全国硕士研究生入学统一考试数学(三)模拟试卷二.docx
- 格式:docx
- 大小:2.04 MB
- 文档页数:16
全国硕士研究生入学统一考试数学(三)考前模拟卷1.【单项选择题】A. k≠1B. k>1C. k>0D. 与k无关正确答案:A参考解析:2.【单项选择题】A. 极限不存在.B. 极限存在,但不连续.C. 连续,但不可导.D. 可导.正确答案:C参考解析:先分别考察左、右可导性.3.【单项选择题】当x→0时下列无穷小中阶数最高的是A.B.C.D.正确答案:C参考解析:(A)(考察等价无穷小) 4.【单项选择题】A.B.C.D.正确答案:D参考解析:5.【单项选择题】设A是m×n阶矩阵,则下列命题正确的是( ).A. 若m<n,则方程组AX=b一定有无穷多个解B. 若m>n,则方程组AX=b一定有唯一解C. 若r(A)=n,则方程组AX=b一定有唯一解D. 若r(A)=m,则方程组AX=b一定有解正确答案:D参考解析:6.【单项选择题】A. 1,0,-2.B. 1,1,-3.C. 3,0,-2.D. 2,0,-3.正确答案:D参考解析:7.【单项选择题】二次型f(x1,x2,x3)=(x1-x2)2+(x2-x3)2+(x3-x1)2的标准形为( ).A. f=B. f=2C. f=D. f=2正确答案:B参考解析:用配方法,8.【单项选择题】设随机变量X~U[0,2],Y=X2,则X,Y( ).A. 相关且相互独立B. 不相互独立但不相关C. 不相关且相互独立D. 相关但不相互独立正确答案:B参考解析:【解】9.【单项选择题】A.B.C.D.正确答案:D参考解析:10.【单项选择题】A.B.C. 0D.正确答案:B 参考解析:11.【填空题】正确答案:参考解析:【解析】12.【填空题】正确答案:参考解析:1【解析】13.【填空题】正确答案:参考解析:【解析】14.【填空题】正确答案:参考解析:【解析】15.【填空题】正确答案:参考解析:6【解析】若按第1行展开,只有-2x乘以其代数余子式会出现x3项,故只要求出这一项即可.故x3的系数为6.16.【填空题】设X,y为两个随机变量,且D(X)=9,Y=2X+3,则X,Y的相关系数为________正确答案:参考解析:1【解析】D(Y)=4D(X)=36,17.【解答题】参考解析:18.【解答题】求函数z=x3-3x2-3y2在闭区域D:x2+y2≤16上的最大值.参考解析:解(Ⅰ)得驻点(0,0),(2,0).(Ⅱ)在D:x2+y2=16上.得(0,±4).(±4,0).(Ⅲ)比较大小z(0,0)=0,z(2,0)=-4,z(0,4)=-48,z(0,-4)=-48,z(4.0)=16,z(-4,0)=-112,得最大值为z(4,0)=16.19.【解答题】参考解析:20.【解答题】参考解析:【解】21.【解答题】α1=(1,1,0)T,α2=(0,2,1)T.(Ⅰ)求A的特征值与特征向量;(Ⅱ)求可逆矩阵P,使得P-1AP=Λ.参考解析:解(Ⅰ)由A~B知,A与B有相同的特征值,而由|μE一B|=0,可得B的特征(Ⅱ)22.【解答题】设随机变量X1,X2,X3相互独立,且均服从参数为λ的指数分布,记Y=min{X1,X2),T=max{Y,X3}.(Ⅰ)求y的概率密度f Y(y);(Ⅱ)求期望ET.参考解析:解(Ⅰ)由已知,X1与X2相互独立,故(X1,X2)的概率密度为(II)先求T的分布函数与概率密度.。
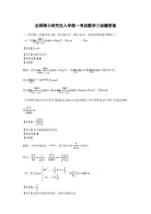
1996年全国硕士研究生入学统一考试数学三试题一、填空题(本题共5小题,每小题3分,满分15分.把答案填在题中横线上.) (1) 设方程yx y =确定y 是x 的函数,则dy =___________. (2) 设()arcsin x f x dx x C =+⎰,则1()dx f x =⎰___________.. (3) 设()00,x y 是抛物线2y ax bx c =++上的一点,若在该点的切线过原点,则系数应满足的关系是___________. (4) 设其中(;,1,2,,)i j a a i j i j n ≠≠=L .则线性方程组T A X B =的解是___________. (5) 设由来自正态总体2~(,0.9)X N μ容量为9的简单随机样本,得样本均值5X =,则未知参数μ的置信度为0.95的置信区间为___________.二、选择题(本题共5小题,每小题3分,满分15分.每小题给出的四个选项中,只有一项符合题目要求,把所选项前的字母填在题后的括号内.)(1) 累次积分cos 20(cos ,sin )d f r r rdr πθθθθ⎰⎰可以写成 ( )(A) 10(,)dy f x y dx ⎰ (B) 10(,)dy f x y dx ⎰(C)11(,)dx f x y dy ⎰⎰(D) 10(,)dx f x y dy ⎰(2) 下述各选项正确的是 ( ) (A) 若21nn u∞=∑和21nn v∞=∑都收敛,则21()nn n uv ∞=+∑收敛(B)1n nn u v∞=∑收敛,则21nn u∞=∑与21nn v∞=∑都收敛(C) 若正项级数1nn u∞=∑发散,则1n u n≥(D) 若级数1nn u∞=∑收敛,且(1,2,)n n u v n ≥=L ,则级数1nn v∞=∑也收敛(3) 设n 阶矩阵A 非奇异(2n ≥),A *是矩阵A 的伴随矩阵,则 ( ) (A) 1()n A A A -**= (B) 1()n A A A +**= (C) 2()n A AA -**= (D) 2()n A AA +**=(4) 设有任意两个n 维向量组1,,m ααL 和1,,m ββL ,若存在两组不全为零的数1,,m λλL和1,,m k k L ,使111111()()()()0m m m m m m k k k k λαλαλβλβ+++++-++-=L L ,则 (A) 1,,m ααL 和1,,m ββL 都线性相关 (B) 1,,m ααL 和1,,m ββL 都线性无关(C) 1111,,,,,m m m m αβαβαβαβ++--L L 线性无关 (D) 1111,,,,,m m m m αβαβαβαβ++--L L 线性相关(5) 已知0()1P B <<且()1212[]()()P A A B P A B P A B +=+,则下列选项成立的是( ) (A) ()1212[]()()P A A B P A B P A B +=+ (B) ()1212()()P A B A B P A B P A B +=+ (C) ()1212()()P A A P A B P A B +=+ (D) ()()1122()()()P B P A P B A P A P B A =+ 三、(本题满分6分)设(),0,()0,0,xg x e x f x xx -⎧-≠⎪=⎨⎪=⎩其中()g x 有二阶连续导数,且(0)1,(0)1g g '==-. (1)求()f x ';(2)讨论()f x '在(,)-∞+∞上的连续性. 四、(本题满分6分)设函数()z f u =,方程()()xyu u p t dt ϕ=+⎰确定u 是,x y 的函数,其中(),()f u u ϕ可微;()p t ,()u ϕ'连续,且()1u ϕ'≠.求()()z zp y p x x y∂∂+∂∂. 五、(本题满分6分)计算2(1)xx xe dx e -+∞-+⎰.六、(本题满分5分)设()f x 在区间[0,1]上可微,且满足条件120(1)2()f xf x dx =⎰.试证:存在(0,1)ξ∈使七、(本题满分6分)设某种商品的单价为p 时,售出的商品数量Q 可以表示成aQ c p b=-+,其中a b 、、 c 均为正数,且a bc >.(1) 求p 在何范围变化时,使相应销售额增加或减少.(2) 要使销售额最大,商品单价p 应取何值?最大销售额是多少?八、(本题满分6分)求微分方程dy dx =的通解. 九、(本题满分8分)设矩阵01010000010012A y ⎡⎤⎢⎥⎢⎥=⎢⎥⎢⎥⎣⎦. (1) 已知A 的一个特征值为3,试求y ; (2) 求矩阵P ,使()()TAP AP 为对角矩阵. 十、(本题满分8分)设向量12,,,t αααL 是齐次线性方程组0AX =的一个基础解系,向量β不是方程组0AX =的解,即0A β≠.试证明:向量组12,,,,t ββαβαβα+++L 线性无关.十一、(本题满分7分)假设一部机器在一天内发生故障的概率为0.2,机器发生故障时全天停止工作,若一周5个工作日里无故障,可获利润10万元;发生一次故障仍可获得利润5万元;发生两次故障所获利润0元;发生三次或三次以上故障就要亏损2万元.求一周内期望利润是多少? 十二、(本题满分6分)考虑一元二次方程20x Bx C ++=,其中B C 、分别是将一枚色子(骰子)接连掷两次先后出现的点数.求该方程有实根的概率p 和有重根的概率q . 十三、(本题满分6分)假设12,,,n X X X L 是来自总体X 的简单随机样本;已知(1,2,3,4)kk EX a k ==.证明:当n 充分大时,随机变量211n n i i Z X n ==∑近似服从正态分布,并指出其分布参数.1996年全国硕士研究生入学统一考试数学三试题解析一、填空题(本题共5小题,每小题3分,满分15分,把答案填在题中横线上.)(1)【答案】()1ln dxx y +【解析】方法1:方程yx y =两边取对数得ln ln ln yx y y y ==,再两边求微分,方法2:把yx y =变形得ln y yx e =,然后两边求微分得由此可得 ()1.1ln dy dx x y =+(2)【答案】C【解析】由()arcsin x f x dx x C =+⎰,两边求导数有于是有1()dx f x ⎰212==⎰ (3)【答案】0c a≥(或2ax c =),b 任意 【解析】对2y ax bx c =++两边求导得()0022y ax b,y x ax b,''=+=+ 所以过()00x ,y 的切线方程为()()0002y y ax b x x ,-=+-即又题设知切线过原点()00,,把0x y ==代入上式,得2200002ax bx c ax bx ,---=--即20ax c.=由于系数0a ≠,所以,系数应满足的关系为0c a≥(或2ax c =),b 任意. (4)【答案】()1000T,,,L【解析】因为A 是范德蒙行列式,由i j a a ≠知()0ijA a a =-≠∏.根据解与系数矩阵秩的关系,所以方程组TA XB =有唯一解.根据克莱姆法则,对于易见 1230n D A ,D D D .=====L所以TA XB =的解为12310n x ,x x x =====L ,即()1000T,,,,L .【相关知识点】克莱姆法则:若线性非齐次方程组 或简记为112nij ji j a xb ,i ,,,n ===∑L其系数行列式 则方程组有唯一解其中j D 是用常数项12n b ,b ,,b L 替换D 中第j 列所成的行列式,即 (5)【答案】(4.412,5.588) 【解析】可以用两种方法求解:(1)已知方差220.9σ=,对正态总体的数学期望μ进行估计,可根据因2(,0.9)X N μ:,设有n 个样本,样本均值11ni i X X n ==∑,有20.9(,)X N n μ:,将其标准化,~(0,1)X N 得:由正态分布分为点的定义21P u αα⎫⎪<=-⎬⎪⎭可确定临界值2αu ,进而确定相应的置信区间22(x u x u αα-+.(2)本题是在单个正态总体方差已知条件下,求期望值μ的置信区间问题.由教材上已经求出的置信区间22x u x u αα⎛-+ ⎝,其中21,(0,1)P U u U N αα⎧⎫<=-⎨⎬⎩⎭:,可以直接得出答案.方法1:由题设,95.01=-α,可见.05.0=α查标准正态分布表知分位点.96.12=αu 本题9n =, 5X =, 因此,根据 95.0}96.11{=<-nX P μ,有1.96}0.95P <=,即 {4.412 5.588}0.95P μ<<=, 故μ的置信度为0.95的置信区间是(4.412,5.588) .方法2:由题设,95.01=-α,查得.96.12=αu20.9σ=,9n =, 5X =代入22(x u x u αα-+得置信区间(4.412,5.588).二、选择题(本题共5小题,每小题3分,满分15分.每小题给出的四个选项中,只有一项符合题目要求,把所选项前的字母填在题后的括号内.) (1)【答案】(D)【解析】方法1:由题设知,积分区域在极坐标系cos ,sin x r y r θθ==中是即是由221124x y ⎛⎫-+= ⎪⎝⎭与x 轴在第一象限所围成的平面图形,如右图.由于D 的最左边点的横坐标是0,最右点的横坐标是1, 下边界方程是0y ,=上边界的方程是y =从而D的直角坐标表示是 故(D)正确.方法2:采取逐步淘汰法.由于(A)中二重积分的积分区域的极坐标表示为 而(B)中的积分区域是单位圆在第一象限的部分, (C)中的积分区域是正方形(){}0101x,y |x ,y ,≤≤≤≤所以,他们都是不正确的.故应选(D). (2)【答案】(A) 【解析】由于级数21nn u∞=∑和21nn v∞=∑都收敛,可见级数()221nn n uv ∞=+∑收敛.由不等式及比较判别法知级数12n nn u v∞=∑收敛,从而12n nn u v∞=∑收敛.又因为()2222n n nnn n u v u v u v ,+=++即级数()21n n n u v ∞=+∑收敛,故应选(A).设()21112n n u ,v n ,,n ===L ,可知(B)不正确. 设()21112n u n ,,n n=-=L ,可知(C)不正确.设()()11112n nn u ,v n ,,nn--==-=L ,可知(D)不正确. 注:在本题中命题(D)“若级数1nn u∞=∑收敛,且(1,2,)n n u v n ≥=L ,则级数1nn v∞=∑也收敛.”不正确,这表明:比较判别法适用于正项级数收敛(或级数绝对收敛)的判别,但对任意项级数一般是不适用的.这是任意项级数与正项级数收敛性判别中的一个根本区别. (3)【答案】(C)【解析】伴随矩阵的基本关系式为AA A A A E **==, 现将A *视为关系式中的矩阵A ,则有()A A A E ****=. 方法一:由1n A A -*=及1()AA A*-=,可得 故应选(C).方法二:由()A A A E ****=,左乘A 得1()()n AA A AA -***=,即1()()n A E A AA -**=.故应选(C). (4)【答案】(D)【解析】本题考查对向量组线性相关、线性无关概念的理解.若向量组12,,,s γγγL 线性无关,即若11220s s x x x γγγ+++=L ,必有120,0,,0s x x x ===L .既然1,,m λλL 与1,,m k k L 不全为零,由此推不出某向量组线性无关,故应排除(B)、(C). 一般情况下,对于不能保证必有11220,s s k k k ααα+++=L 及110,s s l l ββ++=L 故(A)不正确.由已知条件,有又1,,m λλL 与1,,m k k L 不全为零,故1111,,,,,m m m m αβαβαβαβ++--L L 线性相关. 故选(D).(5)【答案】(B) 【解析】依题意因()0P B >,故有()()1212)(P A B A B P A B P A B +=+.因此应选(B).注:有些考生错误地选择(D).他们认为(D)是全概率公式,对任何事件B 都成立,但是忽略了全概率公式中要求作为条件的事件12,A A 应满足12()0,()0P A P A >>,且12,A A 是对立事件.【相关知识点】条件概率公式:()(|)()P AB P B A P A =. 三、(本题满分6分)【解析】(1) 由于()g x 有二阶连续导数,故当0x ≠时,()f x 也具有二阶连续导数,此时,()f x '可直接计算,且()f x '连续;当0x =时,需用导数的定义求(0)f '.当0x ≠时, 22[()]()()()(1)().x x xx g x e g x e xg x g x x e f x x x ---''+-+-++'== 当0x =时,由导数定义及洛必达法则,有所以 2()()(1),0,()(0)1,0.2xxg x g x x e x x f x g x -'⎧-++≠⎪⎪'=⎨''-⎪=⎪⎩(2) ()f x '在0x =点的连续性要用定义来判定.因为在0x =处,有 而()f x '在0x ≠处是连续函数,所以()f x '在(,)-∞+∞上为连续函数. 四、(本题满分6分) 【解析】由()z f u =可得(),()z u z uf u f u x x y y∂∂∂∂''==∂∂∂∂. 在方程()()xyu u p t dt ϕ=+⎰两边分别对,x y 求偏导数,得所以()(),1()1()u p x u p y x u y u ϕϕ∂∂-==''∂-∂-.于是 ()()()()()()()01()1()z z p x p y p x p y p y p x f u x y u u ϕϕ⎡⎤∂∂'+=-=⎢⎥''∂∂--⎣⎦. 五、(本题满分6分)【分析】题的被积函数是幂函数与指数函数两类不同的函数相乘,应该用分部积分法. 【解析】方法1:因为 所以20lim ln(1)ln 2.(1)1x x x x x x xe xe dx e e e -+∞-→+∞⎡⎤=-++⎢⎥++⎣⎦⎰而 lim ln(1)lim ln (1)11x x x x xxx x x xe xe e e e e e -→+∞→+∞⎡⎤⎧⎫⎡⎤-+=-+⎨⎬⎢⎥⎣⎦++⎣⎦⎩⎭故原式ln 2=. 方法2:220001(1)(1)1x x x x x xe xe dx dx xd e e e -+∞+∞+∞-==-+++⎰⎰⎰ 六、(本题满分5分)【分析】由结论可知,若令()()x xf x ϕ=,则()()()x f x xf x ϕ''=+.因此,只需证明()x ϕ在[0,1]内某一区间上满足罗尔定理的条件.【解析】令()()x xf x ϕ=,由积分中值定理可知,存在1(0,)2η∈,使由已知条件,有1201(1)2()2()(),2f xf x dx ϕηϕη==⋅=⎰于是且()x ϕ在(,1)η上可导,故由罗尔定理可知,存在(,1)(0,1),ξη∈⊂使得()0,ϕξ'=即()()0.f f ξξξ'+=【相关知识点】1.积分中值定理:如果函数()f x 在积分区间[ ,]a b 上连续,则在[ ,]a b 上至少存在一个点ξ,使下式成立: 这个公式叫做积分中值公式. 2.罗尔定理:如果函数()f x 满足(1)在闭区间[ ,]a b 上连续; (2)在开区间()a,b 内可导;(3)在区间端点处的函数值相等,即()()f a f b =, 那么在()a,b 内至少有一点ξ(a b ξ<<),使得()0f ξ'=. 七、(本题满分6分)【分析】利用函数的单调性的判定,如果在x 的某个区间上导函数()0f x '≥,则函数()f x 单调递增,反之递减.【解析】(1)设售出商品的销售额为R ,则令0,R '=得 00p b ==>.当0p <<时,0R '>,所以随单价p 的增加,相应销售额R 也将增加.当p >时,有0R '<,所以随单价p 的增加,相应销售额R 将减少.(2)由(1)可知,当p =时,销售额R 取得最大值,最大销售额为 八、(本题满分6分) 【解析】令y z x =,则dy dz z x dx dx=+.当0x >时,原方程化为dzz xz dx +=-,dx x =-,其通解为1ln(ln z x C =-+ 或C z x=. 代回原变量,得通解(0)y C x =>.当0x <时,原方程的解与0x >时相同,理由如下: 令t x =-,于是0t >,而且从而有通解(0)y C t +=>,即(0)y C x =<.综合得,方程的通解为y C =.注:由于未给定自变量x 的取值范围,因而在本题求解过程中,引入新未知函数yz x=后得 从而,应当分别对0x >和0x <求解,在类似的问题中,这一点应当牢记. 九、(本题满分8分)【分析】本题的(1)是考查特征值的基本概念,而(2)是把实对称矩阵合同于对角矩阵的问题转化成二次型求标准形的问题,用二次型的理论与方法来处理矩阵中的问题. 【解析】(1)因为3λ=是A 的特征值,故 所以2y =.(2)由于TA A =,要2()()TTAP AP P A P ==Λ,而是对称矩阵,故可构造二次型2T x A x ,将其化为标准形Ty y Λ.即有2A 与Λ合同.亦即2T P A P =Λ.方法一:配方法.由于 22222123434558T x A x x x x x x x =++++那么,令1122334444,,,,5y x y x y x x y x ===+=即经坐标变换 有 222221234955T x A x y y y y =+++.所以,取 10000100400150001P ⎡⎤⎢⎥⎢⎥=⎢⎥-⎢⎥⎢⎥⎢⎥⎣⎦,有 211()()595T T AP AP P A P ⎡⎤⎢⎥⎢⎥==⎢⎥⎢⎥⎢⎥⎢⎥⎣⎦. 方法二:正交变换法.二次型22222123434558T x A x x x x x x x =++++对应的矩阵为其特征多项式2A 的特征值12341,1,1,9λλλλ====.由21()0E A x λ-=,即和24()0E A x λ-=,即分别求得对应1,2,31λ=的线性无关特征向量和49λ=的特征向量4(0,0,1,1)Tα=.对123,,ααα用施密特正交化方法得123,,βββ,再将4α单位化为4β,其中: 取正交矩阵则 1221119T P A P P A P -⎡⎤⎢⎥⎢⎥==⎢⎥⎢⎥⎣⎦, 即 211()()19T T AP AP P A P ⎡⎤⎢⎥⎢⎥==⎢⎥⎢⎥⎣⎦. 十、(本题满分8分)【解析】证法1: (定义法)若有一组数12,,,,,t k k k k L 使得1122()()()0,t t k k k k ββαβαβα+++++++=L (1)则因12,,,t αααL 是0AX =的解,知0(1,2,,)i A i t α==L ,用A 左乘上式的两边,有12()0t k k k k A β++++=L . (2)由于0A β≠,故120t k k k k ++++=L .对(1)重新分组为121122()0t t t k k k k k k k βααα++++++++=L L . (3) 把(2)代入(3)得 11220t t k k k ααα+++=L .由于12,,,t αααL 是基础解系,它们线性无关,故必有120,0,,0t k k k ===L . 代入(2)式得:0k =.因此向量组12,,,,t ββαβαβα+++L 线性无关.证法2: (用秩)经初等变换向量组的秩不变.把第一列的-1倍分别加至其余各列,有 因此 ()()1212,,,,,,,,.t t r r ββαβαβαβααα+++=L L由于12,,,t αααL 是基础解系,它们是线性无关的,秩()12,,,t r t ααα=L ,又β必不能由12,,,t αααL 线性表出(否则0A β=),故()12,,,,1t r t αααβ=+L . 所以 ()12,,,, 1.t r t ββαβαβα+++=+L 即向量组12,,,,t ββαβαβα+++L 线性无关. 十一、(本题满分7分)【解析】设一周5个工作日内发生故障的天数为X ,则X 服从二项分布即(5,0.2)B . 由二项分布的概率计算公式,有设一周内所获利润Y (万元),则Y 是X 的函数,且 由离散型随机变量数学期望计算公式,100.3276850.409620.05792 5.20896EY =⨯+⨯-⨯=(万元).【相关知识点】1.二项分布的概率计算公式:若(,)Y B n p ~,则{}(1)kkn kn P Y k C p p -==-, 0,1,,k n =L .2.离散型随机变量数学期望计算公式:{}1()nkk k E X xP X x ==⋅=∑.十二、(本题满分6分)【解析】一枚色子(骰子)接连掷两次,其样本空间中样本点总数为36.设事件1A =“方程有实根”,2A =“方程有重根”,则{}221404B A B C C ⎧⎫=-≥=≤⎨⎬⎩⎭.用列举法求有利于i A 的样本点个数(1,2i =),具体做法见下表:有利于的意思就是使不等式24B C ≤尽可能的成立,则需要B 越大越好,C 越小越好.当B 取遍【相关知识点】古典型概率计算公式:().i i A P A =有利于事件的样本点数样本空间的总数十三、(本题满分6分)【解析】依题意,12,,,n X X X L 独立同分布,可见22212,,,n X X X L 也独立同分布.由(1,2,3,4)k k EX a k ==及方差计算公式,有因此,根据中心极限定理的极限分布是标准正态分布,即当n 充分大时,n Z 近似服从参数为2422(,)a a a n-的正态分布.【相关知识点】1.列维-林德伯格中心极限定理,又称独立同分布的中心极限定理:设随机变量12,,,n X X X L 独立同分布,方差存在,记μ与2σ()0σ<<+∞分别是它们相同的期望和方差,则对任意实数x ,恒有 其中()x Φ是标准正态分布函数.2.方差计算公式:22()()()D X E X E X =-.。
2021年全国硕士研究生入学统一考试数学(三)试题一、选择题:1~10小题,每小题5分,共50分,下列每小题给出的四个选项中,只有一项符合题目要求的,请将所选项前的字母填在答题纸...指定位置上. (1)当0x →时,230(1)x t e dt −⎰是7x 的( )A.低阶无穷小B.等价无穷小C.高阶无穷小D.同阶但非等价无穷小【答案】C【解析】当0x →时,23670(1)2(1)~2x t x e dt x e x '⎡⎤−=−⎢⎥⎣⎦⎰,即230(1)x t e dt −⎰是7x 的高阶无穷小. 故选C.(2)函数10()1,0x e x f x x x ⎧−≠⎪=⎨⎪=⎩,,在0x =处( )A.连续且取极大值B.连续且取极小值C.可导且导数为0D.可导且导数不为0【答案】D.【解析】因为001lim ()lim 1(0)x x x e f x f x →→−===,即()f x 在0x =连续;因为200011()(0)11lim lim lim 002x x x x x e f x f e x x x x x→→→−−−−−===−−,即1(0)2f '=. 故选D.(3)设函数()ln (0)f x ax b x a =−>有2个零点,则ba的取值范围是( ) A.(,)e +∞ B.(0,)eC.10,e ⎛⎫ ⎪⎝⎭D.1,e ⎛⎫+∞ ⎪⎝⎭【答案】A.【解析】令()0b f x a x '=−=得,b x a=. ln 0b b f b b a a ⎛⎫=−< ⎪⎝⎭,则ln 1b a >,即b e a >,故选A.(4)设函数(,)f x y 可微,且2(1,)(1)x f x e x x +=+,22(,)2ln f x x x x =,则(1,1)df =( ) A.dx dy + B.dx dy − C.dy D.dy −【答案】C.【解析】等式2(1,)(1)x f x e x x +=+两端同时对x 求导可得212(1,)(1,)(1)2(1)x x x f x e e f x e x x x ''+++=+++①等式22(,)2ln f x x x x =两端同时对x 求导可得2212(,)2(,)4ln 2f x x xf x x x x x ''+=+②分别将0,1,0,1x x y y ==⎧⎧⎨⎨==⎩⎩代入①②可得1212(1,1)(1,1)1,(1,1)2(1,1)2f f f f ''''+=+=. 联立可得1212(1,1)0,(1,1)1,(1,1)(1,1)(1,1)f f df f dx f dy dy ''''===+=. 故选C.(5)二次型222123122331(,,)()()()f x x x x x x x x x =+++−−的正惯性指数与负惯性指数依次为( ) A.2,0B.1,1C.2,1D.1,2【答案】B.【解析】22221231223312122313(,,)()()()2222f x x x x x x x x x x x x x x x x =+++−−=+++, 即011121110⎛⎫ ⎪= ⎪ ⎪⎝⎭A ,故令特征多项式11121(1)(3)011λλλλλλλ−−⎛⎫ ⎪−=−−−=+−= ⎪ ⎪−−⎝⎭|E A |,可得特征值为0,1,3−,即二次型的正惯性指数为1,负惯性指数为1. 故选B.(6)设1234(,,,)αααα为4阶正交矩阵,若矩阵123T T T ⎛⎫ ⎪= ⎪ ⎪⎝⎭B ααα,111⎛⎫ ⎪= ⎪ ⎪⎝⎭β,k 表示任意常数,则线性方程组=Bx β的通解=X ( ) A.2341k +++αααα B.1342k +++αααα C.1243k +++ααααD.1234k +++αααα【答案】D.【解析】因为1234(,,,)=A αααα为4阶正交矩阵,所以向量组1234,,,αααα是一组标准正交向量组,则()3r =B . 又14243T T T ⎛⎫⎪== ⎪ ⎪⎝⎭0B ααααα,所以齐次线性方程组=0Bx 的通解为4k α.而1123212331()()11T T T ⎛⎫⎛⎫ ⎪ ⎪++=++== ⎪ ⎪ ⎪ ⎪⎝⎭⎝⎭B ααααααααβα,故线性方程组=Bx β的通解为1234k =+++x αααα,其中k 为任意常数. 故选D.(7)已知矩阵101211125−⎛⎫⎪=− ⎪ ⎪−−⎝⎭A ,若下三角可逆矩阵P 和上三角可逆矩阵Q ,使PAQ 为对角矩阵,则,P Q 可以分别为( ) A.100101010,013001001⎛⎫⎛⎫⎪ ⎪⎪ ⎪ ⎪ ⎪⎝⎭⎝⎭B.100100210,010321001⎛⎫⎛⎫⎪ ⎪− ⎪ ⎪ ⎪ ⎪−⎝⎭⎝⎭ C.100101210,013321001⎛⎫⎛⎫⎪ ⎪− ⎪ ⎪ ⎪ ⎪−⎝⎭⎝⎭D.100123010,012131001−⎛⎫⎛⎫⎪ ⎪− ⎪ ⎪ ⎪ ⎪⎝⎭⎝⎭【答案】C.【解析】101100101100(,)211010013210125001026101−−⎛⎫⎛⎫⎪ ⎪=−→−− ⎪ ⎪ ⎪ ⎪−−−⎝⎭⎝⎭A E101100013210(,)000321−⎛⎫ ⎪→−−= ⎪ ⎪−⎝⎭F P ,则100210321⎛⎫⎪=− ⎪ ⎪−⎝⎭P . 101100013010000000100101010013001001−⎛⎫⎛⎫⎪ ⎪− ⎪ ⎪⎪ ⎪⎛⎫⎛⎫→= ⎪ ⎪ ⎪ ⎪⎝⎭⎝⎭ ⎪ ⎪ ⎪ ⎪ ⎪ ⎪ ⎪ ⎪⎝⎭⎝⎭F E Q Λ,即101013001⎛⎫⎪= ⎪ ⎪⎝⎭Q . 故选C.(8)设,A B 为随机事件,且0()1P B <<,下列命题中为假命题的是( ) A.若(|)()P A B P A =,则(|)()P A B P A = B.若(|)()P A B P A >,则(|)()P A B P A > C.若(|)(|)P A B P A B >,则(|)()P A B P A > D.若(|)(|)P A A B P A A B >,则()()P A P B > 【答案】D.【解析】(())()(|)()()()()P A A B P A P A A B P A B P A P B P AB ==+−,(())()()()(|)()()()()()P A A B P AB P B P AB P A A B P A B P A B P A P B P AB −===+−.因为(|)(|)P A A B P A A B >,所以()()()P A P B P AB >−,故选D. (9)设1122(,),(,),,(,)n n X Y X Y X Y 为来自总体221212(,;,;)N μμσσρ的简单随机样本,令12θμμ=−,11n i i X X n ==∑,11ni i Y Y n ==∑,ˆX Y θ=−,则( ) A.2212ˆˆ(),()E D n σσθθθ+==B.2212122ˆˆ(),()E D n σσρσσθθθ+−==C.2212ˆˆ(),()E D nσσθθθ+≠=D.2212122ˆˆ(),()E D nσσρσσθθθ+−≠=【答案】B.【解析】因为(,)X Y 服从二维正态分布,所以,X Y 均服从二维正态分布,则 X Y −也服从二维正态分布,即12221212ˆ()()()(),2ˆ()()()()cov(,).E E X Y E X E Y D D X Y D X D Y X Y nθμμθσσρσσθ=−=−=−=+−=−=+−= 故选B.(10)设总体X 的概率分布为11{1},{2}{3}24P X P X P X θθ−+======,利用来自总体的样本值1,3,2,2,1,3,1,2可得θ的最大似然估计值为( ) A.14B.38C.12D.52【答案】A.【解析】似然函数3511()24L θθθ−+⎛⎫⎛⎫= ⎪ ⎪⎝⎭⎝⎭,取对数得11ln ()3ln 5ln 24L θθθ−+⎛⎫⎛⎫=+ ⎪ ⎪⎝⎭⎝⎭. 求导得ln ()315011d L d θθθθ=+=−+,即14θ=.故选A.二、填空题:11-16小题,每小题5分,共30分,请将答案写在答题纸指定位置上. (11)若cose y =1=.x dy dx=【答案】1sin 2e e【解析】11sinsin 2x dydy e e e dxdx e −⎛=−= ⎝.(12)5.=【答案】6.【解析】2235353311622−+==⎰⎰. (13)设平面区域D由(01)y x x π=≤≤与x 轴围成,则D 绕x 轴旋转所围成的旋转体体积为 . 【答案】4π.【解析】112220001)sin sin 24xx t V x dx x xdx tdt ππππππ======⎰⎰⎰.(14)t y t ∆=的通解为t y = .【答案】*21122y y y t t C =+=−+,C 为任意常数.【解析】*1,(),(1)((1))(1),2y C y at b t a t b t at t ==++++−+=112,,,22at a b t a b ++===−*21122y y y t t C =+=−+,C 为任意常数.(15)多项式12121()211211x x x xf x x x−=−中3x 项的系数为 . 【答案】5−. 【解析】12211211112121()1121211211211112131211211x x xx x x xf x x x x x x x x x x x x−−−−==−−−−−−−. 所以展开式中含3x 项的有33,4x x −−,即3x 项的系数为5−.(16)甲乙两个盒子中各装有2个红球和2个白球,先从甲盒中任取一球,观察颜色后放入乙盒中,再从乙盒中任取一球.令,X Y 分别表示从甲盒和乙盒中取到的红球个数,则X 和Y 的相关系数为 .【答案】15.【解析】联合分布律:(0,0)(0,1)(1,0)(1,1)0101(,)~,~~311311111055102222X Y X Y ⎛⎫⎛⎫⎛⎫⎪ ⎪ ⎪ ⎪ ⎪ ⎪ ⎪ ⎪ ⎪⎝⎭⎝⎭⎝⎭, 1111cov(,),,, 20445x X Y DX DY γρ====即. 三、解答题:17—22小题,共70分.请将解答写在答题纸指定位置上.解答应写出文字说明、证明过程或演算步骤. (17)(本题满分10分)已知101lim[arctan (1||)]x x x xα→++存在,求α的值.【答案】11()e eαπ=−. 【解析】要想极限存在,则左右极限相等,又因为101lim arctan (1||)2x x x e x παα+→⎡⎤++=+⎢⎥⎣⎦. 1011lim arctan (1||)2x x x x e παα−→⎡⎤++=−+⎢⎥⎣⎦,从而122e e ππαα+=−+,11e e απ⎛⎫=− ⎪⎝⎭. (18)(本题满分12分)求函数222(1)(,)2ln ||2x y f x y x x −+=+的极值.【答案】(1,0)−处取极小值2;1(,0)2处取极小值12ln 22−.【解析】2232210,0,x y x x y f x y f x ⎧+−−'==⎪⎪⎨⎪'==⎪⎩即22210,0.x x y y ⎧+−−=⎨=⎩得驻点(1,0)−,1(,0)2.22432(41)3(21),2,1.xx xyyy x x x x y f x y f x f x ⎧+−+−−''=⎪⎪−⎪''=⎨⎪⎪''=⎪⎩驻点(1,0)−处23,?0,1,30,0A B C AC B A ===−=>>, 故(, )f x y 在(1,0)−处取极小值2.驻点1(,0)2处224,0,4,30,0A B C AC B A ===−=>>, 故(, )f x y 在1(,0)2处取极小值12ln 22−. (19)(本题满分12分)设有界区域D 是圆221x y +=和直线y x =以及x 轴在第一象限围成的部分,计算二重积分2()22()x y De x y dxdy +−⎰⎰. 【答案】2111848e e −+.【解析】2221()22(cos sin )224001()cos22x y r Dex y d d e r dr πθθσθθ++−=⎰⎰⎰⎰221(cos sin )224001cos22r d e r dr πθθθθ+=⎰⎰21(cos sin )40cos2u d e udu πθθθθ+=⎰⎰.2211(cos sin )2(cos sin )2401(cos sin )(cos sin )(cos sin )u u ue du ue du θθθθθθθθθθ++=+++⎰⎰2(cos sin )41(cos sin )t te dt θθθθ+=+⎰22(cos sin )(cos sin )24111(cos sin )(cos sin )e e θθθθθθθθ++⎡⎤=−−⎣⎦++.。
2023年全国硕士研究生招生考试数学试题(数学三)一、选择题:1~10小题,每小题5分,共50分,下列每题给出的四个选项中,只有一个选项是符合题目要求的,请将所选选项前的字母填在答题卡指定位置.(1)已知函数(,)ln(sin )f x y y x y =+,则()(A)(0,1)(0,1)f fx y ∂∂∂∂不存在,存在(B)(0,1)(0,1)f fx y ∂∂∂∂存在,不存在(C)(0,1)(0,1)f fx y ∂∂∂∂,均存在(D)(0,1)(0,1)f fx y ∂∂∂∂,均不存在(2)函数0()(1)cos ,0x f x x x x⎧≤⎪=⎨⎪+>⎩的原函数为()(A)),0()(1)cos sin ,0x x F x x x xx ⎧⎪-≤=⎨+->⎪⎩(B))+1,0()(1)cos sin ,0x x F x x x x x⎧⎪-≤=⎨+->⎪⎩(C)),0()(1)sin cos ,0x x F x x xx x ⎧⎪≤=⎨++>⎪⎩(D))+1,0()(1)sin +cos ,0x x F x x x x x ⎧⎪≤=⎨+>⎪⎩(3)已知微分方程式0y ay by '''++=的解在(,)-∞∞上有界,则()(A)0,0a b <>(B)0,0a b >>(C)0,0a b =>(D)0,0a b =<(4)已知(1,2,)n n a b n <=L ,若级数1nn a∞=∑与1nn b∞=∑均收敛,则“级数1nn a∞=∑绝对收敛”是“级数1nn b∞=∑绝对收敛”的()(A)充分必要条件(B)充分不必要条件(C)必要不充分条件(D)既不充分也不必要条件(5)设,A B 为n 阶可逆矩阵,E 为阶单位矩阵,*M 为矩阵M 的伴随矩阵,则*0A E B ⎛⎫= ⎪⎝⎭()(A)***0*A B B A B A ⎛-⎫⎪⎝⎭(B)***0*B A A B A B ⎛-⎫⎪⎝⎭(C)***0*B A B A A B ⎛-⎫⎪⎝⎭(D)***0*A B A B B A ⎛-⎫⎪⎝⎭(6)二次型()()()222123121323(,,)4f x x x x x x x x x =+++--的规范形为()(A)2212y y +(B)2212y y -(C)2221234y y y +-(D)222123y y y +-(7)已知向量1123α⎛⎫ ⎪= ⎪ ⎪⎝⎭,2211α⎛⎫ ⎪= ⎪ ⎪⎝⎭,1259β⎛⎫ ⎪= ⎪ ⎪⎝⎭,2101β⎛⎫⎪= ⎪ ⎪⎝⎭,若γ既可由12,αα线性表示,也可由与12,ββ线性表示,则γ=()(A)33,4k k R ⎛⎫ ⎪∈ ⎪⎪⎝⎭(B)35,10k k R ⎛⎫ ⎪∈ ⎪⎪⎝⎭(C)11,2k k R -⎛⎫ ⎪∈ ⎪⎪⎝⎭(D)15,8k k R ⎛⎫ ⎪∈ ⎪⎪⎝⎭(8)设随机变量X 服从参数为1的泊松分布,则()E X EX -=()(A)1e(B)12(C)2e(D)1(9)设12,,,n X X X L 为来自总体21(,)N μσ的简单随机样本,12,,,m Y Y Y L 为来自总体22(,2)N μσ的简单随机样本,且两样本相互独立,记11n i i X X n ==∑,11m i i Y Y m ==∑,22111(1n i i S X X n ==--∑,22211(1mi i S Y Y m ==--∑,则()(A)2122(,)S F n m S :(B)2122(1,1)S F n m S --:(C)21222(,)S F n m S :(D)21222(1,1)S F n m S --:(10)设12,X X 为来自总体()2,Nμσ的简单随机样本,其中()0σσ>是未知参数,记12ˆa x x σ=-,若()ˆE σσ=,则a =()(A)2(B)2(C)(D)二、填空题:11~16小题,每小题5分,共30分.(11)2_11l _im o ____(2si s __nc x x x x x→∞--=.(12)已知函数os p 满足22(,)xdy ydx df x y x y -=+,()1,14f π=,则)f =.(13)()2n=02!nx n ∞=∑.(14)设某公司在t 时刻的资产为()f t ,从0时刻到t 时刻的平均资产等于()f t t t-.假设()f t 连续且()00f =,则()f t =.(15)已知线性方程组13123123121202ax x x ax x x x ax ax bx +=⎧⎪++=⎪⎨++=⎪⎪+=⎩有解,其中,a b 为常数,若0111412a a a=,则11120a a ab =.(16)设随机变量X 与Y 相互独立,且()1,X B p :,()2,Y B p :,(0,1)p ∈,则X Y +与X Y -的相关系数为.三、解答题:17~22小题,共70分.解答应写出文字说明、证明过程或演算步骤.(17)(本题满分10分)已知可导函数()y y x =满足2ln(1)cos 0,xae y y x y b ++-++=且(0)0,(0)0y y '==.(Ⅰ)求,a b 的值.(Ⅱ)判断0x =是否为()y x 的极值点.(18)(12分)已知平面区域(),01D x y y x ⎧⎫⎪⎪=≤≤≥⎨⎬⎪⎪⎩⎭(Ⅰ)求D 的面积.(Ⅱ)求D 绕x 轴旋转所成旋转体的体积.(19)(12分)已知平面区域22{(,)(1)1}D x y x y =-+≤,计算二重积分1Ddxdy .(20)(12分)设函数()f x 在[],a a -上具有2阶连续倒数,证明:(Ⅰ)若(0)0f =,则存在(,)a a ξ∈-,使得[]21()()()ξ''=+-f f a f a a.(Ⅱ)若()f x 在(,)a a -内取得极值,则存在(,)a a η∈-使得21()()()2f f a f a aη''≥--.(21)(12分)设矩阵A 满足对任意123,,x x x 均有112321233232--x x x x A x x x x x x x ++⎛⎫⎛⎫ ⎪ ⎪=+ ⎪ ⎪ ⎪ ⎪⎝⎭⎝⎭.(I)求A .(II)求可逆矩阵P 与对角矩阵Λ,使得1-=ΛP AP .(22)(12分)设随机变量X 的概率密度为2(),,(1)xx e f x x e =-<<+∞+∞令.x Y e =(Ⅰ)求X 的分布函数(Ⅱ)求Y 的概率密度(Ⅲ)Y 的期望是否存在?2023年答案及解析(数学三)一、选择题:1~10小题,每小题5分,共50分,下列每题给出的四个选项中,只有一个选项是符合题目要求的,请将所选选项前的字母填在答题卡指定位置.(1)【答案】(A)【解析】(0,1)0=f ,由偏导数的定义000(0,1)ln(1sin1)(,1)(0,1)lim lim sin1lim →→→+∂-===∂x x x x x f f x f x x xx ,因为0lim 1+→=x x x,0lim 1-→=-x x x ,所以(0,1)∂∂fx 不存在,111(0,1)(0,)(0,1)ln 1lim lim lim 1111→→→∂--====∂---y y y f f y f y y y y y y ,所以(0,1)∂∂fy 存在.(2)【答案】(D)【解析】当0≤x时,1()ln(==+⎰f x dx x C 当0>x 时,()(1)cos (1)sin (1)sin sin =+=+=+-⎰⎰⎰⎰f x dx x xdx x d x x x xdx2(1)sin cos =+++x x x C 原函数在(,)-∞+∞内连续,则在0=x处110lim ln(-→++=x x C C ,22lim(1)sin cos 1+→+++=+x x x x C C 所以121=+C C ,令2=C C ,则11=+C C,故ln(1,0()(1)sin cos ,0⎧⎪++≤=⎨+++>⎪⎩⎰x C x f x dx x x x C x ,结合选项,令0=C ,则()f x的一个原函数为)1,0().(1)sin cos ,0⎧⎪++≤=⎨++>⎪⎩x x F x x x x x (3)【答案】(C)【解析】微分方程0'''++=y ay by 的特征方程为20++=a b λλ,当240∆=->a b 时,特征方程有两个不同的实根12,λλ,则12,λλ至少有一个不等于零,若12,C C 都不为零,则微分方程的解1212--=+xx y C eC e λλ在(,)-∞+∞无界;当240∆=-=a b 时,特征方程有两个相同的实根,1,22=-aλ,若20≠C ,则微分方程的解2212--=+a x a x y C eC xe 在(,)-∞+∞无界;当240∆=-<a b时,特征方程的根为1,222=-±a i λ,则通解为212(cos sin )22-=+a x y eC x C x ,此时,要使微分方程的解在(,)-∞+∞有界,则0=a ,再由240∆=-<a b ,知0.>b (4)【答案】(A)【解析】由条件知1()nn n ba ∞=-∑为收敛的正项级数,进而绝对收敛;设1nn a∞=∑绝对收敛,则由n n n n n n n b b a a b a a =-+≤-+与比较判别法,得1nn b∞=∑绝对收敛;设1nn b∞=∑绝对收敛,则由n n n n n n n a a b b b a b =-+≤-+与比较判别法,得1nn a∞=∑绝对收敛.(5)【答案】(B)【解析】结合伴随矩阵的核心公式,代入(B)计算知*********A EB A A B B AA AA B A B O B OA B O A BB ⎛⎫⎛⎫--+⎛⎫= ⎪ ⎪ ⎪ ⎪ ⎪⎝⎭⎝⎭⎝⎭**B A EOB A E A B A B A B E OA B E OA B E ⎛⎫⎛⎫-+=== ⎪⎪⎝⎭⎝⎭,故(B)正确.(6)【答案】(B)【解析】由已知()222123123121323,,233228f x x x x x x x x x x x x =--+++,则其对应的矩阵211134143A ⎛⎫ ⎪=- ⎪⎪-⎝⎭由()()211134730143E A λλλλλλλ----=-+-=+-=--+,得A 的特征值为3,7,0-故选(B).(7)【答案】(D)【解析】设11221122r x x y y ααββ=+=+则112211220x x y y ααββ+--=又()121212211003,,,2150010131910011ααββ--⎛⎫⎛⎫ ⎪ ⎪--=-→- ⎪ ⎪⎪ ⎪--⎝⎭⎝⎭故()()1212,,,3,1,1,1,TTx x y y c c R=--∈所以()()()121,5,81,5,81,5,8,TTTr c c c c k k R ββ=-+=---=-=∈(8)【答案】(C)【解析】法一:由题可知1EX =,所以1,0||1,1,2,X X EX X X =⎧-=⎨-=⎩L,故,1||1{0}(1){}k E X EX P X k P X k ∞=-=⋅=+-=∑01(1){}(01){0}k k P X k P X e ∞==+-=--=∑112(1)(01)E X e e e=+---=,选(C )法二:随机变量X 服从参数为1泊松分布,即()()110,1,2,...!P X k e k k -===期望()1E X =()()()()111111111101...1..0!1!2!!E X E X E X e e k e k -----=-=⋅+⋅+⋅++-⋅+()()111111112222211111!!!1!!k k k k k k e k e e e e e e e k k k k k ∞∞∞∞∞--------======+-⋅=+-=+--∑∑∑∑∑()()11111112e e e e e e ----=+----=选(C).(9)【答案】(D)【解析】12,,...,n X X X 的样本方差()221111n i i S X Xn ==--∑12,,...,n Y Y Y 的样本方差()222111mi i S Y Y m ==--∑则()()221211n S n χσ--:()()2222112m S m χσ--:,两个样本相互独立所以()()()()()21222211222212221121,11212n S n S S F n m m S S S m σσσσ--==----:选择(D).(10)【答案】(A)【解析】由题可知212~(0,2)X X N σ-.令12Y X X =-,则Y 的概率密度为2222()y f y σ-⋅=.22222240(||)||y y E Y y dy yedy σσ--+∞+∞⋅-∞===⎰⎰,12(||)(||)E a X X aE Y -==.由ˆ()E σσ=,得2a =.选(A).二、填空题:11~16小题,每小题5分,共30分.(11)【答案】23.【解析】2233221111111lim (2sincos 2(())(1())62x x x x x x x x x x x x οο→∞⎡⎤--=--+--+⎢⎥⎣⎦22221112(623x x xx ο⎡⎤=++=⎢⎥⎣⎦.(12)【答案】3π.【解析】由题意可得22(,),x y f x y x y -'=+则1(,)arctan ()arctan ()x xf x y y c y c y y y y=-⋅⋅+=-+,又因为22(,)y x f x y x y '=+可得()c y c '=,由(1,1)4f π=可得2c π=,即(,)arctan 2xf x y y π=-+,即3f π=.(13)【答案】1122x xe e -+【解析】令20()(2)!n n x s x n ∞==∑,则211()(21)!n n x s x n -∞='=-∑,22210()()(22)!(2)!n nn n x x s x s x n n -∞∞==''===-∑∑.即有()()0s x s x ''-=,解得12()x x s x C e C e -=+.又由(0)1,(0)0s s '==有121C C +=,120C C -=,解得1212C C ==.故11()22x x s x e e -=+.(14)【答案】222te t --【解析】由题意可得方程()()tf x dx f t t tt=-⎰,即20()()t f x dx f t t =-⎰.两边同时t 对求导得()()2f t f t t '=-,即()()2f t f t t '-=.由一阶线性微分方程通解公式有:11()2dt dtf t e te dt C -⎛⎫⎰⎰=+ ⎪⎝⎭⎰()2tte tedt C-=+⎰()22t te t e C -⎡⎤=-++⎣⎦22t Ce t =--.又由于(0)0f =,则20C -=,即2C =.故()222tf t e t =--.(15)【答案】8【解析】由已知()(),34r A r A b =≤<,故,0A b =即()()1444011110111110,1112211112240120012002a a a a a Ab a a a a a baa ba b++==⋅-+⋅-=-+⋅=故111280a a a b=.(16)【答案】13-【解析】因为()1,X B p ~,所以(1)DX p p =-.因为()2,Y B p ~,所以2(1)DY p p =-.ov(,)ov(,)ov(,)C X Y X Y C X Y X C X Y Y +-=+-+ov(,)ov(,)ov(,)ov(,)C X X C Y X C X Y C Y Y =+--(1)2(1)(1)DX DY p p p p p p =-=---=--因为X 与Y 相互独立,所以()3(1)D X Y DX DY p p +=+=-,()3(1)D X Y DX DY p p -=+=-故13ρ==-三、解答题:17~22小题,共70分.解答应写出文字说明、证明过程或演算步骤.(17)【解析】(1)在题设方程两边同时对x 求导得,cos 2ln(1)sin 01x yae y y y x y y x'''+⋅+-++⋅⋅=+①将0x =,0y =代入题设方程得,0a b +=;将0x =,0y =,(0)0y '=代入①式得,10a -=综上:1a =,1b =-.(2)在等式①两边再对x 求导得,()22sin (1)cos 2()2ln(1)sin 0(1)x y y x yae y y y y x y y x '-⋅⋅+-'''''''++⋅+-++⋅⋅=+②将0x =,0y =,(0)0y '=代入②式得,(0)12y a ''=--=-.由于(0)0y '=,(0)2y ''=-,故0x =是()y x 的极大值点.(18)【解析】(1)面积2tan 2221444sec csc ln csc cot ln(1tan sec x ttS dt tdt t tt t ππππππ=+∞====-=+⋅⎰⎰⎰.(2)旋转体体积为2222211111111arctan (1)(1)14x V y dx dx dx x x x x x x ππππππ+∞+∞+∞+∞⎛⎫⎛⎫===-=--=- ⎪ ⎪++⎝⎭⎝⎭⎰⎰⎰.(19)【解析】本题目先利用奇偶对称性化简,再切割积分区域,把积分区域分为三块,分别采用极坐标进行计算:σσσσσd y x d y x d y x d y x d y x D D D D D D D 1212121213213212222222222-+++-++-=-+=-+⎰⎰⎰⎰⎰⎰⎰⎰⎰⎰++分别采用极坐标进行计算:18613)1(13010221ππθσπ=⋅=-=+-⎰⎰⎰⎰dr r r d d y x D 3439166cos 38cos 2)1(1233223cos 20222+-=-=-=+-⎰⎰⎰⎰⎰ππππθπθθθθσd dr r r d d y x D 18334361cos 2cos 38)1(1302330cos 21223ππθθθθσππθ+-=+-=-=-+⎰⎰⎰⎰⎰d dr r r d d y x D 所以:33932121212132122222222++-=-+++-++-=-+⎰⎰⎰⎰⎰⎰⎰⎰πσσσσd y x d y x d y x d y x D D D D (20)【解析】(1)证明:22()()()(0)(0)(0),02!2!f f f x f f x x f x x x ηηη''''''=++=+介于与之间,则211()()(0),02!f f a f a a a ηη'''=+<<①()222()()(0),02!f f a f a a a ηη'''-=-+-<<②①+②得:[]212()()()()2a f a f a f f ηη''''+-=+③又()f x ''在[]21,ηη上连续,则必有最大值M 与最小值m ,即()()12;;m f M m f M ηη''''≤≤≤≤从而()()12;2f f m M ηη''''+≤≤由介值定理得:存在[]()21,,a a ξηη∈⊂-,有()()()122f f f ηηξ''''+''=,代入③得:()2()(),f a f a a f ξ''+-=即()2()()f a f a f aξ+-''=.(2)证明:设()0(),f x x x a a =∈-在取极值,且0()f x x x =在可导,则0()0f x '=.又()()()22000000()()()()()(),02!2!f f f x f x f x x x x x f x x x x γγγ'''''=+-+-=+-介于与之间,则()21001()()(),02!f f a f x a x a γγ''-=+---<<()22002()()(),02!f f a f x a x aγγ''=+-<<从而()()()()22020111()()22f a f a a x f a x f γγ''''--=--+()()()()2202011122a x f a x f γγ''''≤-++又()f x ''连续,设(){}()12max ,M f f γγ''''=,则()()()222200011()()22f a f a M a x M a x M a x --≤++-=+又()0,x a a ∈-,则()2220()()2f a f a M a x Ma --≤+≤,则21()()2M f a f a a ≥--,即存在()12,a a ηγηγ==∈-或,有()21()()2f f a f a a η''≥--(21)【解析】(I)因为112312123232331112211011x x x x x A x x x x x x x x x ++⎛⎫⎛⎫⎛⎫⎛⎫⎪ ⎪ ⎪⎪=-+=- ⎪ ⎪ ⎪⎪ ⎪ ⎪ ⎪⎪--⎝⎭⎝⎭⎝⎭⎝⎭对任意的1x ,2x ,3x 均成立,所以111211011A ⎛⎫⎪=- ⎪ ⎪-⎝⎭(II)1111111211(1)21111011E A λλλλλλλλ---+----=-+-=-⋅+⋅-+-+-+2(1)(2)2(2)(2)(2)(1)0λλλλλλλ=-+-+=+-+=.所以A 的特征值为1232,2,1λλλ=-==-.12λ=-时,1311100211011011000E A λ---⎛⎫⎛⎫ ⎪ ⎪-=---→ ⎪ ⎪⎪ ⎪--⎝⎭⎝⎭,可得特征向量1(0,1,1)Tα=-;22λ=时,2111104231013013000E A λ---⎛⎫⎛⎫ ⎪ ⎪-=--→- ⎪ ⎪ ⎪ ⎪-⎝⎭⎝⎭,可得特征向量2(4,3,1)T α=;31λ=-时,3211201201010010000E A λ---⎛⎫⎛⎫ ⎪ ⎪-=--→ ⎪ ⎪ ⎪ ⎪-⎝⎭⎝⎭,可得特征向量3(1,0,2)T α=-;令123041(,,)130112P ααα⎛⎫ ⎪==- ⎪ ⎪-⎝⎭,则1200020001P AP --⎛⎫ ⎪= ⎪ ⎪-⎝⎭.(22)【解析】(I )21(),(1)11xx x x x x x e e F x dx x R e e e -∞-∞==-=∈+++⎰(II )【法一】分布函数法(){}{}X Y F y P Y y P e y =≤=≤当0y <时,()0Y F y =;当0y ≥时,(){ln }(ln )1Y y F y P X y F y y=≤==+;所以Y 的概率密度为21,0(1)()0,Y y y f y ⎧>⎪+=⎨⎪⎩其他.【法二】公式法因为xy e =在(,)-∞+∞上单调且处处可导,当(,)x ∈-∞+∞,0y >,此时ln x y =,所以Y 的概率密度为ln 2ln 211,0,0(ln )(ln ),0(1)()(1)0,0,0,y y Y e y y f y y y y f y e y ⎧⎧>'⋅>>⎧⎪⎪+===+⎨⎨⎨⎩⎪⎪⎩⎩其他其他其他.(III )2001ln(1)(1)1y EY dy y y y +∞+∞⎛⎫==++=∞ ⎪++⎝⎭⎰,所以不存在.。
年全国硕士研究生入学统一考试数学三试题一、 填空题(本题共小题,每小题分,满分分. 把答案填在题中横线上)()设,0,0,0,1cos )(=≠⎪⎩⎪⎨⎧=x x xx x f 若若λ其导函数在处连续,则λ的取值范围是. ()已知曲线b x a x y +-=233与轴相切,则2b 可以通过表示为=2b .()设>,,x a x g x f 其他若,10,0,)()(≤≤⎩⎨⎧==而表示全平面,则⎰⎰-=Ddxdy x y g x f I )()(.()设维向量0,),0,,0,(<=a a a T α;为阶单位矩阵,矩阵 T E A αα-=, T aE B αα1+=, 其中的逆矩阵为,则.()设随机变量 和的相关系数为, 若4.0-=X Z ,则与的相关系数为.()设总体服从参数为的指数分布,n X X X ,,,21 为来自总体的简单随机样本,则当∞→n 时,∑==ni i n X n Y 121依概率收敛于.二、选择题(本题共小题,每小题分,满分分. 每小题给出的四个选项中,只有一项符合题目要求,把所选项前的字母填在题后的括号内)()设()为不恒等于零的奇函数,且)0(f '存在,则函数xx f x g )()(=() 在处左极限不存在. () 有跳跃间断点.() 在处右极限不存在. () 有可去间断点. [ ] ()设可微函数()在点),(00y x 取得极小值,则下列结论正确的是() ),(0y x f 在0y y =处的导数等于零. ()),(0y x f 在0y y =处的导数大于零.() ),(0y x f 在0y y =处的导数小于零. () ),(0y x f 在0y y =处的导数不存在. [ ] ()设2nn n a a p +=,2nn n a a q -=, ,2,1=n ,则下列命题正确的是() 若∑∞=1n na条件收敛,则∑∞=1n np与∑∞=1n nq都收敛.() 若∑∞=1n na绝对收敛,则∑∞=1n np与∑∞=1n nq都收敛.() 若∑∞=1n na条件收敛,则∑∞=1n np与∑∞=1n nq敛散性都不定.() 若∑∞=1n na绝对收敛,则∑∞=1n np与∑∞=1n nq敛散性都不定. [ ]()设三阶矩阵⎥⎥⎥⎦⎤⎢⎢⎢⎣⎡=a b b b a b b b a A ,若的伴随矩阵的秩为,则必有 () 或. () 或≠.() ≠且. () ≠且≠. [ ] ()设s ααα,,,21 均为维向量,下列结论不正确的是() 若对于任意一组不全为零的数s k k k ,,,21 ,都有02211≠+++s s k k k ααα ,则s ααα,,,21 线性无关.() 若s ααα,,,21 线性相关,则对于任意一组不全为零的数s k k k ,,,21 ,都有.02211=+++s s k k k ααα() s ααα,,,21 线性无关的充分必要条件是此向量组的秩为.() s ααα,,,21 线性无关的必要条件是其中任意两个向量线性无关. [ ]()将一枚硬币独立地掷两次,引进事件:1A {掷第一次出现正面},2A {掷第二次出现正面},3A {正、反面各出现一次},4A {正面出现两次},则事件() 321,,A A A 相互独立. () 432,,A A A 相互独立.() 321,,A A A 两两独立. () 432,,A A A 两两独立. [ ] 三、(本题满分分) 设).1,21[,)1(1sin 11)(∈--+=x x x x x f πππ 试补充定义()使得()在]1,21[上连续.四 、(本题满分分)设()具有二阶连续偏导数,且满足12222=∂∂+∂∂v f u f ,又)](21,[),(22y x xy f y x g -=,求.2222y gx g ∂∂+∂∂ 五、(本题满分分) 计算二重积分 .)sin(22)(22dxdy y x e I Dy x +=⎰⎰-+-π其中积分区域}.),{(22π≤+y x y x六、(本题满分分)求幂级数∑∞=<-+12)1(2)1(1n nnx n x 的和函数()及其极值.七、(本题满分分)设()()(), 其中函数()()在),(+∞-∞内满足以下条件:)()(x g x f =',)()(x f x g =',且(), .2)()(x e x g x f =+ (1) 求()所满足的一阶微分方程; (2) 求出()的表达式. 八、(本题满分分)设函数()在[,]上连续,在(,)内可导,且()()(), ().试证必存在)3,0(∈ξ,使.0)(='ξf 九、(本题满分分) 已知齐次线性方程组⎪⎪⎪⎩⎪⎪⎪⎨⎧=+++++=+++++=+++++=+++++,0)(,0)(,0)(,0)(332211332211332211332211nn nn n n n n x b a x a x a x a x a x b a x a x a x a x a x b a x a x a x a x a x b a 其中.01≠∑=ni ia试讨论n a a a ,,,21 和满足何种关系时,() 方程组仅有零解;() 方程组有非零解. 在有非零解时,求此方程组的一个基础解系. 十、(本题满分分) 设二次型)0(222),,(31232221321>+-+==b x bx x x ax AX X x x x f T ,中二次型的矩阵的特征值之和为,特征值之积为. (1) 求的值;(2) 利用正交变换将二次型化为标准形,并写出所用的正交变换和对应的正交矩阵. 十一、(本题满分分) 设随机变量的概率密度为;],8,1[,0,31)(32其他若∈⎪⎩⎪⎨⎧=x x x f()是的分布函数. 求随机变量()的分布函数.十二、(本题满分分)设随机变量与独立,其中的概率分布为⎪⎪⎭⎫⎝⎛7.03.021~X ,而的概率密度为(),求随机变量的概率密度().年考研数学(三)真题解析一、填空题(本题共小题,每小题分,满分分. 把答案填在题中横线上)()设,0,0,0,1cos )(=≠⎪⎩⎪⎨⎧=x x xx x f 若若λ其导函数在处连续,则λ的取值范围是2>λ. 【分析】 当≠x 可直接按公式求导,当时要求用定义求导.【详解】 当1>λ时,有,0,0,0,1sin 1cos )(21=≠⎪⎩⎪⎨⎧+='--x x xx x x x f 若若λλλ 显然当2>λ时,有)0(0)(lim 0f x f x '=='→,即其导函数在处连续.()已知曲线b x a x y +-=233与轴相切,则2b 可以通过表示为=2b 64a .【分析】 曲线在切点的斜率为,即0='y ,由此可确定切点的坐标应满足的条件,再根据在切点处纵坐标为零,即可找到2b 与的关系.【详解】 由题设,在切点处有03322=-='a x y ,有 .220a x =又在此点坐标为,于是有0300230=+-=b x a x ,故 .44)3(6422202202a a a x a x b =⋅=-=【评注】 有关切线问题应注意斜率所满足的条件,同时切点还应满足曲线方程. ()设>,,x a x g x f 其他若,10,0,)()(≤≤⎩⎨⎧==而表示全平面,则⎰⎰-=Ddxdy x y g x f I )()( 2a .【分析】 本题积分区域为全平面,但只有当10,10≤-≤≤≤x y x 时,被积函数才不为零,因此实际上只需在满足此不等式的区域内积分即可.【详解】 ⎰⎰-=Ddxdyx y g x f I )()(dxdy ax y x ⎰⎰≤-≤≤≤10,102.])1[(212112adx x x ady dx ax x=-+=⎰⎰⎰+【评注】 若被积函数只在某区域内不为零,则二重积分的计算只需在积分区域与被积函数不为零的区域的公共部分上积分即可.()设维向量0,),0,,0,(<=a a a T α;为阶单位矩阵,矩阵 T E A αα-=, T aE B αα1+=, 其中的逆矩阵为,则 .【分析】 这里T αα为阶矩阵,而22a T =αα为数,直接通过E AB =进行计算并注意利用乘法的结合律即可.【详解】 由题设,有)1)((T T a E E AB αααα+-= T T T T a a E αααααααα⋅-+-11T T T T a a E αααααααα)(11-+-T T T a a E αααααα21-+-E aa E T =+--+αα)121(,于是有 0121=+--aa ,即 0122=-+a a ,解得 .1,21-==a a 由于< ,故.()设随机变量 和的相关系数为, 若4.0-=X Z ,则与的相关系数为 .【分析】 利用相关系数的计算公式即可. 【详解】 因为)4.0()()]4.0([()4.0,cov(),cov(---=-=X E Y E X Y E X Y Z Y )(4.0)()()(4.0)(Y E X E Y E Y E XY E +-- () – ()()(), 且.DX DZ =于是有 ()DZDY Z Y ),cov(.9.0),cov(==XY DYDX Y X ρ【评注】 注意以下运算公式:DX a X D =+)(,).,cov(),cov(Y X a Y X =+()设总体服从参数为的指数分布,n X X X ,,,21 为来自总体的简单随机样本,则当∞→n 时,∑==ni i n X n Y 121依概率收敛于 21 .【分析】 本题考查大数定律:一组相互独立且具有有限期望与方差的随机变量n X X X ,,,21 ,当方差一致有界时,其算术平均值依概率收敛于其数学期望的算术平均值:).(1111∞→→∑∑==n EX n X n ni i pn i i【详解】 这里22221,,,nX X X 满足大数定律的条件,且22)(i i i EX DX EX +=21)21(412=+,因此根据大数定律有 ∑==n i i n X n Y 121依概率收敛于.21112=∑=n i i EX n二、选择题(本题共小题,每小题分,满分分. 每小题给出的四个选项中,只有一项符合题目要求,把所选项前的字母填在题后的括号内)()设()为不恒等于零的奇函数,且)0(f '存在,则函数xx f x g )()(=() 在处左极限不存在. () 有跳跃间断点.() 在处右极限不存在. () 有可去间断点. [ ] 【分析】 由题设,可推出() , 再利用在点处的导数定义进行讨论即可. 【详解】 显然为()的间断点,且由()为不恒等于零的奇函数知,(). 于是有 )0(0)0()(lim )(lim)(lim 00f x f x f x x f xg x x x '=--==→→→存在,故为可去间断点. 【评注】 本题也可用反例排除,例如(), 则此时(),0,0,0,1=≠⎩⎨⎧=x x x x 可排除(),(),() 三项,故应选().【评注】 若()在0x x =处连续,则.)(,0)()(lim000A x f x f A x x x f x x ='=⇔=-→.()设可微函数()在点),(00y x 取得极小值,则下列结论正确的是() ),(0y x f 在0y y =处的导数等于零. ()),(0y x f 在0y y =处的导数大于零. () ),(0y x f 在0y y =处的导数小于零. () ),(0y x f 在0y y =处的导数不存在. [ ] 【分析】 可微必有偏导数存在,再根据取极值的必要条件即可得结论.【详解】 可微函数()在点),(00y x 取得极小值,根据取极值的必要条件知0),(00='y x f y ,即),(0y x f 在0y y =处的导数等于零, 故应选().【评注】 本题考查了偏导数的定义,),(0y x f 在0y y =处的导数即),(00y x f y ';而),(0y x f 在0x x =处的导数即).,(00y x f x '【评注】 本题也可用排除法分析,取22),(y x y x f +=,在()处可微且取得极小值,并且有2),0(y y f =,可排除(),(),(), 故正确选项为().()设2nn n a a p +=,2nn n a a q -=, ,2,1=n ,则下列命题正确的是() 若∑∞=1n na条件收敛,则∑∞=1n np与∑∞=1n nq都收敛.() 若∑∞=1n na绝对收敛,则∑∞=1n np与∑∞=1n nq都收敛.() 若∑∞=1n na条件收敛,则∑∞=1n np与∑∞=1n nq敛散性都不定.() 若∑∞=1n na绝对收敛,则∑∞=1n np与∑∞=1n nq敛散性都不定. [ ]【分析】 根据绝对收敛与条件收敛的关系以及收敛级数的运算性质即可找出答案. 【详解】 若∑∞=1n na绝对收敛,即∑∞=1n na收敛,当然也有级数∑∞=1n na收敛,再根据2nn n a a p +=,2nn n a a q -=及收敛级数的运算性质知,∑∞=1n np与∑∞=1n nq都收敛,故应选().()设三阶矩阵⎥⎥⎥⎦⎤⎢⎢⎢⎣⎡=a b b b a b b b a A ,若的伴随矩阵的秩为,则必有 () 或. () 或≠.() ≠且. () ≠且≠. [ ]【分析】 的伴随矩阵的秩为, 说明的秩为,由此可确定应满足的条件. 【详解】 根据与其伴随矩阵*秩之间的关系知,秩(),故有0))(2(2=-+=b a b a ab b b a b bb a ,即有02=+b a 或.但当时,显然秩()2≠, 故必有 ≠且. 应选().【评注】 ()2≥阶矩阵与其伴随矩阵*的秩之间有下列关系:.1)(,1)(,)(,0,1,*)(-<-==⎪⎩⎪⎨⎧=n A r n A r n A r n A r()设s ααα,,,21 均为维向量,下列结论不正确的是() 若对于任意一组不全为零的数s k k k ,,,21 ,都有02211≠+++s s k k k ααα ,则s ααα,,,21 线性无关.() 若s ααα,,,21 线性相关,则对于任意一组不全为零的数s k k k ,,,21 ,都有.02211=+++s s k k k ααα() s ααα,,,21 线性无关的充分必要条件是此向量组的秩为.() s ααα,,,21 线性无关的必要条件是其中任意两个向量线性无关. [ ]【分析】 本题涉及到线性相关、线性无关概念的理解,以及线性相关、线性无关的等价表现形式. 应注意是寻找不正确的命题.【详解】(): 若对于任意一组不全为零的数s k k k ,,,21 ,都有02211≠+++s s k k k ααα ,则s ααα,,,21 必线性无关,因为若s ααα,,,21 线性相关,则存在一组不全为零的数s k k k ,,,21 ,使得 02211=+++s s k k k ααα ,矛盾. 可见()成立.(): 若s ααα,,,21 线性相关,则存在一组,而不是对任意一组不全为零的数s k k k ,,,21 ,都有.02211=+++s s k k k ααα ()不成立.() s ααα,,,21 线性无关,则此向量组的秩为;反过来,若向量组s ααα,,,21 的秩为,则s ααα,,,21 线性无关,因此()成立.() s ααα,,,21 线性无关,则其任一部分组线性无关,当然其中任意两个向量线性无关,可见()也成立.综上所述,应选().【评注】 原命题与其逆否命题是等价的. 例如,原命题:若存在一组不全为零的数s k k k ,,,21 ,使得02211=+++s s k k k ααα 成立,则s ααα,,,21 线性相关. 其逆否命题为:若对于任意一组不全为零的数s k k k ,,,21 ,都有02211≠+++s s k k k ααα ,则s ααα,,,21 线性无关. 在平时的学习过程中,应经常注意这种原命题与其逆否命题的等价性.()将一枚硬币独立地掷两次,引进事件:1A {掷第一次出现正面},2A {掷第二次出现正面},3A {正、反面各出现一次},4A {正面出现两次},则事件() 321,,A A A 相互独立. () 432,,A A A 相互独立.() 321,,A A A 两两独立. () 432,,A A A 两两独立. [ ]【分析】按照相互独立与两两独立的定义进行验算即可,注意应先检查两两独立,若成立,再检验是否相互独立.【详解】 因为21)(1=A P ,21)(2=A P ,21)(3=A P ,41)(4=A P ,且 41)(21=A A P ,41)(31=A A P ,41)(32=A A P ,41)(42=A A P 0)(321=A A A P ,可见有)()()(2121A P A P A A P =,)()()(3131A P A P A A P =,)()()(3232A P A P A A P =,)()()()(321321A P A P A P A A A P ≠,)()()(4242A P A P A A P ≠.故321,,A A A 两两独立但不相互独立;432,,A A A 不两两独立更不相互独立,应选().【评注】 本题严格地说应假定硬币是均匀的,否则结论不一定成立.三 、(本题满分分) 设).1,21[,)1(1sin 11)(∈--+=x x x x x f πππ 试补充定义()使得()在]1,21[上连续.【分析】 只需求出极限)(lim 1x f x -→,然后定义()为此极限值即可. 【详解】 因为)(lim 1x f x -→])1(1sin 11[lim 1x x x x --+-→πππxx xx x πππππsin )1(sin )1(lim 111---+-→xx x xx ππππππππcos )1(sin cos lim 111-+---+-→xx x x xx ππππππππππsin )1(cos cos sin lim 11221----+-→.1π由于()在)1,21[上连续,因此定义π1)1(=f ,使()在]1,21[上连续.【评注】 本题实质上是一求极限问题,但以这种形式表现出来,还考查了连续的概念.在计算过程中,也可先作变量代换,转化为求+→0y 的极限,可以适当简化.四 、(本题满分分)设()具有二阶连续偏导数,且满足12222=∂∂+∂∂v f u f ,又)](21,[),(22y x xy f y x g -=,求.2222ygx g ∂∂+∂∂【分析】 本题是典型的复合函数求偏导问题:),(v u f g =,)(21,22y x v xy u -==,直接利用复合函数求偏导公式即可,注意利用.22uv fv u f ∂∂∂=∂∂∂【详解】vfxu f y x g ∂∂+∂∂=∂∂, .vf y u f x yg ∂∂-∂∂=∂∂ 故 v f vf x v u f xy u f y xg ∂∂+∂∂+∂∂∂+∂∂=∂∂2222222222, .2222222222vf v f y u v f xy u f x yg ∂∂-∂∂+∂∂∂-∂∂=∂∂所以 222222222222)()(vf y x u f y x yg x g ∂∂++∂∂+=∂∂+∂∂ .22y x +【评注】 本题考查半抽象复合函数求二阶偏导. 五 、(本题满分分) 计算二重积分 .)sin(22)(22dxdy y x e I Dy x +=⎰⎰-+-π其中积分区域}.),{(22π≤+y x y x【分析】 从被积函数与积分区域可以看出,应该利用极坐标进行计算.【详解】 作极坐标变换:θθsin ,cos r y r x ==,有 dxdy y x e e I Dy x)sin(22)(22+=⎰⎰+-π.sin 2022dr r re d e r ⎰⎰-πππθ令2r t =,则tdt e e I t sin 0⎰-=πππ.记 tdt e A t sin 0⎰-=π,则t t de e A --⎰-=int 0π]cos sin [0⎰----ππtdt e t e t t⎰--πcos t tde]sin cos [0tdt e t e t t ⎰--+-ππ.1A e -+-π 因此 )1(21π-+=e A , ).1(2)1(2πππππe e e I +=+=-【评注】 本题属常规题型,明显地应该选用极坐标进行计算,在将二重积分化为定积分后,再通过换元与分步积分(均为最基础的要求),即可得出结果,综合考查了二重积分、换元积分与分步积分等多个基础知识点.六、(本题满分分)求幂级数∑∞=<-+12)1(2)1(1n n nx n x 的和函数()及其极值.【分析】 先通过逐项求导后求和,再积分即可得和函数,注意当时和为. 求出和函数后,再按通常方法求极值.【详解】.1)1()(1212∑∞=-+-=-='n n nxxx x f 上式两边从到积分,得).1ln(211)0()(202x dt t t f x f x+-=+-=-⎰ 由(), 得).1(),1ln(211)(2<+-=x x x f 令0)(='x f ,求得唯一驻点. 由于,)1(1)(222x x x f +--=''01)0(<-=''f , 可见()在处取得极大值,且极大值为().【评注】 求和函数一般都是先通过逐项求导、逐项积分等转化为可直接求和的几何级数情形,然后再通过逐项积分、逐项求导等逆运算最终确定和函数.七、(本题满分分)设()()(), 其中函数()()在),(+∞-∞内满足以下条件:)()(x g x f =',)()(x f x g =',且(), .2)()(x e x g x f =+(3) 求()所满足的一阶微分方程; (4) 求出()的表达式.【分析】 ()所满足的微分方程自然应含有其导函数,提示应先对()求导,并将其余部分转化为用()表示,导出相应的微分方程,然后再求解相应的微分方程.【详解】 () 由)()()()()(x g x f x g x f x F '+'=')()(22x f x g +)()(2)]()([2x g x f x g x f -+ (2)x e -2F(), 可见()所满足的一阶微分方程为.4)(2)(2x e x F x F =+'() ]4[)(222C dx e e e x F dxx dx +⎰⋅⎰=⎰-]4[42C dx e e x x +⎰-.22x x Ce e -+ 将()()()代入上式,得 . 于是.)(22x x e e x F --=【评注】 本题没有直接告知微分方程,要求先通过求导以及恒等变形引出微分方程的形式,从题型来说比较新颖,但具体到微分方程的求解则并不复杂,仍然是基本要求的范围.八、(本题满分分)设函数()在[,]上连续,在(,)内可导,且()()(), ().试证必存在)3,0(∈ξ,使.0)(='ξf 【分析】 根据罗尔定理,只需再证明存在一点)3,0[∈,使得)3(1)(f c f ==,然后在[]上应用罗尔定理即可. 条件()()()等价于13)2()1()0(=++f f f ,问题转化为介于()的最值之间,最终用介值定理可以达到目的.【详解】 因为()在[,]上连续,所以()在[,]上连续,且在[,]上必有最大值和最小值,于是 M f m ≤≤)0(, M f m ≤≤)1(, M f m ≤≤)2(. 故.3)2()1()0(M f f f m ≤++≤由介值定理知,至少存在一点]2,0[∈c ,使.13)2()1()0()(=++=f f f c f因为()(), 且()在[]上连续,在()内可导,所以由罗尔定理知,必存在)3,0()3,(⊂∈c ξ,使.0)(='ξf【评注】 介值定理、微分中值定理与积分中值定理都是常考知识点,且一般是两两结合起来考. 本题是典型的结合介值定理与微分中值定理的情形.九、(本题满分分) 已知齐次线性方程组⎪⎪⎪⎩⎪⎪⎪⎨⎧=+++++=+++++=+++++=+++++,0)(,0)(,0)(,0)(332211332211332211332211nn nn n n n n x b a x a x a x a x a x b a x a x a x a x a x b a x a x a x a x a x b a 其中.01≠∑=ni ia试讨论n a a a ,,,21 和满足何种关系时,() 方程组仅有零解;() 方程组有非零解. 在有非零解时,求此方程组的一个基础解系.【分析】方程的个数与未知量的个数相同,问题转化为系数矩阵行列式是否为零,而系数行列式的计算具有明显的特征:所有列对应元素相加后相等. 可先将所有列对应元素相加,然后提出公因式,再将第一行的()倍加到其余各行,即可计算出行列式的值.【详解】 方程组的系数行列式ba a a a ab a a a a a b a a a a a ba A n nn n ++++=321321321321).(11∑=-+ni i n a b b(1) 当0≠b 时且01≠+∑=ni iab 时,秩(),方程组仅有零解.(2) 当 时,原方程组的同解方程组为 .02211=+++n n x a x a x a 由01≠∑=ni ia可知,),,2,1(n i a i =不全为零. 不妨设01≠a ,得原方程组的一个基础解系为T a a )0,,0,1,(121 -=α,T a a)0,,1,0,(132 -=α,.)1,,0,0,(,1T n n a a -=α 当∑=-=ni iab 1时,有0≠b ,原方程组的系数矩阵可化为⎥⎥⎥⎥⎥⎥⎥⎥⎥⎥⎦⎤⎢⎢⎢⎢⎢⎢⎢⎢⎢⎢⎣⎡----∑∑∑∑====n i i n nni inni inni ia a a a a a a a a a a a a a a a a a a a 1321132131213211(将第行的倍加到其余各行,再从第行到第行同乘以∑=-ni ia11倍)→ ⎥⎥⎥⎥⎥⎥⎥⎦⎤⎢⎢⎢⎢⎢⎢⎢⎣⎡----∑=1001010100113211 n ni ia a a a a( 将第行n a -倍到第行的2a -倍加到第行,再将第行移到最后一行)→ .0000100101010011⎥⎥⎥⎥⎥⎥⎦⎤⎢⎢⎢⎢⎢⎢⎣⎡---由此得原方程组的同解方程组为12x x =,13x x =,1,x x n = . 原方程组的一个基础解系为 .)1,,1,1(T =α【评注】 本题的难点在∑=-=ni iab 1时的讨论,事实上也可这样分析:此时系数矩阵的秩为(存在阶子式不为零),且显然T )1,,1,1( =α为方程组的一个非零解,即可作为基础解系.十、(本题满分分)设二次型)0(222),,(31232221321>+-+==b x bx x x ax AX X x x x f T ,中二次型的矩阵的特征值之和为,特征值之积为. (3) 求的值;(4) 利用正交变换将二次型化为标准形,并写出所用的正交变换和对应的正交矩阵. 【分析】 特征值之和为的主对角线上元素之和,特征值之积为的行列式,由此可求出 的值;进一步求出的特征值和特征向量,并将相同特征值的特征向量正交化(若有必要),然后将特征向量单位化并以此为列所构造的矩阵即为所求的正交矩阵.【详解】 ()二次型的矩阵为.200200⎥⎥⎥⎦⎤⎢⎢⎢⎣⎡-=b b a A 设的特征值为).3,2,1(=i i λ 由题设,有1)2(2321=-++=++a λλλ,.12242002002321-=--=-=b a b ba λλλ解得 .() 由矩阵的特征多项式)3()2(220202012+-=+----=-λλλλλλA E ,得的特征值.3,2321-===λλλ对于,221==λλ解齐次线性方程组0)2(=-x A E ,得其基础解系 T )1,0,2(1=ξ,.)0,1,0(2T =ξ对于33-=λ,解齐次线性方程组0)3(=--x A E ,得基础解系 .)2,0,1(3T -=ξ由于321,,ξξξ已是正交向量组,为了得到规范正交向量组,只需将321,,ξξξ单位化,由此得T )51,0,52(1=η,T )0,1,0(2=η,.)52,0,51(3T -=η令矩阵[]⎥⎥⎥⎥⎥⎦⎤⎢⎢⎢⎢⎢⎣⎡-==5205101051052321ηηηQ ,则为正交矩阵. 在正交变换下,有⎥⎥⎥⎦⎤⎢⎢⎢⎣⎡-=300020002AQ Q T ,且二次型的标准形为.322232221y y y f -+=【评注】 本题求,也可先计算特征多项式,再利用根与系数的关系确定:二次型的矩阵对应特征多项式为)].2()2()[2(220022b a a bb aA E +----=+----=-λλλλλλλ设的特征值为321,,λλλ,则).2(,2,2232321b a a +-=-=+=λλλλλ由题设得1)2(2321=-+=++a λλλ,.12)2(22321-=+-=b a λλλ解得.十一、(本题满分分) 设随机变量的概率密度为;],8,1[,0,31)(32其他若∈⎪⎩⎪⎨⎧=x x x f()是的分布函数. 求随机变量()的分布函数.【分析】 先求出分布函数() 的具体形式,从而可确定() ,然后按定义求 的分布函数即可.注意应先确定()的值域范围)1)(0(≤≤X F ,再对分段讨论.【详解】 易见,当<时,(); 当> 时,(). 对于]8,1[∈x ,有 .131)(3132-==⎰x dt t x F x设()是随机变量()的分布函数. 显然,当0<y 时,();当1≥y 时,(). 对于)1,0[∈y ,有})({}{)(y X F P y Y P y G ≤=≤= })1({}1{33+≤=≤-y X P y X P .])1[(3y y F =+于是,()的分布函数为.1,10,0,1,,0)(≥<≤<⎪⎩⎪⎨⎧=y y y y y G 若若若【评注】 事实上,本题为任意连续型随机变量均可,此时()仍服从均匀分布: 当<时,();当 1≥y 时,();当 1<≤y 时,})({}{)(y X F P y Y P y G ≤=≤= )}({1y F X P -≤ .))((1y y F F =- 十二、(本题满分分)设随机变量与独立,其中的概率分布为 ⎪⎪⎭⎫⎝⎛7.03.021~X ,而的概率密度为(),求随机变量的概率密度().【分析】求二维随机变量函数的分布,一般用分布函数法转化为求相应的概率. 注意只有两个可能的取值,求概率时可用全概率公式进行计算.【详解】 设()是的分布函数,则由全概率公式,知的分布函数为 }{)(u Y X P u G ≤+=}2{7.0}1{3.0=≤++=≤+X u Y X P X u Y X P }22{7.0}11{3.0=-≤+=-≤X u Y P X u Y P . 由于和独立,可见() }2{7.0}1{3.0-≤+-≤u Y P u Y P).2(7.0)1(3.0-+-u F u F 由此,得的概率密度)2(7.0)1(3.0)()(-'+-'='=u F u F u G u g ).2(7.0)1(3.0-+-u f u f【评注】 本题属新题型,求两个随机变量和的分布,其中一个是连续型一个是离散型,要求用全概率公式进行计算,类似问题以前从未出现过,具有一定的难度和综合性.。
2022年全国硕士研究生入学统一考试数学(三)真题及解析(江南博哥)1[单选题]A.①②B.①④C.①③④D.②③④正确答案:C参考解析:③④是定义正确,②举一个反例a(x)=x,b(x)=-x,②错误,①由于当x趋向于0时候,a(x)/b(x)=1,分子分母同时平方,还是等于1,所以①正确。
2[单选题]A.有最大值,有最小值B.有最大值,没有最小值C.没有最大值,有最小值D.没有最大值,没有最小值正确答案:B参考解析:3[单选题]A.B.C.D.正确答案:C 参考解析:4[单选题]A.I1<I2<I3B.I3<I1<I2C.I2<I1<I3D.I1<I3<I2正确答案:A 参考解析:5[单选题]A.B.C.D.正确答案:B参考解析:A选项成立,则两个矩阵的秩相等,不能推出特征值相同,C选项是充分而非必要条件。
C成立,可推出A的特征值为1,-1,0,但是A的特征值为1,-1,0时候,Q不一定为正交。
D是合同的关系,两者特征值正负个数相同,不能保证特征值相等,B正确。
6[单选题]A.无解B.有解C.有无穷多解或无解D.有唯一解或无解正确答案:D参考解析:令a=b=1,带入r(A)≠r(A|b),无解,令a≠b≠1,则r(A)≠r(A|b)=3,唯一解,D 正确。
7[单选题]λ∈()A.{λ|λ∈R}B.{λ|λ∈R,λ≠-1}C.{λ|λ∈R,λ≠-1,λ≠-2}D.{λ|λ∈R,λ≠-2}正确答案:C参考解析:本题可以将a1,a2,a3,a4列出来化简,找出对应关系,也可以将λ=-1带入,r(a1,a2,a3)=3,r(a1,a2,a4)=2,不等价,所以λ≠-1,将λ=-2带入,r(a1,a2,a3)=2,r(a1,a2,a4)=3,不等价,所以λ≠-2。
C正确。
8[单选题]D(X-3Y+1)=()A.2B.4C.6D.10正确答案:D参考解析:9[单选题]A.1/8B.1/6C.1/3D.1/2正确答案:B参考解析:10[单选题]若事件{max(X,Y)=2}与事件{min(X,Y)=1}相互独立,则Cov(X,Y)=()A.-0.6B.-0.36C.0D.0.48正确答案:B参考解析:P{max{X,Y}=2}=P{Y=2}=0.1+b,P{min{X,Y}=1}=P{ (X=1,Y=l)U(X=1, Y=2)}=0.2,由独立性P{min{X,Y}=1, max{X,Y}=2}=P{X=1, Y=2}=0.1=0.2 (0.1+b),所以b=0.4, a=0.2Cov(X,Y)= E(XY)- E(X)E(Y)=-0.3611[填空题]参考解析:12[填空题]参考解析:13[填空题]参考解析:函数的性质,偶函数求导,变成奇函数,奇函数求导变成偶函数,且求导不改变周期性,因为f(x)为偶函数,周期为2π,所以f(x)三次倒数为奇函数,周期也是2π。
2023年研究生《数学三》模拟卷2 2023年研究生《数学三》模拟卷2
1.[单选][4分]
2.[单选][4分]
3.[单选][4分]
4.[单选][4分]
A. n必为2
B. n必为4
C.n为1或2
D.n为2或4
5.[单选][4分]
6.[单选][4分]
A. 连续,但不可偏导
B. 可偏导,但不连续
C. 连续、可偏导,但不可微
D. 可微
7.[单选][4分]关于函数的极值个数,正确的是
A. 有2个极大值,1个极小值
B. 有1个极大值,2个极小值
C. 有2个极大值,没有极小值
D. 没有极大值,有2个极小值
8.[问答][10分]
9.[问答][10分]
10.[问答][10分]
11.[问答][10分]
12.[问答][10分]
13.[问答][10分]
14.[问答][10分]
15.[问答][10分]
16.[问答][10分]
17.[问答][10分]
18.[问答][10分]
19.[问答][10分]
20.[问答][10分]
21.[问答][10分]
22.[问答][10分]某企业生产某种商品的成本函数为a,b,c,l,s都是正常数,Q为销售量,求:(I)当每件商品的征税额为t时,该企业获得最大利润时的销售量;(II)当企业利润最大时,t为何值时征税收益最大.。
全国硕士研究生入学统一考试数学(三)试卷(模拟考试)身份证号 姓名 电话 成绩数学三答题号及分值:(4+2+2,4+1+1,5+2+2)1-8题共32分9-14共24分 15 10分1610分1710分1810分1910分20 11分2111分2211分2311分成绩一、选择题(本题共8小题,每小题4分,满分32分. 每小题给出的四个选项中,只有一项符合题目要求,把所选项前的字母填在题后的括号内) 1.函数∫++=xdt t t x f 02)1ln()(为()。
(A)偶函数,且在上为单调减。
(B)偶函数,且在),0(+∞),0(+∞上为单调增。
(C)奇函数,且在上为单调减。
(D)奇函数,且在),0(+∞),0(+∞上为单调增。
【解】 答案:(B)。
(函数奇偶性,定积分的换元积分公式) 因为对任意的),(+∞−∞∈x ,∫++=xdt t t x f 02)1ln()(都存在,且∫∫−−++−=++=−−xxdu u u dt t t x f 0202))()(1ln()1ln()()()1ln(11ln202x f du u u du u u xx=++=++−=∫∫。
所以∫++=xdt t t x f 02)1ln()(是偶函数,且在),0(+∞上0)1ln()(2>++=′x x x f 。
2.设在的某邻域内有二阶连续导数,且满足)(x f 0=x 1)1ln()(lim 30=+→x x f x , 则( )。
(A),,在0)0(=′f 0)0(≠′′f )(x f 0=x 处有极值(B),在处有极值0)0()0(=′′=′f f )(x f 0=x (C), 在处取得拐点0)0()0(=′′=′f f 0=x (D), 在处取得拐点0)0(,0)0(=′′≠′f f 0=x 【解】13)(lim )(lim )1ln()(lim203030=′==+→→→x x f x x f x x f x x x ,0)0(=′f ,)(x f ′在0=x 的两侧不变号,因此不为极值点。
2014年全国硕士研究生入学统一考试数学(三)模拟试卷二考生注意事项1.答题前,考生须在答题纸指定位置上填写考生姓名、报考单位和考生编号.2.答案必须书写在答题纸指定位置的边框区域内,写在其他地方无效.3.填(书)写必须使用蓝(黑)色字迹钢笔,圆珠笔或签字笔.4.考试结束,将答题纸和试题一并装入试题袋中交回.一、选择题(1~8小题,每小题4分,共32分.下列每题给出的四个选项中,只有一个选项符合题目要求.请将所选项前的字母填在答题纸指定的位置上)(1)(A)不连续.(B)连续但不可导.(2)(A)1.(B)2.(C)3.(D)4.则必有(A)矩阵A的列向量组线性相关,矩阵8的行向量组线性相关.(B)矩阵A的列向量组线性相关,矩阵8的列向量组线性相关.(C)矩阵A的行向量组线性相关,矩阵8的行向量组线性相关.(D)矩阵A的行向量组线性相关,矩阵8的列向量组线性相关.(A)1.(B)2.(C)3.(D)4.(8)本均值,则二、填空题(9~14小题,每小题4分。
共24分,请将答案写在答题纸指定位置上)量为l(万件),则需求函数为——一.三、解答题(15~23小题,共94分,请将解答写在答题纸指定的位置上.解答应写出文字说明。
证明过程或演算步骤)(15)(本题满分l0分)(16)(本题满分l0分)(18)(本题满分l0分)(20)(本题满分ll分)(22)(本题满分ll分)(23)(本题满分ll分)2014年全国硕士研究生入学统一考试数学(三)模拟试卷二解析一、选择题(1)应选(B).分析本题考查分段函数在分段点处的连续性与可导性问题——讨论分段函数在分段点处的连续性、可导性问题,必须用相应的定义求解.(2)应选(A).(3)应选(A).分析本题考查将二重积分的极坐标系下的累次积分转换为直角坐标系下的累次积分问题,按二重积分交换次序的方法步骤“找边界,画草图,换次序”(详见《考研数学复习教程》)求解即可.解由题设所给极坐标累次积分可画出积分区域D如图所示,其边界曲线分别为(4)应选(D).分析本题考查抽象型数项级数的收敛性问题,可由题设条件直接分析推导,也可举反例排除,此处用前者.(5)应选(A).分析本题考查向量组的线性相关性问题.数值型的情形一般用秩分析;抽象型的情形一般利用线性相关性的结论研究分析,但若能寻求其秩时当然用秩分析求解简便.所以,对于讨论向量组的线性相关性问题,“能找秩就找秩”!即矩阵A的列向量组线性相关,矩阵.B的行向量组线性相关.注由本题条件及上述分析求解过程还可得出——矩阵A的行向量组与矩阵8的列向量组都线性无关.(6)应选(C).(7)应选(B).分析本题主要考查随机事件的运算,按相应的运算律求解即可.(8)应选(B).分析本题考查样本函数的协方差与方差的计算问题,利用“运算性质法”与“已知分布法,,(详见《考研数学复习教程》相关章节)求解即可,求解过程中要注意简单随机样本是相互独立且与总体是同分布的.二、填空题(9)应填-2.分析本题考查无穷小阶的问题——见到确定无穷小阶的问题,就想“三法”——等价无穷小代换定阶法、泰勒公式定阶法、求导定阶法.此处用等价无穷小代换与求导定阶法分(IO)分析本题考查求解一阶微分方程问题,要先判定其类型,再用相应的方法求解即可.本题为变量可分离微分方程,先分离变量后两边积分可得.解原方程变形为(11)及“公式法”求解.此处用微分法.解方程两边微分,得(12)(13)应填2.分析本题考查求抽象向量组的秩的问题,可用初等变换法求解,也可由题设条件建立一个矩阵的等式——见到一组向量由另一组向量线性表示,就要想到“三个东西”(详见《考研数学复习教程》相关章节),由此矩阵等式可得.解1 因最小值函数分布常用处理方法求解即可.三、解答题(15)分析本题考查求∞-∞型未定式极限问题.根据题目特点,可作变量代换(16)分析本题为求不定积分问题,根据被积函数的特点,选用相应的积分法即可.本(17)分析本题考查函数不等式的证明——见到函数不等式证明问题,就要想到利用单调性证之,其方法步骤为简单移项作函数,认认真真求导数;搞清增减找定点,比较大小得归宿.注意,移项构造辅助函数前,要先将不等式恒等变形,否则繁琐.函数的导数计算.只要按部就班,逐步求解即可.(19)分析本题考查被积函数为分段函数的二重积分计算问题,利用积分区域的可加性,先划分区域D,再分块代入被积函数进行计算.(20)分析本题考查求两个齐次线性方程组的非零公共解,其一般方法有联立法和代入法(详见《考研数学复习教程》).下面以联立法解之,所以要先把方程组(Ⅱ)由其基础解系“还原”出来.解由齐次线性方程组(Ⅱ)的基础解系可得(19)分析本题考查被积函数为分段函数的二重积分计算问题,利用积分区域的可加性,先划分区域D,再分块代入被积函数进行计算.(20)分析本题考查求两个齐次线性方程组的非零公共解,其一般方法有联立法和代入法(详见《考研数学复习教程》).下面以联立法解之,所以要先把方程组(Ⅱ)由其基础解系“还原”出来.解由齐次线性方程组(Ⅱ)的基础解系可得征向量即可.注意,见到矩阵A与一对角矩阵相似,就可知A的特征值;见到伴随矩阵(II)略.(22)分析本题考查求二维连续型随机变量的边缘概率密度、条件概率密度及求概率问题.见到已知联合概率密度求边缘概率密度问题,求关于“谁”的边缘概率密度就把联合概率密度的非零区域向“谁,,轴上投影,先定出所求边缘概率密度的非零区间,再穿线定上下限.求条件概率密度只需把联合概率密度与相应的边缘概率密度作商即可.对于求概率注第(Ⅲ)问求概率若用“基本法”计算,虽然要先将积分区域分块再计算也不复杂,请读者练习.(23)分析本题考查参数的点估计问题,要先从题设所给的分布函数判断出X是连续型总体,然后求导得其概率密度,再按矩估计法的方法步骤“求两矩作方程,解方程得估计。
全国硕士研究生入学统一考试数学(三)考前自测卷二1.【单项选择题】A. x=0与x=1都是f(x)的第一类间断点.B. x=0与x=1都是f(x)的第二类间断点.C. x=0是f(x)的第一类间断点,x=1是f(x)的第二类间断点.D. x=0是f(x)的第二类间断点,x=1是f(x)的第一类间断点.正确答案:C参考解析:2.【单项选择题】A. 高阶无穷小B. 低阶无穷小C. 同阶但非等价的无穷小D. 等价无穷小正确答案:A参考解析:3.【单项选择题】下列函数中,在x=0处不可导的是( ).A. f(x)=|x|sin|x|B.C. f(x)=|x|cos|x|D.正确答案:D参考解析:4.【单项选择题】设k>0,则函数f(x)=lnx-+k的零点个数为( ).A. 0个B. 1个C. 2个D. 3个正确答案:C参考解析:5.【单项选择题】A. -2B. -1C. 1D. 2正确答案:A参考解析:5.【单项选择题】A. -2B. -1C. 1D. 2正确答案:A 参考解析:6.【单项选择题】A. 1B.C.D.正确答案:D 参考解析:7.【单项选择题】的取值A. (-2,2)B. 2C. (2,+∞)D. (-∞,-2)正确答案:A参考解析:8.【单项选择题】设(X,Y)服从二维正态分布,其边缘分布为X~N(1,1),Y~N(2,4),X,Y的相关系数为p xy=-0.5,且P(aX+bY≤1)=0.5,则( ).A. a=,b=-B. a=,b=-C. a=-,b=D. a=,b=正确答案:D参考解析:因为(X,Y)服从二维正态分布,所以aX+by服从正态分布,9.【单项选择题】已知总体X的期望E(X)=0,方差D(X)=σ2.X1,…,X n是来自总体X的简单随机样本,其均值为,则可以作出数学期望等于σ2的统计量是A.B.C.D.正确答案:C参考解析:由于10.【单项选择题】A.B.C.D.正确答案:B参考解析:11.【填空题】正确答案:参考解析:4π【解析】12.【填空题】曲线r=1+cosθ介于0≤0≤π的弧长为_______.正确答案:参考解析:4【解析】弧长为13.【填空题】差分方程y t+1-2y t=3×2t的通解为y(t)=______.正确答案:参考解析:13.【填空题】差分方程y t+1-2y t=3×2t的通解为y(t)=______.正确答案:参考解析:14.【填空题】正确答案:参考解析:【解析】15.【填空题】(1.4,5.4)内的概率不小于0.95,则样本容量行至少应取______.(已知φ(1.96)=0.975)正确答案:参考解析:35【解析】16.【填空题】正确答案:参考解析:λ2 【解析】16.【填空题】正确答案:参考解析:λ2 【解析】17.【解答题】参考解析:18.【解答题】证明:(1)(2)参考解析:(1)(2)19.【解答题】参考解析:解用x2+y2=4将D划分为D1与D2,如图所示,则20.【解答题】的和函数.参考解析:由题设条件知,函数f n(x)满足一阶线性非齐次微分方程21.【解答题】参考解析:22.【解答题】设X1,X2是来自总体X的简单随机样本,且(1)(2)参考解析:(1)(2)。
2014年全国硕士研究生入学统一考试
数学(三)模拟试卷二
考生注意事项
1.答题前,考生须在答题纸指定位置上填写考生姓名、报考单位和考生编号.
2.答案必须书写在答题纸指定位置的边框区域内,写在其他地方无效.
3.填(书)写必须使用蓝(黑)色字迹钢笔,圆珠笔或签字笔.
4.考试结束,将答题纸和试题一并装入试题袋中交回.
一、选择题(1~8小题,每小题4分,共32分.下列每题给出的四个选项中,只有一个选
项符合题目要求.请将所选项前的字母填在答题纸指定的位置上)
(1)
(A)不连续.
(B)连续但不可导.
(2)
(A)1.
(B)2.
(C)3.
(D)4.
则必有
(A)矩阵A的列向量组线性相关,矩阵8的行向量组线性相关.
(B)矩阵A的列向量组线性相关,矩阵8的列向量组线性相关.
(C)矩阵A的行向量组线性相关,矩阵8的行向量组线性相关.
(D)矩阵A的行向量组线性相关,矩阵8的列向量组线性相关.
(A)1.
(B)2.
(C)3.
(D)4.
(8)
本均值,则
二、填空题(9~14小题,每小题4分。
共24分,请将答案写在答题纸指定位置上)
量为l(万件),则需求函数为——一.
三、解答题(15~23小题,共94分,请将解答写在答题纸指定的位置上.解答应写出文
字说明。
证明过程或演算步骤)
(15)(本题满分l0分)
(16)(本题满分l0分)
(18)(本题满分l0分)
(20)(本题满分ll分)
(22)(本题满分ll分)
(23)(本题满分ll分)
2014年全国硕士研究生入学统一考试数学(三)模拟试卷二解析
一、选择题
(1)应选(B).
分析本题考查分段函数在分段点处的连续性与可导性问题——讨论分段函数在分段
点处的连续性、可导性问题,必须用相应的定义求解.
(2)应选(A).
(3)应选(A).
分析本题考查将二重积分的极坐标系下的累次积分转换为直角坐标系下的累次积分
问题,按二重积分交换次序的方法步骤“找边界,画草图,换次序”(详见《考研数学复习教
程》)求解即可.
解由题设所给极坐标累次积分可画出积分区域D如图所示,其边界曲线分别为
(4)应选(D).
分析本题考查抽象型数项级数的收敛性问题,可由题
设条件直接分析推导,也可举反例排除,此处用前者.
(5)应选(A).
分析本题考查向量组的线性相关性问题.数值型的情形一般用秩分析;抽象型的情形一般利用线性相关性的结论研究分析,但若能寻求其秩时当然用秩分析求解简便.所以,对于讨论向量组的线性相关性问题,“能找秩就找秩”!
即矩阵A的列向量组线性相关,矩阵.B的行向量组线性相关.
注由本题条件及上述分析求解过程还可得出——矩阵A的行向量组与矩阵8的列向量组都线性无关.
(6)应选(C).
(7)应选(B).
分析本题主要考查随机事件的运算,按相应的运算律求解即可.
(8)应选(B).
分析本题考查样本函数的协方差与方差的计算问题,利用“运算性质法”与“已知分布法,,(详见《考研数学复习教程》相关章节)求解即可,求解过程中要注意简单随机样本是相互
独立且与总体是同分布的.
二、填空题
(9)应填-2.
分析本题考查无穷小阶的问题——见到确定无穷小阶的问题,就想“三法”——等价无穷小代换定阶法、泰勒公式定阶法、求导定阶法.此处用等价无穷小代换与求导定阶法分
(IO)
分析本题考查求解一阶微分方程问题,要先判定其类型,再用相应的方法求解即可.本题为变量可分离微分方程,先分离变量后两边积分可得.
解原方程变形为
(11)
及“公式法”求解.此处用微分法.
解方程两边微分,得
(12)
(13)应填2.
分析本题考查求抽象向量组的秩的问题,可用初等变换法求解,也可由题设条件建立
一个矩阵的等式——见到一组向量由另一组向量线性表示,就要想到“三个东西”(详见《考
研数学复习教程》相关章节),由此矩阵等式可得.
解1 因
最小值函数分布常用处理方法求解即可.
三、解答题
(15)
分析本题考查求∞-∞型未定式极限问题.根据题目特点,可作变量代换
(16)分析本题为求不定积分问题,根据被积函数的特点,选用相应的积分法即可.本
(17)分析本题考查函数不等式的证明——见到函数不等式证明问题,就要想到利用单调性证之,其方法步骤为
简单移项作函数,认认真真求导数;
搞清增减找定点,比较大小得归宿.
注意,移项构造辅助函数前,要先将不等式恒等变形,否则繁琐.
函数的导数计算.只要按部就班,逐步求解即可.
(19)分析本题考查被积函数为分段函数的二重积分计算问题,利用积分区域的可加性,先划分区域D,再分块代入被积函数进行计算.
(20)分析本题考查求两个齐次线性方程组的非零公共解,其一般方法有联立法和代
入法(详见《考研数学复习教程》).下面以联立法解之,所以要先把方程组(Ⅱ)由其基础解系
“还原”出来.
解由齐次线性方程组(Ⅱ)的基础解系可得
(19)分析本题考查被积函数为分段函数的二重积分计算问题,利用积分区域的可加
性,先划分区域D,再分块代入被积函数进行计算.
(20)分析本题考查求两个齐次线性方程组的非零公共解,其一般方法有联立法和代入法(详见《考研数学复习教程》).下面以联立法解之,所以要先把方程组(Ⅱ)由其基础解系“还原”出来.
解由齐次线性方程组(Ⅱ)的基础解系可得
征向量即可.注意,见到矩阵A与一对角矩阵相似,就可知A的特征值;见到伴随矩阵
(II)略.
(22)分析本题考查求二维连续型随机变量的边缘概率密度、条件概率密度及求概率
问题.见到已知联合概率密度求边缘概率密度问题,求关于“谁”的边缘概率密度就把联合概
率密度的非零区域向“谁,,轴上投影,先定出所求边缘概率密度的非零区间,再穿线定上下
限.求条件概率密度只需把联合概率密度与相应的边缘概率密度作商即可.对于求概率
注第(Ⅲ)问求概率若用“基本法”计算,虽然要先将积分区域分块再计算也不复杂,请
读者练习.
(23)分析本题考查参数的点估计问题,要先从题设所给的分布函数判断出X是连续型总体,然后求导得其概率密度,再按矩估计法的方法步骤“求两矩作方程,解方程得估计。