11年研究生试卷(答案)
- 格式:docx
- 大小:169.00 KB
- 文档页数:4
安徽财经大学2 0 11 年攻读硕士学位研究生入学测验试题〔答案必需写在答题纸上,写在试卷上无效〕测验科目:办理学一、概念辨析题〔在阐述概念的根底上,比拟两者的区别和联系。
每题1 0 分,小计50分〕1.X理论,Y理论2.程序性方案,非程序性方案3.正强化,负强化4.前馈控制,反应控制5.集权式带领,民主式带领一、判断阐述题〔每题25 分,小计 1 00 分〕1.选择一项你近期做出并赐与你重大影响的决策,如:是否兼职、是否报考公务员等,阐发说明:(1) 做出决策的根本过程。
(2) 如何从不同的备选方案做出选择。
2.假定你筹办创办一家经济型酒店,规模在 1 5 0 人摆布,并担任该酒店总经理,主要经营餐饮、小型购物中心和住宿业务,请你别离设计两种组织布局方案,比拟其优势与劣势。
3.“目光远大的公司的核心价值不雅不需要理性的或者外在的理由,它们不随趋势和时尚的变化而变化,甚至也不随市场;状况的变化而变化〞。
你同意上述看法吗?请说明理由。
4.比拟拟于通用电气、中国石化等这样的大企业而言,为什么那些小型软件企业会更容易实现其组织文化变化呢?安徽财经大学20 1 2 年攻读硕士学位研究生入学测验试题〔答案必需写在答题纸上,写在试卷上无效〕测验科目:办理学一、简述题〔每题 1 2 分,共60 分〕1.办理的一个著名定义是:“通过别人并和别人一道实现组织目标。
〞说明办理者如何才能有效地做到这一点。
2.办理者在道德方面的带领作用应表达在哪些方面?3.当办理者越来越经常地使用电脑和软件东西时,他们将台皂够制定更理性的决策,你是否同意这种说法?为什么?4.带领生命周期理论的主要不雅点是什么?在现实办理实践中如何运用这种理论?5.“每位员工在组织控制工作中都起到了作用〞,或者“控制仅仅是办理者的责任〞。
你同意吗?请说明你的不雅点。
二、阐述题〔每题30 分,共9 0 分〕1.随着环境的复杂性和变更性的增强,办理决策中的不确定性因素也大为增加,只有那种与外部环境相适应的组织布局才可能成为有效的组织布局。
2011年432统计学真题及答案浙江⼯商⼤学2011年硕⼠研究⽣⼊学考试试卷(B )卷招⽣专业:应⽤统计硕⼠考试科⽬:432统计学总分:(150分)考试时间:3⼩时⼀. 单项选择题(本题包括1—30题共30个⼩题,每⼩题2分,共60分。
在每⼩题给出的四个选项中,只有⼀个符合题⽬要求,把所选项前的字母填在答题纸上)。
1.为了调查某校学⽣的购书费⽤⽀出,从各年级的学⽣中分别抽取100名学⽣,组成样本进⾏调查,这种抽样⽅法属于()。
A. 简单随机抽样B. 分层抽样C. 系统抽样D. 整群抽样2.已知某⼯⼚⽣产的某零件的平均厚度是2厘⽶,标准差是0.25厘⽶。
如果已知该⼚⽣产的零件厚度为正态分布,可以判断厚度在 1.5厘⽶到 2.5厘⽶之间的零件⼤约占()。
A. 95% B. 89% C. 68% D. 99%3.某校⼤⼆学⽣统计学考试的平均成绩是70分,标准差是10分,从该校⼤⼆学⽣中随机抽取100个同学作为样本,则样本均值的数学期望和抽样分布的标准误差分别为()。
A. 70,10 B. 70,1 C. 70,4 D. 10,104.根据⼀个具体的样本,计算总体均值的置信⽔平为90%的置信区间,则该区间()。
A. 以90%的概率包含总体均值 B. 有10%的可能性包含总体均值 C. 绝对包含总体均值D. 绝对包含总体均值或绝对不包含总体均值5.某企业计划投资2万元的⼴告费以提⾼某种新产品的销售量,企业经理认为做了⼴告可使每天销售量达100吨。
实⾏此计划9天后经统计知,这9天的⽇平均销售量为99.32吨。
假设每天的销售量服从正态分布),(2σµN ,在05.0=α的显著性⽔平下,检验此项计划是否达到了该企业经理的预计效果,建⽴的原假设和备择假设为()。
A .100:,100:10≠=µµH H B. 100:,100:10>≤µµH H C . 100:,100:10<≥µµH H D .100:,100:10≤>µµH H 6. 在回归分析中,因变量的预测区间估计是指()。
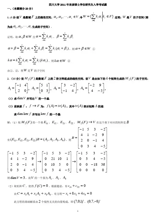
四川大学2011年攻读硕士学位研究生入学考试题一、(本题满分20分)1. (5分)设V 是数域F 上的线性空间,V s ∈ααα,,,21 .令}{1F k k W i si i i ∈=∑=α.证明:W 是V的子空间(称为由s ααα,,,21 生成的子空间). 证明:取W ∈βα,且∑==si ii k 1αα,∑==si ii k 1ββ∑∑∑===+=+=+si i i i s i i i si i i k k k 111)(βαβαβα,则W ∈+βα ①∑∑====si i i s i i i k k k k k 11)(ααα,则W k ∈α ②由①、②,得W 是V 的子空间2. (15分)设)(2F M 是数域F 上的2阶方阵组成的线性空间,设V 是由如下的4个矩阵生成的)(2F M 的子空间:⎥⎦⎤⎢⎣⎡-=02411A ,⎥⎦⎤⎢⎣⎡=30152A ,⎥⎦⎤⎢⎣⎡--=41233A ,⎥⎦⎤⎢⎣⎡--=54924A ,(1)求V dim 并写出V 的一个基. (2)设映射f:F f →为:)()(A tr A f =,其中)(A tr 表示矩阵A 的迹. 求fkerdim 并写出fker的一个基.解:(1)取)(2F M 的一个基11E 、12E 、21E 、22E ,VF M →)(2在这个基下对应的矩阵是B有),,,(),,,(432122211211A A A A B E E E E =,则⎥⎥⎥⎥⎦⎤⎢⎢⎢⎢⎣⎡-----=5430410292142351B⎥⎥⎥⎥⎦⎤⎢⎢⎢⎢⎣⎡----→⎥⎥⎥⎥⎦⎤⎢⎢⎢⎢⎣⎡---→⎥⎥⎥⎥⎦⎤⎢⎢⎢⎢⎣⎡-----00003618005430235154300510011021023515430410292142351则3dim =V ,故V的一个基为1A 、2A 、3A(2)取矩阵C ,使得0)(=C f ,根据题意,有02211=+c c由332211A x A x A x C++=,有方程048321=++-x x x此方程的基础解系由2个线性无关的向量构成,即)'1,0,7(、)'8,7,0(-⎥⎦⎤⎢⎣⎡-==413264)'1,0,7)(,,(3211A A A C ,⎥⎦⎤⎢⎣⎡-=-=1182311)'8,7,0)(,,(3212A A A C则有2kerdim =f ,故fker 的一个基为1C 、2C二、(本题满分20分)设F ,K 都是数域且K F ⊆.1.(5分)设s ααα,,,21 是F 上的n 维列向量.证明:s ααα,,,21 在F 上线性相关当且仅当s ααα,,,21 在K 上线性相关.证明:取s ααα,,,21 的极大无关组为F r ∈γγγ,,,21必要性:s ααα,,,21 在F 上线性相关,则方程i r X αγγγ=),,,(21 有解(s i ,,2,1 =)有K X ∈,则方程i r X αγγγ=),,,(21 在K 上有解故s ααα,,,21 在K 上线性相关 充分性:s ααα,,,21 在K 上线性相关,则方程i r X αγγγ=),,,(21 在K 上有解在K 上有),,,,(),,,(2121i r r r r αγγγγγγ =由F ir ∈αγγγ,,,,21 ,则在F 上也有),,,,(),,,(2121i r r r r αγγγγγγ =故方程i r Xαγγγ=),,,(21 在F 上有解故s ααα,,,21 在F 上线性相关 2.(5分)设A ,B 为F 上的n 阶方阵.证明:A ,B 在F 上相似当且仅当A ,B 在K 上相似.证明:必要性: 由A ,B 在F 上相似,存在可逆矩阵)(F M P n ∈,使得B AP P =-1又)(K M P n ∈,则A ,B 在K 上相似充分性: 由A ,B 在K 上相似,则在K 上A ,B 有相同的行列式因子)(λk D (n k ,,2,1 =) 由A ,)(F MB n ∈,有)(λk D 属于F则在F 上A ,B 也有相同的行列式因子)(λk D故A ,B 在F 上相似3.(5分)设F 上的n 次多项式)(x f 在K 上有n 个根n x x x ,,,21 .证明:∏≤<≤-112)(j i j i x x 属于F . 证明:令0111)(a x a x a x a x f n n n n ++++=-- (F a a a n n ∈-01,,, )由根与系数的关系,有n n x x x a +++=-- 211、n n n x x x x x x a 121212--+++= 、……由∏≤<≤-112)(j i j i x x 为对称多项式,则可由01,,,a a a n n -表示 故∏≤<≤-112)(j i j i x x 属于F4.(5分)证明:关于数的加法和乘法K 是F 上的线性空间. 证明:取K 上的元素α、β,数a 、F b ∈ 由K F⊆, αββα+=+,有αβ+为K 上的元素βαβαβαb b a a b a +++=++))((,βαβαb b a a +++为K 上的元素则关于数的加法和乘法K 是F 上的线性空间 三、(本题满分20分)给定任意的可逆矩阵A .请说出4种求1-A 的方法(使用计算机程序的方法除外),并简要说明理由.解:法1:通过初等变换由行变,有()()1-→A E E A ;由列变,有⎪⎪⎪⎭⎫⎝⎛→⎪⎪⎪⎭⎫ ⎝⎛-1A E E A法2:通过伴随矩阵由E A AA =*,有⎥⎥⎥⎥⎦⎤⎢⎢⎢⎢⎣⎡==-nn n nn n A A A A A AA A A A A A A21222121211111*1法3:通过H-C 定理 令A 的特征多项式为0111)(a a a A E f n n n ++++=-=--λλλλλ如00=a ,有)()(1211a a f n n n +++=--- λλλλ,则A 含特征值0,A 不可逆 故00≠a ,则O E a A a A a A A f n n n =++++=--0111)(有E a a A a a A a A n n n 012011011----=---- 法4:通过A 的最小多项式令A 的最小多项式0111)(a a a m m m m ++++=--λλλλ同上,有00≠a ,则O E a A a A a A A m m m m =++++=--0111)( 有E a a A a a A a A m m m 012011011----=----四、(本题满分20分)设1)(121++++=--x x x x f p p ,p 是素数.1.(10分)证明)(x f 在有理数域Q 上不可约.2.(10分)令})()({O A f C M A n =∈=M ,其中)(C M n 是全体n 阶复矩阵组成的集合.把M 中的矩阵按相似关系分类,即A ,B 属于同一类当且仅当存在可逆的复矩阵C 使得1-=CBC A .问M 中的全部矩阵可以分成几类?说明理由.1.证明:11)(--=x x x f p ,令1+=y x ,有yy C y y y f pk kk p p 11)1()1(0-=-+=+∑=1221111)1(p p p p p p p p pk k k p C y C y C y C y C y f ++++==+---=-∑由艾森斯坦判别法,p 为素数,121,,,-p p p p C C C p 、p 不能整除p p C 、2p 不能整除1p C故)1(+y f 在有理数域不可约,即)(x f 在有理数域不可约.2.证明: 由O A f =)(,又1)0(=f ,则0不是A 的特征值由)(C M A n ∈,则A 有n 个特征值0≠i λ(n i ,,2,1 =)则存在可逆矩阵P ,使得JAP P =-1J 除去排列次序外是由A 唯一确定的,则J 可能为⎥⎥⎥⎥⎥⎥⎦⎤⎢⎢⎢⎢⎢⎢⎣⎡n λλλ11121 ,⎥⎥⎥⎥⎥⎥⎦⎤⎢⎢⎢⎢⎢⎢⎣⎡n λλλ11021 ,……,⎥⎥⎥⎥⎥⎥⎦⎤⎢⎢⎢⎢⎢⎢⎣⎡n λλλ00021共有n 种,则M 中的全部矩阵可分为n 类五、(本题满分20分)设V 是数域F 上的n 维线性空间,)(V End 表示V 上的全体线性变换组成的线性空间. 1.(10分)求)(dim V End 并写出)(V End 的一个基. 2.(10分)设)(V End ∈A ,设A 的特征多项式为)(x f .证明:如果V 可以分解为非平凡的-A 不变子空间的直和,那么,)(x f 在F 上可约.问:此结论的逆命题是否成立?说明理由.1.解:设nn E E E ,,,1211 是n n⨯P的一组基,n n⨯P是2n 维的,可知V 的全体线性变换与n n⨯P同构, 故V 的全体线性变换组成的线性空间是2n 维的。
试卷九2009年攻读硕士学位研究生入学考试试题考试科目:材料科学基础适用专业:材料科学与工程一、名词解释1.共价键2.晶族3.电子化合物4.相平衡5.线缺陷6.稳态扩散7.形变织构8.动态再结晶9.一级相变10.调幅分解二、填空1.可以按旋转轴和旋转反伸轴的轴次和数目将晶体分成立方晶系、三方晶系、四方晶系、 (1) 、 (2) 、 (3) 和 (4) 共七个晶系。
2.原子或离子的 (5) 是指在晶体结构中,该原子或离子的周围与它直接相邻结合的原子个数或所有异号离子的个数。
3.固溶体中,当溶质原子和溶剂原子分别占据固定位置,且每个晶胞中溶质原子和溶剂原子数之比一定时,这种有序结构被称为 (6) 。
4.一个滑移面和其面上的一个 (7) 组成一个滑移系。
5.结晶过程中晶体界面向液相推移的方式被称为 (8) ,与液固界面的微观结构有关。
6.相平衡时,系统内的相数可以通过系统自由度、 (9) 和对系统平衡状态能够产生影响的外界因素数目的关系式来进行计算。
7.铸锭三晶区是指紧靠膜内壁的细晶区、 (10) 、铸锭中心的等轴粗晶区。
8.小角度晶界由位错构成,其中对称倾转晶界由 (11) 位错构成,扭转晶界由 (12) 位错构成。
9.强化金属材料的方法有 (13) 强化、 (14) 强化、 (15) 强化、 (16) 强化。
10.再结晶完成后,晶粒长大可分为 (17) 晶粒长大和 (18) 晶粒长大。
11.线性高分子可反复使用,称为 (19) 塑料;交联高分子不能反复使用,称为 (20) 塑料。
三、判断正误1.在密堆结构中会形成两种空隙,一是由8个球形成的八面体空隙,另一种是由4个球形成的四面体空隙。
2.尖晶石型晶体(AB2O4)具有正型和反型结构,其本质是正型中A离子的八面体择位能大于B离子,而反型中是B离子的八面体择位能大于A离子。
3.形成连续固溶体的最主要条件是溶质和溶剂的晶体结构要一致,例如,银和铝都具有面心立方结构。
华侨大学2011年硕士研究生入学考试专业课试卷(答案必须写在答题纸上)招生专业应用化学科目名称物理化学(工科)科目代码833一、选择题(每小题2分,共30分)1. 恒压下纯物质当温度升高时其吉布斯自由能( )。
(A) 上升 (B) 下降 (C) 不变 (D) 无法确定2. 下述哪一种说法正确?()(A) 理想气体的焦耳-汤姆孙系数μ不一定为零(B) 非理想气体的焦耳-汤姆孙系数μ一定不为零(C) 理想气体不能用作电冰箱的工作介质(D) 使非理想气体的焦耳-汤姆孙系数μ为零的p,T值只有一组3. N2和H2的混合气体经绝热可逆压缩过程,其()(A)△U=0 (B)△F=0 (C)△S=0 (D)△G=0.4. 某一强电解质M v+ X v-,则其平均活度a±与活度a B之间的关系是()。
(A) a± = a B(B) a± = (a B)2(C) a± = a Bγ(D) a± = (a B)1/γ5. 在冬季进行建筑施工时,为了保证施工质量,常在浇注混凝土时加入少量盐类,其主要作用是()。
(A) 增加混凝土的强度 (B)防止建筑物被腐蚀(C)降低混凝土的固化温度 (D)吸收混凝土的水分6. 已知下列反应的平衡常数:H2(g) + S(s) = H2S(g), K1; S(s) + O2(g) = SO2(g), K2。
则反应H2(g) + SO2(g) = O2(g) + H2S(g)的平衡常数为()。
(A) K1+K2(B) K1 –K2 (C). K1K2 (D) K1/K27. 下面关于催化剂的叙述中,不正确的是()。
(A)催化剂不影响平衡常数 (B)催化剂降低了反应的活化能(C)催化剂加速反应但不参与反应 (D)催化剂只加速热力学上可行的反应8. 开始用等量的HCl(g)和NH3(g)组成的系统中,反应:HCl(g) + NH3(g)=NH4Cl(S)达到平衡时的自由度数f为()。
北京邮电大学2011年硕士研究生入学考试试题考试科目:801通信原理一、填空题(每空一分,共20分)1、信息量的单位是________,它代表一个只有____种可能且独立______出现的信息所包含的信息量。
2、对一个频带受限于 ,L H f f Hz 的高频窄带信号进行抽样,其最低的无失真抽样频率近似等于_____Hz 。
3、某二进制信源的输出速率为1/Mbit s ,信源输出经过一个编码速率为2/3的卷积编码器后再用8P AM 系统传输,则符号速率为________KBaud 。
若信道带宽为400KHz ,则该基带传输系统应该采用滚降因子≤______的升余弦滚降滤波。
4、采用第1类部分响应波形传输信息速率为200K bit s 的数字信息,所需要的信道带宽为______KHz ,发送机输出的电平数量有____种。
5、已知某汉明码的监督码元数为3,则该码的码长为____,编码效率为______。
6、计算机以太网中,五类双绞线中传输10M bit s 数据的线路接口码型为____________,该信号占用宽带为_____MHz 。
7、发送信号()x t 通过恒参信道不失真的要求是输出信号()y t ___________。
8、产生m 序列的本原多项式为 251f x x x ,其归一化周期性自相关函数的最小值为_______,最大值为________。
9、已知16QAM 信号的表达式为 cos 2sin 2c s i T c i T c s t a g t f t a g t f t ,0s t T ,c i a 和s i a 的取值集合为 1,3 ,基带成形滤波器冲激响应()T g t 的能量为g E 。
若取归一化基函数为1cos 2T c f t t f t , 2sin 2T c f t t f t ,0s t T ,则16QAM 信号波形的二维矢量表示为____________,两信号矢量间的最小欧式距离为________。
厦门大学2011年招收攻读硕士学位研究生入学考试试题科目代码:832科目名称:生物化学考生须知:答案必须使用墨(蓝)色墨水(圆珠)笔;不得在试卷(草稿)纸上作答;凡未按规定作答均不予评阅、判分一、填空题(每空1分,共30分)1.在核酸中占9%-11%,且可用来计算核酸含量的是()。
2.用DNFB与Ala-Gly反应后,再用6mol/l的盐酸在110度下水解,所得产物是()和()。
3.酶的共价修饰调节中,最常见的调节方式是()负责催化该修饰方式的酶是()。
4.当酶促反应速度V达到最大反应速度的80%时,底物浓度为()。
5.糖的氧化分解、糖异生、和糖原合成的交叉点是()。
6.纤维素中的葡萄糖连接方式是(),直链淀粉中葡萄糖的连接方式是()。
7.用NaOH处理1-软脂酰-2-油酰磷脂酰丝氨酸得到的产物是(),(),()和甘油和丝氨酸。
8.在PH6-8是有缓冲能力的是(),而水溶液没有旋光的氨基酸是()。
9.引起蛋白质折叠的主要动力是()。
10.蛋白质通过Sephadex柱时,蛋白质从柱上洗脱的顺序是()。
11. TCA循环中不以NAD为辅酶的酶是()。
12.丙二酸对琥珀酸脱氢酶的抑制作用属于典型的()抑制。
13.生物素是()的辅基,在合成作用中起活性CO2的作用。
14.糖原在糖原磷酸化酶催化下从()端磷酸解。
15.脂肪酸在线粒体中的氧化称为().其特点是氧化从()开始,每氧化一次,减少一个二碳单位,生成一份子()。
16.直接参与糖原合成的三磷酸核苷是(),直接参与磷脂合成的三磷酸核苷是(),直接参与蛋白质合成肽链延长的三磷酸核苷是()。
17.尿素形成中,一个氮原子来自氮,另一个来自于()。
18.通过与DNA分子中的G-C顺序结合,阻止RNA聚合酶催化RNA 链延长的抗生素是()。
19.mRNA分子中密码子与氨基酰-tRNA中()配对。
20.脂肪酸生物合成中的限速反应是由()酶催化的反应。
二、选择题(单选每题1分,共30分)1. 不含糖苷键的化合物是()A.肝素B. 脑苷脂C. 半乳糖二脂酰甘油D. 胆固醇脂2. 哪个不是核苷酸()A. CoASHB. FADC. FH4 D . NADH3.葡萄糖有氧氧化过程中共有()A . 4次脱氢3次脱羧 B. 5次脱氢3次脱羧C. 6次脱氢2次脱羧 D. 6次脱氢3次脱羧4. 脂肪酸B-氧化中第一次脱氢反应受氢体是()A. NADB. FADC. NADPD. FMN5. 在糖、脂肪和蛋白质分解代谢中产生的CO2水、和ATP过程中都会有中间产物()A. 丙酮酸B. 氨基酸C. 乙酰-COAD. 甘油6. 含有疏水侧链氨基酸的是()A. 色氨酸、精氨酸B. 苯丙氨酸、异亮氨酸C. 精氨酸、亮氨酸D. 甲硫氨酸、组氨酸7. 糖酵解过程中哪种物质提供-P使ADP生成ATP()A. 3-磷酸甘油醛B. 2,3-而磷酸甘油醛C. 磷酸烯醇式丙酮酸D. 2-磷酸甘油酸8. 用重金属盐沉淀蛋白质时溶液PH应符合下列那个条件()A. 溶液的PH大于蛋白质的PI B . 溶液的PH小于蛋白质的PI C. 溶液的PH等于蛋白质的PI D. 溶液的PH等于7.49. 代谢调节最终是通过什么发挥作用的()A. 神经B. 激素C. 核酸D. 酶10.体内的CO2来自()A. 糖呼吸链中氧化还原 B . 脂肪酸的分解C. 糖原的分解D. 有机酸的脱羧11.蛋白质分子构想的结构单元是()A. 肽键 B . 二硫键 C. 肽键平面 D. 氨基酸残基12.丙二酸对琥珀酸脱氢酶的动力学特征是()A . Km上升Vmax不变B . Km下降Vmax不变C . Km不变Vmax上升D . Km上升Vmax不变13.那一种不属于二碳单位()A . COOH B. -CH3 C. =CH2 D. -CHO14.嘌呤环的N1来自于()A . NH3B . AspC . GlnD . Asn15.羧肽酶A对一小肽不起作用,此肽可能是()A. C-末端可能是碱性氨基酸B. Pro位于C-末端第二位C . 此肽为环状碱基修饰 D. 以上三种情况都可能16.若用电泳分离GLY-LYS、ASP-VAL 和ALA-HIS 在以下那个PH条件电泳最合适()A . PH 在2以下B . PH 2-4C . PH7-9 D. PH10-1217.氨基酸是通过下列哪种化学键与tRNA结合的()A. 糖苷键B. 酯键C. 酰胺键D. 氢键18. 从某种组织中提取一种酶,最理想的酶制剂是()A.蛋白质含量高B. 活力单位数最高C. 比活力最高D. Km最低19.当用C14标记乳酸的羧基碳原子时,并经受在细胞内的代谢转变.下列化合物除那种外都含有C14()A . a-酮戊二酸 B. 乙酰辅酶A C. 丙酮酸 D. 葡萄糖20. 反密码子IGC 可识别()A. GCA B . GCG C . ACG D. UCG21. DNA 连接酶在下列那一过程中不需要()A . DNA复制 B. 制备重组DNAC. DNA 修复 D . DNA断裂22.下列因素中能破坏蛋白质分子中二硫键的是()A. 处在8MOL/L的尿素溶液中B. 用水透析C. 加入二硫苏糖醇D. 蛋白质水解酶23.端粒酶是()A. 限制性内切酶 B . DNA聚合酶C . RNA聚合酶 D. 肽酰基转移酶24. m2Gs是()A. 含有2个甲吉的鸟嘌呤腺苷 B . 杂环上2位带有甲基的鸟苷C. 核糖2位带有甲基的鸟苷酸 D. 鸟漂亮核苷酸二甲脂25.性激素受体蛋白位于()A. 细胞核B. 细胞质膜C. 细胞质D. 微粒体26.如果一种化学修饰剂可以促进蛋白质的降解,则这种化学修饰剂可()A. 抑制蛋白质基因的表达B. 刺激蛋白质基因的表达C. 调节蛋白质基因的表达D. 与之无关27.当培养基中的色氨酸浓度较大时,色氨酸操纵子处于()A. 诱导表达B. 阻遏表达C. 基本表达D. 组成表达28.合成后无需进行转录后加工修饰就具有生物学活性的是()A . TRNA B. hnRNAC. 原核细胞MRNAD. 真核细胞MRNA29.下列几种酶,哪一个需要金属离子做辅基()A. 羧肽酶B. 核糖核酸酶C. 溶菌酶D. 胰凝乳蛋白酶30.八肽GLY-TYR-PRO-ARG-MET-ALA-PHE用那种方式处理不会产生任更小的肽()A. 溴化氢 B . 胰蛋白酶 C . 胰凝乳蛋白酶 D. 盐酸三、是非判断(每题1分,共20分)1.Edman降解法可以测定任何非封闭多肽的全部氨基酸序列。
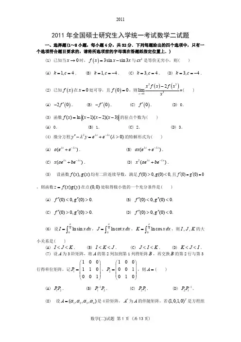
2011年全国硕士研究生入学统一考试数学(一)试卷一、选择题(1-8小题,每小题4分,共32分,1、 曲线432)4()3()2)(1(----=x x x x x y 的拐点是( ) A (1,0) B (2,0) C (3,0) D (4,0)2、设数列{}n a 单调减少,且0lim =∞→n n a 。
∑==ni in aS 1无界,则幂级数n n nx a)1(1-∑∞=的收敛域为( )A ]11-(B )11[-C )20[ D ]20(3、 设函数)(x f 具有二阶连续的导数,且0)(>x f .0)0(='f 。
则函数)()(ln y f x f z =在点)0,0(处取得极小值的一个充分条件是( ) A 0)0(1)0(>''>f f B 0)0(1)0(<''>f f C 0)0(1)0(>''<f f D 0)0(1)0(<''<f f4、设⎰=4sin ln πxdx I ⎰=40c o t ln πxdx J ⎰=40c o s ln πxdx K ,则 K J I的大小关系是( )A K J I <<B J K I <<C K I J <<D I J K <<5、设A 为3阶矩阵,把A 的第二列加到第一列得到矩阵B ,再交换B 的第二行与第3行得到单位阵E ,记⎪⎪⎪⎭⎫ ⎝⎛=1000110011P ,⎪⎪⎪⎭⎫ ⎝⎛=010*******P ,则A=( )A 21P PB 211P P - C 12P P D 112P P - 6、设)(4321αααα=A 是4阶矩阵,*A 为A 的伴随矩阵。
若T )0,1,0,1(是0=Ax 的一个基础解系,则0*=x A 的基础解系可为( )A31αα B 21αα C 321ααα D 432ααα7、设)()(21x F x F 为两个分布函数,且连续函数)()(21x f x f 为相应的概率密度,则必为概率密度的是( )A )()(21x f x fB )()(212x F x fC )()(21x F x fD )()(21x F x f +)()(12x F x f 8、设随机变量Y X ,相互独立,且EY EX ,都存在,记{}Y X U ,max ={}Y X V ,min =,则=E U V ( )A EV EU ⋅B EY EX ⋅C EY EU ⋅D EV EX ⋅二、填空题:9—14小题,每小题4分,共24分,请将答案写在答题纸指定的位置上。
数据仓库与数据挖掘I.选择题,为每个问题选择最合适的答案(10×2%=20%)1.数据仓库上的业务处理称作_B_。
A.联机事务处理B.联机分析处理C.联机输入处理D.联机查询处理2.在自然演化体系结构中,关于导致数据缺乏可信性的原因的说法哪个不正确?DA.数据无时基B.抽取程序的算法有差异C.抽取的层次不同D.缺乏集成性3.下面哪项关于OLTP与OLAP访问特点的说法是不正确的。
AA.OLTP和OLAP对于响应时间的要求都高B.OLTP访问频率高,OLAP访问频率低C.OLAP访问大量的历史,执行大量统计操作D.OLTP数据处理具有并发性4.下面关于数据仓库中数据的说法错误的是?A.数据越详细,粒度越小,层次级别就越高。
B.在估计直接存储设备数时,如数据超过1000万行必须强制采取双重粒度级。
C.数据仓库大部分分析是针对被压缩的、存取效率高的轻度级数据进行的。
D.数据分割便于数据的重构、重组和恢复,以提高创建索引和顺序扫描的效率。
5.下面关于数据仓库的数据存储方式的说法哪个是不正确的?FE.虚拟存储方式中,数据仓库的数据仍然在源数据中。
F.星型模式下的维表规范化的,而雪花模式下的不需要规范化G.在查询效率方面,星型模式效率更高H.在事实星座模式中有多个事实表,且它们共享相同的维表6.下面关于星型模型的说法哪个是不正确的?I.有一个包含大量数据的事实表J.有一组小的附属表,称为维表,每维一个。
K.事实表的每个字段都是事实度量字段L.事实中每条元组都含有指向各个维表的外键和一些相应的度量数据。
7.下面关于数据仓库的数据追加的说法哪个是不正确的?CA.时标法需要为记录数据增加一个时间标志。
B.前后映像文件方法需要扫描整个数据库,占用较多资源,对性能有较大影响C.DELTA不需要扫描整个数据库,效率较高,应用普遍D.日志文件法也不需要扫描整个数据库,是固有机制。
8.假设收入属性的最小与最大分别是10000和90000,现在想把当前值30000映射到区间[0,1],若采用最大-最小数据规范方法,计算结果是多少?BA.0.25B.0.375C.0.125D.0.59.下面关于维的概念哪个是不正确的? CA.维是人们观察数据的特定角度。
2011全国硕士研究生入学考试英语试题T ext 4It’s no surprise that Jennifer Senior’s insightful, provocative magazine cover story, “I love My Children, I Hate My Life,” is arousing much chatter – nothing gets people talking like the suggestion that child rearing is anything less than a completely fulfilling, life-enriching experience. Rather than concluding that children make parents either happy or miserable, Senior suggests we need to redefine happiness: instead of thinking of it as something that can be measured by moment-to-moment joy, we should consider being happy as a past-tense condition. Even though the day-to-day experience of raising kids can be soul-crushingly hard, Senior writes that “the very things that in the moment dampen our moods can later be sources of intense gratification and delight.”The magazine cover showing an attractive mother holding a cute baby is hardly the only Madonna-and-child image on newsstands this week. There are also stories about newly adoptive – and newly single – mom Sandra Bullock, as well as the usual “Jennifer Aniston is pregnant” news. Practically every week features at least one celebrity mom, or mom-to-be, smiling on the newsstands.In a society that so persistently celebrates procreation, is it any wonder that admitting you regret having children is equivalent to admitting you support kitten-killing ? It doesn’t seem quite fair, then, to compare the regrets of parents to the regrets of the children. Unhappy parents rarely are provoked to wonder if they shouldn’t have had kids, but unhappy childless folks are bothered with the message that children are the single most important thing in the world: obviously their misery must be a direct result of the gaping baby-size holes in their lives.Of course, the image of parenthood that celebrity magazines like Us Weekly and People present is hugely unrealistic, especially when the parents are single mothers like Bullock. According to several studies concluding that parents are less happy than childless couples, single parents are the least happy of all. No shock there, considering how much work it is to raise a kid without a partner to lean on; yet to hear Sandra and Britney tell it, raising a kid on their “own” (read: with round-the-clock help) is a piece of cake.It’s hard to imagine that m any people are dumb enough to want children just because Reese and Angelina make it look so glamorous: most adults understand that a baby is not a haircut. But it’s interesting to wonder if the images we see every week of stress-free, happiness-enhancing p arenthood aren’t in some small, subconscious way contributing to our own dissatisfactions with the actual experience, in the same way that a small part of us hoped getting “ the Rachel” might make us look just a little bit like Jennifer Aniston.36.Jennifer Senior suggests in her article that raising a child can bring[A]temporary delight[B]enjoyment in progress[C]happiness in retrospect[D]lasting reward37.We learn from Paragraph 2 that[A]celebrity moms are a permanent source for gossip.[B]single mothers with babies deserve greater attention.[C]news about pregnant celebrities is entertaining.[D]having children is highly valued by the public.38.It is suggested in Paragraph 3 that childless folks[A]are constantly exposed to criticism.[B]are largely ignored by the media.[C]fail to fulfill their social responsibilities.[D]are less likely to be satisfied with their life.39.According to Paragraph 4, the message conveyed by celebrity magazines is[A]soothing.[B]ambiguous.[C]compensatory.[D]misleading.40.Which of the following can be inferred from the last paragraph?[A]Having children contributes little to the glamour of celebrity moms.[B]Celebrity moms have influenced our attitude towards child rearing.[C]Having children intensifies our dissatisfaction with life.[D]We sometimes neglect the happiness from child rearing.。