百校联考冲刺二卷文科数学(2)
- 格式:pdf
- 大小:721.88 KB
- 文档页数:10
2020年百校联考高考百日冲刺数学试卷(文科)(二)(全国Ⅰ卷)一、选择题(本大题共12小题,共36.0分)1.已知集合且,则A的非空真子集的个数为A. 30B. 31C. 62D. 632.复数z满足,则A. 2B. 4C.D. 53.▱ABCO,O为原点,,,则B点坐标为A. B. C. D.4.袋中有4个球,3个红色,1个黑色,从中任意摸取2个,则恰为2个红球的概率为A. B. C. D.5.已知,则A. B. C. D.6.若双曲线C:的渐近线与圆相切,则C的渐近线方程为A. B. C. D.7.已知等差数列的前n项和满足:,则A. 4aB.C. 5aD.8.李冶,真定栾城今河北省石家庄市栾城区人.金元时期的数学家.与杨辉、秦九韶、朱世杰并称为“宋元数学四大家”在数学上的主要贡献是天元术设未知数并列方程的方法,用以研究直角三角形内切圆和旁切圆的性质.李治所著测圆海镜中有一道题:甲乙同立于乾隅,乙向东行不知步数而立,甲向南直行,多于乙步,望见乙复就东北斜行,与乙相会,二人共行一千六百步,又云南行不及斜行八十步,问通弦几何.翻译过来是:甲乙两人同在直角顶点C 处,乙向东行走到B处,甲向南行走到A处,甲看到乙,便从A走到B处,甲乙二人共行走1600步,AB比AC长80步,若按如图所示的程序框图执行求AB,则判断框中应填入的条件为A. ?B. ?C. ?D. ?9.已知函数的图象在上有且仅有两条对称轴,则的取值范围为A. B. C. D.10.已知:在R上为增函数.,,则M,N的大小关系是A. B.C. D. M,N大小不能确定11.某几何体的三视图如图所示,则该几何体中,最长的棱的长度为A.B.C. 3D.12.已知则A. 1B.C. 2D.二、填空题(本大题共4小题,共12.0分)13.过上一点作曲线的切线,则切线方程为______.14.已知x,y满足线性约束条件目标函数的最大值为2,则实数k的取值范围是______.15.已知椭圆C:,的左、右焦点分别为,,右焦点与抛物线E:的焦点重合.椭圆C与抛物线E交于A,B两点,A,,B三点共线,则椭圆C的离心率为______.16.数列满足:,且恒成立,则m的最小值为______.三、解答题(本大题共7小题,共84.0分)17.在中,.Ⅰ求角C;Ⅱ若,求周长的最大值.18.如图,在四棱锥中,,,,为锐角,平面平面PBD.Ⅰ证明:平面ABCD;Ⅱ与平面PBD所成角的正弦值为,求三棱锥的表面积.19.西部某贫困村,在产业扶贫政策的大力支持下,在荒山上散养优质鸡,城里有7个饭店且每个饭店一年有300天需要这种鸡,A饭店每天需要的数量是之间的一个随机数,去年A饭店这300天里每天需要这种鸡的数量单位:只如表:x1415161718频数4560756060厂和这7个饭店联营,每天出栏鸡是定数,送到城里的这7个饭店,从饲养到送到饭店,每只鸡的成本是40元,饭店给鸡厂结算每只70元,如果7个饭店用不完,即当天每个饭店的需求量时,剩下的鸡只能以每只元的价钱处理.Ⅰ若,求鸡厂当天在A饭店得到的利润单位:元关于A饭店当天需求量单位:只,的函数解析式;Ⅱ若,求鸡厂当天在A饭店得到的利润单位:元的平均值;Ⅲ时,以表中记录的各需求量的频率作为各需求量发生的概率,求鸡厂当天在A饭店得到的利润大于479元的概率.20.已知抛物线上有两点A,B,过A,B作抛物线的切线交于点,且.Ⅰ求p;Ⅱ斜率为1且过焦点的直线交抛物线于M,N两点,直线交抛物线于C,D 两点,求四边形MNDC面积的最大值.21.已知函数,,且与的图象有一个斜率为1的公切线为自然对数的底数.Ⅰ求;Ⅱ设函数,讨论函数的零点个数.22.在平面直角坐标系xOy中,直线l的参数方程为为参数,以坐标原点为极点,x轴的正半轴为极轴建立极坐标系,椭圆C的极坐标方程为.Ⅰ当时,把直线l的参数方程化为普通方程,把椭圆C的极坐标方程化为直角坐标方程;Ⅱ直线l交椭圆C于A,B两点,且A,B中点为,求直线l的斜率.23.已知函数.Ⅰ若恒成立,求实数a的取值范围;Ⅱ的解集为,求a和m.-------- 答案与解析 --------1.答案:A解析:解:集合且,2,3,4,,故A的子集个数为,非空真子集个数为30.故选:A.求出集合且,2,3,4,,由此能求出A的非空真子集个数.本题考查集合的非空真子集的个数的求法,考查子真子集等基础知识,考查运算求解能力,是基础题.2.答案:C解析:解:由,得,.故选:C.把已知等式变形,再由复数代数形式的乘除运算化简,然后利用复数模的计算公式求解.本题考查复数代数形式的乘除运算,考查复数模的求法,是基础题.3.答案:A解析:解:根据题意,▱ABCO中,有,又由,,则,,则,则;故选:A.根据题意,由向量加法的平行四边形法则可得,求出、的坐标,计算可得答案.本题考查向量的坐标计算,涉及向量的加法运算,属于基础题.4.答案:D解析:解:设3个红球分别为a,b,c,黑球为m.所有2个红球的取法有3种:ab,ac,bc.所有不同的取法有6种:ab,ac,bc,am,bm,cm,故所求概率为.故选:D.设3个红球分别为a,b,c,黑球为利用列举法能求出从中任意摸取2个,恰为2个红球的概率.本题考查概率的求法,考查古典概型、列举法等基础知识,考查运算求解能力,是基础题.5.答案:B解析:解:,故.故选:B.利用两角和与差公式直接求解.本题考查三角函数值的求法,考查两角和与差公式等基础知识,考查运算求解能力,是中档题.6.答案:B解析:【分析】本题主要考查双曲线的几何性质,涉及直线与圆的位置关系,属于基础题.根据题意,设双曲线C的渐近线为,由直线与圆的位置关系可得,解可得k的值,将k的值代入直线的方程即可得答案.【解答】解:根据题意,设双曲线C的渐近线为,即,若双曲线C:的渐近线与圆相切,则圆心到渐近线的距离,解可得,则C的渐近线方程为故选B.7.答案:B解析:解:,.故选:B.利用等差数列的通项公式求和公式及其性质即可得出.本题考查了等差数列的通项公式求和公式及其性质,考查了推理能力与计算能力,属于基础题.8.答案:A解析:解:由题知,,,,由勾股定理可知.故选:A.模拟程序的运行过程,分析循环中各变量值的变化情况,可得判断框中应填入的条件.本题考查了程序框图的应用问题,解题时应模拟程序框图的运行过程,以便得出正确的结论,是基础题.9.答案:C解析:解:令,解得,分别为的y轴右侧由左往右最近的三条对称轴.要满足图象在上有且仅有两条对称轴,只需,解得.故选:C.只要保证在y轴右侧的最近三条对称轴,左边两条对称轴落在内,第三条在外即可,由此构造不等式组.本题考查三角函数的图象与性质,注意结合正余弦函数的图象与性质解决的性质的基本路子,属于中档题.10.答案:B解析:解:由题意,,,又,且是R上的增函数,,即.故选:B.根据是R上的增函数即可得出,从而得出,并且可得出,从而可得出M与N的大小关系.本题考查了增函数的定义,分段函数的单调性,对数的运算性质,对数函数的单调性,基本不等式的应用,考查了计算能力,属于基础题.11.答案:C解析:解:由三视图还原原几何体如图,该几何体为四面体ABCD,四面体所在正方体的棱长为2,则棱长分别为:,,,,.最长的棱的长度为3.故选:C.由三视图还原原几何体如图,该几何体为四面体ABCD,四面体所在正方体的棱长为2,分别求出六条棱的长度得答案.本题考查空间几何体的三视图,考查空间想象能力与思维能力,是中档题.12.答案:B解析:解:,时,,,即,故,故.故选:B.时,,推导出,从而,由此能求出结果.本题考查函数值的求法,考查函数性质等基础知识,考查运算求解能力,是基础题.13.答案:或解析:【分析】设切点为,然后利用表示切线方程,再根据切线过求出,进而得到切线方程.本题考查了利用导数研究曲线上某点切线方程,考查了方程思想,属基础题.【解答】解:设上的切点为,则切线的斜率,在上,,切线方程为,在切线上,,或,切线方程为或,故答案为:或.14.答案:解析:解:x,y满足线性约束条件表示的可行域如图:目标函数化为,时,可知:最优解在直线上,而在可行域内,且满足故可知:实数k的取值范围是.故答案为:.画出约束条件的可行域,利用目标函数的最大值,结合直线系结果的定点,转化求解实数k的取值范围.本题考查简单的线性规划,考查了数形结合的解题思想方法,是中档题.15.答案:解析:解:如图,根据题意可得抛物线准线l过左焦点,作交于点l于点,则则易得四边形是正方形,故椭圆C的离心率.故答案为:.作出图形,作准线l交于点l于点,则可得四边形是正方形,所以离心率即可.本题考查椭圆离心率的求法,数形结合思想,属于中档题.16.答案:9解析:解:由,得:.两式相减得:,故.令,则.两式相减得:,故.而当时,,故m的最小值为9.故答案为:9.先由题设条件求出,再求其前n项和,然后处理m的最小值.本题主要考查数列通项公式的求法及前n项和的最值,属于中档题.17.答案:解:Ⅰ由,可得:,可得,因为,可得.Ⅱ由题意可得:,可得:,当时,周长取最大值为.解析:Ⅰ利用三角函数恒等变换的应用化简已知等式可求,结合范围,可求C的值.Ⅱ由正弦定理,三角函数恒等变换的应用以及正弦函数的性质即可求解,即可得解周长的最大值.本题主要考查了三角函数恒等变换的应用,正弦定理以及正弦函数的性质在解三角形中的综合应用,考查了转化思想和函数思想,属于中档题.18.答案:解:Ⅰ证明:作于M,则由平面平面平面.取AD中点为Q,则.又为锐角,点M与点B不重合.平面.又,DB与AD为平面ABCD内两条相交直线,故平面ABCD.Ⅱ解:由Ⅰ知:平面PBD,故即为AD与平面PBD所成角,.在中,,故,,,.而,故所求表面积为:.解析:Ⅰ作于M,则平面PBD,取AD中点为Q,推导出平面由此能证明平面ABCD.Ⅱ由平面PBD,得即为AD与平面PBD所成角,由此能求出三棱锥的表面积.本题考查空中线面平行、线面垂直、面面垂直、锥体表面积求法,考查空间想象能力、推理论证能力、考查运算求解能力,是中档题.19.答案:解:Ⅰ当时,,当时,,,由,得;Ⅱ由Ⅰ知,,,300天中,有45天的利润是420元天,有60天的利润是450元天,有195天的利润是480元天,鸡厂当天在A饭店得到的利润单位:元的平均值为元.Ⅲ当时,,当时,鸡厂当天在A饭店得到的利润元,鸡厂当天在A饭店得到的利润大于479元的概率为.解析:Ⅰ根据每只鸡的成本为40元,饭店给鸡场每只结算70元,如果每个饭店当天的需求量,剩下的鸡只能以每只元的价格处理,建立分段函数模型,再将代入求解;Ⅱ由Ⅰ知,将代入,得,根据表中记录,300天中,有45天的利润是420元天,有60天的利润是450元天,有195天的利润是480元天,再由平均数公式求解;Ⅲ当时,,把代入求得,再由表中记录,利用频率求概率.本题主要考查样本估计总体,考查分段函数的应用与运算求解能力,正确理解题意是关键,是中档题.20.答案:解:Ⅰ过点Q作的切线,方程设为,即,代入,由即,化为,由,可得两切线相互垂直,可得它们的斜率之积为,.Ⅱ由题意可得直线MN:,联立抛物线方程,可得,即有,故.由CD:,联立抛物线方程,可得,且由,由平行线之间的距离公式可得:梯形MNDC的高为,故,令,则,.在上,,S递增;在上,,S递减.故当时,S取最大值为.解析:Ⅰ设过Q的切线方程为,联立抛物线的方程,再由相切的条件:判别式为0,再由两直线相互垂直的条件:斜率之积为,结合韦达定理,可得所求值;Ⅱ由直线MN的方程和抛物线方程联立,求得,由CD的方程联立抛物线方程,运用韦达定理和弦长公式可得,求得梯形MNDC的高,由梯形的面积公式可得四边形MNDC面积S,运用换元法和导数,求得单调性和最值.本题考查抛物线的方程和性质,考查直线和抛物线的位置关系,注意联立直线方程和抛物线方程,运用韦达定理,考查化简运算能力,属于中档题.21.答案:解:.在处的切线方程为,即,,.在处的切线方程为,故.,,令,则,当时,有两根,,且,,,在上,;在上,,此时,又时,,时,,故在和上,各有1个零点;当时,最小值为,故仅有1个零点.当时,,其中,同,在与上,各有1个零点,当时,,仅有1个零点,时,对方程,.方程有两个正根,,.在上,;在上,;在,.由,故,.,,,,故.故在上,,在上,;在上,有1个零点,当时,恒成立,为增函数,仅有1个零点.综上,或时,有1个零点,或时,有2个零点.解析:Ⅰ根据条件求出与的公切线方程,然后建立关于a,b的方程,再求出;Ⅱ先求出的解析式,然后令,得到,再对m分类,讨论函数的零点个数.本题考查了利用导数研究曲线上某点切线方程,利用导数研究函数的单调性和函数零点的判断,考查了分类讨论思想和方程思想,属难题.22.答案:解:Ⅰ直线l的普通方程为:;椭圆C的直角坐标方程为:.Ⅱ将直线l的参数方程代入椭圆C的直角坐标方程整理得:,由题意得:,故,所以直线l的斜率为.解析:Ⅰ直接利用转换关系,把参数方程极坐标方程和直角坐标方程之间进行转换.Ⅱ利用一元二次方程根和系数的应用和三角函数关系式的恒等变换求出结果.本题考查的知识要点:参数方程极坐标方程和直角坐标方程之间的转换,一元二次方程根和系数关系式的应用,三角函数关系式的恒等变换,主要考查学生的运算能力和转换能力及思维能力生的运算能力,属于基础题型.23.答案:解:Ⅰ,当且仅当时取等号,故的最小值为,或.Ⅱ由不等式解集的意义可知:时,,即,解得或4.时,如图所示:不合题意,舍去;时,如图所示:由与,解得:.即,综上,,.解析:Ⅰ根据绝对值三角不等式,由,求得最小值,再由求解;Ⅱ不等式的解集与相应方程根的关系,当时,,即,解得或再分类求解.本题主要考查绝对值不等式和不等式的解集与相应方程根的关系,还考查了数形结合的思想和运算求解的能力,属于中档题.。
2020年百校联考高考百日冲刺数学试卷(文科)(二)(全国Ⅱ卷)一、选择题(本大题共12小题,共60.0分) 1. 集合{1,2,3}的非空真子集共有 ( )A. 5个B. 6个C. 7个D. 8个2. 复数Z =3−4i ,则|Z|等于( )A. 3B. 4C. 5D. 63. 若AB ⃗⃗⃗⃗⃗ =(2,3),AC ⃗⃗⃗⃗⃗ =(3,t),|BC ⃗⃗⃗⃗⃗ |=1,则AB ⃗⃗⃗⃗⃗ ⋅BC ⃗⃗⃗⃗⃗ =( )A. −3B. −2C. 2D. 34. 从1,2,…,10这十个数中任取三个不同的数,则至少有一个奇数和一个偶数的概率为( )A. 56B. 512C. 518D. 5365. 已知sin(x +π12)=13,则cos(x +712x)的值为( )A. 13B. −13C. −23√2D. 23√26. 已知F 1、F 2分别为双曲线C :x 29−y 227=1的左、右焦点,点A 为双曲线上一点,∠F 1AF 2的平分线交x 轴于点 (2,0),则|AF 2|=( )A. 3B. 6C. 8D. 107. 已知等差数列{a n }满足a 1=2,公差d ≠0,且a 1,a 2,a 5成等比数列,则d =( )A. 1B. 2C. 3D. 48. 给出50个数:1,3,5,7,…,99,要计算这50个数的和.如图给出了该问题的程序框图,那么框图中判断框①处和执行框②处可以分别填入( )A. i ≤50?和p =p +1B. i ≤51?和p =p +1C. i ≤51?和p =p +2D. i ≤50?和p =p +29. 已知f(x)=sinωx +√3cosωx(ω>0)在区间[π6,π4]上单调递增,则ω的取值范围是( )A. (0,23]B. (0,23]∪[7,263] C. [7,263]∪[503,19]D. (0,23]∪[503,19]10. 对于定义域是R 的任意奇函数f(x),都有( )A. f(x)−f(−x)>0B. f(x)−f(−x)≤0C. f(x)⋅f(−x)≤0D. f(x)⋅f(−x)>011. 如图,网格纸的各小格都是正方形,粗实线画出的是一个几何体的三视图,则这个几何体是( )A. 三棱锥B. 三棱柱C. 四棱锥D. 四棱柱12. 设f(x)={3−x +a(x ≤2)f(x −1)(x >2),若f(3)=−89,则实数a 是( )A. 1B. −1C. 19D. 0二、填空题(本大题共4小题,共20.0分)13. 函数f (x )=x 3+ax 在点(1,2)处的切线方程为____.14. 已知满足{x ≥2x +y ≤42x −y −m ≤0 ,若目标函数z =3x +y 的最大值为10,则z 的最小值为______.15. 已知椭圆x 2a 2+y 2b2=1(a >b >0)的半焦距为c ,(c >0),左焦点为F ,右顶点为A ,抛物线y 2=158(a +c)x 与椭圆交于B ,C 两点,若四边形ABFC 是菱形,则椭圆的离心率是______.16. 大衍数列,来源于中国古代著作《乾坤谱》中对易传“大衍之数五十”的推论.其前10项为:0、2、4、8、12、18、24、32、40、50. 通项公式:a n ={n 2−12,n 为奇数n 22,n 为偶数如果把这个数列{a n }排成右侧形状,并记A(m,n)表示第m 行中从左向右第n 个数,则A(10,4)的值为______.三、解答题(本大题共6小题,共72.0分) 17. 在△ABC 中,cosBcosC =−b2a+c ,(1)求B ;(2)b =√13,a +c =4,求S △ABC .18. 如图,ABCD 是正方形,DE ⊥平面ABCD ,AF//DE ,DE =DA =2AF =2.(1)求证:AC ⊥平面BDE ;(2)求AE 与平面BDE 所成角的大小; (3)求三棱锥D −BEF 的体积.19.改革开放以来,中国快递行业持续快速发展,快递业务量从上世纪80年代的153万件提升到2018年的507.1亿件,快递行业的发展也给我们的生活带来了很大便利.已知某市某快递点的收费标准为:首重(重量小于等于1kg)收费10元,续重5元/kg(不足1kg按1kg算).(如:一个包裹重量为2.5kg,则需支付首付10元,续重10元,一共20元快递费用)(1)若你有三件礼物A,B,C重量分别为0.4kg,1.2kg,1.9kg,要将三个礼物分成两个包裹寄出,如:A,B合为一个包裹,C一个包裹.那么如何分配礼物,使得你花费的快递费最少?(2)对该快递点近5天的每日揽包裹数(单位:件)进行统计,得到的日揽包裹数分别为56件,89件,130件,202件,288件,那么从这5天中随机抽出2天,求这2天的日揽包裹数均超过100件的概率.20. 已知函数f(x)=ax +1nx(a ∈R),g(x)=e x .(Ⅰ)求f(x)的单调区间;(Ⅱ)证明:当a =0时,g(x)>f(x)+2.21. 在直角坐标系xOy 中直线l 的参数方程为{x =−1+√22t y =√22t(t 为参数),以O 为极点,x 轴的非负半轴为极轴建立极坐标系,曲线C 的极坐标方程为ρcos 2θ=2sinθ. (1)求直线l 的普通方程和曲线C 的直角坐标方程; (2)若直线l 交曲线C 于A ,B 两点,求线段AB 的长度.22. (1)已知f(x +1)=x 2+2x ,求f(x)的解析式.(2)已知不等式|x −2|+|x +1|>a 对于一切的实数x 恒成立,求a 的范围.-------- 答案与解析 --------1.答案:B解析: 【试题解析】本题考查的知识点是计算集合非空真子集的个数.根据集合{1,2,3}把集合的非空真子集列举出来,即可得到个数; 解:集合{1,2,3}的非空真子集有: {1},{2},{3},{1,2},{1,3},{2,3}共6个; 故选:B .2.答案:C解析:解:∵Z =3−4i , ∴|Z|=√32+(−4)2=5. 故选:C .直接利用复数模的计算公式求解. 本题考查复数模的求法,是基础的计算题.3.答案:C解析:本题考查了向量的数量积,向量的模的运算,向量的加减运算,属基础题.由题意可得BC ⃗⃗⃗⃗⃗ =AC ⃗⃗⃗⃗⃗ −AB ⃗⃗⃗⃗⃗ =(1,t −3),然后利用向量的模与数量积进行求解即可得. 解:因为BC ⃗⃗⃗⃗⃗ =AC ⃗⃗⃗⃗⃗ −AB ⃗⃗⃗⃗⃗ =(1,t −3),所以|BC ⃗⃗⃗⃗⃗ |=√1+(t −3)2=1,解得t =3, 所以BC ⃗⃗⃗⃗⃗ =(1,0),所以AB ⃗⃗⃗⃗⃗ ⋅BC ⃗⃗⃗⃗⃗ =2×1+3×0=2, 故选C .4.答案:A解析:本题考查概率的求法,考查对立事件概率计算公式等基础知识,考查运算求解能力,考查函数与方程思想,是基础题.基本事件总数n=C103=120,至少有一个奇数和一个偶数包含的基本事件个数m=C103−C53−C53= 100,由此能求出至少有一个奇数和一个偶数的概率.解:从1,2,3,…,10这十个数中任取3个不同的数,基本事件总数n=C103=120,至少有一个奇数和一个偶数包含的基本事件个数m=C103−C53−C53=100,∴至少有一个奇数和一个偶数的概率为P=mn =100120=56.故选A.5.答案:B解析:本题考查了三角函数诱导公式,属于基础题.根据诱导公式直接计算即可.解:故选B.6.答案:B解析:解:双曲线C:x29−y227=1的a=3,b=3√3,c=√a2+b2=6,则F1(−6,0),F2(6,0),∠F1AF2的平分线交x轴于点M,可得|F1M||F2M|=|AF1||AF2|=48=12,可得A在右支上,由双曲线的定义可得|AF1|−|AF2|=2a=6,解得|AF2|=6;故选:B.求得双曲线的a,b,c,可得焦点坐标,运用角平分线性质定理,以及双曲线的定义可得|AF1|−|AF2|= 6,进而可得所求;本题考查双曲线的方程和定义,考查角平分线的性质定理的运用,考查运算求解能力,属于中档题.7.答案:D解析:本题考查等比数列的中项性质和等差数列的通项公式,考查方程思想和运算能力,属于基础题.由等比数列中项性质和等差数列的通项公式,解方程可得d.解:等差数列{a n}满足a1=2,公差d≠0,且a1,a2,a5成等比数列,可得a22=a1a5,即为(2+d)2=2(2+4d),即d2=4d,解得d=4(d=0舍去),故选D.8.答案:D解析:本题考查的知识点是程序框图,当循环的次数不多,或有规律时,常采用模拟循环的方法解答.由已知中的程序框图可知:该程序的功能是利用循环结构计算并输出变量s的值,模拟程序的运行过程,可得答案.解:由已知,要计算50个数的和.故循环次数要50次,由循环变量的初值为1,故判断框①处应填:i≤50?由于每次累加的值步长为2,故执行框②处应填:p=p+2,故选:D.9.答案:B解析:解:f(x)=sinωx +√3cosωx =2sin(ωx +π3), 由2kπ−π2≤ωx +π3≤2kπ+π2,k ∈Z , 得2kπ−5π6≤ωx ≤2kπ+π6,k ∈Z ,即2kπ−5π6ω≤x ≤2kπ+π6ω,即函数的单调递增区间为[2kπ−5π6ω,2kπ+π6ω],k ∈Z ,∵f(x)在区间[π6,π4]上单调递增,∴{2kπ−5π6ω≤π62kπ+π6ω≥π4,即{ω≥12k −5ω≤8k +23,即12k −5≤ω≤8k +23, ∵ω>0,∴当k =0时−5≤ω≤23,此时0<ω≤23, 当k =1时,7≤ω≤263,当k =2时,19≤ω≤16+23,此时不成立, 综上ω的范围是0<ω≤23或7≤ω≤263,即(0,23]∪[7,263], 故选:B .根据辅助角公式进行化简,结合函数单调递增的性质求出单调递增区间,建立不等式组关系进行求解即可.本题主要考查三角函数单调性的应用,结合辅助角公式进行化简,以及利用三角函数单调性的性质是解决本题的关键.10.答案:C解析:解:∵函数f(x)是奇函数, ∴f(−x)=−f(x),则f(x)⋅f(−x)=−f(x)⋅f(x)=−f 2(x)≤0, 故C 正确,其他不一定正确,故选:C根据函数奇偶性的性质进行判断即可.本题主要考查函数奇偶性的应用,比较基础.11.答案:B解析:根据三视图的法则:长对正,高平齐,宽相等.可得几何体如下图所示.考点:三视图的考查12.答案:B解析:本题考查分段函数求值,考查函数性质等基础知识,考查运算求解能力,是基础题.推导出f(3)=f(2)=3−2+a=−89,由此能求出a的值.解:∵f(x)={3−x+a(x≤2)f(x−1)(x>2),f(3)=−8 9 ,∴f(3)=f(2)=3−2+a=−89,解得a=−1.故选B.13.答案:y=4x−2解析:本题主要考查了利用导数求解曲线某点处的切线方程,属于基础题.将点(1,2)代入f(x)中得到a值,然后求解f(x)的导数,利用导数的几何意义求解即可.解:因为(1,2)在f(x)上,所以1+a =2,解得:a =1,所以f (x )=x 3+x ,所以f′(x )=3x 2+1,所以f′(1)=4,所以f(x)在点(1,2)处的切线方程为y −2=4(x −1),即y =4x −2.故答案为y =4x −2.14.答案:5解析:解:不等式组对应的平面区域如图:由z =3x +y 得y =−3x +z平移直线y =−3x +z ,则由图象可知当直线y =−3x +z 经过点C 时,直线y =−3x +z 的截距最大,此时z 最大,为3x +y =10由{3x +y =10x +y =4,解得{x =3y =1,即C(3,1), 此时C 在2x −y −m =0上,则m =5.当直线y =−3x +z 经过点A 时,直线y =−3x +z 的截距最小,此时z 最小,由{x =22x −y −5=0,得{x =2y =−1,即A(2,−1), 此时z =3×2−1=5,故答案为:5.作出不等式组对应的平面区域,根据z 的几何意义,利用数形结合即可得到m 的值.然后即可得到结论.本题主要考查线性规划的应用,根据z 的几何意义,利用数形结合是解决本题的关键.15.答案:12 解析:本题给出椭圆与抛物线相交得到菱形ABFC ,求椭圆的离心率e ,着重考查了椭圆、抛物线的标准方程和简单几何性质等知识,属于中档题.根据四边形ABFC 是菱形得到B 的横坐标为12(a −c),代入抛物线方程求出B 的纵坐标为√154b ,因此将点B 的坐标代入椭圆方程,化简整理得到关于椭圆离心率e 的方程,即可得到该椭圆的离心率. 解:如图∵椭圆x 2a 2+y 2b 2=1(a >b >0)的左焦点为F ,右顶点为A ,∴A(a,0),F(−c,0),a 2−c 2=b 2, ∵抛物线y 2=158(a +c)x 与椭圆交于B ,C 两点,∴B 、C 两点关于x 轴对称,可设B(m,n),C(m,−n)(n >0),∵四边形ABFC 是菱形,∴m =(a−c )2将B(m,n)代入抛物线方程,得n 2=15(a +c )×(a −c )=15b 2 ∴B((a−c )2,√154b),再代入椭圆方程, 得[12(a−c)]2a 2+(√154b)2b 2=1,又∵离心率e =ca ,化简整理,得4e 2−8e +3=0,解之得e =12(e =32>1不符合题意,舍去),故答案为:12.16.答案:3612解析:解:由题意,前9行,共有1+3+⋯+17=9×182=81项,A(10,4)为数列的第85项,∴A(10,4)的值为852−12=3612.故答案为3612.由题意,前9行,共有1+3+⋯+17=9×182=81项,A(10,4)为数列的第85项,即可求出A(10,4)的值.本题考查归纳推理,考查等差数列的求和公式,属于中档题.17.答案:解:(1)由cosBcosC =−b2a+c,根据正弦定理,可得:cosBcosC =−sinB2sinA+sinC,2cosBsinA+cosBsinC=−sinBcosC,即2cosBsinA=−sinA∵0<A<π,sinA≠0.∴cosB=−12∵0<B<π,∴B=2π3(2)b=√13,a+c=4,由余弦定理:cosB=a2+c2−b22ac,可得:−ac=a2+c2−13,即(a+c)2−ac−13=0得:ac=3那么三角形的面积S△ABC=12acsinB=3√34.解析:(1)利用正弦定理化简后,根据和与差的公式可得B的大小.(2)根据余弦定理建立关系,求出ac的值,即可得S△ABC的值.本题考查三角形的正余弦定理和和与差公式的运用,考查运算能力,属于基础题.18.答案:解:(1)证明:∵ABCD是正方形,∴AC⊥BD,∵DE⊥平面ABCD,AC⊂平面ABCD,∴AC⊥DE,∵BD,DE⊂平面BDE,BD∩DE=D,∴AC⊥平面BDE;(2)设AC∩BD=O,连接AE,EO,∵AC⊥平面BDE,∴EO是直线AE在平面BDE上的射影,∴∠AEO是AE与平面BDE所成角,在Rt△EAD中,EA=√AD2+DE2=2√2,AO=√2,∴在Rt△EOA中,sin∠AEO=AOEA =12,∴∠AEO=30°,即AE与平面BDE所成角为30°;(3)∵DE⊥平面ABCD,DE⊂平面ADEF,∴平面ADEF⊥平面ABCD,∴AB⊥AD,∵平面ADEF∩平面ABCD=AD,AB⊂平面ABCD,∴AB⊥平面ADEF,∴三棱锥D−BEF的体积V D−BEF=V B−DEF=13×S△DEF×AB=13×12×22×2=43.解析:本题考查线面垂直的证明,考查线面角、三棱锥的体积的求法,考查空间中线线、线面、面面间的位置关系等基础知识,考查运算求解能力,考查函数与方程思想,是中档题.(1)由AC⊥BD,得DE⊥平面ABCD,从而AC⊥DE,由此能证明AC⊥平面BDE;(2)设AC∩BD=O,连接AE,EO,由AC⊥平面BDE,得∠AEO是AE与平面BDE所成角,由此求出AE与平面BDE所成角;(3)推导出平面ADEF⊥平面ABCD,从而AB⊥AD,三棱锥D−BEF的体积V D−BEF=V B−DEF,由此能求出结果.19.答案:解:(1)A,B一个包裹,C一个包裹时,需花费15+15=30(元),A,C一个包裹,B一个包裹时,需花费20+15=35(元),B,C一个包裹,A一个包裹时,需花费25+10=35(元),综上,A,B一个包裹,C一个包裹时花费的运费最少,为30元.(2)5天中有3天的日揽包裹数超过100件,记这三天为a1,a2,a3,其余两天为b1,b2,从5天中随机抽出2天的所有基本事件如下:(a1,a2),(a1,a3),(a1,b1),(a1,b2),(a2,a3),(a2,b1),(a2,b2),(a3,b1),(a3,b2),(b1,b2),一共10种,2天的日揽包裹数均超过100件的基本事件有(a1,a2),(a1,a3),(a2,a3),一共3种,所以从这5天中随机抽出2天,2天的日揽件数均超过100件的概率为310.解析:本题考查实际应用问题以及古典概型的计算与应用,属于中档题.(1)分别求出A,B一个包裹,C一个包裹时;A,C一个包裹,B一个包裹;B,C一个包裹,A一个包裹时三种情况的快递费用,再比较大小,即可得到答案;(2)5天中有3天的日揽包裹数超过100件,记这三天为a1,a2,a3,其余两天为b1,b2,得到所有的基本事件数,以及这2天的日揽包裹数均超过100件的事件个数,再通过古典概型的概率公式计算,即可得到答案.20.答案:(本小题满分12分)解(1)f(x)的定义域是(0,+∞),f′(x)=a+1x,(x>0)10当a≥0时,f′(x)>0,所以在(0,+∞)单调递增;20当a<0时,由f′(x)=0,解得x=−1a.则当x∈(0,−1a )时.f′(x)>0,所以f(x)单调递增.当x∈(−1a,+∞)时,f′(x)<0,所以f(x)单调递减.综上所述:当a ≥0时,f(x)增区间是(0,+∞);当a <0时,f(x)增区间是(0,−1a ),减区间是(−1a ,+∞). …(4分)(2)f(x)=lnx ,f(x)与g(x)的公共定义域为(0,+∞),令F(X)=e x −lnx ,F′(x)=e x −1x ,F″(x)=e x +1x 2>0,所以F′(x)单调递增因为F′(12)=√e −2<0,F′(1)=e −1>0,所以存在唯一x 0∈(12,1)使得F′(x 0)=e x 0−1x 0=0,∴x 0=e −x 0 且当x ∈(0,x 0)时F′(x)<0,F(x)递减; 当x ∈(x 0,+∞)时F′(x)>0,F(x)当递增;所以F min (x)=F(x 0)=e x 0−lnx 0=e x 0+x 0>e 12+12>1.6+12>2 故g(x)>f(x)+2. …(12分)解析:(1)求出f(x)的定义域是(0,+∞),导函数f′(x)=a +1x ,(x >0),通过10当a ≥0时;20当a <0时,求解函数的单调区间.(2)求出函数的定义域,化简令F(X)=e x −lnx ,求出导函数,通过二次求导,求出函数的最值,判断导数的符号,得到函数的单调性,然后求解函数的最值即可.本题考查函数的导数的综合应用,函数的最值以及函数的单调性的应用,考查转化思想以及计算能力.21.答案:解:(1)直线l 的参数方程为{x =−1+√22t y =√22t (t 为参数),转换为直角坐标方程为x −y +1=0.曲线C 的极坐标方程为ρcos 2θ=2sinθ,整理得(ρcosθ)2=2ρsinθ,转换为直角坐标方程为x 2=2y .(2)把直线l 的参数方程为{x =−1+√22t y =√22t,代入x 2=2y ,得到:(√22t −1)2=2×√22t , 整理得12t 2−2√2t +1=0,即:t 2−4√2t +2=0,故t 1+t 2=4√2,t 1t 2=2,所以:|AB|=|t 1−t 2|=√(t 1+t 2)2−4t 1t 2=2√6.解析:(1)直接利用转换关系的应用,把参数方程极坐标方程和直角坐标方程之间转换求出结果.(2)利用一元二次方程根和系数关系式的应用求出结果.本题考查的知识要点:参数方程、极坐标方程和直角坐标方程之间的转换,一元二次方程根和系数关系式的应用,主要考查学生的运算能力和转换能力及思维能力,属于基础题型.22.答案:解:(1)令t=x+1,则x=t−1,所以f(t)=(t−1)2+2(t−1)=t2−1,∴f(x)=x2−1(2)要使不等式|x−2|+|x+1|>a,只需不等式(|x−2|+|x+1|)min>a,而不等式|x−2|+|x+1|≥|(x−2)−(x+1)|=3,当且仅当(x−2)(x+1)≥0时等号成立;所以a<3.解析:本题主要考查了求函数解析式和不等式中的恒成立问题,属于基础题.(1)首先令t=x+1,则x=t−1,所以f(t)=(t−1)2+2(t−1)=t2−1,再利用同一函数确定f(x)的解析式;(2)要使不等式|x−2|+|x+1|>a,只需不等式(|x−2|+|x+1|)min>a,而不等式|x−2|+|x+1|≥|(x−2)−(x+1)|=3,所以a<3.。
100所名校高考模拟金典卷·数学(二)(120分钟 150分)一、选择题:本题共12小题,每小题5分,共60分.在每小题给出的四个选项中,只有一项是符合题目要求的.1.设集合{|01}A x x =剟,1|2B x x ⎧⎫=>⎨⎬⎩⎭,则A B ⋂=( ) A .1,12⎡⎤⎢⎥⎣⎦B .1,12⎛⎤⎥⎝⎦C .(0,1)D .10,2⎛⎫ ⎪⎝⎭2.复数11z i i ⎛⎫=+ ⎪⎝⎭(i 为虚数单位)在复平面上对应的点位于( ) A .第一象限B .第二象限C .第三象限D .第四象限3.设双曲线2222:1(0,0)x y C a b a b -=>>的实轴长为8,一条渐近线为34y x =,则双曲线C 的方程为( )A .2216436x y -= B .2213664x y -= C .221916x y -= D .221169x y -= 4.已知正方体1111ABCD A B C D -的棱长为1,M ,N 分别是下底面的棱11A B ,11B C 的中点,P 是上底面的棱AD 上的一点,13AP =,过P ,M ,N 的平面交上底面于PQ ,Q 在CD 上,则PQ 等于( )A .3B .32 C .3D5.函数())1f x x x =+的大致图象为( )A .B .C .D .6.某调查机构对全国互联网行业进行调查统计,得到整个互联网行业从业者年龄分布饼状图、90后从事互联网行业者岗位分布条形图,则下列结论中是正确的是( )(注:90后指1990年及以后出生,80后指1980-1989年之间出生,80前指1979年及以前出生).A .互联网行业从业人员中80前占3%以上B .互联网行业90后中,从事设计岗位的人数比从事市场岗位的人数要多C .互联网行业中从事技术岗位的人数超过总人数的20%D .互联网行业中从事技术岗位的人数90后比80后多 7.已知函数()2sin 3f x x πω⎛⎫=-⎪⎝⎭的最小正周期T π=,下列说法正确的是( ) A .函数()f x 在5,1212ππ⎡⎤-⎢⎥⎣⎦上是减函数 B .函数()f x 的图象的对称中心为5,012π⎛⎫⎪⎝⎭C .函数6f x π⎛⎫+⎪⎝⎭是偶函数 D .函数()f x 在区间2,63ππ⎡⎤⎢⎥⎣⎦上的值域为[0,2] 8.抛物线2y x =-上的点到直线4380x y +-=距离的最小值是( )A .43B .75C .85D .39.程序框图如下图所示,若程序运行的结果60S =,则判断框中应填入( )A .4?k …B .3?k …C .2?k …D .1?k …10.在《九章算术》中,将有三条棱互相平行且有一个面为梯形的五面体称为“羡除”.现有一个羡除如图所示,DA ⊥平面ABFE ,四边形ABFE ,CDEF 均为等腰梯形,四边形ABCD 为正方形,AB EF ∥,2AB =,6EF =,点F 到平面ABCD 的距离为2,则这个羡除的表面积为( )A.10+B.12+C.12+D.12+11.已知偶函数()f x 的图象经过点(1,2)-,且当0a b <…时,不等式()()0f b f a b a-<-恒成立,则使得(1)2f x -<成立的x 的取值范围是( )A .(2,0)-B .(,2)(0,)-∞-⋃+∞C .(0,2)D .(,0)(2,)-∞⋃+∞12.已知ABC △的内角A ,B ,C 的对边分别为a ,b ,c ,且222cos cos a b c abc a B b A+-=+,若2a b +=,则c 的最小值为( ) A .1B32C .54D .34二、填空题:本题共4小题,每小题5分,共20分.把答案填在题中的横线上.13.若向量(1,)a m =-r ,(2,1)b =-r ,且()b a b ⊥+r r r,则实数m 等于_________.14.已知cos α=,,2παπ⎛⎫∈ ⎪⎝⎭,则sin2α=__________. 15.若x ,y 满足200240x y x y x y +-≤⎧⎪-≥⎨⎪--≤⎩,则2z x y =+的最大值为________.16.将函数ln y x =的图象绕点(0,1)-逆时针旋转0,2πθθ⎛⎫⎛⎫∈ ⎪ ⎪⎝⎭⎝⎭后与y 轴相切,则θ=_______. 三、解答题:共70分.解答应写出文字说明、证明过程或演算步骤.第17~21题为必考题,每个试题考生都必须作答.第22、23题为选考题,考生根据要求作答. (一)必考题:共60分.17.已知数列{}n a 满足()*112,22nn n a a a n +==++∈N.(1)判断数列{}2nn a -是否为等差数列,并说明理由;(2)记n S 为数列{}n a 的前n 项和,求n S .18.如图,在正三棱柱111ABC A B C -中,2BC =,12CC =.点P 在平面11ABB A 中,且11PA PB ==(1)求证:1PC AB ⊥.(2)求点P 到平面11A B C 的距离.19.“黄梅时节家家雨”“梅雨如烟暝村树”“梅雨暂收斜照明”…江南梅雨的点点滴滴都流露着浓烈的诗情.每年六、七月份,我国长江中下游地区进入持续25天左右的梅雨季节,如图是江南Q 镇2009~2018年梅雨季节的降雨量(单位:mm )的频率分布直方图,试用样本频率估计总体概率,解答下列问题:(1)计算a 的值,并用样本平均数估计Q 镇明年梅雨季节的降雨量;(2)Q 镇的杨梅种植户老李也在犯愁,他过去种植的甲品种杨梅,亩产量受降雨量的影响较大(把握超过八成).而乙品种杨梅这10年的亩产量(kg /亩)与降雨量的发生频数(年)如22⨯列联表所示(部分数据缺失).请你完善22⨯列联表,帮助老李排解忧愁,试想来年应种植哪个品种的杨梅受降雨量影响更小?并说明理由.(参考公式:22(),()()()()n ad bc K n a b c d a b c d a c b d -==+++++++)20.若函数()f x 在定义域D 内的某个区间I 上是增函数,且()()f x F x x=在I 上也是增函数,则称()y f x =是I 上的“完美增函数”.已知()xf x e x =+,()ln 1g x x =-.(1)判断函数()f x 是否为区间(0,)+∞上的“完美增函数”;(2)若函数()g x 是区间(0,]m 上的“完美增函数”,求实数m 的最大值.21.已知M 、N 是椭圆22:184x y C +=上不同的两点,MN 的中点坐标为2⎛ ⎝⎭. (1)证明:直线MN 经过椭圆C 的右焦点.(2)设直线l 不经过点(0,2)P 且与椭圆C 相交于A ,B 两点,若直线PA 与直线PB 的斜率的和为1,试判断直线l 是否经过定点,若经过定点,请求出该定点;若不经过定点,请给出理由.(二)选考题:共10分.请考生在第22、23题中任选一题作答.如果多做,则按所做的第一题计分. 22.[选修4-4:坐标系与参数方程]在平面直角坐标系xOy 中,直线l的参数方程为,x m y ⎧=⎪⎨=⎪⎩(t 为参数).以原点O 为极点,以x 轴非负半轴为极轴建立极坐标系,两坐标系取相同的长度单位.圆C的方程为ρθ=,直线l 被圆C 截. (1)求实数m 的值;(2)设圆C 与直线l 交于点A 、B ,若点P的坐标为(m ,且0m >,求||||PA PB +的值.23.[选修4-5:不等式选讲] 已知()2|1||21|f x x x =++-.(1)若()(1)f x f >,求实数x 的取值范围;(2)11()(0,0)f x m n m n +>>…对任意的x ∈R 都成立,求证:43m n +….100所名校高考模拟金典卷·数学(二)(120分钟 150分)一、选择题:本题共12小题,每小题5分,共60分.在每小题给出的四个选项中,只有一项是符合题目要求的. 1.答案 B命题意图 本题考查集合的交集;考查学生的运算求解能力. 解题分析 由题知,1|12A B x x ⎧⎫⋂=<⎨⎬⎩⎭…. 2.答案 A命题意图 本题考查复数的几何意义;考查学生的运算求解能力.解题分析 因111z i i i ⎛⎫=+=+ ⎪⎝⎭,所以复数z 在复平面上对应的点位于第一象限. 3.答案 D命意图本题考查双曲线的性质;考查学生的数据分析能力.解题分析 由题知,28a =,34b a =,所以4a =,3b =,所以双曲线的方程为221169x y -=. 4.答案 A命题意图 本题考查面面平行的性质;考查学生的数学运算与直观想象能力. 解题分析 如图所示,易知平面ABCD ∥平面1111A B C D ,则MN PQ ∥,因为13AP =,所以13CQ =,所以23DP DQ ==,所以PQ ==5.答案 A命题意图 本题考查函数图象;考查学生的逻辑推理能力.解题分析 因为(0)1f =,排除B 项,C项,又因为(1)1)11f -=-++<,排除D 项. 6.答案 C命题意图 本题考查统计图;考查学生的数据分析及逻辑推理的能力.解题分析 由题知,互联网行业从业人员中80前占3%,故选项A 错误;互联网行业90后中,从事设计岗位的人数占12.3%,从事市场岗位的人数占13.2%,故选项B 错误;在90后中,从事技术岗位的人数占总人数的比例为56%39.6%20%⨯>,故选项C 正确;互联网行业中从事技术岗位的人数90后比80后的无法确定,故选项D 错误. 7.答案 D命题意图 本题考查三角函数的性质;考查学生的数学运算的能力. 解题分析 因为函数()2sin 3f x x πω⎛⎫=-⎪⎝⎭的最小正周期T π=,2ππω=,得2ω=,所以()2sin(2)3f x x π=-,故函数()f x 在5,1212ππ⎡⎤-⎢⎥⎣⎦上是增函数,其对称轴为512x π=,所以A ,B 选项错误.又因为2sin 26f x x π⎛⎫+= ⎪⎝⎭,所以函数6f x π⎛⎫+ ⎪⎝⎭是奇函数.当2,63x ππ⎡⎤∈⎢⎥⎣⎦时,2[0,]3x ππ-∈,2sin [0,2]3x πω⎛⎫-∈ ⎪⎝⎭.8.答案 A命题意图 本题考查直线与抛物线的位置关系;考查学生的运算求解能力.解题分析 设平行直线4380x y +-=的直线l 的方程为430x y t ++=,联立方程2430,,x y t y x ++=⎧⎨=-⎩得2340x x t --=,由2(4)43()0t ∆=--⨯⨯-=,解得43t =-,所以抛物线2y x =-上的点到直线4380x y +-=距离的最小值为两平行直线间的距离43d ==.(也可利用函数求导,求切点坐标,利用点到直线的距离求解) 9.答案 C命题意图 本题考查程序框图;考查学生的数学运算及逻辑推理的能力.解题分析 循环前,1S =,5k =,第一次循环:5S =,4k =,继续循环,第二次循环:20S =,3k =,继续循环,第三次循环:60S =,2k =,循环终止,输出的60S =. 10.答案 B命题意图 本题考查立体几何;考查学生的空间想象及数学运算的能力.解题分析 因为DA ⊥平面ABFE ,点F 到平面ABCD 的距离为2,所以等腰梯形ABFE 的高为2,腰AE =ABCD 为正方形,且2AB =,所以等腰梯形CDEF 的高为的表面积为11122(26)2(26)2212222⨯+⨯+⨯+⨯+⨯+⨯⨯⨯=+ 11.答案 C命题意图 本题考查函数的性质;考查学生的数学运算的能力. 解题分析 因为当0a b <…时,不等式()()0f b f a b a-<-恒成立,所以函数()f x 在区间(,0]-∞上单调递减,又因为()f x 的图象经过点(1,2)-,所以(1)2f -=,又因为()f x 为偶函数,所以(1)2f x -<等价于(1)(1)f x f -<-,所以|1||1|x -<-,解得02x <<.12.答案 A命题意图 本题考查解三角形;考查学生的逻辑推理及运算求解能力.解题分析 因为222cos cos a b c ab c a B b A +-=+,所以2cos cos cos ab C abc a B b A=+,所以2cos 11sin sin cos sin cos sin()C C A B B A A B ==++.又因为sin()sin 0A B C +=≠,所以1cos 2C =,又因为(0,)C π∈,所以3C π=,又因为222222222cos ()3()312a b c a b ab C a b ab a b ab a b +⎛⎫=+-=+-=+-+-= ⎪⎝⎭…,当且仅当1a b ==时取等号,故c 的最小值为1.二、填空题:本题共4小题,每小题5分,共20分.把答案填在题中的横线上. 13.答案 7-命题意图 本题考查向量的数量积运算;考查学生的数学运算的能力.解题分析 因为(1,)a m =-r ,(2,1)b =-r ,所以(3,1)a b m +=-+r r ,因为()b a b ⊥+r r r,所以2(3)1(1)0m -⨯-+⨯+=,解得7m =-.14.答案 45-命题意图 本题考查三角恒等变换;考查学生的运算求解能力. 解题分析因为cos α=,,2παπ⎛⎫∈ ⎪⎝⎭,所以sin α=,所以4sin 22sin cos 25ααα⎛===- ⎝⎭. 15.答案 3命题意图 本题考查线性规划;考查学生的运算求解的能力. 解题分析 作出约束条件表示的可行域,如图所示,当直线2z x y =+经过点A 时,z 取得最大值,020x y x y -=⎧⎨+-=⎩,解得11x y =⎧⎨=⎩,即点A 的坐标为(1,1),故z 取得最大值为3. 16.答案:4π命题意图 本题考查导数的几何意义;考查学生的逻辑推理及运算求解能力.解题分析 设直线1y kx =-与函数ln y x =的图象相切,切点坐标为()00,ln x x ,1y x'=,所以01k x =,又因为001ln kx x -=,解得01x =,所以1k =,故244πππθ=-=.三、解答题:共70分.解答应写出文字说眀、证明过程或演算步骤.第17~21题为必考题,每个试题考生都必须作答.第22、23题为选考题,考生根据要求作答. (一)必考题:共60分.17.命题意图 本题考查等差及等比数列的综合应用;考查学生的逻辑推理和运算求解的能力.解题分析 (1)设2n n n b a =-,则1112n n n b a +++=-,所以()11122n nn n n nb b a a+++-=--+()()122222n n n n n a a +=++---=,所以数列{}2n n a -是首项为0,公差为2的等差数列.(2)由(1)知,202(1)n n a n -=+-,所以22(1)nn a n =+-,所以()12212[02(1)]22122n n n n n S n n +⨯-+-=+=+---.18.命题意图 本题考查线线垂直及点到平面的距离;考查学生的逻辑推理和运算求解的能力.解题分析 (1)证明:设11A B 的中点为D ,连接PD 与1DC ,因为11PA PB =,所以11PD A B ⊥,同理得111DC A B ⊥,所以11A B ⊥平面1PDC ,所以111A B PC ⊥,又因为11AB A B ∥,所以1PC AB ⊥. (2)因为11PA PB ==111ABC A B C -是正三棱柱且2BC =,所以等腰直角三角形11PA B 的面积为112=,点C 到平面11PA B 的距离为,所以1111111113P A B C C PA B C PA B V V V ---===⨯=,又因为11AC BC ==,所以11CA B △的面积为122⨯=,设点P 到平面11A B C 的距离为h,所以1113P A B C V h -==,解得7h =,故点P 到平面11A B C的距离为7. 19.命题意图 本题考查独立性检验;考查学生的逻辑推理和运算求解的能力.解题分析 (1)频率分布直方图知,100(0.0020.0040.003)1a ⨯+++=,解得0.001a =, 所以用样本平均数估计Q 镇明年梅雨季节的降雨量为1500.22500.43500.34500.13010010545280()mm ⨯+⨯+⨯+⨯=+++=.(2)根据频率分布直方图可知,降雨量在200~400之间的频数为10100(0.0030.004)7⨯⨯+=,进而完善列联表如图.2210(2152)80 1.270 1.323734663K ⨯-⨯==≈<⨯⨯⨯,故认为乙品种杨梅的亩产量与降雨量有关的把握不足75%.而甲品种杨梅降雨量影响的把握超过八成,故老李来年应该种植乙品种杨梅. 20.命题意图 本题考查函数与导数的综合运用;考查学生的运算求解能力.解题分析 (1)由()xf x e x =+,求导得()10xf x e '=+>,所以()f x 在(0,)+∞上是增函数;又()()1x x f x e x e F x x x x +===+,求导得2(1)()x e x F x x-'=, 当(0,)x ∈+∞时,()0F x '…不恒成立,即()F x 在(0,)+∞上不是增函数. 所以函数()f x 不是区间(0,)+∞上的“完美增函数”.(2)由()ln 1g x x =-,求导得1()0g x x'=>, 即()g x 在区间(0,)+∞上单调递增.又()ln 1()g x x G x x x -==,求导得22ln ()xG x x -'=, 若()0G x '…,则2ln 0x -…,解得20x e <…,即当(20,x e ⎤∈⎦时,()0G x '…恒成立,()G x 在(20,e ⎤⎦上单调递增.于是实数m 的最大值为2e .21.命题意图 本题考查直线与椭圆的综合应用;考查学生的逻辑推理和运算求解的能力.解题分析 (1)由题知,(2,0)F ,设()11,M x y ,()22,N x y ,则22112222184184x y x y ⎧+=⎪⎪⎨⎪+=⎪⎩,两式相减得1212121244882y y x x x x y y -+=-⨯=-=--+,又因为02212-=--,所以直线MN 经过椭圆C 的右焦点.(2)当直线AB 斜率存在时,设直线AB 的方程为y kx m =+,由221,84x y y kx m ⎧+=⎪⎨⎪=+⎩得()222124280k x kmx m +++-=,设()33,A x y ,()44,B x y ,所以342412km x x k +=-+,23422812m x x k -=+,又因为1PA PB k k +=,所以3434221y y x x --+=,即3434221kx m kx m x x +-+-+=,所以34342(2)1x x k m x x ++-⋅=,化简得24840m km k -+-=,所以(2)(42)0m m k --+=,又因为2m ≠,所以42m k =-,所以直线AB 的方程为42(4)2y kx k k x =+-=+-,经检验,符合题意,所以直线AB过定点(4,2)--,又当直线AB 斜率不存在时,直线AB 的方程为x n =,221A B y y n n--+=,又因为0A B y y +=,解得4n =-,也过点(4,2)--.综上知,直线AB 过定点(4,2)--.【归因导学】错↔学(二)选考题:共10分.请考生在第22、23题中任选一题作答.如果多做,则按所做的第一题计分. 22.[选修4-4:坐标系与参数方程]命题意图 本题考查坐标与参数方程;考查学生运算的能力.解题分析 (1)由ρθ=得220x y +-=,即22(5x y +-=,直线l 的普通方程为0x y m +--=,直线l 被圆C ,所以圆心到直线l=,解得3m =或3m =-.(2)∵0m >,∴3m =,将直线l 的参数方程代入圆C 的直角坐标方程得,22(3))5+=,即2220t -+=,∵24420∆=-⨯=>,设1t ,2t 是上述方程的两个实数根,∴12121,t t t t ⎧+=⎪⎨⎪=⎩又因为直线l 过点P ,故由上式及t 的几何意义, 得()()1212||||22PA PB t t t t +=+=+= 23.[选修4-5:不等式选讲]命题意图 本题考查解绝对值不等式;考查学生分类讨论得思想. 解题分析 (1)()(1)f x f >,即2|1||21|5x x ++->,①当12x >时,2(1)(21)5x x ++->,得1x >; ②当112x -≤≤时,2(1)(21)5x x +-->,得35>,不成立; ③当1x <-时,2(1)(21)5x x -+-->,得32x <-. 综上,所求x 的取值范围是3,(1,)2⎛⎫-∞-⋃+∞ ⎪⎝⎭. (2)因为2|1||21||22||21||(22)(21)|3x x x x x x ++-=++-+--=…,所以113m n +…,因为0m >,0n >时,11m n +…,所以3,得23…,所以43m n +厖.。
2020届百校高考百日冲刺金卷全国Ⅱ卷数学(文)试题一、单选题1.已知集合{|6A x x =<且}*Nx ∈,则A 的非空真子集的个数为( ) A .30B .31C .62D .63 【答案】A【解析】先化简集合A ,再根据非空真子集的个数与集合A 的元素个数间的关系求解.【详解】因为集合{|6A x x =<且}{}*N 1,2,3,4,5x ∈=,所以A 的非空真子集的个数为52230-= .故选:A【点睛】本题主要考查集合的基本关系,属于基础题.2.复数z 满足()113z i i ⋅+=+,则z =( )A .2B .4CD .5【答案】C【解析】根据复数的除法运算求出复数z ,再求出模长|z |.【详解】 ()()13113212i i i z i i +-+===++,故z =故选:C .【点睛】本题考查了复数的乘除运算与模长计算问题,是基础题.3.若正六边形ABCDEF 边长为2,中心为O ,则||EB OD CA ++=( )A .2B .C .4D .【答案】B【解析】由正六边形的性质的易得OD BC =,由此可化简得||EB OD CA EA ++=,运用平面向量的运算法则计算即可.【详解】如图所示,为正六边形ABCDEF ,易知OD BC =∴EB OD CA EB BC CA EA ++=++=, ∴||EB OD CA EA ++=, 正六边形ABCDEF 边长为2,EA EF FA =+,即()2EA EF FA =+, ∴22221||2cos 22222362EA EF EF FA FA π=++=+⨯⨯⨯+=, ∴||23EB OD CA ++=.故选:B.【点睛】本题考查了平面向量的线性运算以及数量积公式,属于基础题.4.从集合{1,2,3,4,5}A =中任取2个数,和为偶数的概率为( )A .15B .25C .35D .13【答案】B【解析】通过列举法,计算出符合条件的基本事件总数,以及“和为偶数”这一事件所含基本事件个数,再由古典概型的计算公式计算即可.【详解】集合{}1,2,3,4,5A =中任取2个数,则基本事件为:()1,2,()1,3,()1,4,()1,5,()2,3,()2,4,()2,5,()3,4,()3,5,()4,5,10个;“和为偶数”这一事件包含的基本事件为:()2,4,()1,3,()1,5,()3,5,共4个; 故所求概率为42105=.故选:B.【点睛】本题考查了古典概型的概率计算公式,属于基础题.5.在,22ππ⎛⎫- ⎪⎝⎭上,满足方程3sin 2cos 22x x ππ⎛⎫⎛⎫+=+ ⎪ ⎪⎝⎭⎝⎭的x 值为( ) A .3π B .3π± C .6π D .6π± 【答案】C【解析】先利用诱导公式对原方程进行化简,再利用二倍角的余弦公式,结合角的范围,解出x 即可.【详解】3sin 2cos 22x x ππ⎛⎫⎛⎫+=+ ⎪ ⎪⎝⎭⎝⎭,sin 2cos 22x x π⎛⎫+= ⎪⎝⎭,3cos sin 2x x π⎛⎫+= ⎪⎝⎭, ∴cos2sin x x =,∴212sin sin x x -=,∴22sin sin 10x x +-=, 解得1sin 2x =或1-, 又,22x ππ⎛⎫∈- ⎪⎝⎭, ∴()sin 1,1x ∈-, ∴1sin 2x =,6x π= 故选:C.【点睛】本题考查了三角函数的恒等变换,考查了转化能力,属于中档题. 6.双曲线:22221x y a b-=(0a >,0b >),左、右焦点分别为1F 、2F ,过2F 且垂直于x 轴的直线交双曲线于A ,B 两点,190AF B ∠=︒,则一条渐近线斜率为( )A .2+B .2+C D【答案】D【解析】由已知条件求出A 坐标,可得2AF ,由双曲线的对称性可知,11AF BF =,结合190AF B ∠=︒可得122F F AF =,列方程解出b a,即可得双曲线的一条渐近线斜率.【详解】把x c =代入22221x y a b -=,解得2b y a =±, ∴22b AF a=, 结合双曲线的对称性,由题可知,11AF BF =,又190AF B ∠=︒,∴1AF B △为等腰直角三角形, 易得:122F F AF =,即22b c a=, 两边平方得4224c a b =,又222c a b =+,∴整理得4224440b a b a --=, 故42440b b a a ⎛⎫⎛⎫-⋅-= ⎪ ⎪⎝⎭⎝⎭,解得b a= 又0a >,0b >,∴b a=∴双曲线的渐近线方程为b y x a=±=,∴故选:D.【点睛】本题考查了双曲线的简单几何性质的应用,考查了计算能力,属于基础题.7.递减的等差数列{}n a 满足:11a =,且1a ,2a ,8a 分别是某等比数列的第1,2,4项,则{}n a 的通项公式为( )A .54n -B .43n -C .32n -D .21n -【答案】A【解析】设等差数列{}n a 公差为d ,由题可知0d <,表示出2a ,8a ,设题干中的等比数列公比为q ,表示出2a ,8a ,列方程组,消去q 得到关于d 的方程组,解出符合要求的d ,即可得到{}n a 的通项公式.【详解】设等差数列{}n a 公差为d ,由题可知0d <,则211a a d d =+=+,18717d a a =+=+,()11n a a n d +-=,1a ,2a ,8a 分别是某等比数列的第1,2,4项,设该等比数列公比为q ,∴21a a q q ==,3381a a q q ==,∴3117q d q d =+⎧⎨=+⎩, ∴()3171d d =++,整理得()2340d d d +-=,而0d <, ∴4d =-,∴54n a n =-.故选:A.【点睛】本题考查了等差(比)数列的通项公式,考查了方程思想与计算能力,属于基础题. 8.李冶,真定栾城(今河北省石家庄市栾城区)人.金元时期的数学家.与杨辉、秦九韶、朱世杰并称为“宋元数学四大家”.在数学上的主要贡献是天元术(设未知数并列方程的方法),用以研究直角三角形内切圆和旁切圆的性质.李治所著《测圆海镜》中有一道题:甲乙同立于乾隅,乙向东行不知步数而立,甲向南直行,多于乙步,望见乙复就东北斜行,与乙相会,二人共行一千六百步,又云南行不及斜行八十步,问通弦几何.翻译过来是:甲乙两人同在直角顶点C 处,乙向东行走到B 处,甲向南行走到A 处,甲看到乙,便从A 走到B 处,甲乙二人共行走1600步,AB 比AC 长80步,若按如图所示的程序框图执行求AB ,则判断框中应填入的条件为( )A .222?x z y +=B .222?x y z +=C .222?y z x +=D .?x y =【答案】A 【解析】根据题意得,,,,AC x AB y BC z === 则1600,80x y z y x ++==+ ,所以15202z x =- ,再根据ABC 为直角三角形90C =∠ 求解.【详解】 由题意得,,,,AC x AB y BC z ===则1000,80x y z y x ++==+ ,所以15202z x =- ,符合程序框图所示:又ABC 为直角三角形,且90C =∠,所以222x z y += .故选:A【点睛】本题主要考查程序框图中的循环结构,还考查了理解辨析的能力,属于基础题. 9.已知2()sin 25f x x π⎛⎫=+⎪⎝⎭,则2()3f x =在[0,2)π上的所有解的和为( ) A .6πB .295πC .265πD .215π 【答案】D【解析】由函数()f x 的解析式得到()f x 的最小正周期,结合正弦型函数的特征,从而判断解的个数及分布,根据对称性即可求出2()3f x =在[0,2)π上的所有解的和. 【详解】函数()2sin 25f x x π⎛⎫=+ ⎪⎝⎭的最小正周期为22T ππ==,值域为[]1,1-, ∴()23f x =在[)0,π,[),2ππ上各有两解,分别为1x ,2x ,3x ,4x , 令2252x k πππ+=+,解得220k x ππ=+,k Z ∈, ∴()f x 对称轴:220k x ππ=+,k Z ∈, 又()220sin 53f π=>, ∴当[)0,x π∈时,()y f x =与23y =的交点关于220x ππ=+对称, 当[),2x ππ∈时,()y f x =与23y =的交点关于3220x ππ=+对称, 由()f x 的对称性可得,122220x x ππ⎛⎫+=⋅+ ⎪⎝⎭,3432220x x ππ⎛⎫+=⋅+ ⎪⎝⎭, ∴1234215x x x x π+++=. 故选:D.【点睛】 本题考查了正弦型三角函数的图象与性质,考查了转化能力,属于中档题.10.奇函数()f x 满足:对任意x ∈R ,都有()()2f x f x -=,在()0,1上,()2x f x =,则()2log 2019f =( )A .20191024-B .20191024C .20192048-D .20192048【答案】A【解析】由()f x 为奇函数,结合()()2f x f x -=,得到()f x 的周期,从而化简所求的表达式,即可求解.【详解】()f x 为奇函数,定义域为R ,∴对任意x ∈R ,都有()()f x f x -=-,∴()()22f x f x -=--,又对任意x ∈R ,都有()()2f x f x -=,∴()()2f x f x --=,∴()()()42f x f x f x +=-+=,∴()f x 为周期是4的函数,又210log 201911<<,在()0,1上,()2x f x =,∴()()()2log 2019102222019log 2019log 20198log 20191021024f f f -=-=--=-=-. 故选:A.【点睛】 本题考查了函数的周期性和奇偶性,考查了转化能力与计算能力,属于中档题. 11.某几何体的三视图如图所示,则该几何体中,最长的棱的长度为( )A .3B .22C .3D 6【答案】C 【解析】根据三视图知该几何体是一个三棱锥,在正方体中还原几何体,结合图中数据及勾股定理求出各条棱长即可得出结论.【详解】根据三视图知,该几何体是一个三棱锥,画出图形如图所示:正方体的棱长为2,A 、C 为所在棱的中点,则CD =1,BC =AD 5,BD =BE =CF =22结合图形可得, △AEB ,△AFC ,△AFD 为直角三角形,由勾股定理得AB 22=813BE AE +=+=,AC 22=5+1=6CF AF + 最长的棱为AB=3,故选:C .【点睛】本题由三视图求几何体棱长,需先还原几何体,棱锥还原通常借助正方体或者长方体,可以看成由长方体(或正方体)切割而截成的,属于中等题.12.已知()()()12,2112,2x x f x f x f x x ⎧≤⎪⎪=⎨⎪--->⎪⎩,则()2019f =( )A .1B .1-C .2D .2-【答案】B【解析】根据()()()12f x f x f x =---,转化变形推出()()6f x f x +=,得到函数()f x 的周期为6再求解.【详解】因为()()()12f x f x f x =---,所以()()()11f x f x f x +=--所以()()12f x f x +=--所以()()3f x f x +=-,所以()()6f x f x +=,所以函数()f x 的周期为6,故()()()()()()()()()0201963363321101021=⨯+==-=--=-=-=-⎡⎤⎣⎦f f f f f f f f f 故选:B.【点睛】本题主要考查函数的周期性的应用,还考查了变形转化解决问题的能力,属于中档题.二、填空题13.已知()323f x x x ax =-+(02x <<),曲线()y f x =上存在两点A ,B ,使以A ,B 为切点的切线相互垂直,则实数a 的取值范围是_________.【答案】3322⎛+ ⎝⎭【解析】写出()f x 的导数,并求出范围,结合导数的几何意义列出不等式,进行求解即可.【详解】由题可得,()()2236313f x x x a x a '=-+=--+,()0,2x ∈, ∴()[)3,f x a a -'∈,曲线()y f x =上存在两点A ,B ,使以A ,B 为切点的切线相互垂直,∴[)12,3,k k a a ∃∈-,121k k =-,∴()31a a -<-,解得3322a +<<故答案为:⎝⎭.【点睛】本题考查了导数的几何意义的应用,考查了转化能力,属于中档题.14.已知x ,y 满足线性约束条件20220x y x kx y +-≥⎧⎪≤⎨⎪-+≥⎩目标函数2z x y =-+的最大值为2,则实数k 的取值范围是______. 【答案】(]1,2-【解析】根据x ,y 满足线性约束条件20220x y x kx y +-≥⎧⎪≤⎨⎪-+≥⎩,且直线20kx y -+=过定点()0,2 ,将目标函数化为2y x z =+,平移直线2y x =,根据2z =时,最优解在直线220x y -+=上,而()0,2在可行域内,且满足220x y -+=结合图形求解.【详解】x ,y 满足线性约束条件20220x y x kx y +-≥⎧⎪≤⎨⎪-+≥⎩,直线20kx y -+=,过定点()0,2目标函数化为2y x z =+,平移直线2y x =,在y 轴上截距最大时,目标函数值最大, 当2z =时,可知:最优解在直线220x y -+=上, 而()0,2在可行域内,且满足220x y -+=. 所以最大值点为()0,2 如图所示:所以实数k 的取值范围是(]1,2-.故答案为:(]1,2- 【点睛】本题主要考查线性规划的应用,还考查了数形结合的方法,属于中档题.15.已知椭圆C :()222210x y a b a b+=>>的左、右焦点分别为1F ,2F ,右焦点2F 与抛物线E :()220y px p =>的焦点重合.椭圆C 与抛物线E 交于A ,B 两点,A ,2F ,B 三点共线,则椭圆C 的离心率为______.1【解析】利用椭圆与抛物线的对称性,根据椭圆C 与抛物线E 交于A ,B 两点,A ,2F ,B 三点共线,则有22b AF p a == ,122F F c p ==,再由221212b AF a cF F ==求解. 【详解】因为椭圆C 与抛物线E 交于A ,B 两点,A ,2F ,B 三点共线,所以22b AF p a== ,122F F c p ==,221212b AF a cF F ==, 即22b ac = ,所以2220c ac a --=, 所以2210e e --=,解得1e =.1 【点睛】本题主要考查椭圆与抛物线的对称性和几何性质,还考查了运算求解的能力,属于中档题.16.自然奇数列{}n a 排成以下数列,若第n 行有12n -个数,则前n 行数字的总和为_________. 【答案】()221n -【解析】由题中数列的规律可得,第n 行数字的个数及其第1个数字和最后一个数字,由此结合题中数据,利用等比数列的求和公式,求出前n 行数的个数,再利用等差数列求和公式,求出前n 行数字的总和即可. 【详解】通过观察可知,第n 行共有12n -个,第1个数字为21n -,最后一个为123n +-, 前n 行数的个数1112221n n -+++=-,∴前n 行数字总和为:()()()1212321212n n n++--=-.【点睛】本题考查了等差(比)数列的求和公式,考查了归纳推理能力,属于中档题.三、解答题17.在ABC 中,2a b c +=,且3cos 2cos 2cos c C a B b A -=. (1)求cos C ; (2)若352ABCS=,求ABC 的周长. 【答案】(1)2cos 3C =;(2)310【解析】(1)由正弦定理,两角和的正弦公式化简已知等式,可得3sin cos 2sin C C C =,结合C 的范围,可得cos C 的值;(2)由已知利用三角形的面积公式可得9ab =,进而根据余弦定理,结合已知求出c 的值,即可得到ABC 的周长. 【详解】(1)在ABC 中,则A B C π++=,A ,B ,C ()0,π∈,∴()()sin sin sin A B C C π+=-=,sin 0C ≠,3cos 2cos 2cos c C a B b A -=,∴由正弦定理得,()()3sin cos 2sin cos sin cos 2sin 2sin C C B A A B A B C =+=+=,∴2cos 3C =. (2)由(1)得,2cos 3C =, C ()0,π∈,∴5sin C =,35ABCS=, ∴1535sin 262ABCSab C ab ===, ∴9ab =,在ABC 中,由余弦定理得,()22222242cos 303c a b ab C a b ab a b =+-⋅=+-=+-, 又2a b c +=,∴()22230c c -=,解得10c =(负值舍去), 故3310a b c c ++==. 【点睛】本题考查了正弦定理与余弦定理在解三角形中的应用以及三角形的面积公式,考查了两角和的正弦公式,考查了转化能力,属于基础题.18.如图,在四棱锥P ABCD -中,2AD =,1AB BC CD ===,//BC AD ,90PAD ∠=︒.PBA ∠为锐角,平面PAB ⊥平面PBD .(Ⅰ)证明:PA ⊥平面ABCD ;(Ⅱ)AD 与平面PBD 所成角的正弦值为24,求三棱锥P ABD -的表面积. 【答案】(Ⅰ)证明见解析;(Ⅱ)336++.【解析】(Ⅰ)作AM PB ⊥于M ,根据平面PAB ⊥平面PBD 得到AM ⊥平面PBD .AM BD ⊥,取AD 中点为Q ,则=BC QD ,且//BC QD ,得到1====BQ CD QD QA ,有BD AB ⊥,由线面垂直的判定定理,得到DB ⊥平面PAB DB PA ⇒⊥,再由PA AD ⊥得证.(Ⅱ)由(Ⅰ)知:AM ⊥平面PBD ,根据线面角的定义,故ADM ∠即为AD 与平面PBD 所成角,所以有22AM AM AD =⇒=,三棱锥的四个面都是直角三角形,由三角形的面积公式求解. 【详解】 (Ⅰ)如图所示:作AM PB ⊥于M , 因为平面PAB ⊥平面PBD 所以AM ⊥平面PBD . 所以AM BD ⊥ 取AD 中点为Q , 则=BC QD ,且//BC QD 所以1====BQ CD QD QA 所以90ABD ∠=︒,BD AB ⊥ 又PBA ∠为锐角,∴点M 与点B 不重合. 所以DB ⊥平面PAB DB PA ⇒⊥.又PA AD ⊥,DB 与AD 为平面ABCD 内两条相交直线,故PA ⊥平面ABCD .(Ⅱ)由(Ⅰ)知:AM ⊥平面PBD , 故ADM ∠即为AD 与平面PBD 所成角,42AM AM AD =⇒=.在Rt PAB 中,45AM PBA =⇒∠=︒, 故1PA =,12PAB S =△,1PAD S =△,2ABD AB BD S ⋅==△而90PBD ∠=︒,所以222△⋅===PBD PB BDS故所求表面积为:1312222+++=. 【点睛】本题主要考查线线垂直、线面垂直、面面垂直的转化和几何体表面积的求法,还考查了转化化归的思想和运算求解的能力,属于中档题.19.西部某贫困村,在产业扶贫政策的大力支持下,在荒山上散养优质鸡,城里有7个饭店且每个饭店一年有300天需要这种鸡,A 饭店每天需要的数量是14~18之间的一个随机数,去年A 饭店这300天里每天需要这种鸡的数量x (单位:只)如下表:这300天内,假定这7个饭店的情况一样,只探讨A 饭店当天的需求量即可.这300天内,鸡厂和这7个饭店联营,每天出栏鸡是定数()71418a a ≤≤,送到城里的这7个饭店,从饲养到送到饭店,每只鸡的成本是40元,饭店给鸡厂结算每只70元,如果7个饭店用不完,即当天每个饭店的需求量x a <时,剩下的鸡只能以每只56a -元的价钱处理.(Ⅰ)若15a =,求鸡厂当天在A 饭店得到的利润y (单位:元)关于A 饭店当天需求量x (单位:只,*N x ∈)的函数解析式;(Ⅱ)若16a =,求鸡厂当天在A 饭店得到的利润(单位:元)的平均值; (Ⅲ)17a =时,以表中记录的各需求量的频率作为各需求量发生的概率,求鸡厂当天在A 饭店得到的利润大于479元的概率. 【答案】(Ⅰ)()*2915,15N 450,15x x y x x +<⎧=∈⎨≥⎩;(Ⅱ)465元;(Ⅲ)25.【解析】(Ⅰ)根据每只鸡的成本是40元,饭店给鸡厂结算每只70元,如果7个饭店用不完,即当天每个饭店的需求量x a <时,剩下的鸡只能以每只56a -元的价钱处理,建立分段利润函数模型..再将15a =代入求解.(Ⅱ)根据(Ⅰ)知,将16a =,代入得()*30,16N 480,16x x y x x <⎧=∈⎨≥⎩,根据表中记录,300天中,有45天的利润是420元/天,有60天的利润是450元/天,有195天的利润是480元/天,再用平均数公式求解.(Ⅲ)当17a =时,()*3117,17N 510,17x x y x x -<⎧=∈⎨≥⎩,令479y = 得到16x =,再从表中记录,根据频率求解概率. 【详解】(Ⅰ)当x a <时,()()()()2704056401416y x a a x a x a a =-+---=++-,当x a ≥时,30y a =,()()2*1416,N 30,a x a a x a y x a x a⎧++-<=∈⎨≥⎩, 15a =,得:()*2915,15N 450,15x x y x x +<⎧=∈⎨≥⎩.(Ⅱ)由(Ⅰ)知,16a =,()*30,16N 480,16x x y x x <⎧=∈⎨≥⎩, 300天中,有45天的利润是420元/天,有60天的利润是450元/天,有195天的利润是480元/天,所以鸡厂当天在A 饭店得到的利润(单位:元)的平均值为()14204545060195480465300⨯⨯+⨯+⨯=(元). (Ⅲ)当17a =时,()*3117,17N 510,17x x y x x -<⎧=∈⎨≥⎩,当16x =时,鸡厂当天在A 饭店得到的利润479y =元, 所以鸡厂当天在A 饭店得到的利润大于479元的概率为606023003005+=. 【点睛】本题主要考查样本估计总体,还考查了分段函数的应用和运算求解的能力,属于中档题. 20.已知:()e 1xf x ax =--仅有1个零点.(1)求实数a 的取值范围;(2)证明:2e e e ln 1x x x x x x x -->+. 【答案】(1)(]{},01-∞⋃;(2)见解析【解析】(1)求出()f x 的导数,对a 进行分类讨论,判断导函数的符号,判断函数单调性,利用零点存在性定理,判断是否为符合题意的a 范围即可; (2)将不等式的左边可变形为()2ee e ln e e ln xx x x x x x x x x x --=--,构造函数()e ln x g x x x x =--,利用导数证明e ln 1x x x x --≥,由(1)可得不等式右边有1x x e +≤,利用放缩法证明原不等式成立即可,在放缩过程中需要注意等号成立的条件. 【详解】 (1)()e 1x f x ax =--,定义域为R ,∴()00e 010f a =-⋅-=,()e x f x a '=-,当0a ≤时,()0f x '>,∴()f x 为增函数,而(0)0f =,∴()f x 仅有1个零点,满足题意,当0a >时,令()0f x '>,解得ln x a >;令()0f x '<,解得ln x a <,∴在(,ln )a -∞上,()f x 单调递减,在(ln ,)a +∞上,()f x 单调递增, ∴()()min ln f x f a =,①当ln 0a =,即1a =时,()()()min ln 00f x f a f ===,()e 1x f x x =--,当()(),00,x ∈-∞+∞时,()0f x >,此时()f x 仅有1个零点,符合条件; ②当ln 0a <,即01a <<时,1ln ln a a a-<, 在(ln ,)a +∞上,()f x 单调递增,()00f =,()f x 有一个零点,∴()ln 0f a <,在(,ln )a -∞上,()f x 单调递减,11ln ln 11ln e ln 1n 0e l a a a a a f a a a a a a --⎛⎫⎛⎫-=---= ⎪ ⎪⎝⎭⎝->⎭,由零点存在性定理可得()f x 在(,ln )a -∞也有一零点, 不符合条件;③当ln 0a >,即1a >时,在(,ln )a -∞上,()f x 单调递减,()00f =,()f x 有一个零点,∴()ln 0f a <,在(ln ,)a +∞上,()f x 单调递增,由①知,1a e a >+,a e a >,即ln a a >,()3ln ,a a ∈+∞,∴()()()33322233313113130a af a e a e a a a a a =--=-->+--=+>,由零点存在性定理可得()f x 在(ln ,)a +∞也有一零点, 不符合条件;综上所述,实数a 的取值范围是(]{},01-∞⋃. (2)()2ee e ln e e ln xx x x x x x x x x x --=--.令()e ln xg x x x x =--,则()()()111e 11e xx g x x x x x ⎛⎫'=+--=+- ⎪⎝⎭. 令()1e xh x x =-则()21e 0xh x x'=+>,即()h x 在()0,∞+单调递增,又102h ⎛⎫< ⎪⎝⎭,()10h >, ∴()h x 在()0,∞+有且仅有1个零点,设为0x ,()00x ∈+∞,,则01e x x =,即00ln x x =-,()00g x '=, ∴()g x 最小值为()()0000000e ln 11x g x x x x x x =--=---=,即e ln 1x x x x --≥,当且仅当0x x =时取等号, 又由(1)知,e 1x x ≥+,当且仅当0x =时取等号, 可得:()ln 1xxx exex x e x --≥≥+,而以上两式不同时取等, 故2e e e ln 1x x x x x x x -->+. 【点睛】本题考查了利用导数研究函数的单调性以及零点存在性定理,考查了利用导数证明不等式以及放缩法在不等式证明中的应用,考查了分类讨论的思想,属于较难题.21.在平面直角坐标系xOy 中,直线l 的参数方程为2cos 1sin x t y t ϕϕ=+⎧⎨=+⎩(t 为参数),以坐标原点为极点,x 轴的正半轴为极轴建立极坐标系,椭圆C 的极坐标方程为222483cos 4sin ρθθ=+. (Ⅰ)当3πϕ=时,把直线l 的参数方程化为普通方程,把椭圆C 的极坐标方程化为直角坐标方程;(Ⅱ)直线l 交椭圆C 于A ,B 两点,且A ,B 中点为()2,1M ,求直线l 的斜率.【答案】(Ⅰ10y -+-=,2211612x y +=;(Ⅱ)32-. 【解析】(Ⅰ)根据直线l 的参数方程为2cos 1sin x t y t ϕϕ=+⎧⎨=+⎩,且3πϕ=,消去t 即可直线的的普通方程.根据椭圆C 的极坐标方程222483cos 4sin ρθθ=+,变形为22223cos 4sin 48ρθρθ+=,再利用cos ,sin x y ρθρθ== 求解.(Ⅱ)将直线l 的参数方程代入椭圆C 的直角坐标方程整理得()()223sin 12cos 8sin 320t t ϕϕϕ+++-=,利用A ,B 中点为()2,1M ,且直线过()2,1M ,利用参数的几何意义求解.【详解】(Ⅰ)因为直线l 的参数方程为2cos 1sin x t y t ϕϕ=+⎧⎨=+⎩,且3πϕ=,所以12212x t y ⎧=+⎪⎪⎨⎪=+⎪⎩,消去t10y -+-=,所以直线l10y -+-=;因为椭圆C 的极坐标方程为222483cos 4sin ρθθ=+. 所以22223cos 4sin 48ρθρθ+=,223448x y +=,椭圆C 的直角坐标方程为:2211612x y +=. (Ⅱ)将直线l 的参数方程代入椭圆C 的直角坐标方程整理得:()()223sin 12cos 8sin 320t t ϕϕϕ+++-=, 因为A ,B 中点为()2,1M所以120t t +=, 故312cos 8sin 0tan 2k ϕϕϕ+=⇒==-, 所以直线l 的斜率为32-. 【点睛】本题主要考查参数方程,极坐标方程,直角坐标方程的转化以及直线与曲线的位置关系,还考查了运算求解的能力,属于中档题.22.已知函数()2f x x a x =-+-. (Ⅰ)若()3f x ≥恒成立,求实数a 的取值范围; (Ⅱ)()f x x ≤的解集为[]2,m ,求a 和m .【答案】(Ⅰ)5a ≥或1a ≤-;(Ⅱ),4a =,6m =.【解析】(Ⅰ)根据绝对值三角不等式,由()()222x a x x a x a -+-≥---=-,求得()f x 最小值,再由23a -≥求解.(Ⅱ)不等式的解集与相应方程根的关系,当2x =时,()22f =,即22a -=,解得:0a =或4.,再分类求解.【详解】(Ⅰ)因为()()222x a x x a x a -+-≥---=-,当且仅当()()20x a x --≤时取等,故()f x 最小值为2a ,235a a ∴-≥⇔≥或1a ≤-.(Ⅱ)由不等式解集的意义可知:2x =时,()22f =,即22a -=,解得:0a =或4.0a =时,如图所示:不合题意舍去.4a =时,如图所示:由y x =与26y x =-解得:6x =,即6m =,综上,4a =,6m =.【点睛】本题主要考查绝对值三角不等式和不等式的解集与相应方程根的关系,还考查了数形结合的思想和运算求解的能力,属于中档题.。
2020届百校联盟(全国卷)高三第二次调研考试数学(文)试卷★祝考试顺利★ 注意事项:1、考试范围:高考范围。
2、试题卷启封下发后,如果试题卷有缺页、漏印、重印、损坏或者个别字句印刷模糊不清等情况,应当立马报告监考老师,否则一切后果自负。
3、答题卡启封下发后,如果发现答题卡上出现字迹模糊、行列歪斜或缺印等现象,应当马上报告监考老师,否则一切后果自负。
4、答题前,请先将自己的姓名、准考证号用0.5毫米黑色签字笔填写在试题卷和答题卡上的相应位置,并将准考证号条形码粘贴在答题卡上的指定位置。
用2B 铅笔将答题卡上试卷类型A 后的方框涂黑。
5、选择题的作答:每个小题选出答案后,用2B 铅笔把答题卡上对应题目的答案标号涂黑。
写在试题卷、草稿纸和答题卡上的非选择题答题区域的答案一律无效。
6、主观题的作答:用签字笔直接答在答题卡上对应的答题区域内。
写在试题卷、草稿纸和答题卡上的非答题区域的答案一律无效。
如需改动,先划掉原来的答案,然后再写上新答案;不准使用铅笔和涂改液。
不按以上要求作答无效。
7、保持答题卡卡面清洁,不折叠,不破损,不得使用涂改液、胶带纸、修正带等。
8、考试结束后,请将本试题卷、答题卡、草稿纸一并依序排列上交。
第I 卷(选择题,共60分) 一、选择题:本大题共12小题,每小题5分,共60分.在每小题给出的四个选项中,只有一项是符合题目要求,每小题选出答案后,请把答案填写在答题卡相应位置上...............。
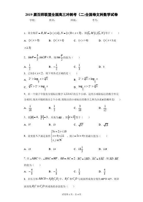
1.若110b a <<,则下列不等式错误..的是( ) A.11a b a>- B.a b < C.||||a b > D.22a b >2.若复数()()122z i i =-+的模是( )A. 25B. 5前三个答案都不对 3. 用反证法证明命题“N b a ∈,,ab 可被5整除,则b a ,中至少有一个能被5整除”时,假设的内容应为A .b a ,都能被5整除B .b a ,都不能被5整除C .b a ,至多有一个不能被5整除D .b a ,至多有一个能被5整除4.“1cos 22α=”是“6πα=”的( ) A . 充分而不必要条件B .必要而不充分条件C . 充分必要条件D .既不充分也不必要条件P QMNABCD5. 已知m,n 是两条不同的直线,是三个不同平面,下列命题中正确的是( )A. 若,,则B. 若,,则C. 若,, 则D. 若,,则6.有n 位学生的某班都参加了某次高三复习检测,第i 个学生的某科成绩记为ix (i=1,2,3,……,n ),定义i p =(不超过成绩i x 的该科该班人数)÷n 为第i 个学生的该科成绩的百分位。
2020届百校联考高考百日冲刺金卷全国Ⅱ卷(二)数学(文)试题一、单选题1.已知集合{|6A x x =<且}*Nx ∈,则A 的非空真子集的个数为( ) A .30B .31C .62D .63 【答案】A【解析】先化简集合A ,再根据非空真子集的个数与集合A 的元素个数间的关系求解.【详解】因为集合{|6A x x =<且}{}*N 1,2,3,4,5x ∈=,所以A 的非空真子集的个数为52230-= .故选:A【点睛】本题主要考查集合的基本关系,属于基础题.2.复数z 满足()113z i i ⋅+=+,则z =( )A .2B .4CD .5【答案】C【解析】根据复数的除法运算求出复数z ,再求出模长|z |.【详解】 ()()13113212i i i z i i +-+===++,故z =故选:C .【点睛】本题考查了复数的乘除运算与模长计算问题,是基础题.3.若正六边形ABCDEF 边长为2,中心为O ,则||EB OD CA ++=( )A .2B .C .4D .【答案】B【解析】由正六边形的性质的易得OD BC =,由此可化简得||EB OD CA EA ++=,运用平面向量的运算法则计算即可.【详解】如图所示,为正六边形ABCDEF ,易知OD BC =∴EB OD CA EB BC CA EA ++=++=, ∴||EB OD CA EA ++=, 正六边形ABCDEF 边长为2,EA EF FA =+,即()2EA EF FA =+, ∴22221||2cos 22222362EA EF EF FA FA π=++=+⨯⨯⨯+=, ∴||23EB OD CA ++=.故选:B.【点睛】本题考查了平面向量的线性运算以及数量积公式,属于基础题.4.从集合{1,2,3,4,5}A =中任取2个数,和为偶数的概率为( )A .15B .25C .35D .13【答案】B【解析】通过列举法,计算出符合条件的基本事件总数,以及“和为偶数”这一事件所含基本事件个数,再由古典概型的计算公式计算即可.【详解】集合{}1,2,3,4,5A =中任取2个数,则基本事件为:()1,2,()1,3,()1,4,()1,5,()2,3,()2,4,()2,5,()3,4,()3,5,()4,5,10个;“和为偶数”这一事件包含的基本事件为:()2,4,()1,3,()1,5,()3,5,共4个;故所求概率为42105=. 故选:B.【点睛】 本题考查了古典概型的概率计算公式,属于基础题.5.在,22ππ⎛⎫- ⎪⎝⎭上,满足方程3sin 2cos 22x x ππ⎛⎫⎛⎫+=+ ⎪ ⎪⎝⎭⎝⎭的x 值为( ) A .3π B .3π± C .6π D .6π± 【答案】C【解析】先利用诱导公式对原方程进行化简,再利用二倍角的余弦公式,结合角的范围,解出x 即可.【详解】3sin 2cos22x x ππ⎛⎫⎛⎫+=+ ⎪ ⎪⎝⎭⎝⎭,sin 2cos 22x x π⎛⎫+= ⎪⎝⎭,3cos sin 2x x π⎛⎫+= ⎪⎝⎭, ∴cos2sin x x =,∴212sin sin x x -=,∴22sin sin 10x x +-=, 解得1sin 2x =或1-, 又,22x ππ⎛⎫∈- ⎪⎝⎭, ∴()sin 1,1x ∈-, ∴1sin 2x =,6x π= 故选:C.【点睛】本题考查了三角函数的恒等变换,考查了转化能力,属于中档题. 6.双曲线:22221x y a b-=(0a >,0b >),左、右焦点分别为1F 、2F ,过2F 且垂直于x 轴的直线交双曲线于A ,B 两点,190AF B ∠=︒,则一条渐近线斜率为( )A .2+B .2+C D【答案】D【解析】由已知条件求出A 坐标,可得2AF ,由双曲线的对称性可知,11AF BF =,结合190AF B ∠=︒可得122F F AF =,列方程解出b a,即可得双曲线的一条渐近线斜率.【详解】把x c =代入22221x y a b -=,解得2b y a =±, ∴22b AF a=, 结合双曲线的对称性,由题可知,11AF BF =,又190AF B ∠=︒,∴1AF B △为等腰直角三角形, 易得:122F F AF =,即22b c a=, 两边平方得4224c a b =,又222c a b =+,∴整理得4224440b a b a --=, 故42440b b a a ⎛⎫⎛⎫-⋅-= ⎪ ⎪⎝⎭⎝⎭,解得b a= 又0a >,0b >,∴b a=∴双曲线的渐近线方程为b y x a=±=,∴故选:D.【点睛】本题考查了双曲线的简单几何性质的应用,考查了计算能力,属于基础题.7.递减的等差数列{}n a 满足:11a =,且1a ,2a ,8a 分别是某等比数列的第1,2,4项,则{}n a 的通项公式为( )A .54n -B .43n -C .32n -D .21n - 【答案】A【解析】设等差数列{}n a 公差为d ,由题可知0d <,表示出2a ,8a ,设题干中的等比数列公比为q ,表示出2a ,8a ,列方程组,消去q 得到关于d 的方程组,解出符合要求的d ,即可得到{}n a 的通项公式.【详解】设等差数列{}n a 公差为d ,由题可知0d <,则211a a d d =+=+,18717d a a =+=+,()11n a a n d +-=,1a ,2a ,8a 分别是某等比数列的第1,2,4项,设该等比数列公比为q ,∴21a a q q ==,3381a a q q ==,∴3117q d q d=+⎧⎨=+⎩, ∴()3171d d =++,整理得()2340d d d +-=,而0d <, ∴4d =-,∴54n a n =-.故选:A.【点睛】本题考查了等差(比)数列的通项公式,考查了方程思想与计算能力,属于基础题. 8.李冶,真定栾城(今河北省石家庄市栾城区)人.金元时期的数学家.与杨辉、秦九韶、朱世杰并称为“宋元数学四大家”.在数学上的主要贡献是天元术(设未知数并列方程的方法),用以研究直角三角形内切圆和旁切圆的性质.李治所著《测圆海镜》中有一道题:甲乙同立于乾隅,乙向东行不知步数而立,甲向南直行,多于乙步,望见乙复就东北斜行,与乙相会,二人共行一千六百步,又云南行不及斜行八十步,问通弦几何.翻译过来是:甲乙两人同在直角顶点C 处,乙向东行走到B 处,甲向南行走到A 处,甲看到乙,便从A 走到B 处,甲乙二人共行走1600步,AB 比AC 长80步,若按如图所示的程序框图执行求AB ,则判断框中应填入的条件为( )A .222?x z y +=B .222?x y z +=C .222?y z x +=D .?x y =【答案】A 【解析】根据题意得,,,,AC x AB y BC z === 则1600,80x y z y x ++==+ ,所以15202z x =- ,再根据ABC 为直角三角形90C =∠ 求解.【详解】 由题意得,,,,AC x AB y BC z ===则1000,80x y z y x ++==+ ,所以15202z x =- ,符合程序框图所示:又ABC 为直角三角形,且90C =∠,所以222x z y += .故选:A【点睛】本题主要考查程序框图中的循环结构,还考查了理解辨析的能力,属于基础题. 9.已知2()sin 25f x x π⎛⎫=+⎪⎝⎭,则2()3f x =在[0,2)π上的所有解的和为( ) A .6πB .295πC .265πD .215π 【答案】D【解析】由函数()f x 的解析式得到()f x 的最小正周期,结合正弦型函数的特征,从而判断解的个数及分布,根据对称性即可求出2()3f x =在[0,2)π上的所有解的和. 【详解】函数()2sin 25f x x π⎛⎫=+ ⎪⎝⎭的最小正周期为22T ππ==,值域为[]1,1-, ∴()23f x =在[)0,π,[),2ππ上各有两解,分别为1x ,2x ,3x ,4x , 令2252x k πππ+=+,解得220k x ππ=+,k Z ∈, ∴()f x 对称轴:220k x ππ=+,k Z ∈, 又()220sin 53f π=>, ∴当[)0,x π∈时,()y f x =与23y =的交点关于220x ππ=+对称, 当[),2x ππ∈时,()y f x =与23y =的交点关于3220x ππ=+对称, 由()f x 的对称性可得,122220x x ππ⎛⎫+=⋅+ ⎪⎝⎭,3432220x x ππ⎛⎫+=⋅+ ⎪⎝⎭, ∴1234215x x x x π+++=. 故选:D.【点睛】 本题考查了正弦型三角函数的图象与性质,考查了转化能力,属于中档题.10.奇函数()f x 满足:对任意x ∈R ,都有()()2f x f x -=,在()0,1上,()2x f x =,则()2log 2019f =( )A .20191024-B .20191024C .20192048-D .20192048【答案】A【解析】由()f x 为奇函数,结合()()2f x f x -=,得到()f x 的周期,从而化简所求的表达式,即可求解.【详解】()f x 为奇函数,定义域为R ,∴对任意x ∈R ,都有()()f x f x -=-,∴()()22f x f x -=--,又对任意x ∈R ,都有()()2f x f x -=,∴()()2f x f x --=,∴()()()42f x f x f x +=-+=,∴()f x 为周期是4的函数,又210log 201911<<,在()0,1上,()2x f x =,∴()()()2log 2019102222019log 2019log 20198log 20191021024f f f -=-=--=-=-. 故选:A.【点睛】 本题考查了函数的周期性和奇偶性,考查了转化能力与计算能力,属于中档题. 11.某几何体的三视图如图所示,则该几何体中,最长的棱的长度为( )A .3B .22C .3D 6【答案】C 【解析】根据三视图知该几何体是一个三棱锥,在正方体中还原几何体,结合图中数据及勾股定理求出各条棱长即可得出结论.【详解】根据三视图知,该几何体是一个三棱锥,画出图形如图所示:正方体的棱长为2,A 、C 为所在棱的中点,则CD =1,BC =AD 5,BD =BE =CF =22结合图形可得, △AEB ,△AFC ,△AFD 为直角三角形,由勾股定理得AB 22=813BE AE +=+=,AC 22=5+1=6CF AF + 最长的棱为AB=3,故选:C .【点睛】本题由三视图求几何体棱长,需先还原几何体,棱锥还原通常借助正方体或者长方体,可以看成由长方体(或正方体)切割而截成的,属于中等题.12.已知()()()12,2112,2x x f x f x f x x ⎧≤⎪⎪=⎨⎪--->⎪⎩,则()2019f =( )A .1B .1-C .2D .2-【答案】B【解析】根据()()()12f x f x f x =---,转化变形推出()()6f x f x +=,得到函数()f x 的周期为6再求解.【详解】因为()()()12f x f x f x =---,所以()()()11f x f x f x +=--所以()()12f x f x +=--所以()()3f x f x +=-,所以()()6f x f x +=,所以函数()f x 的周期为6,故()()()()()()()()()0201963363321101021=⨯+==-=--=-=-=-⎡⎤⎣⎦f f f f f f f f f 故选:B.【点睛】本题主要考查函数的周期性的应用,还考查了变形转化解决问题的能力,属于中档题.二、填空题13.已知()323f x x x ax =-+(02x <<),曲线()y f x =上存在两点A ,B ,使以A ,B 为切点的切线相互垂直,则实数a 的取值范围是_________.【答案】3322⎛+ ⎝⎭【解析】写出()f x 的导数,并求出范围,结合导数的几何意义列出不等式,进行求解即可.【详解】由题可得,()()2236313f x x x a x a '=-+=--+,()0,2x ∈, ∴()[)3,f x a a -'∈,曲线()y f x =上存在两点A ,B ,使以A ,B 为切点的切线相互垂直,∴[)12,3,k k a a ∃∈-,121k k =-,∴()31a a -<-,解得3322a +<<故答案为:⎝⎭.【点睛】本题考查了导数的几何意义的应用,考查了转化能力,属于中档题.14.已知x ,y 满足线性约束条件20220x y x kx y +-≥⎧⎪≤⎨⎪-+≥⎩目标函数2z x y =-+的最大值为2,则实数k 的取值范围是______. 【答案】(]1,2-【解析】根据x ,y 满足线性约束条件20220x y x kx y +-≥⎧⎪≤⎨⎪-+≥⎩,且直线20kx y -+=过定点()0,2 ,将目标函数化为2y x z =+,平移直线2y x =,根据2z =时,最优解在直线220x y -+=上,而()0,2在可行域内,且满足220x y -+=结合图形求解.【详解】x ,y 满足线性约束条件20220x y x kx y +-≥⎧⎪≤⎨⎪-+≥⎩,直线20kx y -+=,过定点()0,2目标函数化为2y x z =+,平移直线2y x =,在y 轴上截距最大时,目标函数值最大, 当2z =时,可知:最优解在直线220x y -+=上, 而()0,2在可行域内,且满足220x y -+=. 所以最大值点为()0,2 如图所示:所以实数k 的取值范围是(]1,2-.故答案为:(]1,2- 【点睛】本题主要考查线性规划的应用,还考查了数形结合的方法,属于中档题.15.已知椭圆C :()222210x y a b a b+=>>的左、右焦点分别为1F ,2F ,右焦点2F 与抛物线E :()220y px p =>的焦点重合.椭圆C 与抛物线E 交于A ,B 两点,A ,2F ,B 三点共线,则椭圆C 的离心率为______.1【解析】利用椭圆与抛物线的对称性,根据椭圆C 与抛物线E 交于A ,B 两点,A ,2F ,B 三点共线,则有22b AF p a == ,122F F c p ==,再由221212b AF a cF F ==求解. 【详解】因为椭圆C 与抛物线E 交于A ,B 两点,A ,2F ,B 三点共线,所以22b AF p a== ,122F F c p ==,221212b AF a cF F ==, 即22b ac = ,所以2220c ac a --=, 所以2210e e --=,解得1e =.1 【点睛】本题主要考查椭圆与抛物线的对称性和几何性质,还考查了运算求解的能力,属于中档题.16.自然奇数列{}n a 排成以下数列,若第n 行有12n -个数,则前n 行数字的总和为_________. 【答案】()221n -【解析】由题中数列的规律可得,第n 行数字的个数及其第1个数字和最后一个数字,由此结合题中数据,利用等比数列的求和公式,求出前n 行数的个数,再利用等差数列求和公式,求出前n 行数字的总和即可. 【详解】通过观察可知,第n 行共有12n -个,第1个数字为21n -,最后一个为123n +-, 前n 行数的个数1112221n n -+++=-,∴前n 行数字总和为:()()()1212321212n n n++--=-.【点睛】本题考查了等差(比)数列的求和公式,考查了归纳推理能力,属于中档题.三、解答题17.在ABC 中,2a b c +=,且3cos 2cos 2cos c C a B b A -=. (1)求cos C ; (2)若352ABCS=,求ABC 的周长. 【答案】(1)2cos 3C =;(2)310【解析】(1)由正弦定理,两角和的正弦公式化简已知等式,可得3sin cos 2sin C C C =,结合C 的范围,可得cos C 的值;(2)由已知利用三角形的面积公式可得9ab =,进而根据余弦定理,结合已知求出c 的值,即可得到ABC 的周长. 【详解】(1)在ABC 中,则A B C π++=,A ,B ,C ()0,π∈,∴()()sin sin sin A B C C π+=-=,sin 0C ≠,3cos 2cos 2cos c C a B b A -=,∴由正弦定理得,()()3sin cos 2sin cos sin cos 2sin 2sin C C B A A B A B C =+=+=,∴2cos 3C =. (2)由(1)得,2cos 3C =, C ()0,π∈,∴sin 3C =,ABCS=,∴1sin 2ABCSab C ===, ∴9ab =,在ABC 中,由余弦定理得,()22222242cos 303c a b ab C a b ab a b =+-⋅=+-=+-, 又2a b c +=,∴()22230c c -=,解得c =,故3a b c c ++==【点睛】本题考查了正弦定理与余弦定理在解三角形中的应用以及三角形的面积公式,考查了两角和的正弦公式,考查了转化能力,属于基础题.18.如图,在四棱锥P ABCD -中,2AD =,1AB BC CD ===,//BC AD ,90PAD ∠=︒.PBA ∠为锐角,平面PAB ⊥平面PBD .(Ⅰ)证明:PA ⊥平面ABCD ; (Ⅱ)AD 与平面PBD 所成角的正弦值为2,求三棱锥P ABD -的表面积. 【答案】(Ⅰ)证明见解析;(Ⅱ)3362++.【解析】(Ⅰ)作AM PB ⊥于M ,根据平面PAB ⊥平面PBD 得到AM ⊥平面PBD .AM BD ⊥,取AD 中点为Q ,则=BC QD ,且//BC QD ,得到1====BQ CD QD QA ,有BD AB ⊥,由线面垂直的判定定理,得到DB ⊥平面PAB DB PA ⇒⊥,再由PA AD ⊥得证.(Ⅱ)由(Ⅰ)知:AM ⊥平面PBD ,根据线面角的定义,故ADM ∠即为AD 与平面PBD 所成角,所以有2242AM AM AD =⇒=,三棱锥的四个面都是直角三角形,由三角形的面积公式求解. 【详解】 (Ⅰ)如图所示:作AM PB ⊥于M , 因为平面PAB ⊥平面PBD 所以AM ⊥平面PBD . 所以AM BD ⊥ 取AD 中点为Q , 则=BC QD ,且//BC QD所以1====BQ CD QD QA 所以90ABD ∠=︒,BD AB ⊥ 又PBA ∠为锐角,∴点M 与点B 不重合. 所以DB ⊥平面PAB DB PA ⇒⊥.又PA AD ⊥,DB 与AD 为平面ABCD 内两条相交直线, 故PA ⊥平面ABCD .(Ⅱ)由(Ⅰ)知:AM ⊥平面PBD , 故ADM ∠即为AD 与平面PBD 所成角,AM AM AD =⇒=在Rt PAB 中,452AM PBA =⇒∠=︒, 故1PA =,12PAB S =△,1PAD S =△,22ABD AB BD S ⋅==△. 而90PBD ∠=︒,所以222△⋅===PBD PB BDS故所求表面积为:112++=. 【点睛】本题主要考查线线垂直、线面垂直、面面垂直的转化和几何体表面积的求法,还考查了转化化归的思想和运算求解的能力,属于中档题.19.西部某贫困村,在产业扶贫政策的大力支持下,在荒山上散养优质鸡,城里有7个饭店且每个饭店一年有300天需要这种鸡,A 饭店每天需要的数量是14~18之间的一个随机数,去年A 饭店这300天里每天需要这种鸡的数量x (单位:只)如下表:这300天内,假定这7个饭店的情况一样,只探讨A 饭店当天的需求量即可.这300天内,鸡厂和这7个饭店联营,每天出栏鸡是定数()71418a a ≤≤,送到城里的这7个饭店,从饲养到送到饭店,每只鸡的成本是40元,饭店给鸡厂结算每只70元,如果7个饭店用不完,即当天每个饭店的需求量x a <时,剩下的鸡只能以每只56a -元的价钱处理.(Ⅰ)若15a =,求鸡厂当天在A 饭店得到的利润y (单位:元)关于A 饭店当天需求量x (单位:只,*N x ∈)的函数解析式;(Ⅱ)若16a =,求鸡厂当天在A 饭店得到的利润(单位:元)的平均值; (Ⅲ)17a =时,以表中记录的各需求量的频率作为各需求量发生的概率,求鸡厂当天在A 饭店得到的利润大于479元的概率. 【答案】(Ⅰ)()*2915,15N 450,15x x y x x +<⎧=∈⎨≥⎩;(Ⅱ)465元;(Ⅲ)25.【解析】(Ⅰ)根据每只鸡的成本是40元,饭店给鸡厂结算每只70元,如果7个饭店用不完,即当天每个饭店的需求量x a <时,剩下的鸡只能以每只56a -元的价钱处理,建立分段利润函数模型..再将15a =代入求解.(Ⅱ)根据(Ⅰ)知,将16a =,代入得()*30,16N 480,16x x y x x <⎧=∈⎨≥⎩,根据表中记录,300天中,有45天的利润是420元/天,有60天的利润是450元/天,有195天的利润是480元/天,再用平均数公式求解.(Ⅲ)当17a =时,()*3117,17N 510,17x x y x x -<⎧=∈⎨≥⎩,令479y = 得到16x =,再从表中记录,根据频率求解概率. 【详解】(Ⅰ)当x a <时,()()()()2704056401416y x a a x a x a a =-+---=++-,当x a ≥时,30y a =,()()2*1416,N 30,a x a a x a y x a x a ⎧++-<=∈⎨≥⎩, 15a =,得:()*2915,15N 450,15x x y x x +<⎧=∈⎨≥⎩.(Ⅱ)由(Ⅰ)知,16a =,()*30,16N 480,16x x y x x <⎧=∈⎨≥⎩,300天中,有45天的利润是420元/天,有60天的利润是450元/天,有195天的利润是480元/天,所以鸡厂当天在A 饭店得到的利润(单位:元)的平均值为()14204545060195480465300⨯⨯+⨯+⨯=(元). (Ⅲ)当17a =时,()*3117,17N 510,17x x y x x -<⎧=∈⎨≥⎩,当16x =时,鸡厂当天在A 饭店得到的利润479y =元, 所以鸡厂当天在A 饭店得到的利润大于479元的概率为606023003005+=. 【点睛】本题主要考查样本估计总体,还考查了分段函数的应用和运算求解的能力,属于中档题. 20.已知:()e 1xf x ax =--仅有1个零点.(1)求实数a 的取值范围;(2)证明:2e e e ln 1x x x x x x x -->+. 【答案】(1)(]{},01-∞⋃;(2)见解析【解析】(1)求出()f x 的导数,对a 进行分类讨论,判断导函数的符号,判断函数单调性,利用零点存在性定理,判断是否为符合题意的a 范围即可; (2)将不等式的左边可变形为()2ee e ln e e ln xx x x x x x x x x x --=--,构造函数()e ln x g x x x x =--,利用导数证明e ln 1x x x x --≥,由(1)可得不等式右边有1x x e +≤,利用放缩法证明原不等式成立即可,在放缩过程中需要注意等号成立的条件. 【详解】 (1)()e 1x f x ax =--,定义域为R ,∴()00e 010f a =-⋅-=,()e x f x a '=-,当0a ≤时,()0f x '>,∴()f x 为增函数,而(0)0f =,∴()f x 仅有1个零点,满足题意,当0a >时,令()0f x '>,解得ln x a >;令()0f x '<,解得ln x a <,∴在(,ln )a -∞上,()f x 单调递减,在(ln ,)a +∞上,()f x 单调递增, ∴()()min ln f x f a =,①当ln 0a =,即1a =时,()()()min ln 00f x f a f ===,()e 1x f x x =--,当()(),00,x ∈-∞+∞时,()0f x >,此时()f x 仅有1个零点,符合条件; ②当ln 0a <,即01a <<时,1ln ln a a a-<, 在(ln ,)a +∞上,()f x 单调递增,()00f =,()f x 有一个零点,∴()ln 0f a <,在(,ln )a -∞上,()f x 单调递减,11ln ln 11ln e ln 1n 0e l a a a a a f a a a a a a --⎛⎫⎛⎫-=---= ⎪ ⎪⎝⎭⎝->⎭,由零点存在性定理可得()f x 在(,ln )a -∞也有一零点, 不符合条件;③当ln 0a >,即1a >时,在(,ln )a -∞上,()f x 单调递减,()00f =,()f x 有一个零点,∴()ln 0f a <,在(ln ,)a +∞上,()f x 单调递增,由①知,1a e a >+,a e a >,即ln a a >,()3ln ,a a ∈+∞,∴()()()33322233313113130a af a e a e a a a a a =--=-->+--=+>,由零点存在性定理可得()f x 在(ln ,)a +∞也有一零点,不符合条件;综上所述,实数a 的取值范围是(]{},01-∞⋃. (2)()2ee e ln e e ln xx x x x x x x x x x --=--.令()e ln xg x x x x =--, 则()()()111e 11e xx g x x x x x ⎛⎫'=+--=+- ⎪⎝⎭. 令()1e xh x x=-则()21e 0xh x x'=+>,即()h x 在()0,∞+单调递增, 又102h ⎛⎫< ⎪⎝⎭,()10h >,∴()h x 在()0,∞+有且仅有1个零点,设为0x ,()00x ∈+∞,,则01e x x =,即00ln x x =-,()00g x '=, ∴()g x 最小值为()()0000000e ln 11x g x x x x x x =--=---=,即e ln 1x x x x --≥,当且仅当0x x =时取等号, 又由(1)知,e 1x x ≥+,当且仅当0x =时取等号, 可得:()ln 1xxx exex x e x --≥≥+,而以上两式不同时取等, 故2e e e ln 1x x x x x x x -->+. 【点睛】本题考查了利用导数研究函数的单调性以及零点存在性定理,考查了利用导数证明不等式以及放缩法在不等式证明中的应用,考查了分类讨论的思想,属于较难题.21.在平面直角坐标系xOy 中,直线l 的参数方程为2cos 1sin x t y t ϕϕ=+⎧⎨=+⎩(t 为参数),以坐标原点为极点,x 轴的正半轴为极轴建立极坐标系,椭圆C 的极坐标方程为222483cos 4sin ρθθ=+. (Ⅰ)当3πϕ=时,把直线l 的参数方程化为普通方程,把椭圆C 的极坐标方程化为直角坐标方程;(Ⅱ)直线l 交椭圆C 于A ,B 两点,且A ,B 中点为()2,1M ,求直线l 的斜率.【答案】(Ⅰ10y -+-=,2211612x y +=;(Ⅱ)32-. 【解析】(Ⅰ)根据直线l 的参数方程为2cos 1sin x t y t ϕϕ=+⎧⎨=+⎩,且3πϕ=,消去t 即可直线的的普通方程.根据椭圆C 的极坐标方程222483cos 4sin ρθθ=+,变形为22223cos 4sin 48ρθρθ+=,再利用cos ,sin x y ρθρθ== 求解.(Ⅱ)将直线l 的参数方程代入椭圆C 的直角坐标方程整理得()()223sin 12cos 8sin 320t t ϕϕϕ+++-=,利用A ,B 中点为()2,1M ,且直线过()2,1M ,利用参数的几何意义求解.【详解】(Ⅰ)因为直线l 的参数方程为2cos 1sin x t y t ϕϕ=+⎧⎨=+⎩,且3πϕ=,所以1221x t y ⎧=+⎪⎪⎨⎪=⎪⎩, 消去t10y -+-=,所以直线l10y -+-=;因为椭圆C 的极坐标方程为222483cos 4sin ρθθ=+. 所以22223cos 4sin 48ρθρθ+=,223448x y +=,椭圆C 的直角坐标方程为:2211612x y +=. (Ⅱ)将直线l 的参数方程代入椭圆C 的直角坐标方程整理得:()()223sin 12cos 8sin 320t t ϕϕϕ+++-=, 因为A ,B 中点为()2,1M所以120t t +=, 故312cos 8sin 0tan 2k ϕϕϕ+=⇒==-, 所以直线l 的斜率为32-. 【点睛】本题主要考查参数方程,极坐标方程,直角坐标方程的转化以及直线与曲线的位置关系,还考查了运算求解的能力,属于中档题.22.已知函数()2f x x a x =-+-.(Ⅰ)若()3f x ≥恒成立,求实数a 的取值范围;(Ⅱ)()f x x ≤的解集为[]2,m ,求a 和m .【答案】(Ⅰ)5a ≥或1a ≤-;(Ⅱ),4a =,6m =.【解析】(Ⅰ)根据绝对值三角不等式,由()()222x a x x a x a -+-≥---=-,求得()f x 最小值,再由23a -≥求解.(Ⅱ)不等式的解集与相应方程根的关系,当2x =时,()22f =,即22a -=,解得:0a =或4.,再分类求解.【详解】(Ⅰ)因为()()222x a x x a x a -+-≥---=-,当且仅当()()20x a x --≤时取等,故()f x 最小值为2a , 235a a ∴-≥⇔≥或1a ≤-.(Ⅱ)由不等式解集的意义可知:2x =时,()22f =,即22a -=,解得:0a =或4.0a =时,如图所示:不合题意舍去.4a =时,如图所示:由y x =与26y x =-解得:6x =,即6m =,综上,4a =,6m =.【点睛】本题主要考查绝对值三角不等式和不等式的解集与相应方程根的关系,还考查了数形结合的思想和运算求解的能力,属于中档题.。
2020年百校联考高考百日冲刺数学试卷(文科)(二)(全国Ⅱ卷)一、选择题(本大题共12小题,共60.0分)1.已知集合且,则A的非空真子集的个数为A. 30B. 31C. 62D. 632.复数z满足,则A. 2B. 4C.D. 53.若正六边形ABCDEF边长为2,中心为O,则A. 2B.C. 4D.4.从集合2,3,4,中任取2个数,和为偶数的概率为A. B. C. D.5.在上,满足方程的x值为A. B. C. D.6.双曲线:,左、右焦点分别为、,过且垂直于x轴的直线交双曲线于A,B两点,,则一条渐近线斜率为A. B. C. D.7.递减的等差数列满足:,且,,分别是某等比数列的第1,2,4项,则的通项公式为A. B. C. D.8.李冶,真定栾城今河北省石家庄市栾城区人.金元时期的数学家.与杨辉、秦九韶、朱世杰并称为“宋元数学四大家”在数学上的主要贡献是天元术设未知数并列方程的方法,用以研究直角三角形内切圆和旁切圆的性质.李治所著测圆海镜中有一道题:甲乙同立于乾隅,乙向东行不知步数而立,甲向南直行,多于乙步,望见乙复就东北斜行,与乙相会,二人共行一千六百步,又云南行不及斜行八十步,问通弦几何.翻译过来是:甲乙两人同在直角顶点C 处,乙向东行走到B处,甲向南行走到A处,甲看到乙,便从A走到B处,甲乙二人共行走1600步,AB比AC长80步,若按如图所示的程序框图执行求AB,则判断框中应填入的条件为A. ?B. ?C. ?D. ?9.已知,则在上的所有解的和为A. B. C. D.10.奇函数满足:对任意,都有,在上,,则A. B. C. D.11.某几何体的三视图如图所示,则该几何体中,最长的棱的长度为A.B.C. 3D.12.已知则A. 1B.C. 2D.二、填空题(本大题共4小题,共20.0分)13.已知,曲线上存在两点A,B,使以A,B为切点的切线相互垂直,则实数a的取值范围是______14.已知x,y满足线性约束条件目标函数的最大值为2,则实数k的取值范围是______.15.已知椭圆C:,的左、右焦点分别为,,右焦点与抛物线E:的焦点重合.椭圆C与抛物线E交于A,B两点,A,,B三点共线,则椭圆C的离心率为______.16.自然奇数列排成如图数列,若第n行有个数,则前n行数字的总和为______.三、解答题(本大题共6小题,共72.0分)17.在中,,且.求cos C;若,求的周长.18.如图,在四棱锥中,,,,为锐角,平面平面PBD.Ⅰ证明:平面ABCD;Ⅱ与平面PBD所成角的正弦值为,求三棱锥的表面积.19.西部某贫困村,在产业扶贫政策的大力支持下,在荒山上散养优质鸡,城里有7个饭店且每个饭店一年有300天需要这种鸡,A饭店每天需要的数量是之间的一个随机数,去年A饭店这300天里每天需要这种鸡的数量单位:只如表:x1415161718频数4560756060厂和这7个饭店联营,每天出栏鸡是定数,送到城里的这7个饭店,从饲养到送到饭店,每只鸡的成本是40元,饭店给鸡厂结算每只70元,如果7个饭店用不完,即当天每个饭店的需求量时,剩下的鸡只能以每只元的价钱处理.Ⅰ若,求鸡厂当天在A饭店得到的利润单位:元关于A饭店当天需求量单位:只,的函数解析式;Ⅱ若,求鸡厂当天在A饭店得到的利润单位:元的平均值;Ⅲ时,以表中记录的各需求量的频率作为各需求量发生的概率,求鸡厂当天在A饭店得到的利润大于479元的概率.20.已知:仅有1个零点.求实数a的取值范围;证明:.21.在平面直角坐标系xOy中,直线l的参数方程为为参数,以坐标原点为极点,x轴的正半轴为极轴建立极坐标系,椭圆C的极坐标方程为.Ⅰ当时,把直线l的参数方程化为普通方程,把椭圆C的极坐标方程化为直角坐标方程;Ⅱ直线l交椭圆C于A,B两点,且A,B中点为,求直线l的斜率.22.已知函数.Ⅰ若恒成立,求实数a的取值范围;Ⅱ的解集为,求a和m.-------- 答案与解析 --------1.答案:A解析:解:集合且,2,3,4,,故A的子集个数为,非空真子集个数为30.故选:A.求出集合且,2,3,4,,由此能求出A的非空真子集个数.本题考查集合的非空真子集的个数的求法,考查子真子集等基础知识,考查运算求解能力,是基础题.2.答案:C解析:解:由,得,.故选:C.把已知等式变形,再由复数代数形式的乘除运算化简,然后利用复数模的计算公式求解.本题考查复数代数形式的乘除运算,考查复数模的求法,是基础题.3.答案:B解析:解:正六边形ABCDEF中,,在中,,,.即.故选:B.首先将化简为,再根据正六边形ABCDEF边长为2,每个角是,通过余弦公式解三角形求解出,即本题主要考查平面向量的线性运算和通过余弦公式解三角形,较简单,属基础题.4.答案:B解析:解:从集合2,3,4,中任取2个数,基本事件总数,和为偶数包含的基本事件个数,和为偶数的概率为.故选:B.基本事件总数,和为偶数包含的基本事件个数,由此能求出和为偶数的概率.本题考查概率的求法,考查古典概型、排列组合等基础知识,考查运算求解能力,是基础题.5.答案:C解析:解:方程,根据三角函数的诱导公式的应用,整理得,即,整理得即或由于,所以:.故选:C.直接利用三角函数关系式的恒等变换和诱导公式的应用及三角函数的方程的应用求出结果.本题考查的知识要点:三角函数关系式的恒等变换,诱导公式的应用,三角函数的方程的应用,主要考查学生的运算能力和转换能力及思维能力,属于基础题型.6.答案:D解析:解:由双曲线的方程可得:,,因为过且垂直于x轴的直线交双曲线于A,B两点,所以可得,,因为,因为,即,整理可得,又,所以解得,所以渐近线的斜率为,故选:D.由题意可得A,B的坐标,及的坐标,求出的坐标,由,可得,进而求出a,b的关系,再求出渐近线的斜率.本题考查双曲线的性质,及角为用数量积表示的方法,属于中档题.7.答案:A解析:解:递减的等差数列,可设公差为d,,由,且,,分别是某等比数列的第1,2,4项,可得,即,可得,化为,的通项公式为.故选:A.可设公差为d,,由等差数列的通项公式和等比数列的性质,可得d的方程,解得,进而得到所求通项公式.本题考查等差数列的通项公式和等比数列的性质,考查方程思想和运算能力,属于基础题.8.答案:A解析:解:由题知,,,,由勾股定理可知.故选:A.模拟程序的运行过程,分析循环中各变量值的变化情况,可得判断框中应填入的条件.本题考查了程序框图的应用问题,解题时应模拟程序框图的运行过程,以便得出正确的结论,是基础题.9.答案:D解析:解:函数的最小正周期为,值域为,在,上各有两解,分别为,,,,令,解得,对称轴:,又,当时,与的交点关于对称,当时,与的交点关于对称,由的对称性可得,,.故选:D.由函数的解析式得到的最小正周期,结合正弦型函数的特征,从而判断解的个数及分布,根据对称性即可求出在上的所有解的和.本题考查了正弦型三角函数的图象与性质,考查了转化能力,属于中档题.10.答案:A解析:解:,关于对称,又函数为奇函数,关于点对称,故函数的周期为4,.故选:A.先求得函数的周期为4,再结合已知范围的解析式可得.本题考查了函数的周期性和奇偶性的综合运用,考查转化能力及计算能力,属于中档题.11.答案:C解析:解:由三视图还原原几何体如图,该几何体为四面体ABCD,四面体所在正方体的棱长为2,则棱长分别为:,,,,.最长的棱的长度为3.故选:C.由三视图还原原几何体如图,该几何体为四面体ABCD,四面体所在正方体的棱长为2,分别求出六条棱的长度得答案.本题考查空间几何体的三视图,考查空间想象能力与思维能力,是中档题.12.答案:B解析:解:,时,,,即,故,故.故选:B.时,,推导出,从而,由此能求出结果.本题考查函数值的求法,考查函数性质等基础知识,考查运算求解能力,是基础题.13.答案:解析:解:,由题意,导函数在有两个互异零点,故,即,所以.,所以,当时,,递减;当时,,递增.且,,要使曲线上存在两点A,B,使以A,B为切点的切线相互垂直,只需即可,解得,结合式得:即为所求.故答案为:.先对函数求导数,然后使导数满足在上有两个互异零点,并且该两点处的导数值乘积为,以此列方程,构造函数或不等式求解.本题考查导数的几何意义及切线方程的求法,同时考查学生的逻辑推理能力和运算能力,属于中档题.14.答案:解析:解:x,y满足线性约束条件表示的可行域如图:目标函数化为,时,可知:最优解在直线上,而在可行域内,且满足故可知:实数k的取值范围是.故答案为:.画出约束条件的可行域,利用目标函数的最大值,结合直线系结果的定点,转化求解实数k的取值范围.本题考查简单的线性规划,考查了数形结合的解题思想方法,是中档题.15.答案:解析:解:如图,根据题意可得抛物线准线l过左焦点,作交于点l于点,则则易得四边形是正方形,故椭圆C的离心率.故答案为:.作出图形,作准线l交于点l于点,则可得四边形是正方形,所以离心率即可.本题考查椭圆离心率的求法,数形结合思想,属于中档题.16.答案:解析:解:由题意可知,前n行共有个奇数,所以前n行数字的总和为奇数列的前的和,所以,故答案为:.先利用等比数列的前n项和公式求出前n行共有个奇数,再利用等差数列的前n项和公式求奇数列的前的和即可.本题主要考查了合情推理中的归纳推理,以及等比数列和等差数列的前n项和公式,是中档题.17.答案:解:,由正弦定理可得,,;,可得,,解得,,整理可得,,,即,解得,可得,的周长.解析:由正弦定理,两角和的正弦函数公式化简已知等式,结合,即可解得cos C的值;利用同角三角函数基本关系式可求sin C的值,根据三角形的面积公式可求ab的值,进而利用余弦定理结合,可得,进而解得c,的值,即可求解的周长.本题主要考查了正弦定理,两角和的正弦函数公式,同角三角函数基本关系式,三角形的面积公式,余弦定理在解三角形中的应用,考查了计算能力和转化思想,属于基础题.18.答案:解:Ⅰ证明:作于M,则由平面平面平面.取AD中点为Q,则.又为锐角,点M与点B不重合.平面.又,DB与AD为平面ABCD内两条相交直线,故平面ABCD.Ⅱ解:由Ⅰ知:平面PBD,故即为AD与平面PBD所成角,.在中,,故,,,.而,故所求表面积为:.解析:Ⅰ作于M,则平面PBD,取AD中点为Q,推导出平面由此能证明平面ABCD.Ⅱ由平面PBD,得即为AD与平面PBD所成角,由此能求出三棱锥的表面积.本题考查空中线面平行、线面垂直、面面垂直、锥体表面积求法,考查空间想象能力、推理论证能力、考查运算求解能力,是中档题.19.答案:解:Ⅰ当时,,当时,,,由,得;Ⅱ由Ⅰ知,,,300天中,有45天的利润是420元天,有60天的利润是450元天,有195天的利润是480元天,鸡厂当天在A饭店得到的利润单位:元的平均值为元.Ⅲ当时,,当时,鸡厂当天在A饭店得到的利润元,鸡厂当天在A饭店得到的利润大于479元的概率为.解析:Ⅰ根据每只鸡的成本为40元,饭店给鸡场每只结算70元,如果每个饭店当天的需求量,剩下的鸡只能以每只元的价格处理,建立分段函数模型,再将代入求解;Ⅱ由Ⅰ知,将代入,得,根据表中记录,300天中,有45天的利润是420元天,有60天的利润是450元天,有195天的利润是480元天,再由平均数公式求解;Ⅲ当时,,把代入求得,再由表中记录,利用频率求概率.本题主要考查样本估计总体,考查分段函数的应用与运算求解能力,正确理解题意是关键,是中档题.20.答案:解:,定义域为R,,,当时,,为增函数,而,仅有一个零点,满足题意;当时,令,解得,令,解得,在上,单调递减,在上,单调递增,,当,即时,,当时,,此时仅有一个零点,满足题意;当,即时,,在上,单调递增,,有一个零点,,在上,单调递减,而,由零点存在性定理可得在上也有一个零点,不满足题意;当,即时,在上,单调递减,,有一个零点,,在上,单调递增,由值,,,即,,,由零点存在性定理可得在也有一个零点,不满足题意;综上所述,实数a的取值范围为;证明:,令,则,令,则,即在上单调递增,又,在有且仅有一个零点,设为,,则,即,,的最小值为,即,当且仅当时取等号,又由知,,当且仅当时取等号,可得,而以上两式不同时取等,故.解析:求出的导数,对a进行分类讨论,判断导函数的符号,判断函数单调性,利用零点存在性定理,判断是否为符合题意的a的范围即可;将不等式的左边可变形为,构造函数,利用导数证明,由可得不等式右边有,利用放缩法证明原不等式成立即可,在放缩过程中需要注意等号成立的条件.本题考查了利用导数研究函数的单调性以及零点存在性定理,考查了利用导数证明不等式以及放缩法在不等式证明中的应用,考查了分类讨论的思想,属于较难题.21.答案:解:Ⅰ直线l的普通方程为:;椭圆C的直角坐标方程为:.Ⅱ将直线l的参数方程代入椭圆C的直角坐标方程整理得:,由题意得:,故,所以直线l的斜率为.解析:Ⅰ直接利用转换关系,把参数方程极坐标方程和直角坐标方程之间进行转换.Ⅱ利用一元二次方程根和系数的应用和三角函数关系式的恒等变换求出结果.本题考查的知识要点:参数方程极坐标方程和直角坐标方程之间的转换,一元二次方程根和系数关系式的应用,三角函数关系式的恒等变换,主要考查学生的运算能力和转换能力及思维能力生的运算能力,属于基础题型.22.答案:解:Ⅰ,当且仅当时取等号,故的最小值为,或.Ⅱ由不等式解集的意义可知:时,,即,解得或4.时,如图所示:不合题意,舍去;时,如图所示:由与,解得:.即,综上,,.解析:Ⅰ根据绝对值三角不等式,由,求得最小值,再由求解;Ⅱ不等式的解集与相应方程根的关系,当时,,即,解得或再分类求解.本题主要考查绝对值不等式和不等式的解集与相应方程根的关系,还考查了数形结合的思想和运算求解的能力,属于中档题.。
2022届广东省百校联盟高三第二次联考数学(文)试题(解析版)数学(文)试题(解析版)一、单选题2i()1.复数3i71711717iB.iC.iD.iA.1010101010101010【答案】A【解析】由题意得2i2i3i71i。
选A。
3i3i3i10102.已知A某|ylog23某1,By|某2y24,则AB()1A.0,B.312,3C.1,2D.31,23【答案】C1【解析】因为A某|ylog23某1,,By|某2y24312,2,AB,2,故选C.33.下表是我国某城市在2022年1月份至10月份各月最低温与最高温C的数据一览表.已知该城市的各月最低温与最高温具有相关关系,根据该一览表,则下列结论错误的是()A.最低温与最高温为正相关B.每月最高温与最低温的平均值在前8个月逐月增加C.月温差(最高温减最低温)的最大值出现在1月D.1月至4月的月温差(最高温减最低温)相对于7月至10月,波动性更大【答案】B【解析】第1页共17页将最高温度、最低温度、温差列表如图,由表格前两行可知最低温大致随最高温增大而增大,A正确;由表格可知每月最高温与最低温的平均值在前8个月不是逐月增加,B错;由表格可知,月温差(最高温减最低温)的最大值出现在1月,C正确;由表格可知1月至4月的月温差(最高温减最低温)相对于7月至10月,波动性更大,D正确,故选B.4.已知等差数列an的前n项和为Sn,公差d0,S77,且a2a615,则a11()A.13B.14C.15D.16【答案】A【解析】S77a47,a41,又a2a6a42da42d15,d0,d2,a11a47d13,故选A.某2y25.已知点P在双曲线C:221(a0,b0)上,A,B分别为双ab曲线C的左、右顶点,离心率为e,若ABP为等腰三角形,其顶角为150,则e2()A.423B.2C.3D.233【答案】D【解析】不妨设点P在第一象限,因为ABP为等腰三角形,其顶角为150,则P的坐标为31a,a,代入双曲线C的方程得a2b2232,故选D.42321,e12ba3某2y20,6.设某,y满足约束条件{某2y60,则zy20,7A.1,4B.1,C.214,1D.某的取值范围是()y27,1【答案】A第2页共17页【解析】可行域为如图所示的ABC内部(包括边界),y表示经过原点O与可行域某1y1的点某,y连线的斜率,易求得A4,1,B2,2,kOA,kOB1,,1,4某4从而某1,4,y故选A.【方法点晴】本题主要考查线性规划中利用可行域求目标函数的最值,属简单题.求目标函数最值的一般步骤是“一画、二找、三求”:(1)作出可行域(一定要注意是实线还是虚线);(2)找到目标函数对应的最优解对应点(在可行域内平移或旋转变形后的目标函数,最先通过或最后通过的顶点就是最优解);(3)将最优解坐标代入目标函数求出最值.7.某几何体的三视图如图所示,网格纸上小正方形的边长为1,则该几何体的表面积为()A.84225B.64245C.62225D.82225【答案】C第3页共17页【解析】由三视图可知,该几何体为放在正方体的四棱锥EABCD,如图,正方体的边长为2,该三棱锥底面为正方形,两个侧面为等腰三角形,面积分别为另两个侧面为直角三角形面积都为5,可得这个几何体的表面积为2,22,62225,故选C.18.将曲线C1:yin某上各点的横坐标缩短到原来的倍,纵坐标不26变,再把得到的曲线向左平移个单位长度,得到曲线C2:yg某,则g某2在,0上的单调递增区间是()5A.,B.662,C.3623,0D.,6【答案】B1【解析】将曲线C1:yin某上各点的横坐标缩短到原来的倍,纵26坐标不变,再把得到的曲线向左平移个单位长度可得25g某in2某in2某266得k52k2某2k,令,26222某kkZ,再令k0,得某,则g某在3636,0上的单调递增区间是2,,故选B.369.如图,E是正方体ABCDA1BC(不与端点重合),11D1的棱C1D1上的一点,则()BD1//平面BCE1第4页共17页A.BD1//CEB.AC1BD1C.D1E2EC1D.D1EEC1【答案】D【解析】设B1CBC1O,如图,BD1//平面BCE,平面BC1D1平面1B1CEOE,BD1//OE,O为BC1的中点,E为C1D1的中点,D正确,由异面直线的定义知BD1,CE是异面直线,故A错;在矩形ABC1D1中,AC1与BD1不垂直,故B错;C显然是错,故选D.10.执行如图所示的程序框图,若输入的t4,则输出的i()A.7B.10C.13D.16【答案】D【解析】依次运行程序框图可得:第一次:1不是质数,S0114,i4;第二次:4不是质数,S1454,i7;第5页共17页e某e某11.函数f某2的部分图象大致是()某某2A.B.C.D.【答案】De某e某【解析】图象关于原点对称,f某2f某,f某为奇函数,某某2e某e某0,排除A;当某0,1时,f某排除B;当某1,时,某2某1f某0,排除C;故选D.【方法点晴】本题通过对多个图象的选择考查函数的图象与性质,属于中档题.这类题型也是近年高考常见的命题方向,该题型的特点是综合性较强较强、考查知识点较多,但是并不是无路可循.解答这类题型可以从多方面入手,根据函数的定义域、值域、单调性、奇偶性、特殊点以及某0,某0,某,某时函数图象的变化趋势,利用排除法,将不合题意的选项一一排除.12.已知函数f某ln某a2某2a4(a0),若有且只有两个整数某1,某2使得f某10,且f某20,则a的取值范围是()A.ln3,2B.2ln3,2C.0,2ln3D.0,2ln3第6页共17页e某e某11.函数f某2的部分图象大致是()某某2A.B.C.D.【答案】De某e某【解析】图象关于原点对称,f某2f某,f某为奇函数,某某2e某e某0,排除A;当某0,1时,f某排除B;当某1,时,某2某1f某0,排除C;故选D.【方法点晴】本题通过对多个图象的选择考查函数的图象与性质,属于中档题.这类题型也是近年高考常见的命题方向,该题型的特点是综合性较强较强、考查知识点较多,但是并不是无路可循.解答这类题型可以从多方面入手,根据函数的定义域、值域、单调性、奇偶性、特殊点以及某0,某0,某,某时函数图象的变化趋势,利用排除法,将不合题意的选项一一排除.12.已知函数f某ln某a2某2a4(a0),若有且只有两个整数某1,某2使得f某10,且f某20,则a的取值范围是()A.ln3,2B.2ln3,2C.0,2ln3D.0,2ln3第6页共17页。