高等代数(北大版)第6章习题参考答案
- 格式:docx
- 大小:834.41 KB
- 文档页数:37
高等代数(北大版第三版)习题答案I I(总95页)-本页仅作为预览文档封面,使用时请删除本页-高等代数(北大第三版)答案目录第一章多项式第二章行列式第三章线性方程组第四章矩阵第五章二次型第六章线性空间第七章线性变换第八章 —矩阵第九章欧氏空间第十章双线性函数与辛空间注:答案分三部分,该为第二部分,其他请搜索,谢谢!12.设A 为一个n 级实对称矩阵,且0<A ,证明:必存在实n 维向量0≠X ,使0<'A X X 。
证 因为0<A ,于是0≠A ,所以()n A rank =,且A 不是正定矩阵。
故必存在非退化线性替换Y C X 1-=使()BY Y ACY C Y AX X '=''='-12222122221n p p p y y y y y y ----+++=++ ,且在规范形中必含带负号的平方项。
于是只要在Y C Z 1-=中,令p y y y === 21,1,021=====++n p p y y y 则可得一线性方程组 ⎪⎪⎪⎪⎩⎪⎪⎪⎪⎨⎧=+++=+++=+++=++++++1102211,122,111,122111212111n nn n n n n p p p n pn p p n n x c x c x c x c x c x c x c x c x c x c x c x c ,由于0≠C ,故可得唯一组非零解()ns s s s x x x X ,,,21 =使()0111000<--=----+++='p n AX X s s, 即证存在0≠X ,使0<'A X X 。
13.如果B A ,都是n 阶正定矩阵,证明:B A +也是正定矩阵。
证 因为B A ,为正定矩阵,所以BX X AX X '',为正定二次型,且 0>'A X X , 0>'B X X ,因此()0>'+'=+'BX X AX X X B A X ,于是()X B A X +'必为正定二次型,从而B A +为正定矩阵。
第九章 欧氏空间1.设()ij a =A 是一个n 阶正定矩阵,而),,,(21n x x x =α, ),,,(21n y y y =β,在n R 中定义内积βαβα'A =),(,1) 证明在这个定义之下, n R 成一欧氏空间;2) 求单位向量)0,,0,1(1 =ε, )0,,1,0(2 =ε, … , )1,,0,0( =n ε,的度量矩阵;3) 具体写出这个空间中的柯西—布湿柯夫斯基不等式。
解 1)易见βαβα'A =),(是n R 上的一个二元实函数,且(1) ),()(),(αβαβαββαβαβα='A ='A '=''A ='A =,(2) ),()()(),(αβαββαβαk k k k ='A ='A =,(3) ),(),()(),(γβγαγβγαγβαγβα+='A '+'A ='A +=+,(4) ∑='A =ji j i ij y x a ,),(αααα,由于A 是正定矩阵,因此∑ji j i ij y x a ,是正定而次型,从而0),(≥αα,且仅当0=α时有0),(=αα。
2)设单位向量)0,,0,1(1 =ε, )0,,1,0(2 =ε, … , )1,,0,0( =n ε,的度量矩阵为)(ij b B =,则)0,1,,0(),()( i j i ij b ==εε⎪⎪⎪⎪⎪⎭⎫ ⎝⎛nn n n n n a a a a a aa a a212222211211)(010j ⎪⎪⎪⎪⎪⎪⎭⎫ ⎝⎛ =ij a ,),,2,1,(n j i =, 因此有B A =。
4) 由定义,知∑=ji ji ij y x a ,),(βα,α==β==故柯西—布湿柯夫斯基不等式为2.在4R 中,求βα,之间><βα,(内积按通常定义),设:1) )2,3,1,2(=α, )1,2,2,1(-=β,2) )3,2,2,1(=α, )1,5,1,3(-=β,3) )2,1,1,1(=α, )0,1,2,3(-=β。
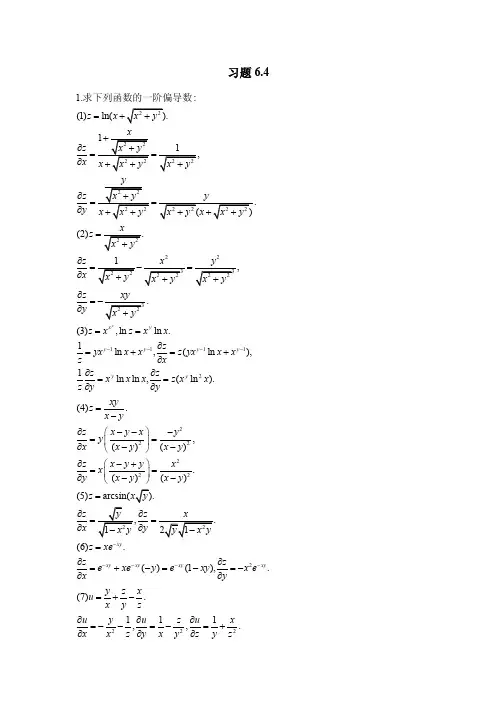
习题6.4223331111.:(1)ln((2),.(3),ln ln .1ln ,(l yx y y y y z x z x z y z zx y xz xy y z x z x x zyx x x z yx z x ---=+∂==∂∂==∂=∂==∂∂=-∂==∂=+=∂求下列函数的一阶偏导数12222222n ),1ln ln ,(ln ).(4).,()().()()(5)arcsin((6).()(1y y y xy xy xy xy x x z zx x x z x x z y yxyz x y z x y x y y x x y x y z x y y x x y x y x y z z z x y z xe z e xe y e xy x -----+∂∂==∂∂=-⎛⎫∂---== ⎪∂--⎝⎭⎛⎫∂-+== ⎪∂--⎝⎭=∂∂==∂∂=∂=+-=-∂2222),.(7).111,,.xy zx e yy z x u x y z u y u z u x x x z y x y z y z -∂=-∂=+-∂∂∂=--=-=+∂∂∂11(8)().(),(),().ln()z z z zu xy u u u yz xy xz xy xy xy x y z --=∂∂∂===∂∂∂ (0,1)(0,1)2(0,1)0(0,1)12arccos(1)(1)cos (1),.1sin sin(1)1sin cos 1,1sin (1sin )(1)(1sin(1))(1)cos(1)1sin(1)(1s x x y x y y x z zz x y x y z d x d x x x x dx xdx x z d y d y y y y dy y dy ===---∂∂=++-∂∂∂+-===∂++∂---+-+--==∂+-+求下列函数在指定点的偏导数:求及21(,1)(,1)22222(,1)(,1)221.in(1))2(2),.cos 2sin cos 2cos ,2(cos )(cos )(cos )2,0.(3)(,,)ln(),(2,1,0),(2,1,0),(2,1,0).(,,)y x y z x y y z zz y x x y z y x z y x y xx y x y y x y x z zx y f x y z xy z f f f f x y z ππππ==--∂∂=+∂∂∂∂+-==⨯=∂+∂++∂∂==∂∂=+求及求1,(,,),(,,).11(2,1,0),(2,1,0)1,(,,).22y z x y z y x f x y z f x y z xy z xy z xy z f f f x y z ===+++===222220,(,)(0,0),3.(,)||||0, (,)(0,0)(0,0),(0,0).(,)|||||0((,)(0,0)),||||(,)(0,0)0((,)(0,0)),(,)(0,0)|(0,0)lim x x x x y x y f x y x y x y f x y f x y x y x y x y f x y f x y f x y x f ∆→⎧+≠⎪=+⎨⎪=⎩+=≤+→→+→=→∆∆=证明函数在连续但是不存在在连续.证|0|lim .||x x x x x ∆→∆=∆∆不存在24..21,,.2y z z zz x yx x yz y y y z yx x x x y x xz z y y y y zx yx y x x x x∂∂=+=∂∂∂∂⎛⎫⎛⎫=+-=⎪ ⎪∂∂⎝⎭⎝⎭∂∂+=+==∂∂设,证明为齐次函数根据关于齐次函数微分的一个定理立得结论直接计算如下证1/2,,..22322225.:(1)(,)ln(23).26,.23(23)(2)(,)sin .cos ,cos .(3)(,)4ln(1).2112,2.1(4)(,)ln()ln ln .ln ln 1xy x xy x x x xy x xy x f f x y x y f f x y x y f x y y x e f y x e f x f x y x xy x x xf y x f y x f x y x xy x x x y f y x =+-==++=+=+==++-+=++-=+==+=++求下列函数的二阶混合偏导数2232223322332222222221,.6.cos3,Laplace 0.3sin 3,9cos3,3cos3,9cos3,0.7.(,)4cos(33)xy yyy yy x ctf yu uu ex u u x yu u e x e x x x u u e x e x y y u u u x yu u u x t e x ct c t -----+=∂∂=∆=+=∂∂∂∂=-=-∂∂∂∂=-=∂∂∂∂∴∆=+=∂∂∂∂=++=∂ 设证明满足平面方程证明函数满足波动方程证222222222222.12sin(33),36cos(33),12sin(33),36cos(33),.8.(,)(,),.x ct x ct x ctx ct x u u ce c x ct c e c x ct t t u u e x ct e x ct x xu u c t x u u x y v v x y D u u u v u v D x y y x++++∂∂∂=-+=-+∂∂∂∂=-+=-+∂∂∂∂=∂∂==∂∂∂∂==-∂∂∂∂故设及在内又连续的二阶偏导数,且满足方程组证明及在内证2222Laplace 0,.u v u u x y∆=∆=∂∂∆=+∂∂满足平面方程其中 222222222,(),0.0.u v v u v v v v vx x y x y y y x y x x y y x x y u v ∂∂∂∂∂∂∂∂∂∂∂===-=-=-∂∂∂∂∂∂∂∂∂∂∂∂∂∂∂∂∆=∆=和连续故类似证证2222/19.(,)sin (0,)2sin .111sin sin ln(1),11(0,)2sin ,(,)sin ln |1|2sin 1(2)sin ln |1|.10.:(1).y x z z x y y z y y y z x xyy dx x y xy C xy y z y C y y z x y x y xy y y yx y y xy y z e d ∂=-+=+∂-⎛⎫-+=---+ ⎪-⎝⎭==+=---++=-+--=⎰已知函数满足以及.试求的表达式求下列函数的全微分解z=//222222.()()()()(2)(2))(2)..()()(3)arctan arctan arctan arccot ,0.2(4)y x y x y xdy ydx z e de x x x y dx dy x y x y dx dy y dx x dy z dz x y x y x y y x y y z dz x y x x u du π-==++--+--+===---=+=+=====334223433422343344234223223411.(,)(4103)(15125),(,).4103,15125.(4103)53(),1512()15125,()z x y dz x xy y dx x y xy y dy f x y z zx xy y x y xy y x y z x xy y dx x x y xy C y zx y xy C y x y xy y yC y =+-+-+∂∂=+-=-+∂∂=+-=+-+∂'=-+=-+∂'=⎰已知函数的全微分求的表达式解454234522222222222222225,().(,)53.12.(,)(),(,).()11()()2211y C y y C f x y x x y xy y C z f x y y x dz x dx y dy z x y x y x y y x dz x dx y dy x y x y xdy ydx xdx ydy x y xdy ydxyd x x d x y d x y yx =+=+-++=⎛⎫=-++ ⎪++⎝⎭⎛⎫=-++ ⎪++⎝⎭-=+++-=++=+++已知函数的全微分求的表达式解22222221()arctan 21()arctan .21()arctan .2y d x y d x y xy d x y x y z x y C x=+++⎛⎫=++ ⎪⎝⎭=+++ 222000000000000013.(,):{()()}0,0.:(,).(,),(,)(,)[(,)(,)][(,)(,)](,)()(,)()0.(,)(,),(,).x y f fz f x y D x x y y R f x y x yx y D f x y f x y f x y f x y f x y f x y f y x x f x y y f x y f x y x y D ξη∂∂=-+-<==∂∂∀∈-=-+-=-+-==∈证明在区域上恒等于常数证14.:(,)(0,0),(0,0),(0,0),(,)(0,0).(,)|0(0,0)((,)(0,0)),(,)(0,0)(0,0)0,(0,0)0.(,)(0,0)0),(,)x y x y o f x y f f f x y f x y f x y f x y f f f x y f x x ==→=→===→证明函数处连续存在但在处不可微处连续.若在处可微, 将有f(x,y)=特别应有证||||)(0),.o x x x ==→但此式显然不成立12222115.(,)(,)(,),,()..(,)(,).,.,,,(),(),,.P x y dx Q x y dy D u x y P Q C D P Q y xu udu P x y dx Q x y dy P Q x y P u u Q u uy y x y x x x y x yP Q u u P QP Q C D C D y x y x x y y x+∈∂∂=∂∂∂∂=+==∂∂∂∂∂∂∂∂∂∂====∂∂∂∂∂∂∂∂∂∂∂∂∂∂∂∂∈∈==∂∂∂∂∂∂∂∂设在区域中是某个函数之全微分且证明由假设由得故即证22222(),(,)(0,0)16.(,)0 (,)(0,0).(1)(0,)(0);(2)(0,0)0;(3)(0,0)1;(4)(,0),(0,0) 1.[2((1)0,(,)x x xy y yx x x y xyx y f x y x y x y f y y f f f x f x y x y f x y ⎧-≠⎪=+⎨⎪=⎩≠==-=+≠=设函数计算根据偏导数定义证明在上述结果的基础上证明重复上述步骤于并证明设则证2222222225402222222222)]()2(),()(0,).(2)(,0)0,(0,0)0.(3)(0,0)()| 1.[2()]()2()(4)0,(,),()(,0).(0,)0,(0,0)0.(0,0)x x xy y y y y yx y y x y x x y xyx y y f y y yf x f f y xy x y x x y y x y xyx f x y x y f x x f y f f x =-+--+-==-=='=-=--+-+--≠=+'====设则03332232322322| 1.17.ln(),.11ln()ln()1,,,11,.x z zz x xy x x yz y z z xy x xy x xy x x x x z z x y y x y y ==∂∂=∂∂∂∂∂∂=+=+==-∂∂∂∂∂==-∂∂∂∂设求解。
第6章线性空间[视频讲解]6.1本章要点详解本章要点■线性空间的定义与简单性质■维数、基与坐标■基变换与坐标变换■线性子空间的判定■线性子空间■子空间的交与和■子空间的直和■线性空间的同构重难点导学一、集合·映射1.集合(1)定义①集合:把一些事物汇集到一起组成的一个整体.②元素:组成集合的东西.a∈M,表示a是集合M的元素,读为:a属于M.a M,表示a不是集合M的元素,读为:a不属于M.③空集:不包含任何元素的集合.④子集合:如果集合M的元素全是集合N的元素,即由a∈M可以推出a∈N,则称M为N的子集合.空集合是任一集合的子集合.(2)集合的关系①集合相等:如果两个集合M与N含有完全相同的元素.即a∈M当且仅当a∈N.或者两个集合同时满足M∈N和N∈M.②集合的交:设M,N是两个集合.既属于M又属于N的全体元素所成的集合称为M与N的交,记为M∩N.③集合的并:属于集合M或者属于集合N的全体元素所组成的集合称为M与N的并,记为M∪N.2.映射(1)定义设M与M′是两个集合.存在一个法则,它使M中每一个元素a都有M′中一个确定的元素a′与之对应,则称这个法则为集合M到集合M′的一个映射.如果映射σ使元素a′∈M′与元素a∈M对应,则记为σ(a)=a′.a′称为a在映射σ下的像,而a称为a′在映射σ下的一个原像.M到M自身的映射,也称为M到自身的变换.集合M到集合M′的两个映射σ及τ.若对M的每个元素a都有σ(a)=τ(a),则称它们相等,记作σ=τ.(2)映射的乘积设映射,乘积定义为(a)=τ(σ(a)),即相继施行σ和τ的结果,是M到M"的一个映射.(3)映射的性质①设σ是集合M到M′的一个映射,用σ(M)代表M在映射σ下像的全体,称为M在映射σ下的像集合,显然σ(M)∈M′,如果σ(M)=M′,映射σ就称为映上的或满射.②如果在映射σ下.M中不同元素的像也一定不同.即由a1≠a2一定有σ(a1)≠σ(a2),则称映射σ为1-1的或单射.③一个映射如果既是单射又是满射称为1-1对应或双射.(4)可逆映射设映射σ:M→M′,若有映射τ:M′→M,使得,则称σ为可逆映射,τ为σ的逆映射,记作σ-1.二、线性空间的定义与简单性质1.线性空间的定义如果加法与数量乘法满足下述规则,则V称为数域P上的线性空间.加法满足下面四条规则(1)α+β=β+α;(2)(α+β)+γ=α+(β+γ);(3)在V中有一个元素0,对于V中任一元素α都有0+α=α(具有这个性质的元素0称为V的零元素);(4)对于V中每一个元素α,都有V中的元素β,使得α+β=0(β称为α的负元素).数量乘法满足下面两条规则(1)1α=α;(2)k(lα)=(kl)α.数量乘法与加法满足下面两条规则(1)(k+l)α=kα+lα;(2)k(α+β)=kα+kβ.在以上规则中,k,l表示数域P中的任意数;α,β,γ表示集合V中任意元素.由定义,几何空间中全部向量组成的集合是一个实数域上的线性空间.分量属于数域P 的全体n元数组构成数域P上的一个线性空间,这个线性空间用P n来表示.2.线性空间的简单性质(1)零元素是唯一的;(2)负元素是唯一的;(3)0α=0;k0=0;(-1)α=-α;(4)如果kα=0.那么k=0或者α=0.三、维数、基与坐标1.线性空间中向量之间的线性关系(1)有关定义①线性组合设V是数域P上的一个线性空间,α1,α2,…,αr(r≥1)是V中一组向量,k1,k2,…,k r是数域P中的数.使得向量α=k1α1+k2α2+…+k rαr,则称为向量组α1,α2,…,αr的一个线性组合,或者称向量α可以用向量组α1,α2,…,αr线性表出.②向量组等价设α1,α2,…,αr(6-1)β1,β2,…,βr(6-2)是V中两个向量组,如果向量组(6-1)中每个向量都可以用向量组(6-2)线性表出,则称向量组(6-1)可以用向量组(6-2)线性表出.如果向量组(6-1)与向量组(6-2)可以互相线性表出.则称向量组(6-1)与(6-2)为等价的.③线性无关线性空间V中向量α1,α2,…,αr(r≥1)称为线性相关,如果在数域P中有r个不全为零的数k1,k2,…,k r,使k1α1+k2α2+…+k rαr=0(6-3)如果向α1,α2,…,αr不线性相关,称为线性无关,或者称向量组α1,α2,…,αr为线性无关,如果式(6-3)只有在k1=k2=…=k r=0时才成立.(2)有关结论①单个向量α是线性相关的充分必要条件是α=0.两个以上的向量α1,α2,…,αr线性相关的充分必要条件是其中有一个向量是其余向量的线性组合;②如果向量组α1,α2,…,αr线性无关,而且可以被β1,β2,…,βr线性表出,那么r ≤s.。
高等代数答案第一章多项式1.用)(x g 除)(x f ,求商)(x q 与余式)(x r :1)123)(,13)(223+−=−−−=x x x g x x x x f ;2)2)(,52)(24+−=+−=x x x g x x x f 。
解1)由带余除法,可得92926)(,9731)(−−=−=x x r x x q ;2)同理可得75)(,1)(2+−=−+=x x r x x x q 。
2.q p m ,,适合什么条件时,有1)q px x mx x ++−+32|1,2)q px x mx x ++++242|1。
解1)由假设,所得余式为0,即0)()1(2=−+++m q x m p ,所以当⎩⎨⎧=−=++012m q m p 时有q px x mx x ++−+32|1。
2)类似可得⎩⎨⎧=−−+=−−010)2(22m p q m p m ,于是当0=m 时,代入(2)可得1+=q p ;而当022=−−m p 时,代入(2)可得1=q 。
综上所诉,当⎩⎨⎧+==1q p m 或⎩⎨⎧=+=212m p q 时,皆有q px x mx x ++++242|1。
3.求()g x 除()f x 的商()q x 与余式:1)53()258,()3f x x x x g x x =−−=+;2)32(),()12f x x x x g x x i =−−=−+。
解1)432()261339109()327q x x x x x r x =−+−+=−;2)2()2(52)()98q x x ix i r x i=−−+=−+。
4.把()f x 表示成0x x −的方幂和,即表成2010200()()...()n n c c x x c x x c x x +−+−++−+⋯的形式:1)50(),1f x x x ==;2)420()23,2f x x x x =−+=−;3)4320()2(1)37,f x x ix i x x i x i =+−+−++=−。
1A = 1000 ,B = 0001 ,|A +B |=1,|A |=0,|B |=0.|A +B |=|A |+|B |.2A = 0100,A 2=0,A =0.3A (E +A )=E A 4A = 0100 ,B = 1000,AB =0,rank (A )=1,rank (B )=1,A,B 2.1B 2A 3C 4A 5D 6B 7B 8C 9D 10A 11D 12A 13C 14D 15D 16B 17C 18C 19C 20D 21C 22C 23D 24C 25C 26A 27A 28A 1−135,93m ×s,n k =1a jk b ki 4 1b 0001612012001a n1a 20···00...···············000 (1)910411(−1)mn ab12213I n2单元练习:线性方程组部分一、填空题 每空 1分,共 10分1.非齐次线性方程组 AZ = b (A 为 m ×n 矩阵)有唯一解的的充分必要条件是____________。
2.n +1 个 n 维向量,组成的向量组为线性 ____________ 向量组。
3.设向量组 3 2 1 , ,a a a 线性无关,则常数 l , m 满足____________时,向量组 3 1 2 3 1 2 , , a a a a a a -- - m l 线性无关。
4.设 n 阶矩阵 A 的各行元素之和均为零, 且 r (A ) = n -1则 Ax = 0 的通解为________。
5.若向量组 3 2 1 , , a a a 线性无关,则向量组 3 1 2 3 1 2 , , a a a a a a + + + ____________。
高等代数答案第一章多项式1 •用 g{x)除 /(.r),求商 </(.r)与余式 r(.r):1) /*(.r) = .r 3 - 3.r 2 - x-1,= 3.r 2 - 2.r +1: 2) f(x} = x 4 — 2.r+ 5,烈A ) = H -才+ 2 •解1)由带余除法,可得彳(才)=丄x--,/(.r) = - —.r--; 3 9 99 2 )同理可得久工)=X 2 + X- 1,心=-5.V+ 1 .2. m 、p 、q 适介什么条件时,冇1) x 1 + w.r-11 .t 3 + px+ q 、2) .r 2 + 7//.V+ 11 x 4 + + q o解I)由假设,所得余式为0,即(P+1 +〃小才+(0-刃) = 0,所以当+ 1 + - ° 时有才2 + my-11 x 3 + px*q° q- m- 02)类似可得(劝(2 — Q -刃?=0, j :是当加=o 时,代入(2)可得〃=夕+ 1:而当 [乡+ 1-p- ftl・=02-p-nr =0 时,代入(2〉可得0 = 1。
了 时,皆有 f + 〃/・丫+11 x 4 + pf + q o p + 〃厂=23. 求g(.x)除/(X )的商0⑴与余式:1) /*(.r) = Zr 5 - 5-r 3 - 8.i ,g(.r) = .r+ 3 :2) f(x) = 一 , 一 不 g(.v)=才一 l + 2/ o0(・丫) = 2r 4 - +13” 一 39才 +109解1);心)=-327°).(.丫) = '-2灯-(5+2/)。
/// = 0综上所诉,当 □攵.;p=q+\ -心)=-9 + 8/4. 把/(才)表示成才一兀的方幕和,即表成C Q +q(・Y-旺)+Q(才一・®)2 + ... + C…(X -X Q y+ …的形式:1) /(才)",兀 T;2) /*(.r) = .r4 - 2.x2 + 3,x0 = -2;3) /(r) = x + 2/x一(l + /).r2一3x+ 7 + /,兀=-/«解1)由综合除法,可得/(x) = 1+ 5(x-1) + 10(r -1)2 +10(x-l)3^5(x -l)4+(r-l)5;2) 由综合除法,可得x4 -21^ + 3 = 11 - 24(.r+ 2) + 22(.r+ 2)2 -8(.r+ 2)3 + (.r+ 2)4:3) 由综介除法,可得.r4 + 2/:? - (1 + /).? -3x + (7 + z)= (7+5/)-5(x+/)4- (- 1一/比+/予-2«+/)+ (r+ // o5. 求/(貯与肌工)的最大公因式:1) /(才)=.r4 + .r5 -3, - 4才- 1£(才)=,+ , -.丫-1 ;2) /(.r) = .r4 -4.? + l,^(.r) =.? -3,r +1 :3) f .r) - .r4 - lO.r2 + l,g(") - .r4 -心力 + 6A2 + 4/2r+ 1。
第六章 线性空间1.设,N M ⊂证明:,M N M M N N ==I U 。
证 任取,M ∈α由,N M ⊂得,N ∈α所以,N M I ∈α即证M N M ∈I 。
又因,M N M ⊂I 故M N M =I 。
再证第二式,任取M ∈α或,N ∈α但,N M ⊂因此无论哪 一种情形,都有,N ∈α此即。
但,N M N Y ⊂所以M N N =U 。
2.证明)()()(L M N M L N M I Y I Y I =,)()()(L M N M L N M Y I Y I Y =。
证 ),(L N M x Y I ∈∀则.L N x M x Y ∈∈且在后一情形,于是.L M x N M x I I ∈∈或所以)()(L M N M x I Y I ∈,由此得)()()(L M N M L N M I Y I Y I =。
反之,若)()(L M N M x I Y I ∈,则.L M x N M x I I ∈∈或 在前一情形,,,N x M x ∈∈因此.L N x Y ∈故得),(L N M x Y I ∈在后一情形,因而,,L x M x ∈∈x N L ∈U ,得),(L N M x Y I ∈故),()()(L N M L M N M Y I I Y I ⊂于是)()()(L M N M L N M I Y I Y I =。
若x M N L M N L ∈∈∈UI I (),则x ,x 。
在前一情形X x M N ∈U , X M L ∈U 且,x M N ∈U 因而()I U (M L )。
,,N L x M N X M L M N M M N M N ∈∈∈∈∈⊂U U U I U U I U U U U I U I U 在后一情形,x ,x 因而且,即X (M N )(M L )所以 ()(M L )(N L )故 (L )=()(M L )即证。
3、检验以下集合对于所指的线性运算是否构成实数域上的线性空间:1) 次数等于n (n ≥1)的实系数多项式的全体,对于多项式的加法和数量乘法;2) 设A 是一个n ×n 实数矩阵,A 的实系数多项式f (A )的全体,对于矩阵的加法和数量乘法;3) 全体实对称(反对称,上三角)矩阵,对于矩阵的加法和数量乘法; 4) 平面上不平行于某一向量所成的集合,对于向量的加法和数量乘法; 5) 全体实数的二元数列,对于下面定义的运算:212121121112b a b a a b b a a k k b a ⊕+=+++-1111(a ,)((,)()k 。
1. 判别下面所定义的变换那些是线性的,那些不是:4) 在 P 3 中,A (X 1,X 2,X 3) (2X 1 X 2, X 2 X 3,X 1);5) 在 P[ X ]中,A f (x) f (x 1); 6) 在P[ X ]中,A f(x )f(X o ),其中X 0 P 是一固定的数;7) 把复数域上看作复数域上的线性空间,A8)在P nn 中,A X=BXC 其中B,C P n n 是两个固定的矩阵.解1)当0时,是;当 0时,不是。
2)当 0时,是;当 0时,不是。
3)不是.例如当(1,0,0), k 2 时,k A ( ) (2,0,0) , A (k )(4,0,0),A (k ) k A()。
4)是•因取(y 1,y 2,y 3),有A ()= A (X 1 y 1, X 2 y 2 ,X 3 y 3)=(2X 1 2y 1 X 2 y 2 ,X 2 y= (2X 1 X 2,X 2 X 3,X 1) (2y 1=A+ A ,A (k ) A (kx 1, kx 2, kx 3)故A 是P 3上的线性变换。
5)是.因任取 f(x) P[x], g(x) P[ X],并令u(x) f (x) g(x)则A ( f (x) g(x)) = A u(x) =u(x 1) = f (x 1) g(x 1)=A f (x) + A (g(x)),再令 v( x) kf (x)则 A (kf (x)) A (v( x)) v(x 1) kf (x 1) k A ( f (x)),故A 为P[x]上的线性变换。
6)是.因任取 f (x)P[x], g(x) P[ x]则.g(x))=f(X 0) g(x 。
)A ( f (x)) A (g(x)),第七章线性变换1) 在线性空间V 中,A ,其中V 是一固定的向量;2)在线性空间V 中,A3) 在 P 3 中,A (X 1, X 2 X )其中V 是一固定的向量;(X 12 , X 2 X 3, x 3).X 3 y 3,X 1 yj y 2,y 2y 3,y 1)(2kx 1kx 2, kx 2gkxj (2kx 1kx 2, kx 2gkxjA ( f (x)A(kf (x)) kf (X0) k A(f (x))7)不是,例如取a=1,k=l,则A(ka)=-i , k( A a)=i, A^ ka) k A(a)。
第九章 欧氏空间1.设()ij a =A 是一个n 阶正定矩阵,而),,,(21n x x x =α, ),,,(21n y y y =β,在nR 中定义内积βαβα'A =),(,1) 证明在这个定义之下, n R 成一欧氏空间;2) 求单位向量)0,,0,1(1 =ε, )0,,1,0(2 =ε, … , )1,,0,0( =n ε,的度量矩阵;3) 具体写出这个空间中的柯西—布湿柯夫斯基不等式。
解 1)易见βαβα'A =),(是n R 上的一个二元实函数,且 (1) ),()(),(αβαβαββαβαβα='A ='A '=''A ='A =,(2) ),()()(),(αβαββαβαk k k k ='A ='A =,(3) ),(),()(),(γβγαγβγαγβαγβα+='A '+'A ='A +=+, (4)∑='A =ji j i ij y x a ,),(αααα,由于A 是正定矩阵,因此∑ji j i ij y x a ,是正定而次型,从而0),(≥αα,且仅当0=α时有0),(=αα。
2)设单位向量)0,,0,1(1 =ε, )0,,1,0(2 =ε, … , )1,,0,0( =n ε,的度量矩阵为)(ij b B =,则)0,1,,0(),()( i j i ij b ==εε⎪⎪⎪⎪⎪⎭⎫⎝⎛nn n n n n a a a a a a a a a212222211211)(010j ⎪⎪⎪⎪⎪⎪⎭⎫ ⎝⎛ =ij a ,),,2,1,(n j i =, 因此有B A =。
4) 由定义,知∑=ji ji ij y x a ,),(βα,α==β==故柯西—布湿柯夫斯基不等式为2.在4R 中,求βα,之间><βα,(内积按通常定义),设: 1) )2,3,1,2(=α, )1,2,2,1(-=β, 2) )3,2,2,1(=α, )1,5,1,3(-=β, 3))2,1,1,1(=α, )0,1,2,3(-=β。
第六章线性空间.设M N ,证明:M N M , M N N。
1证任取M , 由 M N ,得N , 所以M N , 即证 M N M 。
又因M N M , 故M NM 。
再证第二式,任取M或N , 但 M N , 因此无论哪一种情形,都有N , 此即。
但N M N , 所以 M N N 。
2.证明 M ( NL ) (M N ) (M L) , M (N L) ( M N ) (M L ) 。
证x M (N L), 则x M 且 x NL. 在后一情形,于是x M N或 x M L.所以 x (M N )(M L) ,由此得 M ( N L) (M N ) (M L ) 。
反之,若x (M N ) ( M L) ,则 x M N或x M L. 在前一情形, x M , x N , 因此x N L. 故得 x M ( N L ), 在后一情形,因而x M , x L, x N L ,得x M ( N L ), 故 ( M N ) ( M L) M ( N L), 于是 M ( N L) (M N ) (M L ) 。
若x M (NL),则xM ,x N L 。
在前一情形 X x M N,且 X ML,因而 x( MN)( M L)。
在后一情形, xN ,x 因而x M N ,且X M,即 X ( M N)(M L)所以L, L(M N)(M L) M (N L)故M (NL) =()(M L)M N即证。
3、检验以下集合对于所指的线性运算是否构成实数域上的线性空间:1)次数等于n( n 1)的实系数多项式的全体,对于多项式的加法和数量乘法;2)设 A 是一个 n× n 实数矩阵, A 的实系数多项式 f (A )的全体,对于矩阵的加法和数量乘法;3)全体实对称(反对称,上三角)矩阵,对于矩阵的加法和数量乘法;4)平面上不平行于某一向量所成的集合,对于向量的加法和数量乘法;5)全体实数的二元数列,对于下面定义的运算:( a1,b1)( a b ( a1a2,b1b2a1 a2)(kk 1) 2k。
( a1, b1) =( ka1,kb1+ a126) 平面上全体向量,对于通常的加法和如下定义的数量乘法:k a 0 ; 7) 集合与加法同 6),数量乘法定义为:k a a ;8) 全体正实数 r ,加法与数量乘法定义为:a b ab , ka a k ;解 1)否。
因两个 n 次多项式相加不一定是 n 次多项式,例如( x n 5)( x n 2) 3 。
2)令 V={f (A ) |f ( x )为实数多项式, A 是 n × n 实矩阵 }因为f ( x ) +g ( x ) =h ( x ), kf ( x ) =d ( x ) 所以f ( A ) +g (A )=h ( A ), kf ( A ) =d ( A )由于矩阵对加法和数量乘法满足线性空间定义的 1~8 条,故 v 构成线性空间。
3)矩阵的加法和和数量乘法满足线性空间定义的 1~8 条性质,只需证明对称矩阵(上三角矩阵,反对称矩阵)对加法与数量乘法是否封闭即可。
下面仅对反对称矩阵证明: 当 A , B 为反对称矩阵, k 为任意一实数时,有( A+B ) =A+B =-A-B=- ( A+B ), A+B 仍是反对称矩阵。
( K A ) K A (K )A ( )K ,A 所以 kA 是反对称矩阵。
故反对称矩阵的全体构成线性空间。
4)否。
例如以已知向量为对角线的任意两个向量的和不属于这个集合。
5)不难验证,对于加法,交换律,结合律满足, (0,0)是零元,任意( a , b )的负元是 2(-a , a -b )。
对于数乘:。
( , )(。
,。
1(1 1) a 2) (a, b), 1 a b 1 a 1 b2 k.(l .(a, b) k.(la , lb l (l 1) a 2 ) (kla ,k[l b l (l 1) a2] k (k 1) (la)2 ) 2 2 2(kla, k[lb l (l 1) a 2 ] k (k 1) (la)2 ) (kla, kl ( kl 1) a 2 k( k 1) (la )2 ) 2 2 2 2 (kla, kl (kl 1) a 2 klb) (kl ).(a, b),2 l ) a, ( k l )(k l 1) a 2 (k l ).( a, b) [( k (k l )b ] 2k.(a,bl .(a,b) (ka, kb k( k 1) a 2 ) (la,lb l1) a 2) (l2 2 (ka la, kb k( k 1)a2k (k1)a2kla2 )2 2[( k l )a, (k1)(k l1) a2( k l )b] .2即 ( k l ) (a,b) k ( a,b) l (a, b) 。
k [( a1 , b1 ) (a2 ,b2 )] k( a1a2 , b1 b2a1a2 )= [k (a1 a2 ), k(b1 b2a1 a2k( k 1) (a1a2 )2 )] ,2 k ( a1, b1 ) k (a2 , b2 )k(k = (ka1 ,kb12 =(ka1 ka2 ,kb1= (k (a1a2 ),k(b1= (k (a1a2 ), k (b11) a12 ) (ka 2 ,kb2k(k 1) a22 )2k( k 1) a12 kb2k (k 1)a22k 2 a1a2 )2 2b2a1a2 )k(k 1)a12k( k 1)a22k 2 a1a2 k a1a2 )2 2b2a1a2 )k (k 1)( a12 a22 )2 ) ,2即k (a1,b1 ) (a2 , b2 ) k (a1, b1 ) k (a2 ,b2 ) ,所以,所给集合构成线性空间。
6)否,因为 1 0. 。
7)否,因为 ( kl ) , k l 2 , 所以( k l ) ( k ) (l ) ,所给集合不满足线性空间的定义。
8)显然所给集合对定义的加法和数量乘法都是封闭的,满足i )a b ab ba b a;ii )(a b) c (ab) c abc a (bc)iii )1是零元: a 1 a1 a;iv ) a的负元是1 :a 1 a 11,且1a a a a v)1 a a1a;vi )(k (l a)) k (a l ) ( a l )kalkaklvii )(kl ) a a k l a k a l(ka) (la ) ;viii )k (a b)k (ab)( ab)k a k b ka(b c);a 1;(kl ) a;( k a) (k b).所以,所给集合R 构成线性空间。
4 在线性空间中,证明:1) k 0 0 2) k( ) k k 。
证 1) k 0 k( ( )) k k( ) k k( 1) (k ( k )) 0 0 。
2)因为 k ( ) k k ( ) k ,所以 k( ) k k 。
5 证明:在实函数空间中,1, cos2 t, cos2t 式线性相关的。
证因为 cos 2 2cos2t1 2t,cos2t式线性相关的。
t ,所以 1,cos6如果 f1 ( x), f 2 (x), f 3 (x) 是线性空间 P[ x] 中三个互素的多项式,但其中任意两个都不互素,那么他们线性无关。
证若有不全为零的数 k1 , k2 , k3使 k1 f1 ( x) k2 f2 (x) k3 f3 (x)0 ,不妨设 k10, 则 f 1( x) k2 f 2 (x) k3f 3 ( x) ,这说明 f 2 ( x), f 3 ( x) 的公因式也是f1 (x)k1k1的因式,即 f1 (x), f 2 ( x), f 3 ( x) 有非常数的公因式,这与三者互素矛盾,所以f1 (x), f2 ( x), f 3 ( x) 线性无关。
7 在 P 4中,求向量在基 1 , 2 , 3 , 4下的坐标。
设1)1(1,1,1,1), 2(1,1, 1, 1), 3(1, 1,1 1), 4(1, 1, 1,1), (1,2,1,1) ;2)1(1,1,0,1), 2 (2,1,3,1), 3 (1,1,0,0), 4 (0,1, 1, 1), (0,0,0,1) 。
a b c d 1解 1)设有线性关系 a 1 b 2 c 3 d 4a b c d 2 ,则b c d,a 1a b c d 1可得在基1, 2 , 3, 4下的坐标为a5 ,b 1 , c 1 ,d 1 。
4 4 4 4a 2bc 02)设有线性关系 a 1 b 2 c 3 da b c d 0 4,则,3b da b d 1可得在基1, 2 , 3 , 4下的坐标为 a 1, b 0, c 1, d 0 。
8 求下列线性空间的维数于一组基: 1)数域P 上的空间 P n n ; 2)P n n中全体对称(反对 称,上三角)矩阵作成的数域P 上的空间; 3)第 3 题 8)中的空间 ;4)实数域上由矩阵 A 的全1 0 0 1 3i体实系数多项式组成的空间 ,其中 A= 0 0 ,。
0 0 2 2解 1) P n n 的基是 E ij}( i , j 1,2,..., n), 且dim( P n n ) n 2 。
...... ... ... 1 ... 2) i) 令 F ij ... ... , 即 a ij aji 1, 其 余 元 素 均 为 零 , 则 ... 1 ... ... ...... ...F 11 ,...,F 1n , F 22 ,..., F 2 n ,...,F nn 是对称矩阵所成线性空间 M n 的一组基 , 所以 Mn 是 n( n 1) 维的。
2...... ... ...1 ...ii) 令 G ij ... ... , 即 a ij aji 1, (i j), 其 余 元 素 均 为 零 , 则... 1 ... ... ...... ...G 12 ,...,G 1n,G 23 ,...,G 2n ,...,G n1,n 是反对称矩阵所成线性空间S n 的一组基 , 所以它是n( n 1) 维的。
2 iii) E 11 ,...,E 1n, E 22 ,..., E 2n ,..., E nn 是上三角阵所成线性空间的一组基 ,所以它是 n( n 1)2维的。
3)任一不等于 1 的正实数都是线性无关的向量 ,例如取 2,且对于任一正实数a ,可经 2 线性表 出,即 . a (log 2 a) 2 ,所以此线性空间是一维的,且 2 是它的一组基。