2018成都二诊理科数学试题及答案
- 格式:doc
- 大小:1.29 MB
- 文档页数:9
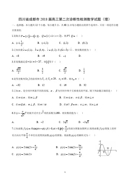
成都市2018届高中毕业班第二次诊断性检测数学(理科) 第Ⅰ卷(共60分)一、选择题:本大题共12个小题,每小题5分,共60分.在每小题给出的四个选项中,只有一项是符合题目要求的.1. 已知集合,则为( )A .B .C .D . 2. 已知复数,则在复平面内对应的点在( ) A .第一象限 B .第二象限 C .第三象限 D .第四象限3. 已知函数的定义域为,为常数.若:对,都有;:是函数的最小值,则是的( )A .充分不必要条件B .必要不充分条件C .充要条件D .既不充分也不必要条件考点:1.常用逻辑用语;2.充分条件与必要条件.4. 如果为各项都大于零的等差数列,公差,则( ) A . B . C. D .5. 已知,则等于( ) A .. D6. 已知集合,从这三个集合中各取一个元素构成空间直角坐标系上的坐标,则确定的不同点的个数为( ) A .6 B .32 C.33 D .347. 设,则对任意实数,若,则( ) A . B . C.{}30 103x A x B x x x ⎧+⎫=≤=-≥⎨⎬-⎩⎭,A B []1 3,[)1 3,[)3 -∞,(]3 3-,11z i i=++z ()f x R M p x R ∀∈()f x M ≥q M ()f x p q 128 a a a ,,…,0d ≠1845a a a a >1845a a a a <1845a a a a +<+1845a a a a =24cos 0352παπα⎛⎫+=-<< ⎪⎝⎭,sin sin 3παα⎛⎫++ ⎪⎝⎭43333343{}{}{}5 1 2 1 3 4A B C ===,,,,,()()322log 1f x x x x =+++ a b ,0a b +≥()()0f a f b +≤()()0f a f b +≥()()0f a f b -≤D .8. 某企业节能降耗技术改造后,在生产某产品过程中记录的产量(吨)与相应的生产能耗(吨)的几组对应数据如下表所示:3 若根据表中数据得出关于的线性回归方程为,则表中的值为( ) A . B . C. D .9. 将函数的图象向右平移个周期后,所得图象对应的函数为,则函数的单调递增区间( )A .B . C. D . 10. 已知,,则函数在区间上为增函数的概率是( ) A .B . C. D . 11. 若正整数除以正整数后的余数为,则记为,例如.如图程序框图的算法源于我国古代闻名中外的《中国剩余定理》.执行该程序框图,则输出的等于( )()()0f a f b -≥x y y x 0.70.35y x =+a 3 3.15 3.5 4.52sin 26y x π⎛⎫=+ ⎪⎝⎭14()f x ()f x ()5 1212k k k Z ππππ⎡⎤-+∈⎢⎥⎣⎦,()511 1212k k k Z ππππ⎡⎤++∈⎢⎥⎣⎦,()57 2424k k k Z ππππ⎡⎤-+∈⎢⎥⎣⎦,()719 2424k k k Z ππππ⎡⎤++∈⎢⎥⎣⎦,{}0 1 2a ∈,,{}1 1 3 5b ∈-,,,()22f x ax bx =-()1 +∞,512131416N m n ()mod N n m =()102mod 4=nA .B .21 C.22 D .2312. 设函数,其中,若有且只有一个整数使得,则的取值范围是( )A .B . C. D .第Ⅱ卷(共90分)二、填空题(每题5分,满分20分,将答案填在答题纸上) 13.在二项式的展开式中,若常数项为-10,则 . 14.在一个容量为5的样本中,数据均为整数,已测出其平均数为10,但墨水污损了两个数据,其中一个数据的十位数字1未被污损,即9,10,11,1,那么这组数据的方差可能的最大值是 .15.如图,抛物线的一条弦经过焦点,取线段的中点,延长至点,使,过点,作轴的垂线,垂足分别为,则的最小值为 .20()()31x f x e x ax a =--+1a <0x ()00f x ≤a 23 4e ⎛⎫ ⎪⎝⎭,23 4e ⎡⎫⎪⎢⎣⎭,2 1e ⎛⎫ ⎪⎝⎭,2 1e ⎡⎫⎪⎢⎣⎭,25(ax +a =2s24y x =AB F OB D OA C OA AC =C D y ,E G EG16.在数列中,,(,),则数列的前项和.三、解答题 (本大题共6小题,共70分.解答应写出文字说明、证明过程或演算步骤.) 17. 如图,在平面四边形中,已知,,,在边上取点,使得,连接,若,.(1)求的值; (2)求的长.18. 某项科研活动共进行了5次试验,其数据如下表所示: 特征量第1次 第2次 第3次 第4次 第5次555 559 551 563 552601605597599598(1)从5次特征量的试验数据中随机地抽取两个数据,求至少有一个大于600的概率; (2)求特征量关于的线性回归方程;并预测当特征量为570时特征量的值.{}n a 11a =2121n n n a a n -=-2n ≥*n N ∈2{}n a n n n T =ABCD 2A π∠=23B π∠=6AB =AB E 1BE =,EC ED 23CED π∠=EC=sin BCE ∠CD x y y y x x y(附:回归直线的斜率和截距的最小二乘法估计公式分别为,)19. 如图,已知梯形与所在平面垂直,,,,,,,连接.(1)若为边上一点,,求证:平面; (2)求二面角的余弦值.20. 在平面直角坐标系中,已知椭圆(),圆(),若圆的一条切线与椭圆相交于两点. (1)当,时,若点都在坐标轴的正半轴上,求椭圆的方程; (2)若以为直径的圆经过坐标原点,探究之间的等量关系,并说明理由.21. 已知函数,其中.(1)若在上存在极值点,求的取值范围;(2)设,,若存在最大值,记为,则当时,是否存在最大值?若存在,求出其最大值;若不存在,请说明理由.121()()()niii nii x x y y b x x ==--=-∑∑a y bx =-CDEF ADE ∆,AD DE CD DE ⊥⊥////AB CD EF 28AE DE ==3AB =9EF =12CD =,BC BF G AD 13DG DA =//EG BCF E BF C --xOy 2222:1x y E a b+=0a b >>222:O x y r+=0r b <<O :l y kx m =+E ,A B 12k =-1r =,A B E AB O ,,a b r 1()ln f x a x x x=-+0a >()f x (2,)+∞a 1(0,1)x ∈2(1,)x ∈+∞21()()f x f x -()M a 1a e e≤+()M a请考生在22、23两题中任选一题作答,如果多做,则按所做的第一题记分. 22.选修4-4:坐标系与参数方程在直角坐标系中,曲线的参数方程为,(为参数),直线的参数方程为(为参数),在以坐标原点为极点,轴的正半轴为极轴的极坐标系中,过极点的射线与曲线相交于不同于极点的点,且点的极坐标为,其中.(1)求的值;(2)若射线与直线相交于点,求的值. 23.选修4-5:不等式选讲 已知函数. (1)求不等式的解集;(2)若为正实数,且,求的最小值.xOy C 2cos 22sin x y αα=⎧⎨=+⎩αl 2132x y t ⎧=⎪⎪⎨⎪=+⎪⎩t O x O C AA )θ(,)2πθπ∈θOA l B AB ()43f x x x =---3()02f x +≥,,p q r 111432p q r++=32p q r ++成都市2018届高中毕业班第二次诊断性检测数学(理科)试卷答案一、选择题:本大题共12个小题,每小题5分,共60分.在每小题给出的四个选项中,只有一项 是符合题目要求的.1. 已知集合,则为( )A .B .C .D . 【答案】B考点:1.不等式的解法;2.集合的运算. 2. 已知复数,则在复平面内对应的点在( ) A .第一象限 B .第二象限 C .第三象限 D .第四象限 【答案】A 【解析】{}30 103x A x B x x x ⎧+⎫=≤=-≥⎨⎬-⎩⎭,A B []1 3,[)1 3,[)3 -∞,(]3 3-,11z i i=++z试题分析:,该复数对应的点为,在第一象限,故选A.考点:1.复数的运算;2.复数的几何意义.3. 已知函数的定义域为,为常数.若:对,都有;:是函数的最小值,则是的( )A .充分不必要条件B .必要不充分条件C .充要条件D .既不充分也不必要条件 【答案】B 【解析】试题分析::对,都有是函数的最小值, 是函数的最小值对,都有,所以是的必要不充分条件,故选B. 考点:1.常用逻辑用语;2.充分条件与必要条件.4. 如果为各项都大于零的等差数列,公差,则( ) A . B . C. D . 【答案】B考点:等差数列的性质.5. 已知,则等于( ) A ..D【答案】A 【解析】11111(1)(1)22i z i i ii i i -=+=+=+++-11(,)22Z ()f x R M p x R ∀∈()f x M ≥q M ()f x p q x R ∀∈()f x M ≥/⇒M ()f x M ()f x ⇒x R ∀∈()f x M ≥p q 128 a a a ,,…,0d ≠1845a a a a >1845a a a a <1845a a a a +<+1845a a a a =24cos 0352παπα⎛⎫+=-<< ⎪⎝⎭,sin sin 3παα⎛⎫++ ⎪⎝⎭试题分析:因为,所以,故选A. 考点:三角恒等变换与诱导公式.6. 已知集合,从这三个集合中各取一个元素构成空间直角坐标系上的坐标,则确定的不同点的个数为( ) A .6 B .32 C.33 D .34 【答案】A 【解析】试题分析:不考虑限定条件确定的不同点的个数为,但集合,中有相同元素1,由5,1,1三个数确定的不同点的个数只有三个,故所求的个数为:个,故选A.考点:1.分类计数原理与分步计数原理;2.排列与组合.7. 设,则对任意实数,若,则( ) A . B . C. D . 【答案】B考点:函数的奇偶性与单调性.24cos 35πα⎛⎫+= ⎪⎝⎭111sin sin sin sin cos sin 3222πααααααα⎛⎫⎫++=++=+ ⎪⎪⎝⎭⎭22333πππααπα⎡⎤⎛⎫⎛⎫⎛⎫=-=+-=+= ⎪ ⎪ ⎪⎢⎥⎝⎭⎝⎭⎝⎭⎣⎦{}{}{}5 1 2 1 3 4A B C ===,,,,,11323336C C A =B C 36333-=()()322log 1f x x x x =+++ a b ,0a b +≥()()0f a f b +≤()()0f a f b +≥()()0f a f b -≤()()0f a f b -≥8. 某企业节能降耗技术改造后,在生产某产品过程中记录的产量(吨)与相应的生产能耗(吨)的几组对应数据如下表所示:3 若根据表中数据得出关于的线性回归方程为,则表中的值为( ) A . B . C. D . 【答案】D 【解析】试题分析:,由回归方程:,解之得,故选D. 考点:线性回归.9. 将函数的图象向右平移个周期后,所得图象对应的函数为,则函数的单调递增区间( )A .B . C. D . 【答案】A. 【解析】试题分析:函数的周期,所以,函数的图象向右平移后所得函数的解析式为,由得函数的单调递增区间为,故选A. 考点:1.图象的平移变换;2.三角函数的图象与性质.x y y x 0.70.35y x =+a 3 3.15 3.5 4.5a y bx =- 2.53434560.350.70.744a y x ++++++=-=-⨯4.5a =2sin 26y x π⎛⎫=+ ⎪⎝⎭14()f x ()f x ()5 1212k k k Z ππππ⎡⎤-+∈⎢⎥⎣⎦,()511 1212k k k Z ππππ⎡⎤++∈⎢⎥⎣⎦,()57 2424k k k Z ππππ⎡⎤-+∈⎢⎥⎣⎦,()719 2424k k k Z ππππ⎡⎤++∈⎢⎥⎣⎦,2sin 26y x π⎛⎫=+ ⎪⎝⎭T π=44T π=2sin 26y x π⎛⎫=+ ⎪⎝⎭4π()2sin 2()2sin(2)463f x x x πππ⎡⎤=-+=-⎢⎥⎣⎦222()232k x k k Z πππππ-≤-≤+∈()f x ()5 1212k k k Z ππππ⎡⎤-+∈⎢⎥⎣⎦,10. 已知,,则函数在区间上为增函数的概率是( )A .B . C. D . 【答案】B考点:1.一次函数与二次函数的性质;2.古典概型.【名师点睛】本题考查一次函数与二次函数的性质、古典概型,属中档题;求解古典概型问题的关键是找出样本空间中的基本事件数及所求事件包含的基本事件数,常用方法有列举法、树状图法、列表法等,所求事件包含的基本事件数与样本空间包含的基本事件数的比值就是所求事件的概率.11. 若正整数除以正整数后的余数为,则记为,例如.如图程序框图的算法源于我国古代闻名中外的《中国剩余定理》.执行该程序框图,则输出的等于( ){}0 1 2a ∈,,{}1 1 3 5b ∈-,,,()22f x ax bx =-()1 +∞,512131416N m n ()mod N n m =()102mod 4=nA .B .21 C.22 D .23【答案】C考点:程序框图.【名师点睛】本题考查程序框图,属中档题;识别运行算法流程图和完善流程图是高考的热点.解答这一类问题,第一,要明确流程图的顺序结构、条件结构和循环结构;第二,要识别运行流程图,理解框图所解决的实际问题;第三,按照题目的要求完成解答.对流程图的考查常与数列和函数等知识相结合,进一步强化框图问题的实际背景.12. 设函数,其中,若有且只有一个整数使得,则的取值范围是( )A .B . C. D . 【答案】D【解析】20()()31x f x e x ax a =--+1a <0x ()00f x ≤a 23 4e ⎛⎫ ⎪⎝⎭,23 4e ⎡⎫⎪⎢⎣⎭,2 1e ⎛⎫ ⎪⎝⎭,2 1e ⎡⎫⎪⎢⎣⎭,试题分析:设,,则,∴,,单调递减;,,单调递增,所以处取得最小值,所以,,直线恒过定点且斜率为,所以,∴而,∴的取值范围 考点:1.导数与函数的单调性、极值;2.函数与方程、不等式.【名师点睛】本题考查导数与函数的单调性、极值,函数与方程、不等式,属难题;导数在不等式中的应用问题是每年高考的必考内容,主要考查证明不等式、不等式恒成立或不等式恒成立求参数范围等问题,证明不等式可通过构造两个函数的差函数,证明差函数恒大于(或小于)证明,利用导数解决不等式恒成立问题时,首先要构造函数,利用导数研究所构造函数的单调性、最值,进而得到相应的含参不等式,求出范围即可.二、填空题13. -2 14. 32.8 15. 4 16.三、解答题17.解:(1)在中,据正弦定理,有. ∵,,, ∴. (2)由平面几何知识,可知,在中,∵,,()()31x g x e x =-()h x ax a=-()()'32xg x e x =+2 3x ⎛⎫∈-∞- ⎪⎝⎭,()'0g x <()g x 2 3x ⎛⎫∈-+∞ ⎪⎝⎭,()'0g x >()g x 23x =-233e --()()010g a h =-<-=()()1120g h e -=>()h x ax a =-()1 0,a ()()111420e g h a ----=-+≥2e a ≥1a <a 12e ⎡⎫⎪⎢⎣⎭,0021n n +BEC ∆sin sin BE CE BCE B=∠23B π∠=1BE =CE =sin sin 14BE B BCE CE •∠===DEA BCE ∠=∠Rt AED ∆2A π∠=5AE =∴. ∴在中,据余弦定理,有∴18.解:(1)记“至少有一个大于600”为事件.∴. (2),. ∴∵,∴线性回归方程为.当时,∴当时,特征量的估计值为.19.解:(1)如图,作,交于点,连接,作,交于,交于.∵,,cos 14DEA ∠===cos EA ED DEA ===∠CED ∆22212cos 7282()492CD CE DE CE DE CED =+-••∠=+--=7CD =A 23257()110C P A C =-=5555595515635525565x ++++==600y =222221135(5)(3)7(1)(4)(2)300.3(1)3(5)7(4)100b -⨯+⨯+-⨯-+⨯-+-⨯-===-++-++-6000.3556433.2a y bx =-=-⨯=0.3433.2y x =+570x =0.3570433.2604.2y =⨯+=570x =y 604.2//GM CD BC M MF //BH AD GM N DC H //EF CD //GM EF∴,.∵,∴. ∴.∴.∴. ∴四边形为平行四边形,∴.又平面,平面四边形,∴平面.(2)∵平面平面,,平面,∴平面.以为坐标原点,为轴,为轴,为轴建立如图所示的空间直角坐标系.∴.∴,,设平面的法向量.由,得. 取,得.3GN AB ==9HC =////AB GM DC 23NM BM AG HC BC AD ===6NM =9GM GN NM =+=GM //=EF GMFE //GE MF MF ⊂BCF GE ⊄//GEBCF ADE ⊥CDEF AD DE ⊥AD ⊂ADE AD ⊥CDEF D DC x DE y DA z xyzD (0,4,0),(9,4,0),(12,0,0),(3,0,EF C B (9,0,0)EF=(3,4,EB =-EBF 1111(,,)n x y z =1100n EF n EB ⎧•=⎪⎨•=⎪⎩111190340x x y =⎧⎪⎨-+=⎪⎩1y =1(0,3,1)n =同理,,.设平面的法向量.由,得. 取,得.∴. ∵二面角为钝二面角,∴二面角的余弦值为. 20.解:(1)∵直线与.由,,解得∵点都在坐标轴正半轴上,∴∴切线与坐标轴的交点为,. ∴,. ∴椭圆的方程是. (2)设,∵以为直径的圆经过点,∴,即.(3,4,0)FC=-(6,4,FB =--BCF 2222(,,)n x y z =2200n FC n FB ⎧•=⎪⎨•=⎪⎩22222340640x y x y -=⎧⎪⎨--+=⎪⎩24x =2n =121212cos ,n n n n n n •====E BF C --E BF C --26-l O r =12k =-1r =m =,A B 1:2l y x =-+l a =2b =E 224155x y +=11(,)A x y 22(,)B x y AB O 0OA OB •=12120x x y y +=∵点在直线上,∴. ∴ (*)由消去,得. 即显然 ∴由一元二次方程根与系数的关系,得 代入(*)式,得. 整理,得.又由(1),有.消去,得 ∴ ∴满足等量关系. 21.解:(1),. 由题意,得,在上有根(不为重根).即在上有解. ,A B l 1122y kx m y kx m =+⎧⎨=+⎩221212(1)()0k x x mk x x m ++++=2222220y kx m b x a y a b =+⎧⎨+-=⎩y 22222222(2)0b x a k x kmx m a b +++-=222222222()2()0b a k x kma x a m a b +++-=0∆>2122222222122222kma x x b a k a m a bx x b a k ⎧-+=⎪⎪+⎨-⎪=⎪+⎩2222222222222222222222a m a m k a b a b k k m a m b a k m b a k+--++++22222222()0m a b a b a b k +--=222(1)m k r =+2m 2222222(1)()(1)k r a b a b k ++=+222111a b r +=,,a b r 222111a b r +=2'221(1)()1a x ax f x x x x --+=--=(0,)x ∈+∞210x ax -+=(2,)x ∈+∞1a x x=+(2,)x ∈+∞由在上单调递增,得. 检验:当时,在上存在极值点. ∴. (2)若,∵在上满足, ∴在上单调递减,∴.∴不存在最大值.则.∴方程有两个不相等的正实数根,令其为,且不妨设 则.在上单调递减,在上调递增,在上单调递减,对,有;对,有,∴.∴ . 将,代入上式,消去得 ∵,∴,. 1y x x =+(2,)x ∈+∞15(,)2x x +∈+∞52a >()f x (2,)x ∈+∞5(,)2a ∈+∞02a <≤2'2(1)()x ax f x x --+=(0,)+∞'()0f x ≤()f x (0,)+∞21()()0f x f x -<21()()f x f x -2a >210x ax -+=,m n 01m n <<<1m n a mn +=⎧⎨=⎩()f x (0,)m (,)m n (,)n +∞1(0,1)x ∀∈1()()f x f m ≥2(1,)x ∀∈+∞2()()f x f n ≤21max [()()]()()f x f x f n f m -=-11()()()(ln )(ln )M a f n f m a n n a m m n m=-=-+--+11ln ()()n a m n m n m=+-+-1a m n n n =+=+1m n=,a m 21111()()ln 2()2[()ln ()]M a n n n n n n n n n n=++-=++-12a e e <≤+11n e n e+≤+1n >据在上单调递增,得. 设,.,. ∴,即在上单调递增.∴ ∴存在最大值为. 22.解: (1)曲线的普通方程为,曲线的极坐标方程为. 化简,得. 由,得∵,∴. (2)射线的极坐标方程为, 直线的普通方程为. ∴直线的极坐标方程为.联立,解得. 1y x x=+(1,)x ∈+∞(1,]n e∈11()2()ln 2()h x x x xx x =++-(1,]x e ∈'22211111()2(1)ln 2()2(1)2(1)ln h x x x x x x x x x =-++++--=-(1,]x e ∈'()0h x >()h x (1,]e max 114[()]()2()2()h x h e e e e e e==++-=()M a 4eC 22(2)4x y +-=C 22(cos )(sin 2)4ρθρθ+-=4sin ρθ=ρ=sin θ=(,)2πθπ∈23πθ=OA 23πθ=l 0x +-=l cos sin 0ρθθ+-=23cos sin 0πθρθθ⎧=⎪⎨⎪-=⎩ρ=∴.23.解: (1) 根据绝对值的几何意义,得表示点到,两点距离之和.接下来找出到距离之和为4的点.将点向左移动个单位到点,这时有; 同理,将点向右移动个单位到点,这时有. ∴,即的解集为. (2)令,由柯西不等式,得即 ∵ ∴. 上述不等式当且仅当,即,,时,取等号. ∴的最小值为. B A AB ρρ=-==333()40222f x x x +=-+--≥3322x x ++-(,0)x 3(,0)2A -3(,0)2B ,A B A 121(2,0)A -114A A A B +=B 121(2,0)B 114B A B B +=33422x x ++-≤3()02f x +≥[2,2]-1a =2a 3a =2222222123123123123111111[()()()]()()a a a a a a a a a a a a ++•++≥•+•+•111()(32)932p q r p q r++++≥111432p q r++=9324p q r ++≥1114323p q r +==14p =38q =34r =32p q r ++94。
四川省成都市2018届高三第二次诊断性检测数学试题(理)一、选择题:本大题共12个小题,每小题5分,共60分.在每小题给出的四个选项中,只有一项是符合题目要求的.1.设集合{|11}P x x =-<,{|12}Q x x =-<<,则PQ =( )A .1(1,)2- B .(1,2)- C .(1,2) D .(0,2) 2.已知向量(2,1)a =,(3,4)b =,(,2)c k =.若(3)//a b c -,则实数的值为( ) A .8- B .6- C .1- D . 3.若复数满足3(1i)12i z +=-,则z 等于( )A B .32 C .2D .124.设等差数列{}n a 的前项和为n S .若420S =,510a =,则16a =( ) A .32- B .12 C .16 D .325.已知m ,是空间中两条不同的直线,α,β为空间中两个互相垂直的平面,则下列命题正确的是( ) A .若m α⊂,则m β⊥ B .若m α⊂,n β⊂,则m n ⊥ C .若m α⊄,m β⊥,则//m α D .若m αβ=,n m ⊥,则n α⊥6.若6(x的展开式中含32x 项的系数为160,则实数的值为( )A .B .2-C .D .- 7.已知函数()sin()f x A x ωϕ=+π(0,0,)2A ωϕ>><的部分图象如图所示.现将函数()f x 图象上的所有点向右平移π4个单位长度得到函数()g x 的图象,则函数()g x 的解析式为( )A .π()2sin(2)4g x x =+ B .3π()2sin(2)4g x x =+ C .()2cos 2g x x = D .π()2sin(2)4g x x =-8.若为实数,则“2x ≤≤223x x +≤”成立的( ) A .充分不必要条件 B .必要不充分条件 C .充要条件 D .既不充分也不必要条件9.《九章算术》中将底面为长方形,且有一条侧棱与底面垂直的四棱锥称之为“阳马”.现有一阳马,其正视图和侧视图是如图所示的直角三角形.若该阳马的顶点都在同一个球面上,则该球的体积为( )A B . C D .24π 10.执行如图所示的程序框图,若输出的结果为56,则判断框中的条件可以是( ) A .7?n ≤ B .7?n > C .6?n ≤ D .6?n > 11.已知函数()1ln mf x n x x=--(0,0e)m n >≤≤在区间[1,e]内有唯一零点,则21n m ++的取值范围为( ) A .2e +2e [,+1]e +e +12 B .2e[,+1]e +12 C .2[,1]e +1 D .e[1,+1]212.已知双曲线C :22221(0,0)x y a b a b-=>>右支上的一点P ,经过点P 的直线与双曲线C 的两条渐近线分别相交于A ,B 两点.若点A ,B 分别位于第一,四象限,O 为坐标原点.当12AP PB =时,AOB ∆的面积为2b ,则双曲线C 的实轴长为( ) A .329 B .169 C .89 D .49二、填空题:本大题共4小题,每小题5分,共20分.13.已知132a =,231()2b =,则2log ()ab = .14.如图是调查某学校高三年级男女学生是否喜欢篮球运动的等高条形图,阴影部分的高表示喜欢该项运动的频率.已知该年级男生女生各500名(假设所有学生都参加了调查),现从所有喜欢篮球运动的同学中按分层抽样的方式抽取32人,则抽取的男生人数为 .15.已知抛物线C :22(0)y px p =>的焦点为F ,准线与轴的交点为A ,P 是抛物线C 上的点,且PF x⊥轴.若以AF 为直径的圆截直线AP 所得的弦长为,则实数p 的值为 . 16.已知数列{}n a 共16项,且11a =,84a =.记关于的函数321()3n n f x x a x =-2(1)n a x +-,*N n ∈.若1(115)n x a n +=≤≤是函数()n f x 的极值点,且曲线8()y f x =在点16816(,())a f a 处的切线的斜率为15.则满足条件的数列{}n a 的个数为 .三、解答题:本大题共7小题,共70分.解答应写出文字说明、证明过程或演算步骤.17.已知函数()cos 22x x f x =21cos 22x -+.(1)求函数()f x 的单调递减区间;(2)若ABC ∆的内角A ,B ,C 所对的边分别为a ,b ,c ,1()2f A =,a =sin 2sin B C =,求c .18.近年来,共享单车已经悄然进入了广大市民的日常生活,并慢慢改变了人们的出行方式.为了更好地服务民众,某共享单车公司在其官方APP中设置了用户评价反馈系统,以了解用户对车辆状况和优惠活动的评价.现从评价系统中选出200条较为详细的评价信息进行统计,车辆状况的优惠活动评价的22⨯列联表如下:(1)能否在犯错误的概率不超过0.001的前提下认为优惠活动好评与车辆状况好评之间有关系?(2)为了回馈用户,公司通过APP向用户随机派送每张面额为元,元,元的三种骑行券.用户每次使用APP扫码用车后,都可获得一张骑行券.用户骑行一次获得元券,获得元券的概率分别是12,15,且各次获取骑行券的结果相互独立.若某用户一天使用了两次该公司的共享单车,记该用户当天获得的骑行券面额之和为X,求随机变量X的分布列和数学期望.参考数据:参考公式:22()()()()()n ad bcKa b c d a c b d-=++++,其中n a b c d=+++.19.如图,D 是AC 的中点,四边形BDEF 是菱形,平面BDEF ⊥平面ABC ,60FBD ∠=,AB BC ⊥,AB BC ==(1)若点M 是线段BF 的中点,证明:BF ⊥平面AMC ; (2)求平面AEF 与平面BCF 所成的锐二面角的余弦值.20.已知椭圆C :22221(0)x y a b a b +=>>的左右焦点分别为1F ,2F ,左顶点为A B 是椭圆上的动点,1ABF ∆的面积的最大值为12. (1)求椭圆C 的方程;(2)设经过点1F 的直线与椭圆C 相交于不同的两点M ,N ,线段MN 的中垂线为'l .若直线'l 与直线相交于点P ,与直线2x =相交于点Q ,求PQ MN的最小值.21.已知函数()ln 1f x x x ax =++,R a ∈.(1)当时0x >,若关于的不等式()0f x ≥恒成立,求的取值范围; (2)当*N n ∈时,证明:223ln 2ln 242n n <++21ln 1n nn n ++⋅⋅⋅+<+.请考生在22、23题中任选一题作答,如果多做,则按所做的第一题计分. 22.选修4-4:极坐标与参数方程在平面直角坐标系xOy 中,曲线C 的参数方程为2sin x y αα⎧=⎪⎨=⎪⎩,其中α为参数,(0,π)α∈.在以坐标原点O 为极点,轴的正半轴为极轴的极坐标系中,点P 的极坐标为π)4,直线的极坐标方程为πsin()04ρθ-+=.(1)求直线的直角坐标方程与曲线C 的普通方程;(2)若Q 是曲线C 上的动点,M 为线段PQ 的中点.求点M 到直线的距离的最大值.23.选修4-5:不等式选讲 已知函数()211f x x x =++-. (1)解不等式()3f x ≥;(2)记函数()f x 的最小值为m ,若,,均为正实数,且122a b c m ++=,求222a b c ++的最小值.【参考答案】一、选择题1-5: DBADC 6-10: BDBCD 11-12:AA 二、填空题13. 13-14. 24 15. 16. 1176 三、解答题17.解:(1)1()cos 22f x x x =-πsin()6x =-.由ππ2π26k x +≤-3π2π2k ≤+,Z k ∈,得2π2π3k x +≤5π2π3k ≤+,Z k ∈. ∴函数()f x 的单调递减区间为2π5π[2π,2π]33k k ++,Z k ∈. (2)∵π1()sin()62f A A =-=,(0,π)A ∈,∴π3A =.∵sin 2sin B C =,∴由正弦定理sin sin b cB C=,得2b c =.又由余弦定理2222cos a b c bc A =+-,a =22213442c c c =+-⨯.解得1c =.18.解:(1)由22⨯列联表的数据,有2()()()()()n ad bc k a b c d a c b d -=++++2200(30001200)1406070130-=⨯⨯⨯ 220018146713⨯=⨯⨯⨯54008.4810.828637=≈<. 因此,在犯错误的概率不超过0.001的前提下,不能认为优惠活动好评与车辆状况好评有关系.(2)由题意,可知一次骑行用户获得元的概率为310.X 的所有可能取值分别为0,1,2,3,4, ∵239(0)()10100P X ===,12(1)C P X ==13321010⨯=, 12(2)C P X ==213137()5102100⨯+=,12(3)C P X ==111255⨯=, 211(4)()525P X ===,∴X 的分布列为:X 的数学期望为1210100EX =⨯+⨯34 1.8525+⨯+⨯=(元).19.解:(1)连接MD ,FD .∵四边形BDEF 为菱形,且60FBD ∠=,∴DBF ∆为等边三角形. ∵M 为BF 的中点,∴DM BF ⊥.∵AB BC ⊥,AB BC ==D 是AC 的中点,∴BD AC ⊥. ∵平面BDEF平面ABC BD =,平面ABC ⊥平面BDEF ,AC ⊂平面ABC ,∴AC ⊥平面BDEF .又BF ⊂平面BDEF ,∴AC BF ⊥. 由DM BF⊥,AC BF ⊥,DMAC D =,∴BF ⊥平面AMC .(2)设线段EF 的中点为N ,连接DN .易证DN ⊥平面ABC .以D 为坐标原点,DB ,DC ,DN 所在直线分别为轴,y 轴,轴建立如图所示的空间直角坐标系.则(0,1,0)A -,1(2E -,1(2F ,(1,0,0)B ,(0,1,0)C .∴1(2AE =-,(1,0,0)EF =,1(2BF =-,(1,1,0)BC =-. 设平面AEF ,平面BCF 的法向量分别为111(,,)m x y z =,222(,,)n x y z =.由0AE m EF m ⎧⋅=⎪⎨⋅=⎪⎩1111102102x y z x ⎧-+=⎪⎪⇒⎨⎪=⎪⎩.解得11y z =.取12z =-,∴(0,3,2)m =-.又由00BC n BF n ⎧⋅=⎪⎨⋅=⎪⎩222201022x y x z -+=⎧⎪⇒⎨-+=⎪⎩解得22y =. 取21z =,∴(3,3,1)n =.∵cos ,m n <>m n m n⋅=17==.∴平面AEF 与平面BCF 所成的锐二面角的余弦值为17.20.解:(1)由已知,有2c a =,即222a c =. ∵222a b c =+,∴b c =.设B 点的纵坐标为00(0)y y ≠. 则101()2ABF S a c y ∆=-⋅1()2a cb ≤-12=,即)1b b -. ∴1b =,a =∴椭圆C 的方程为2212x y +=. (2)由题意知直线的斜率不为,故设直线:1x my =-. 设11(,)M x y ,22(,)N x y ,(,)P P P x y ,(2,)Q Q y .联立22221x y x my ⎧+=⎨=-⎩,消去,得22(2)210m y my +--=.此时28(1)0m ∆=+>.∴12222m y y m +=+,12212y y m =-+.由弦长公式,得MN =12y y -=整理,得2212mMN m +=+.又12222P y y m y m +==+,∴1P P x my =-222m -=+.∴2P PQ =-22262m m +=+.∴2PQ =22=22=≥,=1m =±时等号成立.∴当1m =±,即直线的斜率为1±时,PQMN 取得最小值.21.解:(1)由()0f x ≥,得ln 10x x ax ++≥(0)x >. 整理,得1ln a x x -≤+恒成立,即min 1(ln )a x x-≤+. 令1()ln F x x x =+.则22111'()x F x x x x -=-=. ∴函数()F x 在(0,1)上单调递减,在(1,)+∞上单调递增. ∴函数1()ln F x x x=+的最小值为(1)1F =.∴1a -≤,即1a ≥-. ∴的取值范围是[1,)-+∞.(2)∵24n n +为数列1(1)(2)n n ⎧⎫⎨⎬++⎩⎭的前项和,1n n +为数列1(1)n n ⎧⎫⎨⎬+⎩⎭的前项和. ∴只需证明211ln (1)(2)n n n n +<++1(1)n n <+即可. 由(1),当1a =-时,有ln 10x x x -+≥,即1ln x x x ≥-. 令11n x n +=>,即得1ln 11n n n n +>-+11n =+. ∴2211ln ()1n n n +>+1(1)(2)n n >++1112n n =-++. 现证明211ln (1)n n n n +<+,即==(*) 现证明12ln (1)x x x x<->. 构造函数1()2ln G x x x x =--(1)x ≥, 则212'()1G x x x =+-22210x x x -+=≥. ∴函数()G x 在[1,)-+∞上是增函数,即()(1)0G x G ≥=.∴当1x >时,有()0G x >,即12ln x x x<-成立.令x =(*)式成立. 综上,得211ln (1)(2)n n n n +<++1(1)n n <+. 对数列1(1)(2)n n ⎧⎫⎨⎬++⎩⎭,21ln n n +⎧⎫⎨⎬⎩⎭,1(1)n n ⎧⎫⎨⎬+⎩⎭分别求前项和, 得223ln 2ln 242n n <++21ln 1n n n n ++⋅⋅⋅+<+. 22.解:(1)∵直线的极坐标方程为πsin()04ρθ-+=,即sin cos 100ρθρθ-+=. 由cos x ρθ=,sin y ρθ=,可得直线的直角坐标方程为100x y --=.将曲线C的参数方程2sin x y αα⎧=⎪⎨=⎪⎩,消去参数α,得曲线C 的普通方程为221(0)124x y y +=>. (2)设,2sin )Q αα(0π)α<<.点P的极坐标π)4化为直角坐标为(4,4).则2,sin 2)M αα++. ∴点M到直线的距离d==≤当πsin()13α-=,即5π6α=时,等号成立. ∴点M到直线的距离的最大值为23.解:(1)()211f x x x =++-13,212,123,1x x x x x x ⎧-≤-⎪⎪⎪=+-<<⎨⎪≥⎪⎪⎩. ∴()3f x ≥等价于1233x x ⎧≤-⎪⎨⎪-≥⎩或11223x x ⎧-<<⎪⎨⎪+≥⎩或133x x ≥⎧⎨≥⎩.解得1x ≤-或1x ≥. ∴原不等式的解集为(,1][1,)-∞-+∞.(2)由(1),可知当12x =-时,()f x 取最小值32,即32m =. ∴13222a b c ++=. 由柯西不等式,有2222221()[()12]2a b c ++++21(2)2a b c ≥++. ∴22237a b c ++≥. 当且仅当22c a b ==,即17a =,27b =,47c =时,等号成立. ∴222a b c ++的最小值为37.。
2018年四川省成都实验外国语学校高考数学二诊试卷(理科)一、选择题:本大题共12小题,每小题5分,共60分,在每小题给出的四个选项中,只有一个是符合题目要求的.1.已知集合,N={﹣3,﹣1,1,3,5},则M∩N=()A.{﹣3,﹣1,1,3,5} B.{﹣1,1,3,5} C.{1,3,5} D.{﹣3,﹣1,1,3,}2.设z=1+i(i是虚数单位),O为坐标原点,若复数在复平面内对应的向量为,则向量的模是()A.1 B.2 C.D.3.以下四个命题中,其中真命题的个数为()①在回归分析中,可用相关指数R2的值判断模型的拟合效果,R2越大,模拟的拟合效果越好;②两个随机变量的线性相关性越强,相关系数越接近于1;③若数据x1,x2,x3…,xn的方差为1,则3x1,3x2,3x3…,3xn的方差为3;④对分类变量x与y的随机变量的观测值k2来说,k越小,判断“x与y有关系”的把握程度越大.A.1 B.2 C.3 D.44.展开式中,各项系数之和为3,则展开式中的常数项为()A.﹣120 B.﹣80 C.80 D.1205.我国古代数学著作《九章算术》有如下问题:“今有金杖,长五尺,斩本一尺,重四斤.斩末一尺,重二斤.问次一尺各重几何?”其大意是:“现有一根长五尺的金杖,一头粗,一头细.在粗的一端截下1尺重4斤.在细的一端截下1尺,重2斤.问依次每一尺各重多少斤?”根据上面的已知条件,若金杖由粗到细是均匀变化的,则金杖的质量为()A.12斤B.15斤C.15.5斤 D.18斤6.在平行四边形ABCD中,AC与BD交于点O,E是线段OD的中点,AE的延长线与CD交于点F,若=, =,则=()A.+B.+C.+D.+7.已知函数,若将其图象向左平移φ(φ>0)个单位后所得的图象关于原点对称,则φ的最小值为( )A .B .C .D .8.已知0<a 1<a 2<a 3,则使得都成立的x 的取值范围是( )A .B .C .D .9.若函数f (x )=ln (x 2+1)的值域为{0,1,2},从满足条件的所有定义域集合中选出2个集合,则取出的2个集合中各有三个元素的概率是( )A .B .C .D .10.如图所示,图中粗线画出的是某几何体的三视图,该几何体的体积是( )A .B .C .D .411.在△ABC 中,M 是BC 的中点,BM=2,AM=AB ﹣AC ,则△ABC 的面积的最大值为( )A .B .C .D .12.已知函数f (x )=ax+lnx ﹣有三个不同的零点x 1,x 2,x 3(其中x 1<x 2<x 3),则(1﹣)2(1﹣)(1﹣)的值为( )A .1﹣aB .a ﹣1C .﹣1D .1二、填空题:本大题共4小题,每小题5分,共20分.13.若抛物线y=2px 2(p >0)的准线经过双曲线y 2﹣x 2=1的一个焦点,则p= . 14.下列命题中正确的是 .(将正确结论的序号全填上) ①有两个侧面是矩形的棱柱是直棱柱;②各侧面都是正方形的棱柱一定是正棱柱;③一个三棱锥四个面可以都为直角三角形.15.设m>1,在约束条件下,目标函数z=x+my的最大值等于2,则m= .16.设数列{an }(n≥1,n∈N)满足a1=2,a2=6,且sn+2+an=sn+1+2an+1+2,若[x]表示不超过x的最大整数,则= .三、解答题:本大题共5小题,共70分.解答应写出文字说明,证明过程或演算步骤.17.为了调查每天人们使用手机的时间,我校某课外兴趣小组在天府广场随机采访男性、女性用户各50 名,其中每天玩手机超过6小时的用户列为“手机控”,否则称其为“非手机控”,调查结果如下:(1)根据以上数据,能否有60%的把握认为“手机控”与“性别”有关?(2)现从调查的女性用户中按分层抽样的方法选出5人,求所抽取5人中“手机控”和“非手机控”的人数;(3)从(2)中抽取的5人中再随机抽取3人,记这3人中“手机控”的人数为X,试求X的分布列与数学期望.参考公式:.参考数据:18.如图,四棱锥P﹣ABCD中,∠ABC=∠BAD=90°,BC=2AD,△PAB与△PAD都是等边三角形.(1)证明:PB⊥CD;(2)求二面角A﹣PD﹣B的余弦值.19.设a,b,c分别是△ABC三个内角∠A,∠B,∠C的对边,若向量,,且.(1)求tanA•tanB的值;(2)求的最大值.20.已知椭圆的离心率是,过点的动直线l与椭圆相交于A,B两点,当直线l平行与x轴时,直线l被椭圆截得的线段长为.(F1,F2分别为左,右焦点)(1)求椭圆的标准方程;(2)过F2的直线l′交椭圆于不同的两点M,N,则△F1MN内切圆的面积是否存在最大值?若存在,求出这个最大值及此时的直线l′方程;若不存在,请说明理由.21.已知函数:f(x)=﹣x3﹣3x2+(1+a)x+b(a<0,b∈R).(1)令h(x)=f(x﹣1)﹣b+a+3,判断h(x)的奇偶性,并讨论h(x)的单调性;(2)若g(x)=|f(x)|,设M(a,b)为g(x)在[﹣2,0]的最大值,求M(a,b)的最小值.[选修4-4:坐标系与参数方程]22.在直角坐标系中,以原点O为极点,x轴的正半轴为极轴建立极坐标系,已知曲线C的极坐标方程为ρ2﹣4ρcosθ+1=0,直线l的参数方程为(t为参数),点A的极坐标为,设直线l与曲线C相交于P,Q两点.(1)写出曲线C的直角坐标方程和直线l的普通方程;(2)求|AP|•|AQ|•|OP|•|OQ|的值.[选修4-5:不等式选讲]23.(1)已知实数a,b,c满足a+b+c=1,求a2+b2+c2的最小值;(2)已知正数a,b,c满足a+b+c=1,求证:.2018年四川省成都实验外国语学校高考数学二诊试卷(理科)参考答案与试题解析一、选择题:本大题共12小题,每小题5分,共60分,在每小题给出的四个选项中,只有一个是符合题目要求的.1.已知集合,N={﹣3,﹣1,1,3,5},则M∩N=()A.{﹣3,﹣1,1,3,5} B.{﹣1,1,3,5} C.{1,3,5} D.{﹣3,﹣1,1,3,}【考点】交集及其运算.【分析】解不等式求出集合M,根据交集的定义写出M∩N.【解答】解:集合={x|﹣1<x≤5},N={﹣3,﹣1,1,3,5},则M∩N={1,3,5}.故选:C.2.设z=1+i(i是虚数单位),O为坐标原点,若复数在复平面内对应的向量为,则向量的模是()A.1 B.2 C.D.【考点】复数求模.【分析】利用复数的除法的运算法则化简复数,然后求解向量的模.【解答】解:z=1+i(i是虚数单位),复数=+(1+i )2=+2i=1+i .向量的模是,故选:D .3.以下四个命题中,其中真命题的个数为( )①在回归分析中,可用相关指数R 2的值判断模型的拟合效果,R 2越大,模拟的拟合效果越好;②两个随机变量的线性相关性越强,相关系数越接近于1;③若数据x 1,x 2,x 3…,x n 的方差为1,则3x 1,3x 2,3x 3…,3x n 的方差为3;④对分类变量x 与y 的随机变量的观测值k 2来说,k 越小,判断“x 与y 有关系”的把握程度越大. A .1B .2C .3D .4【考点】相关系数.【分析】(1)根据相关指数R 2的值的性质进行判断, (2)根据线性相关性与r 的关系进行判断, (3)根据方差关系进行判断,(4)根据分类变量x 与y 的随机变量k 2的观察值的关系进行判断.【解答】解:(1)用相关指数R 2的值判断模型的拟合效果,R 2越大,模型的拟合效果越好,故(1)正确;(2)若两个随机变量的线性相关性越强,则相关系数r 的绝对值越接近于1,故(2)错误; (3)若统计数据x 1,x 2,x 3,…,x n 的方差为1,则3x 1,3x 2,3x 3…,3x n 的方差为9,故(3)错误;(4)对分类变量x 与y 的随机变量k 2的观察值k 2来说,k 越小,判断“x 与y 有关系”的把握程度越大.错误; 故选:A .4.展开式中,各项系数之和为3,则展开式中的常数项为( )A .﹣120B .﹣80C .80D .120【考点】二项式系数的性质.【分析】展开式中,各项系数之和为3,令x=1,求出a .再求出展开式中x 的一次项及x 的﹣1次项即可.【解答】解:展开式中,各项系数之和为3,展开式中各项系数和为3∴x=1时,1+a=3,∴a=2.=5∵展开式中x 的一次项为80x ,x 的﹣1次项为﹣40x ﹣1,展开式中的常数项为 160﹣40=120 故选:D ,5.我国古代数学著作《九章算术》有如下问题:“今有金杖,长五尺,斩本一尺,重四斤.斩末一尺,重二斤.问次一尺各重几何?”其大意是:“现有一根长五尺的金杖,一头粗,一头细.在粗的一端截下1尺重4斤.在细的一端截下1尺,重2斤.问依次每一尺各重多少斤?”根据上面的已知条件,若金杖由粗到细是均匀变化的,则金杖的质量为( ) A .12斤 B .15斤C .15.5斤D .18斤【考点】等差数列的通项公式.【分析】由题意可知等差数列的首项和第5项,再由通项公式求得公差,依次可得每一尺的重量;再由由等差数列的前n 项和求得金杖的质量为. 【解答】解:由题意可知等差数列中a 1=4,a 5=2,则d=,∴,,.∴每一尺依次重4斤,3.5斤,3斤,2.5斤,2斤;S 5=,∴金杖重15斤. 故选:B .6.在平行四边形ABCD 中,AC 与BD 交于点O ,E 是线段OD 的中点,AE 的延长线与CD 交于点F ,若=,=,则=( )A . +B . +C . +D . +【考点】平面向量的基本定理及其意义.【分析】根据两个三角形相似对应边成比例,得到DF与DC的比,再利用平面向量的线性运算与表示,即可求出要求的向量.【解答】解:如图所示▱ABCD中,△DEF∽△BEA,∴==,再由AB=CD可得=,∴=;又=, =,∴=﹣=﹣=﹣,∴=﹣;又=﹣=﹣=+,∴=+=(+)+(﹣)=+.故选:C.7.已知函数,若将其图象向左平移φ(φ>0)个单位后所得的图象关于原点对称,则φ的最小值为()A.B.C.D.【考点】函数y=Asin(ωx+φ)的图象变换;三角函数中的恒等变换应用.【分析】利用三角恒等变换化简函数的解析式,再利用函数y=Asin(ωx+φ)的图象变换规律求得平移后所得函数的图象对应的解析式,再利用正弦函数的图象的对称性,求得φ的最小值.【解答】解:函数=sin2x+cos2x=sin(2x+),将其图象向左平移φ(φ>0)个单位后,可得y=sin (2x+2φ+)的图象,若所得的图象关于原点对称,则2φ+=k π,k ∈Z ,故φ的最小值为,故选:C .8.已知0<a 1<a 2<a 3,则使得都成立的x 的取值范围是( )A .B .C .D .【考点】其他不等式的解法.【分析】先解出不等式(1﹣a i x )2<1的解集,再由0<a 1<a 2<a 3确定x 的范围【解答】解:因为不等式(1﹣a i x )2<1的解集解集为(0,),又0<a 1<a 2<a 3,则,所以使得都成立的x 的取值范围是(0,);故选B9.若函数f (x )=ln (x 2+1)的值域为{0,1,2},从满足条件的所有定义域集合中选出2个集合,则取出的2个集合中各有三个元素的概率是( )A .B .C .D .【考点】列举法计算基本事件数及事件发生的概率.【分析】由ln (x 2+1)等于0,1,2求解对数方程分别得到x 的值,然后利用列举法得到值域为{0,1,2}的所有定义域情况,则满足条件的函数个数可求,由此利用等可能事件概率计算公式能求出取出的2个集合中各有三个元素的概率. 【解答】解:令ln (x 2+1)=0,得x=0,令ln (x 2+1)=1,得x 2+1=e ,x=±,令ln (x 2+1)=2,得x 2+1=e 2,x=.则满足值域为{0,1,2}的定义域有:{0,﹣,﹣},{0,﹣,},{0,,﹣},{0,, },{0,﹣,,﹣},{0,﹣,,},{0,﹣,﹣, },{0,,﹣, },{0,﹣,,﹣, }.则满足这样条件的函数的个数为9.从满足条件的所有定义域集合中选出2个集合,基本事件总数n=,取出的2个集合中各有三个元素的函数个数为m=,∴取出的2个集合中各有三个元素的概率是p=.故选:A.10.如图所示,图中粗线画出的是某几何体的三视图,该几何体的体积是()A.B.C.D.4【考点】由三视图求面积、体积.【分析】如图所示,由三视图可知该几何体为:四棱锥P﹣ABCD,其体积V=VB﹣PAD +VB﹣PCD.【解答】解:如图所示,由三视图可知该几何体为:四棱锥P﹣ABCD.连接BD.其体积V=VB﹣PAD +VB﹣PCD==.故选:B.11.在△ABC中,M是BC的中点,BM=2,AM=AB﹣AC,则△ABC的面积的最大值为()A.B.C.D.【考点】三角形中的几何计算.【分析】在△ABM和△ABC中分别使用余弦定理得出bc的关系,求出cosA,sinA,代入面积公式求出最大值.【解答】解:在△ABM中,由余弦定理得:cosB=.在△ABC中,由余弦定理得:cosB=.∴=.即b2+c2=4bc﹣8.∴cosA=,∴sinA=.∴S=bcsinA=.∴当bc=8时,S取得最大值2.故选B.12.已知函数f(x)=ax+lnx﹣有三个不同的零点x1,x2,x3(其中x1<x2<x3),则(1﹣)2(1﹣)(1﹣)的值为()A.1﹣a B.a﹣1 C.﹣1 D.1【考点】函数零点的判定定理.【分析】先分离参数得到a=﹣,令h(x)=﹣.求导后得其极值点,h(x)在(0,1),(e ,+∞)上为减函数,在(1,e )上为增函数.再令a=﹣μ,转化为关于μ的方程后由根与系数关系得到μ1+μ2=1﹣a <0,μ1μ2=1﹣a <0,再结合μ=的图象可得到(1﹣)2(1﹣)(1﹣)的值.【解答】解:令f (x )=0,分离参数得a=﹣,令h (x )=﹣,由h′(x )==0,得x=1或x=e .当x ∈(0,1)时,h′(x )<0;当x ∈(1,e )时,h′(x )>0;当x ∈(e ,+∞)时,h′(x )<0.即h (x )在(0,1),(e ,+∞)上为减函数,在(1,e )上为增函数. ∴0<x 1<1<x 2<e <x 3,a=﹣=﹣,令μ=,则a=﹣μ,即μ2+(a ﹣1)μ+1﹣a=0,μ1+μ2=1﹣a <0,μ1μ2=1﹣a <0,对于μ=,μ′=则当0<x <e 时,μ′>0;当x >e 时,μ′<0.而当x >e 时,μ恒大于0. 画其简图,不妨设μ1<μ2,则μ1=,μ2===μ3,∴(1﹣)2(1﹣)(1﹣)=(1﹣μ1)2(1﹣μ2)(1﹣μ3)=[(1﹣μ1)(1﹣μ2)]2=[1﹣(1﹣a )+(1﹣a )]2=1. 故选:D .二、填空题:本大题共4小题,每小题5分,共20分.13.若抛物线y=2px2(p>0)的准线经过双曲线y2﹣x2=1的一个焦点,则p= .【考点】抛物线的简单性质.【分析】根据题意,由双曲线的标准方程可得双曲线的焦点坐标,对于抛物线y=2px2,先将其方程变形为标准方程x2=y,用p表示其准线方程,结合题意可得﹣=﹣,解可得p的值,即可得答案.【解答】解:根据题意,双曲线的方程为:y2﹣x2=1,则其焦点在y轴上,且c==,则其焦点坐标为(0,±),抛物线y=2px2的标准方程为:x2=y,若p>0,则其焦点在y轴正半轴上,则其准线方程为y=﹣,又由抛物线y=2px2(p>0)的准线经过双曲线y2﹣x2=1的一个焦点,则有﹣=﹣,解可得p=;故答案为:.14.下列命题中正确的是③.(将正确结论的序号全填上)①有两个侧面是矩形的棱柱是直棱柱;②各侧面都是正方形的棱柱一定是正棱柱;③一个三棱锥四个面可以都为直角三角形.【考点】构成空间几何体的基本元素.【分析】①举例说明有两个侧面是矩形的棱柱不一定是直棱柱;②举例说明各侧面都是正方形的棱柱不一定是正棱柱;③画图说明三棱锥的四个面都是直角三角形.【解答】解:对于①,有两个侧面是矩形的棱柱不一定是直棱柱,如斜放的一摞书,∴①错误;对于②,各侧面都是正方形的棱柱不一定是正棱柱,如底面是菱形时,且各侧面都是正方形,也是正棱柱,∴②错误;对于③,如图所示,PA⊥平面ABC,AB⊥BC,则三棱锥P﹣ABC的四个面都是直角三角形,∴③正确.综上,正确的命题是③.故答案为:③.15.设m>1,在约束条件下,目标函数z=x+my的最大值等于2,则m= .【考点】简单线性规划.【分析】根据m>1,可以判断直线y=mx的倾斜角位于区间()上,由此判断出满足约束条件件的平面区域的形状,再根据目标函数z=x+my对应的直线与直线y=mx垂直,且在直线y=mx与直线x+y=1交点处取得最大值,由此可得关于m的方程,从而求得m值.【解答】解:∵m>1,由约束条件作出可行域如图,直线y=mx与直线x+y=1交于(),目标函数z=x+my对应的直线与直线y=mx垂直,且在()处取得最大值,由题意可知,又∵m>1,解得m=1+.故答案为:1+.16.设数列{an }(n≥1,n∈N)满足a1=2,a2=6,且sn+2+an=sn+1+2an+1+2,若[x]表示不超过x的最大整数,则= 2017 .【考点】数列递推式.【分析】构造bn =an+1﹣an,可判数列{bn}是4为首项2为公差的等差数列,累加法可得an=n(n+1),裂项相消法可得答案.【解答】解:构造bn =an+1﹣an,则b1=a2﹣a1=4,由题意可得(an+2﹣an+1)﹣(an+1﹣an)=bn+1﹣bn=2,故数列{bn}是4为首项2为公差的等差数列,故bn =an+1﹣an=4+2(n﹣1)=2n+2,故a2﹣a1=4,a3﹣a2=6,a4﹣a3=8,…,an﹣an﹣1=2n,以上n﹣1个式子相加可得an ﹣a1=(n﹣1)(4+2n),解得an=n(n+1),∴=﹣∴++…+=2108(1﹣++…+﹣)=2018(1﹣)=2018﹣,∴=2017,故答案为:2017三、解答题:本大题共5小题,共70分.解答应写出文字说明,证明过程或演算步骤.17.为了调查每天人们使用手机的时间,我校某课外兴趣小组在天府广场随机采访男性、女性用户各50 名,其中每天玩手机超过6小时的用户列为“手机控”,否则称其为“非手机控”,调查结果如下:(1)根据以上数据,能否有60%的把握认为“手机控”与“性别”有关?(2)现从调查的女性用户中按分层抽样的方法选出5人,求所抽取5人中“手机控”和“非手机控”的人数;(3)从(2)中抽取的5人中再随机抽取3人,记这3人中“手机控”的人数为X,试求X的分布列与数学期望.参考公式:.参考数据:【考点】独立性检验的应用.【分析】(1)计算K2的值,与临界值比较,可得结论;(2)从参与调查的女性用户中按分层抽样的方法,比例为3:2,可得结论.(3)X的取值为1,2,3,再求出X取每一个值的概率,即可求得X的分布列和数学期望.【解答】解:∴没有60%的把握认为“手机控”与“性别”有关;(2)从参与调查的女性用户中按分层抽样的方法,比例为3:2,所抽取的5人中“手机”有3人,“非手机控”的人数有2人;(3)X=1,2,3,则.X的分布列为:X的数学期望为E(X)=1×0.3+2×0.6+3×0.1=1.8.18.如图,四棱锥P﹣ABCD中,∠ABC=∠BAD=90°,BC=2AD,△PAB与△PAD都是等边三角形.(1)证明:PB⊥CD;(2)求二面角A﹣PD﹣B的余弦值.【考点】二面角的平面角及求法;直线与平面垂直的性质.【分析】(1)取BC的中点E,连接DE,过P作PO⊥平面ABCD,垂足为O,连接OA,OB,OE,OD,推出OE⊥PB,证明OE∥CD,得到PB⊥CD.(2)由OE,OB,OP两两垂直.以O为原点,OE方向为x轴正方向,OB方向为y轴正方向,OP方向为z轴正方向,建立空间直角坐标系O﹣xyz,求出相关点的坐标,求出平面PAD的法向量,平面PBD的法向量为,利用空间向量的数量积求解即可.【解答】解:(1)证明:取BC的中点E,连接DE,则ADEB为正方形,过P作PO⊥平面ABCD,垂足为O,连接OA,OB,OE,OD,…由△PAB和△PAD都是等边三角形可知PA=PB=PD,所以OA=OB=OD,即点O为正方形ADEB对角线的交点…故OE⊥BD,从而OE⊥平面PBD,所以OE⊥PB,因为O是BD的中点,E是BC的中点,所以OE∥CD,因此PB⊥CD…(2)由(1)可知,OE,OB,OP两两垂直.以O为原点,OE方向为x轴正方向,OB方向为y轴正方向,OP方向为z轴正方向,建立如图所示的直角坐标系O﹣xyz,…设|AB|=2,则,,,,,…设平面PAD的法向量,,,取x=1,得y=1,z=﹣1,即,…因为OE⊥平面PBD,设平面PBD的法向量为,取,由图象可知二面角A﹣PD﹣B的大小为锐角,…所以二面角A﹣PD﹣B的余弦值为…19.设a,b,c分别是△ABC三个内角∠A,∠B,∠C的对边,若向量,,且.(1)求tanA•tanB的值;(2)求的最大值.【考点】二倍角的正切;平面向量数量积的运算.【分析】(1)利用两个向量的数量积公式、两角和差的三角公式,求得tanA•tanB的值.(2)利用诱导公式、余弦定理、基本不等式求得tan(A+B)的最小值,可得=tanC 的最大值.【解答】解:(1)由得,,即4cos(A﹣B)=5cos(A+B),解得,.(2)因为=,又=,所以,tan(A+B)有最小值,当且仅当时,取得最小值.又tanC=﹣tan(A+B),则tanC有最大值,故的最大值为.20.已知椭圆的离心率是,过点的动直线l与椭圆相交于A,B两点,当直线l平行与x轴时,直线l被椭圆截得的线段长为.(F1,F2分别为左,右焦点)(1)求椭圆的标准方程;(2)过F2的直线l′交椭圆于不同的两点M,N,则△F1MN内切圆的面积是否存在最大值?若存在,求出这个最大值及此时的直线l′方程;若不存在,请说明理由.【考点】直线与椭圆的位置关系.【分析】(1)由题可得:,解出即可得出.(2)设M(x1,y1),N(x2,y2),不妨设y1>0,y2<0,设△F1MN的内切圆半径是R,则△F1MN的周长是4a=8,,因此最大,R就最大,.由题知,直线的斜率不为0,可设直线的方程为x=my+1,与椭圆方程联立得,(3m2+4)y2+6my﹣9=0,解出可得面积,通过换元再利用导数研究函数的单调性即可得出.【解答】解:(1)由题知椭圆过点.由题可得:,解得:.所以,椭圆方程为:.(2)设M(x1,y1),N(x2,y2),不妨设y1>0,y2<0,设△F1MN的内切圆半径是R,则△F1MN的周长是4a=8,,因此最大,R就最大,.由题知,直线的斜率不为0,可设直线的方程为x=my+1,由得,(3m2+4)y2+6my﹣9=0,解得,则,令,则t≥1,=,设,f(t)在[1,+∞)上单调递增,所以,f(t)≥f(1)=4,,因为,所以,此时所求内切圆的面积最大值是,MN内切圆面积最大值是.故直线方程为x=1时,△F121.已知函数:f(x)=﹣x3﹣3x2+(1+a)x+b(a<0,b∈R).(1)令h(x)=f(x﹣1)﹣b+a+3,判断h(x)的奇偶性,并讨论h(x)的单调性;(2)若g(x)=|f(x)|,设M(a,b)为g(x)在[﹣2,0]的最大值,求M(a,b)的最小值.【考点】利用导数研究函数的单调性;利用导数求闭区间上函数的最值.【分析】(1)根据已知求也函数h(x)的解析式,结合函数奇偶性的定义,可判断函数的奇偶性,求导,可分析出h(x)的单调性;(2)若g(x)=|f(x)|,则f(t﹣1)=t3﹣(a+4)t+a﹣b+3,t∈[﹣1,1],令h(t)=t3﹣(a+4)t+a﹣b+3,t∈[﹣1,1],结合导数法分类讨论,可得M(a,b)的最小值.【解答】解:(1)h(x)=﹣(x﹣1)3﹣3(x﹣1)2+(1+a)x+2,h(﹣x)=(x+1)3﹣3(x+1)2﹣x(a+1)+2,故h(x)是非奇非偶函数;h′(x)=﹣3x2+a+4,a+4≤0即a≤﹣4时,h′(x)≤0,h(x)在R递减;a+4>0即a>﹣4时,令h′(x)>0,解得:﹣<x<,令h′(x)<0,解得:x<﹣或x>,故h(x)在(﹣∞,﹣)递减,在(﹣,)递增,在(,+∞)递减;(2)g(x)=|f(x)|=|x3+3x2﹣(1+a)x﹣b|,(a<0),则f(t﹣1)=t3﹣(a+4)t+a﹣b+3,t∈[﹣1,1],令h(t)=t3﹣(a+4)t+a﹣b+3,t∈[﹣1,1],则h′(t )=3t 2﹣(a+4),t ∈[﹣1,1], ①当a ≤﹣4时,h′(t )≥0恒成立, 此时函数为增函数,则M (a ,b )=max{|h (﹣1)|,|h (1)|}=max{|2a ﹣b+6|,|b|} ②当﹣4<a <0时,h (t )有两个极值点t 1,t 2,不妨设t 1<t 2,(i )当﹣1≤a <0时,t 1=﹣≤﹣1,t 2=≥1,此时函数为减函数,则M (a ,b )=max{|h (﹣1)|,|h (1)|}=max{|2a ﹣b+6|,|b|}(ii )当﹣4<a <﹣1时,t 1=﹣>﹣1,t 2=<1,此时函数在[﹣1,t 1]上递增,在[t 1,t 2]上递减,在[t 2,1]上递增,则M (a ,b )=max{|2a ﹣b+6|,|b|,|2()3+a ﹣b+3|,|﹣2()3+a ﹣b+3|}则M (a ,b )≥min{|a+3|,2()3},由|a+3|=2()3得:a=﹣1,或a=﹣,当a=﹣1时,M (a ,b )≥2,当a=﹣时,M (a ,b )≥,故当a=﹣,b=﹣时,M (a ,b )的最小值为.[选修4-4:坐标系与参数方程]22.在直角坐标系中,以原点O 为极点,x 轴的正半轴为极轴建立极坐标系,已知曲线C 的极坐标方程为ρ2﹣4ρcos θ+1=0,直线l 的参数方程为(t 为参数),点A 的极坐标为,设直线l 与曲线C 相交于P ,Q 两点.(1)写出曲线C 的直角坐标方程和直线l 的普通方程; (2)求|AP|•|AQ|•|OP|•|OQ|的值.【考点】参数方程化成普通方程;简单曲线的极坐标方程.【分析】(1)利用三种方程的转化方法,写出曲线C 的直角坐标方程和直线l 的普通方程;(2)将参数方程标准式与(x ﹣2)2+y 2=3联立得,由韦达定理得:t 1t 2=1,|AP||AQ|=1;将直线的极坐标方程与圆的极坐标方程ρ2﹣4ρcos θ+1=0,联立得:,由韦达定理得:ρ1ρ2=1,即|OP||OQ|=1,即可求|AP|•|AQ|•|OP|•|OQ|的值.【解答】解:(1)曲线C 的直角坐标方程为:x 2+y 2﹣4x+1=0,即(x ﹣2)2+y 2=3…2分直线的普通方程为…4分(2)点A 的直角坐标为,设点P ,Q 对应的参数为t 1,t 2,点P ,Q 的极坐标方程为,将参数方程标准式与(x ﹣2)2+y 2=3联立得,由韦达定理得:t 1t 2=1,|AP||AQ|=1…6分,将直线的极坐标方程与圆的极坐标方程ρ2﹣4ρcos θ+1=0联立得:,由韦达定理得:ρ1ρ2=1,即|OP||OQ|=1…8分,所以,|AQ||AP||OP||OQ|=1…10分.[选修4-5:不等式选讲]23.(1)已知实数a ,b ,c 满足a+b+c=1,求a 2+b 2+c 2的最小值;(2)已知正数a ,b ,c 满足a+b+c=1,求证:.【考点】基本不等式.【分析】(1)根据柯西不等式即可得出3(a 2+b 2+c 2)≥1,并且可确定a=b=c=时取等号,这便求出了a 2+b 2+c 2的最小值;(2)左边展开由不等式即可得出左边,然后可构造函数(),通过求导判断单调性,从而求出该函数的最小值,进而得出,从而该题得证.【解答】解:(1)由柯西不等式,(a2+b2+c2)(12+12+12)≥(a+b+c)2=1,当且仅当时等号成立;∴a2+b2+c2的最小值为;(2)证明:左边=≥=,构造函数,则:,函数f(x)在上单调递减,最小值为=;∴的最小值为;∴.。
2018年高考数学二诊试卷(成都市理科附答案和解释)
5 2018年四川省成都市高考数学二诊试卷(理科)
一、选择题本大题共12个小题,每小题5分,共60分
1.已知复数z= ,则z的共轭复数是()
A.1﹣iB.1+ic.iD.﹣i
2.设Sn是等差数列{an}的前n项和,a1=2,a5=3a3,则a3=()A.﹣2B.0c.3D.6
3.已知向量, =(3,),∈R,则“=﹣6”是“ ”的()
A.充要条B.充分不必要条
c.必要不充分条D.既不充分也不必要条
4.设函数f(x)=lg2x,在区间(0,5)上随机取一个数x,则f(x)<2的概率为()
A. B. c. D.
5.一个几何体的三视图如图所示,则它的体积为()
A. B. c.20D.40
6.已知x,满足条(为常数),若目标函数z=x+3的最大值为8,则=()
A.﹣16B.﹣6c. D.6
7.定义运算a*b为执行如图所示的程序框图输出的S值,则的值为()
A. B. c.4D.6
8.如图,在正四棱锥S﹣ABcD中,E,,N分别是Bc,cD,Sc的中点,动点P在线段N上运动时,下列四个结论
①EP⊥Ac;
②EP∥BD;。
2018年四川省成都市高考数学二诊试卷(理科)一、选择题:本大题共10小题,每小题5分,共50分.在每小题给出的四个选项中,只有一项是符合题目要求的.1.已知集合A={x|y=},B={x||x|≤2},则A∪B=()A.[﹣2,2] B.[﹣2,4] C.[0,2]D.[0,4]2.函数f(x)=2x+x﹣2的零点所在区间是()A.(﹣∞,﹣1)B.(﹣l,0)C.(0,1)D.(1,2)3.复数z=(其中i为虚数单位)的虚部是()A.﹣1 B.﹣i C.2i D.24.已知某几何体的正视图和侧视图均如图所示,则该几何体的俯视图不可能为()A. B.C.D.5.将函数f(x)=cos(x+)图象上所有点的横坐标缩短为原来的倍,纵坐标不变,得到函数g(x)的图象,则函数g(x)的一个减区间是()A.[﹣,] B.[﹣,]C.[﹣,]D.[﹣,]6.某校高三(1)班在一次单元测试中,每位同学的考试分数都在区间[100,128]内,将该班所有同学的考试分数分为七组:[100,118),[118,118),[118,112),[112,116),[116,120),[120,124),[124,128],绘制出频率分布直方图如图所示,已知分数低于112分的有18人,则分数不低于120分的人数为()A.10 B.12 C.20 D.407.某微信群中甲、乙、丙、丁、卯五名成员同时抢4个红包,每人最多抢一个,且红包被全部抢光,4个红包中有两个2元,两个3元(红包中金额相同视为相同的红包),则甲乙两人都抢到红包的情况有()A.35种B.24种C.18种D.9种8.在三棱锥P﹣ABC中,已知PA⊥底面ABC,AB⊥BC,E,F分别是线段PB,PC上的动点.则下列说法错误的是()A.当AE⊥PB时,△AEF﹣定为直角三角形B.当AF⊥PC时,△AEF﹣定为直角三角形C.当EF∥平面ABC时,△AEF﹣定为直角三角形D.当PC⊥平面AEF时,△AEF﹣定为直角三角形9.已知函数f(x)=,则不等式f(f(x))<4f(x)+1的解集是()A.(﹣3,0)B.(﹣,1)C.(0,2)D.(﹣,log32)10.已知抛物线y=x2的焦点为F,经过y轴正半轴上一点N作直线l与抛物线交于A,B两点,且=2(O为坐标原点),点F关于直线OA的对称点为C,则四边形OCAB面积的最小值为()A.3 B.C.2D.二、填空题:本大题共5小题,每小题5分,共25分.11.已知双曲线=1的右焦点为(3,0),则该双曲线的离心率等于______.12.的展开式中,x2项的系数为______.(用数字作答)13.已知实数x,y满足,则x2+y2﹣2x的取值范围是______.14.执行如图所示的程序框图,输出的S的值为______15.已知函数f(x)=x+sin2x.给出以下四个命题:①∀x>0,不等式f(x)<2x恒成立;②∃k∈R,使方程f(x)=k有四个不相等的实数根;③函数f(x)的图象存在无数个对称中心;④若数列{a n}为等差数列,且f(a l)+f(a2)+f(a3)=3π,则a2=π.其中的正确命题有______.(写出所有正确命题的序号)三、解答题:本大题共6小题,共75分.解答应写出文字说明、证明过程或演算步骤.16.在△ABC中,内角A,B,C所对的边分别为a,b,c.已知a=,且b2+c2=3+bc.(I)求角A的大小;(Ⅱ)求bsinC的最大值.17.已知数列{a n}满足a1=1,(n+1)a n=(n﹣1)a n,(n≥2,n∈N*).﹣1(I)求数列{a n}的通项公式a n;(Ⅱ)设数列{a n}的前n项和为S n.证明:S n<2.18.某商场举行购物抽奖活动,抽奖箱中放有除编号不同外,其余均相同的20个小球,这20个小球编号的茎叶图如图所示,活动规则如下:从抽奖箱中随机抽取一球,若抽取的小球编号是十位数字为l的奇数,则为一等奖,奖金100元;若抽取的小球编号是十位数字为2的奇数,则为二等奖,奖金50元;若抽取的小球是其余编号则不中奖.现某顾客有放回的抽奖两次,两次抽奖相互独立.(I)求该顾客在两次抽奖中恰有一次中奖的概率;(Ⅱ)记该顾客两次抽奖后的奖金之和为随机变量X,求X的分布列和数学期望.19.如图.在三棱柱ABC﹣A1B1C1中,已知侧棱与底面垂直,∠CAB=90°,且AC=1,AB=2,E为BB1的中点,M为AC上一点,=.(I)证明:CB1∥平面A1EM;(Ⅱ)若二面角C1﹣A1E﹣M的余弦值为,求AA1的长度.20.已知椭圆C:=1(a>b>0)的左右焦点分别为F1,F2,抛物线y2=4x与椭圆C有相同的焦点,点P为抛物线与椭圆C在第一象限的交点,且|PF1|=.(I)求椭圆C的方程;(Ⅱ)与抛物线相切于第一象限的直线l,与椭圆交于A,B两点,与x轴交于M点,线段AB的垂直平分线与y轴交于N点,求直线MN斜率的最小值.21.设函数f(x)=lnx.(I)求函数g(x)=x﹣1﹣f(x)的极小值;(Ⅱ)若关于x的不等式mf(x)≥在[1,+∞)上恒成立,求实数m的取值范围;(Ⅲ)已知a∈(0,),试比较f(tana)与﹣cos2a的大小,并说明理由.2018年四川省成都市高考数学二诊试卷(理科)参考答案与试题解析一、选择题:本大题共10小题,每小题5分,共50分.在每小题给出的四个选项中,只有一项是符合题目要求的.1.已知集合A={x|y=},B={x||x|≤2},则A∪B=()A.[﹣2,2] B.[﹣2,4] C.[0,2]D.[0,4]【考点】并集及其运算.【分析】求出集合的等价条件,根据集合的基本运算进行求解即可.【解答】解:A={x|y=}={x|4x﹣x2≥0}={x|0≤x≤4},B={x||x|≤2}={x|﹣2≤x≤2},则A∪B={x|﹣2≤x≤4},故选:B.2.函数f(x)=2x+x﹣2的零点所在区间是()A.(﹣∞,﹣1)B.(﹣l,0)C.(0,1)D.(1,2)【考点】函数零点的判定定理.【分析】据函数零点的判定定理,判断f(﹣1),f(0),f(1),f(2)的符号,即可求得结论.【解答】解:f(﹣1)=2﹣1+1﹣2=﹣<0,f(0)=﹣1<0,f(1)=1>0,f(2)=4>0,故有f(0)•f(1)<0,由零点的存在性定理可知:函数f(x)=2x+x﹣2的零点所在的区间是(0,1)故选:C.3.复数z=(其中i为虚数单位)的虚部是()A.﹣1 B.﹣i C.2i D.2【考点】复数代数形式的乘除运算.【分析】利用复数的化数形式的乘除运算法则求解.【解答】解:∵z=====1+2i,∴复数z=(其中i为虚数单位)的虚部是2.故选:D.4.已知某几何体的正视图和侧视图均如图所示,则该几何体的俯视图不可能为()A. B.C.D.【考点】简单空间图形的三视图.【分析】几何体为椎体与柱体的组合体,分四种情况进行判断.【解答】解:由主视图和侧视图可知几何体为椎体与柱体的组合体,(1)若几何体为圆柱与圆锥的组合体,则俯视图为A,(2)若几何体为棱柱与圆锥的组合体,则俯视图为B,(3)若几何体为棱柱与棱锥的组合体,则俯视图为C,(4)若几何体为圆柱与棱锥的组合体,则俯视图为故选:D.5.将函数f(x)=cos(x+)图象上所有点的横坐标缩短为原来的倍,纵坐标不变,得到函数g(x)的图象,则函数g(x)的一个减区间是()A.[﹣,] B.[﹣,]C.[﹣,]D.[﹣,]【考点】函数y=Asin(ωx+φ)的图象变换.【分析】根据三角函数的图象变换关系求出g(x)的解析式,结合三角函数的单调性进行求解即可.【解答】解:将函数f(x)=cos(x+)图象上所有点的横坐标缩短为原来的倍,纵坐标不变,则y=cos(2x+),即g(x)=cos(2x+),由2kπ≤2x+≤2kπ+π,k∈Z,得kπ﹣≤x≤kπ+,k∈Z,即函数的单调递减区间为[kπ﹣,kπ+],k∈Z,当k=0时,单调递减区间为[﹣,],故选:D.6.某校高三(1)班在一次单元测试中,每位同学的考试分数都在区间[100,128]内,将该班所有同学的考试分数分为七组:[100,118),[118,118),[118,112),[112,116),[116,120),[120,124),[124,128],绘制出频率分布直方图如图所示,已知分数低于112分的有18人,则分数不低于120分的人数为()A.10 B.12 C.20 D.40【考点】频率分布直方图.【分析】由频率分布直方图求出得分数低于112分的频率,从而求出高三(1)班总人数,再求出分数不低于120分的频率,由此能求出分数不低于120分的人数.【解答】解:由频率分布直方图得分数低于112分的频率为:(0.01+0.18+0.18)×4=0.36,∵分数低于112分的有18人,∴高三(1)班总人数为:n==50,∵分数不低于120分的频率为:(0.18+0.18)×4=0.2,∴分数不低于120分的人数为:50×0.2=10人.故选:A.7.某微信群中甲、乙、丙、丁、卯五名成员同时抢4个红包,每人最多抢一个,且红包被全部抢光,4个红包中有两个2元,两个3元(红包中金额相同视为相同的红包),则甲乙两人都抢到红包的情况有()A.35种B.24种C.18种D.9种【考点】计数原理的应用.【分析】根据红包的性质进行分类,若甲乙抢的是一个2和一个3元的,若两个和2元或两个3元,根据分类计数原理可得.【解答】解:若甲乙抢的是一个2和一个3元的,剩下2个红包,被剩下的3人中的2个人抢走,有A22A32=12种,若甲乙抢的是两个和2元或两个3元的,剩下2个红包,被剩下的3人中的2个人抢走,有A22C32=6种,根据分类计数原理可得,共有12+6=18种,故选:C.8.在三棱锥P﹣ABC中,已知PA⊥底面ABC,AB⊥BC,E,F分别是线段PB,PC上的动点.则下列说法错误的是()A.当AE⊥PB时,△AEF﹣定为直角三角形B.当AF⊥PC时,△AEF﹣定为直角三角形C.当EF∥平面ABC时,△AEF﹣定为直角三角形D.当PC⊥平面AEF时,△AEF﹣定为直角三角形【考点】棱锥的结构特征.【分析】A.当AE⊥PB时,又PA⊥底面ABC,AB⊥BC,可得AE⊥BC,利用线面垂直的判定与性质定理可得AE⊥EF,即可判断出正误.B.当AF⊥PC时,无法得出△AEF﹣定为直角三角形,即可判断出正误;C.当EF∥平面ABC时,可得EF∥BC,利用线面垂直的判定与性质定理可得:BC⊥AE,EF⊥AE,即可判断出正误;D.当PC⊥平面AEF时,可得PC⊥AE,由C可知:BC⊥AE利用线面垂直的判定与性质定理即可判断出正误.【解答】解:A.当AE⊥PB时,又PA⊥底面ABC,AB⊥BC,∴AE⊥BC,可得:AE⊥平面PBC,∴AE⊥EF,∴△AEF﹣定为直角三角形,正确.B.当AF⊥PC时,无法得出△AEF﹣定为直角三角形,因此不正确;C.当EF∥平面ABC时,平面PBC∩ABC=BC,可得EF∥BC,∵PA⊥底面ABC,AB⊥BC,∴BC⊥平面PAB,∴BC⊥AE,因此EF⊥AE,则△AEF﹣定为直角三角形,正确;D.当PC⊥平面AEF时,可得PC⊥AE,由C可知:BC⊥AE,∴AE⊥平面PBC,∴AE ⊥EF,因此△AEF﹣定为直角三角形,正确.故选:B.9.已知函数f(x)=,则不等式f(f(x))<4f(x)+1的解集是()A.(﹣3,0)B.(﹣,1)C.(0,2)D.(﹣,log32)【考点】分段函数的应用.【分析】根据分段函数的表达式,讨论f(x)的符号,将不等式进行转化求解即可.【解答】解:由3x+1=0得x=﹣,当x<﹣时,3x+1<0,则由f(f(x))<4f(x)+1得f(3x+1))<4(3x+1)+1,即3(3x+1)+1<12x+4+1,即9x+4<12x+5,得x>﹣,此时不等式无解,当x≥﹣时,当x≥0时,f(x)=3x≥1,则由f(f(x))<4f(x)+1得<4•3x+1,设t=3x,则不等式等价为3t<4t+1,设g(t)=3t﹣4t﹣1,则g(0)=0,g(2)=9﹣8﹣1=0,即g(t)<0的解为0<t<2,即0<3x<2,得0≤x<log32,当﹣≤x<0时,f(x)=3x+1≥0,则f(f(x))=33x+1,则由f(f(x))<4f(x)+1得33x+1<4(3x+1)+1,设t=3x+1,则不等式等价为3t<4t+1,设g(t)=3t﹣4t﹣1,则g(0)=0,g(2)=9﹣8﹣1=0,即g(t)<0的解为0<t<2,即0<3x+1<2,即﹣1<3x<1,得﹣<x<,此时﹣<x<0,综上所述,﹣<x<log32.即不等式的解集为(﹣,log32),故选:D10.已知抛物线y=x2的焦点为F,经过y轴正半轴上一点N作直线l与抛物线交于A,B两点,且=2(O为坐标原点),点F关于直线OA的对称点为C,则四边形OCAB面积的最小值为()A.3 B.C.2D.【考点】抛物线的简单性质.【分析】先设直线AB方程为y=kx+b(b>0),联立y=x2求解利用=2,求出b,可得直线AB方程为y=kx+2,设d1、d2分别为F到OA、O到AB的距离,利用四边形OCAB的面积S=S△OAC+S△OAB=(OA•d1+AB•d2),可得S关于k的函数,利用导数知识即可求解.【解答】解:不妨设位于第一象限的交点为A(x1,y1)、第二象限的交点为B(x2,y2),则x1>0,x2<0.OA的直线方程为y=x=x1x,F点的坐标为(0,).设直线AB方程为y=kx+b(b>0),联立y=x2求解,有x2﹣kx﹣b=0∴x1+x2=k,x1x2=﹣b,∴y1y2=b2,∵=2,∴x1x2+y1y2=﹣b+b2=2∵b>0,∴b=2∴△=k2+8,x1=(k+)①;线段AB=②.设d1、d2分别为F到OA、O到AB的距离.∵C是F关于OA的对称点,∴C到OA的距离=d1.∴四边形OCAB的面积S=S△OAC+S△OAB=(OA•d1+AB•d2).根据点到直线距离公式,d1=③,d2=④.又线段OA=⑤,∴将①~⑤代入S,有S=(k+17).由S对k求导,令导函数=0,可得1+=0,解得k=﹣时,S最小,其值为3.故选:A.二、填空题:本大题共5小题,每小题5分,共25分.11.已知双曲线=1的右焦点为(3,0),则该双曲线的离心率等于.【考点】双曲线的简单性质.【分析】利用双曲线=1的右焦点为(3,0),求出|a|,再利用双曲线的定义,即可求出双曲线的离心率.【解答】解:∵双曲线=1的右焦点为(3,0),∴a2+5=9,∴|a|=2,∵c=3,∴双曲线的离心率等于.故答案为:.12.的展开式中,x2项的系数为﹣20.(用数字作答)【考点】二项式定理的应用.【分析】先求出二项式展开式的通项公式,再令x的幂指数等于2,求得r的值,即可求得展开式中的x2项的系数.【解答】解:在的展开式中,它的通项公式为T r+1=•x5﹣r•(﹣1)r,令5﹣r=2,求得r=3,可得x2项的系数为﹣=﹣20,故答案为:﹣20.13.已知实数x,y满足,则x2+y2﹣2x的取值范围是[﹣1,19] .【考点】简单线性规划.【分析】画出满足条件的平面区域,求出角点的坐标,而(x﹣1)2+y2的几何意义表示平面区域内的点与(1,0)的点距离的平方,求出(x﹣1)2+y2的范围,从而求出x2+y2﹣2x的范围即可.【解答】解:画出满足条件的平面区域,如图示:由,解得A(3,4),x2+y2﹣2x=(x﹣1)2+y2﹣1,而(x﹣1)2+y2的几何意义表示平面区域内的点与(1,0)的点距离的平方,0≤(x﹣1)2+y2≤20,∴﹣1≤(x﹣1)2+y2≤19,故答案为:[﹣1,19].14.执行如图所示的程序框图,输出的S的值为【考点】程序框图.【分析】由已知中的程序语句可知:该程序的功能是利用循环结构计算并输出变量S的值,模拟程序的运行过程,分析循环中各变量值的变化情况,可得答案.【解答】解:模拟执行程序,可得该程序的功能是利用循环结构计算并输出变量S=•tan•tan…tan的值.由于:S=•tan•tan…tan tan=•tan•tan…cot•cot=tan=.故答案为:.15.已知函数f(x)=x+sin2x.给出以下四个命题:①∀x>0,不等式f(x)<2x恒成立;②∃k∈R,使方程f(x)=k有四个不相等的实数根;③函数f(x)的图象存在无数个对称中心;④若数列{a n}为等差数列,且f(a l)+f(a2)+f(a3)=3π,则a2=π.其中的正确命题有③④.(写出所有正确命题的序号)【考点】函数的图象.【分析】①用特殊值的方法即可;②③根据函数图象判断;④可用反代的方法判断成立.【解答】解:①当x=时,显然f(x)>2x,故错误;②根据函的图象易知,方程f(x)=k最多有三个不相等的实数根,故错误;③根据函数的图象易知函数f(x)的图象存在无数个对称中心,故正确;④f(a l)+f(a2)+f(a3)=3π,∴a l+a2+a3=3π,sina l+sina2+sina3=0,解得a2=π,故正确.故答案为:③④.三、解答题:本大题共6小题,共75分.解答应写出文字说明、证明过程或演算步骤.16.在△ABC中,内角A,B,C所对的边分别为a,b,c.已知a=,且b2+c2=3+bc.(I)求角A的大小;(Ⅱ)求bsinC的最大值.【考点】余弦定理;正弦定理.【分析】(I)由余弦定理可得:cosA===,即可得出.(II)由正弦定理可得:可得b=,可得bsinC=2sinBsin=+,根据B∈即可得出.【解答】解:(I)由余弦定理可得:cosA===,∵A∈(0,π),∴A=.(II)由正弦定理可得:,可得b=,bsinC=•sinC=2sinBsin=2sinB=sin2B+=+,∵B∈,∴∈.∴∈.∴bsinC∈.17.已知数列{a n}满足a1=1,(n+1)a n=(n﹣1)a n,(n≥2,n∈N*).﹣1(I)求数列{a n}的通项公式a n;(Ⅱ)设数列{a n}的前n项和为S n.证明:S n<2.【考点】数列的求和;数列递推式.【分析】(Ⅰ)依题意,可得a n=••…×××a1=,再验证n=1时是否符合该式即可得到答案,(Ⅱ)先裂项求和,再放缩法证明即可.【解答】解:(Ⅰ)∵a1=1,(n+1)a n=(n﹣1)a n,﹣1∴=,∴=,…,==,==,∴a n=••…×××a1=,又n=1时a1=1,满足上式,∴数列{a n}的通项公式a n=,(Ⅱ)∵a n==2(﹣),∴S n=a1+a2+…+a n=2(1﹣+﹣+…+﹣)=2(1﹣)<2,问题得以证明.18.某商场举行购物抽奖活动,抽奖箱中放有除编号不同外,其余均相同的20个小球,这20个小球编号的茎叶图如图所示,活动规则如下:从抽奖箱中随机抽取一球,若抽取的小球编号是十位数字为l的奇数,则为一等奖,奖金100元;若抽取的小球编号是十位数字为2的奇数,则为二等奖,奖金50元;若抽取的小球是其余编号则不中奖.现某顾客有放回的抽奖两次,两次抽奖相互独立.(I)求该顾客在两次抽奖中恰有一次中奖的概率;(Ⅱ)记该顾客两次抽奖后的奖金之和为随机变量X,求X的分布列和数学期望.【考点】离散型随机变量的期望与方差;茎叶图;列举法计算基本事件数及事件发生的概率;离散型随机变量及其分布列.【分析】(Ⅰ)设一次抽奖抽中i等奖的概率为P i(i=1,2),没有中奖的概率为P0,由此能求出该顾客两次抽奖中恰有一次中奖的概率.(Ⅱ)X的可能取值为0,50,100,150,200,分别求出相应的概率,由此能求出X的分布列和EX.【解答】解:(Ⅰ)设一次抽奖抽中i等奖的概率为P i(i=1,2),没有中奖的概率为P0,则P1+P2==,即中奖的概率为,∴该顾客两次抽奖中恰有一次中奖的概率为:P==.(Ⅱ)X的可能取值为0,50,100,150,200,P(X=0)=,P(X=50)==,P(X=100)==,P(X=150)==,P(X=200)==,X∴EX==55(元).19.如图.在三棱柱ABC﹣A1B1C1中,已知侧棱与底面垂直,∠CAB=90°,且AC=1,AB=2,E为BB1的中点,M为AC上一点,=.(I)证明:CB1∥平面A1EM;(Ⅱ)若二面角C1﹣A1E﹣M的余弦值为,求AA1的长度.【考点】二面角的平面角及求法;直线与平面平行的判定.【分析】(I)建立空间直角坐标系,利用向量关系求出F的坐标,根据线面平行的判定定理即可证明证明:CB1∥平面A1EM;(Ⅱ)建立空间直角坐标系,求出平面的法向量,利用向量法进行求解即可.【解答】(I)如图,连接AB1,交A1E于F,连接MF,∵E为BB1的中点,∴建立以A为坐标原点,AB,AC,AA1分别为x,y,z轴的空间直角坐标系如图:设AA1=h,则A(0,0,0),C1(0,1,h),A1(0,0,h),E(2,0,),M(0,,0),B1(2,0,h),设F(x,0,z),则∥,∥,∵=(x,0,z),=(2,0,h),∴①∵=(x,0,z﹣h),=(2,0,﹣),∴=②,由①②得z=h,x=,或F作FT⊥AB,则==,则∴AF=AB1,∵=.∴MF∥CB1,∵MF⊂平面平面A1EM,CB1⊄平面A1EM,∴CB1∥平面A1EM;(Ⅱ)设平面C1A1E的法向量为=(x,y,z),平面MA1E的法向量为=(x,y,z),则,则,令z=1,则x=,y=0,则=(,0,1),由得,令z=1,则x=,y=,即=(,,1)|cos<,>|==,得h2=2,即h=,则AA1的长度为.20.已知椭圆C:=1(a>b>0)的左右焦点分别为F1,F2,抛物线y2=4x与椭圆C有相同的焦点,点P为抛物线与椭圆C在第一象限的交点,且|PF1|=.(I)求椭圆C的方程;(Ⅱ)与抛物线相切于第一象限的直线l,与椭圆交于A,B两点,与x轴交于M点,线段AB的垂直平分线与y轴交于N点,求直线MN斜率的最小值.【考点】椭圆的简单性质.【分析】(I)求得抛物线的焦点,可得c=1,设P为(,m),由椭圆的焦半径公式可得,|PF1|=a+•=,由椭圆和抛物线的定义可得,2a=++1,解方程可得a=2,由a,b,c的关系,可得b,进而得到椭圆方程;(Ⅱ)设直线l的方程为y=kx+b(k>0),代入抛物线的方程,由判别式为0,可得kb=1,再由椭圆方程联立,运用韦达定理和判别式大于0,结合中点坐标公式和直线的斜率公式,以及基本不等式即可得到所求最小值.【解答】解:(I)抛物线y2=4x的焦点为(1,0),可得椭圆的c=1,设P为(,m),由椭圆的焦半径公式可得,|PF1|=a+•=,由椭圆和抛物线的定义可得,2a=++1,解得a=2,b==,即有椭圆的方程为+=1;(Ⅱ)设直线l的方程为y=kx+b(k>0),代入抛物线的方程,可得k2x2+(2kb﹣4)x+b2=0,由相切的条件可得,△=(2kb﹣4)2﹣4k2b2=0,化简可得kb=1,由y=kx+和椭圆方程3x2+4y2=12,可得(3+4k2)x2+8x+﹣12=0,由64﹣4(3+4k2)(﹣12)>0,可得k>,设A(x1,y1),B(x2,y2),可得x1+x2=﹣,即有中点坐标为(﹣,),设N(0,n),由=﹣,可得n=﹣,由y=kx+,设y=0,则x=﹣,M(﹣,0),可得直线MN的斜率为k MN==﹣=﹣≥﹣=﹣.当且仅当k=>时,取得最小值﹣.21.设函数f(x)=lnx.(I)求函数g(x)=x﹣1﹣f(x)的极小值;(Ⅱ)若关于x的不等式mf(x)≥在[1,+∞)上恒成立,求实数m的取值范围;(Ⅲ)已知a∈(0,),试比较f(tana)与﹣cos2a的大小,并说明理由.【考点】利用导数求闭区间上函数的最值;利用导数研究函数的单调性.【分析】(I)求导数,确定函数的单调性,即可求函数g(x)=x﹣1﹣f(x)的极小值;(Ⅱ)mf(x)≥可化为mlnx﹣≥0,构造函数,得出m(x+1)2﹣2x≥0在[1,x0]上恒成立,即可求实数m的取值范围;(Ⅲ)已知a∈(0,),证明<,分类讨论,即可比较f(tana)与﹣cos2a的大小.【解答】解:(I)函数g(x)=x﹣1﹣f(x)=x﹣1﹣lnx,g′(x)=(x>0),∴g(x)在(0,1)上单调递减,(1,+∞)上单调递增,∴x=1时,g(x)的极小值为0;(Ⅱ)mf(x)≥可化为mlnx﹣≥0,令h(x)=mlnx﹣(x≥1),则h′(x)=,∵h(1)=0,∴∃x0>1,h(x)在[1,x0]上单调递增,∴m(x+1)2﹣2x≥0在[1,x0]上恒成立,∴m≥;(Ⅲ)由(Ⅱ)可知x>1,>.∵0<x<1,∴>1∴>,∴<,令x=t2,可得t>1,lnt>,0<t<1,lnt<,∵f(tana)=lntana,﹣cos2a=,∴0<a<,0<tana<1,f(tana)<﹣cos2aa=,tana﹣1,f(tana)=﹣cos2a,<a<,tana>1,f(tana)>﹣cos2a.2018年9月20日。
2018届高三数学二诊模拟考试题(成都市理有答案)
5 c 成都1
6 B.-6 c D.6
7定义运算为执行如图所示的程序框图输出的值,则的值为()
A. B. c4 D.6
8如图,在正四棱锥中,分别是的中点,动点在线段上运动时,下列四个结论① ;② ;③ 面;④ 面其中恒成立的为()A.①③ B.③④ c ①② D.②③④
9若曲线与曲线在它们的共点处具有共切线,则实数()A.-2 B. c 1 D.2
10已知是边长为的正三角形,为的外接圆的一条直径,为的边上的动点,则的最大值为()
A.3 B.4 c5 D.6
11已知双曲线的左、右焦点分别为,,是圆与位于轴上方的两个交点,且,则双曲线的离心率为()
A. B. c D.
12若对,有,求的最大值与最小值之和是()
A.4 B.6 c8 D.10
二、填空题(每题5分,满分10BAAcA 11、12cB
二、填空题
13 14 15 16
三、解答题
17解(1)由频率分布直方图知,被调查的50人中年龄在45岁以上的人数为,年龄在45岁以下的人数为50-10=40,其中45岁以上支持“延迟退休”的人数为3,45岁以下支持“延迟退休”人数为25,则2×2列联表如下
所以有90%的把握认为以45岁为分界点对“延迟退休年龄政。
成都市2018级高中毕业班第二次诊断性检测数学(理科) 第Ⅰ卷(共60分)一、选择题:本大题共12个小题,每小题5分,共60分.在每小题给出的四个选项中,只有一项是符合题目要求的.1.设集合[1,2]A =-,2{,}B y x x A =∈,则AB =( )A .[1,4]B .[1,2]C .[1,0]-D .[0,2] 2.若复数1z a i =+(a R ∈),21z i =-,且12z z 为纯虚数,则1z 在复平面内所对应的点位于( )A .第一象限B .第二象限C .第三象限D .第四象限 3.在等比数列{}n a 中,已知36a =,35778a a a ++=,则5a =( ) A .12 B .18 C .24 D .364.已知平面向量a ,b 夹角为3π,且1a =,12b =,则2a b +与b 的夹角是( )A .6πB .56πC .4π D .34π5.若曲线2ln y x ax =+(a 为常数)不存在斜率为负数的切线,则实数a 的取值范围是( ) A .1(,)2-+∞ B .1[,)2-+∞ C .(0,)+∞ D .[0,)+∞ 6.若实数,x y 满足不等式22010x y x y y m ++≥⎧⎪+-≤⎨⎪≥⎩,且x y -的最大值为5,则实数m 的值为( )A .0B .-1C .-2D .-57.已知,m n 是空间中两条不同的直线,,αβ是两个不同的平面,且,m n αβ⊂⊂,有下列命题:①若//αβ,则//m n ;②若//αβ,则//m β;③若l αβ=,且m l ⊥,n l ⊥,则αβ⊥;④若l αβ=,且m l ⊥,m n ⊥,则αβ⊥,其中真命题的个数是( )A .0B .1C .2D .38.已知函数()xf x a =(0,1a a >≠)的反函数的图象经过点1)2,若函数()g x 的定义域为R ,当[2,2]x ∈-时,有()()g x f x =,且函数(2)g x +为偶函数,则下列结论正确的是( )A .()(3)g g g π<<B .()(3)g g g π<<C .(3)()g g g π<<D .()(3)g g g π<<9.执行如图所示的程序框图,若输入的,,a b c 分别为1,2,0.3,则输出的结果为( )A .1.125B .1.25C .1.3125D .1.37510.已知函数()sin(2)2sin cos()f x x x ωϕϕωϕ=+-+(0,R ωϕ>∈)在3(,)2ππ上单调递减,则ω的取值范围是( )A .(0,2]B .1(0,]2C .1[,1]2D .15[,]2411.设双曲线2222:1x y C a b-=(0,0a b >>)的左右焦点分别为12,F F ,以12,F F 为直径的圆与双曲线左支的一个交点为P ,若以1OF (O 为坐标原点)为直径的圆与2PF 相切,则双曲线C 的离心率为( )A .34-+ C .37+ 12.把平面图形M 上的所有点在一个平面上的射影构成的图形'M 叫做图形M 在这个平面上的射影,如图,在三棱锥A BCD -中,BD CD ⊥,AB DB ⊥,AC DC ⊥,5AB DB ==,4CD =,将围成三棱锥的四个三角形的面积从小到大依次记为1234,,,S S S S ,设面积为2S 的三角形所在的平面为α,则面积为4S 的三角形在平面α上的射影的面积是( )A .B .252C .10D .30 第Ⅱ卷(共90分)二、填空题(每题5分,满分20分,将答案填在答题纸上) 13.在二项式25(ax+的展开式中,若常数项为-10,则a = . 14.在一个容量为5的样本中,数据均为整数,已测出其平均数为10,但墨水污损了两个数据,其中一个数据的十位数字1未被污损,即9,10,11,1,那么这组数据的方差2s 可能的最大值是 .15.如图,抛物线24y x =的一条弦AB 经过焦点F ,取线段OB 的中点D ,延长OA 至点C ,使OA AC =,过点C ,D 作y 轴的垂线,垂足分别为,E G ,则EG 的最小值为 .16.在数列{}n a 中,11a =,2121n n n a a n -=-(2n ≥,*n N ∈),则数列2{}n a n 的前n 项和n T = .三、解答题 (本大题共6小题,共70分.解答应写出文字说明、证明过程或演算步骤.) 17. 如图,在平面四边形ABCD 中,已知2A π∠=,23B π∠=,6AB =,在AB 边上取点E ,使得1BE =,连接,EC ED ,若23CED π∠=,EC(1)求sin BCE ∠的值; (2)求CD 的长.18. 某项科研活动共进行了5次试验,其数据如下表所示: 特征量第1次 第2次 第3次 第4次 第5次 x555 559 551 563 552 y601605597599598(1)从5次特征量y 的试验数据中随机地抽取两个数据,求至少有一个大于600的概率; (2)求特征量y 关于x 的线性回归方程;并预测当特征量x 为570时特征量y 的值.(附:回归直线的斜率和截距的最小二乘法估计公式分别为121()()()niii nii x x y y b x x ==--=-∑∑,a y bx =-)19. 如图,已知梯形CDEF 与ADE ∆所在平面垂直,,AD DE CD DE ⊥⊥,////AB CD EF ,28AE DE ==,3AB =,9EF =,12CD =,连接,BC BF .(1)若G 为AD 边上一点,13DG DA =,求证://EG 平面BCF ; (2)求二面角E BF C --的余弦值.20. 在平面直角坐标系xOy 中,已知椭圆2222:1x y E a b+=(0a b >>),圆222:O x y r +=(0r b <<),若圆O 的一条切线:l y kx m =+与椭圆E 相交于,A B 两点. (1)当12k =-,1r =时,若点,A B 都在坐标轴的正半轴上,求椭圆E 的方程; (2)若以AB 为直径的圆经过坐标原点O ,探究,,a b r 之间的等量关系,并说明理由. 21. 已知函数1()ln f x a x x x=-+,其中0a >. (1)若()f x 在(2,)+∞上存在极值点,求a 的取值范围; (2)设1(0,1)x ∈,2(1,)x ∈+∞,若21()()f x f x -存在最大值,记为()M a ,则当1a e e≤+时,()M a 是否存在最大值?若存在,求出其最大值;若不存在,请说明理由. 请考生在22、23两题中任选一题作答,如果多做,则按所做的第一题记分. 22.选修4-4:坐标系与参数方程在直角坐标系xOy 中,曲线C 的参数方程为2cos 22sin x y αα=⎧⎨=+⎩,(α为参数),直线l 的参数方程为132x y t ⎧=⎪⎪⎨⎪=+⎪⎩(t 为参数),在以坐标原点O 为极点,x 轴的正半轴为极轴的极坐标系中,过极点O 的射线与曲线C 相交于不同于极点的点A ,且点A的极坐标为)θ,其中(,)2πθπ∈.(1)求θ的值;(2)若射线OA 与直线l 相交于点B ,求AB 的值. 23.选修4-5:不等式选讲 已知函数()43f x x x =---. (1)求不等式3()02f x +≥的解集; (2)若,,p q r 为正实数,且111432p q r++=,求32p q r ++的最小值.成都市2018级高中毕业班第二次诊断性检测数学(理科)试卷答案一、选择题1-5:DABAD 6-10:CBCDC 11、12:DA 二、填空题13. -2 14. 32.8 15. 4 16. 21nn + 三、解答题 17.解:(1)在BEC ∆中,据正弦定理,有sin sin BE CEBCE B=∠.∵23B π∠=,1BE =,CE ,∴sin sin 14BE B BCE CE ∙∠===. (2)由平面几何知识,可知DEA BCE ∠=∠,在Rt AED ∆中,∵2A π∠=,5AE =,∴cos 14DEA ∠==.∴cos EA ED DEA ===∠在CED ∆中,据余弦定理,有22212cos 7282()492CD CE DE CE DE CED =+-∙∙∠=+--=∴7CD =18.解:(1)记“至少有一个大于600”为事件A .∴23257()110C P A C =-=.(2)5555595515635525565x ++++==,600y =.∴222221135(5)(3)7(1)(4)(2)300.3(1)3(5)7(4)100b -⨯+⨯+-⨯-+⨯-+-⨯-===-++-++- ∵6000.3556433.2a y bx =-=-⨯=, ∴线性回归方程为0.3433.2y x =+. 当570x =时,0.3570433.2604.2y =⨯+= ∴当570x =时,特征量y 的估计值为604.2. 19.解:(1)如图,作//GM CD ,交BC 于点M ,连接MF ,作//BH AD ,交GM 于N ,交DC 于H .∵//EF CD ,//GM EF , ∴3GN AB ==,9HC =. ∵////AB GM DC , ∴23NM BM AG HC BC AD ===. ∴6NM =.∴9GM GN NM =+=.∴GM //=EF . ∴四边形GMFE 为平行四边形, ∴//GE MF .又MF ⊂平面BCF ,GE ⊄平面四边形, ∴//GE 平面BCF.(2)∵平面ADE ⊥平面CDEF ,AD DE ⊥,AD ⊂平面ADE , ∴AD ⊥平面CDEF .以D 为坐标原点,DC 为x 轴,DE 为y 轴,DA 为z 轴建立如图所示的空间直角坐标系xyz D .∴(0,4,0),(9,4,0),(12,0,0),E F C B . ∴(9,0,0)EF =,(3,EB =-, 设平面EBF 的法向量1111(,,)n x y z =.由1100n EF n EB ⎧∙=⎪⎨∙=⎪⎩,得111190340x x y =⎧⎪⎨-+=⎪⎩.取1y =1(0,3,1)n =.同理,(3,4,0)FC =-,(6,FB =--. 设平面BCF 的法向量2222(,,)n x y z =.由2200n FC n FB ⎧∙=⎪⎨∙=⎪⎩,得22222340640x y x y -=⎧⎪⎨--+=⎪⎩.取24x =,得2n =.∴121212cos ,n n n n n n ∙====∵二面角E BF C --为钝二面角,∴二面角E BF C --的余弦值为26-. 20.解:(1)∵直线l 与Or =.由12k =-,1r =,解得m =∵点,A B 都在坐标轴正半轴上,∴1:2l y x =-+∴切线l与坐标轴的交点为,.∴a =2b =. ∴椭圆E 的方程是224155x y +=. (2)设11(,)A x y ,22(,)B x y ∵以AB 为直径的圆经过点O , ∴0OA OB ∙=,即12120x x y y +=. ∵点,A B 在直线l 上,∴1122y kx my kx m =+⎧⎨=+⎩.∴221212(1)()0k x x mk x x m ++++= (*)由222222y kx m b x a y a b =+⎧⎨+-=⎩消去y ,得22222222(2)0b x a k x kmx m a b +++-=. 即222222222()2()0b a k x kma x a m a b +++-= 显然0∆>∴由一元二次方程根与系数的关系,得2122222222122222kma x x b a k a m a b x x b a k ⎧-+=⎪⎪+⎨-⎪=⎪+⎩代入(*)式,得2222222222222222222222a m a m k a b a b k k m a m b a k m b a k+--++++. 整理,得22222222()0m a b a b a b k +--=. 又由(1),有222(1)m k r =+.消去2m ,得2222222(1)()(1)k r a b a b k ++=+ ∴222111a b r += ∴,,a b r 满足等量关系222111a b r+=. 21.解:(1)2'221(1)()1a x ax f x x x x--+=--=,(0,)x ∈+∞. 由题意,得210x ax -+=,在(2,)x ∈+∞上有根(不为重根).即1a x x =+在(2,)x ∈+∞上有解. 由1y x x =+在(2,)x ∈+∞上单调递增,得15(,)2x x +∈+∞.检验:当52a >时,()f x 在(2,)x ∈+∞上存在极值点.∴5(,)2a ∈+∞.(2)若02a <≤,∵2'2(1)()x ax f x x--+=在(0,)+∞上满足'()0f x ≤, ∴()f x 在(0,)+∞上单调递减,∴21()()0f x f x -<. ∴21()()f x f x -不存在最大值. 则2a >.∴方程210x ax -+=有两个不相等的正实数根,令其为,m n ,且不妨设01m n <<<则1m n amn +=⎧⎨=⎩.()f x 在(0,)m 上单调递减,在(,)m n 上调递增,在(,)n +∞上单调递减,对1(0,1)x ∀∈,有1()()f x f m ≥;对2(1,)x ∀∈+∞,有2()()f x f n ≤, ∴21max [()()]()()f x f x f n f m -=-.∴11()()()(ln )(ln )M a f n f m a n n a m m n m=-=-+--+11ln()()n a m n m n m =+-+-. 将1a m n n n =+=+,1m n =代入上式,消去,a m 得21111()()ln 2()2[()ln ()]M a n n n n n n n n n n=++-=++-∵12a e e <≤+,∴11n e n e +≤+,1n >.据1y x x =+在(1,)x ∈+∞上单调递增,得(1,]n e ∈.设11()2()ln 2()h x x x x x x =++-,(1,]x e ∈.'22211111()2(1)ln 2()2(1)2(1)ln h x x x x x x x x x=-++++--=-,(1,]x e ∈.∴'()0h x >,即()h x 在(1,]e 上单调递增. ∴max 114[()]()2()2()h x h e e e e e e==++-= ∴()M a 存在最大值为4e. 22.解:(1)曲线C 的普通方程为22(2)4x y +-=, 曲线C 的极坐标方程为22(cos )(sin 2)4ρθρθ+-=. 化简,得4sin ρθ=.由ρ=sin 2θ=∵(,)2πθπ∈,∴23πθ=. (2)射线OA 的极坐标方程为23πθ=, 直线l的普通方程为0x -=.∴直线l的极坐标方程为cos sin 0ρθθ-=.联立23cos sin 0πθρθθ⎧=⎪⎨⎪-⎩,解得ρ=∴B A AB ρρ=-==23.解:(1)333()40222f x x x +=-+--≥ 根据绝对值的几何意义,得3322x x ++-表示点(,0)x 到3(,0)2A -,3(,0)2B 两点距离之和.接下来找出到,A B 距离之和为4的点.将点A 向左移动12个单位到点1(2,0)A -,这时有114A A A B +=; 同理,将点B 向右移动12个单位到点1(2,0)B ,这时有114B A B B +=.∴33422x x ++-≤,即3()02f x +≥的解集为[2,2]-.(2)令1a =,2a3a = 由柯西不等式,得2222222123123123123111111[()()()]()()a a a a a a a a a a a a ++∙++≥∙+∙+∙ 即111()(32)932p q r p q r++++≥ ∵111432p q r++=∴9324p q r ++≥. 上述不等式当且仅当1114323p q r +==,即14p =,38q =,34r =时,取等号.∴32p q r ++的最小值为94.。
成都市2015级高中毕业班第二次诊断性检测数学(理科)第Ⅰ卷(选择题,共60分)一、选择题:本大题共12小题,每小题5分,满分60分. 在每小题给出的四个选项中,只有一项符合题目要求. 1.设集合{}11P x x =-<,{}12Q x x =-<<,则P Q = ( ) A .11,2⎛⎫ ⎪⎝⎭B .()1,2-C .()1,2D .()0,2【答案】 D 【解析】集合{}{}1102P x x x x =-<=<<,所以()0,2P Q = ,故选D. 考点:集合的基本运算.2.已知向量()()()2,1,3,4,,2k ===a b c .若()3-a b c ,则实数k 的值为( ) A .8- B .6- C .1- D .6【答案】 B 【解析】由题意得()33,1-=-a b ,所以60,6k k +==-.故选B. 考点:1、平面向量坐标运算;2、平面向量共线的坐标表示. 3.若复数z 满足()31i 12i z +=-,则z 等于( )A B .32 C D .12【答案】 A 【解析】由31i 12i z +=-,得312i 1i z -===+故选A. 考点:复数的模及其运算.4.设等差数列{}n a 的前n 项和为n S .若4520,10S a ==,则16a =( )A .32-B .12C .16D .32【答案】 D 【解析】由41514620,410S a d a a d =+==+=,解得2d =,所以1651132a a d =+=.故选D. 考点:等差数列基本运算.5.已知,m n 是空间中两条不同的直线,,αβ为空间中两个互相垂直的平面,则下列命题正确的是( ) A .若m α⊂,则m β⊥ B .若,m n αβ⊂⊂,则m n ⊥C .若,m m αβ⊄⊥,则m αD .若,m m n αβ=⊥ ,则n α⊥ 【答案】 C【解析】若m α⊂,可能m β ,所以A 不正确;若,m n αβ⊂⊂,则m 与n 平行或相交,所以B 不正确;因为αβ⊥,m β⊥,所以m α 或m α⊂,又m α⊄,所以C 正确;对于D 选项缺少条件n β⊂,所以D 不正确.故选C.考点:点、线、面的平行和垂直关系.6.若6x⎛ ⎝的展开式中含32x 项的系数为160,则实数a 的值为( )A .2B .2-C .D .-【答案】 B【解析】展开式通项为()3662166rr r r r r r T C x a C x --+⎛==- ⎝,令33622r -=,得3r =,所以()333620160a C a -=-=,所以2a =-.故选B.考点:二项式定理.7.已知函数()()sin 0,0,2f x A x A ωϕωϕπ⎛⎫=+>>< ⎪⎝⎭,的部分图象如图所示.现将函数()f x 图象上的所有点向右平移4π个单位长度得到函数()g x 的图象,则函数()g x 的解析式为( )A .()2sin 24g x x π⎛⎫=+⎪⎝⎭ B .()2sin 24g x x 3π⎛⎫=+ ⎪⎝⎭C .()2cos2g x x =D .()2sin 24g x x π⎛⎫=- ⎪⎝⎭【答案】 D【解析】由图象可知2A =,534884T πππ=-=,T ∴=π,2ω=, 代入点5,28π⎛⎫- ⎪⎝⎭得5sin 14ϕπ⎛⎫+=- ⎪⎝⎭,4ϕπ∴=,()2sin 24f x x π⎛⎫=+ ⎪⎝⎭,所以()2sin 244g x f x x ππ⎛⎫⎛⎫=-=- ⎪ ⎪⎝⎭⎝⎭.故选D.考点:1、三角函数的图象;2、三角函数图象的变换.8.若x 为实数,则“2x ≤≤223x x +≤≤”成立的( ) A .充分不必要条件 B .必要不充分条件 C .充要条件 D .既不充分也不必要条件【答案】 B【解析】由223x x +≤≤,解得12x ≤≤,所以“2x ≤≤223x x +≤≤” 必要不充分条件.故选B. 考点:1、充分条件与必要条件;2、简单的分式不等式的解法.9.《九章算术》中将底面为长方形,且有一条侧棱与底面垂直的四棱锥称之为“阳马”.现有一阳马,其正视图和侧视图是如图所示的直角三角形.若该阳马的顶点都在同一个球面上,则该球的体积为( )A B .C D .24π【答案】 C【解析】由阳马的定义和正视图和侧视图该几何体的直观图如图所示,其中1,2PA AD AB ===,以A 为原点,AB 为x 轴,AD 为y 轴,AP 为z 轴建立空间直角坐标系,则可设球心O 的坐标为11,,2x ⎛⎫⎪⎝⎭,点()0,0,1P , 由AO OP =得()221111144x x ++=++-,解得12x =,所以球的半径R =,所以体积为343V R π==.故选C. 考点:1、三视图;2、空间几何体的体积.10.执行如图所示的程序框图,若输出的结果为56,则判断框中的条件可以是( )A .7?n ≤B .7?n >C .6?n ≤D .6?n > 【答案】 D【解析】该程序框图的功能为求2462n S n =++++ ,所以()156n S n n =+=,所以7n =,所以则判断框中的条件可以是6?n >.故选D.考点:1、算法与程序框图;2、等差数列求和. 11.已知函数()()1ln 0,0e m f x n x m n x =-->≤≤在区间[]1,e 内有唯一零点,则21n m ++的取值范围为( ) A .2e 2e ,1e e 12+⎡⎤+⎢⎥++⎣⎦ B .2e ,1e 12⎡⎤+⎢⎥+⎣⎦ C .2,1e 1⎡⎤⎢⎥+⎣⎦ D .e 1,12⎡⎤+⎢⎥⎣⎦【答案】 A【解析】由题意知()f x 在区间[]1,e 上为减函数,所以()()10,e 0f f ≥⎧⎪⎨≤⎪⎩所以10,10e m m n -≥⎧⎪⎨--≤⎪⎩,所以1,e e 0,0e,m m n n ≥⎧⎪--≤⎨⎪≤≤⎩所表示的可行区域(如图)是四边形ABCD ,其中()1,0A ,()e,0B ,()2e e,e C +, ()1,e D ,21n m ++表示点(),m n 与点()1,2P -- 连线的斜率,又2e 2e e 1PC k +=++,e12PD k =+,所以2e 22e1e e 112n m ++≤≤++++.故选A.考点:1、函数的零点;2、线性规划.12.已知双曲线C :()222210,0x y a b a b-=>>右支上的一点P ,经过点P 的直线与双曲线C 的两条渐近线分别相交于,A B 两点,若点,A B 分别位于第一,四象限,O 为坐标原点,当12AP PB =时,AOB △的面积为2b ,则双曲线C 的实轴长为( )A .329B .169C .89D .49【答案】 A【解析】双曲线C 渐近线方程为b y x a =±,可设11,b A x x a ⎛⎫ ⎪⎝⎭,22,b B x x a ⎛⎫- ⎪⎝⎭,()120,0x x >>. 因为122112*********AOBb b b S x y x y x x x x x x b a a a=-=+==△,所以122x x a =, 因为12AP PB = ,所以点P 的坐标为()121222,33b x x x x a -⎛⎫+ ⎪⎝⎭,所以()()222121222222199x x b x x a a b +--=,化简得21289x x a =,所以2169a a =,所以169a =,所以双曲线C 的实轴长为329.故选A.考点:双曲线方程及其性质.第Ⅱ卷(非选择题,共90分)二、填空题:本大题共5小题,每小题5分,共25分.请将答案填在题后横线上. 13.已知132a =,2312b ⎛⎫=⎪⎝⎭,则()2log ab =.【答案】 13-【解析】因为2112133333122222ab --⎛⎫=⨯=⨯= ⎪⎝⎭,所以()13221log log 23ab -==-.考点:指数与对数的运算.14.如图是调查某学校高三年级男女学生是否喜欢篮球运动的等高条形图,阴影部分的高表示喜欢该项运动的频率.已知该年级男生女生各500名(假设所有学生都参加了调查),现从所有喜欢篮球运动的同学中按分层抽样的方式抽取32人,则抽取的男生人数为 .【答案】 24【解析】由条形图可得喜欢篮球运动的女生有100名,喜欢篮球运动的男生有300名,所以抽取的男生人数为332244⨯=人. 考点:1、统计图表;2、分层抽样.15.已知抛物线C :()220y px p =>的焦点为F ,准线l 与x 轴的交点为A ,P 是抛物线C 上的点,且PF x ⊥轴.若以AF 为直径的圆截直线AP 所得的弦长为2,则实数p 的值为 .【答案】 【解析】由题意可得,02p F ⎛⎫⎪⎝⎭,,02p A ⎛⎫- ⎪⎝⎭,,2p P P ⎛⎫± ⎪⎝⎭,所以AF PF p ==,所以AFP △是等腰直角三角形,所以AF 为直径的圆截直线AP 所得的弦长为22==,p =考点:抛物线的性质.16.已知数列{}n a 共16项,且181,4a a ==.记关于x 的函数()()32213n n n x f x a x a x =-+-,*n ∈N .若()1115n x a n +=≤≤是函数()n f x 的极值点,且曲线()8y f x =在点()()1616,a f a 处的切线的斜率为15,则满足条件的数列{}n a 的个数为 . 【答案】 1176【解析】由题意可得()()()()222111n n n n n f x x a x a x a x a '=-+-=-+--⎡⎤⎡⎤⎣⎦⎣⎦,所以11n n a a +=+或11n n a a +=-,所以11n n a a +-=.又()28815f x x x '=-+,所以2161681515a a -+=,所以160a =或168a =.①当160a =时,由()()()812132873a a a a a a a a -=-+-++-= ,得()*117,i i a a i i +-≤≤∈N 的值有2个为1-,5个为1;由()()()1689810916154a a a a a a a a -=-+-++-=- ,得()*1815,i i a a i i +-≤≤∈N 的值有个6为1-,2个为1,所以此时数列{}n a 的个数为2278588C C =. ①当168a =时,由()()()812132873a a a a a a a a -=-+-++-= ,得()*117,i i a a i i +-≤≤∈N 的值有2个为1-,5个为1;由()()()1689810916154a a a a a a a a -=-+-++-= ,得()*1815,i i a a i i +-≤≤∈N 的值有个2为1-,6个为1,所以此时数列{}n a 的个数为2278588C C =.综上,数列{}n a 的个数为222278781176C C C C +=. 考点:1、数列的概念;2、函数的极值;3、排列组合. 三、解答题:本大题共6小题,共75分.解答应写出文字说明、证明过程或演算步骤. 17.(本小题满分12分)已知函数()21cos cos 2222x x x f x =-+. (I )求函数()f x 的单调递减区间;(Ⅱ)若ABC △的内角,,A B C ,所对的边分别为,,a b c ,()12f A =,a =sin 2sin B C =,求c .【答案】(I )()252,233k k k ππ⎡⎤+π+π∈⎢⎥⎣⎦Z ;(Ⅱ)1c = 【解析】考点:1、三角函数的性质;2、正余弦定理.18.(本小题满分12分)近年来,共享单车已经悄然进入了广大市民的日常生活,并慢慢改变了人们的出行方式.为了更好地服务民众,某共享单车公司在其官方APP 中设置了用户评价反馈系统,以了解用户对车辆状况和优惠活动的评价.现从评价系统中选200条较为详细的评价信息进行统计,车辆状况和优惠活动评价的22⨯列联表如下:(I )能否在犯错误的概率不超过0.001的前提下认为优惠活动好评与车辆状况好评之间有关系?(Ⅱ)为了回馈用户,公司通过APP 向用户随机派送每张面额为0元,1元,2元的三种骑券.用户每次使用APP 扫码用车后,都可获得一张骑行券.用户骑行一次获得1元券,获得2元的概率分别是11,25,且各次获取骑行券的结果相互独立.若某用户一天使用了两次该公司的共享单车,记该用户当天获得的骑行券面额之和为X ,求随机变量X 的分布列和数学期望. 参考数据:参考公式:()()()()()22n ad bc a b c d a c b d K -=++++,其中n a b c d =+++.【答案】(I )在犯错误的概率不超过0.001的前提下,不能认为优惠活动好评与车辆状况好评之间有关系;(Ⅱ)1.8元 【解析】考点:1、独立性检验;2、独立事件概率公式;3、随机变量的分布列与数学期望. 19.(本小题满分12分)如图,D 是AC 的中点,四边形BDEF 是菱形,平面BDEF ⊥平面ABC ,60FBD ∠=,AB BC ⊥,AB BC ==(I )若点是线段BF 的中点,证明:BF ⊥平面AMC ; (Ⅱ)求平面AEF 与平面BCF 所成的锐二面角的余弦值.【解析】考点:1、空间直线与平面垂直关系;2、面面角的向量求法. 20.(本小题满分12分)已知椭圆C :()222210x y a b a b +=>>的左右焦点分别为12,F F ,左顶点为A 2B是椭圆上的动点,1ABF △的面积的最大值为212. (I )求椭圆C 的方程;(Ⅱ)设经过点1F 的直线l 与椭圆C 相交于不同的两点,M N ,线段MN 的中垂线为l '. 若直线l '与直线l 相交于点P ,与直线2x =相交于点Q ,求PQ MN的最小值.【答案】(I )2212x y +=;(Ⅱ)2 【解析】考点:1、椭圆的标准方程及其性质;2、直线与椭圆的位置关系;3、基本不等式. 21.(本小题满分12分)已知函数()ln 1f x x x ax =++,a ∈R .(I )当0x >时,若关于x 的不等式()0f x ≥恒成立,求a 的取值范围; (Ⅱ)当*n ∈N 时,证明:22231ln 2ln ln 2421n n nn n n +<+++<++ .【答案】(I )[)1,-+∞;(Ⅱ)详见解析. 【解析】考点:1、利用导数研究函数的单调性;2、不等式恒成立问题;3、导数与不等式的证明;4、放缩法.请考生在第22、23题中任选一题作答,如果多做,则按所做的第一题计分.作答时,用2B 铅笔在答题卡上把所选题目对应的标号涂黑. 22.(本小题满分10分)选修4-4:极坐标与参数方程在平面直角坐标系xOy 中,曲线C 的参数方程为2sin x y αα⎧=⎪⎨=⎪⎩,其中α为参数,()0,απ.在以坐标原点O 为极点,x 轴的正半轴为极轴的极坐标系中,点P 的极坐标为4π⎛⎫⎪⎝⎭,直线l 的极坐标方程为sin 04ρθπ⎛⎫-+= ⎪⎝⎭. (I )求直线l 的直角坐标方程与曲线C 的普通方程;(Ⅱ)若Q 是曲线C 上的动点,M 为线段PQ 的中点,求点M 到直线l 的距离的最大值.【答案】(I )100x y --=,()2210124x y y +=>;(Ⅱ)【解析】考点:极坐标与参数方程. 23.(本小题满分10分)选修4-5:不等式选讲已知函数()211f x x x =++-. (Ⅰ)解不等式()3f x ≥;(Ⅱ)记函数()f x 的最小值为m .若,,a b c 均为正实数,且122a b c m ++=,求222a b c ++的最小值.【答案】(I )(][),11,-∞-+∞ ;(Ⅱ)37【解析】考点:1、绝对值不等式解法;2、柯西不等式.。
成都2018届二诊模拟考试数学试卷二(理科)一、选择题:本大题共12个小题,每小题5分,共60分.在每小题给出的四个选项中,只有一项是符合题目要求的.1.设集合,,则( )A .B .C .D . 2.若复数(),,且为纯虚数,则在复平面内所对应的点位于( )A .第一象限B .第二象限C .第三象限D .第四象限 3.在等比数列中,已知,,则( ) A .12 B .18 C .24 D .364.已知平面向量,夹角为,且,,则与的夹角是( )A .B .C .D .5.若曲线(为常数)不存在斜率为负数的切线,则实数的取值范围是( ) A .B .C .D .6.若实数满足不等式,且的最大值为5,则实数的值为( )A .0B .-1C .-2D .-57.已知是空间中两条不同的直线,是两个不同的平面,且,有下列命题:①若,则;②若,则;③若,且,,则;④若,且,,则,其中真命题的个数是( ) A .0 B .1 C .2 D .3[1,2]A =-2{,}B y x x A =∈A B = [1,4][1,2][1,0]-[0,2]1z a i =+a R ∈21z i =-12z z 1z {}n a 36a =35778a a a ++=5a =a b 3π1a = 12b = 2a b + b 6π56π4π34π2ln y x ax =+a a 1(,)2-+∞1[,)2-+∞(0,)+∞[0,)+∞,x y 22010x y x y y m ++≥⎧⎪+-≤⎨⎪≥⎩x y -m ,m n ,αβ,m n αβ⊂⊂//αβ//m n //αβ//m βl αβ= m l ⊥n l ⊥αβ⊥l αβ= m l ⊥m n ⊥αβ⊥8.已知函数()的反函数的图象经过点,若函数的定义域为,当时,有,且函数为偶函数,则下列结论正确的是( )A .B .C .D .9.执行如图所示的程序框图,若输入的分别为1,2,0.3,则输出的结果为( )A .1.125B .1.25C .1.3125D .1.37510.已知函数()在上单调递减,则的取值范围是( ) A .B .C .D .()x f x a =0,1a a >≠1)2()g x R [2,2]x ∈-()()g x f x =(2)g x+()(3)g g g π<<()(3)g g g π<<(3)()g g g π<<()(3)g g g π<<,,a bc ()sin(2)2sin cos()f x x x ωϕϕωϕ=+-+0,R ωϕ>∈3(,)2ππω(0,2]1(0,]21[,1]215[,]2411.设双曲线()的左右焦点分别为,以为直径的圆与双曲线左支的一个交点为,若以(为坐标原点)为直径的圆与相切,则双曲线的离心率为( ) ABC12.把平面图形上的所有点在一个平面上的射影构成的图形叫做图形在这个平面上的射影,如图,在三棱锥中,,,,,,将围成三棱锥的四个三角形的面积从小到大依次记为,设面积为的三角形所在的平面为,则面积为的三角形在平面上的射影的面积是( )A .B .C .10D .30二、填空题(每题5分,满分20分,将答案填在答题纸上)13. 在边长为1的正三角形中,设,则. 14.设实数满足,则的最小值为.15. 已知一个多面体的三视图如图所示:其中正视图与侧视图都是边长为1的等腰直角三角形,俯视图是边长为1的正方形,若该多面体的顶点都在同一个球面上,则该球的表面积为.2222:1x y C a b-=0,0a b >>12,F F 12,F F P 1OF O 2PF C M 'M M A BCD -BD CD ⊥AB DB ⊥AC DC ⊥5AB DB ==4CD =1234,,,S S S S 2S α4S α252ABC 2 3BC BD CA CE == ,AD BE ⋅=x y ,70310350x y x y x y +-≤⎧⎪-+≤⎨⎪--≥⎩2z x y =-16. 设是函数的导数,是函数的导数,若方程有实数解,则称点为函数的拐点,某同学经过探究发现:任何一个三次函数都有拐点,任何一个三次函数都有对称中心,且拐点就是对称中心,设函数,利用上述探究结果 计算:.三.解答题(17-21每小题12分, 22或23题10分,共70分.在答题卷上解答,解答应写出文字说明,证明过程或演算步骤.)17.(12分)设各项均为正数的数列{a n }和{b n }满足:对任意n ∈N *,a n ,b n ,a n +1成等差数列,b n ,a n +1,b n +1成等比数列,且a 1=1,b 1=2,a 2=3. (Ⅰ)证明数列{}是等差数列; (Ⅱ)求数列{}前n 项的和.18.(12分)某校的学生记者团由理科组和文科组构成,具体数据如下表所示:()'f x ()f x ()''f x ()'f x ()''0f x =0x ()()00 x f x ,()f x ()()320f x ax bx cx d a =+++≠()32342g x x x x =-++1231910101010g g g g ⎛⎫⎛⎫⎛⎫⎛⎫++++= ⎪ ⎪ ⎪ ⎪⎝⎭⎝⎭⎝⎭⎝⎭…学校准备从中选出4人到社区举行的大型公益活动进行采访,每选出一名男生,给其所在小组记1分,每选出一名女生则给其所在小组记2分,若要求被选出的4人中理科组、文科组的学生都有. (Ⅰ)求理科组恰好记4分的概率?(Ⅱ)设文科男生被选出的人数为ξ,求随机变量ξ的分布列和数学期望Eξ.19.已知等边△//AB CBCD中,1,BD CD BC ==1所示),现将B 与/B ,C 与/C 重合,将△//AB C向上折起,使得AD =2所示). (1)若BC 的中点O ,求证:⊥平面BCD 平面AOD ; (2)在线段AC 上是否存在一点E ,使E D B C D 与面成30 角,若存在,求出CE 的长度,若不存在,请说明理由;(3)求三棱锥A BCD -的外接球的表面积.20.已知圆222:2,E x y +=将圆2E按伸缩变换://2x x y y ⎧=⎪⎨=⎪⎩后得到曲线1E , (1)求1E 的方程;(2)过直线2x =上的点M 作圆的两条切线,设切点分别是A ,B ,若直线AB 与交于2E 1E BACDC ,D两点,求的取值范围.21.已知函数()sin ln sin g x x x θθ=--在[1,)+∞单调递增,其中(0,)θπ∈ (1)求θ的值; (2)若221()()x f x g x x-=+,当[1,2]x ∈时,试比较()f x 与/1()2f x +的大小关系(其中/()f x 是()f x 的导函数),请写出详细的推理过程;(3)当0x ≥时,1(1)x e x kg x --≥+恒成立,求k 的取值范围.请考生在第22、23题中任选一题作答,如果多做,则按所做的第一题计分. 22.选修4-4:坐标系与参数方程在直角坐标系中,以原点为极点,x 轴的正半轴为极轴建立极坐标系,已知曲线C :2sin 2cos (0)a a ρθθ=>,又过点(2,4)P --的直线l 的参数方程为224x y ⎧=-+⎪⎪⎨⎪=-⎪⎩(t 为参数),l 与曲线C 分别交于M ,N.(1)写出曲线C 的平面直角坐标系方程和l 的普通方程; (2)若,,PM MN PN 成等比数列,求a 的值.23.选修4-5:不等式选讲CDAB设函数()f x =1(0)x x a a a++->(1)证明:()2f x ≥;(2)若()35f <,求a 的取值范围.成都2018届二诊模拟考试数学试卷(理科参考答案)一、选择题1-5:DABAD 6-10:CBCDC 11、12:DA13. 在边长为1的正三角形中,设,则.【答案】考点:向量线性运算与数量积的几何运算.14. 设实数满足,则的最小值为.【答案】 【解析】ABC 2 3BC BD CA CE == ,AD BE ⋅=14-x y ,70310350x y x y x y +-≤⎧⎪-+≤⎨⎪--≥⎩2z x y =-8试题分析:作出不等式组表示的平面区域如图:根据图形得:当直线经过点时取得最大值, 由解得:,∴.考点:线性规划.15. 已知一个多面体的三视图如图所示:其中正视图与侧视图都是边长为1的等腰直角三角形,俯视图是边长为1的正方形,若该多面体的顶点都在同一个球面上,则该球的表面积为.【答案】考点:三视图.【名师点睛】本题考查三视图,属基础题;解三视图相减问题的关键在于根据三视图还原几何体,要掌握常见几何体的三视图,比如三棱柱、三棱锥、圆锥、四棱柱、四棱锥、圆锥、球、圆台以及其组合体,并且要弄明白几何体的尺寸跟三视图尺寸的关系;有时候还可以利70310350x y x y x y +-≤⎧⎪-+≤⎨⎪--≥⎩2z x y =-B z 70310x y x y +-=⎧⎨-+=⎩()5 2B ,max 5228z =⨯-=3π用外部补形法,将几何体补成长方体或者正方体等常见几何体16. 设是函数的导数,是函数的导数,若方程有实数解,则称点为函数的拐点,某同学经过探究发现:任何一个三次函数都有拐点,任何一个三次函数都有对称中心,且拐点就是对称中心,设函数,利用上述探究结果 计算:.【答案】考点:1.新定义问题;2.导数的运算;3.函数的对称性.【名师点睛】本题考查新定义问题、导数的运算、函数的对称性,属难题;解决新定义问题首先要对新概念迅速理解,并学以致用,本题注意经过两次求导得到的零点为函数的拐点,也是函数的对称中心,再就是对函数中心对称的性质在掌握,即若函数关于点成中心对称,则三、解答题17.(12分)设各项均为正数的数列{a n }和{b n }满足:对任意n ∈N *,a n ,b n ,a n +1成等差数列,b n ,a n +1,b n +1成等比数列,且a 1=1,b 1=2,a 2=3. (Ⅰ)证明数列{}是等差数列; (Ⅱ)求数列{}前n 项的和.【考点】数列的求和.【分析】(I )对任意n ∈N *,a n ,b n ,a n +1成等差数列,b n ,a n +1,b n +1成等比数()'f x ()f x ()''f x ()'f x ()''0f x =0x ()()00 x f x ,()f x ()()320f x ax bx cx d a =+++≠()32342g x x x x =-++1231910101010g g g g ⎛⎫⎛⎫⎛⎫⎛⎫++++= ⎪ ⎪ ⎪ ⎪⎝⎭⎝⎭⎝⎭⎝⎭…76()f x (,)a b (2)()2f a x f x b -+=列,可得2b n=a n+a n+1,=b n•b n+1,a n>0,a n+1=,代入即可证明.(II)a1=1,b1=2,a2=3.由(I)可得:32=2b2,解得:b2.公差=.可得=×.b n代入=b n•b n+1,a n+1>0.可得a n+1=,可得=.即可得出.【解答】(I)证明:∵对任意n∈N*,a n,b n,a n+1成等差数列,b n,a n+1,b n+1成等比数列,∴2b n=a n+a n+1,=b n•b n+1,a n>0,∴a n+1=,∴2b n=+,∴=+.∴数列{}是等差数列.(II)解:a1=1,b1=2,a2=3.由(I)可得:32=2b2,解得:b2=.∴公差d===.=+(n﹣1)=×.∴b n=.∴=b n•b n+1=,a n+1>0.∴a n+1=,∴n≥2时,a n=.n=1时也成立.∴a n=.n∈N*.∴=.∴数列{}前n项的和=+…+=2=.【点评】本题考查了数列递推关系、等差数列与等比数列的定义通项公式、“裂项求和”方法,考查了推理能力与计算能力,属于中档题.18.(12分)某校的学生记者团由理科组和文科组构成,具体数据如下表所示:学校准备从中选出4人到社区举行的大型公益活动进行采访,每选出一名男生,给其所在小组记1分,每选出一名女生则给其所在小组记2分,若要求被选出的4人中理科组、文科组的学生都有.(Ⅰ)求理科组恰好记4分的概率?(Ⅱ)设文科男生被选出的人数为ξ,求随机变量ξ的分布列和数学期望Eξ.【考点】离散型随机变量的期望与方差;离散型随机变量及其分布列.【分析】(I)要求被选出的4人中理科组、文科组的学生都有共有:.其中“理科组恰好记4分”的选法有两种情况:从理科组中选取2男1女,再从文科组中任选1人,可有方法;另一种是从理科组中选取2女,再从文科组中任选2人,可有方法.根据互斥事件的概率计算公式与古典概型的概率计算公式即可得出.(II)由题意可得ξ=0,1,2,3.P(ξ=0)==,P(ξ=1)==,P(ξ=2)==,P(ξ=4)==,即可得出分布列与数学期望.【解答】解:(I)要求被选出的4人中理科组、文科组的学生都有共有:=424.其中“理科组恰好记4分”的选法有两种情况:从理科组中选取2男1女,再从文科组中任选1人,可有方法;另一种是从理科组中选取2女,再从文科组中任选2人,可有方法.∴P==.(II )由题意可得ξ=0,1,2,3.P (ξ=0)==,P (ξ=1)==,P (ξ=2)==,P (ξ=4)==,由题意可得ξ=0,1,2,3.其分布列为:)ξ的数学期望Eξ=++=.【点评】本题考查了互斥事件的概率计算公式与古典概型的概率计算公式、随机变量的分布列与数学期望,考查了推理能力与计算能力,属于中档题.19. 解:(1)∵△ABC 为等边三角形,△BCD 为等腰三角形,且O 为中点 ∴,BC AO BC DO ⊥⊥,AO DO O ⋂= ,BC AOD ∴⊥平面,又BC ABC ⊂面∴⊥平面BCD 平面AOD ………………3分(2)(法1)作,AH DO ⊥交DO 的延长线于H ,则平面BCD ⋂平面,AOD HD =则AH BCD ⊥平面,在Rt BCD ∆中,12OD BC ==, 在Rt ACO ∆中,AO AC ==AOD ∆中, 222cos 23AD OD AO ADO AD OD +-∠==⋅, DABCOEF Hsin 3ADO ∴∠=,在Rt ADH ∆中sin 1AH AD ADO =∠=,设(0CE x x =≤≤,作EF CH F ⊥于,平面AHC ⊥平面B C D ,,EF BCD EDF ∴⊥∠平面就是E D B C D与面所成的角。
四川省成都市2018届高三第二次诊断性检测数学试题(理)第Ⅰ卷一、选择题1. 设集合,,则()A. B. C. D.2. 已知向量,,.若,则实数的值为()A. B. C. D.3. 若复数满足,则等于()A. B. C. D.4. 设等差数列的前项和为.若,,则()A. B. C. D.5. 已知,是空间中两条不同的直线,,为空间中两个互相垂直的平面,则下列命题正确的是()A. 若,则B. 若,,则C. 若,,则D. 若,,则6. 若的展开式中含项的系数为,则实数的值为()A. B. C. D.7. 已知函数的部分图象如图所示.现将函数图象上的所有点向右平移个单位长度得到函数的图象,则函数的解析式为()A. B.C. D.8. 若为实数,则“”是“”成立的()A. 充分不必要条件B. 必要不充分条件C. 充要条件D. 既不充分也不必要条件9. 《九章算术》中将底面为长方形,且有一条侧棱与底面垂直的四棱锥称之为“阳马”.现有一阳马,其正视图和侧视图是如图所示的直角三角形.若该阳马的顶点都在同一个球面上,则该球的体积为()A. B. C. D.10. 执行如图所示的程序框图,若输出的结果为,则判断框中的条件可以是()A. B. C. D.11. 已知函数在区间内有唯一零点,则的取值范围为()A. B.C. D.12. 已知双曲线:右支上的一点,经过点的直线与双曲线的两条渐近线分别相交于,两点.若点,分别位于第一,四象限,为坐标原点.当时,的面积为,则双曲线的实轴长为()A. B. C. D.第Ⅱ卷二、填空题13. 已知,,则__________.14. 如图是调查某学校高三年级男女学生是否喜欢篮球运动的等高条形图,阴影部分的高表示喜欢该项运动的频率.已知该年级男生女生各名(假设所有学生都参加了调查),现从所有喜欢篮球运动的同学中按分层抽样的方式抽取人,则抽取的男生人数为__________.15. 已知抛物线:的焦点为,准线与轴的交点为,是抛物线上的点,且轴.若以为直径的圆截直线所得的弦长为,则实数的值为__________.16. 已知数列共项,且,.记关于的函数,.若是函数的极值点,且曲线在点处的切线的斜率为.则满足条件的数列的个数为__________.三、解答题17. 已知函数.(1)求函数的单调递减区间;(2)若的内角,,所对的边分别为,,,,,,求.18. 近年来,共享单车已经悄然进入了广大市民的日常生活,并慢慢改变了人们的出行方式.为了更好地服务民众,某共享单车公司在其官方中设置了用户评价反馈系统,以了解用户对车辆状况和优惠活动的评价.现从评价系统中选出条较为详细的评价信息进行统计,车辆状况的优惠活动评价的列联表如下:(1)能否在犯错误的概率不超过的前提下认为优惠活动好评与车辆状况好评之间有关系?(2)为了回馈用户,公司通过向用户随机派送每张面额为元,元,元的三种骑行券.用户每次使用扫码用车后,都可获得一张骑行券.用户骑行一次获得元券,获得元券的概率分别是,,且各次获取骑行券的结果相互独立.若某用户一天使用了两次该公司的共享单车,记该用户当天获得的骑行券面额之和为,求随机变量的分布列和数学期望.参考数据:参考公式:,其中.19. 如图,是的中点,四边形是菱形,平面平面,,,.(1)若点是线段的中点,证明:平面;(2)求平面与平面所成的锐二面角的余弦值.20. 已知椭圆:的左右焦点分别为,,左顶点为,离心率为,点是椭圆上的动点,的面积的最大值为.(1)求椭圆的方程;(2)设经过点的直线与椭圆相交于不同的两点,,线段的中垂线为.若直线与直线相交于点,与直线相交于点,求的最小值.21. 已知函数,.(1)当时,若关于的不等式恒成立,求的取值范围;(2)当时,证明:.请考生在22、23题中任选一题作答,如果多做,则按所做的第一题计分.22. 选修4-4:极坐标与参数方程在平面直角坐标系中,曲线的参数方程为,其中为参数,.在以坐标原点为极点,轴的正半轴为极轴的极坐标系中,点的极坐标为,直线的极坐标方程为.(1)求直线的直角坐标方程与曲线的普通方程;(2)若是曲线上的动点,为线段的中点.求点到直线的距离的最大值.23. 选修4-5:不等式选讲已知函数.(1)解不等式;(2)记函数的最小值为,若,,均为正实数,且,求的最小值.【参考答案】第Ⅰ卷一、选择题1. 【答案】D【解析】故选D.2. 【答案】B【解析】由题,故选B.3. 【答案】A【解析】故选A.4. 【答案】D【解析】又.可得,则故选D.5. 【答案】C【解析】由题设,则A. 若,则,错误;B. 若,,则错误;D. 若,,当时不能得到,错误.故选C.6. 【答案】B【解析】二项式的展开式的通项为令,解得,,解得故选B.7.【答案】D【解析】由题意可知的振幅,周期则,由,,解得:,将函数图象上的所有点向右平移个单位长度得到函数的图象,则故选D.8. 【答案】B【解析】解不等式可得,是的真子集,故“”是“”成立的必要不充分条件.故选B.9. 【答案】C【解析】如图所示,该几何体为四棱锥.底面为矩形,其中底面.则该阳马的外接球的直径为∴该阳马的外接球的体积=故选C.10. 【答案】D【解析】当时,当时,;当时,;当时,;当时,;当时,,当时.此时有,算法结束,所以判断框中的条件应填,这样才能保证进行7次求和.故选D.11. 已知函数在区间内有唯一零点,则的取值范围为()A. B.C. D.【答案】A【解析】由题意在区间内有唯一实数解令,解得,∴函数在区间[1,e]上单调递增,则,则的取值范围为. 故选A.12. 【答案】A【解析】可设的面积为,由题意可得,解得由,可得即为代入双曲线的方程,可得解得故选A.第Ⅱ卷二、填空题13.【答案】【解析】由题即答案为.14. 【答案】24【解析】由等高条形图可知,500名女同学中喜欢篮球运动的频率为,即女同学中喜欢篮球运动的由100人,500名男同学中喜欢篮球运动的频率为,即男同学中喜欢篮球运动的由300人.故从所有喜欢篮球运动的同学中按分层抽样的方式抽取人,则抽取的男生人数为即答案为24人.15.【答案】【解析】由题,直线圆心到直线的距离为由题意以为直径的圆截直线所得的弦长为,则即答案为,16.【答案】1176【解析】由题,,是函数的极值点,即又故这七项中必有2项取1,5项取-1,,即中方法,又曲线在点处的切线的斜率为.,即或,(或-4),故这八项中必有2项取-1,6项取1,(这八项中必有6项取-1,2项取1),故满足条件的数列共有(或中方法,所以方法总数为个即答案为1176.三、解答题17.解:(1).由,,得,.∴函数的单调递减区间为,.(2)∵,,∴.∵,∴由正弦定理,得.又由余弦定理,,得.解得.18.解:(1)由列联表的数据,有.因此,在犯错误的概率不超过的前提下,不能认为优惠活动好评与车辆状况好评有关系.(2)由题意,可知一次骑行用户获得元的概率为.的所有可能取值分别为,,,,.∵,,,,,∴的分布列为:的数学期望为(元).19. (1)证明:连接,∵四边形为菱形,且,∴为等边三角形.∵为的中点,∴.∵,,又是的中点,∴.∵平面平面,平面平面,平面,∴平面.又平面,∴.由,,,∴平面.(2)解:设线段的中点为,连接.易证平面.以为坐标原点,,,所在直线分别为轴,轴,轴建立如图所示的空间直角坐标系.则,,,,.∴,,,.设平面,平面的法向量分别为,.由.解得.取,∴.又由解得.取,∴.∵.∴平面与平面所成的锐二面角的余弦值为.20.解:(1)由已知,有,即.∵,∴.设点的纵坐标为.则,即.∴,.∴椭圆的方程为.(2)由题意知直线的斜率不为,故设直线:. 设,,,.联立,消去,得.此时.∴,.由弦长公式,得.整理,得.又,∴.∴.∴,当且仅当,即时等号成立.∴当,即直线的斜率为时,取得最小值.21.解:(1)由,得.整理,得恒成立,即.令.则.∴函数在上单调递减,在上单调递增.∴函数的最小值为.∴,即.∴的取值范围是.(2)∵为数列的前项和,为数列的前项和. ∴只需证明即可.由(1),当时,有,即.令,即得.∴.现证明,即.现证明.构造函数,则.∴函数在上是增函数,即.∴当时,有,即成立.令,则式成立.综上,得.对数列,,分别求前项和,得.22.解:(1)∵直线的极坐标方程为,即. 由,,可得直线的直角坐标方程为.将曲线的参数方程消去参数,得曲线的普通方程为. (2)设.点的极坐标化为直角坐标为.则.∴点到直线的距离.当,即时,等号成立.∴点到直线的距离的最大值为.23.解:(1).∴等价于或或.解得或.∴原不等式的解集为.(2)由(1),可知当时,取最小值,即. ∴.由柯西不等式,有. ∴.当且仅当,即,,时,等号成立.∴的最小值为.。
成都七中高2018届二诊模拟考试数学(理)试卷满分:150分 考试时间:120分钟第I 卷(选择题,共60分)一. 选择题(本大题共12小题,每小题5分,共60分. 在每小题给出的四个选项中,只有一项是符合题目要求的) 1. 设集合(){}03|≤-=x x x S ,⎭⎬⎫⎩⎨⎧<=-1)21(|1x x T ,则=T S ( ) A. [)+∞,0 B. (]3,1 C. [)+∞,3 D. (]()+∞∞-,10, 2. 已知复数z 为纯虚数,且11=-iz,则z = ( ) A. i 2± B. i 2± C. i 2 D. i3. 若向量)23,21(=,)1,3(=,则ABC Δ的面积为( ) A.21B. 23C. 1D.318. (本题满分12分)随着移动互联网的快速发展,基于互联网的共享单车应运而生.某市场研究人员为了了解共享单车运营公司M的经营状况,对该公司最近六个月内的市场占有率进行了统计,并绘制了相应的折线图:(1) 由折线图可以看出,可用线性回归模型拟合月度市场占有率y与月份代码x之间的关系.求y关于x的线性回归方程,并预测M公司2017年4月的市场占有率;(2) 为进一步扩大市场,公司拟再采购一批单车.现有采购成本分别为1000元/辆和1200元/辆的A、B两款车型可供选择,按规定每辆单车最多使用4年,但由于多种原因(如骑行频率等)会导致单车使用寿命各不相同.考虑到公司运营的经济效益,该公司决定先对这两款车型的单车各100辆进行科学模拟测试,得到两款单车使用寿命的频数表如下:500元.不考虑除采购成本之外的其他成本,假设每辆单车的使用寿命都是整数年,且以频率作为每辆单车使用寿命的概率.如果你是M 公司的负责人,以每辆单车产生利润的期望值为决策依据,你会选择采购哪款车型?参考公式:回归直线方程为a x b yˆˆˆ+=,其中 = x b y aˆˆ-=.19. (本题满分12分)如图,四棱锥ABCD P -中,侧棱P A 垂直于底面ABCD , AB=AC=AD=3,2AM =MD ,N 为PB 的中点,AD 平行于BC ,MN 平行于面PCD ,PA =2. (1) 求BC 的长;(2) 求二面角N -PM -D 的余弦值. 20. (本题满分12分)已知椭圆C :1222=+y x 的左右顶点分别为A 、B ,P 为椭圆C 上不同于A 、B 的任意一点. (1) 求APB ∠的正切的最大值并说明理由;(2) 设F 为椭圆C 的右焦点,直线PF 与椭圆C 的另一交点为Q ,PQ 的中点为M ,若QM OM =,求直线PF 的斜率.21. (本题满分12分) 已知函数()()ax ax x f +++=21ln . (1) 讨论函数()x f 的单调性;(2) 若函数()x f 存在两个极值点x 1,x 2且满足f (x 1)+f (x 2)>4,求a 的取值范围.请考生在第22、23题中任选一题作答,如果多做,则按所做的第一个题目计分. 请考生用2B 铅笔将答题卡上所做题目的题号涂黑.22. (本题满分10分)在直角坐标系xOy 中,抛物线C 的方程为x y 42=.(1) 以坐标原点为极点,x 轴正半轴为极轴建立极坐标系,求C 的极坐标方程;(2) 直线l 的参数方程是 αt y αt x s in c o s 2=+=(t 为参数),l 与C 交于A ,B 两点,64||=AB ,求l 的倾斜角.23. (本题满分10分)已知函数f (x )=m -|x -1|,m ∈R .(1) 当1-=m 时,求不等式()3-≥x f 的解集; (2) 若f (x +2)+ f (x -2)≥0的解集为[-2,4],求m 的值.成都七中高2018届数学二诊模拟考试理科答案一、选择题1-5 DBAC B 6-10 BCAAD 11-12 CB12.【解答】解:设M 、N 两点的横坐标分别为x 1、x 2 , ∵f′(x )=1﹣ ,∴切线PM 的方程为:y ﹣(x 1+)=(1﹣)(x ﹣x 1),又∵切线PM 过点P (1,0),∴有0﹣(x 1+ )=(1﹣)(1﹣x 1),即x 12+2tx 1﹣t=0,(1)同理,由切线PN 也过点P (1,0),得x 22+2tx 2﹣t=0.(2) 由(1)、(2),可得x 1 , x 2是方程x 2+2tx ﹣t=0的两根,∴x 1+x 2=﹣2t ,x 1x 2=﹣t (*)|MN|==,把(*)式代入,得|MN|=,因此,函数g (t )的表达式为g (t )= ,t >0,知g (t )在区间[1,nn 16+]为增函数,∴g (1)≤g (a i )≤g (n n 16+)(i=1,2,m+1),则mg (1)≤g (a 1)+g (a 2)+…+g (a m )≤g (nn 16+). 依题意,不等式mg (1)<g (nn 16+)对一切的正整数n 恒成立, 即m2<⎪⎭⎫ ⎝⎛++⎪⎭⎫ ⎝⎛+n n n n 16162,对一切的正整数n 恒成立.∵n n 16+≥8(当且仅当4=n 时取等),∴⎪⎭⎫ ⎝⎛++⎪⎭⎫ ⎝⎛+n n n n 1616272882=+≥,∴m <6.由于m 为正整数,∴m≤5.又当m=5时,存在a 1=a 2═a m =1,a m+1=8,对所有的n 满足条件. 因此,m 的最大值为5.二、填空题13.21 14. 25± 15. )613,65(ππ 16.16.【解答】解:椭圆的长半轴为a ,短半轴为b ,现构造两个底面半径为b ,高为a 的圆柱,然后在圆柱内挖去一个以圆柱下底面圆心为顶点,圆柱上底面为底面的圆锥,根据祖暅原理得出椭球的体积 V=2(V圆柱﹣V 圆锥)=.三、解答题17. 解:(1) 11+=+n n S λa ,11+=-n n S λa 两式相减得n n a λa )1(1+=+…….2分于是公比1+=λq …………………………………………………………….3分 所以112)1(1a λa λa +=+=…………………………………………………..5分11=a ……………………………………………………………………………6分(2) 5=q ,n n a a 51=+,15-=n n a ……………………………………………7分)511(45511)511(151511111121n n n n a a a -=--=+++=+++- ……….......10分 所以m 的最小值为45……………………………………………………………12分18.解:(Ⅰ)由题意,=3.5,=16,,=17.5.= =2,= ﹣• =16﹣2×3.5=9, ∴=2x+9…………4分x=7时,=2×7+9=23,即预测M 公司2017年4月份(即x=7时)的市场占有率为23%...............6分(Ⅱ)由频率估计概率,每辆A 款车可使用1年,2年,3年、4年的概率分别为0.2,0.35,0.35,0.1, ∴每辆A 款车的利润数学期望为(500﹣1000)×0.2+(1000﹣1000)×0.35+(1500﹣1000)×0.35+(2000﹣1000)×0.1=175元……………………………………………..8分每辆B 款车可使用1年,2年,3年、4年的概率分别为0.1,0.3,0.4,0.2, ∴每辆B 款车的利润数学期望为(500﹣1200)×0.1+(1000﹣1200)×0.3+(1500﹣1200)×0.4+(2000﹣1200)×0.2=150元…………………………………………………….10分∵175>150,∴应该采购A 款车.……………………………………………………………12分19. 解:(1) 取PC 的中点E ,连接EN 、ED ,因为EN 平行于BC ,AD 平行于BC ,所以EN 平行于MD 所以M 、N 、E 、D 四点公面……………………….2分因为MN 平行于面PCD ,面PCD 与面MNED 交与ED ,所以MN 平行于ED 所以MNED 为平行四边形……………………….4分所以EN=MD=2,BC=2EN=4……………………….6分(2) 去BC 中点F ,则AF 垂直于BC ,因为AD 平行于BC ,所以AF 垂直于AD 于是以A 为原点,AF 为x 轴,AD 为y 轴,AP 为z 轴建立坐标系…………….8分 由AF 垂直于AD ,AF 垂直于AP 知面PMD 法向量为(1,0,0)…………….9分 通过计算得面PMN 的法向量为)1,2,56(…………….11分 经判断知二面角为钝角,于是其余弦为616-…………….12分20. 解:⑴()()2000±≠x y x P ,设椭圆上的点,则122020=+y x21220000-=-⋅+=⋅∴x y x y k k BP AP ………………2分()()()()()()2222tan tan 2tan tan 2tan tan 1tan tan tan tan tan tan ,tan -=+∴-≤-+-=-=⋅+-=-=---=∠==时,最大值为当且仅当,则,的倾斜角分别为,设直线πβαβααββααβαββπαπβαβαAPB k k BP AP BP AP ……………………..…….6分⑵由题可知:斜率一定存在且0≠k ,设过焦点F 的直线方程为1+=my x ,()()()02211,,,,,y x M y x B y x A()()⎪⎪⎩⎪⎪⎨⎧+-=+=∴⎪⎪⎪⎩⎪⎪⎪⎨⎧+=∆+-=+-=+∴=-++⎪⎩⎪⎨⎧+==+2221821220122112202022212212222m my m x m m y y m m y y my y m my x y x ,则联立 2422++=∴m m OM ……………………………………………………………………………………….8分()()21222122212212122021++=⎪⎭⎫⎝⎛⋅-=+-==m m x x x e a PQ QM 而………………..……10分 QM OM = 222121224222222±=∴=∴=∴++=++∴k k m m m m m ……………….……12分21. 解:(1)定义域为}1|{a x x x -≠->且,当2≥a 或0≤a 时,0)('≥x f 恒成立当20<<a 时,由0)('>x f 得()()a a x a a x ->--<22或………………..1分 于是结合函数定义域的分析可得:当a ≥2时,函数f (x )在定义域(-1,+∞)上是增函数;…………………………….2分 当1<a <2时,函数f (x )定义域为(-1,+∞),此时有()a a --<-21于是f (x )在()()a a ---2,1上是增函数,在()()()a a a a ---2,2上是减函数,在()()+∞-,2a a 上是增函数…………………………………………………………….3分 当a =1时,函数f (x )定义域为(-1,+∞)于是f (x )在(-1,1)为减函数,在(1,+∞)为增函数………………………………..4分当10<<a 时,函数f (x )定义域为()()+∞---,,1a a ,此时有()a a a -<--<-21,于是f (x )在()()a a ---2,1上是增函数,在()),2(a a a ---上是减函数,在())2,(a a a --是减函数,在()()+∞-,2a a 上是增函数……………………….5分当0≤a 时,函数f (x )定义域为()()+∞---,,1a a ,于是f (x )在()a --,1上是增函数,在()+∞-,a 上是增函数............................6分 (2) 由(1)知f (x )存在两个极值点时,a 的取值范围是(0,1)∪(1,2)... (7)分由(1)可知, ,f (x 1)+f (x 2)=ln (1+x 1)++ln (1+x 2)+ =ln (1+x 1+x 2+x 1•x 2)+=ln[(a﹣1)2]+ =ln[(a ﹣1)2]+ +2;不等式f (x 1)+f (x 2)>4化为 …………………………..9分令a ﹣1=t (a ∈(0,1)∪(1,2)),所以t ∈(﹣1,0)∪(0,1),令 ,t ∈(﹣1,0)∪(0,1).当t∈(﹣1,0)时, , ,所以g (t )<0,不合题意;当t∈(0,1)时, , ,所以g (t)在(0,1)是减函数,所以 ,适合题意,即a ∈(1,2).综上,若f (x 1)+f (x 2)>4,此时正数a 的取值范围是(1,2).……………………..12分22. 解:⑴0cos 4sin 4,sin cos 22=-∴=⎩⎨⎧==θθρθρθρx y y x 代入 ………………4分⑵不妨设点A 、B 对应的参数分别是21,t t把直线l 的参数方程代入抛物线方程得:08cos 4sin 22=-⋅-t tαα,⎪⎪⎪⎩⎪⎪⎪⎨⎧>+=∆-==+∴0sin 1616sin 8sin cos 42221221ααααt t t t ,则64sin sin 16162221=+=-=ααt t AB 43422sin ππαα或=∴=∴……………10分23. 解:⑴()21311≤-∴-≥---=x x x f []3,1-∈∴x ……………4分⑵[]4,2031-≥--++-的解集为x m x m[]4,231,2231,43,2231231时,解集为当而=∴⎪⎩⎪⎨⎧-≤-<<-≥-=-++≤-++∴m x x x x x x x mx x ……………………….…10分。
成都市2015级高中毕业班第二次诊断性检测数学(理科)第I 卷(选择题,共60 分)、选择题:本大题共12个小题,每小题5分,共60分.在每小题给出的四个选项中, 只有一项是符合题目要求的. 1.设集合 P ={x| x —1 £1} , Q ={x| —1 CX<2},则 P"Q=().(-1,2) C . (1,2) D . (0,2)b=(3,4), c=(k,2).若(3a-b)//c ,则实数的值为()A . -87.已知函数f(x)二As in() (A 0^ 0^ ::-)的部分图象如图所示.现将函数f(x)图象上的所有点向右平移 一个单位长度得到函数 g(x)的图象,则函数g(x)的解析式为()A1 A .(七)2.已知向量a =(2,1),3.若复数满足(1 i)z =1 -2i 3,则 z 等于(4.设等差数列 {a n }的前项和为S n .若S 4 =20 , a 5 =10 , 则a i 6A . -32.12.16.325.已知m ,是空间中两条不同的直线,■为空间中两个互相垂直的平面,则下列命题正确的是 .若 m 二:£ , n :_ ::,贝U m _ nC.若 m — - , m _ :,则 m//:36.若(x 「-\)6的展开式中含x 2项的系数为160,则实数的值为(.-2C . 2.2 D.-2 24c. g(x)二2cos 2x3兀.g(x)=2sin(2x )4JT.g(x)=2sin(2x )4 J28.若为实数,则“2乞x乞2、2 ”是“222.2 <^-^ <3”成立的( )xA.充分不必要条件.必要不充分条件C.充要条件•既不充分也不必要条件9•《九章算术》中将底面为长方形, 且有一条侧棱与底面垂直的四棱锥称之为其正视图和侧视图是如图所示的直角三角形.若该阳马的顶点都在同一个球面上, “阳马”.现有一阳马, 则该球的体积为()A.B . 8、-6二C、、6 二D . 24 ■10.执行如图所示的程序框图,若输出的结果为56,则判断框中的条件可以是(f (x ) = m -1 -nln x (m . 0,0乞n 岂e )在区间[1,e ]内有唯一零点,则x15.已知抛物线C : y 2=2px (p 0)的焦点为F ,准线与轴的交 点为A ,P 是抛物线C 上的点, 且PF _ x 轴.若以AF 为直径的圆截直线 AP 所得的弦长为,则实数 p 的值为 _________________ •132216.已知数列{a n }共16叽且6=1 ,比=4.记关于的函数f n (x )x -a n x (a n -1)x ,n ,N3若X 二a n1(1空n 乞15)是函数f n (x )的极值点,且曲线 y 二f 8(x )在点(弧,彳8佝6))处的切线的A • n <7?n .7?n _ 6? D • n 6?围为( ) e+2 A [C C 吕1] e 1 1]_ 2 e• [ , 1]e 1 2 e • [1,; 1]212.已知双曲线 2爲=1(a 0,b 0)右支上的一点P ,经过点P 的直线与双曲线bC 的两条渐近线分别相交于 A , B两点•若点A , B 分别位于第一, 四象限,O 为坐标原点.当A^-PB 时,2 =AOB 的面积为2b ,则双曲线C 的实轴长为() A . 32 9 兰 C • 8 9 9 第U 卷(非选择题,共 、填空题:本大题共 90分)4小题,每小题5分,共20分.把答案填在答题卡上. 1 1 13.已知 a =23, b =(—)3,则 log 2(ab)= 2 14.如图是调查某学校高三年级男女学生是否喜欢篮球运动的等高条形图, 阴影部分的高表示喜欢该 项运动的频率.已知该年级男生女生各 500名(假设所有学生都参加了调查),现从所有喜欢篮球运 动的同学中按分层 抽样的方式抽取32人,则抽取的男生人数为 _______________ • 11.已知函数的取值范斜率三、解答题:本大题共6小题,共70分.解答应写出文字说明、证明过程或演算步骤17.已知函数f (x)二、3sin - cos- -cos2 --.2 2 2 2(1)求函数f (x)的单调递减区间;1(2)若MBC 的内角A,B,C 所对的边分别为,,,f(A)=—,a = J3,sin B = 2si nC,求.218.近年来,共享单车已经悄然进入了广大市民的日常生活,并慢慢改变了人们的出行方式•为了更好地服务民众,某共享单车公司在其官方APP中设置了用户评价反馈系统,以了解用户对车辆状况和优惠活动的评价•现从评价系统中选出200条较为详细的评价信息进行统计,车辆状况的优惠活)能否在犯错误的概率不超过的前提下认为优惠活动好评与车辆状况好评之间有关系? (2)为了回馈用户,公司通过APP向用户随机派送每张面额为元,元,元的三种骑行券.用户每1 次使用APP扫码用车后,都可获得一张骑行券.用户骑行一次获得元券,获得元券的概率分别是1,2 1丄,且各次获取骑行券的结果相互独立.若某用户一天使用了两次该公司的共享单车,记该用户当天5获得的骑行券面额之和为X,求随机变量X的分布列和数学期望.参考公式:K =(a b)(c(d)(a-c)(b d),其中"a b c d.19.如图,D是AC的中点,四边形BDEF是菱形,平面BDEF _平面ABC,FBD = 60,AB—BC,AB=BC=$2.(1)求直线的直角坐标方程与曲线C 的普通方程;a(1) 若点M 是线段BF 的中点,证明: BF _平面AMC ; (2) 求平面 AEF 与平面BCF 所成的锐二面角的余弦值•2 220.已知椭圆C : x ^ y T =1(a b ■ 0)的左右焦点分别为R ,F 2,左顶点为 A ,a b1点B 是椭圆上的动点,.ABF 1的面积的最大值为 -一—2(1)求椭圆C 的方程;(2)设经过点F ,的直线与椭圆C 相交于不同的两点 M , N ,线段MN 的中垂线为 21.已知函数 f (x) = xln x ax 1, a := R •(1)当时x 0,若关于的不等式 f(x) _0恒成立,求的取值范围;(2)当n • N *时,证明:n22 32n1 nIn 2 lnIn2n 4 2 n n 1请考生在22、23题中任选一题作答,如果多做,则按所做的第一题计分 •作答时,用2B 铅笔在答题卡上把所选题目对应的标号涂黑。
四川省成都市2018届高三第二次诊断性检测数学(理)试题含答案成都市2015级高中毕业班第二次诊断性检测;数学(理科)第Ⅰ卷(选择题,共60分)一、选择题:本大题共12个小题,每小题5分,共60分.在每小题给出的四个选项中,只有一项是符合题目要求的.1.设集合{|11}P x x =-<,{|12}Q x x =-<<,则P Q =( )A .1(1,)2- B .(1,2)- C .(1,2) D .(0,2) 2.已知向量(2,1)a =,(3,4)b =,(,2)c k =.若(3)//a b c -,则实数的值为( ) A .8- B .6- C .1- D . 3.若复数满足3(1)12i z i +=-,则z 等于( )A B .32 C D .124.设等差数列{}n a 的前项和为n S .若420S =,510a =,则16a =( ) A .32- B .12 C .16 D .325.已知m ,是空间中两条不同的直线,α,β为空间中两个互相垂直的平面,则下列命题正确的是( )A .若m α⊂,则m β⊥B .若m α⊂,n β⊂,则m n ⊥C .若m α⊄,m β⊥,则//m α D .若m αβ=,n m ⊥,则n α⊥ 6.若6(x的展开式中含32x 项的系数为160,则实数的值为( )A .B .2- C D .- 7.已知函数()sin()f x A x ωϕ=+(0,0,)2A πωϕ>><的部分图象如图所示.现将函数()f x 图象上的所有点向右平移4π个单位长度得到函数()g x 的图象,则函数()g x 的解析式为( )A .()2sin(2)4g x x π=+ B .3()2sin(2)4g x x π=+C .()2cos 2g x x =D .()2sin(2)4g x x π=-8.x ≤≤223x x +≤≤”成立的( ) A .充分不必要条件 B .必要不充分条件 C .充要条件 D .既不充分也不必要条件9.《九章算术》中将底面为长方形,且有一条侧棱与底面垂直的四棱锥称之为“阳马”.现有一阳马,其正视图和侧视图是如图所示的直角三角形.若该阳马的顶点都在同一个球面上,则该球的体积为( )A B . C D .24π 10.执行如图所示的程序框图,若输出的结果为56,则判断框中的条件可以是( )A .7?n ≤B .7?n >C .6?n ≤D .6?n > 11.已知函数()1ln mf x n x x=--(0,0)m n e >≤≤在区间[1,]e 内有唯一零点,则21n m ++的取值范围为( ) A .22[,1]12e e e e ++++ B .2[,1]12ee ++ C .2[,1]1e + D .[1,1]2e+ 12.已知双曲线C :22221(0,0)x y a b a b-=>>右支上的一点P ,经过点P 的直线与双曲线C 的两条渐近线分别相交于A ,B 两点.若点A ,B 分别位于第一,四象限,O 为坐标原点.当12AP PB =时,AOB ∆的面积为2b ,则双曲线C 的实轴长为( )A .329B .169C .89D .49第Ⅱ卷(非选择题,共90分)二、填空题:本大题共4小题,每小题5分,共20分.把答案填在答题卡上.13.已知132a =,231()2b =,则2log ()ab = .14.如图是调查某学校高三年级男女学生是否喜欢篮球运动的等高条形图,阴影部分的高表示喜欢该项运动的频率.已知该年级男生女生各500名(假设所有学生都参加了调查),现从所有喜欢篮球运动的同学中按分层抽样的方式抽取32人,则抽取的男生人数为 .15.已知抛物线C :22(0)y px p =>的焦点为F ,准线与轴的交点为A ,P 是抛物线C 上的点,且PF x ⊥轴.若以AF 为直径的圆截直线AP 所得的弦长为,则实数p 的值为 .16.已知数列{}n a 共16项,且11a =,84a =.记关于的函数321()3n n f x x a x =-2(1)n a x +-,*n N ∈.若1(115)n x a n +=≤≤是函数()n f x 的极值点,且曲线8()y f x =在点16816(,())a f a 处的切线的斜率为15.则满足条件的数列{}n a 的个数为 .三、解答题:本大题共6小题,共70分.解答应写出文字说明、证明过程或演算步骤.17.已知函数()cos 22x x f x =21cos 22x -+. (1)求函数()f x 的单调递减区间;(2)若ABC ∆的内角A ,B ,C 所对的边分别为,,,1()2f A =,a =sin 2sin B C =,求.18.近年来,共享单车已经悄然进入了广大市民的日常生活,并慢慢改变了人们的出行方式.为了更好地服务民众,某共享单车公司在其官方APP 中设置了用户评价反馈系统,以了解用户对车辆状况和优惠活动的评价.现从评价系统中选出200条较为详细的评价信息进行统计,车辆状况的优惠活动评价的22⨯列联表如下:(1)能否在犯错误的概率不超过0.001的前提下认为优惠活动好评与车辆状况好评之间有关系?(2)为了回馈用户,公司通过APP 向用户随机派送每张面额为元,元,元的三种骑行券.用户每次使用APP 扫码用车后,都可获得一张骑行券.用户骑行一次获得元券,获得元券的概率分别是12,15,且各次获取骑行券的结果相互独立.若某用户一天使用了两次该公司的共享单车,记该用户当天获得的骑行券面额之和为X ,求随机变量X 的分布列和数学期望. 参考数据:参考公式:22()()()()()n ad bc K a b c d a c b d -=++++,其中n a b c d =+++.19.如图,D 是AC 的中点,四边形BDEF 是菱形,平面BDEF ⊥平面ABC ,60FBD ∠=,AB BC ⊥,AB BC ==(1)若点M 是线段BF 的中点,证明:BF ⊥平面AMC ; (2)求平面AEF 与平面BCF 所成的锐二面角的余弦值.20.已知椭圆C :22221(0)x y a b a b+=>>的左右焦点分别为1F ,2F ,左顶点为A ,离心率为2,点B 是椭圆上的动点,1ABF ∆的面积的最大值为12. (1)求椭圆C 的方程;(2)设经过点1F 的直线与椭圆C 相交于不同的两点M ,N ,线段MN 的中垂线为'l .若直线'l 与直线相交于点P ,与直线2x =相交于点Q ,求PQ MN的最小值.21.已知函数()ln 1f x x x ax =++,a R ∈.(1)当时0x >,若关于的不等式()0f x ≥恒成立,求的取值范围; (2)当*n N ∈时,证明:223ln 2ln 242n n <++21ln 1n nn n ++⋅⋅⋅+<+. 请考生在22、23题中任选一题作答,如果多做,则按所做的第一题计分.作答时,用2B 铅笔在答题卡上把所选题目对应的标号涂黑。