常微分方程习题2
- 格式:pdf
- 大小:157.92 KB
- 文档页数:6
1、给定一阶微分方程2dyx dx=: (1) 求出它的通解;解:由原式变形得:2dy xdx =.两边同时积分得2y x C =+.(2) 求通过点(2,3)的特解;解:将点(2,3)代入题(1)所求的得通解可得:1C =-即通过点(2,3)的特解为:21y x =-.(3) 求出与直线23y x =+相切的解;解:依题意联立方程组:223y x Cy x ⎧=+⎨=+⎩故有:2230x x C --+=。
由相切的条件可知:0∆=,即2(2)4(3)0C --⨯-+=解得4C =故24y x =+为所求。
(4) 求出满足条件33ydx =⎰的解。
解:将 2y x C =+代入330dy =⎰,可得2C =-故22y x =-为所求。
2、求下列方程的解。
1)3x y dydx-= 2)233331dy x y dx x y -+=--解:依题意联立方程组:23303310x y x y -+=⎧⎨-+=⎩ 解得:2x =,73y =。
则令2X x =-,73Y y =-。
故原式可变成:2333dY x ydX x y-=-. 令Yu X =,则dy Xdu udx =+,即有 233263u dxdu u u x-=-+.两边同时积分,可得122(263)||u u C X --+= .将732y u x -=-,2X x =-代入上式可得: 12227()614323|2|2(2)y y C x x x -⎛⎫- ⎪--+=- ⎪-- ⎪⎝⎭.即上式为所求。
3、求解下列方程:1)24dyxy x dx+=. 解:由原式变形得:22dyxdx y=-. 两边同时积分得:12ln |2|y x C --=+. 即上式为原方程的解。
2)()x dyx y e dx-=. 解:先求其对应的齐次方程的通解: ()0dyx y dx -=. 进一步变形得:1dy dx y=.两边同时积分得:x y ce =.利用常数变异法,令()x y c x e =是原方程的通解。
常微分方程第三版习题答案常微分方程是数学中的一个重要分支,它研究的是描述自然界中变化规律的方程。
在学习常微分方程的过程中,习题是非常重要的一部分,通过解习题可以加深对理论知识的理解和应用能力的培养。
本文将为大家提供《常微分方程第三版》习题的部分答案,希望能对大家的学习有所帮助。
1. 习题一1.1 解:首先,我们根据题意列出方程:$\frac{dy}{dt} = 2y + t^2$这是一个一阶线性常微分方程,我们可以使用常数变易法来求解。
令$y = u(t)e^{2t}$,则$\frac{dy}{dt} = \frac{du}{dt}e^{2t} + 2ue^{2t}$将上述结果代入原方程,得到:$\frac{du}{dt}e^{2t} + 2ue^{2t} = 2(u(t)e^{2t}) + t^2$化简得到:$\frac{du}{dt}e^{2t} = t^2$两边同时除以$e^{2t}$,得到:$\frac{du}{dt} = t^2e^{-2t}$对上式两边同时积分,得到:$u = -\frac{1}{4}t^2e^{-2t} + C$将$u$代入$y = u(t)e^{2t}$,得到最终的解:$y = (-\frac{1}{4}t^2e^{-2t} + C)e^{2t}$1.2 解:首先,我们根据题意列出方程:$\frac{dy}{dt} = \frac{t}{y}$这是一个一阶可分离变量的常微分方程,我们可以通过分离变量来求解。
将方程变形,得到:$ydy = tdt$对上式两边同时积分,得到:$\frac{1}{2}y^2 = \frac{1}{2}t^2 + C$解得:$y^2 = t^2 + C$由于题目中给出了初始条件$y(0) = 1$,将初始条件代入上式,得到:$1 = 0 + C$解得:$C = 1$将$C$代入$y^2 = t^2 + C$,得到最终的解:$y^2 = t^2 + 1$2. 习题二2.1 解:首先,我们根据题意列出方程:$\frac{dy}{dt} = 2ty + t^2$这是一个一阶线性常微分方程,我们可以使用常数变易法来求解。
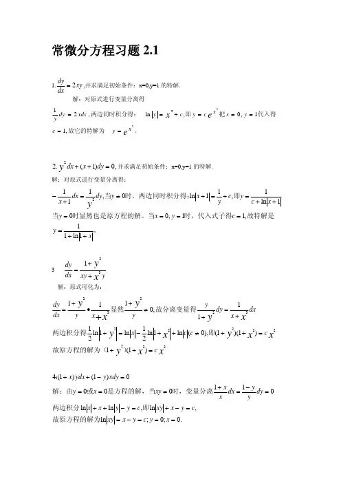
百度文库•让每个人平等地捉升口我习题1.21・—=2xy,并满足初始条件:x=0, y=l 的特解。
dx解:—=2xdx 两边积分有:ln|y|=x'+cy=e ' +e =cex 2另外y=0也是原方程的解,c=0时,y=0原方程的通解为y= cex 2, x=0 y=l 时c=l特解为尸e r \2. y' dx+(x+l)dy=O 并求满足初始条件:x=0, y=l 的特解。
dy 1 + y 2* — 了dx xy + x^ydy _ 1 + y 2 1 dx y x + A 3 dy= ------ r dx X + X'两边积分:x(l+x 2) (1+y 2 )=cx"4. (1+x)ydx+(l-y)xdy=O解:原方程为:—dy=-—dx y x两边积分:In | xy +x-y=c另外x=0, y=0也是原方程的解。
5・(y+x) dy+(x-y)dx=O解:原方程为:解:y - dx=-(x+l)dy卑 dy=J x + 1 dx 两边积分:-丄=-ln|x+l|+ln|c| y I尸 In 1 c(x + 1)1另外y=0> X-1也是原方程的解x=0, y=l 时 c=e 特解:y=In I c(x + \) I解:原方程为:dy x- ydx x + y八V … t dv du 小、亠令i =u 则——=u+x 代入有: x dx dx---- d u= — dx iC +1 xln(u~ +l)x~ =c-2arctgu即 ln(y ~+x~ )=c-2arctg 厶.6. x — -y+ -Jx 2 — y 1 =0解:原方程为:y^=- + —-Jl-(-)2 dx xxv xA y dv dii 贝U 令—=u — =u+ x — x dx dx,du=sgnx — dx VI-w 2 Xarcsin —=sgnx In I x I +c x7. tgydx-ctgxdy=0解:原方程为:—=—fgy ctgx两边积分:In |siny =-ln |cosx I-In I c I1 c siny= ---------- = ------ 另外y=0也是原方程的解,而c=0时,y=0. ccosx cosx所以原方程的通解为sinycosx=c.dx y解:原方程为:学二 dx y2 e ' -3e~ =c.9・ x (lnx-lny)dy-ydx=0解:原方程为:——=—In — dx x xA v rjl dy du 令—=u ,贝11 — =u+ x —— x dx dxduu+ x — =ulnudxln(lnu-l)=-ln|cx|1+1 n = =cy・xdx解:原方程为:g二11 — =(x+y) 2dx“A十du解:令x+y=u,则〒=〒T dx dxdx------du=dx\ + ir arctgu=x+c arctg (x+y)=x+cdx (x+y)-“ 八dy du解:令x+y=u,则一=——1 dx dxu-arctgu=x+c y-arctg(x+y)=c.cly 2x - y +113.—= ---------- :——dx x-2y+ 1解:原方程为:(x-2y+l) dy=(2x-y+l)dx xdy+ydx-(2y-l)dy-(2x+l)dx=O dxy-d (y' -y) -dx +x=c乍•>xy-y - +y_x - _x二c—dy x-y+ 5dx x _ y _ 2解:原方程为:(x-y-2) dy= (x-y+5) dxxdy+ydx-(y+2)dy-(x+5)dx=O1 . 1 .dxy-d (— y' +2y) -d( —x" +5x) =02 2y - +4y+x - +10x-2xy 二c・15:— =(x+l) 2+(4y+l),+8xy + l dx解:原方程为:—=(x+4y) 2+3 dx八 e ■ 1 d" 1令x+4y=u 贝(J ——= -------dx 4 dx 41du 1 =------ =iT +34 dx 4—=4 U2+13dx3z、u= —t g(6x+c)T22t g(6x+c) = -(x+4y+l).16:证明方程丄学=f(xy),经变换xy=u可化为变量分离方程,并由此求下列方程: y dx1) y(l+x2 y2)dx=xdyX 心二2 + x:y: y dx2)2-x2y2证明:令xy=u,则x— +y= —dx dx…, dy 1 du u亠贝9于=—: ---- •有:dx x dx Q——=f (u) +1 u dx------ ! ------- d u= — dx«(/(«)+ 1) X所以原方程可化为变量分离方程。
习题1.24. 给定一阶微分方程2dyx dx=, (1). 求出它的通解; (2). 求通过点()1,4的特解; (3). 求出与直线23y x =+相切的解; (4). 求出满足条件102ydx =⎰的解;(5). 绘出(2),(3),(4)中的解得图形。
解:(1). 通解显然为2,y x c c =+∈;(2). 把1,4x y ==代入2y x c =+得3c =,故通过点()1,4的特解为23y x =+;(3). 因为所求直线与直线23y x =+相切,所以223y x cy x ⎧=+⎨=+⎩只有唯一解,即223x c x +=+只有唯一实根,从而4c =,故与直线23y x =+相切的解是24y x =+;(4). 把2y x c =+代入12ydx =⎰即得5c =,故满足条件12ydx =⎰的解是253y x =+;(5). 图形如下:-1.5-1-0.500.51 1.512345675. 求下列两个微分方程的公共解:242422,2y y x x y x x x y y ''=+-=++--解:由2424222y x x x x x y y +-=++--可得()()222210y x xy -++=所以2y x =或212y x =--,2y x =代入原微分方程满足,而212y x =--代入原微分方程不满足,故所求公共解是代入原微分方程不满足。
6. 求微分方程20y xy y ''+-=的直线积分曲线。
解:设所求直线积分曲线是y kx b =+,则将其代入原微分方程可得2200010k b k xk kx b k b k b k k -=⎧+--=⇒⇒====⎨-=⎩或所以所求直线积分曲线是0y =或1y x =+。
8. 试建立分别具有下列性质的曲线所满足的微分方程:(2). 曲线上任一点的切线介于两坐标轴之间的部分等于定长l ; (5). 曲线上任一点的切线的纵截距等于切点横坐标的平方。
河北专接本数学(常微分方程)模拟试卷2(题后含答案及解析) 题型有:1. 选择题 2. 填空题 4. 解答题选择题在每小题给出的四个选项中,只有一项是符合要求的。
1.方程y”+4y’=x2-1的待定特解形式可设为[ ].A.y=x(ax2+b)B.y=x(ax2+bx+c)C.y=ax2+bx+cD.y=ax2+b正确答案:B 涉及知识点:常微分方程2.微分方程x ln x.y”=y’的通解是[ ].A.y=C1xln x+C1B.y=C1x(ln x—1)+C2C.y=xln xD.y=C1x(ln x—1)+2正确答案:B 涉及知识点:常微分方程3.函数y=3e2x是微分方程y”-4y=0的[ ].A.通解B.特解C.是解,但既非通解也非特解D.不是解正确答案:B 涉及知识点:常微分方程4.方程y”+y=cosx的待定特解形式可设为[ ].A.y=axcosxB.y=acosxC.y=a cosx+b sin xD.y=x(a cos x+bsin x)正确答案:D 涉及知识点:常微分方程5.若某二阶常系数齐次微分方程的通解为y=C1e-2x+C2ex,则该微分方程为[ ].A.y”+y’=0B.y”+2y’=0C.y”+y’-2y=0D.y”-y’-2y=0正确答案:C 涉及知识点:常微分方程填空题6.已知二阶常系数齐次微分方程的通解为y=C1ex+C2e-x,则原方程为_______.正确答案:y”-y=0 涉及知识点:常微分方程7.以y=e3x,y=xe2x为特解的二阶常系数齐次微分方程为_______.正确答案:y”-4y’+4y=0 涉及知识点:常微分方程8.已知微分方程y”+y=x的一个解为y1=x,微分方程y”+y=ex的一个解为,则微分方程y”+y=x+ex的通解为_______.正确答案:y=C1cosx+C2sinx++x。
涉及知识点:常微分方程9.微分方程xy’-yln y=0的通解为_______.正确答案:y=eCx 涉及知识点:常微分方程10.微分方程y”=2y’的通解为_______.正确答案:y=C1+C2e2x 涉及知识点:常微分方程11.微分方程y’=e2x-y满足初始条件的特解为_______。
常微分方程 练习题二一、填空题1.方程y y xy ln d d =所有常数解是( y=1 ). 2.方程y x x y cos cos d d +=满足解的存在惟一性定理条件的区域是( 全平面 ).3.n 阶线性齐次微分方程的所有解构成一个( n )维线性空间.4.方组0y y ''+=的基本解组是( y 1=cos x, y 2=sin x ).5.若函数组)()(21x x ϕϕ,在区间),(b a 上线性相关,则它们的朗斯基行列式)(x W 在区间),(b a 上( 恒等于零 ). 6.方程d cos d x y y xe x+=的任一解的最大存在区间必定是 (,)-∞+∞ . 7.方程sin cos dy x y dx =⋅满足解的存在惟一性定理条件的区域是 xoy 平面 .8.n 阶线性齐次微分方程的所有解构成一个 n 维线性空间.9.方程2sin dy x y dx=的所有常数解是 ,0,1,2,y k k π==±± . 10.方程20y y y '''++=的基本解组是 y=ex - y=xe x - .一、 单项选择题 1.方程t t x x xcos 2=++ 的任一解的最大存在区间都是( B ). (A )),0(∞+ (B )),(∞+-∞ (C ))0,(-∞ (D ))2,1(2. 李普希兹条件是保证一阶微分方程初值问题解惟一的( A )条件.(A )充分 (B )必要 (C )充分必要 (D )必要非充分3.方程2d d y xy =过点)1,3(-的解的存在区间是( C ). (A )),0(∞+ (B ))3,(-∞ (C )),2(∞+ (D )),2[∞+4.方程03=+x x的任一非零解在),,(x x t 空间中( A ). (A )不能与t 轴相交 (B )可以与t 轴相交(C )可以与t 轴横解相交 (D )可以与t 轴相切5.用待定系数法求方程x y y sin 2=+''的非齐次特解1y 时,应将特解1y 设为( D ).(A )x A y sin 1= (B )x B x A y cos sin 1+=(C )x B y cos 1= (D ))cos sin (1x B x A x y +=6.李普希兹条件是保证一阶微分方程初值问题解唯一的( B )条件.(A )必要 (B )充分 (C )充分必要 (D )必要非充分7. 方程0x x +=的任一非零解在tox 平面上( A )与t 轴横截相交.(A )可以 (B )不可以 (C )只能在0t =处可以 (D )只能在2t π=处可以8. 方程1y '=( D )奇解.(A )有一个 (B )有无数个 (C )只有两个 (D ) 无9.方程y '=(0,0)解sin y x =,这个解的存在区间是( C ).(A )(0,)+∞ (B )(,0)-∞ (C )[,]22ππ-(D )(,)-∞+∞ 10.线性齐次微分方程组的解组12(),(),,()n Y x Y x Y x 在区间I 上线性相关的( B )条件是在区间I 上它们的朗斯基行列式()0W x =.(A )充分 (B )充分必要 (C )充分非必要 (D )必要三、简答题1. 用分离变量法求解方程()()dy f x y dxϕ=的步骤和原理是什么? 化成积分方程求解且二者等价1. 该方程在全平面上满足解的存在唯一及延展定理条件,因此该方程任一解可以延展到平面的无穷远处,为什么该方程的所有解不能都在(,)-∞+∞上存在,这与解的延展定理矛盾吗?为什么?不矛盾,因为平面的无穷远有任意的方向。
《常微分方程》试题一.填空题1.若)(t x i (i=1,2,┄,n )是n 阶线性齐次方程的一个基本解组,x(t)为非齐性齐次方程方程的一个特解,则非齐线形方程的所有解可表为2.若ϕ(t )和ψ(t )都是x ˊ= A(t) x 的 基解矩阵,则ϕ(t )与ψ(t )具有关系:3.若ϕ(t )是常系数线性方程组x Ax '=的 基解矩阵,则该方程满足初始条件0()t ψη=的解()t ψ=_____________________4.二阶线性齐次微分方程的两个解)(1x y ϕ=,)(2x y ϕ=成为其基本解组的充要条件5.n 阶线性齐次微分方程的所有解构成一个 维线性空间.6. 向量函数组Y 1(x ), Y 2(x ),…,Y n (x )线性相关的 条件是它们的朗斯期行列式W (x )=0.7.若X 1(t), X 2(t) , X n (t)为n 阶齐线性方程的n 个解,则它们线性无关的充要条件是8.若)()(t t ψφ和都是'X =A(t)X 的基解矩阵,则 )()(t t ψφ和具有关系:二.单选题1.容易验证:y wx y wx w 120==>cos ,sin ()是二阶微分方程''+=y w y 20的解,试指出下列哪个函数是方程的通解。
(式中C C 12,为任意常数)( )(A )y C wx C wx =+12cos sin (B )y C wx wx =+12cos sin(C )y C wx C wx =+112cos sin (D )y C wx C wx =+122cos sin2.微分方程1x y y e ''-=+的一个特解应有形式 ( )(A )b ae x +; (B )bx axe x +; (C )bx ae x +; (D ) b axe x +3.微分方程'''+'=y y x sin 的一个特解应具有形式 ( )(A )A x sin (B )A x cos(C )Asix B x +cos (D )x A x B x (sin cos )+4.微分方程''+=y y x x cos2的一个特解应具有形式( ) (A )()cos ()sin Ax B x Cx D x +++22 (B )()cos Ax Bx x 22+(C )A x B x cos sin 22+ (D )()cos Ax B x +25.微分方程012'''=++y y 的通解是( )(A )x e x C C y -+=)(21; (B )x x e C e C y -+=21;(C )x e C C y x 21221-+=-; (C )x x C x C y 21sin cos 21-+=。
常微分方程期终考试试卷 (1)一、填空题( 30%)1、方程 M (x, y)dx N(x,y)dy 0有只含 x 的积分因子的充要条件是( )。
有只含 y 的积分因子的充要条件是 ___________________________________ 。
2、 _______________ 称为黎卡提方程,它有积分因子 _____________ 。
3、 ____________________ 称为伯努利方程,它有积分因子 _______ 。
4、若 X 1(t), X 2(t),L ,X n (t) 为n 阶齐线性方程的 n 个解,则它们线性无关的充要条件 5、形如 _____________________ 的方程称为欧拉方程。
6、若 (t)和 (t)都是 x' A(t)x 的基解矩阵,则 (t)和 (t)具有的关系是7、当方程的特征根为两个共轭虚根是,则当其实部为 ______ 时,零解是稳定的,对应的奇点称为 ____________ 。
二、计算题(60%) 1、 ydx (x y 3)dy 02、 xx sint cos2t211A1 4 试求方程组 x(t), (0)3、若Ax 的解2 并求 expAt(d d y x )3 4xy dy 8y 2 0dyx y 24、 dxdx5、求方程 dx 经过0,0)的第三次似解三、证明题(10%)1、 n 阶齐线性方程一定存在 n 个线性无关解。
常微分方程期终试卷 (2)、填空题 30%1、形如 _____________ 的方程,称为变量分离方程,这里 . f (x). (y)分别为 x.y 的连续函数。
2、形如 _______________ 的方程,称为伯努利方程,这里P(x).Q(x)为x的连续函数.n 0.1是常数。
引入变量变换,可化为线性方程。
3、 如 果 存 在 常 数 L 0,使得不等式________________________________________ 对 于 所 有(x,y 1),(x,y 2) R 都成立, L 称为利普希兹常数。
考研数学一(常微分方程)历年真题试卷汇编2(题后含答案及解析) 题型有:1. 选择题 2. 填空题 3. 解答题选择题下列每题给出的四个选项中,只有一个选项符合题目要求。
1.(1989年)设线性无关的函数y1,y2,y3都是二阶非齐次线性方程y”+p(x)y’+q(x)y=f(x)的解,c1,c2是任意常数,则该非齐次方程的通解是A.c1 y1+c2y2+y3B.c1y1+c2y2一(c1+c2)y3C.c1y1+c2y2一(1一c1—c2)y3D.c1y1+c2y2+(1一c1一c2)y3正确答案:D解析:由于(D)中的y=C1y1+C2y2+(1一C1—C2)y3=C1(y1一y3)+C2(y2一y3)+y3其中y1一y3和y2一y3是对应的齐次方程的两个解,且y1一y3与y2—y3线性无关.事实上,若令A(y1—y3)+B(y2一y3)=0即Ay1+By2一(A+B)y3=0由于y1,y2,y3线性无关,则A=0,B=0,一(A+B)=0因此y1一y3与y2一y3线性无关,故y=C1y1+C2y2+(1一C1—C2)y3是原方程通解.知识模块:常微分方程2.(1991年)若连续函数f(x)满足关系式则f(x)等于A.exln2B.e2xln2C.ex+ln2D.e2x+ln2正确答案:B解析:等式两边求导得f’(x)=2f(x)解此方程得f(x)=Ce2x由原方程可知f(0)=ln2,代入f(x)=Ce2x得C=ln2.故f(x)=e2xln2 知识模块:常微分方程3.(1993年)设曲线积分与路径无关,其中f(x)具有一阶连续导数,且f(0)=0,则f(x)等于A.B.C.D.正确答案:B解析:由得f’(x)+f(x)=ex解此方程得f(x)=e-x(e2x+C)由f(0)=0得,故知识模块:常微分方程填空题4.(1992年)微分方程y’+ytanx=cosx的通解为y=_____________.正确答案:(x+c)cosx.解析:由线性方程通解公式得知识模块:常微分方程5.(1996年)微分方程y”一2y’+2y=ex的通解为___________.正确答案:特征方程为λ2一2λ+2=0,解得λ1,2=1±i,则齐次方程通解为y=ex(C1cosx+C2sinx)易观察出y=ex是非齐次方程的一个特解.则原方程通解为y=ex(C1cosx+C2sinx)+ex 涉及知识点:常微分方程6.(1999年)y”一4y—e2x的通解为y=____________.正确答案:C1e-2x+C2e2x+xe2x.解析:特征方程为λ2一4=0,则λ=一2,λ2=2,从而齐次方程的解为由于λ=2为特征方程单根,则非齐次待定特解可设为y*=Axe2x代入原方程得故所求通解为y=C1e-2x+C2e2x+xe2x 知识模块:常微分方程7.(2000年)微分方程xy”+3y’=0的通解为____________.正确答案:解析:令y’=p,则y”=p’.代入原方程得解得因此知识模块:常微分方程8.(2001年)设y=ex(C1sinx+C2cosx)(C1,C2为任意常数)为某二阶常系数线性齐次微分方程的通解,则该方程为___________.正确答案:y”-2y’+2y=0解析:所求方程的特征根为λ1,2=1,±i则其特征方程为λ2一2λ+2=0故所求方程为y”一2y’+2y=0 知识模块:常微分方程9.(2002年)微分方程yy”+y’2一0满足初始条件的特解是____________.正确答案:y2=x+1或解析:解 1 令y’=P,则代入原方程得解得可知,则所求的特解为y2=x+1 解2 由于原方程左端从而原方程可改写为因此yy’=C1以下求解同解1.知识模块:常微分方程10.(2004年)欧拉方程的通解为___________.正确答案:解析:令z=et 代入原方程所得新方程的特征方程为ρ(ρ一1)+4ρ+2=0 解得ρ1=一1,ρ2=一2则新方程通解为y=C1e-t+C2e-2t,将x=et代入得原方程通解为知识模块:常微分方程解答题解答应写出文字说明、证明过程或演算步骤。
习 题 2-1判断下列方程是否为恰当方程,并且对恰当方程求解: 1.0)12()13(2=++-dy x dx x解:13),(2-=x y x P , 12),(+=x y x Q ,则0=∂∂y P ,2=∂∂x Q , 所以 xQy P ∂∂≠∂∂ 即 原方程不是恰当方程.2.0)2()2(=+++dy y x dx y x解:,2),(y x y x P += ,2),(y x y x Q -=则,2=∂∂y P ,2=∂∂x Q 所以xQy P ∂∂=∂∂,即 原方程为恰当方程 则,0)22(=-++ydy xdy ydx xdx两边积分得:.22222C y xy x =-+ 3.0)()(=+++dy cy bx dx by ax (a,b 和c 为常数). 解:,),(by ax y x P += ,),(cy bx y x Q +=则,b y P =∂∂,b x Q =∂∂ 所以xQy P ∂∂=∂∂,即 原方程为恰当方程 则,0=+++cydy bxdy bydx axdx两边积分得:.2222C cy bxy ax =++ 4.)0(0)()(≠=-+-b dy cy bx dx by ax解:,),(by ax y x P -= ,),(cy bx y x Q -=则,b y P -=∂∂,b x Q =∂∂ 因为 0≠b , 所以xQ y P ∂∂≠∂∂,即 原方程不为恰当方程5.0sin 2cos )1(2=++udt t udu t解:,cos )1(),(2u t u t P += u t u t Q sin 2),(=则,cos 2u t t P =∂∂,cos 2u t x Q =∂∂ 所以xQy P ∂∂=∂∂,即 原方程为恰当方程则,0cos )sin 2cos (2=++udu udt t udu t两边积分得:.sin )1(2C u t =+ 6.0)2()2(2=++++dy xy e dx y e ye x x x解: xy e y x Q y e ye y x P x x x 2),(,2,(2+=++=,则,2y e y P x +=∂∂,2y e x Q x +=∂∂ 所以xQy P ∂∂=∂∂,即 原方程为恰当方程则,0])2()[(22=++++dy xy e dx y ye dx e x x x 两边积分得:.)2(2C xy e y x =++7.0)2(ln )(2=-++dy y x dx x xy解:,2ln ),(),(2y x y x Q x xy y x P -=+=则,1x y P =∂∂,1x x Q =∂∂ 所以xQy P ∂∂=∂∂,即 原方程为恰当方程则02)ln (2=-++ydy dx x xdy dx xy两边积分得:23ln 3y x y x -+.C = 8.),(0)(22为常数和c b a cxydy dx by ax =++解:,),(,),(22cxy y x Q by ax y x P =+=则,2by y P =∂∂,cy x Q =∂∂ 所以 当xQy P ∂∂=∂∂,即 c b =2时, 原方程为恰当方程则0)(22=++cxydy dx by dx ax两边积分得:233bxy ax +.C = 而当c b ≠2时原方程不是恰当方程.9.01222=-+-dt ts s ds t s 解:,),(,12),(22ts s s t Q t s s t P -=-= 则,212t s t P -=∂∂,212t s s Q -=∂∂ 所以xQ y P ∂∂=∂∂, 即原方程为恰当方程,两边积分得:C ts s =-2.10.,0)()(2222=+++dy y x yf dx y x xf 其中)(⋅f 是连续的可微函数.解:),(),(),(),(2222y x yf y x Q y x xf y x P +=+=则,2f xy y P '=∂∂,2f xy x Q '=∂∂ 所以xQy P ∂∂=∂∂, 即原方程为恰当方程,两边积分得:22()f xy dx C +=⎰,即原方程的解为C y x F =+)(22 (其中F 为f 的原积分).习 题 2-2. 1. 求解下列微分方程,并指出这些方程在平面上的有意义 的区域::(1)yx dx dy 2=解:原方程即为:dx x ydy 2= 两边积分得:0,2332≠=-y C x y .(2))1(32x y x dx dy += 解:原方程即为:dx xx ydy 321+=两边积分得:1,0,1ln 2332-≠≠=+-x y C x y .(3)0sin 2=+x y dxdy解: 当0≠y 时原方程为:0sin 2=+xdx y dy两边积分得:0)cos (1=++y x c .又y=0也是方程的解,包含在通解中,则方程的通解为0)cos (1=++y x c .(4)221xy y x dxdy+++=; 解:原方程即为:2(1)1dyx dx y=++ 两边积分得:c x x arctgy ++=22, 即 )2(2c x x tg y ++=. (5)2)2cos (cos y x dxdy= 解:①当02cos ≠y 时原方程即为:dx x y dy 22)(cos )2(cos = 两边积分得:2222sin 2tg y x x c --=. ②y 2cos =0,即42ππ+=k y 也是方程的解. (N k ∈) (6)21y dxdyx-= 解:①当1±≠y 时 原方程即为:xdx y dy =-21 两边积分得:c x y =-ln arcsin . ② 1±=y 也是方程的解.(7).yxe y e x dx dy +-=- 解.原方程即为:dx e x dy e y xy)()(--=+两边积分得:c e x e y x y ++=+-2222, 原方程的解为:c e e x y x y =-+--)(222.2. 解下列微分方程的初值问题.(1),03cos 2sin =+ydy xdx 3)2(ππ=y ;解:两边积分得:c yx =+-33sin 22cos , 即 c x y =-2cos 33sin 2因为 3)2(ππ=y , 所以 3=c .所以原方程满足初值问题的解为:32cos 33sin 2=-x y .(2).0=+-dy ye xdx x, 1)0(=y ;解:原方程即为:0=+ydy dx xe x,两边积分得:c dy y dx e x x=+-2)1(2, 因为1)0(=y , 所以21-=c , 所以原方程满足初值问题的解为:01)1(22=++-dy y dx e x x .(3).r d dr=θ, 2)0(=r ; 解:原方程即为:θd rdr=,两边积分得:c r =-θln , 因为2)0(=r , 所以2ln =c ,所以原方程满足初值问题的解为:2ln ln =-θr 即θe r 2=.(4).,1ln 2yx dx dy+= 0)1(=y ; 解:原方程即为:dx x dy y ln )1(2=+,两边积分得:3ln 3y y x x x c ++-=, 因为0)1(=y , 所以1=c ,所以原方程满足初值为:3ln 13y y x x x ++-=(5).321xy dxdyx=+, 1)0(=y ; 解:原方程即为:dx xx y dy 231+=, 两边积分得:c x y ++=--22121, 因为1)0(=y , 所以23-=c ,所以原方程满足初值问题的解为:311222=++yx .1. 解下列微分方程,并作出相应积分曲线的简图. (1).x dxdycos = 解:两边积分得:c x y +=sin . 积分曲线的简图如下:(2).ay dxdy=, (常数0≠a ); 解:①当0≠y 时,原方程即为:dx aydy= 积分得:c x y a +=ln 1,即 )0(>=c ce y ax②0=y 也是方程的解. 积分曲线的简图如下:y(3).21y dxdy-=; 解:①当1±≠y 时,原方程即为:dx y dy =-)1(2 积分得:c x yy+=-+211ln ,即 1122+-=x x ce ce y .②1±=y 也是方程的解.积分曲线的简图如下:(4).n y dx dy =, )2,1,31(=n ; 解:①0≠y 时,ⅰ)2,31=n 时,原方程即为 dx ydyn =, 积分得:c y n x n=-+-111.ⅱ)1=n 时,原方程即为dx ydy=积分得:c x y +=ln ,即)0(>=c ce y x.②0=y 也是方程的解.积分曲线的简图如下:4. 跟踪:设某A 从xoy 平面上的原点出发,沿x 轴正方向前进;同时某B 从点开始跟踪A ,即B 与A 永远保持等距b .试求B 的光滑运动轨迹.解:设B 的运动轨迹为)(x y y =,由题意及导数的几何意义,则有22yb ydx dy --=,所以求B 的运动轨迹即是求此微分方程满足b y =)0(的解.解之得:222222ln 21y b y b b y b b b x ----++=.5. 设微分方程)(y f dxdy=(2.27),其中f(y) 在a y =的某邻域(例如,区间ε<-a y )内连续,而且a y y f =⇔=0)(,则在直线a y =上的每一点,方程(2.27)的解局部唯一,当且仅当瑕积分∞=⎰±εa ay f dy)((发散). 证明:(⇒)首先经过域1R :,+∞<<∞-x a y a <≤-ε 和域2R :,+∞<<∞-x ε+≤<a y a内任一点(00,y x )恰有方程(2.13)的一条积分曲线, 它由下式确定00)(x x y f dyyy-=⎰. (*) 这些积分曲线彼此不相交. 其次,域1R (2R )内的所有 积分曲线c x y f dy +=⎰)(都可由其中一条,比如0)(c x y f dy+=⎰ 沿着 x 轴的方向平移而得到。
习题2-41.求解下列微分方程:(1)yx xy y --='22;解:令ux y =,则原方程化为uu u dx du x --=+212,即x dxdu u u =--122,积分得:c x u u u +=--+-ln 1ln 2111ln2 还原变量并化简得:3)()(y x c x y +=-(2)4252--+-='y x x y y ;解:由⎩⎨⎧=--=+-042052y x x y 得 ⎩⎨⎧-==21y x令2,1+=-=y v x u , 则有vu u v du dv --=22,由第一题的结果知此方程解为3)()(v u c u v +=-, 还原变量并化简得:.)1(33++=+-y x c x y(3)14212-+++='y x y x y ;解:令y x v 2+=, 则1212121-++=+=v v dx dy dx dv , 即1214-+=v v dx dv ,此方程为变量分离方程, 分离变量并积分得:c x v v +=+-14ln 8321,还原变量并化简得:c y x x y =++--184ln 348. (4)xy y x y -='33.解:①当0≠y 时,方程两边同时乘以32--y ,则233222--+-='-xy x y y , 令2-=y z , 则322x xz dxdz-=, 此方程为一阶线性方程,由公式得:122++=x ce z x还原变量得:122)1(2-++=x ce y x . ②0=y 也是方程的解.2. 利用适当的变换,求解下列方程: (1))cos(y x y -=';解:令y x u -=,则u dx dy dx du cos 11-=-=, ①当1cos ≠u 时,有dx udu =-cos 1, 即 dx u du=2sin 22,两边积分得:c x uctg +=221还原变量化简得:2sin 2sin 22cos yx c y x x y x -+-=-. ②当1cos =u 时,即πk x y 2+=)(Z k ∈也是方程的解. (2)0)()3(22=+++dv uv u du v uv ; 解:方程两边同时乘以u 则原方程化为:0)()3(2322=+++dv v u u du uv v u ,即 0)()3(2232=+++vdv u du uv dv u vdu u 此方程为全微分方程,则原方程的解为:c v u v u =+22321. (3))2(2)3(222yx y x dx dy y x -=++;解:原方程即为324222222++-=y x x y xdx ydy ,令u y v x ==22,,则324++-=v u vu dv du ,由⎩⎨⎧=++=-03024v u v u 得⎩⎨⎧-=-=21v u , 令⎩⎨⎧+=+=21v n u m ,则有n m n m dn dm +-=24令z n m=,则zn m =, 124+-=+=z z z n dn dz dn dm , 则有1)2)(1(+--=z z z n dn dz ,此方程为变量分离方程, 分离变量并积分得:n c zz ln 2)1(ln32+=--,还原变量并化简得:322222)32()1(-+-=+-y x c y x .(4)yy y x xxy x dx dy 8237323223-+-+=. 解:原方程即为823732222222-+-+=y x y x xdx ydy ,令22,x v y u ==,则823732-+-+=u v u v dv du ,由⎩⎨⎧=++=-+08230732u v u v ⎩⎨⎧==⇒21v u , 令⎩⎨⎧-=-=21v n u m , 则m n m n dn dm 2332++=,令z n m=,可将方程化为变量分离形方程, n dn dz zz =-+)2223(2,两边积分得:c n z z z +=---+ln 1ln 2111ln 432, 还原变量并化简得:)3()1(22522-+=--y x c y x .3. 求解下列微分方程: (1).2241xy y --='; 解:令xy z =, 则原方程可化为:)41(12-+-=z z x dx dz , ①当21≠z 时,即21≠xy 时方程为x dxdz z =--2)21(1 ,此方程为变量分离方程, 两边积分得:c x z +=-ln 211还原变量并化简得:cxx x x y ++=ln 121; ②当21=z 时,xy 21=是方程的特解. (2).1222++='xy y x y x ; 解:原方程即为:221x x y y y ++=', 令xy z =,则2)1(1+=z xdx dz ,此方程为变量分离方程, 分离变量积分得:c x z +=+-ln 11, 还原变量并化简得:cxx x x y +--=ln 11. 4. 试把二阶微分方程0)()(=+'+''y x q y x p y 化为一个黎卡提方程. 解:令⎰=udxe y , 则⎰='udxue y ,+⎰=''udxe u y 2⎰'udxe u ,代入原方程可得:=+'+''y x q y x p y )()(+⎰udxe u 2⎰'udxe u +)()(x q ue x p udx+⎰⎰udxe =0,即有:0)()(2=++'+x q u x p u u ,此方程为一个黎卡提方程.5. 求一曲线,使得过这一曲线上任一点的切线与该点向径的夹角等于45.解:设此曲线为)(x y y =,由题意得:1451==+-tg xy dx dy x y dx dy ,化简得:y x y x dx dy -+=, 此方程为齐次方程,解之得:c y x x y arctg =+-)ln(2122.6. 探照灯的反光镜(旋转面)应具有何种形状,才能使点光源发射的光束反射成平行线束?解:取点光源所在处为坐标原点,而x 轴平行于光的反射方向,建立三维坐标系.设所求曲面由曲线⎩⎨⎧==0)(z x f y 绕x 轴旋转而成,则求反射镜面问题归结为求 xy 平面上的曲线y=f(x)的问题.由题意及光的反射定律,可得到函数)(x f y =所应满足的微分方程式:22yx x ydx dy ++=,此方程为齐次方程, 解之得:)2(2x c c y +=,(其中c 为任意正常数).)2(2x c c y +=就是所求的平面曲线,它是抛物线,因此反射镜面的形状为旋转抛物面)2(22x c c z y +=+.习题2-51.求解下列微分方程:(1).0)()23(2232=++++dy y x dx y xy y x ;解:方程两边同乘xe33, 则)33()369(233323323=++++dy y e dx y e dy x e xydx e ydx x e x x x x x ,此方程为全微分方程,即 c y e y x e x x =+33233. (2).0)2(2=-+-dy e xy ydx y ;解:方程两边同乘y e y 21, 则 0)12(22=-+dy yxe dx e y y即01)2(22=-+dy ydy xe dx e yy 此方程为全微分方程,即有 c y xe y =-ln 2 .(3).0)3()63(2=+++dy xyy x dx y x ;解:方程两边同乘 xy , 则0)3()63(232=+++dy y x dx x y x即 0)36()3(232=+++dy y xdx dy x ydx x 此方程为全微分方程,即有c x y y x =++2333 .(4).22()0ydx x y x dy -++=; 解:方程两边同乘221y x +, 则 022=-+-dy yx xdyydx , 此方程为全微分方程,即 c y yxarctg=- (5).0)1(2223=-+dy y x dx xy ;解:方程两边同乘21y , 则0)1(222=-+dy y x xydx , 此方程为全微分方程,即c y x y=+21. (6).0)1(=-+xd y dx xy y ;解:方程两边同乘21y , 则0)1(2=-+dy y xdx y xdx , 此方程为全微分方程,即c x y x =+221. (7)0)(2223=-+dy xy x dx y ;解:方程两边同乘y x 21, 则 02)2(22=+-dy y dy x y dx x y , 此方程为全微分方程,即 c y xy =+-ln 22(8).0)c o s2(=++dy y y ctgy e dx e xx解:方程两边同乘y sin , 则02sin )cos sin (=++ydy yc ydy e ydx e x x ,此方程为全微分方程,即 11cos cos 2sin 224xe y y y y c -+=. 2. 证明方程(5.1)有形如)),((y x φμμ=的积分因子的充要条件是)),((y x f yP P x Q Q xQy P φ=∂∂-∂∂∂∂-∂∂,并写出这个积分因子。
专升本高等数学一(常微分方程)模拟试卷2(总分:54.00,做题时间:90分钟)一、选择题(总题数:8,分数:16.00)1.下列方程是一阶微分方程的是 ( )(分数:2.00)A.2y '' +x 2 y ' +y=0B.(7x一6y)dx+(x+y)dy=0 √C.(y ' ) 2 +xy (4)一y 2 =0D.(y '' ) 2 +5(y ' ) 2一y 5 +x 7 =0解析:解析:A、D项是二阶微分方程,C项是四阶微分方程,只有B项是一阶的,故选B.2.下列哪组函数是线性相关的 ( )(分数:2.00)A.e 2x,e -2xB.e 2+x,e x-2√C.e x2,e -x2解析:解析:=e 4,是常数,故B项的函数是线性相关的;而A、C、D 项函数都是线性无关的,故选B.3.y ' ( )(分数:2.00)A.arctany—arctanx=CB.arctany+arctanx=CC.arcsiny—arcsinx=C √D.arcsiny+arcsinx=Carcsiny=arcsinx+C,C为任意常数,故选C.4.设函数y(x)满足微分方程cos 2 x.y ' +y=tanx,且当y=0,则当x=0时,y= ( )(分数:2.00)C.一1 √D.1解析:解析:方程两边同时除以cos 2 x,得y ' +sec 2 x.y=tanxsec 2 x.此为一阶线性非齐次方程,由其通解公式可得y=e -∫P(x)dx[∫Q(x)e ∫P(x)dx dx+C]=e -∫sec2xdx[∫tanxsec 2xe sec2xdx dx+C] =e -tanx[∫tanxsec 2 xe tanx dx+C]=e -tanx [tanxe tanx一∫sec 2 xe tanx dx+C] =e -tanx [tanxe tanx一e tanzx +C]=tanx一1+Ce -tanx,又当时,y=0,则C=0,即y=tanx一1.所以x=0时,y=0—1=一1,故选C.5.微分方程y ''一2y ' =x的特解应设为 ( )(分数:2.00)A.AxB.Ax+BC.Ax 2 +Bx √D.Ax 2 +Bx+C解析:解析:因f(x)=x为一次函数,且特征方程为r 2一2r=0,得特征根为r 1 =0,r 2 =2.于是特解应设为y * =(Ax+B)x=Ax 2 +Bx.6.设方程y ''一2y '一3y=f(x)有特解y*,则它的通解为 ( )(分数:2.00)A.y=C 1 e -x +C 2 e 3x +y* √B.y=C 1 e -x +C 2 e 3xC.y=C 1 xe -x +C 2 e 3x +y*D.y=C 1 e x +C 2 e -3x +y*解析:解析:考虑对应的齐次方程y ''一2y '一3y=0的通解.特征方程为r 2一2r一3=0,所以r 1 =一1,r 2 =3,所以y ''一2y '一3y=0的通解为=C 1 e -x+C 2 e 3x,所以原方程的通解为y=C 1e -x+C 2 e 3x +y*,其中C 1,C 2为任意常数.7.已知曲线y=y(x)经过原点,且在原点处的切线平行于直线2x—y+5=0,而y(x)满足微分方程y ''一6y ' +9y=e 3x,则此曲线方程为y= ( )(分数:2.00)A.sin2x2 e 3x +sin2xx(x+4)e 3x√D.(x 2 cosx+sin2x)e 3x解析:解析:原方程对应的二阶齐次微分方程的特征方程r 2一6r+9=(r-3) 2=0,所以其特征根为r 1=r3x,λ=3是方程的二重特征根,原方程特解形式为y *=Ax 2 =3,二阶齐次方程对应通解为y=(C 1 +C 2 x)e2 e 3x,(y * ) ' =(3Ax 2 +2Ax)e 3x,(y * ) '' =(9Ax 2 +12Ax+2A)e 3x.代入到方程中可得A= .则原方程通解为y=(C 1 +C 2 x)e 3x + x 2 e 3x.由题意可得y ' (0)=2,y(0)=0,代入可得C 1 =0,C 2 =2,故所求曲线方程为y=( x 2 +2x)e 3x x(x+4)e 3x.8.微分方程y ' = 的通解为(分数:2.00)A.B.C. √D.解析:解析:设=μ,y=xμ,y '=μ+=tanμ.所以,ln|sinμ|=ln|x|+ln|C|,sinμ=Cx,原方程的通解为=Cx(C为任意常数).二、填空题(总题数:5,分数:10.00)9.微分方程的解中含有独立的任意常数的个数若与微分方程的 1相同,则该解叫作微分方程的通解.(分数:2.00)填空项1:__________________ (正确答案:正确答案:阶数)解析:解析:由微分方程通解定义可知,通解中任意常数的个数与微分方程中的未知数的最高阶导数的阶数即方程的阶数一致.10.微分方程3e x tanydx+(1一e x )sec 2 ydy=0的通解是 1.(分数:2.00)填空项1:__________________ (正确答案:正确答案:tany=C(e x一1) 3)解析:解析:两边同乘以,方程分离变量为积分得ln|tany|=3ln|e x一1|+1n|C|.所以方程有通解为 tany=C(e x一1) 3,其中C为任意常数.11.微分方程(1+x)ydx+(1一y)xdy=0的通解为 1.(分数:2.00)填空项1:__________________ (正确答案:正确答案:y=ln|xy|+x+C)解析:解析:分离变量,(1+x)ydx+(1一|x|+C=y—ln|y|,即通解为y=x+ln|xy|+C,C为任意常数.12.方程y ''一2y ' +5y=e x sin2x的特解可设为y*= 1.(分数:2.00)填空项1:__________________ (正确答案:正确答案:xe x (Asin2x+Bcos2x))解析:解析:由特征方程为r 2—2r+5=0,得特征根为1±2i,而非齐次项为e x sin2x,因此其特解应设为y*=xe x (Asin2x+Bcos2x).13.满足y '' =x,且经过点(0,1),在该点与直线相切的积分曲线为 1.(分数:2.00)填空项1:__________________ (正确答案:正确答案:1)解析:解析:对等式积分得y ' = x 2 +C 1,再积分得y= x 3 +C 1 x+C,且直线过点(0,1),则C=1,又直线在该点与y= +1相切,所以y ' (0)= ,故所求积分曲线为+1.三、解答题(总题数:14,分数:28.00)14.求方程y ' =e 3x-2y满足初始条件y|x=0 =0的特解.(分数:2.00)__________________________________________________________________________________________ 正确答案:(正确答案:原题可改写为,即e 2y dy=e 3x dx,两边积分得 e 2y= e 3x+C,代入初始条件y|x=0 =0,得+C,所以.)解析:15.求微分方程(1+y 2 )arctanydx+(1+x 2 )arctanxdy=0的通解.(分数:2.00)__________________________________________________________________________________________正确答案:(正确答案:方程分离变量得,,即ln|arctany|=一ln|arctanx|+ln|C|,则方程的通解为arctany.arctanx=C,其中C为任意常数.)解析:16.求方程(1+x 2 )ydy+(1+y 4 )dx=0,满足y|x=0 =1的特解.(分数:2.00)__________________________________________________________________________________________正确答案:(正确答案:方程分离变量得,丙边积分有arctany 2 =一arctanx+C,将初始条件y|x=0 =1代入得C= ,则方程的特解为arctany 2.)解析:17.求微分方程(x 2 +3)y ' +2xy—e 2x =0的通解.(分数:2.00)__________________________________________________________________________________________正确答案:(正确答案:将原方程改写成y ' + ,则.其中C为任意常数.)解析:18.设f(x)+2∫ 0x f(t)dt=x 2,求f(x).(分数:2.00)__________________________________________________________________________________________ 正确答案:(正确答案:由f(x)+2∫ 0x f(t)dt=x 2,两边对x求导得 f ' (x)+2f(x)=2x,这是一个一阶线性常微分方程,由通解公式得 f(x)=e -∫2dx(∫2xe ∫2dx dx+C)=e -2x(∫2xe 2x dx+C) =x一+Ce -2x.又由题意可得f(0)=0,则 e -2x.)解析:19.已知连续函数f(x)满足f(x)=∫ 03x+e 2x ,求f(x).(分数:2.00)__________________________________________________________________________________________ 正确答案:(正确答案:等式两端对x求导得f ' (x)一3f(x)=2e 2x,利用通解公式得 y=e ∫3dx[∫2e 2x e -∫3dx dx+C]=e 3x[∫2e -x dx+C] =e 3x (一2e -x +C)=Ce 3x一2e 2x,又f(0)=0+1=1,所以C一2=1,C=3,故f(x)=3e 3x一2e 2x.)解析:20.求一个不恒等于零的可导函数f(x),使它满足f 2(x)=∫ 0x(分数:2.00)__________________________________________________________________________________________ 正确答案:(正确答案:据题意,f 2(x)=∫ 0x f(t).两边同时对x求导,可得 2f(x).f '(x)=f(x).,即f ' (x)= ,解微分方程两端积分得又因f(0)=0,可得C=ln3,所以所求函数ln3.)解析:21.假设: (1)函数y=f(x)(0≤x<+∞)满足条件f(0)=0和0≤f(x)≤e x一1; (2)平行于y轴的动直线MN与曲线y=f(x)和y=e x一1分别相交于点P 1和P 2; (3)曲线y=f(x)、直线MN与x轴所封闭图形的面积S恒等于线段P 1 P 2的长度,求函数y=f(x)的表达式.(分数:2.00)__________________________________________________________________________________________ 正确答案:(正确答案:由题设可得示意图如图6—1所示.由图可知∫ 0x f(t)dt=e x一1一f(x),两端求导,得 f(x)=e x一f ' (x),即 f ' (x)+f(x)=e x.由一阶线性微分方程求解公式,得 f(x)=e -∫P(x)dx[∫Q(x)e∫P(x)dxdx+C] =e -x (∫e x .e x dx+C)=Ce -x+e x. 由f(0)=0,得C=. 因此,所求函数为f(x)= (e x一e -x).)解析:22.求9y ''+6y '+y=0的通解. (分数:2.00)__________________________________________________________________________________________ 正确答案:(正确答案:对应的特征方程为9r 2+6r +1=0,解得r= ,为二重根,故原方程的通解为(C 1 +C 2 x). 其中C 1 ,C 2 为任意常数.)解析:23.求微分方程y ''一2y '一3y=3x+1的一个特解. (分数:2.00)__________________________________________________________________________________________ 正确答案:(正确答案:这是二阶线性常系数非齐次线性微分方程,其中f(x)=3x+1, 方程的特征方程为r2一2r 一3=0. 其特征根为r 1 =一1,r 2 =3. 由于λ=0不是特征根,所以设特解为y *=Ax+B . 把y *=Ax+B 代入所给方程,得 一3Ax 一2A 一3B=3x+1, 比较系数,得A=一1,B=. 于是求得所给方程的一个特解为 y *=一x +.)解析:24.求y ''-4y '+5y=e 2x(sinx+cosx)的通解. (分数:2.00)__________________________________________________________________________________________ 正确答案:(正确答案:原方程对应的齐次方程的特征方程为,r 2—4r+5=0,解得r=2±i,所以对应的齐次方程的解为=(C 1 sinx+C 2 cosx)e 2x,λ±ωi=2±i,是特征方程的根,故设原方程的特解为y=xe 2x(Asinx+Bcosx),则 Y '=e 2x(Asinx+Bcosx)+xe 2x[(2A —B)sinx+(A+2B)cosx], Y ''=e 2x[(4A 一2B)sinx+(2A+4B)cosx]+xe 2x[(3A 一4B)sinx+(4A+3B)cosx], 代入原方程得 e 2x[(4A 一2B)sinx+(2A+4B)cosx]+xe 2x[(3A 一4B)sinx+(4A+3B)cosx]一4e 2x(Asinx+Bcosx)一4xe 2x[(2A —B)sinx+(A+2B)cosx]+5xe 2x(Asinx+Bcosx)=e 2x(sinx+cosx), 解得 ,故原方程的通解为 y=(C1sinx+C 2 cosx)e 2x(sinx 一cosx). 其中C 1 ,C 2 为任意常数.)解析:25.已知函数f(x)满足方程f ''(x)+f '(x)一2f(x)=0,且f '(x)+f(x)=2e x,求表达式f(x). (分数:2.00)__________________________________________________________________________________________ 正确答案:(正确答案:解微分方程f ''(x)+f '(x)一2f(x)=0, 特征方程r 2+r 一2=0,解得r 1 =一2,r 2 =1, 所以微分方程的通解为f(x)=C 1 e -2x +C 2 e x ,其中C 1 ,C 2 为任意常数. 则f '(x)=一2C 1 e -2x+C 2 e x,又f '(x)+f(x)=2e x, 所以一C 1 e -2x+2C 2 e x=2e x,得C 1 =0,C 2 =1,所以f(x)=e x.) 解析:26.(分数:2.00)__________________________________________________________________________________________正确答案:(正确答案:方程化为为齐次方程,令=μ,dy=μdx+xdμ,代入上式再分离变量cosμdμ=dx.两边积分得sinμ=一ln|x|+C,将μ=代入得通解为=一ln|x|+C,C为任意常数.)解析:27.的通解.(分数:2.00)__________________________________________________________________________________________正确答案:(正确答案:令y '=p,y ''= -p=0,分离变量得,两边积分得ln|p|=ln|y|+ln|C 1|即p=C 1 y,即y ' =C 1 y,再分离变量得dy=C 1 dx,两边积分得ln|y|=C 1 x+C,即通解y=C 2 e C1x,其中C 1,C 2为任意常数.)解析:。
3t15t=e ( e +c)5=c e 3t +15e 2t 是原方程的解ds 13. =-s cost + sin2tdt 2cos tdt 13dt解:s=e ( sin2t e dt c )=esint( sin t coste sin t dt c) sin tsint sint= e( sin tee c )常微分方程 习题 2.2求下列方程的解1. dy = y sin x dx解: y=e ( sinxe dx c)x1 x=e x [- e x (sinx cos x )+c]= ce sint sint 1 是原方程的解。
4.dy xy e x x n,n 为常数. dx n解:原方程可化为:dy xy e x x n dx n方程的解。
=c e(sinx cos x )是原yendxx x ( e x x e n n dx n xdx c)2.dx+3x=e 2tnxx (ec)dt 解:原方程可化为:dx=-3x+edt是原方程的解 .所以:3dtx=ee2te 3dt5.dy +1 22x y 1=0 dx x 2dt c)ds23P(x) ,Q(x) (x 1)3 x1P(x)dxee=(x+1) 2((x 21) c)即: 2y=c(x+21+)(x+14) 为方程的通解。
8.d dy x =x y y 33dx x+y 1 2 解: xy 2dy y yP(y)dy P(y)dy( e Q(y)dy c) =y( 1*y 2dy c)y3= y cy23即 x=y +cy 是方程的通解 ,且 y=0也是方程的解。
2解:原方程可化为:dy dx1x 22xy 1x7.dy 2y (x 1)3dx x 1 解:dy 2y(x 1)3 dx x 1 (x 1)2(ln x 2e方程的通解为:ln x 2 1( e x dx c)1= x 2(1 ce x )P(x)dx P(x)dxy=e ( e Q(x)dx c) =(x+1)(=(x+1)((x 11)2 *(x+1)3dx+c) (x+1)dx+c) 是原方程的解.x=edx c )2则P(y)=y 1,Q(y) y 2方程的通解9. dy ay x 1,a 为常数 dx x x解:(P x) a ,Q(x) x 1xP(x )dxeedx方程的通解为:y=(x)dx P (x)dx(e Q(x)dx=xa(1 x+1dx+c)x a时,x 方程的通解为11.dy xy x 3y 3 dx 解:dy xyx 3y 3dx 两边除以3y c)d 3y xy 2 x 3 ydxdy2( xy 2 x 3)y=x+ln/x/+c当 y=cx+xln/x/-1当 a 1时, 方程 的通解为a 0,1时,方程的通解为y=cxa x 1 +-1- a adx 令y 2 z dz 2( xz x 3) dx P(x) 2x,Q(x) 2x 3 epx dx e2xdxe x 2 方程的通解为:z= e dx( e dxQ(x)dx c)10.x d d x y y x 3解:d dy x 1x y x 3P(x) 1,Q(x) x =e =xx(e x (2x 3)dx c) 22ce x1故方程的通解为y :2(x 2 ce x 1) 1,且y 0也是方程的解。
18. 设),(y x f 及连续,试证方程0),(=-dx y x f dy 为线性方程的充要条件是它有仅依赖于x 的积分因子.证:必要性 若该方程为线性方程,则有)()(x Q y x P dx dy += , 此方程有积分因子⎰=-dx x P e x )()(μ,)(x μ只与x 有关 .充分性 若该方程有只与x 有关的积分因子)(x μ .则0),()()(=-dx y x f x dy x μμ为恰当方程 , 从而dxx d y y x f x )()),()((μμ=∂-∂ ,)()(x x y f μμ'-=∂∂ , )()()()()()()()(x Q y x P x Q y x x x Q dy x x f +=+'-=+'-=⎰μμμμ . 其中)()()(x x x P μμ'-= .于是方程可化为0))()((=+-dx x Q y x P dy 即方程为一阶线性方程.20.设函数f(u),g(u)连续、可微且f(u)≠g(u),\,试证方程yf(xy)dx+xg(xy)dy=0 有积分因子u=(xy[f(xy)-g(xy)])1-证:在方程yf(xy)dx+xg(xy)dy=0两边同乘以u 得:uyf(xy)dx+uxg(xy)dy=0 则y uyf ∂∂=uf+uy y f ∂∂+yf y u ∂∂=)(g f xy f -+)(g f xy y f y-∂∂-yf 222)()(g f y x y g xy y f xy g f x -∂∂+∂∂+- =2)(g f xy y f gy y g yf-∂∂-∂∂=2)(g f x y xy xy f g y xy xy g f -∂∂∂∂-∂∂∂∂ =2)(g f xy f g xy g f-∂∂-∂∂ 而x uxg ∂∂=ug+ux x g ∂∂+xg x u ∂∂=)(g f xy g -+)(g f xy x g x -∂∂- xg 222)()(g f y x x g xy x f xy g f y -∂∂-∂∂+-=2)(g f xy x xy xy f xg x xy xy g xf-∂∂∂∂-∂∂∂∂=2)(g f xy f g xy g f -∂∂-∂∂ 故y uyf ∂∂=xuxg ∂∂,所以u 是方程得一个积分因子 21.假设方程(2.43)中得函数M (x,y )N(x,y)满足关系xN y M ∂∂-∂∂= Nf(x)-Mg(y),其中f(x),g(y)分别为x 和y 得连续函数,试证方程(2.43)有积分因子u=exp(⎰dx x f )(+⎰dy y g )()证明:M(x,y)dx+N(x,y)dy=0 即证x uN y uM ∂∂=∂∂)()(⇔u y M ∂∂+M y u ∂∂=u xN ∂∂+N x u ∂∂⇔ u(y M ∂∂-x N ∂∂)=N xu ∂∂- M y u ∂∂⇔u(y M ∂∂-x N ∂∂)=Ne ⎰⎰+dy y g dx x f )()(f(x) -M e ⎰⎰+dy y g dx x f )()(g(y)⇔u(y M ∂∂-x N ∂∂)=e ⎰⎰+dy y g dx x f )()((Nf(x)-Mg(y)) 由已知条件上式恒成立,故原命题得证。
福师(2020-2021)《常微分方程》在线作业二
注:本科有多套试卷,请核实是否为您所需要资料,本资料只做参考学习使用!!!
一、判断题(共50题,100分)
1、
A错误
B正确
提示:认真复习课本知识302,并完成以上题目
【参考选择】:A
2、
A错误
B正确
提示:认真复习课本知识302,并完成以上题目
【参考选择】:B
3、
A错误
B正确
提示:认真复习课本知识302,并完成以上题目
【参考选择】:A
4、
A错误
B正确
提示:认真复习课本知识302,并完成以上题目
【参考选择】:A
5、
A错误
B正确
提示:认真复习课本知识302,并完成以上题目
【参考选择】:B
6、x^2+y^2=1是方程dy/dx=-x/y的通解
A错误
B正确
提示:认真复习课本知识302,并完成以上题目
【参考选择】:A
7、
A错误。