七年级下册数学计算题汇总
- 格式:doc
- 大小:160.03 KB
- 文档页数:8
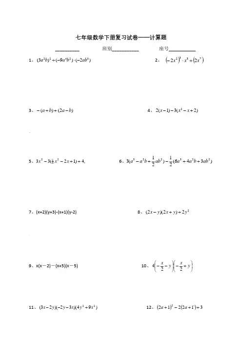
七年级数学下册复习试卷——计算题&解答题姓名__________ 班别___________ 座号___________一、计算题:1、)2()9()3(32422ab b a b a -⋅-÷2、 ()()733222x x x ÷⋅-3、)2()(b a b a -++-4、22(1)3(2)x x x ---+5、,4)12(332312++--x x x 6、)346(21)21(3223223ab b a a ab b a a ++-+-7、(x+2)(y+3)-(x+1)(y-2) 8、22)2)(2(y y x y x ++-9、x(x -2)-(x+5)(x -5) 10、⎪⎭⎫⎝⎛+-⎪⎭⎫ ⎝⎛--y x y x 22411、)94)(32)(23(22x y x y y x +--- 12、()()3`122122++-+a a13、()()()2112+--+x x x 14、(x -3y)(x+3y)-(x -3y)215、23(1)(1)(21)x x x +--- 16、22)23()23(y x y x --+17、22)()(y x y x -+ 18、x y y x ÷-+])3[(2219、0.125100×810020、()xyxy xy y x 183********÷--21、3022)2(21)x (4554---÷⎪⎭⎫ ⎝⎛--π-+⎪⎭⎫ ⎝⎛-÷⎪⎭⎫ ⎝⎛ 22、(1211200622332141)()()()-⨯+----二、用乘法公式计算下列各题:23、999×1001 24、1992-25、298 26、2010200820092⨯-三、解答题::27、化简求值:)4)(12()12(2+-+-a a a ,其中2-=a 。
28、化简求值2(2)2()()2(3)x y x y x y y x y +--++-,其中12,2x y =-=。
七年级下册数学计算题大全1. 四则运算1.1 加法1.求解:3 + 7 = ?2.求解:12 + 5 = ?3.求解:-8 + 4 = ?4.求解:0 + 14 = ?1.2 减法1.求解:10 - 4 = ?2.求解:15 - 7 = ?3.求解:-6 - 3 = ?4.求解:0 - 10 = ?1.3 乘法1.求解:3 × 4 = ?2.求解:8 × 5 = ?3.求解:-2 × 6 = ?4.求解:0 × 7 = ?1.4 除法1.求解:12 ÷ 3 = ?2.求解:20 ÷ 4 = ?3.求解:-21 ÷ 7 = ?4.求解:0 ÷ 8 = ?2. 小数运算2.1 加法1.求解:1.2 + 0.8 = ?2.求解:3.5 + 1.7 = ?3.求解:-2.3 +4.5 = ?4.求解:0.9 + 0.1 = ?2.2 减法1.求解:5.8 -2.3 = ?3.求解:-3.2 - 1.5 = ?4.求解:0.8 - 0.4 = ?2.3 乘法1.求解:1.5 × 2 = ?2.求解:3.2 × 0.5 = ?3.求解:-2.5 × 4 = ?4.求解:0.3 × 6 = ? 2.4 除法1.求解:6 ÷2.5 = ?2.求解:7.2 ÷ 1.2 = ?3.求解:-10.5 ÷ 3 = ?4.求解:0.6 ÷ 0.2 = ?3. 分数运算3.1 加法1.求解:1/4 + 1/8 = ?2.求解:3/5 + 2/5 = ?3.求解:-1/3 + 2/3 = ?4.求解:2 + 1/2 = ? 3.2 减法1.求解:5/6 - 1/3 = ?2.求解:7/8 - 2/8 = ?3.求解:-3/5 - 1/5 = ?4.求解:4 - 1/3 = ? 3.3 乘法1.求解:2/3 × 3/4 = ?2.求解:5/6 × 2/5 = ?3.求解:-4/7 × 3/4 = ?4.求解:2 × 3/8 = ? 3.4 除法1.求解:2/3 ÷ 3/4 = ?2.求解:5/8 ÷ 4/5 = ?4.求解:4 ÷ 2/7 = ?4. 混合运算1.求解:3 × (4 + 2) ÷ 2 - 1 = ?2.求解:(5 - 3) ÷ (2 + 1) × 4 = ?3.求解:3/4 + 1/5 - 2/7 = ?4.求解:2 × (1/2 + 3/4) ÷ 4 = ?以上是七年级下册数学计算题的一部分,希望对你的学习有所帮助。
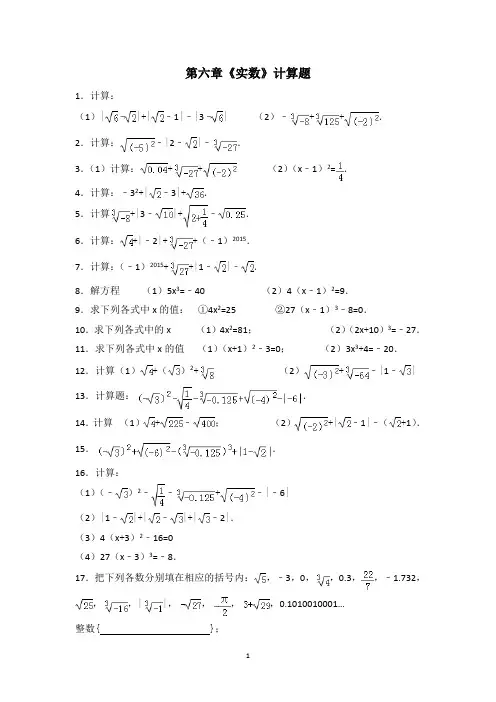
七年级下册数学计算题汇总第六章《实数》计算题13.计算题:(7^)'石七—a 125+&-4),■卜E I . (2):1+| :■:- 1| - (一 :+1).16. 计算: (1) (-. ■) 2--^.1 ■' + 一 4-| - 6|(2) |1-逅|+| 近-V31+^3- 2| . (3) 4 (x+3) 2 - 16=0 (4) 27 (x -3) 3=-8. 17. 把下列各数分别填在相应的括号内:!,- 3, 0,0.3,〒,-1.732,「「| 一| , 「丄,’.” 0.1010010001 … 整数{ _____________________ };1 •计算: (1)丨.J+P 1| —丨3- 」 ⑵-一:.堆十. -2. 计算:- I 2-应I -寻叨-3.4.5.6. (1)计算:.一」,+----- + ― 计算:-32+L ■- 3|+ I.. 计算寸 -+|3 - .||+,::卡■- -.「.]_ 计算:.+| - 2|+ 打_. + ( - 1) (2) (x- 1) 2二20157.8. 9. 计算:(-1) 2015+- F|1- :-| -.':. 解方程 (1) 5x 3= 求下列各式中x 的值: 10. 求下列各式中的x 11. 求下列各式中x 的值 12. 计算(1) - ■+(:;) 40 ①4貳=25 (1) 4/=81; (1) (x+1) 2 2+一「 (2) 4 (x - 1) 2=9. ②27 (x - 1) 3-8=0.(2) (2x+10) 3=-27.3=0;(2) 30+4=- 20.(2)+「-丨1-: ;I14.计算 (1^4 ^25-石帀;七年级下册数学计算题汇总3分数;{ 正数{ 负数{ 有理数{ 无理数{ 18. 将下列各数填入相应的集合内.-7, 0.32 , — , 0 ,::,① 有理数集合{ ② 无理数集合{ ③ 负实数集合{19.把下列各数按要求填入相应的大括号里:整数集合: 分数集合: 自然数集合:{ ___ }; 正有理数集合:{ ___ }.(-6),非正整数集合:{ ___ ••} 负分数集合:{ _…} 无理数集合:{ —••}.无理数集合:{ 负有理数集合: 正分数集合:{-10, 4.5,20 ,0, -( - 3), 2.10010001 …,42 , - 2n ,,- —:,n, 0.1010010001 …••} ••} ••}.20.把下列各数分别填入相应的大括号 22 -5 , | -|| , 0, - 3.14,耳,-12, 0.1010010001 …,+1.5, -30% ,正有理数集合:{…}21.将下列各数填入相应的集合中.1 22丄,-2.55555…,3.01, +9, 4.020020002…, +10% , - 2 n.七年级下册数学计算题汇总非负整数集合:{} 22 •把下列各数分别填在相应的集合里:-11,军,0.3, 0,— 1.7, 21,—2, 1.01001, +6, n(1)整数集合{(2)正分数集合{(3)无理数集合{…}…}••}-第八章《二元一次方程组》计算题1. 2.3. 用指定的方法解下列方程组: (1)(代入法)(2) 『跻5旦(加减法)、4y-3i=-l 04. 计算:(1) 计算:届+眉币—|1—血I ; (2) 解方程组严却1. 5. 解下列方程组: (1) 严 T3x+2y=8(2).2x+2y=56.(1)计算:-—| f . ;|+ ;「+―12.解方程组: (1) 『心 13x+2y=8 (2) (用加减法解)(2)解方程组: 鬥 [2(1-4)-3(y-l)=3 7. 8. 9. 10. 11. 解方程组 解方程组:解方程组 (2x-y —4 l4x-5y=-23 |3x-2y=10 解方程组 解方程组:x+2y=7 2x+y=2 f3^-71 x+3y=-lr 5x+2y=25|3x+4y=15解方程组:13. 解方程组:(1) (心皿 ,3x+y=l (2) 『跻妒I4x-5y=3 14. 解方程(组): 2rFl . -1+x:2(1) 2- r3x-5y=3 (2)[ x y ——-1 ^23 15. 解方程组: 16. 解方程组: 3nd-b=ll Tirrb二11 4x+y=5 x-2y=8 17.用适当方法解下列方程组. (1) 产皿 (2) 件喇.4x+5y=27 18.解方程组: (1) 5x+2y=8(2) 1 ■ ‘2ird-3n=12 19.解方程组 (1) (2) 乜曲卢7 2x-y=3Wn=7 、3m-5nP-3 20.解下列方程组 (1) (2)r 2jr-y=Ex-l=Y®y-l) ^x+2y=l2x-3y=5 21.解下列方程组: f ^+1 _ (1)[K 十T22.解方程组 P y=3i-75x+2y=8 px-2y=4 12x+3y=725.解下列方程组 ^x-2y=7J3xi-4y=-lr3〔妙y) -4 (s-y ) = 4i , K~y ,| 2 _1(2)卫y+5沪2二 4y-3i=-l0 23. (1) f 3K =1-2y i5x-4y=31 (2)4(K-y-l)=S Cl -7) -224. r3K +2y=l [4x+3y=2(1) (2)(1)(2)第九章《一元一次不等式》计算题1 •解下列不等式,并把它的解集在数轴上表示出来.4- 2 (x—3)>4 (x+1)2.解不等式,并把解集在数轴上表示出来: 2 (x+1)>x.3.解不等式寺-K7-x,并把解集在数轴上表示出来.-5-4-3-2-10 1 2 3 4 54 •解不等式组:丄5.解不等式组3 6 2 L2Z-T<3(K-1)fx-2>0® 卜2計&>0②,并把解集在数轴上表示出来.6 .7 .8 . 解不等式组:解不等式组:解不等式组a卜-3(罠-2) >4①r^3(u-2)>4| 2耳-].1. §3x-l<5并将解集在数轴上表示出来.J-2~^1 01 ~2~F"r s-l>-29.解不等式组: ,并把它的解集在数轴上表示出来. 10.解不等式组:11 .解不等式组:f5s+7>3(KH)2K-6^5^+G3K< 2x^1并在数轴上表示解集.12 .解不等式组:3F4(x-l) >113.解不等式组:14 .解不等式组:3〔时5x 討£申' 3-4(K-n<i..5-4-3-2-10123422. (1)计算 7(切? + 3V-8^V25+ 11 -忑 If3Cx+y)-2(2a-y)=3(2) 解方程组、乙、'\ 3^1~=^12 I-3 (直-1) W 7 (3) 解不等式组2—5区厂解不等式5x+15>0,并将解集在数轴上表示出来.[IIIIIr27.解不等式,并把解集表示在数轴上.2x-l 9號42才3 6 7-4 -3 -2 -1 0 1 2 3 4 515. > 4,并将其解集在数轴上表示出来.16. 解不等式2x-l>-1 (把解集在数轴上表示出来)17. 解不等式: 18. 解不等式组 19. 解不等式组:x_ 二 v 2x 』.7I*. I f5s-6<2(x43)邑迂L并把其解集在数轴上表示出来.20. 解不等式组,并在数轴上将解集表示出来.21. (1)解不等式: (2)解不等式组:2时3 31S-7K <10-3K .vx+2; 并把它的解集在数轴上表示出来. 23. 24. r2-3x>-2解不等式2x - 7 v 5 -2x. 求不等式组的所有整数解.25. 解不等式:26.35.解下列不等式(组),并把解集在数轴上表示出来. (1) 3 (1-x )- 2 (4 - 2x )< 028 .求不等式2x - 3 >x 的解集29.解下列不等式(组),并把解集表示在数轴上. (1) (2)2x-l 14-x —>X[譽海I X-3G-1X530.解下列不等式组,并把不等式组的解集表示在数轴上If2x-l>l (1)(2)31 .解下列不等式(组): >^- 1;3 , 7Cx-5)+2(x+l )>-lE 3 ~ Z32.解不等式(组)并在数轴上表示解集 (2)(1) (x+2) (x -2) +5>(x - 5) (x+1)>4g-L .(2)33.解不等式(组)(1)3 (1-x )v 2 (x+9); (2)[計呂W 分-「34.解不等式(组) (1) (2)1 <L'X L~~T(1)冷X解不等式(组),并把解集在数轴上表示出来. 5 (x — 1)> 6x — 10 2只~1 5 蛊+1 ~~3 勺.Sx-l-^C 3(z+l)r5(K+l)+2<5K+3求孟-1 、-.的自然数解. 解不等式:—解下列不等式,并把解集在数轴上表示出来:3 (x+2)— 8> 1 — 2 (x — 1);x-3 1>x "523(2) 36. (1) (2)37. 38.39.(1) (2)40.解不等式组:。
七年级数学下册复习试卷——计算题__________ 班别___________ 座号___________1、)2()9()3(32422ab b a b a -⋅-÷2、 ()()733222x x x ÷⋅-3、)2()(b a b a -++-4、22(1)3(2)x x x ---+5、,4)12(332312++--x x x 6、)346(21)21(3223223ab b a a ab b a a ++-+-7、(x+2)(y+3)-(x+1)(y-2) 8、22)2)(2(y y x y x ++-9、x(x -2)-(x+5)(x -5) 10、⎪⎭⎫⎝⎛+-⎪⎭⎫ ⎝⎛--y xy x 22411、)94)(32)(23(22x y x y y x +--- 12、()()3`122122++-+a a13、()()()2112+--+x x x 14、(x -3y)(x+3y)-(x -3y)215、23(1)(1)(21)x x x +--- 16、22)23()23(y x y x --+17、22)()(y x y x -+ 18、x y y x ÷-+])3[(2219、×8100 20、()xy xy xy y x 18361085422÷--21、322)2(21)x (4554---÷⎪⎭⎫⎝⎛--π-+⎪⎭⎫ ⎝⎛-÷⎪⎭⎫ ⎝⎛ 22、(1211200622332141)()()()-⨯+----用乘法公式计算下列各题:23、999×1001 24、1992-25、298 26、2010200820092⨯-27、化简求值:)4)(12()12(2+-+-a a a ,其中2-=a 。
28、化简求值2(2)2()()2(3)x y x y x y y x y +--++-,其中12,2x y =-=。
最新七年级下册数学计算题汇总1.计算:(1)||+|﹣1|﹣|3|(2)﹣++.2.计算:﹣|2﹣|﹣.3.(1)计算:++(2)(x﹣1)2=.4.计算:﹣32+|﹣3|+.5.计算+|3﹣|+﹣.6.计算:+|﹣2|++(﹣1)2015.7.计算:(﹣1)2015++|1﹣|﹣.8.解方程(1)5x3=﹣40(2)4(x﹣1)2=9.9.求下列各式中x的值:①4x2=25②27(x﹣1)3﹣8=0.10.求下列各式中的x(1)4x2=81;(2)(2x+10)3=﹣27.11.求下列各式中x的值(1)(x+1)2﹣3=0;(2)3x3+4=﹣20.12.计算(1)+()2+(2)+﹣|1﹣| 13.计算题:.14.计算(1)+﹣;(2)+|﹣1|﹣(+1).15..16.计算:(1)(﹣)2﹣﹣+﹣|﹣6|(2)|1﹣|+|﹣|+|﹣2|.(3)4(x+3)2﹣16=0(4)27(x﹣3)3=﹣8.17.把下列各数分别填在相应的括号内:,﹣3,0,,0.3,,﹣1.732,,,||,,,,0.1010010001…分数;{ };正数{ };负数{ };有理数{ };无理数{ }.18.将下列各数填入相应的集合内.﹣7,0.32,,0,,,,π,0.1010010001…①有理数集合{…}②无理数集合{…}③负实数集合{…}.19.把下列各数按要求填入相应的大括号里:﹣10,4.5,﹣,0,﹣(﹣3),2.10010001…,42,﹣2π,整数集合:{ };分数集合:{ };自然数集合:{ };正有理数集合:{ }.20.把下列各数分别填入相应的大括号﹣5,|﹣|,0,﹣3.14,,﹣12,0.1010010001…,+1.5,﹣30%,﹣(﹣6),﹣正有理数集合:{ …}非正整数集合:{ …}负分数集合:{ …}无理数集合:{ …}.21.将下列各数填入相应的集合中.﹣7,0,,﹣22,﹣2.55555…,3.01,+9,4.020020002…,+10%,﹣2π.无理数集合:{ };负有理数集合:{ };非负整数集合:{ }.22.把下列各数分别填在相应的集合里:﹣1,,0.3,0,﹣1.7,21,﹣2,1.01001,+6,π(1)整数集合{…}(2)正分数集合{…}(3)无理数集合{…}.第八章《二元一次方程组》计算题1.解方程组:.2.解方程组.3.用指定的方法解下列方程组:(1)(代入法)(2)(加减法)4.计算:(1)计算:+﹣|1﹣|;(2)解方程组.5.解下列方程组:(1)(2).6.(1)计算:﹣|﹣|++(2)解方程组:.7.解方程组.8.解方程组:9.解方程组.10.解方程组.11.解方程组:.12.解方程组:(1)(2)(用加减法解).13.解方程组:(1)(2).14.解方程(组):(1)2﹣=(2).15.解方程组:.16.解方程组:.17.用适当方法解下列方程组.(1)(2).18.解方程组:(1)(2).19.解方程组(1)(2).20.解下列方程组(1)(2).21.解下列方程组:(1)(2).22.解方程组(1);(2).23.(1)(2).24..25.解下列方程组(1)(2).第九章《一元一次不等式》计算题1.解下列不等式,并把它的解集在数轴上表示出来.4﹣2(x﹣3)≥4(x+1)2.解不等式,并把解集在数轴上表示出来:2(x+1)>x.3.解不等式﹣1≤,并把解集在数轴上表示出来.4.解不等式组:.5.解不等式组,并把解集在数轴上表示出来.6.解不等式组:.7.解不等式组:.8.解不等式组并将解集在数轴上表示出来.9.解不等式组:,并把它的解集在数轴上表示出来.10.解不等式组:并在数轴上表示解集.11.解不等式组:12.解不等式组:.13.解不等式组:.14.解不等式组:.15.解不等式≥4,并将其解集在数轴上表示出来.16.解不等式﹣≥﹣1(把解集在数轴上表示出来)17.解不等式:x﹣<2x+.18.解不等式组并把其解集在数轴上表示出来.19.解不等式组:.20.解不等式组,并在数轴上将解集表示出来.21.(1)解不等式:<x+2;(2)解不等式组:.22.(1)计算(2)解方程组(3)解不等式组并把它的解集在数轴上表示出来.23.求不等式组的所有整数解.24.解不等式2x﹣7<5﹣2x.25.解不等式:>1﹣.26.解不等式5x+15>0,并将解集在数轴上表示出来.27.解不等式,并把解集表示在数轴上..28.求不等式2x﹣3≥x的解集.29.解下列不等式(组),并把解集表示在数轴上.(1)(2).30.解下列不等式组,并把不等式组的解集表示在数轴上(1).(2).31.解下列不等式(组):(1)≥﹣1;(2).32.解不等式(组)并在数轴上表示解集(1)(x+2)(x﹣2)+5>(x﹣5)(x+1)(2).33.解不等式(组)(1)3(1﹣x)<2(x+9);(2).34.解不等式(组)(1)﹣1<(2).35.解下列不等式(组),并把解集在数轴上表示出来.(1)3(1﹣x)﹣2(4﹣2x)≤0(2).36.解不等式(组),并把解集在数轴上表示出来.(1)5(x﹣1)>6x﹣10(2).37.求的自然数解.38.解不等式:.39.解下列不等式,并把解集在数轴上表示出来:(1)3(x+2)﹣8≥1﹣2(x﹣1);(2)﹣1>.40.解不等式组:.。
第六章《实数》计算题1.计算:(1)||+|﹣1|﹣|3|(2)﹣++.2.计算:﹣|2﹣|﹣.3.(1)计算:++(2)(x﹣1)2=.4.计算:﹣32+|﹣3|+.5.计算+|3﹣|+﹣.6.计算:+|﹣2|++(﹣1)2015.7.计算:(﹣1)2015++|1﹣|﹣.8.解方程(1)5x3=﹣40(2)4(x﹣1)2=9.9.求下列各式中x的值:①4x2=25②27(x﹣1)3﹣8=0.10.求下列各式中的x(1)4x2=81;(2)(2x+10)3=﹣27.11.求下列各式中x的值(1)(x+1)2﹣3=0;(2)3x3+4=﹣20.12.计算(1)+()2+(2)+﹣|1﹣| 13.计算题:.14.计算(1)+﹣;(2)+|﹣1|﹣(+1).15..16.计算:(1)(﹣)2﹣﹣+﹣|﹣6|(2)|1﹣|+|﹣|+|﹣2|.(3)4(x+3)2﹣16=0(4)27(x﹣3)3=﹣8.17.把下列各数分别填在相应的括号内:,﹣3,0,,0.3,,﹣1.732,,,||,,,,0.1010010001…整数{ };分数;{ };正数{ };负数{ };有理数{ };无理数{ }.18.将下列各数填入相应的集合内.﹣7,0.32,,0,,,,π,0.1010010001…①有理数集合{…}②无理数集合{…}③负实数集合{…}.19.把下列各数按要求填入相应的大括号里:﹣10,4.5,﹣,0,﹣(﹣3),2.10010001…,42,﹣2π,整数集合:{ };分数集合:{ };自然数集合:{ };正有理数集合:{ }.20.把下列各数分别填入相应的大括号﹣5,|﹣|,0,﹣3.14,,﹣12,0.1010010001…,+1.5,﹣30%,﹣(﹣6),﹣正有理数集合:{ …}非正整数集合:{ …}负分数集合:{ …}无理数集合:{ …}.21.将下列各数填入相应的集合中.﹣7,0,,﹣22,﹣2.55555…,3.01,+9,4.020020002…,+10%,﹣2π.无理数集合:{ };负有理数集合:{ };正分数集合:{ };非负整数集合:{ }.22.把下列各数分别填在相应的集合里:﹣1,,0.3,0,﹣1.7,21,﹣2,1.01001,+6,π(1)整数集合{…}(2)正分数集合{…}(3)无理数集合{…}.第八章《二元一次方程组》计算题1.解方程组:.2.解方程组.3.用指定的方法解下列方程组:(1)(代入法)(2)(加减法)4.计算:(1)计算:+﹣|1﹣|;(2)解方程组.5.解下列方程组:(1)(2).6.(1)计算:﹣|﹣|++(2)解方程组:.7.解方程组.8.解方程组:9.解方程组.10.解方程组.11.解方程组:.12.解方程组:(1)(2)(用加减法解).13.解方程组:(1)(2).14.解方程(组):(1)2﹣=(2).15.解方程组:.16.解方程组:.17.用适当方法解下列方程组.(1)(2).18.解方程组:(1)(2).19.解方程组(1)(2).20.解下列方程组(1)(2).21.解下列方程组:(1)(2).22.解方程组(1);(2).23.(1)(2).24..25.解下列方程组(1)(2).第九章《一元一次不等式》计算题1.解下列不等式,并把它的解集在数轴上表示出来.4﹣2(x﹣3)≥4(x+1)2.解不等式,并把解集在数轴上表示出来:2(x+1)>x.3.解不等式﹣1≤,并把解集在数轴上表示出来.4.解不等式组:.5.解不等式组,并把解集在数轴上表示出来.6.解不等式组:.7.解不等式组:.8.解不等式组并将解集在数轴上表示出来.9.解不等式组:,并把它的解集在数轴上表示出来.10.解不等式组:并在数轴上表示解集.11.解不等式组:12.解不等式组:.13.解不等式组:.14.解不等式组:.15.解不等式≥4,并将其解集在数轴上表示出来.16.解不等式﹣≥﹣1(把解集在数轴上表示出来)17.解不等式:x﹣<2x+.18.解不等式组并把其解集在数轴上表示出来.19.解不等式组:.20.解不等式组,并在数轴上将解集表示出来.21.(1)解不等式:<x+2;(2)解不等式组:.22.(1)计算(2)解方程组(3)解不等式组并把它的解集在数轴上表示出来.23.求不等式组的所有整数解.24.解不等式2x﹣7<5﹣2x.25.解不等式:>1﹣.26.解不等式5x+15>0,并将解集在数轴上表示出来.27.解不等式,并把解集表示在数轴上..28.求不等式2x﹣3≥x的解集.29.解下列不等式(组),并把解集表示在数轴上.(1)(2).30.解下列不等式组,并把不等式组的解集表示在数轴上(1).(2).31.解下列不等式(组):(1)≥﹣1;(2).32.解不等式(组)并在数轴上表示解集(1)(x+2)(x﹣2)+5>(x﹣5)(x+1)(2).33.解不等式(组)(1)3(1﹣x)<2(x+9);(2).34.解不等式(组)(1)﹣1<(2).35.解下列不等式(组),并把解集在数轴上表示出来.(1)3(1﹣x)﹣2(4﹣2x)≤0(2).36.解不等式(组),并把解集在数轴上表示出来.(1)5(x﹣1)>6x﹣10(2).37.求的自然数解.38.解不等式:.39.解下列不等式,并把解集在数轴上表示出来:(1)3(x+2)﹣8≥1﹣2(x﹣1);(2)﹣1>.40.解不等式组:.。
七年级下册数学计算题300道一、整数的加减法1. (-4) + 3 = ?2. (-5) - (-2) = ?3. 7 + (-8) = ?4. (-3) - 6 = ?5. 9 + (-11) = ?6. (-2) + 5 + (-7) = ?7. 8 + (-4) - 3 = ?8. (-6) - (-9) + 2 = ?9. 5 - (-6) + (-2) = ?10. (-8) + 4 - (-3) = ?二、正数的乘除法1. 7 × 9 = ?2. 12 ÷ 6 = ?3. 20 ÷ 4 × 5 = ?4. 36 ÷ 3 - 4 = ?5. 15 ÷ 5 × 3 = ?6. 48 ÷ 6 × 4 = ?7. 10 × 5 - 25 ÷ 5 = ?8. 24 ÷ 8 × 3 = ?9. 16 ÷ 4 + 6 × 2 = ?10. 25 - 15 ÷ 3 × 2 = ?三、分数的加减法1. 1/3 + 2/3 = ?2. 1/4 + 3/4 = ?3. 2/5 - 1/5 = ?4. 3/8 - 1/8 = ?5. 2/3 + 1/6 = ?6. 3/5 + 1/5 = ?7. 5/6 - 2/6 = ?8. 2/3 - 1/3 = ?9. 1/2 + 1/4 + 1/8 = ?10. 3/8 - 1/4 + 1/2 = ?四、分数的乘除法1. 1/4 × 3/5 = ?2. 3/8 ÷ 1/4 = ?3. 2/3 × 3/4 = ?4. 1/2 ÷ 2/3 = ?5. 5/6 × 4/5 ÷ 3/4 = ?6. 3/4 ÷ 6/8 × 2/3 = ?7. 2/5 × 2/7 ÷ 3/10 = ?8. 2/3 × 3/5 + 1/4 = ?9. 5/8 ÷ 1/4 - 2/3 = ?10. 3/5 × 2/3 - 1/4 = ?五、小数运算1. 0.5 + 0.25 = ?2. 0.7 - 0.4 = ?3. 2.5 - 0.75 = ?4. 3.2 + 1.8 - 1.9 = ?5. 1.5 × 2.5 = ?6. 2.4 ÷ 1.2 = ?7. 3.6 + 0.3 × 2.5 = ?8. 4.8 ÷ 0.6 + 2.4 = ?9. 1.5 - 0.7 ÷ 0.5 = ?10. 2.5 × 0.8 - 1.4 ÷ 0.7 = ?六、比例运算1. 若2∶5=4∶m,则m等于多少?2. 若7∶10=9∶m,则m等于多少?3. 若x∶3=6∶9,则x等于多少?4. 若3∶x=15∶30,则x等于多少?5. 若3∶4=x∶6,则x等于多少?6. 若3∶4=x∶12,则x等于多少?7. 若3∶x=16∶24,则x等于多少?8. 若3∶5=x∶15,则x等于多少?9. 若5∶m=8∶10,则m等于多少?10. 若2∶3=x∶20,则x等于多少?七、百分数运算1. 将70%化为小数。
七年级数学下册复习试卷——计算题__________ 班别___________ 座号___________1、)2()9()3(32422ab b a b a -⋅-÷2、 ()()733222x x x ÷⋅-3、)2()(b a b a -++-4、22(1)3(2)x x x ---+~5、,4)12(332312++--x x x 6、)346(21)21(3223223ab b a a ab b a a ++-+-7、(x+2)(y+3)-(x+1)(y-2) 8、22)2)(2(y y x y x ++-.9、x(x -2)-(x+5)(x -5) 10、⎪⎭⎫⎝⎛+-⎪⎭⎫ ⎝⎛--y x y x 22411、)94)(32)(23(22x y x y y x +--- 12、()()3`122122++-+a a,13、()()()2112+--+x x x 14、(x -3y)(x+3y)-(x -3y)215、23(1)(1)(21)x x x +--- 16、22)23()23(y x y x --+—17、22)()(y x y x -+ 18、x y y x ÷-+])3[(2219、×8100 20、()xy xy xy y x 18361085422÷--》21、3022)2(21)x (4554---÷⎪⎭⎫⎝⎛--π-+⎪⎭⎫ ⎝⎛-÷⎪⎭⎫ ⎝⎛22、(1211200622332141)()()()-⨯+----(用乘法公式计算下列各题:23、999×1001 24、1992-25、298 26、2010200820092⨯-,27、化简求值:)4)(12()12(2+-+-a a a ,其中2-=a 。
28、化简求值2(2)2()()2(3)x y x y x y y x y +--++-,其中12,2x y =-=。
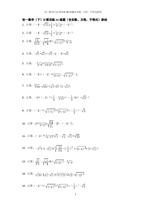
初一数学(下)计算训练50道题(含实数、方程、不等式)原创1.计算:|﹣3|﹣×+(﹣2)2.2.计算:|﹣3|﹣×+(﹣2)3.3.计算:﹣+3×+.4.计算:||+|﹣1|﹣|3|5.计算:﹣++.6.计算:|﹣5|+(﹣2)2+﹣﹣1.7.计算:.8.计算:﹣12+(﹣2)3×﹣×|﹣|+2÷()2.9.计算:(﹣2)3×+×()2﹣.10.计算﹣14++﹣[5﹣(﹣3)2];11.计算:(﹣2)2++﹣|﹣|+.12.计算:;13.计算:﹣+3×﹣.14.计算:.15.计算(﹣2)3×+×()2﹣16.计算:(﹣2)3×.17.计算:.18.解方程(2x﹣3)2=49.19.解方程:4(x﹣1)2﹣16=0.20.解方程.21.解方程:(x﹣1)3=16.22.解方程:8(x+1)2﹣50=023.解方程:(5x+3)3+32=0.24.解方程:(x+1)3﹣=1.25.解方程:﹣27(2x﹣1)3=﹣6426.解方程:32(x﹣1)3=27.解方程组.28.按括号内要求解方程组:29.解方程组:.30.解方程组.31.解方程组:.32.解方程组:33.解方程组:.34.解方程组:.35.解不等式:>1﹣.36.解不等式:.37.解不等式:38.解不等式:2x﹣3≤(x+2)39.解不等式:<6﹣.40.解不等式:.41.解不等式.42.解不等式组:.43.解不等式组:.44.解不等式组:.45.解不等式组.46.解不等式组.48.解不等式组:.47.解不等式组:、49.解不等式组:.50.解不等式组.。
七年级下册数学计算题1000道及答案18x+23y=230374x-y=1998答案:x=27 y=7944x+90y=779644x+y=3476答案:x=79 y=4876x-66y=408230x-y=2940答案:x=98 y=5167x+54y=854671x-y=5680答案:x=80 y=5942x-95y=-141021x-y=1575答案:x=75 y=4847x-40y=85334x-y=2006答案:x=59 y=4819x-32y=-178675x+y=4950答案:x=66 y=9597x+24y=7202 58x-y=2900答案:x=50 y=98 )42x+85y=636263x-y=1638答案:x=26 y=62 85x-92y=-251827x-y=486答案:x=18 y=44 79x+40y=2419 56x-y=1176答案:x=21 y=19 80x-87y=215622x-y=880答案:x=40 y=12 91x+70y=5845 95x-y=4275答案:x=45 y=25 29x+44y=5281 88x-y=3608答案:x=41 y=93 25x-95y=-435540x-y=2000答案:x=50 y=59 54x+68y=328478x+y=1404答案:x=18 y=34 48x-54y=-318624x+y=1080答案:x=45 y=99 36x+77y=761947x-y=799答案:x=17 y=91 13x-42y=-271731x-y=1333答案:x=43 y=78 (24) 28x+28y=3332 52x-y=4628答案:x=89 y=30 62x-98y=-256446x-y=2024答案:x=44 y=54 79x-76y=-438826x-y=832答案:x=32 y=91 63x-40y=-82142x-y=546答案:x=13 y=41 69x-96y=-120942x+y=3822答案:x=91 y=78 85x+67y=7338 11x+y=308答案:x=28 y=74 78x+74y=12928 14x+y=1218答案:x=87 y=83 39x+42y=533159x-y=5841答案:x=99 y=35 29x+18y=1916 58x+y=2320答案:x=40 y=42 40x+31y=604345x-y=3555答案:x=79 y=9345x+y=3780答案:x=84 y=93 45x-30y=-145529x-y=725答案:x=25 y=86 11x-43y=-1361 47x+y=799答案:x=17 y=36 33x+59y=3254 94x+y=1034答案:x=11 y=49 89x-74y=-2735 68x+y=1020答案:x=15 y=55 94x+71y=751778x+y=3822答案:x=49 y=41 28x-62y=-493446x+y=552答案:x=12 y=85 75x+43y=8472答案:x=82 y=54 41x-38y=-118029x+y=1450答案:x=50 y=85 22x-59y=82463x+y=4725答案:x=75 y=14 95x-56y=-401 90x+y=1530答案:x=17 y=36 93x-52y=-852 29x+y=464答案:x=16 y=45 93x+12y=882354x+y=4914答案:x=91 y=30 21x-63y=8420x+y=1880答案:x=94 y=30 48x+93y=975638x-y=950答案:x=25 y=9299x-67y=401175x-y=5475答案:x=73 y=48(x^4-2x²+1)÷(x²+2x+1)答案:(x-1)²18x+23y=230374x-y=1998答案:x=27 y=7944x+90y=779644x+y=3476答案:x=79 y=4876x-66y=408230x-y=2940答案:x=98 y=5167x+54y=854671x-y=5680答案:x=80 y=5942x-95y=-141021x-y=1575答案:x=75 y=4834x-y=2006答案:x=59 y=48 19x-32y=-1786 75x+y=4950答案:x=66 y=95 97x+24y=7202 58x-y=2900答案:x=50 y=98 )42x+85y=636263x-y=1638答案:x=26 y=62 85x-92y=-251827x-y=486答案:x=18 y=44 79x+40y=2419 56x-y=1176答案:x=21 y=19 80x-87y=215622x-y=880答案:x=40 y=12 91x+70y=5845答案:x=45 y=25 29x+44y=528188x-y=3608答案:x=41 y=93 25x-95y=-435540x-y=2000答案:x=50 y=59 54x+68y=328478x+y=1404答案:x=18 y=34 48x-54y=-318624x+y=1080答案:x=45 y=99 36x+77y=761947x-y=799答案:x=17 y=91 13x-42y=-271731x-y=1333答案:x=43 y=78 (24) 28x+28y=3332 52x-y=4628答案:x=89 y=30 62x-98y=-2564 46x-y=2024答案:x=44 y=54 79x-76y=-4388 26x-y=832答案:x=32 y=91 63x-40y=-82142x-y=546答案:x=13 y=41 69x-96y=-120942x+y=3822答案:x=91 y=78 85x+67y=7338 11x+y=308答案:x=28 y=74 78x+74y=12928 14x+y=1218答案:x=87 y=83 39x+42y=533159x-y=5841答案:x=99 y=3529x+18y=1916 58x+y=2320答案:x=40 y=42 40x+31y=604345x-y=3555答案:x=79 y=93 47x+50y=859845x+y=3780答案:x=84 y=93 45x-30y=-145529x-y=725答案:x=25 y=86 11x-43y=-1361 47x+y=799答案:x=17 y=36 33x+59y=3254 94x+y=1034答案:x=11 y=49 89x-74y=-2735 68x+y=1020答案:x=15 y=55 94x+71y=751778x+y=3822答案:x=49 y=41 28x-62y=-493446x+y=552答案:x=12 y=85 75x+43y=847217x-y=1394答案:x=82 y=54 41x-38y=-118029x+y=1450答案:x=50 y=85 22x-59y=82463x+y=4725答案:x=75 y=14 95x-56y=-401 90x+y=1530答案:x=17 y=36 93x-52y=-852 29x+y=464答案:x=16 y=45 93x+12y=882354x+y=4914答案:x=91 y=3021x-63y=8420x+y=1880答案:x=94 y=3048x+93y=975638x-y=950答案:x=25 y=9299x-67y=401175x-y=5475答案:x=73 y=48(x^4-2x²+1)÷(x²+2x+1) 答案:(x-1)²。
七年级下数学计算题一、整式的运算类1. 计算:(2x + 3y)(3x - 2y)- 解析:- 根据多项式乘法法则,用一个多项式的各项去乘另一个多项式的每一项,再把所得的积相加。
- 原式=2x×3x - 2x×2y+3y×3x - 3y×2y- = 6x^2-4xy + 9xy-6y^2- =6x^2+5xy - 6y^2。
2. 计算:(3a - 2b)^2- 解析:- 根据完全平方公式(a - b)^2=a^2-2ab + b^2,这里a = 3a,b = 2b。
- 原式=(3a)^2-2×3a×2b+(2b)^2- = 9a^2-12ab + 4b^2。
3. 化简:3x(2x^2-x + 1)-2x^2(3x - 2)- 解析:- 先分别进行单项式乘多项式运算。
- 原式=3x×2x^2-3x× x+3x×1-(2x^2×3x - 2x^2×2)- = 6x^3-3x^2+3x-(6x^3-4x^2)- 去括号得6x^3-3x^2+3x - 6x^3+4x^2- 合并同类项得x^2+3x。
4. 计算:(x + 2y)(x - 2y)(x^2+4y^2)- 解析:- 先利用平方差公式(a + b)(a - b)=a^2-b^2计算前两个括号。
- 原式=(x^2-4y^2)(x^2+4y^2)- 再利用平方差公式得x^4-16y^4。
5. 化简:(2m + n - 1)(2m - n - 1)- 解析:- 把式子变形为[(2m - 1)+n][(2m - 1)-n]- 利用平方差公式得(2m - 1)^2-n^2- 再根据完全平方公式展开(2m - 1)^2=4m^2-4m + 1- 所以原式=4m^2-4m + 1 - n^2。
二、一元一次方程类6. 解方程:3x+5 = 2x - 1- 解析:- 移项,将含x的项移到等号左边,常数项移到等号右边,得3x - 2x=-1 - 5。
七年级下册有理数计算题一、有理数加法计算。
1. (-3)+5- 解析:异号两数相加,取绝对值较大的符号,并用较大的绝对值减去较小的绝对值。
5的绝对值是5,-3的绝对值是3,5>3,所以结果为正,5 - 3=2。
- 答案:2。
2. (-2)+(-8)- 解析:同号两数相加,取相同的符号,并把绝对值相加。
-2和-8都是负数,所以结果为负,2 + 8 = 10,结果是-10。
- 答案:-10。
3. 3+(-7)- 解析:异号两数相加,7的绝对值大于3的绝对值,7 - 3=4,结果为负。
- 答案:-4。
二、有理数减法计算。
4. 5-(-3)- 解析:减去一个数等于加上这个数的相反数。
所以5-(-3)=5 + 3 = 8。
- 答案:8。
5. (-2)-(-5)- 解析:(-2)-(-5)=-2 + 5 = 3。
- 答案:3。
6. 4-(+7)- 解析:4-(+7)=4-7=-3。
- 答案:-3。
三、有理数乘法计算。
7. (-3)×4- 解析:两数相乘,异号得负,并把绝对值相乘。
3×4 = 12,结果为-12。
- 答案:-12。
8. (-2)×(-5)- 解析:同号两数相乘得正,2×5 = 10。
- 答案:10。
9. 3×(-(1)/(3))- 解析:异号两数相乘得负,3×(1)/(3)=1,结果为-1。
- 答案:-1。
四、有理数除法计算。
10. (-12)÷3- 解析:两数相除,异号得负,并把绝对值相除。
12÷3 = 4,结果为-4。
- 答案:-4。
11. (-10)÷(-2)- 解析:同号两数相除得正,10÷2 = 5。
- 答案:5。
12. 6÷(-(1)/(2))- 解析:除以一个数等于乘以它的倒数,6÷(-(1)/(2))=6×(-2)= - 12。
- 答案:-12。
第六章《实数》计算题之勘阻及广创作时间:二O二一年七月二十九日1.计算:(1)||+|﹣1|﹣|3|(2)﹣++.2.计算:﹣|2﹣|﹣.3.(1)计算:++(2)(x﹣1)2=.4.计算:﹣32+|﹣3|+.5.计算+|3﹣|+﹣.6.计算:+|﹣2|++(﹣1)2015.7.计算:(﹣1)2015++|1﹣|﹣.8.解方程(1)5x3=﹣40(2)4(x﹣1)2=9.9.求下列各式中x的值:①4x2=25②27(x﹣1)3﹣8=0.10.求下列各式中的x(1)4x2=81;(2)(2x+10)3=﹣27.11.求下列各式中x的值(1)(x+1)2﹣3=0;(2)3x3+4=﹣20.12.计算(1)+()2+(2)+﹣|1﹣| 13.计算题:.14.计算(1)+﹣;(2)+|﹣1|﹣(+1).15..16.计算:(1)(﹣)2﹣﹣+﹣|﹣6|(2)|1﹣|+|﹣|+|﹣2|.(3)4(x+3)2﹣16=0(4)27(x﹣3)3=﹣8.17.把下列各数分别填在相应的括号内:,﹣3,0,,0.3,,﹣1.732,,,||,,,,0.1010010001…整数{};分数;{};正数{};负数{};有理数{};无理数{}.18.将下列各数填入相应的集合内.﹣7,0.32,,0,,,,π,0.1010010001…①有理数集合{ …}②无理数集合{ …}③负实数集合{ …}.19.把下列各数按要求填入相应的年夜括号里:﹣10,4.5,﹣,0,﹣(﹣3),2.10010001…,42,﹣2π,整数集合:{};分数集合:{};自然数集合:{};正有理数集合:{}.20.把下列各数分别填入相应的年夜括号﹣5,|﹣|,0,﹣3.14,,﹣12,0.1010010001…,+1.5,﹣30%,﹣(﹣6),﹣正有理数集合:{ …}非正整数集合:{…}负分数集合:{…}无理数集合:{…}.21.将下列各数填入相应的集合中.﹣7,0,,﹣22,﹣2.55555…,3.01,+9,4.020020002…,+10%,﹣2π.无理数集合:{};负有理数集合:{};正分数集合:{};非负整数集合:{}.22.把下列各数分别填在相应的集合里:﹣1,,0.3,0,﹣1.7,21,﹣2,1.01001,+6,π(1)整数集合{…}(2)正分数集合 { …}(3)无理数集合{ …}.第八章《二元一次方程组》计算题1.解方程组:.2.解方程组.3.用指定的方法解下列方程组:(1)(代入法)(2)(加减法)4.计算:(1)计算:+﹣|1﹣|;(2)解方程组.5.解下列方程组:(1)(2).6.(1)计算:﹣|﹣|++(2)解方程组:.7.解方程组.8.解方程组:9.解方程组.10.解方程组.11.解方程组:.12.解方程组:(1)(2)(用加减法解).13.解方程组:(1)(2).14.解方程(组):(1)2﹣=(2).15.解方程组:.16.解方程组:.17.用适当方法解下列方程组.(1)(2).18.解方程组:(1)(2).19.解方程组(1)(2).20.解下列方程组(1)(2).21.解下列方程组:(1)(2).22.解方程组(1);(2).23.(1)(2).24..25.解下列方程组(1)(2).第九章《一元一次不等式》计算题1.解下列不等式,并把它的解集在数轴上暗示出来.4﹣2(x﹣3)≥4(x+1)2.解不等式,并把解集在数轴上暗示出来:2(x+1)>x.3.解不等式﹣1≤,并把解集在数轴上暗示出来.4.解不等式组:.5.解不等式组,并把解集在数轴上暗示出来.6.解不等式组:.7.解不等式组:.8.解不等式组并将解集在数轴上暗示出来.9.解不等式组:,并把它的解集在数轴上暗示出来.10.解不等式组:并在数轴上暗示解集.11.解不等式组:12.解不等式组:.13.解不等式组:.14.解不等式组:.15.解不等式≥4,并将其解集在数轴上暗示出来.16.解不等式﹣≥﹣1(把解集在数轴上暗示出来)17.解不等式:x﹣<2x+.18.解不等式组并把其解集在数轴上暗示出来.19.解不等式组:.20.解不等式组,并在数轴上将解集暗示出来.21.(1)解不等式:<x+2;(2)解不等式组:.22.(1)计算(2)解方程组(3)解不等式组并把它的解集在数轴上暗示出来.23.求不等式组的所有整数解.24.解不等式2x﹣7<5﹣2x.25.解不等式:>1﹣.26.解不等式5x+15>0,并将解集在数轴上暗示出来.27.解不等式,并把解集暗示在数轴上..28.求不等式2x﹣3≥x的解集.29.解下列不等式(组),并把解集暗示在数轴上.(1)(2).30.解下列不等式组,并把不等式组的解集暗示在数轴上(1).(2).31.解下列不等式(组):(1)≥﹣1;(2).32.解不等式(组)并在数轴上暗示解集(1)(x+2)(x﹣2)+5>(x﹣5)(x+1)(2).33.解不等式(组)(1)3(1﹣x)<2(x+9);(2).34.解不等式(组)(1)﹣1<(2).35.解下列不等式(组),并把解集在数轴上暗示出来.(1)3(1﹣x)﹣2(4﹣2x)≤0(2).36.解不等式(组),并把解集在数轴上暗示出来.(1)5(x﹣1)>6x﹣10(2).37.求的自然数解.38.解不等式:.39.解下列不等式,并把解集在数轴上暗示出来:(1)3(x+2)﹣8≥1﹣2(x﹣1);(2)﹣1>.40.解不等式组:.时间:二O二一年七月二十九日。
第六章《实数》计算题
1.计算:
(1)||+|﹣1|﹣|3|(2)﹣++.
|2.计算:﹣|2﹣﹣.2+)=+.(2)(x﹣13.()计算:1
234.计算:﹣3+|.|+﹣.﹣|++|.计算53﹣
2015.6.计算:(﹣1)|++|﹣2+2015)1.计算:(﹣7+.+|1﹣|﹣32=9.)(x﹣1 (2)4 (1)5x =﹣40 .解方程823﹣8=0.﹣1)②27(x9.求下列各式中x的值:①4x=25
23=﹣27).2)(2x+10 4x 10.求下列各式中的x (1)(=81;233x)(2 (1)(x+1)﹣3=0;11.求下列各式中x的值+4=﹣20.
2)()+12.计算(1﹣||+﹣(21)+
.计算题:13..﹣(﹣+|(;﹣+)(14.计算 1 2)1|+1)
..1516.计算:
2|﹣﹣)﹣﹣|+6(﹣1()
|.2﹣|+|﹣﹣|+|1)2(|2﹣16=0 3)+)(34(x3.8﹣=)3﹣x (27)4(.,,﹣1.732,,,﹣3,0,0.3,17.把下列各数分别填在相应的括
号内:,,,0.1010010001…,||,整数{};
分数;{};
正数{};
负数{};
有理数{};
无理数{}.
18.将下列各数填入相应的集合内.
,,,π,0.1010010001…,,0﹣7,0.32,①有理数集合
{…}
…}②无理数集合{
}③负实数集合
{…..把下列各数按要求填入相应的大括号
里:192 0,﹣(﹣,﹣2π,,2.10010001…,3)44.510﹣,,﹣,};{整数集合:{分数集合:};;}{自然数集合:
{正有理数集合:}.20.把下列各数分别填入相应的大括号12,﹣,﹣+,0.1010010001…,1.5,30%,3.140,||,﹣5﹣,﹣,﹣6﹣(﹣){正有理数集合:}…
非正整数集合:{…}
负分数集合:{…}
无理数集合:{…}.
21.将下列各数填入相应的集合中.
22,﹣2.55555…,3.01,+9,﹣,4.020020002…,+10%,﹣2π.﹣7,0 ,无理数集合:{ };
负有理数集合:{ };
正分数集合:{ };
非负整数集合:{ }.
22.把下列各数分别填在相应的集合里:
,,0.3,0,﹣1.7,21﹣,﹣12,1.01001,+6,π
}…(1)整数集合{
…}(2)正分数集合{
.}…{)无理数集合3(.
第八章《二元一次方程组》计算题
.解方程组:.12..解方程组3.用指定的方法解下列方程组:
)(代入法)(12)(加减法)(.计算:4 ﹣|+﹣1;)计算:(1|
)解方程组(2.5.解下列方程组:(1).(2)﹣+)计算:|﹣|+1.6(
)解方程组:.2(.解方程组.7
8.解方程组:.解方程组.9..解方程组10.解
方程组:11.12.解方程组:)1(.(用加减法解).(2).解方程组:13(1))(2.14.解方程(组):
= ﹣(1)2)(2..解方程组:15..解方程组:16.17.用适当方法解下列方程组.
)1 (.2 )(18.解方程组:1())(2.19.解方程组(1).(2)20.解下列方程组
)(1.)2(.
21.解下列方程组:
)(1).2(22.解方程组
);(1
).(2
). 2 1)((23...24 25.解下列方程组(1)
.)2(.
第九章《一元一次不等式》计算题
1.解下列不等式,并把它的解集在数轴上表示出来.
4﹣2(x﹣3)≥4(x+1)
2.解不等式,并把解集在数轴上表示出来:2(x+1)>x.
≤,并把解集在数轴上表示出来.13 .解不等式﹣..解不等式组:4
.解不等式组,并把解集在数轴上表示出来.5.解不等式组:.6.解不等式组:.7并将解集在数轴上表示出来.8 .解不等式组,并把它的解集在数轴上表示出来.9 .解不等式组:.解不等式组:并在数轴上表示解集.10
.解不等式组:11.12.解不等式组:
.解不等式组:.13..解不等式组:14≥.解不等式4,并将其解集在数轴上表示出来.15(把解集在数轴上表示出来)1≥﹣﹣.解不等式16.+.x﹣<2x17.解不等式:.解
不等式组并把其解集在数轴上表示出来.18.解不等式组:.19
,并在数轴上将解集表示出来.20 .解不等式组<x (1+)解不等式:2;21..)解不等式组:(2
22.(1)计算
2)解方程组()解不等式组并把它的解集在数轴上表示出来.3
(.求不等式组的所有整数解.23
24.解不等式2x﹣7<5﹣2x.
﹣.>1 25.解不等式:26.解不等式5x+15>0,并将解集在数轴上表示出来.
27.解不等式,并把解集表示在数轴上.
.
28.求不等式2x﹣3≥x的解集.
29.解下列不等式(组),并把解集表示在数轴上.
)1(.2().解下列不等式组,并把不等式组的解集表示
在数轴上30.).(1).2 (31.解下列不等式(组):
≥﹣11;)(.)(232.解不等式(组)并在数轴上表示解集
(1)(x+2)(x﹣2)+5>(x﹣5)(x+1)
).(2
33.解不等式(组)
(1)3(1﹣x)<2(x+9);
).2(34.解不等式(组)
<﹣)1(1.(2 )35.解下列不等式(组),并把解集在数轴上表示出来.
(1)3(1﹣x)﹣2(4﹣2x)≤0
).(2
36.解不等式(组),并把解集在数轴上表示出来.
10
﹣6x)>1﹣x(5)1(.).(2.求的自
然数解.37.38 .解不等式:39.解下列不等式,并把解集在数轴上表示出来:
(1)3(x+2)﹣8≥1﹣2(x﹣1);
>.1 ﹣(2).解不等式组:40 .。