自动控制原理第八章习题答案
- 格式:doc
- 大小:2.15 MB
- 文档页数:11
第1章控制系统概述【课后自测】1-1 试列举几个日常生活中的开环控制和闭环控制系统,说明它们的工作原理并比较开环控制和闭环控制的优缺点。
解:开环控制——半自动、全自动洗衣机的洗衣过程。
工作原理:被控制量为衣服的干净度。
洗衣人先观察衣服的脏污程度,根据自己的经验,设定洗涤、漂洗时间,洗衣机按照设定程序完成洗涤漂洗任务。
系统输出量(即衣服的干净度)的信息没有通过任何装置反馈到输入端,对系统的控制不起作用,因此为开环控制。
闭环控制——卫生间蓄水箱的蓄水量控制系统和空调、冰箱的温度控制系统。
工作原理:以卫生间蓄水箱蓄水量控制为例,系统的被控制量(输出量)为蓄水箱水位(反应蓄水量)。
水位由浮子测量,并通过杠杆作用于供水阀门(即反馈至输入端),控制供水量,形成闭环控制。
当水位达到蓄水量上限高度时,阀门全关(按要求事先设计好杠杆比例),系统处于平衡状态。
一旦用水,水位降低,浮子随之下沉,通过杠杆打开供水阀门,下沉越深,阀门开度越大,供水量越大,直到水位升至蓄水量上限高度,阀门全关,系统再次处于平衡状态。
开环控制和闭环控制的优缺点如下表1-2 自动控制系统通常有哪些环节组成?各个环节分别的作用是什么?解:自动控制系统包括被控对象、给定元件、检测反馈元件、比较元件、放大元件和执行元件。
各个基本单元的功能如下:(1)被控对象—又称受控对象或对象,指在控制过程中受到操纵控制的机器设备或过程。
(2)给定元件—可以设置系统控制指令的装置,可用于给出与期望输出量相对应的系统输入量。
(3)检测反馈元件—测量被控量的实际值并将其转换为与输入信号同类的物理量,再反馈到系统输入端作比较,一般为各类传感器。
(4)比较元件—把测量元件检测的被控量实际值与给定元件给出的给定值进行比较,分析计算并产生反应两者差值的偏差信号。
常用的比较元件有差动放大器、机械差动装置和电桥等。
(5)放大元件—当比较元件产生的偏差信号比较微弱不足以驱动执行元件动作时,可通过放大元件将微弱信号作线性放大。
第八章 非线性控制系统习题答案8-1 解:由原方程得:2225.03)5.03(),(x x x x x x x x x x f x--+-=----== ,令0==x x,得:0)1(2=+=+x x x x ,解出奇点为:1,0-=x 。
在0=x 处,特征根为:984.025.02,1j s ±=,显然为不稳定的焦点。
在1-=x 处,特征根为:225.45.02,1±=s ,显然为鞍点。
概略画出奇点附近的相轨迹如下:-1习题8-1相轨迹图8-2解:原方程可改写为:⎩⎨⎧=-+≥=++0II 0Ix x x x x x x x 0,:0,:系统的特征方程及特征根为:⎪⎩⎪⎨⎧+-==+±-==++)(618.0,618.1,01II )(2321,01I 2,122,12鞍点-:稳定焦点:s s s js s s 推导等倾线方程:xx dx xd --==1α,则有:x x xβα=+-=11 ,即: ⎪⎪⎩⎪⎪⎨⎧-=≥--=0,11II 0,11I x x βαβα::,画出系统相平面如下:习题8-2相平面图8-3 (1)解:相平面上任一点的相轨迹斜率为:x xxdxx dsin+-=,由=dxx d,得:),2,1,0(±±==kkxπ,因此在相平面的x轴上,),2,1,0(±±==kkxπ的点均为奇点。
在x轴上满足),2,1,0(2±±==kkxπ的所有奇点附近,由泰勒级数展开来验证这类奇点为稳定焦点。
在x轴上满足),2,1,0()12(±±=+=kkxπ的所有奇点附近,由泰勒级数展开来验证这类奇点为鞍点。
绘制相轨迹如下图所示:习题8-3(1)相轨迹图(2)解:原方程可改写为:⎩⎨⎧=-≥=+IIIxxxxxx0,:0,:系统的特征方程及特征根为:⎪⎩⎪⎨⎧±==±==+)(1,01II)(,01I2,122,12鞍点-:中心点:ssjss推导等倾线方程:⎪⎪⎩⎪⎪⎨⎧≥11xxxxxx,=,-=αα,画出系统相平面如下:习题8-3(2)相轨迹图(3)解:令0==xx,得0sin=x,得出系统的奇点:,2,,0ππ±±=x当,2,1,02±±==kx,κπ时,令2xx+=κπ,可以验证奇点,2,1,02±±==kx,κπ为中心点。
习题22-1.(1)线性,时变,动态(2)非线性,时变,动态 (3)非线性,定常,动态 (4)非线性,定常,静态 (5)非线性,定常,动态 (6)非线性,定常,静态 2-2.(a )1212)(st e ss s F -+=(b )211)1(1)(sst e s t s F -+-=(c )2121)1)(1()(1st e s t s F s t --+= 2-3.1212221332121(1)(),lim(1),lim(3)134324321111()[],2132s s t tc c s s F s c s c s s s s s s s F s f t e e s s →-→---++=+=+==+=++++++∴=+=+++得到:()()()()1023(2)()1+cos(t)-5*sin(t)111(3)sin cos 222119(4)()8181(5)()12131(6)()()32412t t t tt t t f t f t e t e t t f t e ef t t e f t t e e -------==--+=-==+=-++(4) syms s FF=ilaplace(1/(s^3+21*s^2+120*s+100))运行结果:F =1/81*exp(-t)-1/9*t*exp(-10*t)-1/81*exp(-10*t) (5) syms s FF=ilaplace((s^2+2*s+3)/(s+1)^3) 运行结果:F =t^2*exp(-t)+exp(-t) (6) F=ilaplace((s+2)/(s*(s+3)*(s+1)^2))运行结果:F = 2/3+1/12*exp(-3*t)-1/2*t*exp(-t)-3/4*exp(-t)2-4.(1) ()1()1()tT x t e r t t -=-= ()(1)tT x t t T e r t-=--=(2) 2()tx t - (3) ()1(1)t x t t e -=-+2-5.(a )21212=++crU R U R R R R s(b )1221212+=++crU R R cs R U R R R R cs2-6 (a )211crU R Cs U R Cs+=-,实际上是一个PI 控制器。
8-1已知非线性环节的特性如图8.1a 所示,试计算该环节的描述函数。
答:方法一:由图8.1a 所示,,0...............0...............⎩⎨⎧<->+=x A Kx x A Kx y 令代入则可以得到, 因为非线性特性为奇函数,所以=0,A 1=,B 1==在此处键入公式。
可以得到B 1=KX+4,所以该非线性环节的描述函数为 。
方法二:图8.1a 所示的非线性特性可以看作是图8.1b ,图8.1c 叠加而成的。
图8.1b 对应的非线性环节的描述函数为。
图8.1c 对应的为理想继电器非线性,其描述函数为。
所以,图8.1a 对应的飞线性特性描述函数为。
8.2.试绘制0=++x x x &&&非线性系统的相平面图。
答:y 0 -a a x k (a ) y 0 xk (b ) y(c )0 -aa x由题意,此方程可以改写为:,开关线为x=0。
当x>0时,相轨迹方程对应的特征方程为+λ+1=0,,由可以得到.故奇点为稳定的焦点。
当x<0时,相轨迹方程对应的特征方程为+λ-1=0,,由可以得到此时的奇点为(0,0),奇点为鞍点,推导等倾线方程。
令=α,可以得到等倾线方程为,令等倾线的斜率为k ,即可以得到,得到,列写表格如下表所示。
K -3 -2 -10 1 2 3 +∞,8.3.系统方框图如图8-29所示,其中K>0,T>0。
当非线性元件N分别为理想继电特性;死区继电特性;滞环继电特性;带死区和滞环的继电特性,在cc&-相平面上绘制相平面图。
8-29系统方框图(1)具有死区的三位置继电特性线性部分的微分方程为当继电特性为具有死区的三位置继电特性时,上式可以写成分段微分方程为:C(t)r = 0- )1(+TssKN(e)e)开关线为,两条开关将相平面划分为三个线性区域,下面分区绘制相轨迹在区域,相轨迹方程为:类似于具有饱和特性的非线性控制系统时的讨论,像平面与该区域无奇点,相轨迹均渐进于的直线。
第一章绪论1-1 试比较开环控制系统和闭环控制系统的优弊端.解答: 1 开环系统(1)长处 :构造简单,成本低,工作稳固。
用于系统输入信号及扰动作用能早先知道时,可获得满意的成效。
(2)弊端:不可以自动调理被控量的偏差。
所以系统元器件参数变化,外来未知扰动存在时,控制精度差。
2闭环系统⑴长处:不论因为扰乱或因为系统自己构造参数变化所惹起的被控量偏离给定值,都会产生控制作用去消除此偏差,所以控制精度较高。
它是一种按偏差调理的控制系统。
在实质中应用宽泛。
⑵弊端:主要弊端是被控量可能出现颠簸,严重时系统没法工作。
1-2什么叫反应?为何闭环控制系统常采纳负反应?试举例说明之。
解答:将系统输出信号引回输入端并对系统产生控制作用的控制方式叫反应。
闭环控制系统常采纳负反应。
由1-1 中的描绘的闭环系统的长处所证明。
比如,一个温度控制系统经过热电阻(或热电偶)检测出目前炉子的温度,再与温度值对比较,去控制加热系统,以达到设定值。
1-3试判断以下微分方程所描绘的系统属于何种种类(线性,非线性,定常,时变)?2 d 2 y(t)3 dy(t ) 4y(t ) 5 du (t ) 6u(t )(1)dt 2 dt dt(2) y(t ) 2 u(t)(3)t dy(t) 2 y(t) 4 du(t) u(t ) dt dtdy (t )u(t )sin t2 y(t )(4)dtd 2 y(t)y(t )dy (t ) (5)dt 2 2 y(t ) 3u(t )dt(6)dy (t ) y 2 (t) 2u(t ) dty(t ) 2u(t ) 3du (t )5 u(t) dt(7)dt解答: (1)线性定常(2)非线性定常 (3)线性时变(4)线性时变(5)非线性定常(6)非线性定常(7)线性定常1-4 如图 1-4 是水位自动控制系统的表示图, 图中 Q1,Q2 分别为进水流量和出水流量。
控制的目的是保持水位为必定的高度。
第一章习题答案1.自动控制:就是在人不直接参与的情况下,依靠外加装置或设备(称为控制装置或控制器),使机械、设备或生产过程(称为被控对象)的某个工作状态或参数(称为被控量)自动地按照预定的规律运行,或使某个被控制的参数按预定要求变化。
给定量:它是人们期望系统输出按照这种输入的要求而变化的控制量。
故一般又称给定输入或简称输入。
上例中的调节器的给定值u g 即是给定输入。
扰动量:它是一种人们所不希望的﹑影响系统输出使之偏离了给定作用的控制量。
上例中给水压力变化或蒸汽负荷变化都属于扰动。
开环控制:指控制装置与被控对象之间只有顺向作用而没有反向联系的控制过程,按这种方式组成的系统称为开环控制系统,其特点是系统的输出量不会对系统的输入量产生影响。
闭环控制:按照偏差进行控制的,其特点是不论什么原因使被控量偏离期望而出现偏差时,必定会产生一个相应的控制作用去减小或消除这个偏差,使被控量与期望值趋于一致。
复合控制:将闭环控制系统和开环控制系统结合在一起构成的开环-闭环相结合的控制系统,称为复合控制恒值控制:给定量是一定的,控制任务是保持被控量为一不变常数,在发生扰动时尽快地使被控量恢复为给定值。
随动控制:给定量是按照事先不知道的时间函数变化的,要求输出跟随给定量变化。
2.7. 自动控制系统的性能的要求:稳定性、快速性、准确性。
自动控制系统的性能的最基本要求:稳定性 第二章习题答案1. (a) 22()()1()()d y t f dy t k y t t dt m dt m m++=F (b )1211212()()()()k k k dy t y t t dt f k k k k +=++F (c )42422()2()()dy t k dy t kt dt m dt m+=F2. (a) 22211221122122112()d u du dvR C R C R C R C R C u R C v dt dt dt ++++=+(b )233112*********()d u duR C R C R C R C R C u dt dt++++2112211222()d v dvR C R C R C R C v dt dt=+++(c )222220.25 1.5d u du dv u v dt dt dt++=+ 3. (a)2111212()(1)()c r U s R R C s U s R R CR R s+=++ (b )222222()21()31c r U s C R s RCs U s C R s RCs ++=++ (c )2211212()()()c r U s R U s R LCs L R R C s R R =++++ 4. (a) 21212121221212212121()1()()()1f f f fs s k k k k Y s f f f f f X s s s k k k k k +++=++++ (b )21212112221212112212()()1()()1c r U s R R C C s R C R C s U s R R C C s R C R C R C s +++=++++ 5. 0.085d d i u ∆= 6. r d h Sh Q dt ∆+=∆ 7.2232(),()432t t s G s g t e e s s --+==-++ 8. 2()142tty t ee e --=-+9.(a )21()()c r U s RU s R =- (b )112212()(1)(1)()c r U s R C s R C s U s R C s++=- (c )212()()(1)c r U s R U s R R Cs =-+ 10.(1) 012180,3,211k k k π︒==-=-; (2) 略;(3)系统的闭环传递函数22301230123()11()1c M t M r M MQ s k k k k T Q s s s k k k k k k k k k k =+++11.闭环传递函数32()0.7(6)()(0.90.7)(1.180.42)0.68c r Q s s Q s s K s K s +=+++++ 12.闭环传递函数12342363451234712348()()1G G G G C s R s G G G G G G G G G G G G G G G G =+++- 13.传递函数21221)()(T s T s s K K s R s C +++=,2121)1()()(T s T s T s s s N s C ++-+= 14.传递函数333222()1()561c r U s U s R C s R C s RCs =+++。
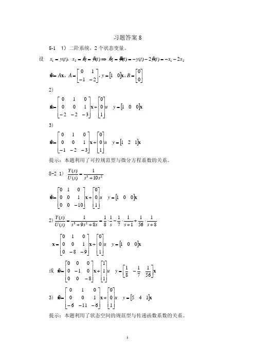
习题答案88-1 1)二阶系统,2个状态变量。
设 2121212)(2)()( )()(x x t y t y t yx t y x x t y x --=--==⇒=== , []⎥⎦⎤⎢⎣⎡==⎥⎦⎤⎢⎣⎡--==00 01 2110 B y A A ,,,x x x 2)[]x x x 001 100322100010=⎥⎥⎥⎦⎤⎢⎢⎢⎣⎡+⎥⎥⎥⎦⎤⎢⎢⎢⎣⎡---=y u 3)[]x x x 121 100321100010=⎥⎥⎥⎦⎤⎢⎢⎢⎣⎡+⎥⎥⎥⎦⎤⎢⎢⎢⎣⎡---=y u 提示:本题利用了可控规范型与微分方程系数的关系。
8-2 1)23101)()(ss s U s Y += []x x x 001 1001000100010=⎥⎥⎥⎦⎤⎢⎢⎢⎣⎡+⎥⎥⎥⎦⎤⎢⎢⎢⎣⎡-=y u 2)815611171181891)()(23+⋅++⋅-⋅=++=s s s s s s s U s Y []x x x 001 100980100010=⎥⎥⎥⎦⎤⎢⎢⎢⎣⎡+⎥⎥⎥⎦⎤⎢⎢⎢⎣⎡--=y u 或 x x x ⎥⎦⎤⎢⎣⎡-=⎥⎥⎥⎦⎤⎢⎢⎢⎣⎡+⎥⎥⎥⎦⎤⎢⎢⎢⎣⎡--=5617181111800010000y u 3) []x x x 145 1006116100010=⎥⎥⎥⎦⎤⎢⎢⎢⎣⎡+⎥⎥⎥⎦⎤⎢⎢⎢⎣⎡---=y u 提示:本题利用了状态空间的规范型与传递函数系数的关系。
8-38659122+++s s s8-4 ⎥⎦⎤⎢⎣⎡-=⎥⎦⎤⎢⎣⎡-⎥⎦⎤⎢⎣⎡+-+---==⎥⎦⎤⎢⎣⎡----------t t t t tt t t t t Att x t x e e 11e 2e e2e 2e e e e 2)0(e )()(222221x 8-5 ⎥⎦⎤⎢⎣⎡-+-+-=-==------t t t t s BU A sI t 3232113e 4e 1e e 21)]()[(L )()0(x 0x , 8-6 [])(120)( )(100)(321100010)1(k k y k u k k x x x =⎥⎥⎥⎦⎤⎢⎢⎢⎣⎡+⎥⎥⎥⎦⎤⎢⎢⎢⎣⎡---=+ 或 [])(100)( )(120)(310201100)1(k k y k u k k x x x =⎥⎥⎥⎦⎤⎢⎢⎢⎣⎡+⎥⎥⎥⎦⎤⎢⎢⎢⎣⎡---=+ 或 [])(001)( )(111)(321100010)1(k k y k u k k x x x =⎥⎥⎥⎦⎤⎢⎢⎢⎣⎡-+⎥⎥⎥⎦⎤⎢⎢⎢⎣⎡---=+ 提示:利用状态空间的规范型与差分方程系数的关系。
第6章习题及详解6-1 试求图6-93所示电路的频率特性表达式,并指出哪些电路的低频段增益大于高频段增益。
(a ) (b )R R(c ) (d )图6-93 习题6-1图解:(a )1112121212++++ωωCj R R R R Cj R R R R ;(b )()11212+++ωωCj R R Cj R ;(c )1155434314368++⎪⎪⎭⎫ ⎝⎛+++ωωCj R Cj R R R R R R R R R R ;(d ) 117767647613++++ωωCj R Cj R R R R R R R R R ;(a )和(c )低频段增益小于高频段增益;(b )和(d )低频段增益大于高频段增益。
6-2 若系统单位脉冲响应为t t e e t g 35.0)(--+=,试确定系统的频率特性。
解:315.011)(+++=s s s G ,故315.011)(+++=ωωωj j j G 6-3 已知单位反馈系统的开环传递函数为11)(+=s s G 试根据式(6-11)频率特性的定义求闭环系统在输入信号()sin(30)2cos(545)r t t t =+︒--︒作用下的稳态输出。
解:先求得闭环传递函数21)(+=s s T 。
(1)1=ω,447.055211)1(==+=j j T ,︒-=-=∠56.2621arctan )1(j T 。
(2)5=ω,186.02929251)5(==+=j j T ,︒-=-=∠20.6825arctan )5(j T 。
故)2.1135cos(372.0)44.3sin(447.0)(︒--︒+=∞→t t t y t 。
6-4 某对象传递函数为s e Ts s G τ-+=11)( 试求:(1) 该对象在输入()sin()u t t ω=作用下输出的表达式,并指出哪部分是瞬态分量; (2) 分析T 和τ增大对瞬态分量和稳态分量的影响;(3) 很多化工过程对象的T 和τ都很大,通过实验方法测定对象的频率特性需要很长时间,试解释其原因。
第一章 习题答案1-1 根据题1-1图所示的电动机速度控制系统工作原理图(1) 将a ,b 与c ,d 用线连接成负反馈状态;(2) 画出系统方框图。
解 (1)负反馈连接方式为:d a ↔,c b ↔;(2)系统方框图如图解1-1 所示。
1-2 题1-2图是仓库大门自动控制系统原理示意图。
试说明系统自动控制大门开闭的工作原理,并画出系统方框图。
题1-2图 仓库大门自动开闭控制系统解 当合上开门开关时,电桥会测量出开门位置与大门实际位置间对应的偏差电压,偏差电压经放大器放大后,驱动伺服电动机带动绞盘转动,将大门向上提起。
与此同时,和大门连在一起的电刷也向上移动,直到桥式测量电路达到平衡,电动机停止转动,大门达到开启位置。
反之,当合上关门开关时,电动机带动绞盘使大门关闭,从而可以实现大门远距离开闭自动控制。
系统方框图如图解1-2所示。
1-3 题1-3图为工业炉温自动控制系统的工作原理图。
分析系统的工作原理,指出被控对象、被控量和给定量,画出系统方框图。
题1-3图 炉温自动控制系统原理图解 加热炉采用电加热方式运行,加热器所产生的热量与调压器电压c u 的平方成正比,c u 增高,炉温就上升,c u 的高低由调压器滑动触点的位置所控制,该触点由可逆转的直流电动机驱动。
炉子的实际温度用热电偶测量,输出电压f u 。
f u 作为系统的反馈电压与给定电压r u 进行比较,得出偏差电压e u ,经电压放大器、功率放大器放大成a u 后,作为控制电动机的电枢电压。
在正常情况下,炉温等于某个期望值T °C ,热电偶的输出电压f u 正好等于给定电压r u 。
此时,0=-=f r e u u u ,故01==a u u ,可逆电动机不转动,调压器的滑动触点停留在某个合适的位置上,使c u 保持一定的数值。
这时,炉子散失的热量正好等于从加热器吸取的热量,形成稳定的热平衡状态,温度保持恒定。
当炉膛温度T °C 由于某种原因突然下降(例如炉门打开造成的热量流失),则出现以下的控制过程:控制的结果是使炉膛温度回升,直至T °C 的实际值等于期望值为止。
第1章 习题答案1-3题 系统的控制任务是保持发电机端电压U 不变。
当负载恒定发电机的端电压U 等于设定值0U 时,0U ∆=,电动机不动,电位器滑臂不动,励磁电流f I 恒定;当负载改变,发电机的端电压U 不等于设定值0U 时,0U ∆≠,U ∆经放大器放大后控制电动机转动,电位器滑臂移动动,使得励磁电流f I 改变,调整发电机的端电压U ,直到0U U =。
系统框图为:1-4题 (1)在炉温控制系统中,输出量为电炉内温度,设为c T ;输入量为给定毫伏信号,设为r u ;扰动输入为电炉的环境温度和自耦调压器输入电压的波动等;被控对象为电炉;控制装置有电压放大器、功率放大器、可逆电动机、减速器、调压器等。
(2)炉温控制系统的任务是使炉内温度值保持不变。
当炉内温度与设定温度相等时,r u 等于f u ,即0u =,可逆电动机电枢电压为0,电动机不转动,调压器滑臂不动,炉温温度不改变。
若实际温度小于给定温度,0r f u u u =->,经放大后控制可逆电动机转动使调压器滑臂上移,使加热器电压增大,调高炉温;若实际温度大于给定温度,0r f u u u =-<,经放大后控制可逆电动机转动使调压器滑臂下移,使加热器电压减小,降低炉温。
使得f u 和r u 之间的偏差减小甚至消除,实现了温度的自动控制。
1-5题 (1) 在水位控制系统中,输出量为水位高度H ;输入量为给定电压g u ;扰动输入为出水量等。
(2)当实际水位高度H 为设定高度时,与受浮球控制的电位器滑臂位置对应的f u 与给定电压g u 相等,电动机不转动,进水阀门维持不变。
若水位下降,电位器滑臂上移,f u 增大,偏差0g f u u u ∆=-<,经放大后控制电动机逆转调大进水阀门,加大进水量使水位升高;若水位升高降,电位器滑臂下移,f u 减小,偏差0g f u u u ∆=->,经放大后控制电动机正转调小进水阀门,减小进水量使水位下降,实现了水位的自动控制。
自动控制原理课后习题答案 第二章2.1 试分别写出图2.68中各无源电路的输入u r (t )与输出u c (t )之间的微分方程。
图2.68 习题2.1图解: (a)11r c u u i R -=,2()r c C u u i -=,122c u i i R +=,12122121212c c r r R R R R R Cu u Cu u R R R R R R +=++++ (b) 11()r c C u u i -=,121r u u i R -=,1221i i C u +=,121c u i R u =+, 121211122112121121()()c c c r r r R R C C u R C R C R C u u R R C C u R C R C u u ++++=+++(c)11r cu u i R -=,112()r C u u i -=,1122u i i R +=,1121c u i dt u C =+⎰, 121212222112122221()()c c c r r r R R C C u R C R C R C u u R R C C u R C R C uu ++++=+++2.2 试证明图2.69(a)所示电路与图2.69(b)所示的机械系统具有相同的微分方程。
图2.69(b)中X r (t )为输入,X c (t )为输出,均是位移量。
(a) (b)图2.69 习题2.2图解: (a)11r cu u i R -=,12()r c C u u i -=,12i i i +=,221c u idt iR C =+⎰, 121211122212121122()()c c c r r r R R C C u R C R C R C u u R R C C u R C R C u u ++++=+++(b) 2121()c B x x K x -=,1121()()()r c r c c B x x K x x B x x -+-=-,121221212121211212()()c c c r r r B B B B B B B B Bx x x x x x K K K K K K K K K ++++=+++2.3 试分别求出图2.70中各有源电路的输入u r (t )与输出u c (t )之间的微分方程。
第八章 非线性控制系统分析练习题及答案8-2 设一阶非线性系统的微分方程为3x x x+-= 试确定系统有几个平衡状态,分析平衡状态的稳定性,并画出系统的相轨迹。
解 令 x=0 得 -+=-=-+=x x x x x x x 321110()()()系统平衡状态x e =-+011,,其中:0=e x :稳定的平衡状态;1,1+-=e x :不稳定平衡状态。
计算列表,画出相轨迹如图解8-1所示。
可见:当x ()01<时,系统最终收敛到稳定的平衡状态;当x ()01>时,系统发散;1)0(-<x 时,x t ()→-∞; 1)0(>x 时,x t ()→∞。
注:系统为一阶,故其相轨迹只有一条,不可能在整个 ~xx 平面上任意分布。
8-3 试确定下列方程的奇点及其类型,并用等倾斜线法绘制相平面图。
(1) x xx ++=0 (5) ⎩⎨⎧+=+=2122112x x xx x x解 (1) 系统方程为x -2 -1 -13 0 131 2x-6 0 0.385 0 -0.385 0 6 x 11 2 01 0211图解8-1 系统相轨迹⎩⎨⎧<=-+I I >=++I )0(0:)0(0:x x x x x x x x令0x x ==,得平衡点:0e x =。
系统特征方程及特征根:21,221,21:10,()2:10, 1.618,0.618()s s s s s s I II ⎧++==-±⎪⎨⎪+-==-+⎩稳定的焦点鞍点(, ) , , x f x x x x dxdxxx x dx dx x x x x x==--=--==--=-+=ααβ111⎪⎪⎩⎪⎪⎨⎧<-=>--=)0(11:II )0(11:I x x βαβα计算列表用等倾斜线法绘制系统相平面图如图解8-2(a )所示。
图解8-2(a )系统相平面图(5) xx x 112=+ ① 2122x x x+= ② 由式①: x xx 211=- ③ 式③代入②: ( )( )x xx x x 111112-=+- 即 x x x 11120--= ④ 令 x x110== 得平衡点: x e =0 由式④得特征方程及特征根为 ⎩⎨⎧-==--414.0414.20122,12λs s (鞍点) 画相轨迹,由④式x xdxdx x x x 1111112===+α xx 112=-α 计算列表用等倾斜线法绘制系统相平面图如图解8-2(b )所示。
8-4 若非线性系统的微分方程为(1) ( .) x x x x x +-++=30502 (2) x xxx ++=0 试求系统的奇点,并概略绘制奇点附近的相轨迹图。
解(1) 由原方程得(, )( .) . x f x xx x x x x x x x ==----=-+--305305222 令 x x110== 得 x x x x +=+=210() 解出奇点 x e =-01,在奇点处线性化处理。
在x e =0处:(, )(, ) ()( .) . x f x x xx f x xxxx x xx x x x xx xx x x x =⋅+⋅=--⋅+-+⋅=-+========∂∂∂∂0000001260505即. x x x -+=050 特征方程及特征根s j 1220505420250984,....=±-=± (不稳定的焦点)在x e =-1处 x x xxx x xxx xx 5.0)5.06()21(0101+=⋅+-+⋅--==-==-= 即. x x x --=050 特征根 ⎩⎨⎧-=+±=718.0218.1245.05.022,1s (鞍点) 概略画出奇点附近的相轨迹如图解8-4(1)所示:(2) 由原方程(, ) x f x xxx x ==-- 令x x ==0 得奇点 x e =0,在奇点处线性化( ) xf xx fxxx x x x x xx xx x x x =⋅+⋅=--⋅-⋅========∂∂∂∂00001得 x x =- 即x x +=0 特征根 s j 12,=±。
奇点x e =0(中心点)处的相轨迹如图解8-4(2)所示。
8-5 非线性系统的结构图如图8-36所示。
系统开始是静止的,输入信号)(14)(t t r ⨯=,试写出开关线方程,确定奇点的位置和类型,画出该系统的相平面图,并分析系统的运动特点。
解 由结构图,线性部分传递函数为C s M s s()()=12 得 ()()ct m t = ① 由非线性环节有⎪⎩⎪⎨⎧III -<+II>-I ≤=22)(22)(20)(e t e e t e e t m ②由综合点得c t r t e t e t ()()()()=-=-4 ③ 将③、②代入①得⎪⎩⎪⎨⎧-<-->-≤=III2)(2II 2)(2I 20)(e t e e t e e t e开关线方程为 e t ()=±202:)(0)(:=-+I I ==I e ec e t e常数令 e e ==0 得奇点 e 02II =特征方程及特征根 s s j 21210+==±,, (中心点)III : e e ++=20令 e e ==0 得奇点 e 02III=-特征方程及特征根 s s j 21210+==±,, (中心点)绘出系统相轨迹如图解8-5所示,可看出系统运动呈现周期振荡状态。
8-10 已知具有理想继电器的非线性系统如图8-38所示。
图8-38 具有理想继电器的非线性系统试用相平面法分析:(1)T d =0时系统的运动;(2)T d =05.时系统的运动,并说明比例微分控制对改善系统性能的作用; (3)T d =2时系统的运动特点。
解 依结构图,线性部分微分方程为c u = ①非线性部分方程为 ⎩⎨⎧II <+-I >+=0101eT e eT e u d d ②开关线方程: eT e d=-1 由综合口: c r e e =-=-1 ③ ③、②代入①并整理得⎩⎨⎧II<++I>+-=0101d d eT e eT e e 在 I 区: ee dede ==-1 解出: ()e e e 220=-> (抛物线) 同理在 II 区可得:()ee e 220=< (抛物线)开关线方程分别为T d =0时, e =0;T d =05.时, ee =-2; T d =2 时, .ee =-05. 概略作出相平面图如图解8-7所示。
图习题集P178 T8-10由相平面图可见:加入比例微分控制可以改善系统的稳定性;当微分作用增强时,系统振荡性减小,响应加快。
8-12 三个非线性系统的非线性环节一样,线性部分分别为(1) G s s s ()(.)=+1011(2) G s s s ()()=+21(3) G s s s s s ()(.)()(.)=+++21511011试问用描述函数法分析时,哪个系统分析的准确度高?解 线性部分低通滤波特性越好,描述函数法分析结果的准确程度越高。
分别作出三个系统线性部分的对数幅频特性曲线如图解8-10所示。
由对数幅频特性曲线可见,L 2的高频段衰减较快,低通滤波特性较好,所以系统(2)的描述函数法分析结果的准确程度较高。
8-14 将图8-40所示非线性系统简化成环节串联的典型结构图形式,并写出线性部分的传递函数。
图8-40 非线性系统结构图解 (a) 将系统结构图等效变换为图解8-11(a )的形式。
G s G s H s ()()[()]=+111(b) 将系统结构图等效变换为图解8-11(b)的形式。
G s H s G s G s ()()()()=+11118-17 已知非线性系统的结构图如图8-42所示图8-42 8-13题图图中非线性环节的描述函数为N A A A A ()()=++>62试用描述函数法确定:(1)使该非线性系统稳定、不稳定以及产生周期运动时,线性部分的K值范围; (2)判断周期运动的稳定性,并计算稳定周期运动的振幅和频率。
解 (1)-=-++126N A A A ()()-=--∞=-101311N N (),()dN A dA A ()()=-+<4202N(A)单调降,)(1A N -也为单调降函数。
画出负倒描述函数曲线)(1A N -和G j ()ω曲线如图解8-13所示,可看出,当K 从小到大变化时,系统会由稳定变为自振,最终不稳定。
求使 Im [G j ()]ω=0 的ω值:令 ∠=-︒-=-︒G j arctg ()ωω902180 得 arctg ωω=︒=451,令 G j K()ωωωωω===+12211⎪⎩⎪⎨⎧=→=→==213231231K K K 可得出K 值与系统特性之间的关系:(2)由图解8-13可见,当)(1A N -和G j ()ω相交时,系统一定会自振。
由自振条件N A G j A A K A KA ()()()()ωω==++⋅-=-++=-16226221 ()A K A +=+624解出 )232(1246<<⎪⎩⎪⎨⎧=--=K KK A ω 8-18 非线性系统如图8-44所示,试用描述函数法分析周期运动的稳定性,并确定系统输出信号振荡的振幅和频率。
解 将系统结构图等效变换为图解8-15。
G j j j j ()()()ωωωωωω=+=-+-+10110110122222.042.014)(A j A A A N ππ⨯-⎪⎭⎫ ⎝⎛-= ⎥⎥⎦⎤⎢⎢⎣⎡-⎪⎭⎫ ⎝⎛-=A jA A 2.02.0142π11 211()40.20.21A N A j A A π--=⎛⎫-- ⎪⎝⎭20.20.214A j A A ππ-⎛⎫=-- ⎪⎝⎭ 令G j ()ω与)(1A N -的实部、虚部分别相等得222.014110⎪⎭⎫ ⎝⎛-=+A A πω 10102401572ωωπ()..+== 两式联立求解得 ω==3910806.,.A 。
由图8-44,0)(=t r 时,有)(51)()(t x t e t c =-=,所以)(t c 的振幅为161.05806.0=。