数字信号处理 答案 第二章
- 格式:doc
- 大小:2.61 MB
- 文档页数:50
第二章作业题 答案%%%%%%%%%%%%%%%%%%%%%%%%%%%%%%%%%%%%%%%%%%%%%%%%%%%%%%%2.1将序列1,01,1()0,22,30,n n x n n n =⎧⎪-=⎪⎪==⎨⎪=⎪⎪⎩其他表示为()u n 及()u n 延迟的和。
解:首先将表示为单位脉冲序列的形式:()x n ()()()()=123x n n n n δδδ--+-对于单位脉冲函数,用单位阶跃序列表示,可得:()n δ()u n ()()()1n u n u n δ=--将上式带入到的单位脉冲序列表达式中,可得:()x n ()()()()()()()()()()()()()()()1231122342122324x n n n n u n u n u n u n u n u n u n u n u n u n u n δδδ=--+-=------+---⎡⎤⎡⎤⎣⎦⎣⎦=--+-+---%%%%%%%%%%%%%%%%%%%%%%%%%%%%%%%%%%%%%%%%%%%%%%%%%%%%%%%2.5判断下列序列中,哪一个是周期序列,如果是周期序列,求出它的周期。
(1)()sin1.2x n n =(2)()sin 9.7x n n π=(5)()sin()cos()47nnx n ππ=-解:理论分析详见P18性质7)周期序列题中设计到的是正弦信号,对于正弦信号,分析其周期性,则()0()sin x n A n ωϕ=+需判断:2πω1)为整数,则周期;2)为有理数,则周期;3)为无理数则非周期。
观察(1)、(2)、(5),依次为:、、,从而可知0ω0 1.2ω=09.7ωπ=12,47ππωω==(1)为非周期,(2)、(5)为周期序列。
(2)中,,因此周期。
022209.797ππωπ==20N =(5)中,第一部分周期为,第二部分周期为,因此序列1028N πω==20214N πω==周期为。
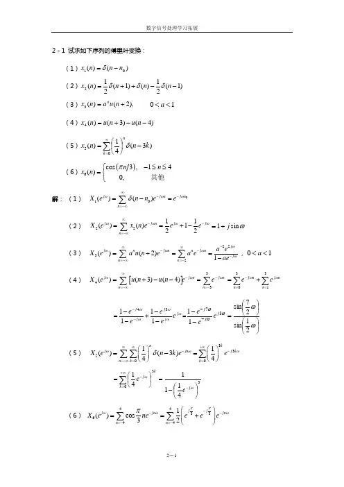
2-1 试求如下序列的傅里叶变换: (1))()(01n n n x -=δ (2))1(21)()1(21)(2--++=n n n n x δδδ (3)),2()(3+=n u a n x n10<<a(4))4()3()(4--+=n u n u n x(5)∑∞=-⎪⎭⎫⎝⎛=05)3(41)(k nk n n x δ(6)()6cos ,14()0,n n x n π⎧-≤≤=⎨⎩其他解: (1) 010()()j n j j nn X e n n ee ωωωδ∞--=-∞=-=∑(2) 2211()()122j j nj j n X e x n e e e ωωωω∞--=-∞==+-∑ωsin 1j +=(3) 2232()(2)1j j nj nn j nj n n a e X e a u n ea eaeωωωωω-∞∞---=-∞=-=+==-∑∑, 10<<a(4) []4()(3)(4)j j nn X e u n u n eωω∞-=-∞=+--∑∑-=-=33n nj e ω∑∑==-+=313n n j n nj e eωωωωωωωj j j j j e e e e e --+--=--111134=⎪⎭⎫ ⎝⎛⎪⎭⎫⎝⎛=----ωωωω21sin 27sin 1137j j j e ee(5) 3350011()(3)44n kj jn j k n k k X e n k e e ωωωδ∞∞+∞--=-∞==⎛⎫⎛⎫=-= ⎪ ⎪⎝⎭⎝⎭∑∑∑∑∞+=--⎪⎭⎫⎝⎛-=⎪⎭⎫⎝⎛=033411141k j kj e e ωω(6) 44336441()cos 32j j j jn jn n n X e nee e e ππωωωπ---=-=-⎛⎫==+ ⎪⎝⎭∑∑994()()4()()3333001122j j n j j n n n e e e e ππππωωωω--++===+∑∑ ()9()9334()4()33()()3311112211j j j j j j e e e e e e ππωωππωωππωω-+-+-+⎡⎤⎡⎤--⎢⎥⎢⎥=+⎢⎥⎢⎥++⎢⎥⎢⎥⎣⎦⎣⎦2-2 设信号}1,2,3,2,1{)(---=n x ,它的傅里叶变换为)(ωj e X ,试计算(1)0()j X e (2)()j X ed πωπω-⎰(3)2()j X e d πωπω-⎰。
第二章习题解答1、求下列序列的z 变换()X z ,并标明收敛域,绘出()X z 的零极点图。
(1) 1()()2nu n (2) 1()()4nu n - (3) (0.5)(1)nu n --- (4) (1)n δ+(5) 1()[()(10)]2nu n u n -- (6) ,01na a <<解:(1) 00.5()0.50.5nn n n zZ u n z z ∞-=⎡⎤==⎣⎦-∑,收敛域为0.5z >,零极点图如题1解图(1)。
(2) ()()014()1414n nn n z Z u n z z ∞-=⎡⎤-=-=⎣⎦+∑,收敛域为14z >,零极点图如题1解图(2)。
(3) ()1(0.5)(1)0.50.5nnn n zZ u n z z --=-∞-⎡⎤---=-=⎣⎦+∑,收敛域为0.5z <,零极点图如题1解图(3)。
(4) [](1Z n z δ+=,收敛域为z <∞,零极点图如题1解图(4)。
(5) 由题可知,101010910109(0.5)[()(10)](0.5)()(0.5)(10)0.50.50.50.50.50.5(0.5)n n nZ u n u n Z u n Z u n z z z z z z z z z z z --⎡⎤⎡⎤⎡⎤--=--⎣⎦⎣⎦⎣⎦⋅=-----==--收敛域为0z >,零极点图如题1解图(5)。
(6) 由于()(1)nn n a a u n a u n -=+--那么,111()(1)()()()nn n Z a Z a u n Z a u n z z z a z a z a a z a z a ----⎡⎤⎡⎤⎡⎤=---⎣⎦⎣⎦⎣⎦=----=-- 收敛域为1a z a <<,零极点图如题1解图(6)。
(1) (2) (3)(4) (5) (6)题1解图2、求下列)(z X 的反变换。
【最新整理,下载后即可编辑】第二章2.1 判断下列序列是否是周期序列。
若是,请确定它的最小周期。
(1)x(n)=Acos(685ππ+n )(2)x(n)=)8(π-ne j (3)x(n)=Asin(343ππ+n )解 (1)对照正弦型序列的一般公式x(n)=Acos(ϕω+n ),得出=ω85π。
因此5162=ωπ是有理数,所以是周期序列。
最小周期等于N=)5(16516取k k =。
(2)对照复指数序列的一般公式x(n)=exp[ωσj +]n,得出81=ω。
因此πωπ162=是无理数,所以不是周期序列。
(3)对照正弦型序列的一般公式x(n)=Acos(ϕω+n ),又x(n)=Asin(343ππ+n )=Acos(-2π343ππ-n )=Acos(6143-n π),得出=ω43π。
因此382=ωπ是有理数,所以是周期序列。
最小周期等于N=)3(838取k k =2.2在图2.2中,x(n)和h(n)分别是线性非移变系统的输入和单位取样响应。
计算并列的x(n)和h(n)的线性卷积以得到系统的输出y(n),并画出y(n)的图形。
(a)1111(b)(c)111110 0-1-1-1-1-1-1-1222222 3333444………nnn nnnx(n)x(n)x(n)h(n)h(n)h(n)21u(n)u(n)u(n)a n ===22解 利用线性卷积公式y(n)=∑∞-∞=-k k n h k x )()(按照折叠、移位、相乘、相加、的作图方法,计算y(n)的每一个取样值。
(a) y(0)=x(O)h(0)=1y(l)=x(O)h(1)+x(1)h(O)=3y(n)=x(O)h(n)+x(1)h(n-1)+x(2)h(n-2)=4,n ≥2 (b) x(n)=2δ(n)-δ(n-1)h(n)=-δ(n)+2δ(n-1)+ δ(n-2) y(n)=-2δ(n)+5δ(n-1)= δ(n-3) (c) y(n)= ∑∞-∞=--k kn k n u k u a)()(=∑∞-∞=-k kn a=aa n --+111u(n)2.3 计算线性线性卷积 (1) y(n)=u(n)*u(n) (2) y(n)=λn u(n)*u(n)解:(1) y(n)=∑∞-∞=-k k n u k u )()( =∑∞=-0)()(k k n u k u =(n+1),n ≥0 即y(n)=(n+1)u(n)(2) y(n)=∑∞-∞=-k k k n u k u )()(λ=∑∞=-0)()(k kk n u k u λ=λλ--+111n ,n ≥0即y(n)=λλ--+111n u(n)2.4 图P2.4所示的是单位取样响应分别为h 1(n)和h 2(n)的两个线性非移变系统的级联,已知x(n)=u(n), h 1(n)=δ(n)-δ(n-4), h 2(n)=a n u(n),|a|<1,求系统的输出y(n).解ω(n)=x(n)*h1(n)=∑∞-∞=k ku)([δ(n-k)-δ(n-k-4)] =u(n)-u(n-4)y(n)=ω(n)*h2(n)=∑∞-∞=k k k ua)([u(n-k)-u(n-k-4)]=∑∞-=3nk ka,n≥32.5 已知一个线性非移变系统的单位取样响应为h(n)=a n-u(-n),0<a<1 用直接计算线性卷积的方法,求系统的单位阶跃响应。
第二章2.1 判断下列序列是否是周期序列。
若是,请确定它的最小周期.(1)x (n )=Acos(685ππ+n ) (2)x (n)=)8(π-ne j(3)x (n)=Asin(343ππ+n ) 解 (1)对照正弦型序列的一般公式x (n )=Acos (ϕω+n ),得出=ω85π。
因此5162=ωπ是有理数,所以是周期序列。
最小周期等于N=)5(16516取k k =。
(2)对照复指数序列的一般公式x (n )=exp[ωσj +]n,得出81=ω。
因此πωπ162=是无理数,所以不是周期序列。
(3)对照正弦型序列的一般公式x (n)=Acos(ϕω+n ),又x (n)=Asin (343ππ+n )=Acos (-2π343ππ-n )=Acos(6143-n π),得出=ω43π.因此382=ωπ是有理数,所以是周期序列。
最小周期等于N=)3(838取k k =2.2在图2.2中,x (n )和h(n)分别是线性非移变系统的输入和单位取样响应。
计算并列的x (n )和h (n)的线性卷积以得到系统的输出y(n ),并画出y(n)的图形。
(a)1111(b)(c)111110 0-1-1-1-1-1-1-1-1222222 33333444………nnn nnnx(n)x(n)x(n)h(n)h(n)h(n)21u(n)u(n)u(n)a n ===22解 利用线性卷积公式y(n )=∑∞-∞=-k k n h k x )()(按照折叠、移位、相乘、相加、的作图方法,计算y(n)的每一个取样值。
(a ) y (0)=x (O)h (0)=1y (l )=x (O )h(1)+x (1)h (O)=3y (n)=x(O)h (n )+x (1)h(n-1)+x(2)h (n —2)=4,n ≥2 (b) x(n )=2δ(n )-δ(n-1)h(n)=-δ(n)+2δ(n —1)+ δ(n —2)y(n )=-2δ(n)+5δ(n —1)= δ(n-3) (c ) y (n )=∑∞-∞=--k kn k n u k u a)()(=∑∞-∞=-k kn a=aa n --+111u (n )2。
数字信号处理第2章习题解答2.1 今对三个正弦信号1()cos(2)a x t t π=,2()cos(6)a x t t π=-,3()cos(10)a x t t π=进行理想采样,采样频率为8s πΩ=,求这三个序列输出序列,比较其结果。
画出1()a x t 、2()a x t 、3()a x t 的波形及采样点位置并解释频谱混淆现象。
解:采样周期为2184T ππ== 三个正弦信号采样得到的离散信号分别表示如下:1()cos(2)cos()42a n x n n ππ=⋅=2()cos(6)cos()42a n x n n ππ=-⋅=-3()cos(10)cos()42a n x n n ππ=⋅=输出序列只有一个角频率2π,其中1()a x n 和3()a x n 采样序列完全相同,2()a x n 和1()a x n 、3()a x n 采样序列正好反相。
三个正弦信号波形及采样点位置图示如下:tx a 1(t )tx a 2(t )tx a 3(t )三个正弦信号的频率分别为1Hz 、3Hz 和5Hz ,而采样频率为4Hz ,采样频率大于第一个正弦信号频率的两倍,但是小于后两个正弦信号频率的两倍,因而由第一个信号的采样能够正确恢复模拟信号,而后两个信号的采样不能准确原始的模拟信号,产生频谱混叠现象。
2.3 给定一连续带限信号()a x t 其频谱当f B >时,()a X f 。
求以下信号的最低采样频率。
(1)2()a x t (2)(2)a x t (3)()cos(7)a x t Bt π解:设()a x t 的傅里叶变换为()a X j Ω(1)2()a x t 的傅里叶变换为22()[()]Ba a BX j X j d ππωωω-⋅Ω-⎰因为22,22B B B B πωππωπ-≤≤-≤Ω-≤ 所以44B B ππ-≤Ω≤即2()a x t 带限于2B ,最低采样频率为4B 。
习题1.设X(e"。
)和r(e JC0)分别是印7)和)仞的傅里叶变换,试求下面序列的傅里叶变换:(1) x("-"o) (3) x(-n) (5) x(")y(")(7) x(2n)⑵ x*(〃)(4) x(") * v(«) (6) nx(n) (8) /(〃)解:⑴00 FT[X(/7-Z70)] = £x(〃一〃o)e—S令n r = n-n0,即〃=n' + n Q,贝!J00FT[x(n-n o y\=工》(〃')以"''*""="初。
乂(烈)00 00(2)FT[x («)] = £ x* (n)e*= [ £ 戏〃)攻以]* = X* (e「W=—00 w=—00(3)00FT[x(—")]= 〃)e*"令=一〃,则00FT[x(—”)]= Zx(〃')e" =X(e—〃")”'=—00(4)00 x(〃) *'(〃)= ^\x(jrT)y(n -m)W=-0000 00FT[x(n) * v(w)] = Z【Z x("y("-初)]e""' n=-<x> w=-oo k = n-m,贝U00 00FT[x(ri)*y(ri)]= £[ £x(初) k=—CD W=-0000 00k=-<x> m=—cc= X(e5(em)_00 00 1时[x(M)贝〃)]= Z》(〃)贝〃)e「9 = Zx(〃)[-Lf/(em'"'"d 渺]e-加""=—00 〃=—00 2l "1 00=—£ Y(e j0)')2l " n=—<x>1 伙=一L "口")*?®"、技或者FT[x{n)y{ny\ = —「171 »兀oo(6)因为X(e,")= »("初,对该式两边口求导,得到叫、)=-J £仗"如=-jFT[nx(n)]因此矶孙(〃)]=j至@3)dco00⑺ FT\x(2ri)\=加n=-(x)令n' = 2n ,则FT[X(2W)]= £x(z/)e 7 %W--00,且取偶数00 1 r r・l 八1°0 . 1 00 . 1£?kO + (T)“x(")厂=| 广伽+£ef ("广伽〃=—oo 匕匕〃=—oo 〃=—00=L「xa*+x(/*E)F7[x(2z?)] = | X(e‘2") + X(—e'尸)(8) F7[X2(»)]= J X2(77)6^»=-OO利用(5)题结果,令x{n) = y{n),则F巾2(”)] = _£x(em)*X(eS) = —「X®。
2-1 试求如下序列的傅里叶变换: (1))()(01n n n x -=δ (2))1(21)()1(21)(2--++=n n n n x δδδ (3)),2()(3+=n u a n x n10<<a(4))4()3()(4--+=n u n u n x(5)∑∞=-⎪⎭⎫⎝⎛=05)3(41)(k nk n n x δ(6)()6cos ,14()0,n n x n π⎧-≤≤=⎨⎩其他解: (1) 010()()j n j j nn X e n n ee ωωωδ∞--=-∞=-=∑(2) 2211()()122j j nj j n X e x n e e e ωωωω∞--=-∞==+-∑ωsin 1j +=(3) 2232()(2)1j j nj nn j nj n n a e X e a u n ea eaeωωωωω-∞∞---=-∞=-=+==-∑∑, 10<<a(4) []4()(3)(4)j j nn X e u n u n eωω∞-=-∞=+--∑∑-=-=33n nj e ω∑∑==-+=313n n j n nj e eωω(等比数列求解)ωωωωωj j j j j e e e e e --+--=--111134=⎪⎭⎫ ⎝⎛⎪⎭⎫⎝⎛=----ωωωωω21sin 27sin 1137j j j e ee ((1-e^a)提出e^(0.5a))(5) 3350011()(3)44nkj jn j k n k k X e n k e e ωωωδ∞∞+∞--=-∞==⎛⎫⎛⎫=-= ⎪ ⎪⎝⎭⎝⎭∑∑∑∑∞+=--⎪⎭⎫⎝⎛-=⎪⎭⎫⎝⎛=033411141k j kj e e ωω(6) 44336441()cos 32j j j jn jn n n X e nee e e ππωωωπ---=-=-⎛⎫==+ ⎪⎝⎭∑∑994()()4()()3333001122j j n j j n n n e e e e ππππωωωω--++===+∑∑ ()9()9334()4()33()()3311112211j j j j j j e e e e e e ππωωππωωππωω-+-+-+⎡⎤⎡⎤--⎢⎥⎢⎥=+⎢⎥⎢⎥++⎢⎥⎢⎥⎣⎦⎣⎦2-2 设信号}1,2,3,2,1{)(---=n x ,它的傅里叶变换为)(ωj e X ,试计算(1)0()j X e (2)()j X ed πωπω-⎰(3)2()j X e d πωπω-⎰。
页脚内容1数字信号处理习题解答 第二章 数据采集技术基础2.1 有一个理想采样系统,其采样角频率Ωs =6π,采样后经理想低通滤波器H a (j Ω)还原,其中⎪⎩⎪⎨⎧≥Ω<Ω=Ωππ30321)(,,j H a 现有两个输入,x 1(t )=cos2πt ,x 2(t )=cos5πt 。
试问输出信号y 1(t ),y 2(t )有无失真?为什么? 分析:要想时域采样后能不失真地还原出原信号,则采样角频率Ωs 必须大于等于信号谱最高角频率Ωh 的2倍,即满足Ωs ≥2Ωh 。
解:已知采样角频率Ωs =6π,则由香农采样定理,可得 因为x 1(t )=cos2πt ,而频谱中最高角频率πππ32621=<=Ωh ,所以y 1(t )无失真; 因为x 2(t )=cos5πt ,而频谱中最高角频率πππ32652=>=Ωh ,所以y 2(t )失真。
2.2 设模拟信号x (t )=3cos2000πt +5sin6000πt +10cos12000πt ,求:(1) 该信号的最小采样频率;(2) 若采样频率f s =5000Hz ,其采样后的输出信号;分析:利用信号的采样定理及采样公式来求解。
○1采样定理 采样后信号不失真的条件为:信号的采样频率f s 不小于其最高频率f m 的两倍,即页脚内容2f s ≥2f m○2采样公式 )()()(s nT t nT x t x n x s===解:(1)在模拟信号中含有的频率成分是f 1=1000Hz ,f 2=3000Hz ,f 3=6000Hz∴信号的最高频率f m =6000Hz由采样定理f s ≥2f m ,得信号的最小采样频率f s =2f m =12kHz (2)由于采样频率f s =5kHz ,则采样后的输出信号⎪⎪⎭⎫ ⎝⎛⎪⎭⎫ ⎝⎛-⎪⎪⎭⎫ ⎝⎛⎪⎭⎫ ⎝⎛=⎪⎪⎭⎫ ⎝⎛⎪⎭⎫ ⎝⎛+⎪⎪⎭⎫ ⎝⎛⎪⎭⎫ ⎝⎛-⎪⎪⎭⎫ ⎝⎛⎪⎭⎫ ⎝⎛=⎪⎪⎭⎫ ⎝⎛⎪⎭⎫ ⎝⎛++⎪⎪⎭⎫ ⎝⎛⎪⎭⎫ ⎝⎛-+⎪⎪⎭⎫ ⎝⎛⎪⎭⎫ ⎝⎛=⎪⎪⎭⎫⎝⎛⎪⎭⎫ ⎝⎛+⎪⎪⎭⎫ ⎝⎛⎪⎭⎫ ⎝⎛+⎪⎪⎭⎫ ⎝⎛⎪⎭⎫ ⎝⎛=⎪⎪⎭⎫⎝⎛====n n n n n n n n n n n f n x nT x t x n x s s nT t s522sin 5512cos 13512cos 10522sin 5512cos 35112cos 105212sin 5512cos 3562cos 10532sin 5512cos 3)()()(πππππππππππ 说明:由上式可见,采样后的信号中只出现1kHz 和2kHz 的频率成分,即kHzf f f kHzf f f ss 25000200052150001000512211======,,页脚内容3若由理想内插函数将此采样信号恢复成模拟信号,则恢复后的模拟信号()()t t t f t f t y ππππ4000sin 52000cos 132sin 52cos 13)(21-=-=可见,恢复后的模拟信号y (t ) 不同于原模拟信号x (t ),存在失真,这是由于采样频率不满足采样定理的要求,而产生混叠的结果。
数字信号处理答案2和3章(DOC)合工大《数字信号处理》习题答案第2章 习 题2.1)1()()1()2(2)4()(-+++-+++=n n n n n n x δδδδδ)6(2)4(5.0)3(4)2(2-+-+-+-+n n n n δδδδ 2.3 (1)31420=ωπ,所以周期为14。
(2)πωπ1620=,是无理数,所以)(n x 是非周期的。
2.4 设系统分别用下面的差分方程描述,)(n x 与)(n y 分别表示系统输入和输出,判断系统是否是线性非时变的。
(1))()(0n n x n y -=(2))()(2n xn y =(3))sin()()(n n x n y ω= (4))()(n x e n y =2.4 (1)由于)()]([0n n x n x T -=)()()]([0m n y n m n x m n x T -=--=-所以是时不变系统。
)()()()()]()([21020121n by n ay n n bx n n ax n bx n ax T +=-+-=+所以是线性系统。
(2))()()]([2m n y m n x m n x T -=-=-,所以是时不变系统。
)()()]()([)]()([2122121n by n ay n bx n ax n bx n ax T +≠+=+,所以是非线性系统。
(3))()sin()()]([m n y n m n x m n x T -≠-=-ω,所以不是时不变系统。
)()()sin()]()([)]()([212121n by n ay n n bx n ax n bx n ax T +=+=+ω,所以是线性系统。
(4))()()]()([21)()()]()([212121n by n ay e e en bx n ax T n bx n ax n bx n ax +≠==++,所以是非线性系统。
————第二章————教材第二章习题解答1. 设()jw X e 和()jw Y e 分别是()x n 和()y n 的傅里叶变换,试求下面序列的傅里叶变换: (1)0()x n n -; (2)()x n -; (3)()()x n y n ; (4)(2)x n 。
解:(1)00[()]()jwnn FT x n n x n n e∞-=-∞-=-∑令''00,n n n n n n =-=+,则'00()'0[()]()()jw n n jwn jw n FT x n n x n e e X e ∞-+-=-∞-==∑(2)****[()]()[()]()jwnjwn jw n n FT x n x n ex n e X e -∞∞-=-∞=-∞===∑∑(3)[()]()jwnn FT x n x n e∞-=-∞-=-∑令'n n =-,则'''[()]()()jwn jw n FT x n x n eX e ∞-=-∞-==∑(4) [()*()]()()jwjwFT x n y n X e Y e = 证明: ()*()()()m x n y n x m y n m ∞=-∞=-∑[()*()][()()]jwnn m FT x n y n x m y n m e ∞∞-=-∞=-∞=-∑∑令k=n-m ,则[()*()][()()] ()() ()()jwk jwnk m jwkjwnk m jw jw FT x n y n x m y k eey k e x m eX e Y e ∞∞--=-∞=-∞∞∞--=-∞=-∞===∑∑∑∑2. 已知001,()0,jww w X e w w π⎧<⎪=⎨<≤⎪⎩求()jw X e 的傅里叶反变换()x n 。
解: 00sin 1()2w jwn w w nx n e dw nππ-==⎰3. 线性时不变系统的频率响应(传输函数)()()(),jw jw j w H e H e eθ=如果单位脉冲响应()h n 为实序列,试证明输入0()cos()x n A w n ϕ=+的稳态响应为00()()cos[()]jw y n A H e w n w ϕθ=++。
————第二章————教材第二章习题解答1. 设()jw X e 和()jw Y e 分别是()x n 和()y n 的傅里叶变换,试求下面序列的傅里叶变换: (1)0()x n n -; (2)()x n -; (3)()()x n y n ; (4)(2)x n 。
解:(1)00[()]()jwnn FT x n n x n n e∞-=-∞-=-∑令''00,n n n n n n =-=+,则'00()'0[()]()()jw n n jwn jw n FT x n n x n e e X e ∞-+-=-∞-==∑(2)****[()]()[()]()jwnjwn jw n n FT x n x n ex n e X e -∞∞-=-∞=-∞===∑∑(3)[()]()jwnn FT x n x n e∞-=-∞-=-∑令'n n =-,则'''[()]()()jwn jw n FT x n x n eX e ∞-=-∞-==∑(4) [()*()]()()jwjwFT x n y n X e Y e = 证明: ()*()()()m x n y n x m y n m ∞=-∞=-∑[()*()][()()]jwnn m FT x n y n x m y n m e ∞∞-=-∞=-∞=-∑∑令k=n-m ,则[()*()][()()] ()() ()()jwk jwnk m jwkjwnk m jw jw FT x n y n x m y k eey k e x m eX e Y e ∞∞--=-∞=-∞∞∞--=-∞=-∞===∑∑∑∑2. 已知001,()0,jww w X e w w π⎧<⎪=⎨<≤⎪⎩求()jw X e 的傅里叶反变换()x n 。
解: 00sin 1()2w jwn w w nx n e dw nππ-==⎰3. 线性时不变系统的频率响应(传输函数)()()(),jw jw j w H e H e eθ=如果单位脉冲响应()h n 为实序列,试证明输入0()cos()x n A w n ϕ=+的稳态响应为00()()cos[()]jw y n A H e w n w ϕθ=++。
第二章判断下列序列是否是周期序列。
若是,请确定它的最小周期。
( ) 685ππ+n ( ) )8(π-ne j ( )343ππ+n 解 对照正弦型序列的一般公式 ϕω+n ,得出=ω85π。
因此5162=ωπ是有理数,所以是周期序列。
最小周期等于)5(16516取k k =。
( )对照复指数序列的一般公式 ωσj + 得出81=ω。
因此πωπ162=是无理数,所以不是周期序列。
( )对照正弦型序列的一般公式 ϕω+n ,又343ππ+n = -2π343ππ-n = 6143-n π ,得出=ω43π。
因此382=ωπ是有理数,所以是周期序列。
最小周期等于 )3(838取k k =在图 中, 和 分别是线性非移变系统的输入和单位取样响应。
计算并列的 和 的线性卷积以得到系统的输出 ,并画出 的图形。
(a)1111(b)(c)111110 0-1-1-1-1-1-1-1-1222222 33333444………nnn nnnx(n)x(n)x(n)h(n)h(n)h(n)21u(n)u(n)u(n)a n ===22解 利用线性卷积公式∑∞-∞=-k k n h k x )()(按照折叠、移位、相乘、相加、的作图方法,计算 的每一个取样值。
≥ δ δδ δ δδ δ δ∑∞-∞=--kkn knuku a)()( ∑∞-∞=-kknaaa n--+111计算线性线性卷积λn解: ∑∞-∞=-kknuku)()(∑∞=-)()(kknuku ≥ 即∑∞-∞=-kk knuku)()(λ∑∞=-)()(kk knukuλ λλ--+111n≥即 λλ--+111n图 所示的是单位取样响应分别为 1 和 2 的两个线性非移变系统的级联,已知1 δ δ2 n 求系统的输出解 ω 1∑∞-∞=k k u )( δ δω 2∑∞-∞=k k k u a )(∑∞-=3n k ka≥已知一个线性非移变系统的单位取样响应为 n- 用直接计算线性卷积的方法,求系统的单位阶跃响应。
试证明线性卷积满足交换率、结合率和加法分配率。
证明 ( )交换律∑∞-∞=-kknykx)()(令 所以 又 ∞ ∞ 所以 ∞ ∞ 因此线性卷积公式变成∑∞-∞=---ttnnytnx)]([)(∑∞-∞=-ttytnx)()(交换律得证结合律∑∞-∞=-kknykx)()(∑∞-∞=t ∑∞-∞=-k k t y k x )()(∑∞-∞=k ∑∞-∞=t∑∞-∞=k ∑m∑∞-∞=k结合律得证 加法分配律∑∞-∞=k∑∞-∞=k ∑∞-∞=k加法分配律得证判断下列系统是否为线性系统、非线性系统、稳定系统、因果系统。
并加以证明32π 6π∑∞-∞=kkx)( ∑=nnkkx)(解 ( )设1122由于12≠1212故系统不是线性系统。
由于 因而故该系统是非移变系统。
故系统是稳定系统。
因 只取决于现在和过去的输入 不取决于未来的输入,故该系统是因果系统。
( )设∑-∞=n k k x )(1, ∑-∞=nk k x )(2,由于∑-∞=+nk k k )](bx )(ax [21∑-∞=n k k x )(1∑-∞=nk k x )(2故该系统是线性系统。
因∑--∞=t n k k x )( ∑-∞=-nm t m x )(所以该系统是非移变系统。
设 ∞∑-∞=nk M ∞,所以该系统是不稳定系统。
因 只取决于现在和过去的输入 ,不取决于未来的输入,故该系统是因果系统。
( )设 ∑=n n k k x 01)( , ∑=nn k k x 02)(,由于∑=+nn k k k 021)](bx )(ax [∑=n n k k x 01)( ∑=nn k k x 02)(故该系统是线性系统。
因 ∑-=tnn kkx)( ∑+=-ntnmtmx)(≠ ∑=-nn kt mx) (所以该系统是移变系统。
设 则limn→∞ limn→∞∞ 所以该系统不是稳定系统。
显而易见,若 ≥0。
则该系统是因果系统;若。
则该因果系统是非因果系统。
设1122由于12121212故系统是线性系统。
因 而≠ 所以系统是移变系统。
设 ≤ ∞ 则有所以当 有限时该系统是稳定系统。
因 只取决于现在和过去的输入 ,不取决于本来的输入,故该系统是因果系统。
讨论下列各线性非移变系统的因果性和稳定性( ) n 12n n 1nδ 0 0≥ n n解 ( )因为在 时, n ≠ 故该系统不是因果系统。
因为 n ∞=-∞∑ 0n ∞=∑ n ∞,故该系统是稳定系统。
因为在 时, ≠ ,故该系统不是因果系统。
因为 n ∞=-∞∑ 1n -=-∞∑ nn ∞=∞∑ n -,故该系统只有在 时才是稳定系统。
因为在 时, ≠ ,故该系统不是因果系统。
因为 n ∞=-∞∑ n ∞=-∞∑ δ 0 ∞,故该系统是稳定系统。
因为在 时, ,故该系统是因果系统 。
因为 n ∞=-∞∑ 0n ∞=∑ 12n ∞,故该系统是稳定系统。
因为在 时, 1n,故该系统是因果系统 。
因为 n ∞=-∞∑ n ∞=-∞∑1n 0n ∞=∑1n ∞,故该系统不是稳定系统。
因为在 时, ,故该系统是因果系统 。
因为 n ∞=-∞∑ 1N n -=∑ n N ∞,故该系统是稳定系统。
已知 β 且 求证sin()sin n ββ证明 题给齐次差分方程的特征方程为α2 β·α由特征方程求得特征根α1 β β j β α2 β β j β-齐次差分方程的通解为1α1n 2α2n 1 j n β 2 j n β-代入初始条件得 1 21 j n β2 j n β-由上两式得到1 1j n j ne eββ--12sinβ,2112sinβ将1和2代入通解公式,最后得到1 j nβ2j nβ- 12sinβj nβ j nβ- sin()sinnββ已知 α β 且 求解 首先由初始条件求出方程中得系数 和由(2)2(1)(0)660(3)2(2)(1)361230 y ay by ay ay by a b ++=+=⎧⎨++=++=⎩可求出于是原方程为由特征方程α2- α- = 求得特征根α1= ,α2=齐次差分方程得通解为1α1n2α2n1n2n代入初始条件得1α1 2α2 α1 α2由上二式得到1=12, 2=-12将 1和 2代入通解公式,最后得到1α1n 2α2n =12n n用特征根法和递推法求解下列差分方程:且解 由特征方程α2-α- = 求得特征根α1=12,α2=12通解为 1α1n 2α2n = 1(12+)n + 2(12)n代入初始条件得121211c c c c +=⎧⎪⎨+=⎪⎩ 求出1, 2最后得到通解1n 2n1n +1n +一系统的框图如图 所示,试求该系统的单位取样响应 和单位阶跃响应解 由图可知ßβ为求单位取样响应,令 δ 于是有δ β由此得到()1n Dδβ- βn阶跃响应为0nk =∑βk111n ββ+--设序列 的傅立叶变换为 jw 求下列各序列的傅立叶变换解 ( ) 1 2 1 jw 2 jw jwk - jw 0jw n 0()j w w -jw - * * jw - * * jw12jw * jw -12πj θ jw ()jw dx e dw设一个因果的线性非移变系统由下列差分方程描述1212求该系统的单位取样响应用( )得到的结果求输入为 =jwn时系统的响应求系统的频率响应求系统对输入 2π 4π的响应解 ( )令 ( ) δ 得到δ δ由于是因果的线性非移变系统,故由上式得出δ δ ≥ 递推计算出δ21 21 2121...δ 21 或 21也可将差分方程用单位延迟算子表示成δ由此得到21 21 δ 21 21 21 δδ δ 21δ 21δ 21 δ δ 21)将jwn e n X =)(代入)(*)()(n h n x n y =得到[]()jwjwjwnjwn jw jwnnn jwnjwn e e e e e e D D D D e D D n D De n y ------+=-+=⎥⎥⎦⎤⎢⎢⎣⎡••••+⎪⎭⎫ ⎝⎛+••••+⎪⎭⎫ ⎝⎛+++=-+=-+=2112112112121211211211)(211211*)(11322δ ( )由( )得出()jw jwjwe e e H ---+=211211 ( )由( )可知121121121212=-+=⎪⎪⎭⎫ ⎝⎛--wj w j w j e e e H ⎪⎭⎫ ⎝⎛-=⎥⎦⎤⎢⎣⎡--⎥⎦⎤⎢⎣⎡+=⎥⎥⎦⎤⎢⎢⎣⎡⎪⎪⎭⎫ ⎝⎛--21arctan 2211arctan 211arctan arg 222ππj j w j e e e H故:()()()[]⎥⎦⎤⎢⎣⎡⎪⎭⎫⎝⎛-+=⎥⎦⎤⎢⎣⎡++=21arctan242cosarg42cosππππneHneHny jwjw某一因果线性非移变系统由下列差分方程描述试确定能使系统成为全通系统的 值( ≠ ),所谓全通系统是指其频率响应的模为与频率ω无关的常数的系统。
解:令则或≥由于是线性的非移变系统,故对上式递推计算得出:≥或系统的频率特性为振幅的特性平方若选取 =*1b 或 =*1a ,则有 jw 2 2即幅度响应等于与频率响应无关的常数,故该系统为全通系统。
一个线性非移变系统的单位冲激响应为 n 其中 为实数,且 。
设输入为β n β为实数,且 β 试利用线性卷积计算系统的输出 并将结果写成下列形式1 n 2βn分别计算 、 和( )中求得的 的傅立叶变换 jw 、 jw 、 jw ,并证明jw jw jw解 ∑∞-∞=-k k n x k h )()(∑∞-∞=--k k k n u k u a )()(1β∑∞-∞=--k ka )(11ββ 11111])(1[-+----αβαββn 1111+---n ααββ 1111----βαββ, ≥n αβα-1 n βββ-1iwe ωγβi n e -∞=∑0ωβj e --11ωj ωγαi n e -∞=∑0ωαj e--11ωj ∑∞=----0)(n j n n e ωββαβαβααβα-1 ωααj e --1 nj eββαβω-- 由于βα-1 ωααj e --1 ωββj e--1)1)(1(1ωωβαj j ee ---- ωj ωj 故得出 jw jw jw令 和 jw 分别表示一个序号及其傅立叶变换,证明:**1()()()()2njw jw nn x n x n X e X e dx π+∞-=-∞=∑⎰此式是帕塞瓦尔( )定理的一种形式。
证明:证法一⎰⎰∑⎰∑⎰∑∑∑⎰⎰⎰∑∑⎰∑∑⎰∑∑∑--∞-∞=--∞-∞=--∞-∞=∞-∞=∞-∞=-------∞-∞=∞-∞=-∞-∞=∞-∞=--∞-∞=-∞=-∞=-=====⎪⎩⎪⎨⎧≠=--==--=-=====πππππππππππππππππππππππππππππdwe X e X dwen x eX dw e e X n x dw e e X n x n x n x n x n x dw e X e X m n m n e e m n dw m n ejw dwe n x m x dwe n x em x dwe X e X en x eN x e X e n x e X jw jw n jwnjwjwn jw n jwn jw n n n jw jw m n jw m n jw m n jw n m m n jw jwnjw jw n jwnn jwnjwn jwnjwn )(*)(21)()(*21])(*21[)(])(21[)()(*)()(*)()(*)(21,....0,....2)(21)(*)(])(*][)([21)(*)(21)(**))(*()(*)()()()()(证法二:其中当需要对带限模拟信号滤波时,经常采用数字滤波器,如图 所示,图中 表示取样周期,假设 很小,足以防止混叠失真,把从 α 到 α 的整个系统等效成一个模拟滤波器。