第9讲 光学谐振腔-稳定性
- 格式:ppt
- 大小:4.58 MB
- 文档页数:13
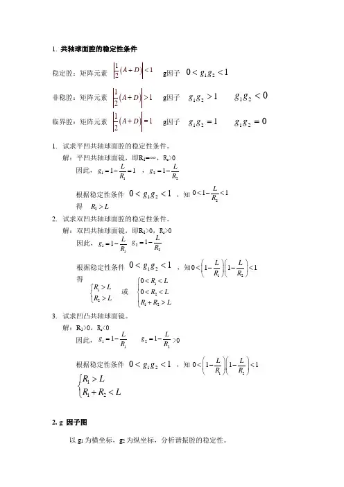
1. 共轴球面腔的稳定性条件稳定腔:矩阵元素 g 因子 非稳腔:矩阵元素 g 因子 临界腔:矩阵元素 g 因子1. 试求平凹共轴球面腔的稳定性条件。
解:平凹共轴球面镜,即R 1=∞,R 2>0因此, ,根据稳定性条件 ,知 得 2R L >2. 试求双凹共轴球面腔的稳定性条件。
解:双凹共轴球面镜,即R 1>0,R 2>0因此, 根据稳定性条件 ,知 得 或 3. 试求凹凸共轴球面镜。
解:R 1>0,R 2<0 因此, >0根据稳定性条件 ,知2. g 因子图以g 1为横坐标,g 2为纵坐标,分析谐振腔的稳定性。
1201g g <<()112A D +>121g g >120g g <()1 12A D +=121g g =120g g =1111L g R =-=221L g R =-1201g g <<2011L R <-<221L g R =-1201g g <<111L g R =-120111L L R R ⎛⎫⎛⎫<--< ⎪⎪⎝⎭⎝⎭12R L R L >⎧⎨>⎩121200R L R LR R L <<⎧⎪<<⎨⎪+>⎩111L g R =-221L g R =-1201g g <<120111L L R R ⎛⎫⎛⎫<--< ⎪⎪⎝⎭⎝⎭112R L R R L >⎧⎨+<⎩()1 12A D +<以 为双曲线, 为坐标轴它们是稳定腔和非稳定腔的分界线。
稳定腔大致分为四类,图上用Ⅰ、Ⅱ、Ⅲ、Ⅳ标出。
1)对称腔(共焦腔、共心腔)在坐标系上,直线线段BOA 代表第一类腔(Ⅰ)---对称腔。
特点:g1=g2,所以R1=R2=R ;线段OA 代表L≤R<∞;线段OB 则代表L/2≤R≤L ;坐标原点O 则代表R 1=R 2=L ,即共焦腔;A 点代表R 1=R 2→∞,即平行平面腔;B 点代表R 1=R 2=L/2,即共心腔。
光学谐振腔的分类之一腔内傍轴光线几何逸出损耗的高低:稳定腔、非稳腔、临界腔。
稳定腔:腔内傍轴光线经过任意多次往返传播而不逸出腔外的谐振腔。
非稳腔:腔内光线经过有限次往返传播后逸出腔外的谐振腔。
临界腔:能够保证截面平行于反射镜面的光束在反射镜间传播不逸出。
什么样几何形状的谐振腔?共轴球面腔的三个参数:腔镜的曲率半径R 1、R 2、腔长L 需要满足什么样的条件呢?本节讨论光学谐振腔的稳定性条件。
1.共轴球面谐振腔的稳定性条件光线在球面谐振腔内往返n 次的光学变换矩阵:=往返n 次后光线的空间位置坐标与方向坐标:如果在无论n 取多大值、任何值的情况下,An 、Bn 、Cn 和Dn 都是在一定范围内的有限值,那么 和 就是有限值,只要反射镜的镜面横向尺寸足够大,就可以保证傍轴光线在腔内往返任意次、无限次而不会从侧面逸出。
从M n 的表达式中可以看出,角度 的大小对矩阵中的四个元素An 、Bn 、Cn 和Dn 起着决定性的作用。
和 取值大小,反映的是光线偏离光轴能力的大小,即造成激光几何损耗的大小。
下面我们就分三种情况对 角的取值加以讨论,并希望能从中寻找出谐振腔的稳定性条件。
n n nn n A B M C D ⎡⎤=⎢⎥⎣⎦⎥⎦⎤⎢⎣⎡----ϕϕϕϕϕϕϕ)1sin(sin sin sin )1sin(sin sin 1n n D n C n B n A 1111n n n n n n r A r B C r D θθθ=+⎫⎬=+⎭ϕn r n θn r n θ⎪⎪⎪⎪⎩⎪⎪⎪⎪⎨⎧---=+-=-=-=1212121222)21)(21()11(24)1(221R L R L R L D R R R R L C R L L B R L A讨论 的取值情况:1) 为实数且不等于往返n 次的变换矩阵:=谐振腔的稳定性条件: 或二者等价。
)(21arccos D A +=ϕ221LA R =-{121222(1)(1)L L LD R R R =---121L LA 2(1)(1)12R R =---(+D )ϕϕk π121<+D A 12L L 0(1)(1)1R R <--<1122Lg 1R L g 1R ⎧-⎪⎪⎨⎪-⎪⎩==1201g g <<n n nn n A B M C D ⎡⎤=⎢⎥⎣⎦⎥⎦⎤⎢⎣⎡----ϕϕϕϕϕϕϕ)1sin(sin sin sin )1sin(sin sin 1n n D n C n B n A 1111n n n n n n r A r B C r D θθθ=+⎫⎬=+⎭121<+D A 1201g g <<、 均为有限值,随n 做周期性变化,只要反射镜的镜面横向尺寸足够大,就可以保证傍轴光线在腔内往返无限次而不会从侧面逸出。
光学谐振腔光学谐振腔是常用激光器的三个主要组成部分之一。
组成:在简单情况下,它是在激活物质两端适当地放置两个反射镜。
目的:就是通过了解谐振腔的特性,来正确设计和使用激光器的谐振腔,使激光器的输出光束特性达到应用的要求。
光学谐振腔的理论:近轴光线处理方法的几何光学理论、波动光学的衍射理论无源腔:又称为非激活腔或被动腔,即无激活介质存在的腔。
有源腔(激活腔或主动胺):当腔内充有工作介质并设有能源装置后。
一、构成、分类及作用1、谐振腔的构成和分类构成:最简单的光学谐振腔是在激光工作物质两端适当位置放置两个镀高反射膜的反射镜。
与微波腔相比光频腔的主要特点是:侧面敞开没有光学边界,以抑制振荡模式,并且它的轴向尺寸(腔长)远大于振荡波长:L》λ,一般也远大于横向尺寸即反射镜的线度。
因此,这类腔为开放式光学谐振腔,简称开腔。
开式谐振腔是最重要的结构形式----气体激光器、部分固体激光器谐振腔2、激光器中常见的谐振腔的形式1)平行平面镜腔。
由两块相距上、平行放置的平面反射镜构成2)双凹球面镜腔。
由两块相距为L,曲率半径分别为R1和R2的凹球面反射镜构成当R1=R2=L时,两凹面镜焦点在腔中心处重合,称为对称共焦球面镜腔;当R1+R2=L表示两凹面镜曲率中心在腔内重合,称为共心腔。
3)平面—凹面镜腔。
相距为L的一块平面反射镜和一块曲率半径为R的凹面反射镜构成。
当R=2L时,这种特殊的平凹腔称为半共焦腔4)特殊腔。
如由凸面反射镜构成的双凸腔、平凸腔、凹凸腔等,在某些特殊激光器中,需使用这类谐振腔5)其他形状的3、谐振腔的作用(1) 提供光学正反馈作用谐振腔为腔内光线提供反馈,使光多次通过腔工作物质,不断地被放大,形成往复持续的光频振荡;取决因素:组成腔的两个反射镜面的反射率,反射率越高,反馈能力越强;反射镜的几何形状以及它们之间的组合方式。
上述因素的变化会引起光学反馈作用大小的变化,即引起腔内光束能量损耗的变化。
(2) 对振荡光束的控制作用主要在方向和频率的限制,其功能为:①有效地控制腔内实际振荡的模式数目,使大量的光子集结在少数几个沿轴向、且满足往返一次位相变化为2π的整数倍的光子状态中,提高了光子简并度,从而获得单色性好、方向性好及相干性强的优异辐射光。
光学谐振腔结构与稳定性光学谐振腔是一种可以在其中产生共振的封闭结构,由高反射率的反射镜和一定长度和折射率的介质构成。
它是光学系统中的重要组成部分,广泛应用于激光器、光纤通信、光学传感等领域。
光学谐振腔的结构和稳定性对其性能产生重要影响。
光学谐振腔的结构一般由两个平行的反射镜组成,其中一个反射镜具有极高的反射率,另一个反射镜具有较低的反射率。
光线在腔内反复来回弥散,与介质相互作用,形成光学谐振。
谐振频率由腔长和光速共同决定,可以通过调整腔长来控制谐振频率。
常见的光学谐振腔结构有法布里-珀罗腔、平面-球面腔、球面-球面腔等。
光学谐振腔的稳定性是指腔内光线的轨迹是否稳定。
稳定性是光学谐振腔设计中需要考虑的重要因素。
一般来说,光学谐振腔的稳定性可以通过判断光线的角度是否稳定来衡量。
光线入射角度越大,腔内光线的轨迹越不稳定。
稳定性可以通过谐振腔的G参数来描述,G参数越大,稳定性越好。
光学谐振腔的稳定性可以通过计算腔的焦点位置来判断。
焦点位置的稳定性决定着光线的稳定性。
一般来说,平面-平面腔的焦点位置是固定的,稳定性较好。
而法布里-珀罗腔的焦点位置随着角度的变化而变化,稳定性较差。
对于具有较高稳定性要求的应用,如激光系统,常常选择平面-平面腔结构。
光学谐振腔的稳定性还受到腔内损耗的影响。
腔内的损耗会削弱光线的强度,导致光线很快耗散。
因此,减小腔内损耗是提高光学谐振腔稳定性的关键。
常见的降低损耗的方法有选择合适的腔内材料、控制腔内的散射和吸收等。
除了结构和损耗,光学谐振腔的稳定性还与激射源的位置和腔长有关。
激射源的位置决定了光线反射的次数,从而影响光线在腔内来回弥散的次数。
腔长的选择可以通过调整光线在腔内的弥散次数来控制,从而影响谐振频率和稳定性。
总之,光学谐振腔的结构和稳定性是该系统性能的关键因素。
合理设计和优化光学谐振腔的结构,降低腔内的损耗,调整激射源的位置和腔长,可以显著提高光学谐振腔的性能和稳定性,在各种光学应用中发挥重要作用。
光学谐振腔的分类之一腔内傍轴光线几何逸出损耗的高低:稳定腔、非稳腔、临界腔。
稳定腔:腔内傍轴光线经过任意多次往返传播而不逸出腔外的谐振腔。
非稳腔:腔内光线经过有限次往返传播后逸出腔外的谐振腔。
临界腔:能够保证截面平行于反射镜面的光束在反射镜间传播不逸出。
什么样几何形状的谐振腔?共轴球面腔的三个参数:腔镜的曲率半径R 1、R 2、腔长L 需要满足什么样的条件呢?本节讨论光学谐振腔的稳定性条件。
1.共轴球面谐振腔的稳定性条件光线在球面谐振腔内往返n 次的光学变换矩阵:=往返n 次后光线的空间位置坐标与方向坐标:如果在无论n 取多大值、任何值的情况下,An 、Bn 、Cn 和Dn 都是在一定范围内的有限值,那么 和 就是有限值,只要反射镜的镜面横向尺寸足够大,就可以保证傍轴光线在腔内往返任意次、无限次而不会从侧面逸出。
从M n 的表达式中可以看出,角度 的大小对矩阵中的四个元素An 、Bn 、Cn 和Dn 起着决定性的作用。
和 取值大小,反映的是光线偏离光轴能力的大小,即造成激光几何损耗的大小。
下面我们就分三种情况对 角的取值加以讨论,并希望能从中寻找出谐振腔的稳定性条件。
n n nn n A B M C D ⎡⎤=⎢⎥⎣⎦⎥⎦⎤⎢⎣⎡----ϕϕϕϕϕϕϕ)1sin(sin sin sin )1sin(sin sin 1n n D n C n B n A 1111n n n n n n r A r B C r D θθθ=+⎫⎬=+⎭ϕn r n θn r n θ⎪⎪⎪⎪⎩⎪⎪⎪⎪⎨⎧---=+-=-=-=1212121222)21)(21()11(24)1(221R L R L R L D R R R R L C R L L B R L A讨论 的取值情况:1) 为实数且不等于往返n 次的变换矩阵:=谐振腔的稳定性条件: 或二者等价。
)(21arccos D A +=ϕ221LA R =-{121222(1)(1)L L LD R R R =---121L LA 2(1)(1)12R R =---(+D )ϕϕk π121<+D A 12L L 0(1)(1)1R R <--<1122Lg 1R L g 1R ⎧-⎪⎪⎨⎪-⎪⎩==1201g g <<n n nn n A B M C D ⎡⎤=⎢⎥⎣⎦⎥⎦⎤⎢⎣⎡----ϕϕϕϕϕϕϕ)1sin(sin sin sin )1sin(sin sin 1n n D n C n B n A 1111n n n n n n r A r B C r D θθθ=+⎫⎬=+⎭121<+D A 1201g g <<、 均为有限值,随n 做周期性变化,只要反射镜的镜面横向尺寸足够大,就可以保证傍轴光线在腔内往返无限次而不会从侧面逸出。