,且,求直线的方程.20、已知椭圆:,点.(1)设是椭圆上任意的一点,是点关于坐标原点的对称点,记,求的取值范围;(2)已知点,,是椭圆上在第一象限内的点,记为经过原点与点的直线,为截直线所得的线段长,试将表示成直线的斜率的函数.21、已知椭圆,的离心率,且过点.(Ⅰ)求椭圆的方程;(Ⅱ)设与圆相切的直线交椭圆与,两点,求面积的最大值及取得最大值时直线的方程.22、已知椭圆的离心率,以上顶点和右焦点为直径端点的圆与直线相切.(1)求椭圆的标准方程;(2)对于直线和点,椭圆上是否存在不同的两点与关于直线对称,且,若存在实数的值,若不存在,说明理由.23、已知椭圆的右焦点为,点在椭圆上.(1)求椭圆的方程;(2)点在圆上,且在第一象限,过作的切线交椭圆于两点,问:的周长是否为定值?若是,求出定值;若不是,说明理由.24、如图,椭圆的离心率为,轴被曲线截得的线段长等于的长半轴长.(Ⅰ)求的方程;(Ⅱ)设与y轴的交点为,过坐标原点的直线与相交于点、,直线,分别与相交于,.(i)证明:;(ii)记,的面积分别是,.问:是否存在直线,使得?若存在,求出直线的方程;若不存在,请说明理由.25、已知椭圆的焦距为2,离心率为,轴上一点的坐标为(0,3).(1)求该椭圆的方程;(2)若对于直线,椭圆上总存在不同的两点与关于直线对称,且,求实数的取值范围.26、已知右焦点为的椭圆关于直线对称的图形过坐标原点.(1)求椭圆的方程;(2)过点且不垂直于轴的直线与椭圆交于,两点,点关于轴的对称点为,证明:直线与轴的交点为.27、已知椭圆的中心在原点,离心率为,其右焦点是圆:的圆心.(1)求椭圆的标准方程;(2)如图,过椭圆上且位于轴左侧的一点作圆的两条切线,分别交轴于点、.试推断是否存在点,使?若存在,求出点的坐标;若不存在,请说明理由.28、已知椭圆的中心在坐标原点,焦点在轴上,椭圆上的点到焦点的距离的最小值为,其离心率是方程的根.(1)求椭圆的标准方程;(2)若椭圆长轴的左右端点分别为,设直线与轴交于点,动点是直线上异于点的任意一点,直线,与椭圆交于两点,问直线是否恒过定点?若是,求出定点;若不是,请说明理由.29、已知椭圆:()的离心率,焦距为2.(1)求椭圆的方程;(2)已知椭圆与直线相交于不同的两点,,且线段的中点不在圆内,求实数的取值范围.30、已知椭圆,直线经过的右顶点和上顶点.(1)求椭圆的方程;(2)设椭圆的右焦点为,过点作斜率不为的直线交椭圆于两点. 设直线和的斜率为.①求证: 为定值;②求的面积的最大值.31、已知椭圆的中心是坐标原点,直线过它的两个顶点.(1)求椭圆的标准方程;(2)设,过作与轴不重合的直线交椭圆于,两点,连接,,分别交直线于两点,试问直线,的斜率之积是否为定值?若是,求出该定值,若不是,请说明理由.32、已知双曲线与椭圆有相同的焦点,且经过点,求双曲线的方程.33、椭圆与轴,轴的正半轴分别交于两点,原点到直线的距离为,该椭圆的离心率为.(1)求椭圆的方程;(2)过点的直线与椭圆交于两个不同的点,求线段的垂直平分线在轴上截距的取值范围.34、设分别是椭圆的左、右焦点,是上一点且与轴垂直,直线与的另一个交点为.(1)若直线的斜率为,求的离心率;(2)若直线在轴上的截距为,且,求.35、已知椭圆的离心率,过椭圆的左焦点且倾斜角为30°的直线与圆相交所得弦的长度为1.(Ⅰ)求椭圆的方程;(Ⅱ)若动直线交椭圆于不同两点,设,为坐标原点.当以线段为直径的圆恰好过点时,求证:的面积为定值,并求出该定值.36、已知中心在原点的椭圆,右焦点,且过.(1)求椭圆的标准方程;(2)求斜率为2的一组平行弦的中点轨迹方程.37、已知命题:方程表示焦点在轴上的椭圆;命题:双曲线的离心率,若是真命题,求实数的取值范围.38、如图,在平面直角坐标系中,椭圆:()的离心率为,点,分别为椭圆的上顶点、右顶点,过坐标原点的直线交椭圆于、两点,交于点,其中点在第一象限,设直线的斜率为.(1)当时,证明直线平分线段;(2)已知点,则:①若,求;②求四边形面积的最大值.39、已知椭圆,与轴的正半轴交于点,右焦点,为坐标原点,且.(1)求椭圆的离心率;(2)已知点,过点任意作直线与椭圆交于两点,设直线,的斜率为,若,试求椭圆的方程.40、如图,点,分别为椭圆的左右顶点,为椭圆上非顶点的三点,直线的斜率分别为,且,,.(Ⅰ)求椭圆的方程;(Ⅱ)求的最大值.41、如图,点,分别为椭圆的左右顶点,为椭圆上非顶点的三点,直线的斜率分别为,且,,.(Ⅰ)求椭圆的方程;(Ⅱ)判断的面积是否为定值?若为定值,求出该定值;若不为定值,请说明理由.42、已知椭圆:的离心率为,以的四个顶点为顶点的四边形的面积为.(1)求椭圆的方程;(2)设,分别为椭圆的左、右顶点,是直线上不同于点的任意一点,若直线,分别与椭圆相交于异于,的点、,试探究,点是否在以为直径的圆内?证明你的结论.43、已知分别为椭圆左、右焦点,点在椭圆上,且轴,的周长为6.(1)求椭圆的标准方程;(2)是椭圆上异于点的两个动点,如果直线与直线的倾斜角互补,证明:直线的斜率为定值,并求出这个定值.44、如图,椭圆 ()的离心率是,过点(,)的动直线与椭圆相交于,两点,当直线平行于轴时,直线被椭圆截得的线段长为.⑴求椭圆的方程:⑵已知为椭圆的左端点,问: 是否存在直线使得的面积为?若不存在,说明理由,若存在,求出直线的方程.45、如图,椭圆()的离心率是,过点(,)的动直线与椭圆相交于,两点,当直线平行于轴时,直线被椭圆截得的线段长为.⑴求椭圆的方程:⑵已知为椭圆的左端点,问: 是否存在直线使得的面积为?若不存在,说明理由,若存在,求出直线的方程.46、已知椭圆:的两个焦点分别为,,离心率为.过焦点的直线(斜率不为0)与椭圆交于,两点,线段的中点为,为坐标原点,直线交于椭圆,两点.(Ⅰ)求椭圆的方程;(Ⅱ)当四边形为矩形时,求直线的方程.47、已知椭圆:的焦距为4,其短轴的两个端点与长轴的一个端点构成正三角形.(1)求椭圆的标准方程;(2)设为椭圆的左焦点,为左准线上任意一点,过作的垂线交椭圆于点,,当最小时,求点的坐标.48、设椭圆经过点,且离心率等于.(1)求椭圆的方程;(2)过点作直线交椭圆于两点,且满足,试判断直线是否过定点,若过定点求出点坐标,若不过定点请说明理由.49、已知椭圆的离心率为,其左顶点在圆上.(Ⅰ)求椭圆的方程;(Ⅱ)若点为椭圆上不同于点的点,直线与圆的另一个交点为,是否存在点,使得?若存在,求出点的坐标;若不存在,说明理由50、已知椭圆(﹥﹥0)的离心率为,短轴一个端点到右焦点的距离为. (1)求椭圆的方程;(2)设直线与椭圆交于两点,坐标原点到直线的距离为,求面积的最大值.51、已知椭圆的一个焦点为,左右顶点分别为,经过点的直线与椭圆交于两点.(1)求椭圆方程;(2)记与的面积分别为和,求的最大值.52、已知椭圆的一个焦点为,左右顶点分别为,经过点的直线与椭圆交于两点.(1)求椭圆方程;(2)记与的面积分别为和,求的最大值.53、设椭圆:的离心率为,上一点到右焦点距离的最小值为1.(1)求椭圆的方程;(2)过点且倾斜角为的直线交椭圆于,两点,求的面积.54、已知椭圆的离心率为,且过点.若点在椭圆上,则点称为点的一个“椭点”.(1)求椭圆的标准方程;(2)若直线与椭圆相交于两点,且两点的“椭点”分别为,以为直径的圆经过坐标原点,试求的面积.55、已知椭圆:的离心率为,且过点.若点在椭圆上,则点称为点的一个“椭点”.(1)求椭圆的标准方程;(2)若直线:与椭圆相交于,两点,且,两点的“椭点”分别为,,以为直径的圆经过坐标原点,试求的面积.56、如图,已知椭圆C的中心在原点,其一个焦点与抛物线y2=4x的焦点相同,又椭圆C上有一点M(2,1),直线l平行于OM且与椭圆C交于A,B两点,连接MA,MB.(1)求椭圆C的方程;(2)当MA,MB与x轴所构成的三角形是以x轴上所在线段为底边的等腰三角形时,求直线l在y轴上截距的取值范围.57、已知椭圆C:+=1(a>b>0)的两个焦点分别为F1(-1,0),F2(1,0),且椭圆C经过点P.(1)求椭圆C的离心率;(2)设过点A(0,2)的直线l与椭圆C交于M,N两点,点Q是线段MN上的点,且=+,求点Q的轨迹方程.58、如图,已知M(x0,y0)是椭圆C:+=1上的任一点,从原点O向圆M:(x-x0)2+(y-y0)2=2作两条切线,分别交椭圆于点P,Q.(1)若直线OP,OQ的斜率存在,并记为k1,k2,求证:k1k2为定值;(2)试问|OP|2+|OQ|2是否为定值?若是,求出该值;若不是,说明理由.59、已知中心在坐标原点的椭圆,经过点,且以点为其右焦点.(1)求椭圆的标准方程;(2)是(1)中所求椭圆上的动点,求中点的轨迹方程.60、设椭圆的左右焦点分别为,,点满足.(Ⅰ) 求椭圆的离心率;(Ⅱ) 设直线与椭圆相交于两点,若直线与圆相交于,两点,且,求椭圆的方程.61、已知椭圆:的两个焦点分别为,且椭圆经过点.(1)求椭圆的离心率;(2)过点的直线与椭圆相交于两点,且,求直线的方程.62、已知双曲线与椭圆有公共的焦点,并且椭圆的离心率与双曲线的离心率之比为,求双曲线的方程.63、已知椭圆:的一个焦点与抛物线的焦点重合,点在上(Ⅰ)求的方程;(Ⅱ)直线不过原点O且不平行于坐标轴,与有两个交点,线段的中点为,证明:的斜率与直线的斜率的乘积为定值.64、已知点,椭圆:的离心率为,是椭圆的焦点,直线的斜率为,为坐标原点.(Ⅰ)求的方程;(Ⅱ)设过点的直线与相交于两点,当的面积最大时,求的方程.65、设椭圆方程+=1(a>b>0),椭圆上一点到两焦点的距离和为4,过焦点且垂直于x轴的直线交椭圆于A,B两点,AB=2.(1)求椭圆方程;(2)若M,N是椭圆C上的点,且直线OM与ON的斜率之积为﹣,是否存在动点P(x0,y0),若=+2,有x02+2y02为定值66、已知椭圆的离心率为,以为圆心,椭圆的短半轴长为半径的圆与直线相切.(1)求椭圆的标准方程;(2)已知点,和平面内一点,过点任作直线与椭圆相交于两点,设直线的斜率分别为,,试求满足的关系式.67、已知椭圆的离心率为,椭圆上任意一点到右焦点的距离的最大值为.(1)求椭圆的方程;(2)已知点是线段上异于的一个定点(为坐标原点),是否存在过点且与轴不垂直的直线与椭圆交于两点,使得,并说明理由.68、已知,是椭圆(其中)的右焦点,是椭圆上的动点.(Ⅰ)若与重合,求椭圆的离心率;(Ⅱ)若,求的最大值与最小值.69、已知椭圆:()的离心率为,短轴一个端点到右焦点的距离为. (1)求椭圆的方程;(2)设直线与椭圆交于、两点,坐标原点到直线的距离为,求△面积的最大值.70、已知椭圆C:的离心率为,短轴的一个端点到右焦点的距离为.(1)求椭圆C的方程;(2)设直线l与椭圆C交于A、B两点,坐标原点O到直线l的距离为,求△AOB面积的最大值,并求此时直线l的方程.参考答案1、(1);(2).2、(1);(2) .3、(1);(2).4、点P的轨迹是以A、B为焦点的椭圆5、(1)所求椭圆方程为(2)所求椭圆的标准方程为6、(1);(2)7、.8、(1);(2).9、(1)(2)详见解析(3)10、(Ⅰ);(Ⅱ).11、(Ⅰ);(Ⅱ)存在点,使得为定值.12、(1);(2)或.13、(1);(2)或.14、(Ⅰ)(Ⅱ).15、(Ⅰ),点T坐标为(2,1);(Ⅱ).16、(1);(2).17、(1);(2)证明见解析.18、(1);(2)证明见解析.19、(1)(2)或20、(1);(2).21、(1);(2)最大值为,此时直线方程.22、(Ⅰ) ;(Ⅱ)存在,.23、(1);(2).24、(I);(II)(i)证明见解析;(ii)和.25、(1);(2).26、(1);(2)证明见解析.27、(1);(2)存在点满足题设条件.28、(1) ;(2)定点.29、(1);(2)或.30、(1);(2)①见解析;②.31、(1);(2).32、.33、(1);(2).34、(1);(2).35、(I);(II)证明见解析,.36、(1);(2) .37、.38、(Ⅰ)详见解析(Ⅱ)①或.②39、(1);(2).40、(Ⅰ)(Ⅱ)41、(Ⅰ)(Ⅱ)定值142、(1);(2)点在以为直径的圆内,证明见解析.43、(1);(2)证明见解析.44、(1);(2)存在直线方程使得.45、(1);(2)存在直线方程使得.46、(I);(II).47、(1);(2)或.48、(1);(2)定点.49、(I);(II)不存在,理由见解析.50、(1);(2).51、(1);(2).52、(1);(2).53、(1) ;(2).54、(1);(2).55、(1);(2).56、见解析57、见解析58、见解析59、(1)(2)60、(Ⅰ) (Ⅱ)61、(1)(2) 或62、.63、(Ⅰ)(Ⅱ)详见解析64、(Ⅰ) (Ⅱ)或.65、(1)(2)存在这样的点P(x0,y0)66、(1);(2)67、(1)(2)当时,,即存在这样的直线;当时,不存在,即不存在这样的直线.68、(Ⅰ)(Ⅱ) 当时;当时69、(1);(2).70、(1) (2)【解析】1、试题分析:(1)运用直线过椭圆的两个顶点,求得的值,进而得到椭圆方程;(2)设,,直线,代入椭圆方程,运用韦达定理和三点共线斜率相等,运用直线的斜率公式,化简整理,即可得到定值.试题解析:(1)由题意计算知:.(2)设,,由于与轴不重合,不妨设直线,联立直线与曲线方程可得,则有,∵三点共线,∴,∴,同理,∴.考点:1、直线与圆锥曲线的关系;2、椭圆的标准方程.【方法点睛】对于求椭圆方程的问题,通常有以下常见方法:定义法,待定系数法,几何性质法.求椭圆标准方程,可以根据焦点位置设出椭圆标准方程,用待定系数法求出的值,若焦点位置不确定,可利用椭圆一般形式简化解题过程.本题考查椭圆方程的求法,注意运用椭圆的顶点,考查两直线的斜率之积为定值的证明,注意联立直线方程和椭圆方程,运用韦达定理,考查运算能力,属于中档题.2、试题分析:(1)由椭圆的焦点坐标、过点及可解得,从而可得方程;(2)设,在中可得,,变形可得,进一步可求得的面积。
高中数学学习材料(灿若寒星精心整理制作)椭圆同步练习(1)一.选择题:1.已知椭圆的焦点,,是椭圆上一点,且是,的等差中项,则椭圆的方程是()A. B.C. D.2.椭圆的焦点坐标是().A. B.C. D.3.已知,是椭圆上的动点,是线段上的点,且满足,则动点的轨迹方程是()A. B.C. D.二.填空题:4.与椭圆有相同焦点且过点的椭圆方程是。
5.点是椭圆上一点,是其焦点,若,则的面积为.6.已知,是椭圆内的点,是椭圆上的动点,则的最大值为______________,最小值为___________.三.解答题:7.椭圆的焦距为6且经过点,求焦点在轴上的椭圆的标准方程.8.椭圆的一个焦点是,且截直线,所得弦的中点横坐标为,求椭圆的标准方程.9.已知方程,,对不同范围内的值分别指出方程所代表的曲线的类型,并画出显示其特征的草图.10.已知直线交椭圆于,两点,点坐标为(0,4),当椭圆右焦点恰为的重心时,求直线的方程.11.椭圆与直线相交于,两点,是的中点,若,为原点,的斜率为,求椭圆的方程.参考答案:一.选择题:1.C 2.C 3.B二、填空题:4. 5. 6.,三.解答题:7.8.设所求椭圆方程为,由,得,将与联立消去得.设,,则,解出、,所求椭圆方程为.9.当时,方程的图形为直线;当时方程的图形为中心在原点、焦点在轴上的椭圆;当时方程的图形为以原点为圆心、2为半径的圆;当时方程的图形为中心在原点、焦点在轴上的椭圆.画图略.10.设,,由及为的重心有,得,,.所以中点为(3,-2).又、在椭圆上,故,.两式相减得到,可得即为的斜率,由点斜式可得的方程为.四、由直线方程与椭圆方程联立消去得.设,,,则,,,所以…①;又由可得…②.由①,②解得,,所求椭圆为.。
2.1 椭圆1、已知椭圆的离心率为12,焦点是()()3,03,0-,,则椭圆方程为( ) A .2213627x y += B .2213627x y -= C .2212736x y += D .2212736x y -= 2、已知1F ,2F 分别是椭圆22143x y +=的左、右焦点,A 是椭圆上一动点,圆C 与1F A 的延长线、12F F 的延长线以及线段2AF 相切,若(),0M t 为一个切点,则( ) A.2t =B.2t >C.2t <D.t 与2的大小关系不确定3、已知12,F F 椭圆2222:1(0)x y C a b a b+=>>的左右焦点,过原点O 且倾斜角为30︒的直线l 与椭圆C 的一个交点为A ,若1212,2F AF AF AF S ⊥=△,则椭圆C 的方程为( )A.22162x y +=B.22184x y +=C.22182x y +=D.2212016x y += 4、若曲线22111x y k k+=-+表示椭圆,则k 的取值范围是( ) A. 1k > B. 1k <- C. 11k -<<D. 10k -<<或01k <<5、若椭圆222222(0)b x a y a b a b +=>>的左焦点为,F 右顶点为,A 上顶点为,B 若90ABF ∠=︒,则椭圆的离心率为( )A .2 B .12 C .2 D .126、已知椭圆22:12x C y +=,直线:l y x =C 上的点到直线l 的最大距离为( )AB C D .7、已知平行四边形ABCD 内接于椭圆22142x y +=,直线AB 的斜率11k =,则直线AD 的斜率2k = ( )A. 12 B. 12-C. 14-D. 2-8、设12,F F 分别是椭圆()2222:10x y E a b a b +=>>的左、右焦点,过点1F 的直线交椭圆于,?A B 点, 若△12AF F 的面积是△12BF F 的面积的3?倍, 23cos 5AF B ∠=,则椭圆E 的离心率为( )A. 12B. 23C.2D.29、已知P 为椭圆22143x y +=上一个动点,过点P 作圆22(1)1x y ++=的两条切线,切点分别是,,A B 则PA PB ⋅u u u r u u u r的取值范围为( )A. 3,2⎡⎫-+∞⎪⎢⎣⎭B. 356,29⎡⎤-⎢⎥⎣⎦C. 56223,9⎡⎤-⎢⎥⎣⎦D. 223,⎡⎤-+∞⎣⎦10、已知椭圆2213216x y +=内有一点()2,2,B 12,F F 是其左、右焦点, M 为椭圆上的动点,则1MF MB +u u u u r u u u r的最小值为( )A. 62B. 42C. 4D. 611、椭圆221254x y +=的左、右焦点分别为12,F F ,直线l 经过1F 椭圆于,A B 两点,则2ABF △的周长为________.12、如图,设椭圆22221(0)x y a b a b +=>>的左、右焦点分别为12,F F ,点D 在椭圆上,112DF F F ⊥,12122F F DF =,12DF F △的面积为22.则椭圆的标准方程为___________.13、已知点A 在椭圆221259x y +=上,点P 满足(1)(R)AP OA λλ=-∈u u u r u u u r (O 是坐标原点),且72OA OP ⋅=u u u r u u u r,则线段OP 在x 轴上的投影长度的最大值为__________.14、在平面直角坐标系xOy 中,经过点(2且斜率为k 的直线l 与椭圆2212x y +=有两个不同的交点,则k的取值范围为__________15、在平面直角坐标系xOy 中,已知椭圆22:13x C y +=,如图所示,斜率为(0)k k >且不过原点的直线l 交椭圆C 于两点,A B ,线段AB 的中点为E ,射线OE 交椭圆C 于点G ,交直线3x =-于点()3,D m -.1.求22m k +的最小值;2.若2OG OD OE =⋅,求证:直线l 过定点.答案以及解析1答案及解析: 答案:A 解析:2答案及解析: 答案:A解析:如图,设,P Q 分别是圆C 与1F A 的延长线、线段2AF 相切的切点,()2212MF F Q a F A AQ ==-+1122a F P a F M =-=-,即122F M MF a +=,所以2t a ==.故选A3答案及解析: 答案:A 解析:4答案及解析: 答案:D 解析:5答案及解析: 答案:B解析:椭圆方程为22221,x y a b+=由题知在Rt ABF △中,222,BF AB AF +=即2222()a a b a c ++=+,222b a c =-代入得22-0,a ac c -= 两边同除以2a 得210,e e +-=解得e =6答案及解析: 答案:C 解析:7答案及解析: 答案:B解析:设直线AB 的方程为y x t =+,()11,A x y ,()22,B x y ,利用椭圆与平行四边形的对称性可得()22,D x y --,联立22142y x t x y =+⎧⎪⎨+=⎪⎩,可得2234240x tx t ++-=,由0∆>,得206t <<(t=0时不能构成平行四边形),所以1243tx x +=-,则直线AD 的斜率12122121212222111423y y x x t t t k t x x x x x x +++===+=+=-+++-,故选B 。
(新课标)2017-2018学年北师大版高中数学选修1-11 椭圆同步练测建议用时满分实际得分45分钟100分一、选择题(本题共8小题,每小题5分,共40分)1.已知椭圆的焦点在轴上,长轴长是短轴长的两倍,则的值为()A.14B.12C.2D.42.已知椭圆方程为22221(0)x ya ba b+=>>,O为原点,F为右焦点,点M是椭圆右准线l上(除去与x轴的交点)的动点,过点F作OM的垂线与以OM为直径的圆交于点N,则线段ON的长为()A.cB.bC.aD.不确定3.已知曲线C上的动点M(x,y)和向量a=(x+2,y),b=(x-2,y)满足|a|+|b|=6,则曲线C的离心率是( )A.23B.C.33D.134.平面内有两定点,A B及动点,设命题甲:“||PA+是定值”,命题乙:“点的轨迹是以,A B为焦点的椭圆”,那么()A.甲是乙成立的充分不必要条件B.甲是乙成立的必要不充分条件C.甲是乙成立的充要条件D.甲是乙成立的既不充分也不必要条件5.如果椭圆上两点间的最大距离是,那么()A.32B.16C.8D.46.中心在原点,焦点坐标为的椭圆被直线截得的弦的中点的横坐标为12,则椭圆方程为() A.B. C.D.7.已知点P 是椭圆221625400x y +=上一点,且在x 轴上方,12F ,F 分别是椭圆的左、右焦点,直线2PF 的斜率为43-,则12PF F △的面积是( ) A.243 B.123 C.63 D.338.椭圆222212x y a a +=与连接两点的线段没有公共点,则正数的取值范围是()A. B. C.D.二、填空题(本题共4小题,每小题6分,共24分)9.椭圆22221(0)x y a b a b+>>=的左焦点为F ,直线x m =与椭圆相交于A,B 两点,若FAB △的周长最大时,FAB △的面积为ab ,则椭圆的离心率为.10.若焦点在轴上的椭圆2221(0)45x y b b +=>上存在一点,它与两焦点的连线互相垂直,则的取值范围是.11.已知点1,02A ⎛⎫- ⎪⎝⎭,是圆22142:F x y ⎛⎫-+= ⎪⎝⎭(为圆心)上一动点,线段的垂直平分线交于,则动点的轨迹方程为.12.已知椭圆长轴上一个顶点为,以为直角顶点作一个内接于椭圆的等腰直角三角形,则该三角形的面积是.三、解答题(本题共3小题,共36分)13.(本小题满分12分)已知椭圆221259y x +=的上、下焦点分别为2F 和1F ,点(13)A -,. (1)在椭圆上有一点M ,使2F M MA +的值最小,求最小值; (2)当2F M MA +取最小值时,求2AMF △的周长14.(本小题满分12分)已知椭圆的中心在原点,焦点为,,且离心22e=.3(1)求椭圆的方程;(2)直线(与坐标轴不平行)与椭圆交于不同的两点,且线段中点的横坐标为1-,求直线倾2斜角的取值范围.15.(本小题满分12分)已知向量,,,(其中是实数).又设向量,,且∥,点的轨迹为曲线. (1)求曲线的方程;(2)设直线与曲线交于两点,当42||MN 时,求直线的方程3一、选择题1.A 解析:椭圆方程可化为22111x y m+=,由焦点在轴上可得长半轴长为1m ,短半轴长为1,所以1m ,解得14m =. 2.C 解析:由题意可设(0)F c ,,点2a M ,m c ⎛⎫ ⎪⎝⎭,则2OM mc k a =.由题意可得OM FN ⊥,∴FN 的方程为20()a y x c mc-=--,整理方程,得2()a my x c c =--,即22a my x a c+=.①∵过点F 作OM 的垂线与以OM 为直径的圆交于点N ,∴ON NM ⊥,即1ON NM k k =-•.设()N x y ,,则21y y m • a x x c-=--.整理,得222a x y x my c +=+.② 联立①②,得2222a x y x my a c+=+=,∴ 22ON x y a =+=.3.A 解析:|a|+|b|=6表示动点M 到两定点(-2,0),(2,0)的距离之和为6,所以曲线C 是以(-2,0),(2,0)为焦点,以6为长轴长的椭圆,故离心率e==.4.B 解析:若点的轨迹是以,A B 为焦点的椭圆,则是定值;当时,是定值,但此时点的轨迹是线段,所以甲是乙成立的必要不充分条件.5.B 解析:由题意得.将椭圆方程化为2214x y k k +=.由04kk >>,得. 6.C 解析:由题意设椭圆方程为221(0)50x y m m m +=>+,与直线方程联立,得22150320x y m m x y ⎧+=⎪+⎨⎪--=⎩,,消去并整理,得.由弦的中点的横坐标为12,可得1211050m m =+,解得.所以椭圆方程为2212575x y +=. 7.C 解析:∵ 椭圆221625400x y +=化成标准形式为22=12516x y +,∴ 222516a b ==,,可得223c a b =-=.∴ 椭圆的焦点为130F -(,),230F (,).设位于椭圆x 轴上方弧上的点为(,)m n ,则22=125160=433m n n m ⎧+⎪⎪⎨-⎪-⎪-⎩,,解得5223m n ⎧=⎪⎨⎪=⎩,(负值舍去). ∴ △12PF F 的面积1623632S =⨯⨯=. 8.A 解析:由题意得,当点在椭圆222212x y a a +=的外部或点在椭圆222212x y a a +=的内部时,椭圆222212x y a a +=与连接两点的线段没有公共点,所以221412a a +>或224912a a +<,解得或. 二、填空题 9.22解析:设椭圆的右焦点E . 由椭圆的定义得FAB △的周长为(2)(2)AB AF BF AB a AE a BE ++=+-+-4a AB AE BE =+--.∵ AE BE AB +≥,∴ 0AB AE BE --≤,当AB 过点E 时取等号.∴ FAB △的周长44AB AF BF a AB AE BE a ++=+--≤. ∴ FAB △的周长的最大值是4a .此时FAB △的面积为21222b c ab a⨯⨯=,∴ 22a bc =.平方,得42224()a a c c =-,即424410e e -+=,∴ 22e =. 10.3100,2⎤⎛⎥ ⎥⎝⎦解析:设椭圆222145x y b +=的上顶点为,焦点为,椭圆2221(0)45x y b b +=>上存在一点与两焦点的连线互相垂直,则1290F AF ∠︒≥.由余弦定理可得2222112|||||0AF AF F F +-≤,即22240a a c +-≤,所以222222()a c a b =-≤,即2245b ≤,解得31002b <≤. 11.22413x y +=解析:由题意可得.又,所以点的轨迹是焦点在x 轴上的椭圆,其中12c =,,213144b =-=,所以椭圆方程为22413x y +=.12.1625解析:原方程可化为2214x y +=,,,所以,,.不妨设A 为右顶点,设所作的等腰直角三角形与椭圆的一个交点为,可得,代入曲线方程得45y =,所以21162225S y =⨯=. 三、解答题13.解:由题意知534a ,b ,c ===,1(04)F -,,2(04)F ,,12AF =. ∵ M 是椭圆上任一点,∴ 12210MF MF a +==,∴2111210()10102≥=F M MA a MF MA MF MA AF +=-+=----. 等号当且仅当11MF MA AF -=时成立,此时点1M ,A,F 共线. ∴2F M MA +的最小值为102-.(2)当2F M MA +取最小值时,点1M ,A,F 共线.2AMF △的周长2210 2 5 2 1042l MF MA AF =++=-+=-.14.解:(1)设椭圆方程为22221y x a b+=.,223c a =,所以,所以. 故所求椭圆方程为2219y x +=.(2)设直线的方程为,代入椭圆方程整理,得.由题意得222122(2)4(9)(9)0,21,9kb k b kbx x k ⎧=-+->⎪⎨+=-=-⎪+⎩∆解得或. 又直线与坐标轴不平行,故直线倾斜角的取值范围是πππ2π,,3223⎛⎫⎛⎫⎪⎪⎝⎭⎝⎭. 15.解:(1)由题意得22(0,)(2,2)(2,2)x y y x =+=+m ,(,0)(2,2)(2,2)x x =-=--n .因为∥m n ,所以2()(222)2(0)y x x --+-=,即所求曲线的方程是2212x y +=.(2)由22121x y y kx ⎧+=⎪⎨⎪=+⎩,消去,得,解得12240,12kx x k ==-+.由2212244112123k MN k x x k k =+-=+=+,解得. 所以直线的方程为或。
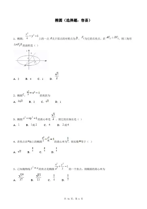
椭圆(选择题:容易)1、椭圆:上的一点关于原点的对称点为,为它的右焦点,若,则三角形的面积是()A.2 B.4 C.1 D.2、椭圆:的焦距为A. B.2 C. D.13、椭圆的离心率是,则它的长轴长是()A. B.或 C. D.或4、若焦点在轴上的椭圆的离心率为,则实数等于()A. B. C. D.5、已知抛物线的焦点是椭圆的一个焦点,则椭圆的离心率为A. B. C. D.6、已知焦点在轴上的椭圆的离心率为,则()A.6 B. C.4 D.27、已知抛物线的焦点是椭圆的一个焦点,则椭圆的离心率为A. B. C. D.8、椭圆的离心率是A. B. C. D.9、已知抛物线的焦点是椭圆的一个焦点,则椭圆的离心率为A. B. C. D.10、已知抛物线的焦点是椭圆的一个焦点,则椭圆的离心率为A. B. C. D.11、椭圆的离心率是A. B. C. D.12、已知是椭圆的两个焦点,过的直线交椭圆于两点,若的周长为,则椭圆方程为()A. B.C. D.13、已知椭圆的长轴长是8,焦距为6,则此椭圆的标准方程是()A. B.或C. D.或14、经过椭圆右焦点作与轴垂直的直线,直线与椭圆交于两点,若与左焦点构成等边三角形,则椭圆离心率是()A. B. C. D.15、椭圆上的一点到左焦点的距离为2,是的中点,则为()A. B. C. D.16、已知直线与椭圆:交于两点,若椭圆的两个焦点与两点可以构成一个矩形,则椭圆的离心率为()A. B. C. D.17、已知椭圆:()的左、右焦点分别为、,直线与椭圆交于、两点.若四边形是矩形,则椭圆的离心率为()A. B. C. D.18、焦点为,,长轴长为10的椭圆的标准方程为()A. B. C. D.19、已知,是椭圆的两焦点,过的直线交椭圆于,,若的△周长为8,则椭圆方程为()A. B. C. D.20、椭圆的离心率为()A. B. C. D.21、已知,是椭圆的两焦点,过的直线交椭圆于,,若的△周长为8,则椭圆方程为()A. B. C. D.22、已知,是椭圆的两焦点,过的直线交椭圆于,,若的△周长为8,则椭圆方程为()A. B. C. D.23、椭圆的焦点坐标为()A. B. C. D.24、椭圆的焦点坐标为()A. B. C. D.25、椭圆x2+4y2=1的离心率为()A. B. C. D.26、已知椭圆上的一点到椭圆的一个焦点的距离等于4,那么点到椭圆的另一个焦点的距离等于()A.2 B.4 C.6 D.827、直线经过椭圆的一个顶点和一个焦点,若椭圆中心到的距离为其短轴长的,则该椭圆的离心率为()A. B.C. D.28、已知为坐标原点,是椭圆的左焦点,分别为的左,右顶点.为上一点,且轴过点的直线与线段交于点,与轴交于点.若直线经过的中点,则的离心率为()A. B.C. D.29、已知,分别为椭圆:的左、右顶点,不同两点,在椭圆上,且关于轴对称,设直线,的斜率分别为,,则当取最大值时,椭圆的离心率为()A. B. C. D.30、已知椭圆:,点,,分别为椭圆的左顶点、上顶点、左焦点,若,则椭圆的离心率是()A. B. C. D.31、已知椭圆过点作弦且弦被平分,则此弦所在的直线方程为()A. B.C. D.32、若椭圆与双曲线有相同的焦点,是两曲线的一个交点,则的面积是()A.4 B.2C.1 D.33、已知椭圆与双曲线(,)有相同的焦点和,若是,的等比中项,是与的等差中项,则椭圆的离心率是()A. B. C. D.34、在椭圆内,通过点,且被这点平分的弦所在的直线方程为()A. B.C. D.35、椭圆+=1的焦点为F1和F2,点P在椭圆上,如果线段PF1的中点在y轴上,那么|PF1|是|PF2|的( )A.7倍 B.5倍 C.4倍 D.3倍36、已知椭圆上一点P到某一个焦点的距离为3,则点P到另一个焦点的距离为()A.2 B.3 C.5 D.737、已知抛物线的焦点与椭圆的一个焦点重合,则m=()A. B. C. D.38、已知对,直线与椭圆恒有公共点,则实数的取值范围()A.(1,4] B.[1,4)C.[1,4)∪(4,+∞) D.(4,+∞)39、若AB是过椭圆中心的弦,为椭圆的焦点,则面积的最大值为()A.6 B.12 C.24 D.4840、椭圆的左、右焦点分别为、,是椭圆上一点,且,则该椭圆的离心率的取值范围为()A. B.C. D.41、已知椭圆的离心率为,双曲线与椭圆有相同的焦点,,是两曲线的一个公共点,若,则双典线的渐近线方程为()A. B.C. D.42、设椭圆的左右焦点分别为,点在椭圆上,且满足,则的值为()A. B. C. D.43、若一个椭圆长轴的长度、短轴的长度和焦距成等差数列,则该椭圆的离心率是()A. B. C. D.44、已知椭圆的离心率为.双曲线的渐近线与椭圆有四个交点,以这四个交点为顶点的四边形的面积为16,则椭圆的方程为 ( )A. B. C. D.45、已知,椭圆的方程为,双曲线的方程为,与的离心率之积为,则的离心率为()A. B. C. D.46、P是椭圆上一点,F1、F2分别是椭圆的左、右焦点,若∠F1PF2=,则△F1PF2的面积为()A. B. C. D.47、已知椭圆的标准方程,则椭圆的焦点坐标为()A., B.,C., D.,48、如图,F1,F2分别是椭圆(a>b>0)的两个焦点,A和B是以O为圆心,以|OF1|为半径的圆与该左半椭圆的两个交点,且△F1AB是等边三角形,则椭圆的离心率为()A. B.C. D.49、过点的直线与椭圆交于两点, 且点平分弦,则直线的方程为A. B.C. D.50、设P为椭圆+=1上一点,F1、F2为焦点,如果∠PF1F2=75°,∠PF2F1=15°,则椭圆的离心率为()A. B. C. D.51、设是椭圆的两个焦点,若椭圆上存在点,使,则椭圆离心率的取值范围是()A. B. C. D.52、若椭圆的离心率为,则()A.3 B.C. D.253、已知两定点和,动点在直线上移动,椭圆以,为焦点且经过点,则椭圆的离心率的最大值为()A. B. C. D.54、已知双曲线与椭圆有相同的焦点,则该双曲线的渐近线方程为()A. B.C. D.55、椭圆的离心率的最小值为A. B. C. D.56、椭圆的离心率的最小值为A. B. C. D.57、已知点P为椭圆上的动点,EF为圆N:的任一直径,求最大值和最小值是()A.16, B.C.19, D.20,58、若椭圆的弦被点平分,则此弦所在直线的斜率为()A.2 B.-2 C. D.59、已知椭圆的方程为为其左、右焦点,为离心率,为椭圆上一动点,则有如下说法:①当时,使为直角三角形的点有且只有4个;②当时,使为直角三角形的点有且只有6个;③当时,使为直角三角形的点有且只有8个;以上说法中正确的个数是()A.0 B.1 C.2 D.360、将椭圆按φ:,变换后得到圆,则A.λ=3,μ=4 B.λ=3,μ=2C.λ=1,μ= D.λ=1,μ=61、椭圆的长轴端点坐标为()A. B.C. D.62、已知点是椭圆的两个焦点,点是该椭圆上的一个动点,那么的最小值是()A.0 B.1 C.2 D.63、点是椭圆上一点,分别是椭圆的左、右焦点,若,则的大小为()A. B. C. D.64、过点且与椭圆有相同焦点的椭圆方程为A. B.C. D.65、已知是椭圆的两焦点,过点的直线交椭圆于两点.在中,若有两边之和是15,则第三边的长度为A.6 B.5 C.4 D.366、与椭圆共焦点且过点的双曲线方程是()A. B.C. D.67、已知分别是椭圆的左、右焦点,是椭圆上位于第一象限内的一点,为坐标原点,,若椭圆的离心率等于,则直线的方程是()A. B. C. D.68、设是椭圆的两个焦点,为椭圆上的点,以为直径的圆经过,若,则椭圆的离心率为()A. B. C. D.69、已知椭圆C:(a>b>0)的离心率为.双曲线x2-y2=1的渐近线与椭圆C有四个交点,以这四个交点为顶点的四边形的面积为16,则椭圆C的方程为A. B. C. D.70、已知椭圆的离心率为,过左焦点的直线与椭圆交于两点.(1)若线段的中点为,求椭圆的方程;(2)过点与椭圆只有一个公共点的直线为,过点与垂直的直线为,求证与交点在定直线上.参考答案1、C2、B3、D4、B5、D6、C7、D8、B9、D10、D11、B12、A13、B14、C15、B16、C17、D18、B19、A20、C21、A22、A23、B24、B25、A26、B27、B28、A29、D30、A31、D32、C33、D34、A35、A36、D37、C38、C39、B40、B41、A42、D43、B44、D45、B46、B47、C48、D49、B50、D51、D52、D53、A54、A55、A56、A57、C58、D59、D60、D61、D62、C63、C64、C65、B66、B67、B68、D69、D70、(1)椭圆方程为;(2)见解析【解析】1、试题分析:由直径所对圆周角为,可以联想到圆与椭圆相交,在同一个圆上,且圆的半径为,圆心为原点,圆的方程为:,联立方程组,解得,,故选C.考点:1、三角形面积计算;2、椭圆与圆的交点问题。
椭圆同步测试一、选择题:(本大题共12小题,每小题5分,共60分,在每小题给出的四个选项中有只有一项是符合题目要求的.) 1.椭圆63222=+y x 的焦距是( )A .2B .)23(2-C .52D .)23(2+2.F 1、F 2是定点,|F 1F 2|=6,动点M 满足|MF 1|+|MF 2|=6,则点M 的轨迹是( )A .椭圆B .直线C .线段D .圆3.若椭圆的两焦点为(-2,0)和(2,0),且椭圆过点)23,25(-,则椭圆方程是( ) A .14822=+x yB .161022=+x yC .18422=+x yD .161022=+y x4.方程222=+ky x 表示焦点在y 轴上的椭圆,则k 的取值范围是 ( )A .),0(+∞B .(0,2)C .(1,+∞)D .(0,1)5. 过椭圆12422=+y x 的一个焦点1F 的直线与椭圆交于A 、B 两点,则A 、B 与椭圆的另一焦点2F 构成2ABF ∆,那么2ABF ∆的周长是( ) A. 22 B. 2 C.2 D. 16.若椭圆两准线间的距离等于焦距的4倍,则这个椭圆的离心率为( ) A .41B .22 C .42 D .217. 已知k <4,则曲线14922=+y x 和14922=-+-k y k x 有( ) A. 相同的准线 B. 相同的焦点 C. 相同的离心率 D. 相同的长轴 8.已知P 是椭圆13610022=+y x 上的一点,若P 到椭圆右准线的距离是217,则点P 到左焦点的距离是( ) A .516B .566 C .875 D .877 9.若点P 在椭圆1222=+y x 上,1F 、2F 分别是椭圆的两焦点,且 9021=∠PF F ,则21PF F ∆的面积是( )A. 2B. 1C.23D. 2110.椭圆1449422=+y x 内有一点P (3,2)过点P 的弦恰好以P 为中点,那么这弦所在直线的方程为( )A .01223=-+y xB .01232=-+y xC .014494=-+y xD . 014449=-+y x 11.椭圆141622=+y x 上的点到直线022=-+y x 的最大距离是( ) A .3B .11C .22D .1012.在椭圆13422=+y x 内有一点P (1,-1),F 为椭圆右焦点,在椭圆上有一点M ,使|MP|+2|MF|的值最小,则这一最小值是( )A .25 B .27C .3D .4二、填空题:(本大题共4小题,每小题4分,共16分,把答案填在题中横线上.)13.椭圆2214x y m+=的离心率为12,则m = 。
同步习题(建议用时:45分钟)[学业达标]一、选择题1.点A (a,1)在椭圆x 24+y 22=1的内部,则a 的取值范围是( )A .-2<a < 2B .a <-2或a > 2C .-2<a <2D .-1<a <1【解析】 ∵点A (a,1)在椭圆x 24+y 22=1内部,∴a 24+12<1.∴a 24<12. 则a 2<2,∴-2<a < 2. 【答案】 A2.已知直线y =kx +1和椭圆x 2+2y 2=1有公共点,则k 的取值范围是( ) A .k <-22或k >22B .-22<k <22C .k ≤-22或k ≥22D .-22≤k ≤22【解析】 由⎩⎨⎧y =kx +1,x 2+2y 2=1,得(2k 2+1)x 2+4kx +1=0. ∵直线与椭圆有公共点. ∴Δ=16k 2-4(2k 2+1)≥0, 则k ≥22或k ≤-22. 【答案】 C3.(2016²重庆高二检测)过椭圆x 24+y 23=1的一个焦点F 作垂直于长轴的弦,则此弦长为( )A.34B .3C .2 3 D.833【解析】 因为F (±1,0),所以过椭圆的焦点F 且垂直于长轴的弦与椭圆的交点坐标为⎝⎛⎭⎪⎫±1,±32,所以弦长为3.【答案】 B4.直线y =x +1被椭圆x 24+y 22=1所截得线段的中点的坐标是( )A.⎝ ⎛⎭⎪⎫23,53B.⎝ ⎛⎭⎪⎫43,73C.⎝ ⎛⎭⎪⎫-23,13 D.⎝ ⎛⎭⎪⎫-132,-172【解析】联立方程⎩⎨⎧y =x +1,x 24+y22=1,消去y ,得3x 2+4x -2=0.设交点A (x 1,y 1),B (x 2,y 2),中点M (x 0,y 0).∴x 1+x 2=-43,x 0=x 1+x 22=-23,y 0=x 0+1=13,∴中点坐标为⎝ ⎛⎭⎪⎫-23,13.【答案】 C5.经过椭圆x 22+y 2=1的右焦点作倾斜角为45°的直线l ,交椭圆于A 、B两点,O 为坐标原点,则OA →²OB →=( ) 【导学号:26160041】A .-3B .-13C .-13或-3D .±13【解析】 椭圆右焦点为(1,0), 设l :y =x -1,A (x 1,y 1),B (x 2,y 2), 把y =x -1代入x 22+y 2=1,得3x 2-4x =0.∴A (0,-1),B ⎝ ⎛⎭⎪⎫43,13,∴OA →²OB →=-13.【答案】 B 二、填空题6.直线l 过定点A (-3,0),则过点A 的直线与椭圆x 29+y 24=1的交点个数为________.【解析】 ∵A (-3,0)为椭圆长轴一个顶点,∴当过点A 作椭圆切线时,直线与椭圆有一个公共点(即切点);当过点A 作与椭圆相交的直线时,二者有两个交点,故填1或2.【答案】 1或27.已知动点P (x ,y )在椭圆x 225+y 216=1上,若A 点坐标为(3,0),|AM →|=1,且P M →²A M →=0,则|P M →|的最小值是________.【解析】 易知点A (3,0)是椭圆的右焦点. ∵P M →²A M →=0, ∴A M →⊥P M →.∴|P M →|2=|A P →|2-|A M →|2=|A P →|2-1,∵椭圆右顶点到右焦点A 的距离最小,故|A P →|min =2, ∴|P M →|min = 3. 【答案】38.过椭圆x 25+y 24=1的右焦点作一条斜率为2的直线与椭圆交于A ,B 两点,O 为坐标原点,则△OAB 的面积为________.【解析】 由题意知,右焦点坐标为(1,0),直线的方程为y =2(x -1),将其与x 25+y 24=1联立,消去y ,得3x 2-5x =0.设A (x 1,y 1),B (x 2,y 2),则x 1+x 2=53,x 1x 2=0,所以|AB |=1+k 2²|x 1-x 2|=1+22²⎝ ⎛⎭⎪⎫532-4³0=553.设原点到直线的距离为d ,则d =|2|12+22=25. 所以S △OAB =12|AB |²d =12³553³25=53.【答案】 53三、解答题9.已知椭圆x 24+y 23=1,直线l :y =4x +12,若椭圆上存在两点P 、Q 关于直线l 对称,求直线PQ 的方程.【解】 法一:设P (x 1,y 1),Q (x 2,y 2), 则k PQ =-14.设PQ 所在直线方程为y =-x4+b .由⎩⎪⎨⎪⎧y =-x4+b ,x 24+y 23=1,消去y ,得13x 2-8bx +16b 2-48=0.∴Δ=(-8b )2-4³13³(16b 2-48)>0. 解得b 2<134,x 1+x 2=8b13, 设PQ 中点为M (x 0,y 0),则有x 0=x 1+x 22=4b 13,y 0=-14²4b 13+b =12b13. ∵点M ⎝ ⎛⎭⎪⎫4b 13,12b 13在直线y =4x +12上,∴12b 13=4²4b 13+12,∴b =-138. 直线PQ 的方程为y =-14x -138,即2x +8y +13=0.法二:设P (x 1,y 1),Q (x 2,y 2),M (x 0,y 0)是PQ 的中点.则有⎩⎨⎧3x 21+4y 21=12,3x 22+4y 22=12,两式相减,得3(x 1-x 2)(x 1+x 2)+4(y 1-y 2)(y 1+y 2)=0. ∵x 1≠x 2,x 1+x 2=2x 0,y 1+y 2=2y 0, ∴3x 04y 0=-y 1-y 2x 1-x 2=-k PQ . ∵k PQ =-14,∴y 0=3x 0.代入直线y =4x +12,得x 0=-12,y 0=-32,则直线PQ 的方程为y +32=-14⎝ ⎛⎭⎪⎫x +12,即2x +8y +13=0.10.设F 1,F 2分别是椭圆E :x 2+y 2b2=1(0<b <1)的左、右焦点,过F 1的直线l 与E 相交A ,B 两点,且|AF 2|,|AB |,|BF 2|成等差数列.(1)求|AB |;(2)若直线l 的斜率为1,求b 的值.【解】 (1)由椭圆定义知|AF 2|+|AB |+|BF 2|=4, 又2|AB |=|AF 2|+|BF 2|,所以|AB |=43.(2)直线l 的方程为y =x +c ,其中c =1-b 2.设A (x 1,y 1),B (x 2,y 2),则A ,B 两点坐标满足方程组⎩⎨⎧y =x +c ,x 2+y2b2=1,化简得(1+b 2)x 2+2cx +1-2b 2=0.则由根与系数的关系,得x 1+x 2=-2c 1+b 2,x 1x 2=1-2b 21+b 2.因为直线AB 的斜率为1, 所以|AB |=2|x 1-x 2|, 即43=2|x 1-x 2|. 所以(x 1+x 2)2-4x 1x 2=89,即4 1-b 2 1+b 2 2-4 1-2b 2 1+b 2=8b 4 1+b 2 2=89, 解得b 2=12或b 2=-14(舍去),又b >0,∴b =22. [能力提升]1.已知椭圆x 2a 2+y 2b 2=1(a >b >0)的左焦点为F ,A (-a,0),B (0,b )为椭圆的两个顶点,若点F 到AB 的距离为b 7,则椭圆的离心率为( )A.7-77B.7-277C.12D.45【解析】 直线AB 的方程是x -a +yb =1,即bx -ay +ab =0.因为点F 的坐标为(-c,0),所以|-bc +ab |a 2+b 2=b7,化简,得8c 2-14ac +5a 2=0,两端同除以a 2,得8e 2-14e +5=0,解得e =12⎝ ⎛⎭⎪⎫e =54舍去.【答案】 C2.已知椭圆C :x 22+y 2=1的右焦点为F ,直线l :x =2,点A ∈l ,线段AF交椭圆C 于点B ,若F A →=3F B →,则|A F →|=( )A. 2 B .2 C. 3D .3【解析】 设点A (2,n ),B (x 0,y 0). 由椭圆C :x 22+y 2=1知a 2=2,b 2=1,∴c 2=1,即c =1,∴右焦点F (1,0). 由F A →=3F B →,得(1,n )=3(x 0-1,y 0). ∴1=3(x 0-1)且n =3y 0. ∴x 0=43,y 0=13n .将x 0,y 0代入x 22+y 2=1,得12³⎝ ⎛⎭⎪⎫432+⎝ ⎛⎭⎪⎫13n 2=1.解得n 2=1, ∴|A F →|= 2-1 2+n 2=1+1= 2. 【答案】 A3.若直线y =kx +1与曲线x =1-4y 2有两个不同的交点,则k 的取值范围是________.【解析】 由x =1-4y 2,得x 2+4y 2=1(x ≥0), 又∵直线y =kx +1过定点(0,1),故问题转化为过定点(0,1)的直线与椭圆在y 轴右侧的部分有两个公共点,当直线与椭圆(右侧部分)相切时,k =-32,则相交时k <-32. 【答案】 ⎝⎛⎭⎪⎫-∞,-324.设椭圆C :x 2a 2+y 2b 2=1(a >b >0)的右焦点为F ,过点F 的直线l 与椭圆C 相交于A ,B 两点,直线l 的倾斜角为60°,A F →=2F B →.(1)求椭圆C 的离心率; 【导学号:26160042】(2)如果|AB |=154,求椭圆C 的标准方程. 【解】 设A (x 1,y 1),B (x 2,y 2),其中y 1<0,y 2>0. (1)直线l 的方程为y =3(x -c ), 其中c =a 2-b 2.联立,得⎩⎨⎧y =3 x -c ,x 2a 2+y2b 2=1,消去x ,得(3a 2+b 2)y 2+23b 2cy -3b 4=0. 解得y 1=-3b 2 c +2a 3a 2+b 2,y 2=-3b 2 c -2a3a 2+b 2因为A F →=2F B →,所以-y 1=2y 2, 即3b 2 c +2a 3a 2+b 2=2²-3b 2 c -2a3a 2+b 2,得离心率e =c a =23.(2)因为|AB |=1+13|y 2-y 1|, 所以23²43ab 23a 2+b 2=154. 由c a =23,得b =53a ,所以54a =154,所以a =3,b = 5.x2 9+y25=1.所以椭圆C的标准方程为。
椭圆同步测试一、 选择题:(本大题共12小题,每小题5分,共60分,在每小题给出地四个选项中有只有一项是符合题目要求地.) 1.椭圆63222=+y x地焦距是( ) A .2B .)23(2- C .52 D .)23(2+2.F 1、F 2是定点,|F 1F 2|=6,动点M 满足|MF 1|+|MF 2|=6,则点M 地轨迹是 ( ) A .椭圆 B .直线 C .线段 D .圆3.若椭圆地两焦点为(-2,0)和(2,0),且椭圆过点)23,25(-,则椭圆方程是 ( )A .14822=+x y B .161022=+x y C .18422=+x y D .161022=+y x 4.方程222=+ky x表示焦点在y 轴上地椭圆,则k 地取值范围是 ( ) A .),0(+∞ B .(0,2) C .(1,+∞)D .(0,1) 5. 过椭圆12422=+y x地一个焦点1F 地直线与椭圆交于A、B 两点,则A 、B 与椭圆地另一焦点2F 构成2ABF ∆,那么2ABF ∆地周长是( )A. 22B. 2C. 2D. 16.若椭圆两准线间地距离等于焦距地4倍,则这个椭圆地离心率为 ( ) A .41 B .22C .42D . 217. 已知k <4,则曲线14922=+y x 和14922=-+-ky k x 有( )A. 相同地准线B. 相同地焦点C. 相同地离心率D. 相同地长轴 8.已知P 是椭圆13610022=+y x 上地一点,若P 到椭圆右准线地距离是217,则点P 到左焦点地距离是 ( ) A .516 B .566 C .875 D .877 9.若点P 在椭圆1222=+y x 上,1F 、2F 分别是椭圆地两焦点,且ο9021=∠PFF ,则21PF F ∆地面积是( )A. 2B. 1C. 23D. 21 10.椭圆1449422=+y x内有一点P (3,2)过点P 地弦恰好以P 为中点,那么这弦所在直线地方程为( )A .01223=-+y xB .01232=-+y xC .014494=-+y xD . 014449=-+y x11.椭圆141622=+y x 上地点到直线022=-+y x 地最大距离是( ) A .3 B .11C .22D .1012.在椭圆13422=+y x 内有一点P (1,-1),F 为椭圆右焦点,在椭圆上有一点M ,使|MP|+2|MF|地值最小,则这一最小值是( )A .25B .27 C .3D .4二、 填空题:(本大题共4小题,每小题4分,共16分,把答案填在题中横线上.) 13.椭圆2214x y m+=地离心率为12,则m =。
(新课标)2017-2018学年北师大版高中数学选修1-1椭圆的简单性质 同步练习一、选择题1.下列命题是真命题的是( )A .到两定点距离之和为常数的点的轨迹是椭圆B .到定直线ca x 2=和定点F(c ,0)的距离之比为ac 的点的轨迹是椭圆C .到定点F(-c ,0)和定直线ca x 2-=的距离之比为ac (a>c>0)的点的轨迹 是左半个椭圆D .到定直线ca x 2=和定点F(c ,0)的距离之比为ca (a>c>0)的点的轨迹是椭圆2.若椭圆的两焦点为(-2,0)和(2,0),且椭圆过点)23,25(-,则椭圆方程是( )A .14822=+x yB .161022=+x yC .18422=+x yD .161022=+y x3.若方程x 2+ky 2=2表示焦点在y 轴上的椭圆,则实数k 的取值范围为( )A .(0,+∞)B .(0,2)C .(1,+∞)D .(0,1)4.设定点F 1(0,-3)、F 2(0,3),动点P 满足条件)0(921>+=+a aa PF PF ,则点P 的轨迹是 ( )A .椭圆B .线段C .不存在D .椭圆或线段 5.椭圆12222=+b y a x 和kby a x =+2222()0>k 具有( )A .相同的离心率B .相同的焦点C .相同的顶点D .相同的长、短轴6.若椭圆两准线间的距离等于焦距的4倍,则这个椭圆的离心率为( )A .41B .22C .42D .217.已知P 是椭圆13610022=+y x 上的一点,若P 到椭圆右准线的距离是217,则点P 到左焦点的距离是( )A .516B .566 C .875 D .8778.椭圆141622=+y x上的点到直线022=-+y x 的最大距离是 ( )A .3B .11C .22D .109.在椭圆13422=+y x 内有一点P (1,-1),F 为椭圆右焦点,在椭圆上有一点M ,使|MP|+2|MF|的值最小,则这一最小值是( )A .25B .27C .3D .410.过点M (-2,0)的直线m 与椭圆1222=+y x 交于P 1,P 2,线段P 1P 2的中点为P ,设直线m 的斜率为k 1(01≠k ),直线OP 的斜率为k 2,则k 1k 2的值为 ( )A .2 B .-2 C .21 D .-21 二、填空题 11.离心率21=e ,一个焦点是()3,0-F 的椭圆标准方程为___________ .12.与椭圆4 x 2 + 9 y 2 = 36 有相同的焦点,且过点(-3,2)的椭圆方程为_______________.13.已知()y x P ,是椭圆12514422=+y x 上的点,则y x +的取值范围是________________ .14.已知椭圆E的短轴长为6,焦点F到长轴的一个端点的距离等于9,则椭圆E的离心率等于__________________. 三、解答题15.已知A 、B 为椭圆22a x +22925a y =1上两点,F 2为椭圆的右焦点,若|AF 2|+|BF 2|=58a ,AB 中点到椭圆左准线的距离为23,求该椭圆方程.16.过椭圆4:),(148:220022=+=+y x O y x P y x C 向圆上一点引两条切线PA 、PB 、A 、B 为切点,如直线AB 与x 轴、y 轴交于M 、N 两点. (1)若0=⋅PB PA ,求P 点坐标; (2)求直线AB 的方程(用00,y x 表示); (3)求△MON 面积的最小值.(O 为原点)17.椭圆12222=+by a x (a >b >)0与直线1=+y x 交于P 、Q 两点,且OQ OP ⊥,其中O 为坐标原点. (1)求2211ba +的值; (2)若椭圆的离心率e 满足33≤e ≤22,求椭圆长轴的取值范围.参考答案一、选择题1.D2.D3.D4.A5.A6.D7.B8.D9.C 10.D 二、填空题 11.1273622=+x y 12.1101522=+y x 13.]13,13[- 14.54三、解答题15. [解析]:设A(x 1,y 1),B(x 2,y 2),,54=e 由焦半径公式有a -ex 1+a -ex 2=a 58,∴x 1+x 2=a 21,即AB 中点横坐标为a 41,又左准线方程为a x 45-=,∴234541=+a a ,即a=1,∴椭圆方程为x 2+925y 2=1.16.[解析]:(1)PB PA PB PA ⊥∴=⋅0 ∴OAPB 的正方形由843214882020202020==⇒⎪⎩⎪⎨⎧=+=+x y x y x 220±=∴x ∴P 点坐标为(0,22±)(2)设A (x 1,y 1),B (x 2,y 2)则PA 、PB 的方程分别为4,42211=+=+y y x x y y x x ,而PA 、PB 交于P (x 0,y 0)即x 1x 0+y 1y 0=4,x 2x 0+y 2y 0=4,∴AB 的直线方程为:x 0x+y 0y=4(3)由)0,4(4000x M y y x x 得=+、)4,0(0y N ||18|4||4|21||||210000y x y x ON OM S MON ⋅=⋅=⋅=∆22)48(22|222|24||2200000=+≤⋅=y x y x y x 22228||800=≥=∴∆y x S MON当且仅当22,|2||22|min 00==∆MON S y x 时. 17. [解析]:设),(),,(2211y x P y x P ,由OP ⊥ OQ ⇔x 1 x 2 + y 1 y 2 = 0① 01)(2,1,121212211=++--=-=x x x x x y x y 代入上式得: 又将代入x y -=112222=+b y a x 0)1(2)(222222=-+-+⇒b a x a x b a ,,2,022221b a a x x +=+∴>∆ 222221)1(ba b a x x +-=代入①化简得21122=+ba . (2) ,3221211311222222222≤≤⇒≤-≤∴-==a b a b a b a c e 又由(1)知12222-=a a b26252345321212122≤≤⇒≤≤⇒≤-≤∴a a a ,∴长轴 2a ∈ [6,5].。
椭圆(选择题:一般)1、椭圆的焦点为,过点作直线与椭圆相交,被椭圆截得的最短的弦长为,的周长为20,则椭圆的离心率为()A. B. C. D.2、已知F1,F2是椭圆的两焦点,过点F2的直线交椭圆于A,B两点.在△AF1B中,若有两边之和是10,则第三边的长度为()A.6 B.5C.4 D.33、在区间内随机取一个数,则方程表示焦点在轴上的椭圆的概率是()A. B. C. D.4、若椭圆经过原点,且焦点分别为F1 (1, 0),F2 (3, 0),则其离心率为A. B. C. D.5、已知直线被椭圆截得的弦长为2017,则下列直线中被椭圆截得的弦长一定为2017的有()①②③④A.1条 B.2条 C.3条 D.4条6、设点,的周长为,则的顶点的轨迹方程为()A. B.C. D.7、已知分别是椭圆的左、右焦点,若椭圆上存在点,使,则椭圆的离心率的取值范围为A. B. C. D.8、已知双曲线(a>0,b>0)的离心率为,则椭圆的离心率为()A. B. C. D.9、中心在原点的椭圆长轴右顶点为,直线与椭圆相交于,两点,中点的横坐标为,则此椭圆标准方程是()A. B. C. D.10、“方程表示焦点在轴的椭圆”是“”的()A.充分不必要条件 B.必要不充分条件 C.充要条件 D.既不充分也不必要条件11、若抛物线的焦点与椭圆的右焦点重合,则p的值为( )A.-2 B.2 C.-4 D.412、已知椭圆的右焦点为,为左顶点,为椭圆上动点,则能够使的点的个数为( ).A.1 B.2 C.3 D.413、已知椭圆上一点到椭圆的一个焦点的距离等于4,那么点到另一个焦点的距离等于()A.1 B.3 C.6 D.1014、椭圆的左右焦点分别为,过的直线与椭圆交于两点,点关于轴的对称点为点,则四边形的周长为()A.6 B. C.12 D.15、已知椭圆的左焦点为,与过原点的直线相交与两点,连接若,则的离心率为()A. B. C. D.16、已知点在椭圆上,、分别是椭圆的左、右焦点,的中点在轴上,则等于()A. B. C. D.17、设直线与椭圆交于两点,为坐标原点.若是直角三角形,则椭圆的离心率为()A. B. C. D.18、焦点在轴上的椭圆的焦距为,则长轴长是()A. B. C. D.19、已知椭圆与双曲线的焦点相同,且短轴长为,则此椭圆的方程为()A. B. C. D.20、椭圆上一点关于原点的对称点为,为其右焦点,若,且,则该椭圆的离心率为()A.1 B. C. D.21、已知,分别在轴和轴上运动,为原点,,点的轨迹方程为().A. B. C. D.22、已知椭圆的左、右焦点分别为,且,点在椭圆上,,,则椭圆的离心率()A. B. C. D.23、已知点是椭圆上的一点,,是焦点,若取最大时,则的面积是()A. B. C. D.24、已知经过椭圆右焦点的直线交椭圆于、两点,则的周长等于()A. B. C. D.25、已知椭圆的一条弦所在的直线方程是,弦的中点坐标是,则椭圆的离心率是()A. B. C. D.26、已知焦点在轴上,中心在的椭圆上一点到两焦点的距离之和为6,若该椭圆的离心率为,则椭圆的方程是()A. B. C. D.27、已知椭圆的标准方程为,为椭圆的左右焦点,O为原点,P是椭圆在第一象限的点,则的取值范围()A. B. C. D.28、过椭圆C: 的左顶点A且斜率为k的直线交椭圆C于另一点B,且点B在x轴上的射影恰好为右焦点F2,若,则椭圆C的离心率的取值范围是A. B. C. D.∪29、椭圆的焦点为,点在椭圆上,若,则的余弦值为()A. B. C. D.30、直线经过椭圆的一个顶点和一个焦点,若椭圆中心到直线的距离为其短轴长的, 则该椭圆的离心率为()A. B. C. D.31、已知分别为椭圆的左、右焦点,为椭圆上的点,且,则该椭圆的离心率为()A. B. C. D.32、是圆内一定点,是圆周上一个动点,线段的垂直平分线与交于,则点的轨迹是()A.圆 B.椭圆C.双曲线 D.抛物线33、如图所示,A是圆O内一定点,B是圆周上一个动点,AB的中垂线CD与OB交于E,则点E的轨迹是()A.圆 B.椭圆 C.双曲线 D.抛物线34、已知点在椭圆上,则()A.点不在椭圆上 B.点不在椭圆上C.点在椭圆上 D.无法判断点,,是否在椭圆上35、能够把椭圆:的周长和面积同时分为相等的两部分的函数称为椭圆的“亲和函数”,下列函数是椭圆的“亲和函数”的是()A. B. C. D.36、已知椭圆:与双曲线:有相同的右焦点,点是椭圆和双曲线的一个公共点,若,则椭圆的离心率为()A. B. C. D.37、椭圆与双曲线有相同的焦点,则椭圆的离心率是()A. B. C. D.38、点在椭圆上,是椭圆的两个焦点,,且的三条边,,成等差数列,则此椭圆的离心率是()A. B. C. D.39、设为定点,动点满足|,则动点的轨迹是()A.椭圆 B.直线 C.圆 D.线段40、已知是椭圆的两个交点,过的直线与椭圆交于两点,则的周长为()A.16 B.8 C.25 D.3241、已知为椭圆与双曲线的公共焦点,是它们的一个公共点,且,则该椭圆与双曲线的离线率知积的最小值为()A. B. C. D.42、正方形的四个顶点都在椭圆上,若椭圆的焦点在正方形的内部,则椭圆的离心率的取值范围是()A. B. C. D.43、已知是双曲线的右焦点,是轴正半轴上一点,以为直径的圆在第一象限与双曲线的渐近线交于点(为坐标原点).若点三点共线,且的面积是的面积的倍,则双曲线的离心率为()A. B. C. D.44、设椭圆:的右顶点为,右焦点为,为椭圆在第二象限内的点,直线交椭圆于点,为原点,若直线平分线段,则椭圆的离心率为()A. B. C. D.45、已知是双曲线的右焦点,是轴正半轴上一点,以为直径的圆在第一象限与双曲线的渐近线交于点(为坐标原点).若点三点共线,且的面积是的面积的倍,则双曲线的离心率为()A. B. C. D.46、已知点是椭圆的左、右焦点,点P是该椭圆上的一个动点,那么的最小值是()A.2 B. C.0 D.147、椭圆的焦点坐标是()A. B. C. D.48、已知,分别是椭圆的左、右焦点,现以为圆心作一个圆恰好经过椭圆中心并且交椭圆于点,,若过的直线是圆的切线,则椭圆的离心率为()A. B. C. D.49、椭圆的左焦点为,直线与椭圆相交于点,,当的周长最大时,的面积是()A. B. C. D.50、椭圆的两个焦点为、,过作垂直于轴的直线与椭圆相交,为一个交点,则()A. B. C. D.451、已知椭圆与圆交于两点,若四边形(为原点)是菱形,则椭圆的离心率为A. B. C. D.52、已知椭圆C:,(a>b>0)的左、右顶点分别为A1,A2,且以线段A1A2为直径的圆与直线相切,则C的离心率为A. B. C. D.53、已知为双曲线的一个焦点,其关于双曲线的一条渐近线的对称点在另一条渐近线上,则双曲线的离心率为A. B.C.2 D.54、已知是椭圆的左、右焦点,点在椭圆上,线段与圆相切于点,且点为线段的中点,则(其中为椭圆的离心率)的最小值为()A. B. C. D.55、已知椭圆的左焦点为,有一小球从处以速度开始沿直线运动,经椭圆壁反射(无论经过几次反射速度大小始终保持不变,小球半径忽略不计),若小球第一次回到时,它所用的最长时间是最短时间的5倍,则椭圆的离心率为()A. B. C. D.56、如图,椭圆与双曲线有公共焦点,它们在第一象限的交点为,且,则椭圆与双曲线的离心率的之积为A.B.C.D.57、椭圆的左右焦点分别为,弦过,若的内切圆周长为,两点的坐标分别为,则值为()A. B. C. D.58、已知是椭圆的左、右焦点,点在椭圆上,线段与圆相切于点,且点为线段的中点,则(其中为椭圆的离心率)的最小值为()A. B. C. D.59、椭圆焦点在轴上,离心率为,过作直线交椭圆于两点,则周长为()A.3 B.6 C.12 D.2460、焦点在轴上,焦距等于,离心率等于的椭圆的标准方程是()A. B. C. D.61、设F1,F2是椭圆的左、右焦点,P为直线上一点,△F2PF1是底角为30°的等腰三角形,则E的离心率为 ( )A. B. C. D.62、离心率为,且过点的椭圆的标准方程是()A. B.或C. D.或63、已知圆(x+3)2+y2=64的圆心为M,设A为圆上任一点,点N的坐标为(3,0),线段AN的垂直平分线交MA于点P,则动点P的轨迹是A.圆 B.椭圆 C.双曲线 D.抛物线64、已知,是椭圆长轴的两个顶点,是椭圆上关于轴对称的两点,直线的斜率分别为,且,若的最小值为1,则椭圆的离心率为()A. B. C. D.65、椭圆的左右顶点分别是A,B,左右焦点分别是若成等比数列,则此椭圆的离心率为()A. B. C. D.66、已知两点、,且是与的等差中项,则动点的轨迹方程是()。
椭圆 同步练习1一、选择题(每小题5分,共50分)1、若椭圆的方程为2249360x y +-=,则其长轴长为 ( ) A 、3 B 、 4 C 、 6 D 、 92=10为不含根式的形式是( )(A )2212516x y += (B )221259x y += (C )2211625x y += (D )221925x y += 3、若△ABC 的两个顶点坐标(4,0) B(4,0)A -,,△ABC 的周长为18,则顶点C 的轨迹方程是( )22. 1259y x A += 22. 1259x y B +=22. 1 (0)259y x C y +=≠ 22. 1 (y 0)259x y D +=≠4、椭圆2214x y m +=的焦距等于2,则m =( ) A 、5或3 B 、8 C 、5 D 、6 5.已知椭圆的长轴长是8,离心率是34,则此椭圆的标准方程是 ( ) A .221169x y += B .221169x y +=或221169y x += C .221167x y += D .221167x y +=或221167y x += 6.设P 为椭圆22221x y a b+=上一点,12,F F 为焦点,如果0012275,15PF F PF F ∠=∠=,那么椭圆的离心率为 ( )A.23 D.37、(山西)椭圆1422=+y x 的两个焦点为F 1、F 2,过F 1作垂直于x 轴的直线与椭圆相交,一个交点为P ,则2||PF =( )A .23B .3C .27 D .48、椭圆的短轴长,焦距长,长轴长组成等差数列,则此椭圆的离心率为( )43. . . 55A B C D 9、椭圆221123y x +=的焦点为1F 和2F ,点P 在椭圆上,如果线段1PF 的中点在x 轴上,那么2||PF 是 1||PF 的( )A 、17倍 B 、15倍 C 、14倍 D 、7倍 10、如果椭圆193622=+y x 的弦被点(4,2)平分,则这条弦所在的直线方程是( ) A 、02=-y x B 、042=-+y x C 、01232=-+y x D 、082=-+y x 二、填空题(每小题4分,共20分)11、直线032=-+ay x 过椭圆112822=+y x 的焦点, 则=a . 12. 方程2221(1)x y m m +=-表示在y 轴上的椭圆,则m 的取值范围是 。
《椭圆》一、填空题1.若椭圆x 2k +2+y 24=1的离心率e =13,则k 的值为________. 解析:当焦点在x 轴上时,a =k +2,b =2,c =k -2,e =c a =k -2k +2=13,解得k =52;当焦点在y 轴上时,a =2,b =k +2,c =2-k ,e =c a =2-k 2=13,解得k =149.所以k 的值为52或149. 答案:52或1492.已知椭圆的中心在原点,焦点在x 轴上,长轴长为18,且两个焦点恰好将长轴三等分,则此椭圆的标准方程是____________.解析:由两个焦点三等分长轴知3·2c =2a ,即a =3c .由a =9得c =3,所以b 2=a 2-c 2=72,所以椭圆的标准方程是x 281+y 272=1. 答案:x 281+y 272=1 3.已知椭圆的焦点在x 轴上,长、短半轴之和为10,焦距为45,则该椭圆的标准方程为____________.解析:由题意知a +b =10,c =25,又因为c 2=a 2-b 2,所以a =6,b =4,所以该椭圆的标准方程为x 236+y 216=1. 答案:x 236+y 216=1 4.设椭圆的两个焦点分别为F 1、F 2,过F 2作椭圆长轴的垂线交椭圆于点P .若△F 1F 2P 为等腰直角三角形,则椭圆的离心率为________.解析:由题意知,PF 2=F 1F 2=2c ,PF 1=2PF 2=22c ,∴PF 2+PF 1=2c (2+1)=2a ,∴e =c a =12+1=2-1. 答案:2-15.以椭圆的焦距为直径并过两焦点的圆,交椭圆于四个不同的点,顺次连结这四个点和两个焦点恰好组成一个正六边形,那么这个椭圆的离心率为________.解析:如图,设椭圆的方程为x 2a 2+y 2b 2=1(a >b >0),焦距的一半为c .由题意知∠F 1AF 2=90°,∠AF 2F 1=60°.∴AF 2=c ,AF 1=2c ·sin60°=3c .∴AF 1+AF 2=2a =(3+1)c .∴e =c a =23+1=3-1. 答案:3-16.已知两椭圆x 225+y 29=1与x 29-k +y 225-k=1(0<k <9),则它们有相同的________. 解析:∵c 21=25-9=16,∴c 1=4,∵c 22=(25-k )-(9-k )=16,∴c 2=4.∵∴c 1=c 2,∴2c 1=2c 2,∴有相同的焦距.答案:焦距7.若F 1、F 2是椭圆C :x 28+y 24=1的焦点,则在C 上满足PF 1⊥PF 2的点P 的个数为________. 解析:∵椭圆C :x 28+y 24=1,∴c =2,∴F 1(-2,0),F 2(2,0),其短轴的端点为B (0,2),A (0,-2),∴∠F 1BF 2=∠F 1AF 2=90°.又短轴端点与F 1、F 2连线所成的角是椭圆上动点P 与F 1、F 2连线所成角中的最大角,∴满足PF 1⊥PF 2的点有2个.答案:28.若椭圆x 2a 2+y 2b2=1(a >b >0)焦距的一半为c ,直线y =2x 与椭圆的一个交点的横坐标恰为c ,则该椭圆的离心率为________.解析:由题设可得2c =b 2a,即b 2=2ac ,∴c 2+2ac -a 2=0,即e 2+2e -1=0,又0<e <1,∴e =2-1.答案:2-19.已知点(m ,n )在椭圆8x 2+3y 2=24上,则2m +4的取值范围是____________.解析:因为点(m ,n )在椭圆8x 2+3y 2=24上,即在椭圆x 23+y 28=1上,所以点(m ,n )满足椭圆的范围|x |≤3,|y |≤22,因此|m |≤3,即-3≤m ≤3,所以2m +4∈[4-23,4+23].答案:[4-23,4+23]二、解答题10.如图,椭圆x 216+y 29=1的左、右焦点分别为F 1、F 2,一条直线l 经过F 1与椭圆交于A 、B 两点.(1)求△ABF 2的周长;(2)若直线l 的倾斜角为45°,求△ABF 2的面积.解:由椭圆的方程x 216+y 29=1知,a =4,b =3, ∴c =a 2-b 2=7.(1)△ABF 2的周长为AB +AF 2+BF 2=(AF 1+AF 2)+(BF 1+BF 2)=4a =4×4=16.(2)由c =7知F 1(-7,0)、F 2(7,0),又k 1=tan45°=1,∴直线l 的方程为x -y +7=0.设A (x 1,y 1)、B (x 2,y 2),则由⎩⎪⎨⎪⎧x -y +7=0x 216+y 29=1,消去x 整理,得25y 2-187y -81=0, ∴y 1+y 2=18725,y 1y 2=-8125. ∴|y 1-y 2|=(y 1+y 2)2-4y 1y 2= (18725)2+4×8125=72252, ∴S △ABF 2=12F 1F 2·|y 1-y 2|=12×27×72252=722514. 11.已知椭圆4x 2+y 2=1及直线y =x +m .(1)当直线和椭圆有公共点时,求实数m 的取值范围;(2)求被椭圆截得的最长弦所在直线的方程.解:(1)由⎩⎪⎨⎪⎧4x 2+y 2=1,y =x +m ,消去y ,得5x 2+2mx +m 2-1=0. 因为直线与椭圆有公共点,所以Δ=4m 2-20(m 2-1)≥0,解得-52≤m ≤52. (2)设直线与椭圆交于A (x 1,y 1),B (x 2,y 2).由(1)知,5x 2+2mx +m 2-1=0,由根与系数的关系,得x 1+x 2=-2m 5,x 1x 2=15(m 2-1).所以AB = (x 1-x 2)2+(y 1-y 2)2=2(x 1-x 2)2 =2[(x 1+x 2)2-4x 1x 2]=2⎣⎡⎦⎤4m 225-45(m 2-1) =2510-8m 2, 所以当m =0时,AB 的值最大,此时直线方程为y =x .12.如图,点A 、B 分别是椭圆x 236+y 220=1长轴的左、右顶点,点F 是椭圆的右焦点,点P 在椭圆上,且位于x 轴上方,P A ⊥PF .(1)求P 点坐标;(2)设M 是椭圆长轴AB 上的一点,M 到直线AP 的距离等于MB ,求椭圆上的点到点M 的距离d 的最小值.解:(1)由已知可得点A (-6,0),F (4,0),设点P (x ,y ),则AP →=(x +6,y ),FP →=(x -4,y ).由已知得⎩⎪⎨⎪⎧ x 236+y 220=1,(x +6)(x -4)+y 2=0,消去y 得2x 2+9x -18=0. ∴x =32或x =-6.∵y >0, ∴x =32,y =532.∴P 点坐标是(32,532). (2)直线AP 的方程是x -3y +6=0.设M (m,0)(-6≤m ≤6),则M 到直线AP 的距离是|m +6|2. 又MB =6-m ,∴|m +6|2=6-m . ∵-6≤m ≤6,∴m =2.椭圆上的点(x ,y )到点M 的距离d =(x -2)2+y 2=(x -2)2+20-59x 2 = 49(x -92)2+15.由于-6≤x ≤6, ∴当x =92时,d 取最小值为15.。
高二数学椭圆同步练习一、选择题(本大题共10小题,每小题5分,共50分) 1.下列命题是真命题的是( )A .到两定点距离之和为常数的点的轨迹是椭圆B .到定直线cax 2=和定点F(c ,0)的距离之比为ac 的点的轨迹是椭圆C .到定点F(-c ,0)和定直线cax 2-=的距离之比为ac (a >c>0)的点的轨迹 是左半个椭圆D .到定直线cax 2=和定点F(c ,0)的距离之比为ca (a >c>0)的点的轨迹是椭圆2.若椭圆的两焦点为(-2,0)和(2,0),且椭圆过点)23,25(-,则椭圆方程是 ( ) A .14822=+xyB .161022=+xyC .18422=+xyD .161022=+yx3.若方程x 2+ky 2=2表示焦点在y 轴上的椭圆,则实数k 的取值范围为( )A .(0,+∞)B .(0,2)C .(1,+∞)D .(0,1) 4.设定点F 1(0,-3)、F 2(0,3),动点P 满足条件)0(921>+=+a aa PF PF ,则点P 的轨迹是( ) A .椭圆 B .线段 C .不存在D .椭圆或线段 5.椭圆12222=+by ax 和kby ax =+2222()0>k 具有( )A .相同的离心率B .相同的焦点C .相同的顶点D .相同的长、短轴 6.若椭圆两准线间的距离等于焦距的4倍,则这个椭圆的离心率为 ( )A .41B .22 C .42 D .217.已知P 是椭圆13610022=+yx上的一点,若P 到椭圆右准线的距离是217,则点P 到左焦点的距离是( )A .516B .566 C .875 D .8778.椭圆141622=+yx上的点到直线022=-+y x 的最大距离是( )A .3B .11C .22 D .109.在椭圆13422=+yx内有一点P (1,-1),F 为椭圆右焦点,在椭圆上有一点M ,使|MP|+2|MF|的值最小,则这一最小值是( )A .25 B .27C .3D .410.过点M (-2,0)的直线m 与椭圆1222=+yx交于P 1,P 2,线段P 1P 2的中点为P ,设直线m 的斜率为k 1(01≠k ),直线OP 的斜率为k 2,则k 1k 2的值为 ( )A .2B .-2C .21D .-21二、填空题(本题共4小题,每小题6分,共24分)11.离心率21=e ,一个焦点是()3,0-F 的椭圆标准方程为 ___________ .12.与椭圆4 x 2 + 9 y 2 = 36 有相同的焦点,且过点(-3,2)的椭圆方程为_______________. 13.已知()y x P ,是椭圆12514422=+yx上的点,则y x +的取值范围是________________ .14.已知椭圆E的短轴长为6,焦点F到长轴的一个端点的距离等于9,则椭圆E的离心率等于__________________.三、解答题(本大题共6题,共76分)15.已知椭圆的对称轴为坐标轴,离心率32=e ,短轴长为58,求椭圆的方程.(12分)16.已知A 、B 为椭圆22ax +22925ay =1上两点,F 2为椭圆的右焦点,若|AF 2|+|BF 2|=58a ,AB中点到椭圆左准线的距离为23,求该椭圆方程.(12分)17.过椭圆4:),(148:220022=+=+yx O y x P yxC 向圆上一点引两条切线PA 、PB 、A 、B 为切点,如直线AB 与x 轴、y 轴交于M 、N 两点.(1)若0=⋅PB PA ,求P 点坐标;(2)求直线AB 的方程(用00,y x 表示); (3)求△MON 面积的最小值.(O 为原点)(12分) 18.椭圆12222=+by ax (a >b >)0与直线1=+y x 交于P 、Q 两点,且OQ OP ⊥,其中O为坐标原点. (1)求2211ba+的值;(2)若椭圆的离心率e 满足33≤e ≤22,求椭圆长轴的取值范围.(12分)19.一条变动的直线L 与椭圆42x+2y2=1交于P 、Q 两点,M 是L 上的动点,满足关系|MP|·|MQ|=2.若直线L 在变动过程中始终保持其斜率等于1.求动点M 的轨迹方程,并说明曲线的形状.(14分)20.椭圆的中心是原点O ,它的短轴长为22,相应于焦点F (c ,0)(0>c )的准线l 与x 轴相交于点A ,|OF|=2|FA|,过点A 的直线与椭圆相交于P 、Q 两点 . (1)求椭圆的方程及离心率;(2)若0=⋅OQ OP ,求直线PQ 的方程;(3)设AQ AP λ=(1>λ),过点P 且平行于准线l 的直线与椭圆相交于另一点M ,证明FQ FM λ-=.(14分)参考答案一、选择题(本大题共10小题,每小题5分,共50分)题号 1 2 3 4 5 6 7 8 9 10 答案DDDAADBDCD二、填空题(本大题共4小题,每小题6分,共24分) 11.1273622=+xy12.1101522=+yx13.]13,13[- 14.54三、解答题(本大题共6题,共76分)15.(12分) [解析]:由 2223254cbaa c eb =-===⇒812==c a ,∴椭圆的方程为:18014422=+yx或18014422=+xy.16.(12分) [解析]:设A(x 1,y 1),B(x 2,y 2),,54=e 由焦半径公式有a -ex 1+a -ex 2=a 58,∴x 1+x 2=a 21,即AB 中点横坐标为a 41,又左准线方程为a x 45-=,∴234541=+a a ,即a =1,∴椭圆方程为x 2+925y 2=1.17.(12分)[解析]:(1)PB PA PB PA ⊥∴=⋅0∴OAPB 的正方形由843214882020202020==⇒⎪⎩⎪⎨⎧=+=+x y x y x 220±=∴x ∴P 点坐标为(0,22±) (2)设A (x 1,y 1),B (x 2,y 2)则PA 、PB 的方程分别为4,42211=+=+y y x x y y x x ,而PA 、PB 交于P (x 0,y 0) 即x 1x 0+y 1y 0=4,x 2x 0+y 2y 0=4,∴AB 的直线方程为:x 0x +y 0y=4(3)由)0,4(400x M y y x x 得=+、)4,0(0y N||18|4||4|21||||21000y x y x ON OM S MON ⋅=⋅=⋅=∆22)48(22|222|24||2020000=+≤⋅=yxy x y x 22228||800=≥=∴∆y x S MON当且仅当22,|2||22|min00==∆MONSy x 时.18.(12分)[解析]:设),(),,(2211y x P y x P ,由OP ⊥ OQ ⇔ x 1 x 2 + y 1 y 2 = 0 ① 01)(2,1,121212211=++--=-=x x x x x y x y 代入上式得: 又将代入x y -=112222=+by ax 0)1(2)(222222=-+-+⇒b a x a x b a ,,2,022221ba ax x +=+∴>∆222221)1(ba b a x x +-=代入①化简得 21122=+ba.(2) ,3221211311222222222≤≤⇒≤-≤∴-==ab ab ab ac e 又由(1)知12222-=aa b26252345321212122≤≤⇒≤≤⇒≤-≤∴a a a ,∴长轴 2a ∈ [6,5].19.(14分)[解析]:设动点M(x ,y),动直线L :y=x +m ,并设P(x 1,y 1),Q(x 2,y 2)是方程组⎩⎨⎧=-++=042,22y x m x y 的解,消去y ,得3x 2+4m x +2m 2-4=0,其中Δ=16m 2-12(2m 2-4)>0,∴-6<m<6,且x 1+x 2=-3m 4,x 1x 2=34m 22-,又∵|MP|=2|x -x 1|,|MQ|=2|x -x 2|.由|MP||MQ|=2,得|x -x 1||x -x 2|=1,也即|x 2-(x 1+x 2)x +x 1x 2|=1,于是有.13423422=-++mmx x ∵m=y -x ,∴|x 2+2y 2-4|=3.由x 2+2y 2-4=3,得椭圆172722=+x x夹在直线6±=x y 间两段弧,且不包含端点.由x 2+2y 2-4=-3,得椭圆x 2+2y 2=1. 20.(14分) [解析]:(1)由题意,可设椭圆的方程为)2(12222>=+a y ax .由已知得⎪⎩⎪⎨⎧-==-).(2,2222c c ac c a 解得2,6==c a ,所以椭圆的方程为12622=+yx,离心率36=e .(2)解:由(1)可得A (3,0) .设直线PQ 的方程为)3(-=x k y .由方程组⎪⎩⎪⎨⎧-==+)3(,12622x k y yx 得062718)13(2222=-+-+k x k x k ,依题意0)32(122>-=∆k ,得3636<<-k .设),(),,(2211y x Q y x P ,则13182221+=+kkx x , ①136272221+-=k k x x . ②,由直线PQ 的方程得)3(),3(2211-=-=x k y x k y .于是]9)(3[)3)(3(2121221221++-=--=x x x x k x x k y y. ③∵0=⋅OQ OP ,∴02121=+y y x x . ④,由①②③④得152=k ,从而)36,36(55-∈±=k.所以直线PQ 的方程为035=--y x 或035=-+y x .(2)证明:),3(),,3(2211y x AQ y x AP -=-=.由已知得方程组⎪⎪⎪⎩⎪⎪⎪⎨⎧=+=+=-=-.126,126,),3(3222221212121y x y x y y x x λλ注意1>λ,解得λλ2152-=x ,因),(),0,2(11y x M F -,故 ),1)3((),2(1211y x y x FM -+-=--=λ),21(),21(21y y λλλλ--=--= .而),21(),2(222y y x FQ λλ-=-=,所以FQ FM λ-=.。