大物参考答案
- 格式:doc
- 大小:317.00 KB
- 文档页数:5
1-3 一质点在xOy 平面上运动,运动方程为x =3t +5, y =21t 2+3t -4.式中t 以 s 计,x ,y 以m 计.(1)以时间t 为变量,写出质点位置矢量的表示式;(2)求出t =1 s 时刻和t =2s 时刻的位置矢量,计算这1秒内质点的位移;(3)计算t =0 s 时刻到t =4s 时刻内的平均速度;(4)求出质点速度矢量表示式,计算t =4 s 时质点的速度;(5)计算t =0s 到t =4s 内质点的平均加速度;(6)求出质点加速度矢量的表示式,计算t =4s 时质点的加速度(请把位置矢量、位移、平均速度、瞬时速度、平均加速度、瞬时加速度都表示成直角坐标系中的矢量式).解:(1) j t t i t r)4321()53(2-+++=m (4) 1s m )3(3d d -⋅++==j t i tr v则 j i v734+= 1s m -⋅(6) 2s m 1d d -⋅==j tv a这说明该点只有y 方向的加速度,且为恒量。
1-4 在离水面高h 米的岸上,有人用绳子拉船靠岸,船在离岸S 处,如题1-4图所示.当人以0v (m ·1-s)的速率收绳时,试求船运动的速度和加速度的大小.图1-4解: 设人到船之间绳的长度为l ,此时绳与水面成θ角,由图可知 222s h l +=将上式对时间t 求导,得ts stl ld d 2d d 2= 题1-4图根据速度的定义,并注意到l ,s 是随t 减少的, ∴ ts v v tl v d d ,d d 0-==-=船绳即 θcos d d d d 00v v sl tl s l ts v ==-=-=船或 sv s h slv v 02/1220)(+==船将船v 再对t 求导,即得船的加速度32022222002)(d d d d d d sv h sv sls v slv s v v st s l tl s tv a =+-=+-=-==船船1-6 已知一质点作直线运动,其加速度为 a =4+3t 2s m -⋅,开始运动时,x =5 m , v =0,求该质点在t =10s 时的速度和位置. 解:∵ t tv a 34d d +==分离变量,得 t t v d )34(d += 积分,得12234c t t v ++=由题知,0=t ,00=v ,∴01=c 故 2234t t v += 又因为 2234d d t t tx v +==分离变量, t t t x d )234(d 2+=积分得 232212c t t x ++=由题知 0=t ,50=x ,∴52=c 故 521232++=t t x所以s 10=t 时m70551021102sm 190102310432101210=+⨯+⨯=⋅=⨯+⨯=-x v1-8 质点沿半径为R 的圆周按s =2021bt t v -的规律运动,式中s 为质点离圆周上某点的弧长,0v ,b 都是常量,求:(1)t 时刻质点的加速度;(2) t 为何值时,加速度在数值上等于b . 解:(1) bt v ts v -==0d dRbt v Rva b t v a n 202)(d d -==-==τ则 240222)(Rbt v b aa a n-+=+=τ加速度与半径的夹角为20)(arctanbt v Rb a a n--==τϕ(2)由题意应有2402)(Rbt v b b a -+==即 0)(,)(4024022=-⇒-+=bt v Rbt v b b∴当bv t 0=时,b a =1-10 以初速度0v =201s m -⋅抛出一小球,抛出方向与水平面成幔 60°的夹角,求:(1)球轨道最高点的曲率半径1R ;(2)落地处的曲率半径2R . (提示:利用曲率半径与法向加速度之间的关系)解:设小球所作抛物线轨道如题1-10图所示.题1-10图(1)在最高点,o0160cos v v v x == 21sm 10-⋅==g a n又∵ 1211ρv a n =∴m1010)60cos 20(22111=︒⨯==n a v ρ(2)在落地点,2002==v v 1sm -⋅,而 o60cos 2⨯=g a n ∴ m 8060cos 10)20(22222=︒⨯==n a v ρ2-3 283166-⋅===sm m f a x x2167-⋅-==s m mf a y y(1)⎰⎰--⋅-=⨯-=+=⋅-=⨯+-=+=2101200872167452832sm dt a v v s m dt a v v y y y x x x于是质点在2s 时的速度18745-⋅--=sm ji v(2) mji j i jt a i t a t v r y x 874134)167(21)4832122(21)21(220--=⨯-+⨯⨯+⨯-=++= 2-4 (1)∵dtdv mkv a =-=分离变量,得m kdt v dv -=即⎰⎰-=vv tmkdt v dv 0mkt ev v -=ln ln∴ tmk e v v -=0(2)⎰⎰---===tttmk mk ekmv dt ev vdtx 000)1((3)质点停止运动时速度为零,即t →∞, 故有⎰∞-=='000kmv dt ev x tmk(4)当t=km 时,其速度为ev ev ev v km m k 0100===-⋅-即速度减至v 0的e1.2-7由题知,小球落地时间为0.5s .因小球为平抛运动,故小球落地的瞬时向下的速度大小为v 1=gt=0.5g ,小球上跳速度的大小亦为v 2=0.5g .设向上为y 轴正向,则动量的增量 Δp=mv 2-mv 1 方向竖直向上,大小 |Δp |=mv 2-(-mv 1)=mg碰撞过程中动量不守恒.这是因为在碰撞过程中,小球受到地面给予的冲力作用.另外,碰撞前初动量方向斜向下,碰后末动量方向斜向上,这也说明动量不守恒. 2-12 (1)由题知,F 合为恒力,∴ A 合=F ·r=(7i-6j)·(-3i+4j+16k)=-21-24=-45 J (2)w tA N 756.045==∆=(3)由动能定理,ΔE k =A=-45 J2-15 弹簧A 、B 及重物C 受力如题2-15图所示平衡时,有题2-15图 F A =F B =Mg 又 F A =k 1Δx 1 F B =k 2Δx 2所以静止时两弹簧伸长量之比为 1221k k x x =∆∆弹性势能之比为12222211121212k k x k x k E E p p=∆∆=2-20 两小球碰撞过程中,机械能守恒,有222120212121mv mv mv +=即 222120v v v += ①3-7 观测者甲乙分别静止于两个惯性参考系S 和S '中,甲测得在同一地点发生的两事件的时间间隔为 4s ,而乙测得这两个事件的时间间隔为 5s .求: (1) S '相对于S 的运动速度.(2)乙测得这两个事件发生的地点间的距离.解: 甲测得0,s 4==x t ∆∆,乙测得s 5=t ∆,坐标差为12x x x '-'='∆′ (1)∴ t cv tx cv t t ∆-∆=∆+∆='∆22)(11)(λγ54122='∆∆=-t t cv解出 c c t t c v 53)54(1)(122=-='∆∆-=8108.1⨯= 1s m -⋅(2) ()0,45,=∆=∆'∆=∆-∆='∆x tt t v x x γγ∴ m 1093453458⨯-=-=⨯⨯-=-='c c t v x ∆γ∆负号表示012<'-'x x . 3-8 一宇航员要到离地球为5光年的星球去旅行.如果宇航员希望把这路程缩短为3光年,则他所乘的火箭相对于地球的速度是多少? 解: 2220153,1513βββ-=-=-=='则l l∴ c c v 542591=-=3-11 根据天文观测和推算,宇宙正在膨胀,太空中的天体都远离我们而去.假定地球上观察到一颗脉冲星(发出周期无线电波的星)的脉冲周期为 0.50s ,且这颗星正沿观察方向以速度0.8c 离我们而去.问这颗星的固有周期为多少?解: 以脉冲星为S '系,0='∆x ,固有周期0τ='∆t .地球为S 系,则有运动时t t '∆=∆γ1,这里1t ∆不是地球上某点观测到的周期,而是以地球为参考系的两异地钟读数之差.还要考虑因飞行远离信号的传递时间,ct v 1∆∴ t cv t c t v t t ∆+'∆=∆+∆=∆γγ11′)1(cv t +'=∆γ6.01)8.0(112=-=c c γ则 γλτ)8.01(5.0)1(0c c cv t t +++∆='∆=s 1666.08.13.06.01)8.01(5.0==+=3-16 静止在S 系中的观测者测得一光子沿与x 轴成︒60角的方向飞行.另一观测者静止于S ′系,S ′系的x '轴与x 轴一致,并以0.6c 的速度沿x 方向运动.试问S ′系中的观测者观测到的光子运动方向如何? 解: S 系中光子运动速度的分量为c c v x 500.060cos ο==c c v y 866.060sin ο==由速度变换公式,光子在S '系中的速度分量为c ccc c c v cu u v v xx x143.05.06.016.05.0122-=⨯--=--='c ccc c v cu v cu v xyy 990.05.06.01866.06.011122222=⨯-⨯-=--='光子运动方向与x '轴的夹角θ'满足692.0tan -=''='xy v v θθ'在第二象限为ο2.98='θ在S '系中,光子的运动速度为c v v v y x='+'='22 正是光速不变. 3-17 (1)如果将电子由静止加速到速率为0.1c ,须对它作多少功?(2)如果将电子由速率为0.8c 加速到0.9c ,又须对它作多少功?解: (1)对电子作的功,等于电子动能的增量,得)111()1(222020202--=-=-==cv c m c m cm mcE E k k γ∆)11.011()103(101.922831--⨯⨯⨯=-161012.4-⨯=J=eV 1057.23⨯(2) )()(2021202212c m c m c m c m E E E k k k---=-='∆)1111(221222202122cv cv c m cm c m ---=-=))8.0119.011(103101.92216231---⨯⨯⨯=-J 1014.514-⨯=eV 1021.35⨯=4-2 劲度系数为1k 和2k 的两根弹簧,与质量为m 的小球按题4-2图所示的两种方式连 接,试证明它们的振动均为谐振动,并分别求出它们的振动周期.题4-2图解:(1)图(a)中为串联弹簧,对于轻弹簧在任一时刻应有21F F F ==,设串联弹簧的等效倔强系数为串K 等效位移为x ,则有111x k F x k F -=-=串222x k F -=又有 21x x x +=2211k F k F k F x +==串所以串联弹簧的等效倔强系数为2121k k k k k +=串即小球与串联弹簧构成了一个等效倔强系数为)/(2121k k k k k +=的弹簧振子系统,故小球作谐振动.其振动周期为2121)(222k k k k m k m T +===ππωπ串(2)图(b)中可等效为并联弹簧,同上理,应有21F F F ==,即21x x x ==,设并联弹簧的倔强系数为并k ,则有2211x k x k x k +=并故 21k k k +=并 同上理,其振动周期为212k k m T +='π4-5 一个沿x 轴作简谐振动的弹簧振子,振幅为A ,周期为T ,其振动方程用余弦函数表示.如果0=t 时质点的状态分别是:(1)A x -=0;(2)过平衡位置向正向运动; (3)过2A x =处向负向运动; (4)过2A x -=处向正向运动.试求出相应的初位相,并写出振动方程. 解:因为 ⎩⎨⎧-==000sin cos φωφA v A x将以上初值条件代入上式,使两式同时成立之值即为该条件下的初位相.故有)2cos(1πππφ+==t TA x)232cos(232πππφ+==t T A x)32cos(33πππφ+==t TA x)452cos(454πππφ+==t TA x4-7 有一轻弹簧,下面悬挂质量为g 0.1的物体时,伸长为cm 9.4.用这个弹簧和一个质量为g 0.8的小球构成弹簧振子,将小球由平衡位置向下拉开cm 0.1后 ,给予向上的初速度10scm 0.5-⋅=v ,求振动周期和振动表达式.解:由题知 12311mN 2.0109.48.9100.1---⋅=⨯⨯⨯==x g m k而0=t 时,-12020s m 100.5m,100.1⋅⨯=⨯-=--v x ( 设向上为正)又 s 26.12,51082.03===⨯==-ωπωT mk 即m102)5100.5()100.1()(22222220---⨯=⨯+⨯=+=∴ωv x A45,15100.1100.5tan 022000πφωφ==⨯⨯⨯=-=--即x v∴ m )455cos(1022π+⨯=-t x4-8 图为两个谐振动的t x -曲线,试分别写出其谐振动方程.题4-8图解:由题4-8图(a),∵0=t 时,s 2,cm 10,,23,0,0000===∴>=T A v x 又πφ即 1s rad 2-⋅==ππωT故 m )23cos(1.0ππ+=t x a由题4-8图(b)∵0=t 时,35,0,2000πφ=∴>=v A x01=t 时,22,0,0111ππφ+=∴<=v x又 ππωφ253511=+⨯=∴ πω65=故 m t x b )3565cos(1.0ππ+=4-12 试用最简单的方法求出下列两组谐振动合成后所得合振动的振幅:(1) ⎪⎩⎪⎨⎧+=+=cm )373cos(5cm )33cos(521ππt x t x (2)⎪⎩⎪⎨⎧+=+=cm)343cos(5cm )33cos(521ππt x t x 解: (1)∵ ,233712πππφφφ=-=-=∆∴合振幅 cm 1021=+=A A A (2)∵ ,334πππφ=-=∆∴合振幅 0=A4-13 一质点同时参与两个在同一直线上的简谐振动,振动方程为⎪⎩⎪⎨⎧-=+=m)652cos(3.0m )62cos(4.021ππt x t x 试分别用旋转矢量法和振动合成法求合振动的振动幅和初相,并写出谐振方程。
习 题 一1—1 一质点在平面xOy 内运动,运动方程为x =2t ,2219t y -= (SI)。
(1)求质点的运动轨道;(2)求t =1s 和t =2s 时刻质点的位置矢量;(3)求t =1s 和t =2s 时刻质点的瞬时速度和瞬时加速度;(4)在什么时刻,质点的位置矢量和速度矢量垂直?这时x 、y 分量各为多少?(5)在什么时刻,质点离原点最近?最近距离为多大?[解] 质点的运动方程:t x 2=,2219t y -= (1)消去参数t ,得轨道方程为: 22119x y -= (2)把t=1s 代入运动方程,得j i j i r 172)219(22+=-+=t t 把t =2s 代入运动方程,可得j i j i r 114)2219(222+=⨯-+⨯= (3)由速度、加速度定义式,有4/,0/4/,2/-====-====dt dv a dt dv a t dt dy v dt dx v y y x x y x所以,t 时刻质点的速度和加速度为 j i j i t v v v y x 42-=+= j j i a 4-=+=y x a a所以,t=1s 时,j i v 42-=,j a 4-= t=2s 时,j i v 82-=,j a 4-= (4)当质点的位置矢量和速度矢量垂直时,有 0=⋅v r即 0]42[])219(2[2=-⋅-+j i j i t t t 整理,得 093=-t t解得 3,3;0321-===t t t (舍去) m 19,0,s 011===y x t 时 m 1,m 6,s 322===y x t 时 (5)任一时刻t 质点离原点的距离 222)219()2()(t t t r -+= 令d r/d t =0 可得 t =3所以,t =3s 时,质点离原点最近 r1—2 一粒子按规律59323+--=t t t x 沿x 轴运动,试分别求出该粒子沿x 轴正向运动;沿x 轴负向运动;加速运动,减速运动的时间间隔。
简答题5.1 什么是简谐运动?说明下列运动是否是简谐运动?(1)活塞的往复运动;(2)皮球在硬地上的跳动;(3)一小球在半径很大的光滑凹球面底部的来回滑动,且经过的弧线很短;(4)锥摆的运动。
答:质点的简谐振动一定要有平衡位置,以平衡位置作为坐标原点,如果以x 表示质点偏离平衡位置的位移,质点所受合外力一定具有F kx =-的形式。
(1)活塞的往复运动不是简谐运动,因为活塞受力的方向和它的位移是同一方向,任一时刻所受的合外力不具有F kx =-的形式,所以活塞的往复运动是简谐运动。
(2)皮球在硬地上的跳动不是简谐运动,因为忽略空气阻力,皮球在上升和下落阶段,始终受到竖直向下的重力的作用,任一时刻所受的合外力不具有F kx =-的形式,所以皮球的运动不是简谐运动。
(3)一小球在半径很大的光滑凹球面底部的来回滑动,且经过的弧线很短是简谐运动。
符合简谐运动的定义。
(4)锥摆的运动不是简谐运动,此时锥摆受到重力和绳的拉力的作用,这两个力的合力的大小为恒量,而方向在不断的改变,任一时刻所受的合外力不具有F kx =-的形式,所以锥摆的运动不是简谐运动。
5.2(1)试述相位和初相的意义,如何确定初相?(2)在简谐振动表达式)cos(ϕω+=t A x 中,t = 0是质点开始运动的时刻,还是开始观察的时刻?初相20/,πϕ=各表示从什么位置开始运动?答:1)相位是决定谐振动运动状态的物理量,初相是确定振动物体初始时刻运动状态的物理量。
由初始条件可以确定初相。
2)在简谐振动表达式)cos(ϕω+=t A x 中,t = 0是质点开始计时时刻的运动状态,是开始观察的时刻。
初相0ϕ=是物体处于正最大位移处开始运动,初相/2ϕπ=是物体处于平衡位置且向初相x 轴负向开始运动。
5.3 一质点沿x 轴按)cos(ϕω+=t A x 作简谐振动,其振幅为A ,角频率为ω,今在下述情况下开始计时,试分别求振动的初相:(1)质点在x = +A 处;(2)质点在平衡位置处、且向正方向运动;(3)质点在平衡位置处、且向负方向运动;(4)质点在x =A /2处、且向正方向运动;(5)质点的速度为零而加速度为正值。
热学部分:1.等(定)压摩尔热容和等(定)容摩尔热容的物理含义是什么?它们分别取决于哪些因素?答:1mol物质在等压过程中温度升高1K时所吸收的热量称为等压摩尔热容,同理,1mol物质在等容过程中温度升高1K时所吸收的热量称为等容摩尔热容。
理想气体的等压摩尔热容和等容摩尔热容只与气体分子的自由度有关。
2.理想气体等压过程的特征是什么?在此过程中热量、作功和内能如何表示?答:理想气体的等压过程的特征是压强为恒量,改变温度;热量、内能和功都在变化。
且热量:内能增量:气体对外作的功:3.理想气体等容过程的特征是什么?在此过程中热量、作功和内能如何表示?答:理想气体等容过程的特征是,体积为恒量,改变温度;对外作功为零,热量等于内能的增量。
热量和内能增量:气体对外作的功:4.理想气体等温过程的特征是什么?在此过程中热量、作功和内能如何表示?答:理想气体等温过程的特征是温度是恒量,改变压强;内能变化为0.系统吸收的热量等于对外做的功。
吸收热量和对外作功:内能增量:5.简述卡诺循环过程;提高热机效率的途径有哪些?答:卡诺循环是在两个温度恒定的热源(一个高温热源,一个低温热源)之间工作的循环过程,它是由两个等温和两个绝热的平衡过程组成。
按照循环方向的不同,分为卡诺正循环和卡诺负循环,分别对应热机和制冷机。
以卡诺正循环为例,第一过程是等温膨胀,从高温热库吸入热量,第二过程是绝热膨胀,第三过程是等温压缩过程,系统向低温热库放出热量,第四过程是绝热压缩过程。
提高热机效率的方式主要有两种,提高高温热库温度,降低低温热库温度。
6.给出热力学第二定律的两种以上叙述方式。
证明能否用一个等温过程和一个绝热过程构成一个循环过程。
答:开尔文表述:不可能制成一种循环动作的热机,只从单一热源吸收热量,使之完全变为有用的功,而不引起其他变化。
(或者,第二类永动机是不可能实现的。
)克劳修斯描述:热量不能自动的从低温物体传到高温物体。
由一个等温过程和绝热过程不能构成一个循环过程,理由如下:假设有一热机等温过程中吸收热量并在绝热膨胀过程中将吸收的热量完全转化为功,这显然与热力学第二定律的开氏表述矛盾,同理,再假设有一制冷机,经历一次绝热压缩后向低温热库吸热并在等温过程完全用于制冷,将这两个过程做成一个复合热机,一次循环后,外界没有作功,二热量却自动的从低温热源传到高温热源,与热力学第二定律的克氏表述矛盾。
©物理系_2015_09《大学物理AII 》作业 No.01 机械振动一、 判断题:(用“T ”表示正确和“F ”表示错误) [ F ] 1.只有受弹性力作用的物体才能做简谐振动。
解:如单摆在作小角度摆动的时候也是简谐振动,其回复力为重力的分力。
[ F ] 2.简谐振动系统的角频率由振动系统的初始条件决定。
解:根据简谐振子频率mk=ω,可知角频率由系统本身性质决定,与初始条件无关。
[ F ] 3.单摆的运动就是简谐振动。
解:单摆小角度的摆动才可看做是简谐振动。
[ T ] 4.孤立简谐振动系统的动能与势能反相变化。
解:孤立的谐振系统机械能守恒,动能势能反相变化。
[ F ] 5.两个简谐振动的合成振动一定是简谐振动。
解: 同向不同频率的简谐振动的合成结果就不一定是简谐振动。
二、选择题:1. 把单摆从平衡位置拉开,使摆线与竖直方向成一微小角度θ,然后由静止放手任其振动,从放手时开始计时。
若用余弦函数表示其运动方程,则该单摆振动的初相位为[ C ] (A) θ; (B) π23; (C) 0; (D) π21。
解:对于小角度摆动的单摆,可以视为简谐振动,其运动方程为: ()()0cos ϕωθθ+=t t m ,根据题意,t = 0时,摆角处于正最大处,θθ=m ,即:01cos cos 0000=⇒=⇒==ϕϕθϕθθ2.一个简谐振动系统,如果振子质量和振幅都加倍,振动周期将是原来的 [D] (A) 4倍(B) 8倍(C) 2倍(D)2倍解: m T k m T m k T ∝⇒=⇒⎪⎭⎪⎬⎫==/2/2πωωπ,所以选D 。
3. 水平弹簧振子,动能和势能相等的位置在:[ C ] (A)4A x =(B) 2A x = (C) 2A x = (D)3Ax =解:对于孤立的谐振系统,机械能守恒,动能势能反相变化。
那么动能势能相等时,有:221412122Ax kx kA E E E p k =⇒====,所以选C 。
习题三习题三一、选择题1.一根长为l 、质量为M 的匀质棒自由悬挂于通过其上端的光滑水平轴上。
现有一质量为m 的子弹以水平速度v 0射向棒的中心,并以v 0/2的水平速度穿出棒,此后棒的最大偏转角恰为90︒,则v 0的大小为 [ ](A; (B(C; (D )22163M glm 。
答案:A 解:11122,1122J J J J Mg l ωωωω=+⎧⎪⎨=⋅⎪⎩ 22211, 243l ml J m J Ml ⎛⎫=== ⎪⎝⎭ 0012/2v v l l ω==,0021/21/22v v l l ωω===,111121()2J J J J ωωωω-== 21122J Mgl ω=, 2112J J Mgl J ω⎛⎫⋅= ⎪⎝⎭, 22114J Mgl Jω= 22202244143v ml l Mgl Ml ⎛⎫ ⎪⎝⎭=⋅,Mgl M v m =⋅202163,2202163M v gl m =,所以 340gl m Mv =2.圆柱体以80rad/s 的角速度绕其轴线转动,它对该轴的转动惯量为24kg m ⋅。
在恒力矩作用下,10s 内其角速度降为40rad/s 。
圆柱体损失的动能和所受力矩的大小为 [ ](A )80J ,80N m ⋅; (B )800J ,40N m ⋅;(C )4000J ,32N m ⋅;(D )9600J ,16N m ⋅。
答案:D解:800=ω,40=ω,10=t ,4J = 2201122k E J J ωω-∆=- 22011()4(64001600)9600(J)22k E J ωω∆=-=⨯⨯-=M 恒定,匀变速,所以有0t ωωα=-,0tωωα-=,08040416N m 10M J J tωωα--==⋅=⨯=⋅3.一个转动惯量为J 的圆盘绕一固定轴转动,初角速度为0ω。
设它所受阻力矩与转动角速度成正比M k ω=- (k 为正常数)。
2022级西南交大大物答案10西南交大物理系_2022_02《大学物理AI》作业No.10安培环路定律磁力磁介质班级________学号________姓名_________成绩_______一、判断题:(用“T”和“F”表示)[F]1.在稳恒电流的磁场中,任意选取的闭合积分回路,安培环路定理HdlIiL都能成立,因此利用安培环路定理可以求出任何电流回路在空间任一处产生的磁场强度。
解:安培环路定理的成立条件是:稳恒磁场,即稳恒电流产生的磁场。
但是想用它来求解磁场,必须是磁场分布具有某种对称性,这样才能找到合适的安培环路,才能将HdlIi中的积分简单地积出来。
才能算出磁场强度矢量的分布。
L[F]2.通有电流的线圈在磁场中受磁力矩作用,但不受磁力作用。
解:也要受到磁场力的作用,如果是均匀磁场,那么闭合线圈所受的合力为零,如果是非均匀场,那么合力不为零。
[F]3.带电粒子匀速穿过某空间而不偏转,则该区域内无磁场。
解:根据fqvB,如果带电粒子的运动方向与磁场方向平行,那么它受力为0,一样不偏转,做匀速直线运动。
[F]4.真空中电流元I1dl1与电流元I2dl2之间的相互作用是直接进行的,且服从牛顿第三定律。
解:两个电流之间的相互作用是通过磁场进行的,不服从牛顿第三定律。
[T]5.在右图中,小磁针位于环形电流的中心。
当小磁针的N极指向纸内时,则环形电流的方向是顺时针方向。
解:当小磁针的N极指向纸内时,说明环形电流所产生的磁场是指向纸内,根据右手螺旋定则判断出电流的方向是顺时针的。
二、选择题:1.如图,在一圆形电流I所在的平面内,选取一个同心圆形闭合回路L,则由安培环路定理可知:L[B](A)Bdl0,且环路上任意一点B0LO(B)Bdl0,且环路上任意一点B0IL(C)Bdl0,且环路上任意一点B0L解:根据安培环路定理知,B的环流只与穿过回路的电流有关,但是B却是与空间所有L(D)Bdl0,且环路上任意一点B=常量=0的电流有关。
上面是我选的实验。
下面是我做的题,有的有重复。
预测试下列说法错误的是A.PTC热敏电阻的阻值随温度升高而增大B.NTC热敏电阻的阻值随温度升高而减小C.NTC热敏电阻25℃时的阻值小于100℃时的阻值D.NTC热敏电阻0℃时的阻值大于100℃时的阻值(提交答案:C 判题:√得分:10分)能把温度量直接转化为电学量的元器件是( )A.热敏电阻B.光敏电阻C.电容器D.电源(提交答案:A 判题:√得分:10分)巨磁阻传感器电路多采用桥式结构,这是为了()A.消除环境温度的影响B.消除外磁场的影响C.保护传感器电路D.电路滤波(提交答案:A 判题:√得分:10分)在用巨磁阻传感器测电流实验中,设置偏置磁场的作用是()A.在金属丝导线中产生感应电动势B.使传感器工作在线性区域C.使导线产生的磁场更稳定D.引导磁力线方向(提交答案:B 判题:√得分:10分)在多普勒效应综合实验中,验证自由落体运动采用的方法是()A.测量运动的接收器收到的频率,求出运动速度B.测量接收器运动的时间和距离,求出运动速度(提交答案:B 判题:╳得分:0分)飞行的炮弹伴随着呼叫声,若呼叫声的音调越来越低,则此时 ( )A.可以安全行动B.应立即卧倒隐蔽C.无法判断(提交答案:A 判题:√得分:10分)硬磁材料的磁滞回线,磁滞损耗:()A.较宽,较小B.较宽,较大C.较窄,较小D.较窄,较大(提交答案:B 判题:√得分:10分)铁磁材料的磁导率是:()A.固定不变的B.随磁场强度H成线性关系C.磁场强度H小时,随磁场强度H增加而增加,磁场强度H大时,随磁场强度H增加而减小D.磁场强度H大时,随磁场强度H增加而增加,磁场强度H小时,随磁场强度H增加而减小(提交答案:C 判题:√得分:10分)下列选项中,哪个不是超声波的特点:A.声波的波长比较短B.声波在传播过程中易发散C.声波的频率比较高D.声波的定向发射性能比较好(提交答案:B 判题:√得分:10分)下列哪个说法是正确的:A.超声声速的理论值是固定的,与温湿度和气压无关B.接收端和发射端靠得越近实验效果越好C.在相位比较法测声速的实验中,两次出现椭圆时记下实验数据D.处理实验数据时要使用逐差法(提交答案:D 判题:√得分:10分)正式测试能把温度量直接转化为电学量的元器件是( )A.热敏电阻B.光敏电阻C.电容器D.电源(提交答案:A 判题:√得分:10分)下列说法错误的是A.PTC热敏电阻的阻值随温度升高而增大B.NTC热敏电阻的阻值随温度升高而减小C.NTC热敏电阻25℃时的阻值小于100℃时的阻值D.NTC热敏电阻0℃时的阻值大于100℃时的阻值(提交答案:C 判题:√得分:10分)在用巨磁阻传感器测电流实验中,设置偏置磁场的作用是()A.在金属丝导线中产生感应电动势B.使传感器工作在线性区域C.使导线产生的磁场更稳定D.引导磁力线方向(提交答案:B 判题:√得分:10分)下列有关巨磁阻效应说法错误的是()A.巨磁材料电阻在线性区域随外磁场增大而减小B.巨磁材料电阻随外磁场增大而变化过程中最终饱和C.巨磁电阻大小只与磁场大小有关,与磁场矢量变化方向无关D.巨磁电阻的变化率可达10%以上(提交答案:C 判题:√得分:10分)关于多普勒效应下列说法正确的是()A.只有声波才有多普勒效应B.光波也有多普勒效应C.只有机械波才有多普勒效应D.电磁波不能发生多普勒效应(提交答案:B 判题:√得分:10分)在多普勒效应综合实验中,验证自由落体运动采用的方法是()A.测量运动的接收器收到的频率,求出运动速度B.测量接收器运动的时间和距离,求出运动速度(提交答案:A 判题:√得分:10分)在测量铁磁材料的磁滞回线实验中,如何对实验样品进行退磁?()A.逆时针方向转动“U选择”旋纽,使U从0增加到3V,然后顺时针方向转动“U选择”旋纽,使U降到0VB.顺时针方向转动“U选择”旋纽,使U从0增加到3V,然后逆时针方向转动“U选择”旋纽,使U降到0VC.如果“U选择”旋纽指示的是0V,就是已经退磁状态D.无论什么状态,直接转动“U选择”旋纽,使U为0V(提交答案:B 判题:√得分:10分)铁磁材料的磁导率是:()A.固定不变的B.随磁场强度H成线性关系C.磁场强度H小时,随磁场强度H增加而增加,磁场强度H大时,随磁场强度H增加而减小D.磁场强度H大时,随磁场强度H增加而增加,磁场强度H小时,随磁场强度H增加而减小(提交答案:C 判题:√得分:10分)声速测量实验中,将换能器S1和S2的信号分别接入示波器CH1和CH2通道,换能器系统已处于谐振状态,示波器选择X-Y工作方式,在示波器上看到的李沙育图形,一般情况下是_________,若希望在示波器上仅观察到Y向信号(竖直亮线),可将______________。
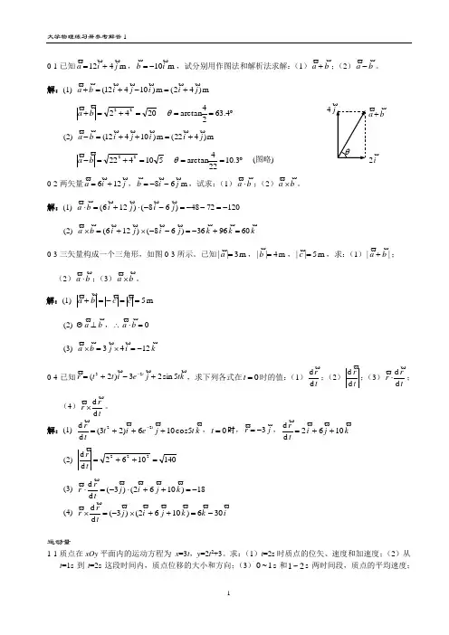
0-1已知m 412j i a+=,m 10i b -=,试分别用作图法和解析法求解:(1)b a +;(2)b a -。
解:(1) m )42(m )10412(j i i j i b a+=-+=+204222=+=+b a︒==4.6324arctan θ(2) m )422(m )10412(j i i j i b a+=++=-51042222=+=-b a︒==3.10224arctan θ (图略)0-2两矢量j i a126+=,m 68j i b --=,试求:(1)b a ⋅;(2)b a ⨯。
解:(1) 1207248)68()126(-=--=--⋅+=⋅j i j i b a(2) k k k j i j i b a609636)68()126(=+-=--⨯+=⨯0-3三矢量构成一个三角形,如图0-3所示。
已知m 3||=a ,m 4||=b ,m 5||=c ,求:(1)||b a+; (2)b a ⋅;(3)b a⨯。
解:(1) m 5==-=+c c b a(2) b a ⊥,0=⋅∴b a(3) k i j b a1243-=⨯=⨯0-4已知k t j e i t t r t5sin 23)2(23+-+=-,求下列各式在0=t 时的值:(1)t r d d ;(2)t r d d ;(3)tr r d d ⋅;(4)t r r d d⨯。
解:(1) k t j e i t t r t5cos 106)23(d d 22+++=-,0=t 时,j r 3-=,k j i t r 1062d d ++=(2) 1401062d d 222=++=tr(3) 18)1062()3(d d -=++⋅-=⋅k j i j t rr(4) i k k j i j trr 306)1062()3(d d -=++⨯-=⨯运动量1-1质点在xOy 平面内的运动方程为 x =3t ,y =2t 2+3。
⼤物习题答案第3章连续物体的运动第3章连续物体得运动⼀基本要求1 理解描写刚体定轴转动得物理量,并掌握⾓量与线量得关系。
2 理解⼒矩与转动惯量概念,掌握刚体绕定轴转动得转动定律。
3理解⾓动量概念,掌握质点在平⾯内运动以及刚体绕定轴转动情况下得⾓动量守恒定律。
4理解刚体定轴转动得转动动能概念,能载有刚体绕定轴转动得问题中正确得应⽤机械能守恒定律。
5了解流体得特点,掌握理想流体得概念。
6掌握理想流体得连续性⽅程与伯努利⽅程。
7了解伯努利⽅程得应⽤。
⼆基本概念1连续介质在宏观⼒学得范围内如果能忽视物体内部得不连续性,把物体瞧作质量连续分布得质点系。
2刚体⼤⼩与形状得变化可以忽略得连续介质。
3对定轴得⼒矩:⼒得⼤⼩与点到⼒得作⽤线得垂直距离得(⼒臂)乘积。
或=r×F4转动惯量转动惯量就是描述刚体在转动中惯性⼤⼩得物理量。
对于质点系得转动惯量。
如果物体得质量就是连续分布得,上式可写为。
5 质点得⾓动量质点对固定点O得位⽮为,质点m对原点O得⾓动量为6冲量矩⼒矩与作⽤时间得乘积,记作。
7刚体定轴转动得⾓动量8⼒矩得功9⼒矩得功率10刚体得转动动能11流体处于液态与⽓态得物体得统称。
特点就是物体各部分之间很容易发⽣相对运动,即流动性。
12理想流体绝对不可压缩与完全没有黏性得流体。
13定常流动流体流经空间任⼀给定点得速度就是确定得,并且不随时间变化。
在流速较低时定常流动得条件就是能够得到满⾜得。
14流线为了形象地描述流体得运动,在流体中画出⼀系列曲线,使曲线上每⼀点得切线⽅向与流经该点流体质点得速度⽅向相同, 这种曲线称为流线。
15流管在定常流动中,通过流体中得每⼀点都可以画⼀条流线。
由流线围成得管状区域, 就称为流管。
16流量单位时间内流过某⼀截⾯得流体体积, 称为流体流过该截⾯得体积。
三基本规律1刚体定轴转动⾓量与线量得关系=R = R2转动定律刚体绕定轴转动时,刚体得⾓加速度与所受得合外⼒矩成正⽐,与刚体得转动惯量成反⽐,。
大物期末考试题及答案一、选择题(每题2分,共20分)1. 物体的惯性只与物体的质量有关,以下说法正确的是:A. 物体质量越大,惯性越大B. 物体质量越小,惯性越小C. 惯性与物体的速度无关D. 惯性与物体的位置无关2. 根据牛顿第二定律,力与加速度的关系是:A. 力等于加速度乘以质量B. 力等于质量乘以加速度C. 力与加速度成反比D. 力与加速度成正比3. 根据能量守恒定律,以下说法正确的是:A. 能量可以被创造或消灭B. 能量守恒定律只适用于封闭系统C. 能量在转化和转移过程中总量保持不变D. 能量守恒定律不适用于微观粒子4. 以下关于万有引力定律的说法正确的是:A. 万有引力与两物体质量的乘积成正比B. 万有引力与两物体间距离的平方成反比C. 万有引力与两物体间距离成正比D. 万有引力只存在于地球和月球之间5. 根据热力学第一定律,以下说法正确的是:A. 能量可以被创造或消灭B. 系统与外界交换的能量等于系统内能的变化C. 热力学第一定律只适用于理想气体D. 热力学第一定律不适用于化学反应6. 以下关于电磁场的基本性质,正确的说法是:A. 电场力做功与路径有关B. 磁场力做功与路径有关C. 电场力做功与路径无关D. 磁场力做功与路径无关7. 根据麦克斯韦方程组,以下说法正确的是:A. 变化的磁场会产生电场B. 变化的电场会产生磁场C. 恒定的磁场会产生电场D. 恒定的电场会产生磁场8. 以下关于光的干涉现象,正确的说法是:A. 光的干涉是光的波动性的表现B. 光的干涉是光的粒子性的表现C. 光的干涉只发生在同频率的光波之间D. 光的干涉只发生在不同频率的光波之间9. 根据相对论,以下说法正确的是:A. 时间是绝对的B. 空间是绝对的C. 时间和空间是相对的D. 时间和空间是独立的10. 以下关于量子力学的基本假设,正确的说法是:A. 量子力学只适用于微观粒子B. 量子力学不适用于宏观物体C. 量子力学认为粒子具有确定的位置和动量D. 量子力学认为粒子的位置和动量是不确定的答案:1. A C D2. B3. C4. A B5. B6. C D7. A B8. A C9. C10. A D二、简答题(每题10分,共30分)1. 请简述牛顿第三定律的内容及其在日常生活中的应用。
1.7 一质点的运动学方程为22(1,)x t y t ==-,x 和y 均以为m 单位,t 以s 为单位,试求:(1)质点的轨迹方程;、(2)在t=2s 时,质点的速度v 和加速度a 。
解:(1)由运动学方程消去时间t 可得质点的轨迹方程,将t =代入有21)y = 或1(2)对运动学方程微分求速度及加速度,即 当t=2s 时,速度和加速度分别是1.8 已知一质点的运动学方程为22(2)r ti t j =+-,其中, r ,t 分别以 m 和s 为单位,试求:(1) 从t=1s 到t=2s 质点的位移; (2) t=2s 时质点的速度和加速度; (3) 质点的轨迹方程;(4)在Oxy 平面内画出质点的运动轨迹,并在轨迹图上标出t=2s 时,质点的位矢r ,速度v 和加速度a 。
解: 依题意有x=2t (1) y= 22t - (2)(1) 将t=1s,t=2s 代入,有(1)r = 2i j +, (2)42r i j =-故质点的位移为 (2)(1)23r r r i j ∆=-=- (2) 通过对运动学方程求导可得当t=2s 时,速度,加速度为 24v i j =- /m s 2a j =-2/m s(3) 由(1)(2)两式消去时间t 可得质点的轨迹方程 (4)图略。
1.11 一质点沿半径R=1m 的圆周运动。
t=0时,质点位于A 点,如图。
然后沿顺时针方向运动,运动学方程2s t t ππ=+,其中s 的单位为m ,t 的单位为s ,试求: (1)质点绕行一周所经历的路程,位移,平均速度和平均速率; (2)质点在第1秒末的速度和加速度的大小。
解: (1) 质点绕行一周所经历的路程为圆周 周的周长,即2 6.28s R m π∆==由位移和平 均速度的定义,可知此时的位移为零,平均速度 也为零,即0r ∆=, 0rv t∆==∆令2()(0)2s s t s t t R πππ∆=-=+=。
大物试题答案一、选择题1. 根据牛顿第二定律,一个质量为2kg的物体,受到10N的力作用,加速度大小为:A. 2 m/s²B. 5 m/s²C. 10 m/s²D. 20 m/s²答案:B解析:根据牛顿第二定律 \( F = ma \),其中 \( F \) 为作用力,\( m \) 为物体质量,\( a \) 为加速度。
代入已知数值,\( a =\frac{F}{m} = \frac{10N}{2kg} = 5 m/s² \)。
2. 一个物体从静止开始做匀加速直线运动,经过10秒后速度达到20 m/s,求物体的加速度:A. 1 m/s²B. 2 m/s²C. 5 m/s²D. 20 m/s²答案:B解析:根据速度与加速度的关系 \( v = at \),其中 \( v \) 为速度,\( a \) 为加速度,\( t \) 为时间。
代入已知数值,\( a =\frac{v}{t} = \frac{20 m/s}{10 s} = 2 m/s² \)。
3. 一个质量为0.5kg的物体,受到的重力为多少?A. 1 NB. 2.5 NC. 4.5 ND. 9.8 N答案:C解析:重力 \( G = mg \),其中 \( m \) 为物体质量,\( g \) 为重力加速度,一般取9.8 m/s²。
代入数值,\( G = 0.5kg \times9.8 m/s² = 4.9 N \),约等于4.5 N。
4. 一个弹簧秤挂在天花板上,下面挂一个10N的重物,如果将重物向下拉,使弹簧秤的读数增加到15N,求拉力的大小:A. 5 NB. 10 NC. 15 ND. 20 N答案:A解析:弹簧秤的读数等于作用在其上的力。
初始时,弹簧秤读数为10N,表示重物的重力。
当读数增加到15N时,额外的5N即为施加的拉力。
《大学物理AII 》作业 机械振动
一、 判断题:(用“T ”表示正确和“F ”表示错误) [ F ] 1.只有受弹性力作用的物体才能做简谐振动。
解:如单摆在作小角度摆动的时候也是简谐振动,其回复力为重力的分力。
[ F ] 2.简谐振动系统的角频率由振动系统的初始条件决定。
解:根据简谐振子频率
m
k
=
ω,可知角频率由系统本身性质决定,与初始条件无关。
[ F ] 3.单摆的运动就是简谐振动。
解:单摆小角度的摆动才可看做是简谐振动。
[ T ] 4.孤立简谐振动系统的动能与势能反相变化。
解:孤立的谐振系统机械能守恒,动能势能反相变化。
[ F ] 5.两个简谐振动的合成振动一定是简谐振动。
解: 同向不同频率的简谐振动的合成结果就不一定是简谐振动。
二、选择题:
1. 把单摆从平衡位置拉开,使摆线与竖直方向成一微小角度θ,然后由静止放手任其振动,从放手时开始计时。
若用余弦函数表示其运动方程,则该单摆振动的初相位为
[ C ] (A) θ; (B) π2
3
π2
1。
解:对于小角度摆动的单摆,可以视为简谐振动,其运动方程为: ()()0cos ϕωθθ+=t t m ,根据题意,t = 0时,摆角处于正最大处,θθ=m ,即:
01cos cos 0000=⇒=⇒==ϕϕθϕθθ
2.一个简谐振动系统,如果振子质量和振幅都加倍,振动周期将是原来的 [ D ] (A) 4倍
(B) 8倍
(C) 2倍
?
(D) 2倍
解: m T k m T m k T ∝⇒=⇒⎪⎭
⎪⎬⎫==
/2/2πωωπ
,所以选D 。
3. 水平弹簧振子,动能和势能相等的位置在:[ C ] (A)
4A x = (B) 2A x = (C) 2
A x =
(D)
3
A
x =
解:对于孤立的谐振系统,机械能守恒,动能势能反相变化。
那么动能势能相等时,有:
2
21412122A
x kx kA E E E p k =⇒====,所以选C 。
4. 一弹簧振子作简谐振动,总能量为1E ,如果简谐振动振幅增加为原来的两倍,重物的质量增加为原来的四倍,则它的总能量E 变为
[ D ] (A) 1E /4 (B) 1E /2 (C) 21E (D) 41E 解:原来的弹簧振子的总能量212112112
121A m kA E ω==,振动增加为122A A =,质量增加为124m m =,k 不变,角频率变为11222
14ωω===
m k m k ,所以总能量变为 ()121211212
1122222242142242121E A m A m A m E =⎪⎭⎫
⎝⎛=⨯⎪⎭
⎫ ⎝⎛⨯⨯==ωωω
5.图中所画的是两个简谐振动的振动曲线,若这
两个简谐振动可叠加,则合成的余弦振动的初相为:
[ C ] (A)π2
1 (B) π2
3
(C)π (D) 0
解:两个谐振动x 1和x 2 反相,且212A A =,由矢量图可知合振动初相与x 1初相一致,即πϕ=。
三、填空题:
1. 描述简谐振动的运动方程是)cos(ϕω+=t A x ,其中,振幅A 由 初始条件 决定;角频率?由 振动系统本身性质 决定;初相?由 初始条件 决定;
2.一弹簧振子做简谐振动,振幅为A ,周期为T ,其振动方程用余弦函数表示,若初始时刻,
1)振子在负的最大位移处,则初相为π;
2)振子在平衡位置向正方向运动,则初相为2
π-或者 2
3π;
3)振子在A /2处向负方向运动,则初相为3
π。
解:用旋转矢量法,如图,得出:
1) 2) 3)
/A -o
1
A ρ2
A ρA
ρ
3. 一水平弹簧简谐振子的振动曲线如图所示,振子处在位移零、速度为A ω-、加速度为零和弹性力为零的状态,对应于曲线上的 b , f 点。
振
子处在位移的绝对值为A 、速度为零、加速度为-?2
A 和弹性力-kA 的状态,对应于曲线的 a ,e 点。
解:位移0=x ,速度0d d <-==A t
x v ω,对应于曲线上的 b 、f 点;若|x |=A , A a 2ω-=,又x a 2ω-=, 所以x = A ,对应于曲线上的a 、e 点。
4. 一质点作简谐振动,其振动曲线如图所示。
根据此图,它的周期
()s 43.3724==
T ,用余弦函数描述时初相位ππϕ3
234-=或。
解:由曲线和旋转矢量图 可知22
12=+
T
T
周期()s 43.37
24==T
初相ππϕ3
234-=或。
5. 两个同方向同频率的简谐振动,其振动表达式分别为:
)2
1
5cos(10621π+⨯=-t x (SI) 和 )5sin(10222t x -⨯=-π (SI)
它们的合振动的振幅为(m)1042-⨯,初相位为π21。
解:将x 2改写成余弦函数形式:
)2
5cos(102)5sin(102222π
π-⨯=-⨯=--t t x
由矢量图可知,x 1和x 2反相,合成振动的振幅 (m)10410210622221---⨯=⨯-⨯=-=A A A , 初相由x 1决定:2
1πϕϕ==
A
-x O A ρ
2
A ρ1ϕ1
A ρ
四、计算题:
1.一定滑轮的半径为R ,转动惯量为J ,其上挂一轻绳,绳的一端系一质量为m 的物体,另一端与一固定的轻弹簧相连,如图所示。
设弹簧的倔强系数为k , 绳与滑轮间无滑动,且忽略摩擦力及空气的阻力。
现将物体m 从平衡位置拉下一微小距离后放手,证明物体作简谐振动,并求出其角频率。
解:取如图x 坐标,平衡位置为坐标原点,向下为正方向。
m 在平衡位置,弹簧伸长x 0, 则有
0kx mg = (1)
现将m 从平衡位置向下拉一微小距离x , m 和滑轮M 受力如图所示。
由牛顿定律和转动定律列方程,
ma T mg =-1 (2)
βJ R T R T =-21.................. (3) βR a = ........................... (4) )(02x x k T +=............... (5)
联立以上各式,可以解出 x x m R J
k
a 22
ω-=+-=,
(※) 由判据2知(※)式是谐振动方程, 所以物体作简谐振动,角频率为 2
2
2
mR
J kR m R J
k +=
+=
ω 2.一质点作简谐振动, 其振动曲线如图所示。
若质点的振动规律用余弦函数描述,求: 1)振动方程;
2)1=t s 时加速度大小; 3)2=t s 时速度大小。
解:1)由图所知:s 4m,2.0==T A , 则2
2ππω==T
2)加速度为:
()⎪⎭⎫ ⎝⎛+-
=+-=22
cos 21.0cos 202ππ
πϕωωt t A a ,将1=t s 代入得:
22
2m/s 493.020
121.0≈==
ππa 3)速度为:()⎪⎭⎫ ⎝⎛+-
=+-=22sin 10sin 0ππ
π
ϕωωt t A v ,将2=t s 代入: m/s 314.010
≈=
π
v
3. 一物体质量为0.25kg ,在弹性力作用下作简谐振动,弹簧的劲度系数k = 25N?m -1。
如果该系统起始振动时具有势能和动能,求 (1) 振幅A ;
(2) 动能恰等于势能时的位移; (3) 经过平衡位置时物体的速度。
T 2
T 1
解:(1) 由2p k 21kA E E E =
+= 得m 08.0)(2p k =+=E E k
A (2) 解:动能等于势能时,有:
m 0566.02
214121212222p k ±≈±=⇒=⇒=⇒=
=A x A x kA kx E E E 另解:
由222
1
21mv kx = 得 )(sin 22222ϕωωω+=t A m x m )(cos )](cos 1[)(sin 2
2222222ϕωϕωϕω+-=+-=+=∴t A A t A t A x
即
222x A x -=
m 0566.02
±=±=A
x
(3) 过平衡位置时,x = 0, 此时动能等于总能量2p k 2
1mv E E E =+= 1p k s m 8.0)(2
-⋅±=+=
E E m
v。