同济大学 高等数学(本科少学时)第三版第一章
- 格式:ppt
- 大小:1.13 MB
- 文档页数:63
高等数学(本科少学时类型)同济第三、四版课后习题答案选解1第一章函数与极限1.1函数P.17习题1.11..005.0:01.0;05.0:1.0,222,1),,1(<=<=<<-<-∈δεδεεδδδx x U x 1..3.下列函数是否为同一函数?为什么?(1)2()2ln ()ln f x x x x j ==与;(2)()f x =()x x j =;(2)(3)()f x =与()g x x =;(4)()f x =与()sin g x x =;解:(1)否;因为定义域不同;(2)否;因为对应关系不同;(2)否;因为函数的定义域不同;(3)是;因为定义域和对应关系及值域都相同;(4)否;因为对应关系及值域都相同;4.求下列函数的定义域:(1)1y x =(2)2232x y x x =-+;(3)arcsin(3)y x =-;(4)1arctan y x =;(5)ln(1)y x =+;(6)1x y e =;解:(1)要使1y x=有意义,需使20,10x x ¹-³故函数的定义域为[-1,0)[(0,1].(2)要使2232x y x x =-+有意义,需使2320x x -+¹故函数的定义域为(-,-2)(-2,1)[1,+.) (3)要使arcsin(3)y x =-有意义,需使31x -£故函数的定义域为[2,4].(4)要使1arctan y x=有意义,需使30,0x x ->¹故函数的定义域为(-,0)(0,3].¥(5)要使ln(1)y x =+有意义,需使10x +>故函数的定义域为+).(1,-¥(6)要使1xy e =有意义,需使0x ≠故定义域为(,0)(0,)-∞+∞ .5.6.7.8.9.10.下列函数中哪些是偶函数,哪些是奇函数,哪些是非奇函数又非偶函数?(1)22(1)y x x =-;(2)233y x x =-;(3)(1)(1)y x x x =-+;(4)2x xa a y -+=;(5)2x xa a y --=;(6)sin cos 1y x x =-+;解:(1)按运算:偶函数与偶函数的和差积仍是偶函数;也可以按定义判定;(2)定义域对称,但()();()()f x f x f x f x -¹-¹-所以是非奇非偶函数;(3)按运算:奇函数与奇函数的积是偶函数;奇函数与偶函数的积是奇函数;所以是奇函数;也可以按定义判定;(4)定义域对称,()()f x f x -=所以函数是偶函数;(5)定义域对称,()()f x f x -=-所以函数是奇函数;(6)定义域对称,但()();()()f x f x f x f x -¹-¹-所以是非奇非偶函数;11.设下面所考虑的函数都是定义在对称区间(,)l l -内的,证明:(1)两个偶函数的和是偶函数;两个奇函数的和是奇函数;(2)两个偶函数的乘积是偶函数,两个奇函数的乘积是偶函数,偶函数与奇函数的乘积是奇函数。
《高等数学》课程标准《高等数学》课程是本科非数学类各理科专业的重要专业基础课,在大学教育及高素质人才的培养过程中占有十分重要的地位。
随着时代的发展、科学的进步、经济的腾飞,数学科学已与自然科学、社会科学并列为三大基础科学,数学地位的巨大变化必将影响到高等数学课程在整个高等教育中的地位与作用。
同时,《高等数学》课程还担负着培养学生严谨的思维、求实的作风、创新的意识等任务。
因此,《高等数学》不仅要向学生传授数学知识,更要注重培养学生的数学修养。
但是,不同学科和专业对高等数学知识的需求不同,同时,为了满足我校学生将来考研的需要,根据专业需求的特点和考研《数学一》至《数学三》的要求,将《高等数学》课程划分为如下三个层次。
《高等数学I》(第一层次)一、课程说明:《高等数学I》由微积分、线性代数和概率论与数理统计三部分构成,本课程是物理教育专业和计算机等专业的一门必修的基础课程,也可供将来考研时需要考《数学一》的其它专业同学选修。
课程总学时为276学时,分四个学期行课,其中,第一学期78学时,4学分,第二学期90学时,5学分,第三学期54个学时,3学分,第四学期54个学时,3学分,共15学分。
1.参考专业:物理教育和计算机等专业。
2.课程类别:专业基础课3.参考教材与参考书目教材:1 《高等数学》第六版,同济大学高等数学教研室编,高等教育出版社,2007年。
2 居余马等编著,线性代数(第2版),北京,清华大学出版社,2002年9月第2版3 盛骤等,概率论与数理统计(第二版),北京:高等教育出版社,1989。
参考书目:1 四川大学数学系高等数学教研室编,高等数学(第一、二、三、四册),北京,高等教育出版社,1997。
2 同济大学应用数学系编,线性代数(第4版)北京,高等教育出版社,2003年7月。
3 高世泽,概率统计引论,重庆:重庆大学出版社,2000年。
4.课程教学方法与手段以教师讲授为主,学生自学为辅的教学方式进行教学,课堂上的教学以启发式的方式进行讲授,学生作适当的课内练习。
第一篇 函数、极限与连续第一章 函数、极限与连续高等数学的主要内容是微积分,微积分是以变量为研究对象,以极限方法为基本研究手段的数学学科.本章首先复习函数相关内容,继而介绍极限的概念、性质、运算等知识,最后通过函数的极限引入函数的连续性概念,这些内容是学习高等数学课程极其重要的基础知识.第1节 集合与函数1.1 集合1.1.1 集合讨论函数离不开集合的概念.一般地,我们把具有某种特定性质的事物或对象的总体称为集合,组成集合的事物或对象称为该集合的元素.通常用大写字母A 、B 、C 、 表示集合,用小写字母a 、b 、c 、 表示集合的元素.如果a 是集合A 的元素,则表示为A a ∈,读作“a 属于A ”;如果a 不是集合A 的元素,则表示为A a ∉,读作“a 不属于A ”.一个集合,如果它含有有限个元素,则称为有限集;如果它含有无限个元素,则称为无限集;如果它不含任何元素,则称为空集,记作Φ.集合的表示方法通常有两种:一种是列举法,即把集合的元素一一列举出来,并用“{}”括起来表示集合.例如,有1,2,3,4,5组成的集合A ,可表示成A ={1,2,3,4,5};第二种是描述法,即设集合M 所有元素x 的共同特征为P ,则集合M 可表示为{}P x x M 具有性质|=.例如,集合A 是不等式022<--x x 的解集,就可以表示为{}02|2<--=x x x A .由实数组成的集合,称为数集,初等数学中常见的数集有:(1)全体非负整数组成的集合称为非负整数集(或自然数集),记作N ,即 {} ,,,3,2,1,0n N =;(2)所有正整数组成的集合称为正整数集,记作+N ,即 {} ,,,3,2,1n N =+;(3)全体整数组成的集合称为整数集,记作Z ,即{} ,,,3,2,1,0,1,2,3,,,n n Z ----=;(4)全体有理数组成的集合称为有理数集,记作Q ,即⎭⎬⎫⎩⎨⎧∈∈=+互质与且q p N q Z p q p Q ,,;(5)全体实数组成的集合称为实数集,记作R .1.1.2 区间与邻域在初等数学中,常见的在数集是区间.设R b a ∈,,且b a <,则(1)开区间 {}b x a x b a <<=|),(;(2)半开半闭区间 {}b x a x b a <≤=|),[,{}b x a x b a ≤<=|],(;(3)闭区间 {}b x a x b a ≤≤=|],[; (4)无穷区间 {}a x x a ≥=+∞|),[, {}a x x a >=+∞|),(,{}b x x b ≤=-∞|],(, {}b x x b <=-∞|),(,{}R x x ∈=+∞-∞|),(.以上四类统称为区间,其中(1)-(4)称为有限区间,(5)-(8)称为无限区间.在数轴上可以表示为(图1-1):(1) (2)(3) (4)(5) (6)(7) (8)图 1-1 在微积分的概念中,有时需要考虑由某点0x 附近的所有点组成的集合,为此引入邻域的概念.定义1 设δ为某个正数,称开区间),(00δδ+-x x 为点0x 的δ邻域,简称为点0x 的邻域,记作),(0δx U ,即{}δδδ+<<-=0000|),(x x x x x U {}δ<-=|||0x x x .在此,点0x 称为邻域的中心,δ称为邻域的半径,图形表示为(图1-2):图1-2 另外,点0x 的邻域去掉中心0x 后,称为点0x 的去心邻域,记作),(0δx U o ,即{}δδ<-<=||0|),(00x x x x U o,图形表示为(图1-3):图1-3其中),(00x x δ-称为点0x 的左邻域,),(00δ+x x 称为点0x 的右邻域.1.2函数的概念1.2.1函数的定义定义2 设x 、y 是两个变量,D 是给定的数集,如果对于每个D x ∈,通过对应法则f ,有唯一确定的y 与之对应,则称y 为是x 的函数,记作)(x f y =.其中x 为自变量,y 为因变量,D 为定义域,函数值)(x f 的全体成为函数f 的值域,记作f R ,即{}D x x f y y R f ∈==),(|.函数的记号是可以任意选取的, 除了用f 外, 还可用“g ”、“F ”、“ϕ”等表示. 但在同一问题中, 不同的函数应选用不同的记号.函数的两要素:函数的定义域和对应关系为确定函数的两要素.例1 求函数211x x y --=的定义域. 解 x1的定义区间满足:0≠x ;21x -的定义区间满足:012≥-x ,解得11≤≤-x . 这两个函数定义区间的公共部分是1001≤<<≤-x x 或. 所以,所求函数定义域为]1,0()0,1[ -.例2 判断下列各组函数是否相同.(1)x x f lg 2)(=,2lg )(x x g =; (2)334)(x x x f -=,31)(-=x x x g ;(3)x x f =)(,2)(x x g =.解 (1)x x f lg 2)(=的定义域为0>x ,2lg )(x x g =的定义域为0≠x .两个函数定义域不同,所以)(x f 和)(x g 不相同. (2))(x f 和)(x g 的定义域为一切实数.334)(x x x f -=)(13x g x x =-=,所以)(x f 和)(x g 是相同函数.(3)x x f =)(,x x x g ==2)(,故两者对应关系不一致,所以)(x f 和)(x g 不相同. 函数的表示法有表格法、图形法、解析法(公式法)三种.常用的是图形法和公式法两种.在此不再多做说明.函数举例: 例3 函数⎪⎩⎪⎨⎧>=<-==0,10,00,1sgn x x x x y ,函数为符号函数,定义域为R ,值域{}1,0,1-. 如图1-4:图1-4 例4 函数[]x y =,此函数为取整函数,定义域为R , 设x 为任意实数, y 不超过x 的最大整数,值域Z . 如图1-5:图1-5 特别指出的是,在高等数学中还出现另一类函数关系,一个自变量x 通过对于法则f 有确定的y 值与之对应,但这个y 值不总是唯一.这个对应法则并不符合函数的定义,习惯上我们称这样的对应法则确定了一个多值函数.1.2.2 函数的性质设函数)(x f y =,定义域为D ,D I ⊂.(1)函数的有界性定义3 若存在常数0>M ,使得对每一个I x ∈,有M x f ≤)(,则称函数)(x f 在I 上有界.若对任意0>M ,总存在I x ∈0,使M x f >)(0,则称函数)(x f 在I 上无界.如图1-6:图1-6例如 函数 x x f sin )(=在),(+∞-∞上是有界的:1sin ≤x .函数 xx f 1)(=在)1,0(内无上界,在)2,1(内有界.(2)函数的单调性 设函数)(x f y =在区间I 上有定义, 1x 及2x 为区间I 上任意两点, 且21x x <.如果恒有)()(21x f x f <, 则称)(x f 在I 上是单调增加的;如果恒有)()(21x f x f >, 则称)(x f 在I 上是单调递减的.单调增加和单调减少的函数统称为单调函数(图1-7).图1-7(3)函数的奇偶性 设函数)(x f y =的定义域D 关于原点对称.如果在D 上有)()(x f x f =-, 则称)(x f 为偶函数;如果在D 上有)()(x f x f -=-, 则称)(x f 为奇函数.例如,函数2)(x x f =,由于)()()(22x f x x x f ==-=-,所以2)(x x f =是偶函数;又如函数3)(x x f =,由于)()()(33x f x x x f -=-=-=-,所以3)(x x f =是奇函数.如图1-8:图1-8从函数图形上看,偶函数的图形关于y 轴对称,奇函数的图形关于原点对称.(4)函数的周期性 设函数)(x f y =的定义域为D . 如果存在一个不为零的数l ,使得对于任一D x ∈有()D l x ∈±, 且())(x f l x f =±, 则称)(x f 为周期函数, l 称为)(x f 的周期.如果在函数)(x f 的所有正周期中存在一个最小的正数,则我们称这个正数为)(x f 的最小正周期.我们通常说的周期是指最小正周期.例如,函数x y sin =和x y cos =是周期为π2的周期函数,函数x y tan =和x y cot =是周期为π的周期函数.在此,需要指出的是某些周期函数不一定存在最小正周期.例如,常量函数C x f =)(,对任意实数l ,都有)()(x f l x f =+,故任意实数都是其周期,但它没有最小正周期.又如,狄里克雷函数⎩⎨⎧∈∈=c Qx Q x x D ,0,1)(, 当c Q x ∈时,对任意有理数l ,c Q l x ∈+,必有)()(x D l x D =+,故任意有理数都是其周期,但它没有最小正周期. 1.3 反函数在初等数学中的函数定义中,若函数)(:D f D f →为单射,若存在:1-fD D f →)(,称此对应法则1-f 为f 的反函数.习惯上,D x x f y ∈=),(的反函数记作 )(),(1D f x x f y ∈=-.例如,指数函数),(,+∞-∞∈=x e y x 的反函数为),0(,ln +∞∈=x x y ,图像为(图1-9)图1-9反函数的性质:(1)函数)(x f y = 单调递增(减),其反函数)(1x fy -=存在,且也单调递增(减). (2)函数)(x f y =与其反函数)(1x f y -=的图形关于直线x y =对称. 下面介绍几个常见的三角函数的反函数:正弦函数x y sin =的反函数x y arcsin =,正切函数x y tan =的反函数x y arctan =. 反正弦函数x y arcsin =的定义域是]1,1[-,值域是⎥⎦⎤⎢⎣⎡-2,2ππ;反正切函数x y arctan =的定义域是),(+∞-∞,值域是⎪⎭⎫ ⎝⎛-2,2ππ,如图1-10:9图1-101.4复合函数定义4 设函数f D u u f y ∈=),(,函数f g g D R D x x g u ⊂∈=值域,),(,则 ()()g D x x g f y x g f y ∈==),()( 或称为由)(),(x g u u f y ==复合而成的复合函数,其中u 为中间变量.注:函数g 与函数f 构成复合函数g f 的条件是f g D R ⊂,否则不能构成复合函数.例如,函数]1,1[arcsin -∈=u u y ,,R x x u ∈+=,22.在形式上可以构成复合函数()2arcsin 2+=x y . 但是22+=x u 的值域为]1,1[),2[-⊄+∞,故()2arcsin 2+=x y 没有意义. 在后面的微积分的学习中,也要掌握复合函数的分解,复合函数的分解原则: 从外向里,层层分解,直至最内层函数是基本初等函数或基本初等函数的四则运算.例5 对函数x a y sin =分解.解 x a y sin =由u a y =,x u sin =复合而成.例6 对函数)12(sin 2+=x y 分解.解 )12(sin 2+=x y 由2u y =,v u sin =,12+=x v 复合而成.1.5初等函数在初等数学中我们已经接触过下面各类函数:常数函数:C y =(C 为常数);幂函数:)0(≠=ααx y ;指数函数:)10(≠>=a a a y x 且;对数函数:)10(log ≠>=a a x y a 且;三角函数:x y x y x y x y x y x y csc ,sec ,cot ,tan ,cos ,sin ======; 反三角函数:x arc y x y x y x y cot ,arctan ,arccos ,arcsin ====.这六种函数统称为基本初等函数.定义5 由基本初等函数经过有限次的四则运算和有限次的复合步骤所构成的并用一个式子表示的函数,称为初等函数.例如,x e y sin =,)12sin(+=x y ,2cot x y =等都是初等函数. 需要指出的是,在高等数学中遇到的函数一般都是初等函数,但是分段函数不是初等函数,因为分段函数一般都有几个解析式来表示.但是有的分段函数通过形式的转化,可以用一个式子表示,就是初等函数.例如,函数⎩⎨⎧≥<-=0,0,x x x x y , 可表示为2x y =.习题 1-11.求下列函数的定义域.(1)21x y -=; (2)2411x xy -++=; (3)2ln 2x x y -=; (4)43arcsin -=x y ; (5)452+-=x y ; (6)2)3ln(--=x x y . 2.下列各题中,函数)(x f 和)(x g 是否相同,为什么?(1)2lg )(x x f =,x x g lg 2)(=; (2)x x f =)(,2)(x x g =;(3)x x f =)(,x ex g ln )(=; (4)x x f =)(,)sin(arcsin )(x x g =. 3.已知)(x f 的定义域为]1,0[,求下列函数的定义域. (1))(2x f ; (2))(tan x f ; (3))0)(()(>-++a a x f a x f .4.设()5312++=+x x x f ,求)(x f ,)1(-x f . 5.判断下列函数的奇偶性.盈通企管(1)x x y tan sin ⋅=; (2)()1lg 2++=x x y ; (3)2xx e e y -+=; (4))1(3+=x x y ; (5)⎩⎨⎧>+≤-=0,10,1x x x x y . 6.设下列考虑的函数都是定义在区间)0)(,(>-l l l 上的,证明:(1)两个偶函数的和是偶函数,两个奇函数的和是奇函数;(2)两个偶函数的乘积是偶函数,两个奇函数的乘积是偶函数,偶函数和奇函数的乘积是奇函数.7.下列函数中哪些是周期函数?如果是,确定其周期.(1))1sin(+=x y ; (2)x y 2cos =;(3)x y πsin 1+=; (4)x y 2cos =.8.求下列函数的反函数.(1)31-=x y ; (2))2lg(1++=x y ;(3)x x e e y +=1; (4)),(2sin 2ππ-∈=x x y ;(5)⎪⎩⎪⎨⎧>≤≤<=4,241,1,2x x x x x y x .9.下列函数是有哪些函数复合而成的. (1))13sin(+=x y ; (2))21(cos 3x y +=;(3)))1ln(arcsin(+=x y ; (4)2sin x e y =.10.设2)(x x f =,x x ln )(=ϕ,求())(x f ϕ,())(x f f ,())(x f ϕ. 第2节 极限极限在高等数学中占有重要地位,微积分思想的构架就是用极限定义的. 本节主要研究数列极限、函数极限的概念以及极限的有关性质等内容.2.1 数列的极限2.1.1 数列的概念定义1 若按照一定的法则,有第一个数1a ,第二个数a 2,…,依次排列下去,使得任何一个正整数n 对应着一个确定的数n a ,那么,我们称这列有次序的数a 1,a 2,…,a n ,…为数列.数列中的每一个数叫做数列的项。
第一章 函数与极限§1 函数 §2 初等函数 §3 数列的极限 §4 函数的极限 §5 无穷小与无穷大 §6 极限运算法则 §7 极限存在准则 两个重要极限 §8 无穷小的比较 §9 函数的连续性与间断 §10连续函数的运算与性质第一节 函数一、实数与区间 二、领域 三、函数的概念 四、函数的特性一、实数与区间1.集合: 具有某种特定性质的事物的总体. 组成这个集合的事物称为该集合的元素.2.区间: 是指介于某两个实数之间的全体实数. 这两个实数叫做区间的端点.∀ a , b ∈ , 且a < b.a∈ M, a∉ M, A = { a1 , a 2 , , a n }有限集{ x a < x < b} 称为开区间, 记作 (a , b )o a x b { x a ≤ x ≤ b} 称为闭区间, 记作 [a , b] o aM = { x x所具有的特征 } 无限集数集分类: N----自然数集 Q----有理数集 数集间的关系: Z----整数集 R----实数集N ⊂ Z, Z ⊂ Q, Q ⊂ R.bx{ x a ≤ x < b} 称为半开区间, 记作 [a , b ) { x a < x ≤ b} 称为半开区间, 记作 (a , b] [a ,+∞ ) = { x a ≤ x } ( −∞ , b ) = { x x < b}o a o x x二、邻域有限区间常量与变量: 在某过程中数值保持不变的量称为常量, 而数值变化的量称为变量. 注意 常量与变量是相对“过程”而言的. 常量与变量的表示方法: 通常用字母 a, b, c 等表示常量, 用字母 x, y, t 等表示变量. 例三、函数的概念圆内接正多边形的周长设a与δ是两个实数 , 且δ > 0.数集{ x x − a < δ }称为点 a的δ邻域 ,点a叫做这邻域的中心 , δ 叫做这邻域的半径 .b ( −∞ , +∞ ) = { x −∞ < x < +∞ } =U δ (a ) = { x a − δ < x < a + δ }. δ δ无限区间区间长度的定义: 两端点间的距离(线段的长度)称为区间的长度.a a−δ a+δ o x 点a的去心δ 邻域 , 记作U δ0 (a ), 或 U (a , δ ).π S n = 2 nr sin n n = 3 ,4 ,5 ,S3S4S5圆内接正n 边形S6Oπ nr)Uδ (a ) = { x 0 < x − a < δ }.o定义:设 x 和 y 是两个变量, D 是给定的数集,如果对于每个数 x ∈ D , 变量 y 按照一定法则总函数的两要素: 定义域与对应法则.有唯一的数值和它对应,则称 y 是 x 的函数, 记作因变量x ((D对应法则fx0 )f ( x0 )y = f ( x)自变量数集D叫做这个函数的定义域 自变量Wy)因变量看右图: 如果自变量在定义域 内任取一个数值时,对应 的函数值总是只有一个, 这种函数叫做单值函数, 否则叫做多值函数.y分段函数:在自变量的不同变化范围中, 对应法则用不同的Wy⋅ ( x, y)x式子来表示的函数。
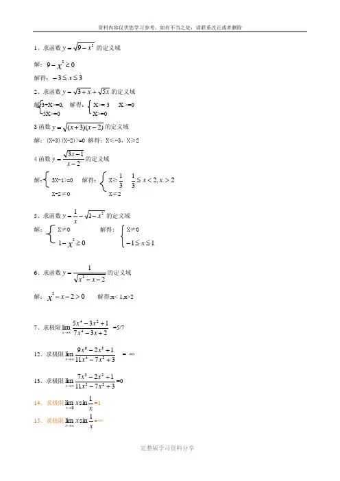
1、求函数29x y -=的定义域 解:092≥-x解得:33≤≤-x2、求函数x x y 53++=的定义域 解:3+X>=0, 解得: X>=-3 X.>=05X>=0 X>=03函数)2)(3(-+=x x y 的定义域解:(X+3)(X-2)>=0 解得:X ≤-3,X ≥24函数213--=x x y 的定义域 解: 3X-1>=0 解得: X ≥31 2.,231><≤x x X-2≠0 X ≠25、求函数211x xy --=的定义域 解: X ≠0 解得: X ≠0 012≥-x 11≤≤-x6、求函数212--=x x y 的定义域解:022>--x x 解得;x<-1,x>27、求极限237135lim 424+-+-∞→x x x x x =5/7 12、求极限3711129lim 2436+-+-∞→x x x x x = ∞ 13、求极限3711127lim 2523+-+-∞→x x x x x =0 14、求极限xx x 1sinlim 0→=1 15、求极限x x x 1sin lim ∞→=∞16、求极限x x x )51(lim -∞→=e 5- 17、求极限x x x 10)31(lim -→=e 3-18、求极限x x x3)21(lim -∞→=e 6- 19、求极限xx x )1ln(lim 0+→ =1 20、求极限ax a x a x --→sin sin lim =cos a 21、、求极限)1311(lim 31x x x ---→=1- 22、5)(0='x f ,则h x f h x f h )()2(lim000-+→=10 23、3)2(='f ,则h f h f h )2()52(lim0--→=-15 24、函数x e y 5=,求y y ''',,)0(),0(y y '''y’=e x 55 y ’’ =e x 525y ’(0)=5 y ’’(0)=25 25、函数)13(cos 2+=x y ,求dy y ,',y’=-6COS(3X+1)SIN(3X+1) dy= -6cos(3x+1)sin(3x+1)dx26、函数)1(sin 22+=x y ,求dy y ,'y’ =4XSIN(x 2+1)COS(x 2+1) dy=4xsin(x 2+1)cos(x^2+1)dx 27、函数)35(tan 22+=x y ,求dy y ,'y’=20xtan(x 25+3)sec^2(x 25+3) dy=20xtan(5x^2+3)sec^2(5x^2+3)dx 28、函数n x y =,求)1(+n yy’=nx^(n-1)y ’’=n(n-1)x^(n-2)y ’’’=n(n-1)(n-2)x^(n-3)y(4)=n(n-1)(n-2)(n-3)x^(n-4)...y(n)=n(n-1)(n-2)(n-3)(n-4)(n-5)…….1=n!y(n+1)=029、求由方程0333=-+xy y x 所确定的隐函数的导数dxdy x y dx dy y x 333322--+dx dy =0 3y 2dx dy -3x dx dy =3y-3x 2 x y dx dy y x 333322--==xy y x --2230、求由方程xy e xy =所确定的隐函数的导数dxdy e e e e e xy xy xy xy xy x x yy dx dy y y x x dxdy dxdy x y dx dy x y --=-=-+=+)()( 31、求由方程y xe y +=1所确定的隐函数的导数dxdy )1('x y dx dy dx dy x e ee y y y y +=+= 32、用对数求导法求0,sin >=x x y x 的导数。
课程名称:高等数学I课程代码:开课系(部):应用数学系制定人:宁光荣、郭求知审核人:赵梅春制定时间:2013.8广东金融学院教务处制___高等数学_I____课程教学进度表学时:58 学分:3周次课程章节教学内容授课学时教学方式3 第一章第1节函数 2 讲授3 第一章第2节数列极限 2 讲授4 国庆放假周二、三、四冲掉04 第一章第3节函数的极限 2 讲授5 第一章第4~5节无穷大、无穷小;极限四则运算2 讲授5 第一章第6节极限存在准则、两个重要极限 2 讲授6 第一章第7节无穷小的比较 2 讲授6 第一章第8~9节函数的连续性、闭区间上连续函数的性质2 讲授7 习题课 2 讲授7 第二章第1、2节导数的概念、求导法则2讲授8第二章第3、5节复合函数求导法则、隐函数及参数方程所确定函数的导数2讲授8 第二章第4、7节高阶导数、函数的微分2讲授9 习题课2讲授9 第三章第1节微分中值定理2讲授10 第三章第2节洛必达法则2讲授10 第三章第3节泰勒公式2讲授11 第三章第4节函数的单调性与曲线的凹凸性2讲授11 第三章第5节函数的极值与最值2讲授12 习题课2讲授12 第四章第1节不定积分的概念与性质2讲授13 第四章第2节第一换元积分法2讲授13 第四章第2节第二换元积分法2讲授14 第四章第3节分部积分法2讲授14 习题课2讲授15 第五章第1节定积分的概念和性质2讲授15 第五章第2节微积分基本公式2讲授16 第五章第3节定积分的换元法与分部积分法2讲授16 第五章第4节定积分的元素法2讲授定积分在几何学上的应用17 习题课2讲授17 总复习 2讲授。
《高等数学(III)》教学大纲1. 课程代码:221160002. 学时、学分:48+80学时,3+4学分(注本课程分两个学期讲授)3. 适用专业:生物、地理、心理、管理、教育、经济等专业4.课程说明:本课程是为生物、地理、心理、管理、教育、经济等专业培养高级专业人才在本科一年级开设的必修基础理论课。
通过本课程的学习,要使学生获得:函数的极限与连续有关概念、一元微积分学、无穷级数、多元函数微积分学、常微分方程等方面的基本概念、基本理论和基本运算技能,并简单介绍空间解析几何,为学习后继课程和进一步获得数学知识奠定必要的数学基础。
本课程以讲授为主,无需预修其它高等数学内容。
在课程的教学过程中,要通过各个教学环节逐步培养学生具有抽象思维能力、逻辑推理能力、空间想象能力和自学能力,培养学生具有比较熟练的运算能力和综合运用所学知识去分析实际问题和解决实际问题的能力。
5.建议选用教材:首选教材:吴赣昌主编, 微积分(经济类), 中国人民大学出版社, 2007备用教材:赵树嫄主编,微积分(修订本),中国人民大学出版社,2004.6. 课程教学内容与要求I.篇章目录第一章函数第二章极限与连续第三章导数与微分第四章中值定理导数的应用第五章不定积分第六章定积分第七章无穷极数第八章多元函数第九章微分方程与差分方程简介II. 第一学期教学内容与要求(16×3=48学时)第一章函数(10学时)理解集合的概念,熟练掌握集合的运算规律。
理解邻域的概念。
理解函数的概念,理解函数的几种常用表示法。
会建立简单实际问题;扣的函数关系式。
理解函数的基本性质(有界性、单调性、奇偶性和周期性)。
了解反函数的概念.理解复合函数的概念。
熟练掌握基本初等函数的性质及其图形。
掌握函数图形的简单组合与变换。
第二章极限与连续(15学时)了解数列极限,了解函数极限的概念,了解左极限与右极限的关系,知道用数学分析的语言陈述数列和函数极限,不要求理解运用。
高等数学(本科少学时类型)第一章 函数与极限第一节 函数○函数基础(高中函数部分相关知识)(★★★) ○邻域(去心邻域)(★) (){},|U a x x a δδ=-<(){},|0U a x x a δδ=<-<第二节 数列的极限○数列极限的证明(★)【题型示例】已知数列{}n x ,证明{}lim n x x a →∞=【证明示例】N -ε语言1.由n x a ε-<化简得()εg n >,∴()N g ε=⎡⎤⎣⎦2.即对0>∀ε,()N g ε∃=⎡⎤⎣⎦,当N n >时,始终有不等式n x a ε-<成立,∴{}a x n x =∞→lim第三节 函数的极限○0x x →时函数极限的证明(★)【题型示例】已知函数()x f ,证明()A x f x x =→0lim【证明示例】δε-语言1.由()f x A ε-<化简得()00x x g ε<-<,∴()εδg =2.即对0>∀ε,()εδg =∃,当00x x δ<-<时,始终有不等式()f x A ε-<成立,∴()A x f x x =→0lim○∞→x 时函数极限的证明(★)【题型示例】已知函数()x f ,证明()A x f x =∞→lim【证明示例】X -ε语言1.由()f x A ε-<化简得()x g ε>,∴()εg X =2.即对0>∀ε,()εg X =∃,当X x >时,始终有不等式()f x A ε-<成立,∴()A x f x =∞→lim第四节 无穷小与无穷大○无穷小与无穷大的本质(★) 函数()x f 无穷小⇔()0lim =x f 函数()x f 无穷大⇔()∞=x f lim○无穷小与无穷大的相关定理与推论(★★)(定理三)假设()x f 为有界函数,()x g 为无穷小,则()()lim 0f x g x ⋅=⎡⎤⎣⎦(定理四)在自变量的某个变化过程中,若()x f 为无穷大,则()1f x -为无穷小;反之,若()x f 为无穷小,且()0f x ≠,则()x f 1-为无穷大 【题型示例】计算:()()0lim x x f x g x →⋅⎡⎤⎣⎦(或∞→x )1.∵()f x ≤M ∴函数()f x 在0x x =的任一去心邻域()δ,0x U内是有界的; (∵()f x ≤M ,∴函数()f x 在D x ∈上有界;) 2.()0lim 0=→x g x x 即函数()x g 是0x x →时的无穷小; (()0lim =∞→x g x 即函数()x g 是∞→x 时的无穷小;)3.由定理可知()()0lim 0x x f x g x →⋅=⎡⎤⎣⎦(()()lim 0x f x g x →∞⋅=⎡⎤⎣⎦)第一节 极限运算法则○极限的四则运算法则(★★) (定理一)加减法则 (定理二)乘除法则关于多项式()p x 、()x q 商式的极限运算设:()()⎪⎩⎪⎨⎧+⋯++=+⋯++=--nn n mm m b x b x b x q a x a x a x p 110110 则有()()⎪⎪⎩⎪⎪⎨⎧∞=∞→0limb a x q x p x m n m n m n >=< ()()()()000lim 00x x f x g x f x g x →⎧⎪⎪⎪=∞⎨⎪⎪⎪⎩()()()()()0000000,00g x g x f x g x f x ≠=≠== (特别地,当()()00lim 0x x f x g x →=(不定型)时,通常分子分母约去公因式即约去可去间断点便可求解出极限值,也可以用罗比达法则求解)【题型示例】求值233lim9x x x →--【求解示例】解:因为3→x ,从而可得3≠x ,所以原式()()23333311lim lim lim 93336x x x x x x x x x →→→--====-+-+ 其中3x =为函数()239x f x x -=-的可去间断点 倘若运用罗比达法则求解(详见第三章第二节):解:()()0233323311lim lim lim 9269x L x x x x x x x '→→→'--===-'- ○连续函数穿越定理(复合函数的极限求解)(★★)(定理五)若函数()x f 是定义域上的连续函数,那么,()()00lim lim x x x x f x f x ϕϕ→→⎡⎤=⎡⎤⎣⎦⎢⎥⎣⎦【题型示例】求值:93lim23--→x x x【求解示例】36x →==第一节 极限存在准则及两个重要极限○夹迫准则(P53)(★★★)第一个重要极限:1sin lim0=→xxx ∵⎪⎭⎫⎝⎛∈∀2,0πx ,x x x tan sin <<∴1sin lim0=→x x x 0000lim11lim lim 1sin sin sin lim x x x x x x x x x x →→→→===⎛⎫⎪⎝⎭(特别地,000sin()lim1x x x x x x →-=-)○单调有界收敛准则(P57)(★★★)第二个重要极限:e x xx =⎪⎭⎫⎝⎛+∞→11lim(一般地,()()()()lim lim lim g x g x f x f x =⎡⎤⎡⎤⎣⎦⎣⎦,其中()0lim >x f )【题型示例】求值:11232lim +∞→⎪⎭⎫ ⎝⎛++x x x x【求解示例】()()211121212122121122122121lim21221232122lim lim lim 121212122lim 1lim 121212lim 121x x x x x x x x x x x x x x x x x x x x x x x x +++→∞→∞+→∞⋅++++⋅⋅+++→∞+→∞++→∞+++⎛⎫⎛⎫⎛⎫==+ ⎪ ⎪ ⎪+++⎝⎭⎝⎭⎝⎭⎡⎤⎛⎫⎛⎫⎢⎥=+=+ ⎪ ⎪⎢⎥++⎝⎭⎝⎭⎣⎦⎡⎤⎛⎫⎢⎥=+⎪⎢⎥+⎝⎭⎣⎦解:()()12lim 1212121212122lim 121x x x x x x x x x eee e+→∞⎡⎤⋅+⎢⎥+⎣⎦+→∞+→∞⎡⎤⋅+⎢⎥+⎣⎦+⎛⎫⎪+⎝⎭====第一节 无穷小量的阶(无穷小的比较) ○等价无穷小(★★) 1.()~sin ~tan ~arcsin ~arctan ~ln(1)~1U U U U U U U e +-2.U U cos 1~212-(乘除可替,加减不行)【题型示例】求值:()()xx x x x x 31ln 1ln lim 20++++→【求解示例】()()()()()()()3131lim 31lim 31ln 1lim 31ln 1ln lim,0,000020=++=+⋅+=++⋅+=++++=≠→→→→→x x x x x x x x x x x x x x x x x x x x x 所以原式即解:因为第二节 函数的连续性 ○函数连续的定义(★) ()()()00lim lim x x x x f x f x f x -+→→==○间断点的分类(P67)(★)⎩⎨⎧∞⋯⋯⎩⎨⎧)无穷间断点(极限为第二类间断点可去间断点(相等)跳越间断点(不等)限存在)第一类间断点(左右极(特别地,可去间断点能在分式中约去相应公因式)【题型示例】设函数()⎩⎨⎧+=x a e x f x 2 ,00≥<x x 应该怎样选择数a ,使得()x f 成为在R上的连续函数?【求解示例】1.∵()()()2010000f e e e f a a f a --⋅++⎧===⎪⎪=+=⎨⎪=⎪⎩2.由连续函数定义()()()e f x f x f x x ===+-→→0lim lim 0∴e a =第五节 闭区间上连续函数的性质 ○零点定理(★)【题型示例】证明:方程()()f x g x C =+至少有一个根介于a 与b 之间 【证明示例】 1.(建立辅助函数)函数()()()x f x g x C ϕ=--在闭区间[],a b 上连续; 2.∵()()0a b ϕϕ⋅<(端点异号)3.∴由零点定理,在开区间()b a ,内至少有一点ξ,使得()0=ξϕ,即()()0f g C ξξ--=(10<<ξ)4.这等式说明方程()()f x g x C =+在开区间()b a ,内至少有一个根ξ 第二章 导数与微分 第一节 导数概念○高等数学中导数的定义及几何意义(P83)(★★)【题型示例】已知函数()⎩⎨⎧++=b ax e x f x 1 ,00>≤x x 在0=x 处可导,求a ,b【求解示例】1.∵()()0010f e f a -+'⎧==⎪⎨'=⎪⎩,()()()00001120012f e e f b f e --+⎧=+=+=⎪⎪=⎨⎪=+=⎪⎩2.由函数可导定义()()()()()0010002f f a f f f b -+-+''===⎧⎪⎨====⎪⎩∴1,2a b ==【题型示例】求()x f y =在a x =处的切线与法线方程 (或:过()x f y =图像上点(),a f a ⎡⎤⎣⎦处的切线与法线方程) 【求解示例】1.()x f y '=',()a f y a x '='=| 2.切线方程:()()()y f a f a x a '-=- 法线方程:()()()1y f a x a f a -=--'第二节 函数的和(差)、积与商的求导法则 ○函数和(差)、积与商的求导法则(★★★) 1.线性组合(定理一):()u v u v αβαβ'''±=+ 特别地,当1==βα时,有()u v u v '''±=± 2.函数积的求导法则(定理二):()uv u v uv '''=+3.函数商的求导法则(定理三):2u u v uv v v '''-⎛⎫= ⎪⎝⎭第三节 反函数和复合函数的求导法则 ○反函数的求导法则(★) 【题型示例】求函数()x f 1-的导数【求解示例】由题可得()x f 为直接函数,其在定于域D 上单调、可导,且()0≠'x f ;∴()()11f x f x -'⎡⎤=⎣⎦' ○复合函数的求导法则(★★★)【题型示例】设(ln y e =,求y '【求解示例】(22arcsi y ex a e e e ''='⎛⎫' ⎪+ ⎝⎛⎫⎪ ⎝⎭解:⎛ ⎝第四节 高阶导数 ○()()()()1n n fx fx -'⎡⎤=⎣⎦(或()()11n n n n d y d y dx dx--'⎡⎤=⎢⎥⎣⎦)(★) 【题型示例】求函数()x y +=1ln 的n 阶导数【求解示例】()1111y x x -'==++, ()()()12111y x x --'⎡⎤''=+=-⋅+⎣⎦, ()()()()()2311121y x x --'⎡⎤'''=-⋅+=-⋅-⋅+⎣⎦ ……()1(1)(1)(1)n n n y n x --=-⋅-⋅+!第一节 隐函数及参数方程型函数的导数 ○隐函数的求导(等式两边对x 求导)(★★★)【题型示例】试求:方程y e x y +=所给定的曲线C :()x y y =在点()1,1e -的切线方程与法线方程【求解示例】由y e x y +=两边对x 求导即()y y x e '''=+化简得1y y e y ''=+⋅ ∴ee y -=-='11111∴切线方程:()e x ey +--=-1111 法线方程:()()e x e y +---=-111○参数方程型函数的求导【题型示例】设参数方程()()⎩⎨⎧==t y t x γϕ,求22dx yd【求解示例】1.()()t t dx dy ϕγ''=2.()22dy d y dx dxt ϕ'⎛⎫⎪⎝⎭=' 第二节 变化率问题举例及相关变化率(不作要求)第三节 函数的微分○基本初等函数微分公式与微分运算法则(★★★) ()dx x f dy ⋅'=第三章 中值定理与导数的应用第一节 中值定理 ○引理(费马引理)(★) ○罗尔定理(★★★)【题型示例】现假设函数()f x 在[]0,π上连续,在()0,π 上可导,试证明:()0,ξπ∃∈,使得()()cos sin 0f f ξξξξ'+=成立 【证明示例】 1.(建立辅助函数)令()()sin x f x x ϕ=显然函数()x ϕ在闭区间[]0,π上连续,在开区间()0,π上可导; 2.又∵()()00sin00f ϕ==()()sin 0f ϕπππ==即()()00ϕϕπ==3.∴由罗尔定理知()0,ξπ∃∈,使得()()cos sin 0f f ξξξξ'+=成立○拉格朗日中值定理(★)【题型示例】证明不等式:当1x >时,x e e x >⋅ 【证明示例】 1.(建立辅助函数)令函数()x f x e =,则对1x ∀>,显然函数()f x 在闭区间[]1,x 上连续,在开区间()1,x 上可导,并且()x f x e '=;2.由拉格朗日中值定理可得,[]1,x ξ∃∈使得等式()11x e e x e ξ-=-成立, 又∵1e e ξ>,∴()111x e e x e e x e ->-=⋅-, 化简得x e e x >⋅,即证得:当1x >时,x e e x >⋅ 【题型示例】证明不等式:当0x >时,()ln 1x x +<【证明示例】 1.(建立辅助函数)令函数()()ln 1f x x =+,则对0x ∀>,函数()f x 在闭区间[]0,x 上连续,在开区间()0,π上可导,并且()11f x x '=+;2.由拉格朗日中值定理可得,[]0,x ξ∃∈使得等式()()()1ln 1ln 1001x x ξ+-+=-+成立, 化简得()1ln 11x x ξ+=+,又∵[]0,x ξ∈,∴()111f ξξ'=<+,∴()ln 11x x x +<⋅=,即证得:当1x >时,x e e x >⋅ 第二节 罗比达法则○运用罗比达法则进行极限运算的基本步骤(★★) 1.☆等价无穷小的替换(以简化运算)2.判断极限不定型的所属类型及是否满足运用罗比达法则的三个前提条件A .属于两大基本不定型(0,0∞∞)且满足条件, 则进行运算:()()()()lim limx a x a f x f x g x g x →→'=' (再进行1、2步骤,反复直到结果得出)B .☆不属于两大基本不定型(转化为基本不定型) ⑴0⋅∞型(转乘为除,构造分式) 【题型示例】求值:0lim ln x x x α→⋅【求解示例】()10000201ln ln lim ln limlimlim111lim 0x x L x x x x xx x x x x xxx a ααααααα∞∞-'→→→→→'⋅===⋅'⎛⎫- ⎪⎝⎭=-=解: (一般地,()0lim ln 0x x x βα→⋅=,其中,R αβ∈)⑵∞-∞型(通分构造分式,观察分母)【题型示例】求值:011lim sin x x x →⎛⎫- ⎪⎝⎭【求解示例】200011sin sin lim lim lim sin sin x x x x x x x x x x x x →→→--⎛⎫⎛⎫⎛⎫-== ⎪ ⎪ ⎪⋅⎝⎭⎝⎭⎝⎭解: ()()()()00002sin 1cos 1cos sin limlim lim lim 0222L x x L x x x x x x xx x x ''→→→→''---====='' ⑶00型(对数求极限法) 【题型示例】求值:0lim x x x →【求解示例】()()0000lim ln ln 000002ln ,ln ln ln ln ln 0lim ln lim lim111lim lim 0lim lim 11x x x x x L x yy x x x x x y x y x x x xx xx y xx x x y e e e x→∞∞'→→→→→→→===='→=='⎛⎫ ⎪⎝⎭==-=====-解:设两边取对数得:对对数取时的极限:,从而有 ⑷1∞型(对数求极限法)【题型示例】求值:()10lim cos sin xx x x →+【求解示例】()()()()()1000000lim ln ln 10ln cos sin cos sin ,ln ,ln cos sin ln 0lim ln lim ln cos sin cos sin 10lim lim 1,cos sin 10lim =lim x x x x L x x yy x x x x y x x y xx x y x y x x x x x x x x y e e e e→→→'→→→→+=+=+→='+⎡⎤--⎣⎦====++'===解:令两边取对数得对求时的极限,从而可得⑸0∞型(对数求极限法)【题型示例】求值:tan 01lim xx x →⎛⎫ ⎪⎝⎭【求解示例】()()tan 0020002220011,ln tan ln ,1ln 0lim ln lim tan ln 1ln ln lim lim lim 1sec 1tan tan tan sin sin lim lim li xx x x L x x x L x y y x x x y x y x x x x x x x x x x x x x →→∞∞'→→→'→→⎛⎫⎛⎫==⋅ ⎪⎪⎝⎭⎝⎭⎡⎤⎛⎫→=⋅ ⎪⎢⎥⎝⎭⎣⎦'=-=-=-⎛⎫'⎛⎫- ⎪ ⎪⎝⎭⎝⎭'==='解:令两边取对数得对求时的极限,00lim ln ln 002sin cos m 0,1lim =lim 1x x yy x x x xy e e e →→→→⋅====从而可得 ○运用罗比达法则进行极限运算的基本思路(★★)00001∞⎧⎪∞-∞−−→←−−⋅∞←−−⎨∞⎪∞⎩∞(1)(2)(3)⑴通分获得分式(通常伴有等价无穷小的替换)⑵取倒数获得分式(将乘积形式转化为分式形式)⑶取对数获得乘积式(通过对数运算将指数提前)第一节 泰勒中值定理(不作要求) 第二节 函数的单调性和曲线的凹凸性 ○连续函数单调性(单调区间)(★★★)【题型示例】试确定函数()3229123f x x x x =-+-的单调区间 【求解示例】1.∵函数()f x 在其定义域R 上连续,且可导∴()261812f x x x '=-+2.令()()()6120f x x x '=--=,解得:121,2x x ==4.∴函数f x 的单调递增区间为,1,2,-∞+∞;单调递减区间为()1,2【题型示例】证明:当0x >时,1x e x >+ 【证明示例】 1.(构建辅助函数)设()1x x e x ϕ=--,(0x >) 2.()10x x e ϕ'=->,(0x >) ∴()()00x ϕϕ>=3.既证:当0x >时,1x e x >+【题型示例】证明:当0x >时,()ln 1x x +<【证明示例】 1.(构建辅助函数)设()()ln 1x x x ϕ=+-,(0x >)2.()1101x xϕ'=-<+,(0x >) ∴()()00x ϕϕ<=3.既证:当0x >时,()ln 1x x +<○连续函数凹凸性(★★★)【题型示例】试讨论函数2313y x x =+-的单调性、极值、凹凸性及拐点【证明示例】1.()()236326661y x x x x y x x '⎧=-+=--⎪⎨''=-+=--⎪⎩ 2.令()()320610y x x y x '=--=⎧⎪⎨''=--=⎪⎩解得:120,21x x x ==⎧⎨=⎩-(1,3) 5 4.⑴函数13y x x =+-单调递增区间为(0,1),(1,2) 单调递增区间为(,0)-∞,(2,)+∞;⑵函数2313y x x =+-的极小值在0x =时取到,为()01f =,极大值在2x =时取到,为()25f =;⑶函数2313y x x =+-在区间(,0)-∞,(0,1)上凹,在区间(1,2),(2,)+∞上凸; ⑷函数2313y x x =+-的拐点坐标为()1,3第一节 函数的极值和最大、最小值○函数的极值与最值的关系(★★★)⑴设函数()f x 的定义域为D ,如果M x ∃的某个邻域()M U x D ⊂,使得对()M x U x ∀∈,都适合不等式()()M f x f x <,我们则称函数()f x 在点(),M M x f x ⎡⎤⎣⎦处有极大值()M f x ;令{}123,,,...,M M M M Mn x x x x x ∈则函数()f x 在闭区间[],a b 上的最大值M 满足:()(){}123max ,,,,...,,M M M Mn M f a x x x x f b =;⑵设函数()f x 的定义域为D ,如果m x ∃的某个邻域()m U x D ⊂,使得对()m x U x ∀∈,都适合不等式()()m f x f x >,我们则称函数()f x 在点(),m m x f x ⎡⎤⎣⎦处有极小值()m f x ;令{}123,,,...,m m m m mn x x x x x ∈ 则函数()f x 在闭区间[],a b 上的最小值m 满足:()(){}123min ,,,,...,,m m m mn m f a x x x x f b =; 【题型示例】求函数()33f x x x =-在[]1,3-上的最值 【求解示例】1.∵函数()f x 在其定义域[]1,3-上连续,且可导∴()233f x x '=-+2.令()()()3110f x x x '=--+=, 解得:121,1x x =-= 3.(三行表)4.又∵()()()12,12,318f f f -=-==- ∴()()()()max min 12,318f x f f x f ====-第一节 函数图形的描绘(不作要求) 第二节 曲率(不作要求)第三节 方程的近似解(不作要求) 第四章 不定积分第一节 不定积分的概念与性质○原函数与不定积分的概念(★★) ⑴原函数的概念:假设在定义区间I 上,可导函数()F x 的导函数为()F x ',即当自变量x I ∈时,有()()F x f x '=或()()dF x f x dx =⋅成立,则称()F x 为()f x 的一个原函数⑵原函数存在定理:(★★)如果函数()f x 在定义区间I 上连续,则在I 上必存在可导函数()F x 使得()()F x f x '=,也就是说:连续函数一定存在原函数(可导必连续) ⑶不定积分的概念(★★)在定义区间I 上,函数()f x 的带有任意常数项C 的原函数称为()f x 在定义区间I 上的不定积分,即表示为:()()f x dx F x C =+⎰(⎰称为积分号,()f x 称为被积函数,()f x dx 称为积分表达式,x 则称为积分变量)○基本积分表(★★★)○不定积分的线性性质(分项积分公式)(★★★) ()()()()1212k f x k g x dx k f x dx k g x dx +=+⎡⎤⎣⎦⎰⎰⎰ 第二节 换元积分法○第一类换元法(凑微分)(★★★) (()dx x f dy ⋅'=的逆向应用)()()()()f x x dx f x d x ϕϕϕϕ'⋅=⋅⎡⎤⎡⎤⎡⎤⎣⎦⎣⎦⎣⎦⎰⎰ 【题型示例】求221dx a x +⎰ 【求解示例】222211111arctan 11x x dx dx d C a x a a aa x x a a ⎛⎫===+ ⎪+⎝⎭⎛⎫⎛⎫++ ⎪ ⎪⎝⎭⎝⎭⎰⎰⎰解:【题型示例】求 【求解示例】()()121212x x C=+=+= ○第二类换元法(去根式)(★★) (()dx x f dy ⋅'=的正向应用) ⑴对于一次根式(0,a b R ≠∈):t =,于是2t bx a-=, 则原式可化为t⑵对于根号下平方和的形式(0a >):tan x a t =(22t ππ-<<), 于是arctan xt a=,则原式可化为sec a t ;⑶对于根号下平方差的形式(0a >):asin x a t =(22t ππ-<<),于是arcsin xt a=,则原式可化为cos a t ;bsec x a t =(02t π<<),于是arccos at x =,则原式可化为tan a t ;【题型示例】求(一次根式)【求解示例】2221t x t dx tdttdt dt t C C t =-=⋅==+=⎰⎰【题型示例】求(三角换元)【求解示例】()()2sin ()2222arcsincos 22cos 1cos 221sin 2sin cos 222x a t t xt adx a ta a tdt t dta a t t C t t t C ππ=-<<==−−−−−−→=+⎛⎫=++=++ ⎪⎝⎭⎰⎰第一节 分部积分法 ○分部积分法(★★)⑴设函数()u f x =,()v g x =具有连续导数,则其分部积分公式可表示为:udv uv vdu =-⎰⎰⑵分部积分法函数排序次序:“反、对、幂、三、指” ○运用分部积分法计算不定积分的基本步骤: ⑴遵照分部积分法函数排序次序对被积函数排序; ⑵就近凑微分:(v dx dv '⋅=)⑶使用分部积分公式:udv uv vdu =-⎰⎰ ⑷展开尾项vdu v u dx '=⋅⎰⎰,判断a .若v u dx '⋅⎰是容易求解的不定积分,则直接计算出答案(容易表示使用基本积分表、换元法与有理函数积分可以轻易求解出结果);b .若v u dx '⋅⎰依旧是相当复杂,无法通过a 中方法求解的不定积分,则重复⑵、⑶,直至出现容易求解的不定积分;若重复过程中出现循环,则联立方程求解,但是最后要注意添上常数C【题型示例】求2x e x dx ⋅⎰ 【求解示例】()()222222222222222x x x x x x x x x x x x x x x e x dx x e dx x de x e e d x x e x e dx x e x d e x e xe e dx x e xe e C⋅===-=-⋅=-⋅=-+=-++⎰⎰⎰⎰⎰⎰⎰解:【题型示例】求sin x e xdx ⋅⎰ 【求解示例】()()()()sin cos cos cos cos cos cos sin cos sin sin cos sin sin x x x x x x x x x x x x x x e xdx e d x e x xd e e x e xdx e x e d x e x e x xd e e x e x e xdx⋅=-=-+=-+=-+=-+-=-+-⎰⎰⎰⎰⎰⎰⎰解:()sin cos sin sin x x x x e xdx e x e x xd e ⋅=-+-⎰⎰即:∴()1sin sin cos 2x x e xdx e x x C ⋅=-+⎰第一节 有理函数的不定积分 ○有理函数(★)设:()()()()101101m m mn n nP x p x a x a x a Q x q x b x b x b --=++⋯+==++⋯+ 对于有理函数()()P x Q x ,当()P x 的次数小于()Q x 的次数时,有理函数()()P x Q x 是真分式;当()P x 的次数大于()Q x 的次数时,有理函数()()P x Q x 是假分式○有理函数(真分式)不定积分的求解思路(★)⑴将有理函数()()P x Q x 的分母()Q x 分拆成两个没有公因式的多项式的乘积:其中一个多项式可以表示为一次因式()kx a -;而另一个多项式可以表示为二次质因式()2lx px q ++,(240p q -<);即:()()()12Q x Q x Q x =⋅一般地:n mx n m x m ⎛⎫+=+ ⎪⎝⎭,则参数n a m =-22b c ax bx c a x x a a ⎛⎫++=++ ⎪⎝⎭则参数,b cp q a a==⑵则设有理函数()()P x Q x 的分拆和式为: ()()()()()()122k l P x P x P x Q x x a x px q =+-++ 其中()()()()1122...k k k P x A A A x a x a x a x a =+++----()()()()2112222222...ll llP x M x N M x N x px q x px q x px q M x N x px q ++=++++++++++++参数121212,,...,,,,...,l k lM M M A A A N N N ⎧⎧⎧⎨⎨⎨⎩⎩⎩由待定系数法(比较法)求出⑶得到分拆式后分项积分即可求解【题型示例】求21x dx x +⎰(构造法) 【求解示例】()()()221111111111ln 112x x x x dx dx x dx x x x xdx dx dx x x x Cx +-++⎛⎫==-+ ⎪+++⎝⎭=-+=-++++⎰⎰⎰⎰⎰⎰第一节 积分表的使用(不作要求) 第五章 定积分极其应用第一节 定积分的概念与性质 ○定积分的定义(★)()()01lim nbiiai f x dx f x I λξ→==∆=∑⎰(()f x 称为被积函数,()f x dx 称为被积表达式,x 则称为积分变量,a 称为积分下限,b 称为积分上限,[],a b 称为积分区间) ○定积分的性质(★★★) ⑴()()bba af x dx f u du =⎰⎰ ⑵()0aa f x dx =⎰⑶()()bba a kf x dx k f x dx =⎡⎤⎣⎦⎰⎰ ⑷(线性性质)()()()()1212b b baa a k f x k g x dx k f x dx k g x dx +=+⎡⎤⎣⎦⎰⎰⎰⑸(积分区间的可加性)()()()bc baacf x dx f x dx f x dx =+⎰⎰⎰⑹若函数()f x 在积分区间[],a b 上满足()0f x >,则()0b af x dx >⎰; (推论一)若函数()f x 、函数()g x 在积分区间[],a b 上满足()()f x g x ≤,则()()b baa f x dx g x dx ≤⎰⎰;(推论二)()()bbaaf x dx f x dx ≤⎰⎰○积分中值定理(不作要求) 第二节 微积分基本公式○牛顿-莱布尼兹公式(★★★) (定理三)若果函数()F x 是连续函数()f x 在区间[],a b 上的一个原函数,则()()()baf x dx F b F a =-⎰○变限积分的导数公式(★★★)(上上导―下下导)()()()()()()()x x d f t dt f x x f x x dx ϕψϕϕψψ''=-⎡⎤⎡⎤⎣⎦⎣⎦⎰ 【题型示例】求21cos 2limt xx e dt x -→⎰【求解示例】()2211cos cos 2002lim lim 解:t t x xx L x d e dt e dt dx x x--'→→='⎰⎰ ()()()()2222221cos cos000cos 0cos cos 0cos 010sin sin lim lim 22sin lim 2cos sin 2sin cos lim21lim sin cos 2sin cos 21122x xx x xL x x x x x x e e x x e x xd xe dx x x e x e x xe x x x x e e---→→-'→--→-→-⋅-⋅-⋅==⋅='⋅+⋅⋅=⎡⎤=+⋅⎣⎦=⋅= 第三节 定积分的换元法及分部积分法 ○定积分的换元法(★★★) ⑴(第一换元法)()()()()b ba a f x x dx f x d x ϕϕϕϕ'⋅=⋅⎡⎤⎡⎤⎡⎤⎣⎦⎣⎦⎣⎦⎰⎰ 【题型示例】求20121dx x +⎰【求解示例】()[]222000111121ln 212122121ln 5ln 5ln122解:dx d x x x x =+=⎡+⎤⎣⎦++=-=⎰⎰ ⑵(第二换元法)设函数()[],f x C a b ∈,函数()x t ϕ=满足:a .,αβ∃,使得()(),ab ϕαϕβ==;b .在区间[],αβ或[],βα上,()(),f t t ϕϕ'⎡⎤⎣⎦连续 则:()()()ba f x dx f t t dt βαϕϕ'=⎡⎤⎣⎦⎰⎰【题型示例】求40⎰【求解示例】()2210,43220,1014,332332311132213111332223522933解:t t x x t x t t dx tt t dt t dt t x t =-====+→+⎛⎫=⋅⋅=+=+ ⎪⎝⎭=-=⎰⎰⎰⎰ ⑶(分部积分法)()()()()()()()()()()()()bba ab bb aaau x v x dx u x v x v x u x dxu x dv x u x v x v x du x ''=-=-⎡⎤⎣⎦⎰⎰⎰⎰○偶倍奇零(★★)设()[],f x C a a ∈-,则有以下结论成立: ⑴若()()f x f x -=,则()()02aaaf x dx f x dx -=⎰⎰⑵若()()f x f x -=-,则()0aaf x dx -=⎰第四节 定积分在几何上的应用(暂时不作要求) 第五节 定积分在物理上的应用(暂时不作要求) 第六节 反常积分(不作要求)第六章 如:不定积分公式21arctan 1dx x C x =++⎰的证明。