七年级数学计算题专项练习题附答案
- 格式:docx
- 大小:624.51 KB
- 文档页数:18
人教版七年级数学《整式加减》计算题专项练习(含答案)1.计算:$2(5a^2-3b)-3(a^2-2b)$。
2.计算:$3a^2+2a-4a^2-7a$。
3.计算:$2(a-2b)-3(2a-b)$。
4.计算:$5x^2-[2x-3(x+2)+4x^2]$。
5.计算:$3x^2-3(x^2-2x+1)+4$。
6.化简:$2(2a^2+9b)+(-5a^2-4b)$。
7.化简:$-2a+(3a-1)-(a-5)$。
8.计算:$a+2b+3a-2b$。
9.计算:$2(x^2y-3xy^2)-3(x^2y-4xy^2)$。
10.先化简,再求值:$(2a^2-5a)-(2a^2-4a+2)$,其中$a=$。
11.化简:$3(2x^2y-3xy^2)-(xy^2-3x^2y)$。
12.化简:$2(3a-2b)-3(a-3b)$。
13.化简:$(3m+2)-3(m^2-m+1)+(3-6m)$。
14.化简:$-2(x^2-3xy)+6(x^2-xy)$。
15.化简:$2(2x^2-4x+1)-(3x^2-2x+5)$。
16.计算:$2x^2+(3y^2-xy)-(x^2-3xy)$。
17.化简:$(5x^2-2x-3)-(x-4+3x^2)$。
18.先化简,再求代数式的值:$2(a^2-ab)-3(a^2-ab-)$,其中$a=2$,$b=$。
19.化简求值:$2(3x^2-2x+1)-(5-2x^2-7x)$,其中$x=-1$。
20.先化简,再求值。
21.已知$A=2x^2-9x-11$,$B=-6x+3x^2+4$,且$B+C=A$,(1)求多项式$C$;(2)求$A+2B$的值。
22.先化简,再求值:$(4a^2-2a-8)-(a-1)$,其中$a=1$。
23.先化简,再求值:$(-x^2+5+4x)+(5x-4+2x^2)$,其中$x=-2$。
24.化简后再求值:$x+2(3y^2-2x)-4(2x-y^2)$,其中$x=2$,$y=-1$。
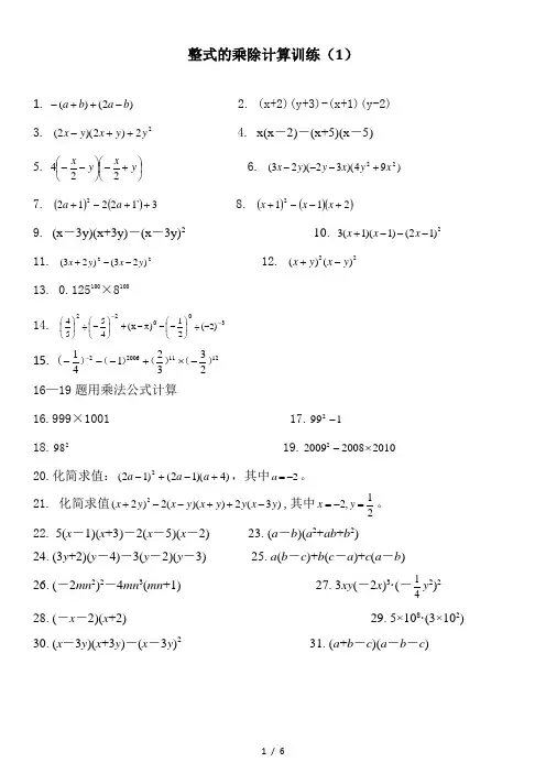
整式的乘除计算训练(1)1. )2()(b a b a -++-2. (x+2)(y+3)-(x+1)(y-2)3. 22)2)(2(y y x y x ++-4. x(x -2)-(x+5)(x -5)5. ⎪⎭⎫ ⎝⎛+-⎪⎭⎫ ⎝⎛--y x y x 224 6. )94)(32)(23(22x y x y y x +--- 7. ()()3`122122++-+a a 8. ()()()2112+--+x x x9. (x -3y)(x+3y)-(x -3y)2 10. 23(1)(1)(21)x x x +--- 11. 22)23()23(y x y x --+ 12. 22)()(y x y x -+13. 0.125100×8100 14. 30022)2(21)x (4554---÷⎪⎭⎫ ⎝⎛--π-+⎪⎭⎫ ⎝⎛-÷⎪⎭⎫ ⎝⎛ 15. (1211200622332141)()()()-⨯+---- 16—19题用乘法公式计算16.999×1001 17.1992-18.298 19.2010200820092⨯-20.化简求值:)4)(12()12(2+-+-a a a ,其中2-=a 。
21. 化简求值2(2)2()()2(3)x y x y x y y x y +--++-,其中12,2x y =-=。
22. 5(x -1)(x +3)-2(x -5)(x -2) 23. (a -b )(a 2+ab +b 2)24. (3y +2)(y -4)-3(y -2)(y -3) 25. a (b -c )+b (c -a )+c (a -b )26. (-2mn 2)2-4mn 3(mn +1) 27. 3xy (-2x )3·(-41y 2)228. (-x -2)(x +2) 29. 5×108·(3×102)30. (x -3y )(x +3y )-(x -3y )2 31. (a +b -c )(a -b -c )答案1. 2. 3. 4.5. 6. 7. 8.9. 10. 11. 12.13. 14. 15.16. 原式=(1000-1)(1000+1) 17. 原式=(99+1)(99-1)=1000000-1 =10098=999999 =980018. 原式=(900-2)2 19. 原式=20092-(2009+1)(2009-1)=10000-400+4 =20092-20092+1=9604 =120.原式=,当时,原式=21.原式=,当,时,原式=22. 23. 24. 25. 026. 27. 28. 29.30. 31.2014年北师大七年级数学上册《整式及其加减》计算题专项练习一一.解答题(共12小题)1.计算题①12﹣(﹣8)+(﹣7)﹣15;②﹣12+2×(﹣5)﹣(﹣3)3÷;③(2x﹣3y)+(5x+4y);④(5a2+2a﹣1)﹣4(3﹣8a+2a2).2.(1)计算:4+(﹣2)2×2﹣(﹣36)÷4;(2)化简:3(3a﹣2b)﹣2(a﹣3b).3.计算:(1)7x+4(x2﹣2)﹣2(2x2﹣x+3);(2)4ab﹣3b2﹣[(a2+b2)﹣(a2﹣b2)];(3)(3mn﹣5m2)﹣(3m2﹣5mn);(4)2a+2(a+1)﹣3(a﹣1).4.化简(1)2(2a2+9b)+3(﹣5a2﹣4b)(2)3(x3+2x2﹣1)﹣(3x3+4x2﹣2)5.(2009•柳州)先化简,再求值:3(x﹣1)﹣(x﹣5),其中x=2.6.已知x=5,y=3,求代数式3(x+y)+4(x+y)﹣6(x+y)的值.7.已知A=x2﹣3y2,B=x2﹣y2,求解2A﹣B.8.若已知M=x2+3x﹣5,N=3x2+5,并且6M=2N﹣4,求x.9.已知A=5a2﹣2ab,B=﹣4a2+4ab,求:(1)A+B;(2)2A﹣B;(3)先化简,再求值:3(A+B)﹣2(2A﹣B),其中A=﹣2,B=1.10.设a=14x﹣6,b=﹣7x+3,c=21x﹣1.(1)求a﹣(b﹣c)的值;(2)当x=时,求a﹣(b﹣c)的值.11.化简求值:已知a、b满足:|a﹣2|+(b+1)2=0,求代数式2(2a﹣3b)﹣(a﹣4b)+2(﹣3a+2b)的值.12.已知(x+1)2+|y﹣1|=0,求2(xy﹣5xy2)﹣(3xy2﹣xy)的值.2014年北师大七年级数学上册《整式及其加减》计算题专项练习一参考答案与试题解析一.解答题(共12小题)1.计算题①12﹣(﹣8)+(﹣7)﹣15;②﹣12+2×(﹣5)﹣(﹣3)3÷;③(2x﹣3y)+(5x+4y);④(5a2+2a﹣1)﹣4(3﹣8a+2a2).考点:整式的加减;有理数的混合运算.专题:计算题.分析:(1)直接进行有理数的加减即可得出答案.(2)先进行幂的运算,然后根据先乘除后加减的法则进行计算.(3)先去括号,然后合并同类项即可得出结果.(4)先去括号,然后合并同类项即可得出结果.解答:解:①原式=12+8﹣7﹣15=﹣2;②原式=﹣1﹣10+27÷=﹣11+81=70;③原式=2x﹣3y+5x+4y=7x+y;④原式=5a2+2a﹣1﹣12+32a﹣8a2=﹣3a2+34a﹣13.点评:本题考查了整式的加减及有理数的混合运算,属于基础题,解答本题的关键熟记去括号法则,熟练运用合并同类项的法则,这是各地中考的常考点.2.(1)计算:4+(﹣2)2×2﹣(﹣36)÷4;(2)化简:3(3a﹣2b)﹣2(a﹣3b).考点:整式的加减;有理数的混合运算.分析:(1)按照有理数混合运算的顺序,先乘方后乘除最后算加减;(2)运用整式的加减运算顺序计算:先去括号,再合并同类项.解答:解:(1)原式=4+4×2﹣(﹣9)=4+8+9=17;(2)原式=9a﹣6b﹣2a+6b=(9﹣2)a+(﹣6+6)b=7a.点评:在混合运算中要特别注意运算顺序:先三级,后二级,再一级;熟记去括号法则:﹣﹣得+,﹣+得﹣,++得+,+﹣得﹣;及熟练运用合并同类项的法则:字母和字母的指数不变,只把系数相加减.3.计算:(1)7x+4(x2﹣2)﹣2(2x2﹣x+3);(2)4ab﹣3b2﹣[(a2+b2)﹣(a2﹣b2)];(3)(3mn﹣5m2)﹣(3m2﹣5mn);(4)2a+2(a+1)﹣3(a﹣1).考点:整式的加减.分析:(1)先去括号,再合并同类项即可;(2)先去括号,再合并同类项即可;(3)先去括号,再合并同类项即可;(4)先去括号,再合并同类项即可.解答:解:(1)7x+4(x2﹣2)﹣2(2x2﹣x+3)=7x+4x2﹣8﹣4x2+2x﹣6=9x﹣14;(2)4ab﹣3b2﹣[(a2+b2)﹣(a2﹣b2)]=4ab﹣3b2﹣[a2+b2﹣a2+b2]=4ab﹣3b2﹣2b2=4ab﹣5b2;(3)(3mn﹣5m2)﹣(3m2﹣5mn)=3mn﹣5m2﹣3m2+5mn=8mn﹣8m2;(4)2a+2(a+1)﹣3(a﹣1)=2a+2a+2﹣3a+3=a+5.点评:本题考查了整式的加减,解决此类题目的关键是熟记去括号法则,熟练运用合并同类项的法则,这是各地中考的常考点.4.化简(1)2(2a2+9b)+3(﹣5a2﹣4b)(2)3(x3+2x2﹣1)﹣(3x3+4x2﹣2)考点:整式的加减.专题:计算题.分析:(1)原式利用去括号法则去括号后,合并同类项即可得到结果;(2)原式利用去括号法则去括号后,合并同类项即可得到结果.解答:解:(1)原式=4a2+18b﹣15a2﹣12b=﹣11a2+6b;(2)原式=3x3+6x2﹣3﹣3x3﹣4x2+2=2x2﹣1.点评:此题考查了整式的加减,涉及的知识有:去括号法则,以及合并同类项法则,熟练掌握法则是解本题的关键.5.(2009•柳州)先化简,再求值:3(x﹣1)﹣(x﹣5),其中x=2.考点:整式的加减—化简求值.分析:本题应对方程去括号,合并同类项,将整式化为最简式,然后把x的值代入即可.解答:解:原式=3x﹣3﹣x+5=2x+2,当x=2时,原式=2×2+2=6.点评:本题考查了整式的化简.整式的加减运算实际上就是去括号、合并同类项,这是各地中考的常考点.6.已知x=5,y=3,求代数式3(x+y)+4(x+y)﹣6(x+y)的值.考点:整式的加减—化简求值.分析:先把x+y当作一个整体来合并同类项,再代入求出即可.解答:解:∵x=5,y=3,∴3(x+y)+4(x+y)﹣6(x+y)=x+y=5+3=8.点评:本题考查了整式的加减的应用,主要考查学生的计算能力,用了整体思想.7.已知A=x2﹣3y2,B=x2﹣y2,求解2A﹣B.考点:整式的加减.分析:直接把A、B代入式子,进一步去括号,合并得出答案即可.解答:解:2A﹣B=2(x2﹣3y2)﹣(x2﹣y2)=2x2﹣6y2﹣x2+y2=x2﹣5y2.点评:此题考查整式的加减混合运算,掌握去括号法则和运算的方法是解决问题的关键.8.若已知M=x2+3x﹣5,N=3x2+5,并且6M=2N﹣4,求x.考点:整式的加减;解一元一次方程.专题:计算题.分析:把M与N代入计算即可求出x的值.解答:解:∵M=x2+3x﹣5,N=3x2+5,∴代入得:6x2+18x﹣30=6x2+10﹣4,解得:x=2.点评:此题考查了整式的加减,熟练掌握运算法则是解本题的关键.9.已知A=5a2﹣2ab,B=﹣4a2+4ab,求:(1)A+B;(2)2A﹣B;(3)先化简,再求值:3(A+B)﹣2(2A﹣B),其中A=﹣2,B=1.考点:整式的加减;整式的加减—化简求值.专题:计算题.分析:(1)把A与B代入A+B中计算即可得到结果;(2)把A与B代入2A﹣B中计算即可得到结果;(3)原式去括号合并得到最简结果,把A与B的值代入计算即可求出值.解答:解:(1)∵A=5a2﹣2ab,B=﹣4a2+4ab,∴A+B=5a2﹣2ab﹣4a2+4ab=a2+2ab;(2)∵A=5a2﹣2ab,B=﹣4a2+4ab,∴2A﹣B=10a2﹣4ab+4a2﹣4ab=14a2﹣8ab;(3)原式=3A+3B﹣4A+2B=﹣A+5B,把A=﹣2,B=1代入得:原式=2+5=7.点评:此题考查了整式的加减,熟练掌握运算法则是解本题的关键.10.设a=14x﹣6,b=﹣7x+3,c=21x﹣1.(1)求a﹣(b﹣c)的值;(2)当x=时,求a﹣(b﹣c)的值.考点:整式的加减;代数式求值.专题:计算题.分析:(1)把a,b,c代入a﹣(b﹣c)中计算即可得到结果;(2)把x的值代入(1)的结果计算即可得到结果.解答:解:(1)把a=14x﹣6,b=﹣7x+3,c=21x﹣1代入得:a﹣(b﹣c)=a﹣b+c=14x﹣6+7x﹣3+21x﹣1=42x﹣10;(2)把x=代入得:原式=42×﹣10=10.5﹣10=0.5.点评:此题考查了整式的加减,以及代数式求值,熟练掌握运算法则是解本题的关键.11.化简求值:已知a、b满足:|a﹣2|+(b+1)2=0,求代数式2(2a﹣3b)﹣(a﹣4b)+2(﹣3a+2b)的值.考点:整式的加减—化简求值;非负数的性质:绝对值;非负数的性质:偶次方.专题:计算题.分析:原式去括号合并得到最简结果,利用非负数的性质求出a与b的值,代入计算即可求出值.解答:解:原式=4a﹣6b﹣a+4b﹣6a+4b=﹣3a+2b,∵|a﹣2|+(b+1)2=0,∴a=2,b=﹣1,则原式=﹣6﹣2=﹣8.点评:此题考查了整式的加减﹣化简求值,熟练掌握运算法则是解本题的关键.12.已知(x+1)2+|y﹣1|=0,求2(xy﹣5xy2)﹣(3xy2﹣xy)的值.考点:整式的加减—化简求值;非负数的性质:绝对值;非负数的性质:偶次方.分析:因为平方与绝对值都是非负数,且(x+1)2+|y﹣1|=0,所以x+1=0,y﹣1=0,解得x,y的值.再运用整式的加减运算,去括号、合并同类项,然后代入求值即可.解答:解:2(xy﹣5xy2)﹣(3xy2﹣xy)=(2xy﹣10xy2)﹣(3xy2﹣xy)=2xy﹣10xy2﹣3xy2+xy=(2xy+xy)+(﹣3xy2﹣10xy2)=3xy﹣13xy2,∵(x+1)2+|y﹣1|=0∴(x+1)=0,y﹣1=0∴x=﹣1,y=1.∴当x=﹣1,y=1时,3xy﹣13xy2=3×(﹣1)×1﹣13×(﹣1)×12=﹣3+13=10.答:2(xy﹣5xy2)﹣(3xy2﹣xy)的值为10.点评:整式的加减运算实际上就是去括号、合并同类项,这是各地中考的常考点.代入求值时要化简.。
初一数学计算题练习试题答案及解析1.解方程:.【答案】x=10【解析】解分式方程的一般步骤:先去分母化分式方程为整式方程,再解这个整式方程即可,注意解分式方程最后一步要写检验.方程两边都乘以(x﹣2)(x+2)得,x(x+2)-3(x-2)=(x+2)(x-2)x2+2x-3x+6=x2-4-x=-10x=10经检验,x=10是原方程的解,所以,原分式方程的解是x=10.本题涉及了解分式方程,解方程是中考必考题,一般难度不大,要特别慎重,尽量不在计算上失分.2.计算:①②a2·a4+(a2)3【答案】(1)-1;(2)2a6.【解析】(1)根据平方、零次幂、负整数指数幂的意义进行计算即可求值;(2)先进行同底数幂的乘法和幂的乘方运算,再进行合并同类项即可求解.试题解析:(1)原式=-4+1+2=-1;(2)原式=a6+a6=2a6.考点: 1.零次幂;2.负整数指数幂;3.同底数幂的乘法;4.幂的乘方.3.给出三个多项式:①;②;③.请你把其中任意两个多项式进行加法运算(写出所有可能的结果),并把每个结果因式分解.【答案】①+②:;①+③:;②+③:【解析】①+②:;①+③:;②+③:【考点】因式分解点评:本题主要考查学生对整式运算知识点的掌握。
运用完全平方根及平方差公式辅助即可。
4.计算:【答案】【解析】解:原式==【考点】整数运算点评:本题难度较低,主要考查学生对整式运算知识点的掌握。
易错:幂的乘方注意指数相乘不是相加。
5.化简求值:,其中.【答案】-12【解析】===当时原式===【考点】整式运算点评:本题难度中等,主要考查学生对多项式运算的掌握。
化简后代入求值即可。
6.计算:(每小题3分,共12分)(1)-4-5+7(2)8×(-1)2-(-4)+(-3)(3)(-2)3÷-(-5)×(4)5(x-3 y) - (-2 y+x )【答案】(1)-2(2)9(3)1 (4)4x-13 y【解析】(1)-4-5+7(2)8×(-1)2-(-4)+(-3)=9(3)(-2)3÷-(-5)×(4)5(x-3 y) - (-2 y+x )【考点】有理数的运算代数式的运算点评:基础题,考查基本的计算。
初一数学计算题及答案50题1、计算题: 48×3+27=()答案: 1652、计算题: 90÷( 30-24)=()答案: 153、计算题: 10×[48÷(16-8)]=()答案: 804、计算题: [40-(8+2)]×9=()答案: 2705、计算题: (12-4)×3+9=()答案: 336、计算题: 12÷[( 41-34)×2]=()答案: 37、计算题: 3×[28-(13+7)]=()答案: 488、计算题: 18÷(3-1)+6=()答案: 129、计算题: 17-8÷(4-2)=()答案: 910、计算题: (9-5)×(7-2)=()答案: 28以上只是初一数学计算题及答案的一部分,希望对大家有所帮助。
初一数学找规律题及答案找规律是数学学习中一个重要的部分,它能帮助学生发展逻辑思维和解决问题的能力。
下面,我将展示一些初一数学找规律的问题,并附上相应的答案,以便帮助学生理解并解决类似的问题。
问题1:观察下列数字序列,找出规律,并预测下一个数字。
1,2,3,5,8,13,21,34,55,89...答案:这个数字序列是著名的斐波那契数列。
它的规律是每个数字是前两个数字的和。
因此,下一个数字应该是34 + 55 = 89。
问题2:观察下列图形序列,找出规律,并预测下一个图形。
图1:△图2:□△图3:△□□图4:□△□□图5:△□□□答案:这个图形序列的规律是每个图形都是由一个或多个三角形和一个正方形组成。
每个图形中的三角形数量比前一个图形多一个,而正方形数量与前一个图形相同。
因此,下一个图形应该是□△□□□。
问题3:观察下列等式序列,找出规律,并预测下一个等式。
a +b = cb +c = dc +d = ed +e = f答案:这个等式序列的规律是每个等式都是前两个等式的和。
题减整式的加计算1、已知A =4x 2-4xy +y 2,B =x 2-xy -5y 2,求3A -B2、已知A=x 2+xy +y 2,B=-3xy -x 2,求2A-3B.3、已知1232+-=a a A ,2352+-=a a B ,求BA 32-4、已知325A x x =-,2116B x x =-+,求:⑴A+2B;⑵、当1x =-时,求A+5B 的值。
5、)(4)()(3222222y z z y y x ---+-6、2(a 2b +2b 3-ab 3)+3a 3-(2ba 2-3ab 2+3a 3)-4b 3,其中a =-3,b =27、-)32(3)32(2a b b a -+-8、21x -2(x -31y 2)+(-23x +31y 2),其中x =-2,y =-32.9、222213344a b ab ab a b ⎛⎫⎛⎫+-+ ⎪ ⎪⎝⎭⎝⎭10、()()323712p p p p p +---+11、21x-3(2x-32y 2)+(-23x+y 2)12、5a-[6c-2a-(b-c)]-[9a-(7b+c)]13、2237(43)2x x x x ⎡⎤----⎣⎦14、-22225(3)2(7)a b ab a b ab ---15、2(-a 3+2a 2)-(4a 2-3a+1)16、(4a 2-3a+1)-3(1-a 3+2a 2).17、3(a 2-4a+3)-5(5a 2-a+2)18、3x 2-[5x-2(14x -32)+2x 2]19、7a +(a 2-2a )-5(a -2a 2)20、-3(2a +3b )-31(6a -12b )21、222226284526x y xy x y x xy y x x y+---+-22、3(2)(3)3ab a a b ab -+--+;23、22112()822a ab a ab ab ⎡⎤--+-⎢⎥⎣⎦;24、(a 3-2a 2+1)-2(3a 2-2a +21)25、x-2(1-2x+x 2)+3(-2+3x-x 2)26、)24()215(2222ab ba ab b a +-+-27、-4)142()346(22----+m m m m28、)5(3)8(2222xy y x y x xy ++--+-29、ba ab b a ab ab b a 222222]23)35(54[3--+--30、7xy+xy 3+4+6x-25xy 3-5xy-331、-2(3a 2-4)+(a 2-3a)-(2a 2-5a+5)32、-12a 2b-5ac-(-3a 2c-a 2b)+(3ac-4a 2c)33、2(-3x 2-xy)-3(-2x 2+3xy)-4[x 2-(2x 2-xy+y 2)]34、-2(4a-3b)+3(5b-3a)35、52a -[2a +(32a -2a)-2(52a -2a)]36、-5xy 2-4[3xy 2-(4xy 2-2x 2y)]+2x 2y-xy37、),23()2(342222c a ac b a c a ac b a +-+---38、(2)()xy y y yx ---+39、2237(43)2x x x x ⎡⎤----⎣⎦40、7-3x-4x 2+4x-8x 2-1541、2(2a 2-9b)-3(-4a 2+b)42、8x 2-[-3x-(2x 2-7x-5)+3]+4x43、)(2)(2b a b a a +-++;44、)32(2[)3(1yz x x xy +-+--]45、)32(3)23(4)(5b a b a b a -+--+;46、)377()5(322222a b ab b ab a a ---+--47、)45()54(3223--++-x x x x 48、)324(2)132(422+--+-x x x x49、)69()3(522x x x +--++-.50、)35()2143(3232a a a a a a ++--++-51、)(4)(2)(2n m n m n m -++-+52、]2)34(7[522x x x x ----53、(2)(3)x y y x ---54、()()()b a b a b a 4227523---+-55、()[]22222223ab b a ab b a ---56、2213[5(3)2]42a a a a ---++57、()()()xy y x xy y xy x -+---+-2222232258、-32ab +43a 2b +ab +(-43a 2b )-159、已知m+n =-3,mn=2,求116432n mn mn m ⎛⎫⎛⎫--+- ⎪ ⎪⎝⎭⎝⎭的值;60、(2x 2-21+3x )-4(x -x 2+21);61、2x -(3x -2y +3)-(5y -2);62、已知()()()2222A=232B=231A 22x xy y x xy y B A B A -++-+--,,求;63、已知()()222222120522422a b a b a b ab a b ab ⎡⎤++-=-----⎣⎦,求;64、1-3(2ab +a )十[1-2(2a -3ab )].65、3x 2-[7x -(4x -3)-2x 2].66、已知323243253A a a a B a a a =--++=--,,当a =-2时,求A-2B 的值.67、已知xy=2,x+y=-3,求整式(4xy+10y)+[5x-(2xy+2y-3x)]的值.68、已知2222224132a ab b ab a b a ab b +=+=--++,,求及的值.69、221131222223233x y x y x y ⎛⎫⎛⎫--+-+=-= ⎪ ⎪⎝⎭⎝⎭,,70、()()232334821438361a a a a a a a -+---+-=-,其中71、已知()()()()23412043535712714m n m m n m n m n ++--=---+++-,求的值72、已知222232542A b a ab B ab b a =-+=--,,当a=1,b =-1,求3A-4B 的值.73、已知222A=23B=25C=1276x x x x x ----+,,,求A-(B-4C)的值.74、已知22A=23211x kx x B x kx +--=-+-,,且2A+4B 的值与x 无关,求k 的值.75、()()2221254322x x x x x x -----+=,其中.76、已知()()()222222120745223a a b a b a b ab a b ab -++=--+--,求的值.77、2222220A=3B=23A B C a b c a b c ++=+---+已知,且,,求C.78、()()22221532722a b ab a b ab a b ---==,且,79、(5x-3y-2xy)-(6x+5y-2xy),其中5-=x ,1-=y 80、若()0322=++-b a ,求3a 2b-[2ab 2-2(ab-1.5a 2b)+ab]+3ab 2的值;81、233(4333)(4),2;a a a a a a +----+=-其中82、22222222(22)[(33)(33)],1, 2.x y xy x y x y x y xy x y ---++-=-=其中83、()()()2222223224b ab a ab b a b ab a +-+-+----其中4.0,41=-=b a 84、3-2xy +2yx 2+6xy -4x 2y ,其中x =-1,y =-2.85、(-x 2+5+4x 3)+(-x 3+5x -4),其中x =-2;86、(3a 2b -ab 2)-(ab 2+3a 2b ),其中a =-3,b =-287、已知222244,5A x xy y B x xy y =-+=+-,其中1122x y ==-,,求3A -B88、已知A =x 2+xy +y 2,B =-3xy -x 2,其中,113x y =-=-,,求2A -3B .89、有两个多项式:A =2a 2-4a +1,B =2(a 2-2a )+3,当a 取任意有理数时,请比较A 与B 的大小.90、x x x x x x 5)64(213223312323-++-⎪⎭⎫ ⎝⎛---其中x =-121;91、21x 2-2⎪⎭⎫ ⎝⎛+--⎪⎭⎫ ⎝⎛-222231322331y x y x ,其中x =-2,y =-3492、2(a 2b +2b 3-ab 3)+3a 3-(2ba 2-3ab 2+3a 3)-4b 3,其中a =-3,b =293、()()233105223xy x y xy y x xy y x =-+=++-+-⎡⎤⎣⎦已知,,求的值94、已知()()22222322322A x xy y B x xy y A B B A =-+=+-+---⎡⎤⎣⎦,,求95、已知()222232232M a ab b N a ab b M N M M N =-+=+-----⎡⎤⎣⎦,,化简96、小美在计算某多项式减去2235a a +-的差时,误认为加上2235a a +-,得到答案是24a a +-,问正确答案是多少?97、已知2222113532A a b abB ab a b x y =-=+==-,,当,,求5A-3B 的值.98、已知2223226mx xy y x nxy y +--+-+的值与x 的取值无关,求22m n -的值99、已知231x x -=,求326752019x x x +-+的值100、()()11111111321014122m n n m m n x y y x x y m n +--++-⎛⎫+---- ⎪⎝⎭,其中为自然数,为大于的整数整式的加减计算100题答案1、2211118x xy y -+2、225112x xy y ++3、2954a a -+-4、()()3231322122553084x x x x x --+--+;,5、222325x y z +-6、322312ab ab -+,7、-13a+12b8、24369x y -+,9、22122a b ab -10、325797p p p +--11、273x y -+12、-2a+8b-6c13、2533x x --14、22729a b ab -+15、3231a a -+-16、323232a a a ---17、22271a a ---18、2932x x --19、211a 20、-8a-5b 21、2224382x xy x y y x ---+22、3a+b23、2592a ab -24、32524a a a --+25、25148x x -+-26、2232a b ab+27、2261213m m --+28、22272x xy y --29、2231532a b ab+30、332615y xy x +++31、2723a a -++32、22122a b ac a c --33、224154x xy y -+34、-17a+21b 35、2112a a -36、226xy x y xy ---37、22474a b ac a c--38、xy39、2533x x --40、2128x x -+-41、21621a b -42、2108x -43、a-b44、1-3x-3xy-6yz45、-a+4b 46、2266a ab b -+47、32341x x -+48、-8x-249、2534x x -++50、32941a a a --++51、4m+4n 52、2733x x --53、4x-3y 54、4a-b 55、22710a b ab -56、2912a a -+57、225x xy y -+58、113ab -59、2660、21622x x --61、-x-3y-162、2222424109x xy y x xy y ---+;63、221462a b ab -+;64、2-7a 65、2533x x --66、7967、-2068、5,269、24369x y -+;70、-5371、-1.7572、2221716a ab b --+;73、2473026x x -+74、2/575、-2.576、22710a b ab +-;77、222a c --78、221352a b ab -;79、-x-8y;1380、212ab ab +;81、327353a a a -++-;5582、222x y xy -+;83、22478150a ab b --;84、224315x y xy -++;--21---21-85、3235137x x x -++-;86、2224ab -;87、22111388x xy y -+;88、228511289x y y ++;89、A<B90、323668x x x +-+;91、2211226x y --;827-92、232223a b ab ab -+;4893、2294、224611x xy y +-95、2221614a ab b -+96、2356a a --+97、23-98、-899、2022100、118m n x y +--+。
人教版七年级数学《有理数》计算题专项练习学校:班级:姓名:得分:1、计算:(﹣40)﹣(﹣28)﹣(﹣19)+(﹣24).2、计算:12﹣(﹣18)+(﹣7)﹣15;3、计算:(﹣)×(﹣8)+(﹣6)÷(﹣)2.4、计算:(﹣3)+(+15.5)+(﹣6)+(﹣5)5、计算:(﹣﹣)×366、计算:(﹣1)4﹣36÷(﹣6)+3×(﹣)7、计算:(﹣+)×(﹣24)8、计算:﹣32+2×(﹣3)2﹣(﹣6)÷(﹣).9、计算:﹣14÷(﹣5)2×(﹣)10、计算:(﹣5)3×(﹣)+32÷(﹣22)×(﹣1).11、计算:23×(1﹣)×0.5.12、计算:﹣72+2×(﹣3)2+(﹣6)÷(﹣)2.13、计算:4+(﹣2)2×2﹣(﹣36)÷4.14、计算:﹣33+(﹣1)2016÷+(﹣5)2.15、计算:﹣10+8÷(﹣2)2﹣(﹣2)3×(﹣3)16、计算:﹣22÷(﹣1)2﹣×[4﹣(﹣5)2].17、计算:(﹣2)4÷(﹣2)2+5×(﹣)﹣0.25.18、计算:2×(﹣3)2﹣5÷(﹣)×(﹣2)19、计算:(﹣2)3÷+3×|1﹣(﹣2)2|.20、计算:(﹣)2÷()3﹣12×(﹣)21、计算:.22、计算:﹣13﹣(1﹣0.5)××[2﹣(﹣3)2].23、计算:(﹣28)÷(﹣6+4)+(﹣1)×5.人教版七年级数学《有理数》计算题专项练习参考答案与试题解析1.计算:(﹣40)﹣(﹣28)﹣(﹣19)+(﹣24).【解答】解:(﹣40)﹣(﹣28)﹣(﹣19)+(﹣24)=﹣40+28+19﹣24=﹣(40+24)+(28+19)=﹣64+47=﹣172.计算:12﹣(﹣18)+(﹣7)﹣15;【解答】解:(1)原式=12+18﹣7﹣15=30﹣22=8;3.计算:(﹣)×(﹣8)+(﹣6)÷(﹣)2.【解答】解:原式=4﹣54=﹣50.4.计算:(﹣3)+(+15.5)+(﹣6)+(﹣5)【解答】解:原式=(﹣3﹣6)+(15.5﹣5)=﹣10+10=0.5、计算:(﹣﹣)×36【解答】解:(﹣﹣)×36=8﹣9﹣2=﹣3;6.计算:(﹣1)4﹣36÷(﹣6)+3×(﹣)【解答】解:(﹣1)4﹣36÷(﹣6)+3×(﹣)=1+6+(﹣1)=6.7.计算:(﹣+)×(﹣24)【解答】解:原式=﹣8+18﹣20=﹣10;8.计算:﹣32+2×(﹣3)2﹣(﹣6)÷(﹣).【解答】解:原式=﹣9+2×9﹣(﹣6)×(﹣)=﹣9+18﹣9=0.9.计算:﹣14÷(﹣5)2×(﹣)【解答】解:(1)﹣14÷(﹣5)2×(﹣)=﹣1÷25×(﹣)=﹣1××(﹣)=;10.计算:(﹣5)3×(﹣)+32÷(﹣22)×(﹣1).【解答】解:(﹣5)3×(﹣)+32÷(﹣22)×(﹣1)=﹣125×(﹣)+32×(﹣)×(﹣)=75+10=85.11.计算:23×(1﹣)×0.5.【解答】解:原式=8××=3.12.计算:﹣72+2×(﹣3)2+(﹣6)÷(﹣)2.【解答】解:原式=﹣49+2×9+(﹣6)÷=﹣49+18﹣6×9=﹣49+18﹣5413.计算:4+(﹣2)2×2﹣(﹣36)÷4.【解答】解:原式=4+4×2﹣(﹣9)=4+8+9=21.14.计算:﹣33+(﹣1)2016÷+(﹣5)2.【解答】解:﹣33+(﹣1)2016÷+(﹣5)2=﹣27+1×6+25=﹣27+6+25=4.15.计算:﹣10+8÷(﹣2)2﹣(﹣2)3×(﹣3)【解答】解:原式=﹣10+2﹣24=﹣34+2=﹣32.16.计算:﹣22÷(﹣1)2﹣×[4﹣(﹣5)2].【解答】解:原式=﹣4÷1﹣×(﹣21)=﹣4+7=3.17.计算:(﹣2)4÷(﹣2)2+5×(﹣)﹣0.25.【解答】解:原式=16÷+×(﹣)﹣=﹣﹣=.18.计算:2×(﹣3)2﹣5÷(﹣)×(﹣2)【解答】解:原式=2×9﹣5×(﹣2)×(﹣2)=18﹣20=﹣2.19.计算:(﹣2)3÷+3×|1﹣(﹣2)2|.【解答】解:原式=﹣8×+3×|1﹣4|,=﹣10+3×3,=﹣10+9,20.计算:(﹣)2÷()3﹣12×(﹣)【解答】解:原式=×27﹣9+2=3﹣9+2=﹣4.21.计算:.【解答】解:原式=﹣×﹣×=×(﹣﹣)=﹣.22.计算:﹣13﹣(1﹣0.5)××[2﹣(﹣3)2].【解答】解:原式=﹣1﹣×(2﹣9)=﹣1+=.23.计算:(﹣28)÷(﹣6+4)+(﹣1)×5.【解答】解:原式=﹣28÷(﹣2)﹣5=14﹣5=9.。
七年级数学下册复习试卷——计算题&解答题姓名__________ 班别___________ 座号___________一、计算题:1、)2()9()3(32422ab b a b a -⋅-÷2、 ()()733222x x x ÷⋅-3、)2()(b a b a -++-4、22(1)3(2)x x x ---+5、,4)12(332312++--x x x 6、)346(21)21(3223223ab b a a ab b a a ++-+-7、(x+2)(y+3)-(x+1)(y-2) 8、22)2)(2(y y x y x ++-9、x(x -2)-(x+5)(x -5) 10、⎪⎭⎫⎝⎛+-⎪⎭⎫ ⎝⎛--y x y x 22411、)94)(32)(23(22x y x y y x +--- 12、()()3`122122++-+a a13、()()()2112+--+x x x 14、(x -3y)(x+3y)-(x -3y)215、23(1)(1)(21)x x x +--- 16、22)23()23(y x y x --+17、22)()(y x y x -+ 18、x y y x ÷-+])3[(2219、0.125100×810020、()xyxy xy y x 183********÷--21、3022)2(21)x (4554---÷⎪⎭⎫ ⎝⎛--π-+⎪⎭⎫ ⎝⎛-÷⎪⎭⎫ ⎝⎛ 22、(1211200622332141)()()()-⨯+----二、用乘法公式计算下列各题:23、999×1001 24、1992-25、298 26、2010200820092⨯-三、解答题::27、化简求值:)4)(12()12(2+-+-a a a ,其中2-=a 。
28、化简求值2(2)2()()2(3)x y x y x y y x y +--++-,其中12,2x y =-=。
完整版初一100道数学计算题及答案第1题:计算2.5+3.8的和。
答案:6.3。
第2题:计算6.3-2.9的差。
答案:3.4。
第3题:计算4.2x0.5的积。
答案:2.1。
第4题:计算9.3÷3的商。
答案:3.1。
第5题:计算2/5+1/4的和。
答案:0.65。
第6题:计算3/4-1/3的差。
答案:0.083。
第7题:计算5/8x3/5的积。
答案:0.375。
第8题:计算1/2÷1/4的商。
答案:2。
第9题:计算12÷4+6x2的值。
答案:30。
第10题:计算8-2x3÷6的值。
答案:7。
第11题:计算9+ (7-2)x4的值。
答案:33。
第12题:计算(5+4)x3-4的值。
答案:23。
第13题:计算3/8÷1/3的值。
答案:0.875。
第14题:计算2 3/4-1 2/3的值。
答案:1 1/12。
第15题:计算2 1/2x3 1/4的值。
答案:7 7/8。
第16题:计算0.75x12x4的值。
答案:9。
第17题:计算2.7+4.8的和。
答案:7.5。
第18题:计算8.3-6.2的差。
答案:2.1。
第19题:计算5x1.2的积。
答案:6。
第20题:计算9.6÷4的商。
答案:2.4。
第21题:计算1/4+2/5的和。
答案:0.65。
第22题:计算3/5-1/3的差。
答案:0.133。
第23题:计算4/7x5/6的积。
答案:0.476。
第24题:计算3/4÷1/3的商。
答案:2.25。
第25题:计算36÷6+8x2的值。
答案:52。
第26题:计算17-5x2+12÷3的值。
答案:10。
第27题:计算(5+6)x3-6的值。
答案:33。
第28题:计算3/4÷1/2的值。
答案:1.5。
第29题:计算3 1/2-2 2/5的值。
答案:1 3/10。
第30题:计算4 1/2x2 1/4的值。
答案:10 1/8。
人教版七年级下册数学期末复习:计算题专项练习题1.已知数轴上三点M,O,N对应的数分别为﹣1,0,3,点P为数轴上任意一点,其对应的数为x.(1)MN的长为;(2)如果点P到点M、点N的距离相等,那么x的值是;(3)数轴上是否存在点P,使点P到点M、点N的距离之和是8?若存在,直接写出x 的值;若不存在,请说明理由.(4)如果点P以每分钟1个单位长度的速度从点O向左运动,同时点M和点N分别以每分钟2个单位长度和每分钟3个单位长度的速度也向左运动.设t分钟时点P到点M、点N的距离相等,求t的值.2.已知数轴上三点M,O,N对应的数分别为﹣2,0,4,点P为数轴上任意一点,其对应的数为x.(Ⅰ)如果点P到点M,点N的距离相等,那么x的值是.(Ⅱ)数轴上是否存在点P,使点P到点M,点N的距离之和是7?若存在,请求出x 的值;若不存在,请说明理由.(Ⅲ)如果点P以每分钟3个单位长度的速度从点O向左运动时,点M和点N分别以每分钟1个单位长度和每分钟4个单位长度的速度也向左运动,且三点同时出发,那么几分钟时点P到点M,点N的距离相等?3.例如:数轴上,3和5两数在数轴上所对的两点之间的距离可理解为|3﹣5|=2或理解为5﹣3=2,5与﹣2两数在数轴上所对的两点之间的距离可理解为|(﹣5)﹣2|=7或|5﹣(﹣2)|=7.试探索:(1)求7与﹣7两数在数轴上所对的两点之间的距离=(2)在数轴上找一个整数点A,使点A到﹣1、﹣5的距离之和等于4,请直接写出所有点A对应的数.(3)找出所有符合条件的整数x,使得|x+3|+|x﹣1|=4这样的整数是.(4)由以上探索猜想对于任何有理数x,|x﹣3|+|x+2|是否有最小值?如果有,写出最小值,并写出所有符合条件的整数x.如果没有,说明理由.4.同学们,你会求数轴上两点间的距离吗?例如:数轴上,3和5在数轴上所对的两点之间的距离可理解为|3﹣5|=2或理解为5﹣3=2,5与﹣2两数在数轴上所对的两点之间的距离可理解为|5﹣(﹣2)|=7或2﹣(﹣5)=7.解决问题:如图,在单位长度为1的数轴上有A,B,C三个点,点A,C表示的有理数互为相反数(1)请在数轴上标出原点O,并在A,B,C上方标出他们所表示的有理数;(2)B,C两点间的距离是(3)若点P为数轴上一动点,其对应的数为x①P、B两点之间的距离表示为,若P、B两点之间的距离为5,则x=②若点P到点B、点C的距离相等,则点P对应的数是③若点P到点B、点C的距离之和为7,则点P对应的数是(4)对于任何有理数a①|a﹣1|+|a+5|的最小值为,此时能使|a﹣1|+|a+5|取最小值的所有整数a的和是;②若a>1,则|a﹣1|﹣|a+5|=.③|a﹣1|+|a+2|+|a﹣4|+|a+5|的最小值是.5.平移和翻折是初中数学两种重要的图形变化.(1)平移运动①把笔尖放在数轴的原点处,先向负方向移动3个单位长度,再向正方向移动2个单位长度,这时笔尖的位置表示什么数?用算式表示以上过程及结果是A.(+3)+(+2)=+5;B.(+3)+(﹣2)=+1;C.(﹣3)﹣(+2)=﹣5;D.(﹣3)+(+2)=﹣1②一机器人从原点O开始,第1次向左跳1个单位,紧接着第2次向右跳2个单位,第3次向左跳3个单位,第4次向右跳4个单位,……,依次规律跳,当它跳2019次时,落在数轴上的点表示的数是.(2)翻折变换①若折叠纸条,表示﹣1的点与表示3的点重合,则表示2019的点与表示的点重合;②若数轴上A、B两点之间的距离为2019(A在B的左侧,且折痕与①折痕相同),且A、B两点经折叠后重合,则A点表示B点表示.③若数轴上折叠重合的两点的数分别为a,b,折叠中间点表示的数为.(用含有a,b的式子表示)6.平移和翻折是初中数学两种重要的图形变化(1)平移运动①把笔尖放在数轴的原点处,先向负方向移动3个单位长度,再向正方向移动2个单位长度,这时笔尖的位置表示什么数?用算式表示以上过程及结果是.A.(+3)+(+2)=+5 B.(+3)+(﹣2)=+1C.(﹣3)﹣(+2)=﹣5 D.(﹣3)+(+2)=﹣1②一机器人从数轴原点处O开始,第1次向负方向跳一个单位,紧接着第2次向正方向跳2个单位,第3次向负方向跳3个单位,第4次向正方向跳4个单位,…,依次规律跳,当它跳2017次时,落在数轴上的点表示的数是.(2)翻折变换①若折叠纸条,表示﹣1的点与表示3的点重合,则表示2017的点与表示的点重合;②若数轴上A、B两点之间的距离为2018(A在B的左侧,且折痕与①折痕相同),且A、B两点经折叠后重合,则A点表示,B点表示.③若数轴上折叠重合的两点的数分别为a,b,折叠中间点表示的数为.(用含有a,b的式子表示)7.已知如图,在数轴上有A,B两点,所表示的数分别为﹣10,﹣4,点A以每秒5个单位长度的速度向右运动,同时点B以每秒3个单位长度的速度也向右运动,如果设运动时间为t秒,解答下列问题:(1)运动前线段AB的长为;运动1秒后线段AB的长为;(2)运动t秒后,点A,点B运动的距离分别为和;(3)求t为何值时,点A与点B恰好重合;(4)在上述运动的过程中,是否存在某一时刻t,使得线段AB的长为5,若存在,求t 的值;若不存在,请说明理由.8.有一列数:2,4,8,16,32,…,从第二个数开始,每一个数与前一个数之比是一个常数q,这个常数q是2;根据这个规律,如果a1表示第1个数,即a1=2,a2表示第2个数,…,a n(n为正整数)表示这列数的第n个数.(1)a2019=,a n=.(2)阅读以下材料:如果想求1+3+32+33+...+320的值,可令S=1+3+32+33+ (320)将①式两边同乘以3,得:3S=3+32+33+…+320+321②由②减去①式,可以求得S=.对照阅读材料的解法求a1+a2+a3+…+a100的值;(3)记m=a101+a102+a103+…+a2019,求m的个位数.9.阅读材料1:如果a≠0,m,n都是正整数,那么a m表示的含义是“m个a相乘”,a n表示的含义是“n个a相乘”,a m+n表示的含义是“(m+n)个a相乘”,由此我们可以得到公式:a m•a n=a m+n,例如:32×35=32+5=37,5m×5=5m+1.阅读材料2:如果有一列数,从这列数的第2个数开始,每一个数与它的前一个数的比等于同一个非零的常数,这样的一列数就叫做等比数列,这个常数叫做等比数列的公比,通常用字母q表示(q≠0).(1)观察一个等比数列,,,,,…,则它的公比q=;如果a n(n为正整数)表示这个等比数列的第n项,那么a20=,a n=.(2)如果欲求1+2+4+8+16+…+230的值,可以按照如下步骤进行:令S=1+2+4+8+16+…+230……①等式两边同时乘以2,得2S=2+4+8+16+32+…+231……②由②式减去①式,得S=231﹣1,∴1+2+4+8+16+…+230=231﹣1请按照此解答过程,完成下列各题:①求1+5+52+53+54+…+520的值;②求3+2++++…+的值,其中m为正整数.(结果请用含m的代数式表示)10.已知数轴上有A、B、C三点,分别表示有理数﹣26,﹣10,10,动点P从A出发,沿AC方向,以每秒1个单位的速度向终点C运动,设点P运动时间为t秒.(1)用含t的代数式表示点P到点A、C的距离,PA=;PC=.(2)当点P运动到点B时,点Q从C点出发,沿CA方向,以每秒3个单位的速度向A点运动,当其中一点到达目的地时,另一点也停止运动.①当t=,点P、Q相遇,此时点Q运动了秒.②请用含t的代数式表示出在P、Q同时运动的过程中PQ的长.11.100个偶数按每行8个数排成如图所示的阵列:(1)图中方框内的9个数的和与中间的数有什么关系?(2)小童画了一个方框,他所画的方框内9个数的和为360,求这9个数;(3)小郑也画了一个方框,方框内9个数的和为1656,你能写出这9个数吗?如果不能,请说明理由;(4)从左到右,第1至第8列各列数之和分别记为a1、a2、a3、a4、a5、a6、a7、a8,则这8个数中,最大数与最小数之差等于.12.用“⊕”定义一种新运算:对于任意有理数a和b,规定a⊕b=ab2+2ab+a.如:1⊕3=1×32+2×1×3+1=16.(1)求(﹣2)⊕3的值;(2)若(a⊕3)⊕1=128,求a的值.13.用“⊕”定义一种新运算:对于任意有理数a和b,规定a⊕b=ab2+2ab+a.如:1⊕3=1×32+2×1×3+1=16.(1)求(﹣2)⊕3的值;(2)若(⊕3)⊕(﹣)=8,求a的值.14.用“☆”定义一种新运算:对于任意有理数a和b,规定a☆b=ab2+2ab+a.如:1☆3=1×32+2×1×3+1=16.(1)求(﹣2)☆3的值;(2)若(☆3)☆(﹣)=8,求a的值;(3)若2☆x=m,(x)☆3=n(其中x为有理数),试比较m,n的大小.15.如图,数轴上的A、B两点所表示的数分别为a、b,a+b<0,ab<0,(1)原点O的位置在;A.点A的右边B.点B的左边C.点A与点B之间,且靠近点A D.点A 与点B之间,且靠近点B(2)若a﹣b=2,①利用数轴比较大小:a1,b﹣1;(填“>”、“<”或“=”)②化简:|a﹣1|+|b+1|.参考答案1.解:(1)MN的长为3﹣(﹣1)=4;(2)根据题意得:x﹣(﹣1)=3﹣x,解得:x=1;(3)①当点P在点M的左侧时.根据题意得:﹣1﹣x+3﹣x=8.解得:x=﹣3.②P在点M和点N之间时,则x﹣(﹣1)+3﹣x=8,方程无解,即点P不可能在点M 和点N之间.③点P在点N的右侧时,x﹣(﹣1)+x﹣3=8.解得:x=5.∴x的值是﹣3或5;(4)设运动t分钟时,点P到点M,点N的距离相等,即PM=PN.点P对应的数是﹣t,点M对应的数是﹣1﹣2t,点N对应的数是3﹣3t.①当点M和点N在点P同侧时,点M和点N重合,所以﹣1﹣2t=3﹣3t,解得t=4,符合题意.②当点M和点N在点P异侧时,点M位于点P的左侧,点N位于点P的右侧(因为三个点都向左运动,出发时点M在点P左侧,且点M运动的速度大于点P的速度,所以点M永远位于点P的左侧),故PM=﹣t﹣(﹣1﹣2t)=t+1.PN=(3﹣3t)﹣(﹣t)=3﹣2t.所以t+1=3﹣2t,解得t=,符合题意.综上所述,t的值为或4.2.解:(I)根据题意得:|x﹣4|=|x﹣(﹣2)|,解得:x=1.故答案为:1.(II)根据题意得:|x﹣4|+|x﹣(﹣2)|=7,解得:x1=﹣2.5,x2=4.5.∴数轴上存在点P,使点P到点M,点N的距离之和是7,x的值为﹣2.5或4.5.(III)设运动时间为t分钟,则点P表示的数为﹣3t,点M表示的数为﹣t﹣2,点N表示的数为﹣4t+4,根据题意得:|﹣3t﹣(﹣t﹣2)|=|﹣3t﹣(﹣4t+4)|,∴﹣3t﹣(﹣t﹣2)=﹣3t﹣(﹣4t+4)或﹣3t﹣(﹣t﹣2)=3t+(﹣4t+4),解得:t1=2,t2=﹣2(舍去).答:2分钟时点P到点M,点N的距离相等.3.解:(1)7与﹣7两数在数轴上所对的两点之间的距离=7﹣(﹣7)=14.(2)所有点A对应的数为﹣1,﹣2,﹣3,﹣4,﹣5;(3)使得|x+3|+|x﹣1|=4这样的整数是﹣3,﹣2,﹣1,0,1;(4)答:有,最小值为5,符合条件的整数有:﹣2,﹣1,0,1,2,3.故答案为:(1)14;(2)﹣1,﹣2,﹣3,﹣4,﹣5;(3)﹣3,﹣2,﹣1,0,1.4.解:(1)如图所示,(2)B,C两点间的距离是|3﹣(﹣1)|=4,故答案为:4;(3)①P、B两点之间的距离表示为|x+1|,若P、B两点之间的距离为5,则x=4或﹣6,故答案为:|x+1|,4或﹣6;②∵点P到点B、点C的距离相等,∴x+1=3﹣x,解得:x=1,∴点P对应的数是1;故答案为:1;③若点P到点B、点C的距离之和为7,则有|x+1|+|3﹣x|=7,解得:x=4.5或﹣2.5;故答案为:4.5或﹣2.5;(4)①当a≥1时,|a﹣1|+|a+5|=a﹣1+a+5=2a+4,∴|a﹣1|+|a+5|的最小值为6,当a≤﹣5时,|a﹣1|+|a+5|=1﹣a﹣a﹣5=﹣2a﹣4,∴|a﹣1|+|a+5|的最小值为6;当﹣5<a<1时,|a﹣1|+|a+5|=1﹣a+a+5=6,综上所述,|a﹣1|+|a+5|的最小值为6;∴|a﹣1|+|a+5|取最小值的所有整数a的和是﹣5﹣4﹣3﹣2﹣1+0+1=﹣14;故答案为:6,﹣14;②当a>1,则|a﹣1|﹣|a+5|=a﹣1﹣a﹣5=﹣6,故答案为:﹣6;③|a﹣1|+|a+2|+|a﹣4|+|a+5|的最小值是③分类讨论:当a≤﹣5;|a﹣1|+|a+2|+|a﹣4|+|a+5|=﹣a+1﹣a﹣2﹣a+4﹣a﹣5=﹣4a﹣2,∴当a=﹣5时,|a﹣1|+|a+2|+|a﹣4|+|a+5|的最小值为18;当﹣5<a≤﹣2;|a﹣1|+|a+2|+|a﹣4|+|a+5|=﹣a+1﹣a﹣2﹣a+4+a+5=﹣2a+8 当a=﹣2时,|a﹣1|+|a+2|+|a﹣4|+|a+5|的最小值为12;当﹣2<a≤1;|a﹣1|+|a+2|+|a﹣4|+|a+5|=﹣a+1+a+2﹣a+4+a+5=12;当1<a≤4;|a﹣1|+|a+2|+|a﹣4|+|a+5|=a﹣1+a+2﹣a+4+a+5=2a+10,当a=1时,|a﹣1|+|a+2|+|a﹣4|+|a+5|的最小值为12;当a>4时,|a﹣1|+|a+2|+|a﹣4|+|a+5|=a﹣1+a+2+a﹣4+a+5=4a+2,综上所述,|a﹣1|+|a+2|+|a﹣4|+|a+5|的最小值是12,故答案为:12.5.解:(1)①把笔尖放在数轴的原点处,先向负方向移动3个单位长度,再向正方向移动2个单位长度,这时笔尖的位置表示的数为(﹣3)+(+2)=﹣1.故选:D.②一机器人从数轴原点处O开始,第1次向负方向跳一个单位,紧接着第2次向正方向跳2个单位,第3次向负方向跳3个单位,第4次向正方向跳4个单位,…,依次规律跳,当它跳2019次时,落在数轴上的点表示的数是﹣1010.故答案为:﹣1010.(2)①∵对称中心是1,∴表示2019的点与表示﹣2017的点重合;②∵对称中心是1,AB=2019,∴则A点表示﹣1008.5,B点表示1010.5;③若数轴上折叠重合的两点的数分别为a,b,折叠中间点表示的数为(a+b).故答案为:D;﹣1010;﹣2017;﹣1008.5,1010.5;(a+b).6.解:(1)①把笔尖放在数轴的原点处,先向负方向移动3个单位长度,再向正方向移动2个单位长度,这时笔尖的位置表示的数为(﹣3)+(+2),故选D.②一机器人从数轴原点处O开始,第1次向负方向跳一个单位,紧接着第2次向正方向跳2个单位,第3次向负方向跳3个单位,第4次向正方向跳4个单位,…,依次规律跳,当它跳2017次时,落在数轴上的点表示的数是﹣1019,故答案为﹣1009.(2)①∵对称中心是1,∴表示2017的点与表示﹣2015的点重合,②∵对称中心是1,AB=2018,∴则A点表示﹣1008,B点表示1010,③若数轴上折叠重合的两点的数分别为a,b,折叠中间点表示的数为(a+b);故答案为﹣2015,﹣1008,1010,(a+b).7.解:(1)AB=﹣4﹣(﹣10)=6,运动1秒后,A表示﹣5,B表示﹣1,∴AB=﹣1+5=4.故答案为6,4.(2)运动t秒后,点A,点B运动的距离分别为5t,3t,故答案为5t,3t.(3)由题意:(5﹣3)t=6,∴t=3.(4)由题意:6+3t﹣5t=5或5t﹣(6+3t)=5,解得t=或,∴t的值为或秒时,线段AB的长为5.8.解:(1)∵从第二个数开始,每一个数与前一个数之比是一个常数2∴a2019=22019,a n=2n故答案为:22019,2n.(2)设S100=a1+a2+a3+…+a100①则2S100=a2+a3+…+a100+a101 ②∴②﹣①得:S100=a101﹣a1=2101﹣2∴a1+a2+a3+…+a100的值为:2101﹣2.(2)∵2n的个位数字分别为2,4,8,6,循环a101=2101,a2019=22019101÷4=25...1,(2019﹣100)÷4=479 (3)故m=a101+a102+a103+…+a2019,中的第一个数a101的末位数字为2每相邻4个一组数字求和的个位数字为0,末三项的个位数字为:2,4,8,其和为14 故m=a101+a102+a103+…+a2019的个位数字为:4.∴m的个位数字为4.9.解:(1)q=÷=;a20=或,a n=或;(2)①令S=1+5+52+53+54+…+520……①,等式两边同时乘以5,得5S=5+52+53+54+55+…+521……②,由②式减去①式,得4S=521﹣1,,∴;②令……①等式两边同时乘以,得……②,由②式减去①式,得,∴.故答案为:;或,或.10.解:(1)PA=t;PC=36﹣t;故答案为:t,36﹣t;(2)①有依题意有t+3(t﹣16)﹣16=20,解得:t=21,t﹣16=21﹣16=5.故当t=21,点P、Q相遇,此时点Q运动了5秒.故答案为:21,5;②当16≤t≤21时PQ=36﹣t﹣3(t﹣16)=84﹣4t;当21<t≤28时PQ=3(t﹣16)+t﹣36=4t﹣84.11.解:(1)∵2+4+6+18+20+22+34+36+38=180=9×20,∴图中方框内的9个数的和是中间的数的9倍.(2)设中间数为x,则另外8个数分别为:x﹣18,x﹣16,x﹣14,x﹣2,x+2,x+14,x+16,根据题意得:9x=360,解得:x=40,∴这9个数分别为:22,24,26,38,40,42,54,56,58.(3)假设能成立,设中间数为y,则另外8个数分别为:y﹣18,y﹣16,y﹣14,y﹣2,y+2,y+14,y+16,根据题意得:9y=1656,解得:y=184,∵184÷2÷8=11……4,∴184为第12行第4个数,∴这9个数为:166,168,170,182、184、186、198、200、202.又∵仅有100个数,∴202不存在,∴假设不成立,即方框内9个数的和不能为1656.(4)∵200÷2÷8=12……4,∴尾数200为第13行第4个数,∴a1=2+18+34+...+194==1274,a2=1274+2×13=1300,a3=1300+2×13=1326,a4=1326+2×13=1352,a5=10+26+42+ (186)=1176,a6=1176+2×12=1200,a7=1200+2×12=1224,a8=1224+2×12=1248,∴这8个数中,最大数为1352,最小数为1176,∴1352﹣1176=176.故答案为:176.12.解:(1)根据题中新定义得:(﹣2)⊕3=﹣2×32+2×(﹣2)×3+(﹣2)=﹣18﹣12﹣2=﹣32;(2)根据题中新定义得:a⊕3=a×32+2×a×3+a=16a,16a⊕1=16a×12+2×16a×1+16a=64a,已知等式整理得:64a=128,解得:a=2.13.解:(1)根据题中新定义得:(﹣2)⊕3=﹣2×32+2×(﹣2)×3+(﹣2)=﹣18﹣12﹣2=﹣32;(2)根据题中新定义得:⊕3=×32+2××3+=8(a+1),8(a+1)⊕(﹣)=8(a+1)×(﹣)2+2×8(a+1)×(﹣)+8(a+1)=2(a+1),已知等式整理得:2(a+1)=8,解得:a=3.14.解:(1)(﹣2)☆3=﹣2×32+2×(﹣2)×3+(﹣2)=﹣18﹣12﹣2=﹣32;(2)解:☆3=×32+2××3+=8(a+1)8(a+1)☆(﹣)=8(a+1)×(﹣)2+2×8(a+1)×(﹣)+8(a+1)=8解得:a=3;(3)由题意m=2x2+2×2x+2=2x2+4x+2,n=x×32+2×x×3+=4x,所以m﹣n=2x2+2>0.所以m>n.15.解:(1)∵ab<0,a+b<0,∴原点O的位置在点A与点B之间,且靠近点A.故答案为:C(2)①∵a﹣b=2,原点O的位置在点A与点B之间,且靠近点A,∴a<1,b<﹣1,故答案为:<、<;②∵a<1,b<﹣1,∴a﹣1<0,b+1<0,∴|a﹣1|+|b+1|=﹣a+1﹣b﹣1=﹣a﹣b.。
初一年级100道数学计算题和答案解析1. 计算:3 + 5 × 2 4 ÷ 2答案:13解析:根据运算法则,先乘除后加减,所以先计算5 × 2 = 10,再计算4 ÷ 2 = 2,进行加减运算,得出结果为13。
2. 计算:(4 + 6) × (5 3)答案:18解析:先计算括号内的加法和减法,4 + 6 = 10,5 3 = 2,然后将两个结果相乘,得出18。
3. 计算:8 ÷ 2(2 + 3)答案:1解析:先计算括号内的加法,2 + 3 = 5,然后将8除以2,得4,用4除以5,得出结果为1。
4. 计算:7 × 7 7 ÷ 7答案:48解析:先计算乘法,7 × 7 = 49,再计算除法,7 ÷ 7 = 1,进行减法运算,得出结果为48。
5. 计算:9 + 6 ÷ 3 2 × 4答案:1解析:根据运算法则,先乘除后加减。
先计算6 ÷ 3 = 2,再计算2 × 4 = 8,进行加减运算,得出结果为1。
6. 计算:15 3 × 2 + 4 ÷ 2答案:10解析:处理乘法,3 × 2 = 6,然后进行除法,4 ÷ 2 = 2。
接着,将15减去6,再加上2,得到最终答案10。
7. 计算:4² 6²答案:20解析:这里涉及到平方的计算,4² = 16,6² = 36。
将16减去36,得到的结果是20。
8. 计算:(8 5) × (3 + 2)答案:18解析:先解决括号内的运算,8 5 = 3,3 + 2 = 5。
然后将两个结果相乘,3 × 5 = 18。
9. 计算:12 ÷ (2 + 1)答案:4解析:计算括号内的加法,2 + 1 = 3。
接着,用12除以3,得到的结果是4。
人教版七年级数学《角度换算》计算题专项练习学校:班级:姓名:得分:1.计算:13°58ʹ+28°37ʹ×2.2.计算(结果用度、分、秒表示):22°18ʹ20ʺ×5﹣28°52ʹ46ʺ.3.计算:(1)90°﹣36°12'15ʺ(2)32°17'53“+42°42'7ʺ(3)25°12'35“×5;(4)53°÷6.5.计算:(1)27°26ʹ+53°48ʹ(2)90°﹣79°18ʹ6ʺ.6.计算(1)25°34ʹ48ʺ﹣15°26ʹ37ʺ(2)105°18ʹ48ʺ+35.285°.7.计算:(1)40°26ʹ+30°30ʹ30ʺ÷6;(2)13°53ʹ×3﹣32°5ʹ31ʺ.8.计算:180°﹣48°39ʹ40ʺ.9.计算:26°21ʹ30ʺ+42°38ʹ30ʺ.10.(1)180°﹣(34°55ʹ+21°33ʹ);(2)(180°﹣91°31ʹ24ʺ)÷2.11.计算:72°35ʹ÷2+18°33ʹ×4.48°39ʹ39ʹ+67°41ʹ.12.计算:48°13.计算:18°20ʹ32ʺ+30°15ʹ22ʺ.14.计算:180°﹣22°18ʹ×5.15.计算:56°31ʹ+29°43ʹ×6.16.计算:49°28ʹ52ʺ÷4.人教版七年级数学《角度换算》计算题专项练习参考答案参考答案1.计算:13°58ʹ+28°37ʹ×2.【解答】解:13°58ʹ+28°37ʹ×2,=13°58ʹ+57°14ʹ,=71°12ʹ.2.计算(结果用度、分、秒表示)22°18ʹ20ʺ×5﹣28°52ʹ46ʺ.【解答】解:22°22°18'20''18'20''×5﹣28°28°52'46''52'46'' =110°=110°90'100''90'100''﹣28°28°52'46''=82°52'46''=82°52'46''=82°38'54''38'54''.3.计算:(1)90°﹣36°12'15ʺ(2)32°17'53“+42°42'7ʺ(3)25°12'35“×5; (4)53°÷6.【解答】解:(1)90°﹣36°12'15ʺ=53°ʹ45ʺ;(2)32°17'53“+42°42'7ʺ=74°59ʹ60ʺ=75°(3)25°12'35“×5=125°60ʹ175ʺ=126°2ʹ55ʺ; (4)53°÷6=8°50ʹ.4.计算:(1)27°26ʹ+53°48ʹ(2)90°﹣79°18ʹ6ʺ.【解答】解:(1)原式=80°74ʹ=81°14ʹ;(2)原式=89°59ʹ60ʺ﹣79°18ʹ6ʺ=10°41ʹ54ʺ.5.计算(1)25°34ʹ48ʺ﹣15°26ʹ37ʺ(2)105°18ʹ48ʺ+35.285°.【解答】解:(1)25°34ʹ48ʺ﹣15°26ʹ37ʺ=10°8ʹ11ʺ; (2)105°18ʹ48ʺ+35.285°=105°18ʹ48ʺ+35°17ʹ6ʺ=140°35ʹ54ʺ.6.计算:(1)4040°26ʹ°26ʹ+30°30ʹ30ʺ÷6; (2)13°53ʹ×3﹣32°5ʹ31ʺ.【解答】解:解:(1)40°26ʹ+30°30ʹ30ʺ÷6=40°26ʹ+5°5ʹ5ʺ=45°31ʹ5ʺ;(2)13°53ʹ×3﹣32°5ʹ31ʺ=41°39ʹ﹣32°5ʹ31ʺ=9°33ʹ29ʺ.7.计算:180°﹣48°39ʹ40ʺ.【解答】解:180°﹣48°39ʹ40ʺ=179°59ʹ60ʺ﹣48°39ʹ40ʺ=131°20ʹ20ʺ8.计算:26°21ʹ30ʺ+42°38ʹ30ʺ.【解答】解:26°21ʹ30ʺ+42°38ʹ30ʺ=68°59ʹ60ʺ=69°.9.(1)180°﹣(34°55ʹ+21°33ʹ);(2)(180°﹣91°31ʹ24ʺ)÷2.【解答】解:(1)原式=180°﹣55°88ʹ=179°60ʹ﹣56°28ʹ=123°32ʹ;(2)原式=(179°59ʹ60ʺ﹣91°31ʹ24ʺ)÷2=88°28ʹ36ʺ÷2=44°14ʹ18ʺ.10.计算:72°35ʹ÷2+18°33ʹ×4.【解答】解:原式=36° 17ʹ30ʺ+74° 12ʹ=110° 29ʹ30ʺ.°39ʹ+67°41ʹ.11.计算:4848°39ʹ【解答】解:48°39ʹ+67°41ʹ=115°80ʹ=116°20ʹ.12.计算:18°20ʹ32ʺ+30°15ʹ22ʺ.【解答】解:原式=48°35'54ʺ.(4分)13.计算:180°﹣22°18ʹ×5.【解答】解:原式=180°﹣110°90ʹ=179°60ʹ﹣111°30ʹ=68°30ʹ.14.计算:56°31ʹ+29°43ʹ×6.【解答】解;原式=56°31ʹ+174°258ʹ=230°289ʹ=234°49ʹ.15.计算:49°28ʹ52ʺ÷4.【解答】解:49°28ʹ52ʺ÷4=12°22ʹ13ʺ.。
七年级下册计算题专项训练(一)1.计算:1012)31()2018(3)32(---÷-+⨯π2.计算:1020132)21()3()1(33---⨯-+-+-π3.计算:)23)(23()1(92-+--a a a4.计算:2)3()2)(2(b a a b b a ---+5.分解因式:(1)32232xy y x y x +-(2)2244y x x -+-6.解不等式组:⎪⎩⎪⎨⎧-≤-<--33227)1(3x x x x x ,并把解集在数轴上表示出来.7.解不等式组:⎪⎩⎪⎨⎧->+≥-+13212)2(3x x x x ,并把解集在数轴上表示出来.8.解分式方程:12111+-=-+x x x 9.解分式方程:112112=---+x x x10.先化简再求值:)121(212-+÷+-x x x ,其中31=x .11.先化简,再求值:xx x x x x x x 1)2412(2222÷+-+-+-,且x 为满足23<<-x 的整数.七年级下册计算题专项训练(二)1.计算:2302)1()21()3(2---++-÷-π2.计算:022)2016(9)31(2----+--π3.计算:)1)(1()2()1(2-+--++x x x x x4.计算:)2()(2x y x y x --+5.分解因式(1)m m m 9548123+-(2))()(22x y b y x a -+-6.解不等式组:⎪⎩⎪⎨⎧+≤-<-6123132x x x x 并把解集在数轴上表示出来.7.解不等式组:⎪⎩⎪⎨⎧->-≤-2132221x x x x ,并把解集在数轴上表示出来.8.解分式方程:4161222-=-+-x x x 9.解分式方程:x x x -=+--2412410.先化简,再求值:)1(1222x x x x x x -÷-+-,其中2-=x11.先化简,再求值:213249622----+⋅-+-a a a a a a a ,其中4-=a七年级下册计算题专项训练(三)1.计算:3202)1()14.3()3(-+----π2.计算:102)31(9)14.3(2---+--+π3.计算:2)1(2)32(---x x x4.计算:)1)(2()6)(7(+---+x x x x5.分解因式(1)x x x 9623+-(2))(4)(2x y y x a -+-6.解不等式组:⎪⎩⎪⎨⎧+<+-≤-312261512x x x ,并把解集在数轴上表示出来.7.解不等式组:⎪⎩⎪⎨⎧->+≤--13214)2(3x x x x ,并把解集在数轴上表示出来.8.解分式方程:2441231412--+=-+x x x x 9.解分式方程:12322=-+-x x x10.先化简,再求值:442)2121(2+-÷++-a a a a a ,其中4-=a11.先化简,再求值:)252(2932--+÷-+m m m m m ,其中4=m .参考答案七年级下册计算题专项训练(一)1.1213 2.﹣93.﹣18a +13 4.ab b a 68522+--5.(1)2)(y x xy - (2))2)(2(y x y x --+-6.由①得,2->x ;由①得,53≥x ,故此不等式组的解集为:53≥x .7.解不等式①,得x ≥2,解不等式①得,得x <4,①原不等式组的解集是2≤x <4.8.经检验:x =3是原方程的解,所以原方程的解是x =3.9.经检验当x =﹣2时,1﹣x 2≠0,所以x =﹣2是原方程的根.10.原式=1﹣x ,当31=x 时,原式=32. 11.原式=2x ﹣3由于x ≠0且x ≠1且x ≠﹣2所以x =﹣1,原式=﹣2﹣3=﹣5 七年级下册计算题专项训练(二)1. 52. 13.x 2+24.2x 2+y 2 5.(1)2)13(9-m m (2)))()((b a b a y x -+-6.①不等式组的解集是﹣2≤x <37.不等式组的解集为﹣3<x ≤1.8.检验:当x =﹣2时,(x +2)(x ﹣2)=0,①x =﹣2是原方程的增根,原方程无解.9.经检验x =1是原方程的根,所以原方程的解是x =1.10.原式111-=+=x 11.原式=3122=--a 七年级下册计算题专项训练(三)1.917-2. 419- 3.x ﹣24.2x ﹣40 5.(1)2)3(-x x (2))2)(2)((-+-a a y x6.不等式组的解集为:﹣2<x ≤3.7.不等式组的解集是1≤x <4.8.经检验:x =6不是增根,①原方程的根是x=6.9.经检验x =1是原方程的解,所以原方程的解是x =1.10.原式=322=+-a a11.原式=33-m m=12。