高考求数列真题及答案解析
- 格式:docx
- 大小:37.06 KB
- 文档页数:4
一.解答题(共30小题)1.(2012•上海)已知数列{a n}、{b n}、{c n}满足.(1)设c n=3n+6,{a n}是公差为3的等差数列.当b1=1时,求b2、b3的值;(2)设,.求正整数k,使得对一切n∈N*,均有b n≥b k;(3)设,.当b1=1时,求数列{b n}的通项公式.2.(2011•重庆)设{a n}是公比为正数的等比数列a1=2,a3=a2+4.(Ⅰ)求{a n}的通项公式;((Ⅱ)设{b n}是首项为1,公差为2的等差数列,求数列{a n+b n}的前n项和S n.3.(2011•重庆)设实数数列{a n}的前n项和S n满足S n+1=a n+1S n(n∈N*).(Ⅰ)若a1,S2,﹣2a2成等比数列,求S2和a3.(Ⅱ)求证:对k≥3有0≤a k≤.4.(2011•浙江)已知公差不为0的等差数列{a n}的首项a1为a(a∈R)设数列的前n 项和为S n,且,,成等比数列.(Ⅰ)求数列{a n}的通项公式及S n;`(Ⅱ)记A n=+++…+,B n=++…+,当a≥2时,试比较A n与B n的大小.5.(2011•上海)已知数列{a n}和{b n}的通项公式分别为a n=3n+6,b n=2n+7(n∈N*).将集合{x|x=a n,n∈N*}∪{x|x=b n,n∈N*}中的元素从小到大依次排列,构成数列c1,c2,c3,…,c n,…(1)写出c1,c2,c3,c4;(2)求证:在数列{c n}中,但不在数列{b n}中的项恰为a2,a4,…,a2n,…;(3)求数列{c n}的通项公式.6.(2011•辽宁)已知等差数列{a n}满足a2=0,a6+a8=﹣10*(I)求数列{a n}的通项公式;(II)求数列{}的前n项和.7.(2011•江西)(1)已知两个等比数列{a n},{b n},满足a1=a(a>0),b1﹣a1=1,b2﹣a2=2,b3﹣a3=3,若数列{a n}唯一,求a的值;(2)是否存在两个等比数列{a n},{b n},使得b1﹣a1,b2﹣a2,b3﹣a3.b4﹣a4成公差不为0的等差数列若存在,求{a n},{b n}的通项公式;若不存在,说明理由.8.(2011•湖北)成等差数列的三个正数的和等于15,并且这三个数分别加上2、5、13后成为等比数列{b n}中的b3、b4、b5.(I)求数列{b n}的通项公式;](II)数列{b n}的前n项和为S n,求证:数列{S n+}是等比数列.9.(2011•广东)设b>0,数列{a n}满足a1=b,a n=(n≥2)(1)求数列{a n}的通项公式;(4)证明:对于一切正整数n,2a n≤b n+1+1.10.(2011•安徽)在数1 和100之间插入n个实数,使得这n+2个数构成递增的等比数列,将这n+2个数的乘积计作T n,再令a n=lgT n,n≥1.(I)求数列{a n}的通项公式;—(Ⅱ)设b n=tana n•tana n+1,求数列{b n}的前n项和S n.11.(2010•浙江)设a1,d为实数,首项为a1,公差为d的等差数列{a n}的前n项和为S n,满足S5S6+15=0.(Ⅰ)若S5=5,求S6及a1;(Ⅱ)求d的取值范围.12.(2010•四川)已知等差数列{a n}的前3项和为6,前8项和为﹣4.(Ⅰ)求数列{a n}的通项公式;,(Ⅱ)设b n=(4﹣a n)q n﹣1(q≠0,n∈N*),求数列{b n}的前n项和S n.13.(2010•四川)已知数列{a n}满足a1=0,a2=2,且对任意m、n∈N*都有a2m﹣1+a2n﹣1=2a m+n+2(m﹣n)2﹣1(1)求a3,a5;(2)设b n=a2n+1﹣a2n﹣1(n∈N*),证明:{b n}是等差数列;(3)设c n=(a n+1﹣a n)q n﹣1(q≠0,n∈N*),求数列{c n}的前n项和S n.14.(2010•陕西)已知{a n}是公差不为零的等差数列,a1=1,且a1,a3,a9成等比数列.:(Ⅰ)求数列{a n}的通项;(Ⅱ)求数列{2an}的前n项和S n.15.(2010•宁夏)设数列满足a1=2,a n+1﹣a n=3•22n﹣1(1)求数列{a n}的通项公式;(2)令b n=na n,求数列的前n项和S n.16.(2010•江西)正实数数列{a n}中,a1=1,a2=5,且{a n2}成等差数列.…(1)证明数列{a n}中有无穷多项为无理数;(2)当n为何值时,a n为整数,并求出使a n<200的所有整数项的和.17.(2009•陕西)已知数列{a n}满足,,n∈N×.(1)令b n=a n+1﹣a n,证明:{b n}是等比数列;(2)求{a n}的通项公式.18.(2009•山东)等比数列{a n}的前n项和为S n,已知对任意的n∈N*,点(n,S n),均在函数y=b x+r(b>0)且b≠1,b,r均为常数)的图象上.\(1)求r的值;(2)当b=2时,记b n=n∈N*求数列{b n}的前n项和T n.19.(2009•江西)数列{a n}的通项,其前n项和为S n,(1)求S n;(2),求数列{b n}的前n项和T n.20.(2009•辽宁)等比数列{a n}的前n项和为s n,已知S1,S3,S2成等差数列,-(1)求{a n}的公比q;(2)求a1﹣a3=3,求s n.21.(2009•湖北)已知数列{a n}是一个公差大于0的等差数列,且满足a2a6=55,a2+a7=16(1)求数列{a n}的通项公式;(2)数列{a n}和数列{b n}满足等式a n=(n∈N*),求数列{b n}的前n项和S n.22.(2009•福建)等比数列{a n}中,已知a1=2,a4=16((I)求数列{a n}的通项公式;(Ⅱ)若a3,a5分别为等差数列{b n}的第3项和第5项,试求数列{b n}的通项公式及前n 项和S n.23.(2009•安徽)已知数列{a n}的前n项和S n=2n2+2n,数列{b n}的前n项和Tn=2﹣b n (Ⅰ)求数列{a n}与{b n}的通项公式;(Ⅱ)设c n=a n2•b n,证明:当且仅当n≥3时,c n+1<c n.24.(2009•北京)设数列{a n}的通项公式为a n=pn+q(n∈N*,P>0).数列{b n}定义如下:对于正整数m,b m是使得不等式a n≥m成立的所有n中的最小值.…(Ⅰ)若,求b3;(Ⅱ)若p=2,q=﹣1,求数列{b m}的前2m项和公式;(Ⅲ)是否存在p和q,使得b m=3m+2(m∈N*)如果存在,求p和q的取值范围;如果不存在,请说明理由.25.(2008•浙江)已知数列{x n}的首项x1=3,通项x n=2n p+np(n∈N*,p,q为常数),且成等差数列.求:(Ⅰ)p,q的值;(Ⅱ)数列{x n}前n项和S n的公式.|26.(2008•四川)设数列{a n}的前n项和为S n=2a n﹣2n,(Ⅰ)求a1,a4(Ⅱ)证明:{a n+1﹣2a n}是等比数列;(Ⅲ)求{a n}的通项公式.27.(2008•四川)在数列{a n}中,a1=1,.(Ⅰ)求{a n}的通项公式;(Ⅱ)令,求数列{b n}的前n项和S n;《(Ⅲ)求数列{a n}的前n项和T n.28.(2008•陕西)已知数列{a n}的首项,,n=1,2,3,….(Ⅰ)证明:数列是等比数列;(Ⅱ)求数列的前n项和S n.29.(2008•辽宁)在数列{a n},{b n}是各项均为正数的等比数列,设.(Ⅰ)数列{c n}是否为等比数列证明你的结论;,(Ⅱ)设数列{lna n},{lnb n}的前n项和分别为S n,T n.若a1=2,,求数列{c n}的前n项和.30.(2008•辽宁)在数列{a n},{b n}中,a1=2,b1=4,且a n,b n,a n+1成等差数列,b n,a n+1,b n+1成等比数列.(1)求a2,a3,a4及b2,b3,b4,由此猜测{a n},{b n}的通项公式,并证明你的结论;(2)证明:.答案与评分标准,一.解答题(共30小题)1.(2012•上海)已知数列{a n}、{b n}、{c n}满足.(1)设c n=3n+6,{a n}是公差为3的等差数列.当b1=1时,求b2、b3的值;(2)设,.求正整数k,使得对一切n∈N*,均有b n≥b k;(3)设,.当b1=1时,求数列{b n}的通项公式.考点:数列递推式;数列的函数特性。
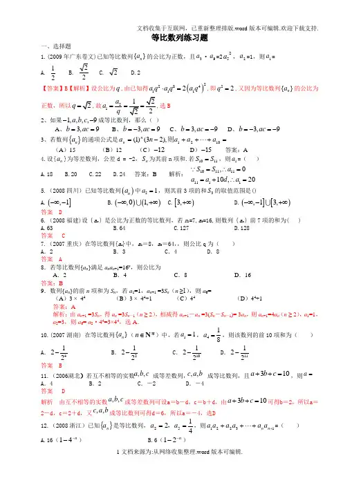
等比数列练习题一、选择题1.(2009年广东卷文)已知等比数列}{n a 的公比为正数,且3a ·9a =225a ,2a =1,则1a = A.21B. 22C. 2D.2【答案】B 【解析】设公比为q ,由已知得()22841112a q a q a q ⋅=,即22q=,又因为等比数列}{n a 的公比为正数,所以q =故212a a q ===,选B 2、如果1,,,,9a b c --成等比数列,那么( )A 、3,9b ac ==B 、3,9b ac =-=C 、3,9b ac ==-D 、3,9b ac =-=-3、若数列}{n a 的通项公式是=+++-=1021),23()1(a a a n a nn 则(A )15 (B )12 (C )-12 D )-15 答案:A4.设{n a }为等差数列,公差d = -2,n S 为其前n 项和.若1011S S =,则1a =( ) A.18 B.20 C.22 D.24 答案:B 解析:20,100,1111111110=∴+==∴=a d a a a S S5.(2008四川)已知等比数列()n a 中21a =,则其前3项的和3S 的取值范围是() A.(],1-∞- B.()(),01,-∞+∞ C.[)3,+∞ D.(][),13,-∞-+∞答案 D6.(2008福建)设{a n }是公比为正数的等比数列,若n 1=7,a 5=16,则数列{a n }前7项的和为( ) A.63 B.64 C.127 D.128 答案 C7.(2007重庆)在等比数列{a n }中,a 2=8,a 5=64,,则公比q 为( ) A .2 B .3 C .4 D .8 答案 A8.若等比数列{a n }满足a n a n +1=16n ,则公比为 A .2 B .4 C .8 D .16 答案:B9.数列{a n }的前n 项和为S n ,若a 1=1,a n +1 =3S n (n ≥1),则a 6=(A )3 × 44 (B )3 × 44+1 (C )44 (D )44+1 答案:A 解析:由a n +1 =3S n ,得a n =3S n -1(n ≥ 2),相减得a n +1-a n =3(S n -S n -1)= 3a n ,则a n +1=4a n (n ≥ 2),a 1=1,a 2=3,则a 6= a 2·44=3×44,选A .10.(2007湖南) 在等比数列{}n a (n ∈N*)中,若11a =,418a =,则该数列的前10项和为( ) A .4122- B .2122- C .10122- D .11122-答案 B11.(2006湖北)若互不相等的实数成等差数列, 成等比数列,且310a b c ++=,则a = A .4 B .2 C .-2 D .-4 答案 D解析 由互不相等的实数,,a b c 成等差数列可设a =b -d ,c =b +d ,由310a b c ++=可得b =2,所以a =2-d ,c =2+d ,又,,c a b 成等比数列可得d =6,所以a =-4,选D 12.(2008浙江)已知{}n a 是等比数列,41252==a a ,,则13221++++n n a a a a a a =( ) A.16(n--41) B.6(n--21),,a b c ,,c a bC.332(n --41) D.332(n --21) 答案 C二、填空题:三、13.(2009浙江理)设等比数列{}n a 的公比12q =,前n 项和为n S ,则44S a = .答案:15解析 对于4431444134(1)1,,151(1)a q s q s a a q q a q q --==∴==--14.(2009全国卷Ⅱ文)设等比数列{n a }的前n 项和为n s 。
数列专题高考真题(2014·I) 17. (本小题满分12分)已知数列{}的前项和为,=1,,,其中为常数.(Ⅰ)证明:;(Ⅱ)是否存在,使得{}为等差数列?并说明理由.(2014·II) 17.(本小题满分12分)已知数列满足=1,.(Ⅰ)证明是等比数列,并求的通项公式;(Ⅱ)证明:.(2015·I)(17)(本小题满分12分)为数列的前项和.已知,(Ⅰ)求的通项公式:(Ⅱ)设 ,求数列的前项和。
(2015·II)(4)等比数列满足,135a a a ++ =21,则357a a a ++= ( )(A )21 (B )42 (C )63 (D )84(2015·II)(16)设n S 是数列{}n a 的前n 项和,且11a =-,11n n n a S S ++=,则n S =________. (2016·I)(3)已知等差数列前9项的和为27,,则(A )100 (B )99 (C )98 (D )97(2016·I)(15)设等比数列满足的最大值为__________。
(2016·II)(17)(本题满分12分)S n 为等差数列的前项和,且=1 ,=28 记,其中表示不超过的最大整数,如.(I )求,,;(II )求数列的前1 000项和.(2016·III)(12)定义“规范01数列”如下:共有项,其中项为0,项为1,且对任意,中0的个数不少于1的个数.若,则不同的“规范01数列”共有(A )18个(B )16个(C )14个(D )12个(2016·III)(17)(本小题满分12分)已知数列的前项和,其中(I )证明是等比数列,并求其通项公式;(II )若 ,求.(2017·I)4.记n S 为等差数列{}n a 的前n 项和.若4524a a +=,648S =,则{}n a 的公差为A .1B .2C .4D .8(2017·I)12.几位大学生响应国家的创业号召,开发了一款应用软件。
高考文科数学数列专题复习数列常用公式数列的通项公式与前n 项的和的关系a n s , n 11s s ,n 2n n 1( 数列{a n} 的前n 项的和为s n a1 a2 a n ).等差数列的通项公式*a a1 (n 1)d dn a1 d(n N ) ;n等差数列其前n 项和公式为n(a a ) n(n 1)1 ns na1 d n2 2 d 12n (a d)n .12 2等比数列的通项公式an 1 1 n *a a1q q (n N )nq;等比数列前n 项的和公式为na (1 q )1s 1 qn , q 1或sna a q1 n1 q,q 1na ,q 1 1 na ,q 1 1一、选择题1.( 广东卷) 已知等比数列{a n} 的公比为正数,且a3 ·a9 =2 2a ,a2 =1,则a1 =5A. 12B.22C. 2D.22.(安徽卷)已知为等差数列,,则等于A. -1B. 1C. 3D.7 3(. 江西卷)公差不为零的等差数列{a n} 的前n项和为S n .若a4 是a3与a7 的等比中项, S8 32, 则S等于10A. 18B. 24C. 60D. 904(湖南卷)设S n 是等差数列a n 的前n 项和,已知a2 3,a6 11,则S7 等于【】第1页/ 共8页A .13 B.35 C.49 D.633.(辽宁卷)已知a为等差数列,且a7 -2 a4 =-1, a3 =0, 则公差d=n(A)-2 (B)-12 (C)12(D)24.(四川卷)等差数列{a n }的公差不为零,首项a1 =1,a2 是a1 和a5 的等比中项,则数列的前10 项之和是A. 90B. 100C. 145D. 1905.(湖北卷)设x R, 记不超过x 的最大整数为[ x ], 令{x }= x -[ x ],则{ 52 1} ,[ 521],521A.是等差数列但不是等比数列B.是等比数列但不是等差数列C.既是等差数列又是等比数列D.既不是等差数列也不是等比数列6.(湖北卷)古希腊人常用小石子在沙滩上摆成各种性状来研究数,例如:他们研究过图1 中的1,3,6,10,⋯,由于这些数能够表示成三角形,将其称为三角形数;类似地,称图2中的1,4,9,16⋯这样的数成为正方形数。
高三数学数列求和试题答案及解析1.设数列的前项积为,且(n∈N*).(1)求,并证明:;(2)设,求数列的前项和.【答案】(1),祥见解析;(2).【解析】(1)n取1,2,3求出,再利用与的关系将已知等式用表示即可证明;(2)由(1)问的结论利用等差数列的通项公式先求出的通项,再由通项利用裂项相消法求.试题解析:(1)由题意可得:,所以 5分(2)数列为等差数列,,, 10分【考点】1.数列的通项公式;2.数列的前n项和.2.已知函数且an =f(n)+f(n+1),则a1+a2+a3+…+a100等于()A.0 B.100 C.-100 D.10200【答案】B【解析】由题意,a1+a2+a3+…+a100=12-22-22+32+32-42-42+52+…+992-1002-1002+1012=-(1+2)+(3+2)+…-(99+100)+(101+100)=-(1+2+…+99+100)+(2+3+…+100+101)=-1+101=100,选B.3.已知等差数列的前项和为,且、成等比数列.(1)求、的值;(2)若数列满足,求数列的前项和.【答案】(1),;(2).【解析】(1)解法1是先令求出的表达式,然后令,得到计算出在的表达式,利用为等差数列得到满足通式,从而求出的值,然后利用条件、成等比数列列方程求出的值,从而求出、的值;解法2是在数列是等差数列的前提下,设其公差为,利用公式以及对应系数相等的特点得到、和、之间的等量关系,然后利用条件、成等比数列列方程求出的值,从而求出、的值;(2)解法1是在(1)的前提下求出数列的通项公式,然后利用错位相减法求数列的和;解法2是利用导数以及函数和的导数运算法则,将数列的前项和视为函数列的前项和在处的导数值,从而求出. 试题解析:(1)解法1:当时,, 当时,.是等差数列, ,得. 又,,,、、成等比数列, ,即,解得.解法2:设等差数列的公差为,则., ,,.,,.、、成等比数列,,即,解得.;(2)解法1:由(1)得.,.,①,② ①②得..解法2:由(1)得.,.,① 由,两边对取导数得,.令,得..【考点】1.定义法求通项;2.错位相减法求和;3.逐项求导4. 数列{a n }满足a n +1+(-1)n a n =2n -1,则{a n }的前60项和为( ). A .3 690 B .3 660 C .1 845 D .1 830【答案】D【解析】∵a n +1+(-1)n a n =2n -1, 当n =2k 时,a 2k +1+a 2k =4k -1, 当n =2k -1时,a 2k -a 2k -1=4k -3,从而a2k+1+a2k-1=2,a2k+3+a2k+1=2,因此a2k+3=a2k-1,∴a1=a5=a9=…=a61,于是S60=a1+a2+a3+…+a60=(a2+a3)+(a4+a5)+…+(a60+a61)=3+7+11+…+(2×60-1)==1 830.5.如图,是一问题的程序框图,则输出的结果是 .【答案】【解析】根据流程图可知它的作用是求的值,由等差数列的前项和公式可知,.【考点】1.程序框图及其应用;2.等差数列的前项和6.阅读如图程序框图,若输入的,则输出的结果是()A.B.C.D.【答案】A【解析】,,不成立,执行第一次循环,,;不成立,执行第二次循环,,;不成立,执行第三次循环,,;;不成立,执行第一百次循环,,;成立,输出,故选A.【考点】1.数列求和;2.算法与程序框图7.数列中,已知且,则前项和为,则的值为__________.【答案】【解析】因为,所以公差,由得,所以.【考点】1、等差数列的定义;2、等差数列的前项和公式.8.已知数列满足,.(1)求数列的通项公式;(2)令,数列{bn }的前n项和为Tn,试比较Tn与的大小,并予以证明.【答案】(1);(2)详见解析.【解析】(1)由于数列的递推式的结构为,在求数列的通项的时候可以利用累加法来求数列的通项公式;(2)先求出数列的通项公式,根据其通项结构选择错位相减法求出数列的前项和,在比较与的大小时,一般利用作差法,通过差的正负确定与的大小,在确定差的正负时,可以利用数学归纳法结合二项式定理进行放缩来达到证明不等式的目的.试题解析:(1)当时,.又也适合上式,所以.(2)由(1)得,所以.因为①,所以②.由①-②得,,所以.因为,所以确定与的大小关系等价于比较与的大小.当时,;当时,;当时,;当时,;……,可猜想当时,.证明如下:当时,.综上所述,当或时,;当时,.【考点】累加法、错位相减法、二项式定理9.已知数列的通项公式为,那么满足的整数()A.有3个B.有2个C.有1个D.不存在【答案】B【解析】时,,所以,此时从到共项,从到共项,或,有2个值【考点】数列求和点评:本题中数列求和要依据通项公式特点分两种情况,分别讨论所求各项所属的范围及应代入的公式,第二种情况找到各项中正负项分界的位置是难点10.已知数列满足,则的前n项和_____【答案】【解析】根据题意,由于故可知的前n项和,故答案为【考点】数列的递推关系点评:主要是考查了数列的递推关系的运用,来求解数列的通项公式以及数列的和的运用,属于中档题。
2013-2022十年全国高考数学真题分类汇编专题06 数列解答题1.(2022年全国甲卷理科·第17题)记n S 为数列{}n a 的前n 项和.已知221nn S n a n+=+.(1)证明:{}n a 是等差数列;(2)若479,,a a a 成等比数列,求n S 的最小值.【答案】(1)证明见解析:; (2)78-.解析:(1)解:因为221nn S n a n+=+,即222n n S n na n +=+①,当2n ≥时,()()()21121211n n S n n a n --+-=-+-②,①-②得,()()()22112212211n n n n S n S n na n n a n --+---=+----,即()12212211n n n a n na n a -+-=--+,即()()()1212121n n n a n a n ----=-,所以11n n a a --=,2n ≥且N*n ∈,所以{}n a 是以1为公差的等差数列.(2)解:由(1)可得413a a =+,716a a =+,918a a =+,又4a ,7a ,9a 成等比数列,所以2749a a a =⋅,即()()()2111638a a a +=+⋅+,解得112a =-,所以13n a n =-,所以()22112512562512222228n n n S n n n n -⎛⎫=-+=-=-- ⎪⎝⎭,所以,当12n =或13n =时()min 78n S =-.【题目栏目】数列\数列的综合应用\数列的综合问题【题目来源】2022年全国甲卷理科·第17题2.(2022新高考全国II 卷·第17题)已知{}n a 为等差数列,{}n b 是公比为2的等比数列,且223344a b a b b a -=-=-.(1)证明:11a b =;(2)求集合{}1,1500k m k b a a m =+≤≤中元素个数.【答案】(1)证明见解析; (2)9.解析:(1)设数列{}n a 的公差为d ,所以,()11111111224283a d b a d b a d b b a d +-=+-⎧⎨+-=-+⎩,即可解得,112db a ==,所以原命题得证.(2)由(1)知,112d b a ==,所以()1111121k k m b a a b a m d a -=+⇔⨯=+-+,即122k m -=,亦即[]221,500k m -=∈,解得210k ≤≤,所以满足等式的解2,3,4,,10k = ,故集合{}1|,1500k m k b a a m =+≤≤中的元素个数为10219-+=.【题目栏目】数列\数列的综合应用\数列的综合问题【题目来源】2022新高考全国II 卷·第17题3.(2022新高考全国I 卷·第17题)记n S 为数列{}n a 的前n 项和,已知11,n n S a a ⎧⎫=⎨⎬⎩⎭是公差为13的等差数列.(1)求{}n a 的通项公式;(2)证明:121112na a a +++< .【答案】(1)()12n n n a +=(2)见解析解析:(1)∵11a =,∴111S a ==,∴111S a =,又∵n n S a ⎧⎫⎨⎬⎩⎭是公差为13的等差数列,∴()121133n n S n n a +=+-=,∴()23n n n a S +=,∴当2n ≥时,()1113n n n a S --+=,∴()()112133n n n n n n a n a a S S --++=-=-,整理得:()()111nn n an a --=+,即111n n a n a n -+=-,∴31211221n n n n n a a a a a a a a a a ---=⨯⨯⨯⋯⨯⨯()1341123212n n n n n n ++=⨯⨯⨯⋯⨯⨯=--,显然对于1n =也成立,∴{}n a 的通项公式()12n n n a +=;(2)()12112,11n a n n n n ⎛⎫==- ⎪++⎝⎭∴12111n a a a +++ 1111112121222311n n n ⎡⎤⎛⎫⎛⎫⎛⎫⎛⎫=-+-+-=-< ⎪ ⎪ ⎪ ⎪⎢⎥++⎝⎭⎝⎭⎝⎭⎝⎭⎣⎦ 【题目栏目】数列\数列的综合应用\数列的综合问题【题目来源】2022新高考全国I 卷·第17题4.(2021年新高考全国Ⅱ卷·第17题)记n S 是公差不为0的等差数列{}n a 的前n 项和,若35244,a S a a S ==.(1)求数列{}n a 的通项公式n a ;(2)求使n n S a >成立的n 的最小值.【答案】解析:(1)由等差数列的性质可得:535S a =,则:3335,0a a a =∴=,设等差数列的公差为d ,从而有:()()22433a a a d a d d =-+=-,()()()41234333322S a a a a a d a d a a d d =+++=-+-++-=-,从而:22d d -=-,由于公差不为零,故:2d =,数列的通项公式为:()3326n a a n d n =+-=-.(2)由数列的通项公式可得:1264a =-=-,则:()()214262n n n S n n n -=⨯-+⨯=-,则不等式n n S a >即:2526n n n ->-,整理可得:()()160n n -->,解得:1n <或6n >,又n 为正整数,故n 的最小值为7.【题目栏目】数列\数列的综合应用\数列的综合问题【题目来源】2021年新高考全国Ⅱ卷·第17题5.(2021年新高考Ⅰ卷·第17题)已知数列{}n a 满足11a =,11,,2,.n n n a n a a n +⎧+=⎨+⎩为奇数为偶数(1)记2n n b a =,写出1b ,2b ,并求数列{}n b 的通项公式;(2)求{}n a 的前20项和.【答案】122,5b b ==;300.解析:(1)由题设可得121243212,1215b a a b a a a ==+===+=++=又22211k k a a ++=+,2122k k a a +=+,故2223k k a a +=+即13n n b b +=+即13n n b b +-=所以{}n b 为等差数列,故()21331n b n n =+-⨯=-.(2)设{}n a 的前20项和为20S ,则2012320S a a a a =++++ ,因为123419201,1,,1a a a a a a =-=-=- ,所以()20241820210S a a a a =++++- ()1291091021021023103002b b b b ⨯⎛⎫=++++-=⨯⨯+⨯-= ⎪⎝⎭.【题目栏目】数列\数列的综合应用\数列的综合问题【题目来源】2021年新高考Ⅰ卷·第17题6.(2020年新高考I 卷(山东卷)·第18题)已知公比大于1的等比数列{}n a 满足24320,8a a a +==.(1)求{}n a 的通项公式;(2)记m b 为{}n a 在区间*(0,]()m m ∈N 中的项的个数,求数列{}m b 的前100项和100S .【答案】(1)2nn a =;(2)100480S =.解析:(1)由于数列{}n a 是公比大于1的等比数列,设首项为1a ,公比为q ,依题意有31121208a q a q a q ⎧+=⎨=⎩,解得解得12,2a q ==,或1132,2a q ==(舍),所以2nn a =,所以数列{}n a 的通项公式为2nn a =.(2)由于123456722,24,28,216,232,264,2128=======,所以1b 对应的区间为:(]0,1,则10b =;23,b b 对应的区间分别为:(](]0,2,0,3,则231b b ==,即有2个1;4567,,,b b b b 对应的区间分别为:(](](](]0,4,0,5,0,6,0,7,则45672b b b b ====,即有22个2;8915,,,b b b 对应的区间分别为:(](](]0,8,0,9,,0,15 ,则89153b b b ==== ,即有32个3;161731,,,b b b 对应的区间分别为:(](](]0,16,0,17,,0,31 ,则1617314b b b ==== ,即有42个4;323363,,,b b b 对应的区间分别为:(](](]0,32,0,33,,0,63 ,则3233635b b b ==== ,即有52个5;6465100,,,b b b 对应的区间分别为:(](](]0,64,0,65,,0,100 ,则64651006b b b ==== ,即有37个6.所以23451001222324252637480S =⨯+⨯+⨯+⨯+⨯+⨯=.【题目栏目】数列\数列的综合应用\数列的综合问题【题目来源】2020年新高考I 卷(山东卷)·第18题7.(2020新高考II 卷(海南卷)·第18题)已知公比大于1的等比数列{}n a 满足24320,8a a a +==.(1)求{}n a 通项公式;(2)求112231(1)n n n a a a a a a -+-+⋯+-.【答案】(1)2nn a =;(2)2382(1)55n n +--解析:(1)设等比数列{}n a 的公比为q (q >1),则32411231208a a a q a q a a q ⎧+=+=⎨==⎩,整理可得:22520q q -+=,11,2,2q q a >== ,数列的通项公式为:1222n n n a -=⋅=.(2)由于:()()()1121111122112n n n n n n n n a a --++-+=-⨯⨯=--,故:112231(1)n n n a a a a a a -+-+⋯+-35791212222(1)2n n -+=-+-+⋯+-⋅()()3223221282(1)5512nn n +⎡⎤--⎢⎥⎣⎦==----.【题目栏目】数列\数列的综合应用\数列的综合问题【题目来源】2020新高考II 卷(海南卷)·第18题的8.(2021年高考全国乙卷理科·第19题)记n S 为数列{}n a 的前n 项和,n b 为数列{}n S 的前n 项积,已知212n nS b +=.(1)证明:数列{}n b 是等差数列;(2)求{}n a 的通项公式.【答案】(1)证明见解析;(2)()3,121,21n n a n n n ⎧=⎪⎪=⎨⎪-≥+⎪⎩.解析:(1)由已知212n n S b +=得221n nn b S b =-,且0n b ≠,12n b ≠,取1n =,由11S b =得132b =,由于n b 为数列{}n S 的前n 项积,所以1212222212121n n n b b b b b b b ⋅⋅⋅⋅=---,所以12112222121n b b b b b +⋅=--,所以111221n n n nb b b b +++=-,由于10n b +≠所以12121n n b b +=-,即112n n b b +-=,其中*n N ∈所以数列{}n b 是以132b =为首项,以12d =为公差等差数列;(2)由(1)可得,数列{}n b 是以132b =为首项,以12d =为公差的等差数列,()3111222n nb n ∴=+-⨯=+,22211n n n b nS b n+==-+,当n =1时,1132a S ==,当n ≥2时,()121111n n n n n a S S nn n n -++=-=-=-++,显然对于n =1不成立,∴()3,121,21n n a n n n ⎧=⎪⎪=⎨⎪-≥+⎪⎩.【点睛】本题考查等差数列的证明,考查数列的前n 项和与项的关系,数列的前n 项积与项的关系,其中由1212222212121n n n b b b b b b b ⋅⋅⋅⋅=---,得到1121121222212121n n n b b b b b b b +++⋅⋅⋅⋅=---,进而得到111221n n n nb b b b +++=-是关键一步;要熟练掌握前n 项和,积与数列的项的关系,消和(积)得到项(或项的递推关系),或者消项得到和(积)的递推关系是常用的重要的思想方法.【题目栏目】数列\等差、等比数列的综合应用【题目来源】2021年高考全国乙卷理科·第19题9.(2021年高考全国甲卷理科·第18题)已知数列{}n a 的各项均为正数,记n S 为{}n a 的前n 项和,从下面①②③中选取两个作为条件,证明另外一个成立.①数列{}n a是等差数列:②数列是等差数列;③213aa =.注:若选择不同的组合分别解答,则按第一个解答计分.【答案】答案见解析解析:选①②作条件证明③:(0)an b a =+>,则()2n S an b =+,当1n =时,()211a S a b ==+;当2n ≥时,()()221n n n a S S an b an a b -=-=+--+()22a an a b =-+;因为{}n a 也是等差数列,所以()()222a b a a a b +=-+,解得0b =;所以()221n aa n =-,所以213a a =.选①③作条件证明②:因为213a a =,{}n a 是等差数列,所以公差2112d a a a =-=,所以()21112n n n S na d n a -=+==,)1n =+=,所以是等差数列.选②③作条件证明①:(0)an b a =+>,则()2n S an b =+,当1n =时,()211a S a b ==+;当2n ≥时,()()221n n n a S S an b an a b -=-=+--+()22a an a b =-+;因为213a a =,所以()()2323a a b a b +=+,解得0b =或43a b =-;当0b =时,()221,21n a a a a n ==-,当2n ≥时,2-1-2n n a a a =满足等差数列的定义,此时{}n a 为等差数列;当43a b =-4=3an b an a =+-03a=-<不合题意,舍去.综上可知{}n a 为等差数列.【点睛】这类题型在解答题中较为罕见,求解的关键是牢牢抓住已知条件,结合相关公式,逐步推演,等差数列的证明通常采用定义法或者等差中项法.【题目栏目】数列\数列的综合应用\数列的综合问题【题目来源】2021年高考全国甲卷理科·第18题10.(2020年高考数学课标Ⅰ卷理科·第17题)设{}n a 是公比不为1的等比数列,1a 为2a ,3a 的等差中项.(1)求{}n a 的公比;(2)若11a =,求数列{}n na 的前n 项和.【答案】(1)2-;(2)1(13)(2)9nn n S -+-=.【解析】(1)设{}n a 的公比为q ,1a 为23,a a 的等差中项,212312,0,20a a a a q q =+≠∴+-= ,1,2q q ≠∴=- ;(2)设{}n na 前n 项和为n S ,111,(2)n n a a -==-,21112(2)3(2)(2)n n S n -=⨯+⨯-+⨯-++- ,①23121(2)2(2)3(2)(1)(2)(2)n n n S n n --=⨯-+⨯-+⨯-+--+- ,②①-②得,2131(2)(2)(2)(2)n nn S n -=+-+-++--- 1(2)1(13)(2)(2)1(2)3n n n n n ---+-=--=--,1(13)(2)9nn n S -+-∴=.【点睛】本题考查等比数列通项公式基本量的计算、等差中项的性质,以及错位相减法求和,考查计算求解能力,属于基础题.【题目栏目】数列\数列的综合应用\数列的综合问题【题目来源】2020年高考数学课标Ⅰ卷理科·第17题11.(2020年高考数学课标Ⅲ卷理科·第17题)设数列{a n }满足a 1=3,134n n a a n +=-.(1)计算a 2,a 3,猜想{a n }的通项公式并加以证明;(2)求数列{2n a n }的前n 项和S n .【答案】(1)25a =,37a =,21n a n =+,证明见解析;(2)1(21)22n n S n +=-⋅+.解析:(1)由题意可得2134945a a =-=-=,32381587a a =-=-=,由数列{}n a 的前三项可猜想数列{}n a 是以3为首项,2为公差的等差数列,即21n a n =+,证明如下:当1n =时,13a =成立;假设n k =时,21k a k =+成立.那么1n k =+时,1343(21)4232(1)1k k a a k k k k k +=-=+-=+=++也成立.则对任意的*n N ∈,都有21n a n =+成立;的(2)由(1)可知,2(21)2n nn a n ⋅=+⋅231325272(21)2(21)2n n n S n n -=⨯+⨯+⨯++-⋅++⋅ ,①23412325272(21)2(21)2n n n S n n +=⨯+⨯+⨯++-⋅++⋅ ,②由①-②得:()23162222(21)2nn n S n +-=+⨯+++-+⋅ ()21121262(21)212n n n -+-=+⨯-+⋅⨯-1(12)22n n +=-⋅-,即1(21)22n n S n +=-⋅+.【点睛】本题主要考查了求等差数列的通项公式以及利用错位相减法求数列的和,属于中档题.【题目栏目】数列\数列的综合应用\数列的综合问题【题目来源】2020年高考数学课标Ⅲ卷理科·第17题12.(2019年高考数学课标全国Ⅱ卷理科·第19题)已知数列{}n a 和{}n b 满足11a =,10b =,1434n n n a a b +=-+,1434n n n b b a +=--.()1证明:{}n n a b +是等比数列,{}n n a b -是等差数列;()2求{}n a 和{}n b 的通项公式.【答案】()1见解析;()21122n n a n =+-,1122n n b n =-+.【官方解析】()1由题设得114()2()n n n n a b b +++=+,即111()2n n n n a b a b +++=+.又因为111a b +=,所以{}n n a b +是首项为1,公比为12的等比数列.由题设得114()4()8n n n n a b a b ++-=-+,即112n n n n a b a b ++-=-+.又因为111a b -=,所以{}n n a b -是首项为1,公差为2的等差数列.()2由()1知,112n n n a b -+=,21n n a b n -=-.所以111[()()]222n n n n n n a a b a b n =++-=+-,111[()()]222n n n n n n b a b a b n =+--=-+.【分析】()1可通过题意中的1434n n n a b a +=-+以及1434n n n b a b +=--对两式进行相加和相减即可推导出数列{}n n a b +是等比数列以及数列{}n n a b -是等差数列;()2可通过()1中的结果推导出数列{}n n a b +以及数列{}n n a b -的通项公式,然后利用数列{}n n a b +以及数列{}n n a b -的通项公式即可得出结果.【解析】()1由题意可知,,,,所以,即111()2n n n n a b a b +++=+,所以数列是首项为、公比为的等比数列,,因为,所以,数列是首项、公差为等差数列,.()2由()1可知,112n n n a b -+=,,所以111[()()]222n n n n n n a a b a b n =++-=+-,111[()()]222n n n n n n b a b a b n =+--=-+.【点评】本题考查了数列的相关性质,主要考查了等差数列以及等比数列的相关证明,证明数列是等差数列或者等比数列一定要结合等差数列或者等比数列的定义,考查推理能力,考查化归与转化思想,是中档题.【题目栏目】数列\数列的综合应用\数列的综合问题【题目来源】2019年高考数学课标全国Ⅱ卷理科·第19题13.(2018年高考数学课标Ⅲ卷(理)·第17题)(12分)等比数列{}n a 中,11a =,534a a =(1)求{}n a 的通项公式;(2)记n S 为{}n a 的前n 项和,若63m S =,求m .(1)12n n a -=或()12n n a -=-;(2)6m =【答案】【官方解析】(1)设{}n a 的公比为q ,由题设得1n n a q -=由已知得424q q =,解得0q =(舍去),2q =-或2q =故()12n n a -=-或12n n a -=(2)若()12n n a -=-,则()123mm S --=,由63m S =,得()2188m-=-,此方和没有正整数解若12n n a -=,则21m m S =-,由63m S =,得264m =,解得6m =综上,6m =.1434n n n a a b +-=+1434n n n b b a +-=-111a b +=111a b -=1144323442n n n n n n n n a b a b b a a b ++=+=--+++-{}n n a b +112(112n n n a b -+=()11443434448n n n n n n n n a b a b b a a b ++---=+-=-+-112n n n n a b a b ++=-+-{}n n a b -12的21n n a b n -=-21n n a b n -=-【民间解析】(1)设等比数列{}n a 的公比为q ,由11a =,534a a =可得42141q q ⨯=⨯⨯,所以24q =所以2q =±当2q =时,1112n n n a a q --==;当2q =-时,()1112n n n a a q --==-(2)由(1)可知2q =±当2q =时,由()1163631m m a q S q-=⇒=-即126312m-=-,即62642m ==,所以6m =;当2q =-时,由()1163631m m a q S q-=⇒=-即()126312m--=+,即()2188m-=-,无解综上可知6m =.【题目栏目】数列\等比数列\等比数列的综合应用【题目来源】2018年高考数学课标Ⅲ卷(理)·第17题14.(2018年高考数学课标Ⅱ卷(理)·第17题)(12分)记n S 为等差数列{}n a 的前n 项和,已知17a =-,315S =-.(1)求{}n a 的通项公式;(2)求n S ,并求n S 的最小值.【答案】解析:(1)设{}n a 的公差为d ,由题意得13315a d +=-.由17a =得2d =,所以{}n a 的通项公式为29n a n =-.(2)由(1)得228(4)16n S n n n =-=--.所以当4n =时,n S 取得最小值,最小值为16-.【题目栏目】数列\等差数列\等差数列的前n 项和【题目来源】2018年高考数学课标Ⅱ卷(理)·第17题15.(2016高考数学课标Ⅲ卷理科·第17题)已知数列{}n a 的前n 项和1n n S a λ=+,其中0λ≠.(Ⅰ)证明{}n a 是等比数列,并求其通项公式;(Ⅱ)若53132S =,求λ.【答案】(Ⅰ)11(11n n a λλλ-=--;(Ⅱ)1λ=-.【解析】(Ⅰ)由题意得1111a S a λ==+,故1λ≠,111a λ=-,10a ≠.由1n n S a λ=+,111n n S a λ++=+得11n n n a a a λλ++=-,即1(1)n n a a λλ+-=.由10a ≠,0λ≠得0n a ≠,所以11n n a a λλ+=-.因此{}n a 是首项为11λ-,公比为1λλ-的等比数列,于是11()11n n a λλλ-=--.(Ⅱ)由(Ⅰ)得1()1n n S λλ=--,由53132S =得5311(132λλ-=-,即51()132λλ=-,解得1λ=-.【题目栏目】数列\等比数列\等比数列的前n 项和【题目来源】2016高考数学课标Ⅲ卷理科·第17题16.(2016高考数学课标Ⅱ卷理科·第17题)(本题满分12分)n S 为等差数列{}n a 的前n 项和,且17=128.a S ,=记[]=lg n nb a ,其中[]x 表示不超过x 的最大整数,如[][]0.9=0lg 99=1,.(I)求111101b b b ,,;(II)求数列{}n b 的前1 000项和.【答案】(1)[]1lg10b ==,[]11lg111b ==,[]101lg1012b ==;(2)1893.【解析】(1)设{}n a 的公差为d ,据已知有72128d +=,解得1d =.所以数列{}n a 的通项公式为n a n =.[]1lg10b ==,[]11lg111b ==,[]101lg1012b ==.(2)因为0,110,1,10100,2,1001000,3,1000,n n n b n n ≤<⎧⎪≤<⎪=⎨≤<⎪⎪=⎩所以数列{}n b 的前1000项和为1902900311893⨯+⨯+⨯=.【题目栏目】数列\等差数列\等差数列的前n 项和【题目来源】2016高考数学课标Ⅱ卷理科·第17题17.(2015高考数学新课标1理科·第17题)(本小题满分12分)n S 为数列{}n a 的前n 项和.已知20,24 3.n n n n a a a S >+=+(Ⅰ)求{}n a 的通项公式:(Ⅱ)设112n n n b a a +=,求数列{}n b 的前n 项和【答案】(Ⅰ)21n +(Ⅱ)11646n -+分析:(Ⅰ)先用数列第n 项与前n 项和的关系求出数列{n a }的递推公式,可以判断数列{n a }是等差数列,利用等差数列的通项公式即可写出数列{n a }的通项公式;(Ⅱ)根据(Ⅰ)数列{n b }的通项公式,再用拆项消去法求其前n 项和.解析:(Ⅰ)当1n =时,211112434+3a a S a +=+=,因为0n a >,所以1a =3,当2n ≥时,2211n n n n a a a a --+--=14343n n S S -+--=4n a ,即111()()2()n n n n n n a a a a a a ---+-=+,因为0n a >,所以1n n a a --=2,所以数列{n a }是首项为3,公差为2的等差数列,所以n a =21n +;(Ⅱ)由(Ⅰ)知,n b =1111((21)(23)22123n n n n =-++++,所以数列{n b }前n 项和为12n b b b +++ =1111111[((()]235572123n n -+-++-++ =11646n -+.考点:数列前n 项和与第n 项的关系;等差数列定义与通项公式;拆项消去法【题目栏目】数列\数列的求和\裂项相消法求和问题【题目来源】2015高考数学新课标1理科·第17题18.(2014高考数学课标2理科·第17题)(本小题满分12分)已知数列{}n a 满足1a =1,131n n a a +=+.(Ⅰ)证明{}12n a +是等比数列,并求{}n a 的通项公式;(Ⅱ)证明:12111na a a ++<…+【答案】解析:(Ⅰ)由131n n a a +=+,得1113(22n n a a ++=+,且11322a +=所以{}12n a +是首相为32,公比为3的等比数列。
1 .数列{n a }的前n 项和为n S ,且满足11a =,2(1)n n S n a =+.(1)求{n a }的通项公式; (2)求和T n =1211123(1)na a n a ++++.2 .已知数列}{n a ,a 1=1,点*))(2,(1N n a a P n n ∈+在直线0121=+-y x 上. (1)求数列}{n a 的通项公式; (2)函数)2*,(1111)(321≥∈++++++++=n N n a n a n a n a n n f n且 ,求函数)(n f 最小值. 3 .已知函数xab x f =)( (a ,b 为常数)的图象经过点P (1,81)和Q (4,8)(1) 求函数)(x f 的解析式;(2) 记a n =log 2)(n f ,n 是正整数,n S 是数列{a n }的前n 项和,求n S 的最小值。
4 .已知y =f (x )为一次函数,且f (2)、f (5)、f (4)成等比数列,f (8)=15.求n S =f (1)+f (2)+…+f (n )的表达式.5 .设数列{}n a 的前n 项和为n S ,且1n n S c ca =+-,其中c 是不等于1-和0的实常数.(1)求证: {}n a 为等比数列;(2)设数列{}n a 的公比()q f c =,数列{}n b 满足()()111,,23n n b b f b n N n -==∈≥,试写出1n b ⎧⎫⎨⎬⎩⎭的通项公式,并求12231n n b b b b b b -+++的结果.6 .在平面直角坐标系中,已知A n (n,a n )、B n (n,b n )、C n (n -1,0)(n ∈N *),满足向量1+n n A A 与向量n n C B 共线,且点B n (n,b n ) (n ∈N *)都在斜率为6的同一条直线上.(1)试用a 1,b 1与n 来表示a n ;(2)设a 1=a ,b 1=-a ,且12<a ≤15,求数列{a n }中的最小项.7 .已知数列{}n a 的前三项与数列{}n b 的前三项对应相同,且212322a a a +++ (1)2n n a -+8n =对任意的∈n N*都成立,数列1{}n n b b +-是等差数列.(1)求数列{}n a 与{}n b 的通项公式;(2)问是否存在k ∈N *,使得(0,1)k k b a -∈?请说明理由.8 .已知数列),3,2(1335,}{11 =-+==-n a a a a nn n n 且中(I )试求a 2,a 3的值; (II )若存在实数}3{,nn a λλ+使得为等差数列,试求λ的值. 9 .已知数列{}n a 的前n 项和为n S ,若()1,211++=⋅=+n n S a n a n n ,(1)求数列{}n a 的通项公式; (2)令n nn S T 2=,①当n 为何正整数值时,1+>n n T T :②若对一切正整数n ,总有m T n ≤,求m 的取值范围。
一.基础题组1. 【2013课标全国Ⅰ,理7】设等差数列{a n }的前n 项和为S n ,若S m -1=-2,S m =0,S m +1=3,则m =( ). A .3 B .4 C .5 D .6 【答案】C【解析】∵S m -1=-2,S m =0,S m +1=3,∴a m =S m -S m -1=0-(-2)=2,a m +1=S m +1-S m =3-0=3. ∴d =a m +1-a m =3-2=1.∵S m =ma 1+12m m (-)×1=0,∴112m a -=-. 又∵a m +1=a 1+m ×1=3,∴132m m --+=.∴m =5.故选C. 2. 【2012全国,理5】已知{a n }为等比数列,a 4+a 7=2,a 5a 6=-8,则a 1+a 10=( ) A .7 B .5 C .-5 D .-7 【答案】D3. 【2008全国1,理5】已知等差数列{}n a 满足244a a +=,3510a a +=,则它的前10项的和10S =( ) A .138B .135C .95D .23【答案】C.【解析】由243511014,104,3,104595a a a a a d S a d +=+=⇒=-==+=. 4. 【2013课标全国Ⅰ,理14】若数列{a n }的前n 项和2133n n S a =+,则{a n }的通项公式是a n =__________. 【答案】(-2)n -1 【解析】∵2133n n S a =+,①∴当n ≥2时,112133n n S a --=+.② ①-②,得12233n n n a a a -=-,即1n n a a -=-2.∵a 1=S 1=12133a +,∴a 1=1. ∴{a n }是以1为首项,-2为公比的等比数列,a n =(-2)n -1.5. 【2009全国卷Ⅰ,理14】设等差数列{a n }的前n 项和为S n .若S 9=72,则a 2+a 4+a 9=___________. 【答案】24【解析】∵2)(972219a a S +==,∴a 1+a 9=16. ∵a 1+a 9=2a 5,∴a 5=8.∴a 2+a 4+a 9=a 1+a 5+a 9=3a 5=24.6. 【2011全国新课标,理17】等比数列{a n }的各项均为正数,且2a 1+3a 2=1,23239a a a =.(1)求数列{a n }的通项公式;(2)设b n =log 3a 1+log 3a 2+…+log 3a n ,求数列1{}nb 的前n 项和. (2)31323(1)log log log (12)2n n n n b a a a n +=+++=-+++=-故12112()(1)1nb n n n n =-=--++, 121111111122(1)()()22311n nb b b n n n ⎡⎤+++=--+-++-=-⎢⎥++⎣⎦. 所以数列1n b ⎧⎫⎨⎬⎩⎭的前n 项和为21nn -+. 7. 【2010新课标,理17】(12分)设数列{a n }满足a 1=2,a n +1-a n =3·22n -1. (1)求数列{a n }的通项公式;(2)令b n =na n ,求数列{b n }的前n 项和S n . 【解析】 (1)由已知,当n≥1时,a n +1=[(a n +1-a n )+(a n -a n -1)+…+(a 2-a 1)]+a 1=3(22n -1+22n -3+…+2)+2=22(n +1)-1.而a 1=2,所以数列{a n }的通项公式为a n =22n -1.(2)由b n =na n =n·22n -1知S n =1·2+2·23+3·25+…+n·22n -1. ① 从而22·S n =1·23+2·25+3·27+…+n·22n +1. ② ①-②,得(1-22)S n =2+23+25+…+22n -1-n·22n +1, 即S n =19[(3n -1)22n +1+2]. 8. 【2005全国1,理19】设等比数列}{n a 的公比为q ,前n 项和S n >0(n=1,2,…) (1)求q 的取值范围;(2)设,2312++-=n n n a a b 记}{n b 的前n 项和为T n ,试比较S n 和T n 的大小.解①式得q>1;解②,由于n 可为奇数、可为偶数,得-1<q<1. 综上,q 的取值范围是).,0()0,1(+∞⋃-(Ⅱ)由得1223++-=n a n a a b .)23(),23(22n n n n S q q T q q a b -=-=于是)123(2--=-q q S S T n n n).2)(21(-+=q q S n.,0,2,21;,0,0221;,0,2211,,001,0n n n n n n n n n n n n n S T S T q q S T S T q q S T S T q q q q S ==-=-=<<-≠<<->>->-<<-><<->即时或当即时且当即时或当所以或且又因为 9. 【2015高考新课标1,理17】n S 为数列{n a }的前n 项和.已知n a >0,2n n a a +=43n S +.(Ⅰ)求{n a }的通项公式; (Ⅱ)设11n n n b a a +=,求数列{n b }的前n 项和. 【答案】(Ⅰ)21n +(Ⅱ)11646n -+ 【解析】试题分析:(Ⅰ)先用数列第n 项与前n 项和的关系求出数列{n a }的递推公式,可以判断数列{n a }是等差数列,利用等差数列的通项公式即可写出数列{n a }的通项公式;(Ⅱ)根据(Ⅰ)数列{n b }的通项公式,再用拆项消去法求其前n 项和.【考点定位】数列前n 项和与第n 项的关系;等差数列定义与通项公式;拆项消去法 10.【2016高考新课标理数3】已知等差数列{}n a 前9项的和为27,10=8a ,则100=a (A )100 (B )99 (C )98 (D )97 【答案】C 【解析】试题分析:由已知,1193627,98a d a d +=⎧⎨+=⎩所以110011,1,9919998,a d a a d =-==+=-+=故选C.【考点】等差数列及其运算【名师点睛】等差、等比数列各有五个基本量,两组基本公式,而这两组公式可看作多元方程,利用这些方程可将等差、等比数列中的运算问题转化为解关于基本量的方程(组),因此可以说数列中的绝大部分运算题可看作方程应用题,所以用方程思想解决数列问题是一种行之有效的方法.二.能力题组1. 【2011全国,理4】设S n 为等差数列{a n }的前n 项和,若a 1=1,公差d =2,S k +2-S k =24,则k =( ) A .8 B .7 C .6 D .5 【答案】 D2. 【2006全国,理10】设{a n }是公差为正数的等差数列,若a 1+a 2+a 3=15,a 1a 2a 3=80则a 11+a 12+a 13=( ) (A )120 (B )105 (C )90 (D )75 【答案】 B 【解析】3. 【2012全国,理16】数列{a n }满足a n +1+(-1)n a n =2n -1,则{a n }的前60项和为__________. 【答案】1 830【解析】:∵a n +1+(-1)n a n =2n -1,∴a 2=1+a 1,a 3=2-a 1,a 4=7-a 1,a 5=a 1,a 6=9+a 1,a 7=2-a 1,a 8=15-a 1,a 9=a 1,a 10=17+a 1,a 11=2-a 1,a 12=23-a 1,…,a 57=a 1,a 58=113+a 1,a 59=2-a 1,a 60=119-a 1, ∴a 1+a 2+…+a 60=(a 1+a 2+a 3+a 4)+(a 5+a 6+a 7+a 8)+…+(a 57+a 58+a 59+a 60)=10+26+42+ (234)15(10234)18302⨯+=.4. 【2014课标Ⅰ,理17】已知数列{}n a 的前n 项和为n S ,11a =,0n a ≠,11n n n a a S λ+=-,其中λ为常数, (I )证明:2n n a a λ+-=;(II )是否存在λ,使得{}n a 为等差数列?并说明理由. 【答案】(I )详见解析;(II )存在,4λ=.5. 【2009全国卷Ⅰ,理20】 在数列{a n }中, a 1=1,a n+1=(n 11+)a n +n n 21+. (Ⅰ)设na b nn =,求数列{b n }的通项公式; (Ⅱ)求数列{a n }的前n 项和S n . 【解析】(Ⅰ)由已知得b 1=a 1=1,且n n n n a n a 2111+=++,即n n n b b 211+=+. 从而2112+=b b ,22321+=b b , (1)121--+=n n n b b (n≥2).于是1121212212121---=++++=n n n b b (n≥2).又b 1=1.故所求的通项公式1212--=n n b .(Ⅱ)由(Ⅰ)知1122)212(---=-=n n n nn n a .令∑=-=nk k n kT 112,则∑=-=nk k n kT 1222.于是T n =2T n -T n =∑-=---111221n k n k n =1224-+-n n .又)1()2(1+=∑=n n k nk ,所以422)1(1-+++=-n n n n n S . 6.【2016高考新课标理数1】设等比数列{}n a 满足a 1+a 3=10,a 2+a 4=5,则a 1a 2a n 的最大值为 .【答案】64【考点】等比数列及其应用【名师点睛】高考中数列客观题大多具有小、巧、活的特点,在解答时要注意方程思想及数列相关性质的应用,尽量避免小题大做.7.【2017新课标1,理4】记n S 为等差数列{}n a 的前n 项和.若4524a a +=,648S =,则{}n a 的公差为 A .1B .2C .4D .8【答案】C 【解析】试题分析:设公差为d ,45111342724a a a d a d a d +=+++=+=,611656615482S a d a d ⨯=+=+=,联立112724,61548a d a d +=⎧⎨+=⎩解得4d =,故选C.【考点】等差数列的基本量求解【名师点睛】求解等差数列基本量问题时,要多多使用等差数列的性质,如{}n a 为等差数列,若m n p q +=+,则m n p q a a a a +=+.三.拔高题组1. 【2013课标全国Ⅰ,理12】设△A n B n C n 的三边长分别为a n ,b n ,c n ,△A n B n C n 的面积为S n ,n =1,2,3,….若b 1>c 1,b 1+c 1=2a 1,a n +1=a n ,b n +1=2n n c a +,c n +1=2n nb a +,则( ). A .{S n }为递减数列 B .{S n }为递增数列C .{S 2n -1}为递增数列,{S 2n }为递减数列D .{S 2n -1}为递减数列,{S 2n }为递增数列 【答案】B 【解析】2. 【2011全国,理20】设数列{a n }满足a 1=0且111111n na a +-=--.(1)求{a n }的通项公式; (2)设11n n a b n+-=,记1nn kk S b==∑,证明:S n <1.【解析】(1)由题设111111n na a +-=--,即{11na -}是公差为1的等差数列. 又111n a =-,故11nn a =-. 所以11n a n=-. (2)由(1)得1111111n n a n n b nn n n n +-+-===-+⋅+, 11111()1111nnn k k k S b k k n ====-=-<++∑∑. 3. 【2006全国,理22】(本小题满分12分)设数列{a n }的前n 项和,3,2,1,32313421=+⨯-=+n n nn a S …。
高考数学真题及答案解析版一、选择题1. 题目内容:已知函数f(x) = ax^2 + bx + c在点x=1取得最小值3,且知道a>0,求a+b+c的值。
答案解析:根据题意,函数f(x) = ax^2 + bx + c在x=1处取得最小值,可以得出f(x)的对称轴为x=-b/2a=1,由此可得b=-2a。
又因为f(1)=3,代入得a+b+c=3。
将b=-2a代入,得到a-2a+c=3,即c=5-a。
由于a>0,所以c>5。
综合以上信息,我们可以得出a+b+c=a-2a+5-a=3,解得a=1,进而得到b=-2,c=4。
所以a+b+c=1+(-2)+4=3。
2. 题目内容:设集合A={x|x^2 < 4},B={x|x < 0},求A∪B的值。
答案解析:集合A表示的是所有满足x^2 < 4的x值的集合,即-2 <x < 2。
集合B表示的是所有小于0的x值的集合。
求A∪B,即求A和B的并集,也就是所有属于A或属于B的元素构成的集合。
由于A的范围是-2到2之间,而B是小于0的所有数,因此A∪B的范围是从负无穷到2,即A∪B={x|x < 2}。
3. 题目内容:已知数列{an}满足a1=1,an=3an-1+2(n≥2),求a5的值。
答案解析:根据递推公式an=3an-1+2,我们可以逐步计算数列的前几项。
首先a1=1,然后a2=3a1+2=5,a3=3a2+2=17,a4=3a3+2=53,最后a5=3a4+2=161。
所以a5的值为161。
二、填空题1. 题目内容:若sinθ=0.6,则cosθ的值为______。
答案解析:根据三角函数的基本关系,sin^2θ+cos^2θ=1。
已知sinθ=0.6,所以0.6^2+cos^2θ=1,解得cos^2θ=1-0.36=0.64。
由于cosθ的值在-1到1之间,所以cosθ的值为±√0.64=±0.8。
高考数学数学数列多选题试题及解析一、数列多选题1.已知n S 是等差数列{}n a 的前n 项和,201920212020S S S <<,设12n n n n b a a a ++=,则数列1n b ⎧⎫⎨⎬⎩⎭的前n 项和为n T ,则下列结论中正确的是( ) A .20200a >B .20210a <C .2019202020212022a a a a ⋅>⋅D .2019n =时,n T 取得最大值【答案】ABC 【分析】根据题设条件,得到2021202020212020201920200,0S S a S S a -=<-=>,进而求得201920220a a >->,20192020a a >20212022a a ,再结合“裂项法”求得12121112n n n T d a a a a ++⎫⎛=-⎪⎝⎭,结合0d <,即可求解. 【详解】设等差数列{}n a 的公差为d ,因为201920212020S S S <<,可得2021202020210S S a -=<,2020201920200S S a -=>,20212019S S -=202120200a a +>,即202020210a a >->,202020210a d a d ->-->,即201920220a a >->, 所以20192020a a >20212022a a ,0d <,即数列{}n a 递减, 且10a >,20a >,…,20200a >,20210a <, 又由12n n n n b a a a ++=,可得1211n n n n b a a a ++==1121112n n n n d a a a a +++⎛⎫- ⎪⎝⎭, 则122323341121211111111122n n n n n T d a a a a a a a a a a a a d a a +++⎛⎫⎛=-+-+⋅⋅⋅+-=- ⎪⎝⎝⎭121n n a a ++⎫⎪⎭,由0d <,要使n T 取最大值,则121211n n a a a a ++⎛⎫- ⎪⎝⎭取得最小值, 显然1210n n a a ++>,而23a a >34201920202021202220222023a a a a a a a a >⋅⋅⋅>><<⋅⋅⋅, 所以当2020n =时,121211n n a a a a ++⎛⎫- ⎪⎝⎭取得最小值. 综上可得,正确的选项为ABC. 故选:ABC.【点睛】本题主要考查了数列的综合应用,其中解答中熟练应用通项n a 和n S 的关系式,数列的“裂项法”求和,以及数列的单调性进行求解是解答的关键,着重考查推理与运算能力.2.(多选题)数列{}n a 满足()2*1n n n a a a n N+=-+∈,110,2a ⎛⎫∈ ⎪⎝⎭,则以下说法正确的为( ) A .10n n a a +<<B .22221231n a a a a a +++⋅⋅⋅+<C .对任意正数b ,都存在正整数m 使得12311111111mb a a a a +++⋅⋅⋅+>----成立 D .11n a n <+ 【答案】ABCD 【分析】对于A ,结合二次函数的特点可确定正误;对于B ,将原式化简为111n a a a +-<,由10n a +>得到结果; 对于C ,结合1a 范围和A 中结论可确定12111111nn a a a ++⋅⋅⋅+>---,由此判断得到结果;对于D ,利用数学归纳法可证得结论. 【详解】对于A ,2211124n nn n a a a a +⎛⎫=-+=--+ ⎪⎝⎭,若10,2n a ⎛⎫∈ ⎪⎝⎭,则110,4n a +⎛⎫∈ ⎪⎝⎭,又110,2a ⎛⎫∈ ⎪⎝⎭,可知0n a >,10n a +>, 又210n n n a a a +-=-<,10n n a a +∴<<,A 正确; 对于B ,由已知得:21n n n a a a +=-,()()()2221212231111n n n n a a a a a a a a a a a a ++∴++⋅⋅⋅+=-+-+⋅⋅⋅+-=-<,B 正确;对于C ,由110,2a ⎛⎫∈ ⎪⎝⎭及A 中结论得:1112na <-<,1121n a <<-, 12111111nn a a a ∴++⋅⋅⋅+>---,显然对任意的正数b ,在在正整数m ,使得m b >,此时12311111111mb a a a a +++⋅⋅⋅+>----成立,C 正确;对于D ,(i )当1n =时,由已知知:112a <成立, (ii )假设当()n k k N*=∈时,11nan <+成立, 则222111112411n nn n a a a a n n +⎛⎫⎛⎫=-+=--+<-+ ⎪ ⎪++⎝⎭⎝⎭, 又()()()221111012121n n n n n -+-=-<+++++,即()2111121n n n -+<+++, 112n a n +∴<+, 综上所述:当n *∈N 时,112n a n +<+,D 正确. 故选:ABCD. 【点睛】关键点点睛:本题考查数列与不等式的综合应用问题,关键在于能够熟练应用不等式的性质与函数的性质进行化简辨析,同时对于数列中的不等式证明问题,可采用数学归纳法进行证明.3.设n S 是等差数列{}n a 的前n 项和,且12a =,38a =则( ) A .512a = B .公差3d =C .()261n S n n =+D .数列11n n a a +⎧⎫⎨⎬⎩⎭的前n 项和为64nn + 【答案】BCD 【分析】根据已知条件求出等差数列{}n a 的通项公式和前n 项和公式,即可判断选项A 、B 、C ,再利用裂项求和即可判断选项D. 【详解】因为数列{}n a 是等差数列,则312228a a d d =+=+=,解得:3d =,故选项B 正确; 所以()21331n a n n =+-⨯=-,对于选项A :535114a =⨯-=,故选项A 不正确;对于选项C :()()2222132612n n S n n n ++-⨯⎡⎤⎣⎦=⨯=+,所以故选项C 正确; 对于选项D :()()111111313233132n n a a n n n n +⎛⎫==- ⎪-+-+⎝⎭,所以前n 项和为111111111325588113132n n ⎛⎫-+-+-++-⎪-+⎝⎭()611132322324n n n n n ⎛⎫=-== ⎪++⎝⎭+,故选项D 正确, 故选:BCD. 【点睛】方法点睛:数列求和的方法(1)倒序相加法:如果一个数列{}n a 的前n 项中首末两端等距离的两项的和相等或等于同一个常数,那么求这个数列的前n 项和即可以用倒序相加法(2)错位相减法:如果一个数列的各项是由一个等差数列和一个等比数列的对应项之积构成的,那么这个数列的前n 项和即可以用错位相减法来求;(3)裂项相消法:把数列的通项拆成两项之差,在求和时,中间的一些项可相互抵消,从而求得其和;(4)分组转化法:一个数列的通项公式是由若干个等差数列或等比数列或可求和的数列组成,则求和时可用分组转换法分别求和再相加减;(5)并项求和法:一个数列的前n 项和可以两两结合求解,则称之为并项求和,形如()()1nn a f n =-类型,可采用两项合并求解.4.已知数列{}n a ,{}n b 满足1n n n a a +-=,21n n n b a nb ⋅+=,且11a =,n S 是数列{}n b 的前n 项和,则下列结论正确的有( )A .m +∃∈N ,55m m a a a +=+B .n +∀∈N ,33314n a n +≥ C .m +∃∈N ,16m b = D .n +∀∈N ,113n S ≤< 【答案】BD 【分析】用累加法得到222n n n a -+=,代入21n n n b a nb ⋅+=,得11212n b n n ⎛⎫=- ⎪++⎝⎭,代入5m a +5m a a =+求出m 可判断A ;代入33n a n+求最值可判断B ; 令1121612m b m m ⎛⎫=-= ⎪++⎝⎭解出m 可判断C ;裂项相消后可求出n S 的范围可判断D. 【详解】因为1n n n a a +-=,所以211a a -= 322a a -=11(2)n n n a a n -=-≥-以上各式累加得1121(1)2n a a n n n =+++-=--,所以(1)12n n n a -=+,当1n =时,11a =成立, 所以2(1)2122n n n n a n --+=+=,由21n n n b a nb ⋅+=,得112112(1)1222(1)(2)12n n b a n n n n n n n n ⎛⎫====- ⎪+++++⎝-+⎭+,对于A ,()()5254922122m a m m m m ++++++==,25(1)5(51)2411222m a a m m m m -⨯--+=+++=+ , 当55m m a a a +=+时,222492222m m m m -+++=,得15m +=∉N ,A 错误; 对于B,(1)1(13333343411)22222n n n n a n n n n n ++==+=+-≥--+, 当且仅当268n =取等号,因为n +∀∈N ,所以8n =时,8333184a +=, 所以B 正确;对于C ,令1121612m b m m ⎛⎫=-=⎪++⎝⎭得,215308m m ++=,解得m +=N ,所以C 错误;对于D , n +∀∈N ,1231111112233412n S b b b n n ⎛⎫=+++=-+-++- ⎪++⎝⎭112211222n n ⎛⎫=-=-< ⎪++⎝⎭,可以看出n S 是关于n 递增的,所以1n =时有最小值13, 所以113n S ≤<,D 正确. 故选:BD. 【点睛】本题考查了由递推数列求通项公式、裂项相消求数列和,关键点是用累加法求出n a ,然后代入求出n b ,考查了学生的推理能力、计算能力.5.关于等差数列和等比数列,下列四个选项中正确的有( ) A .若数列{}n a 的前n 项和22n S n =,则数列{}n a 为等差数列B .若数列{}n a 的前n 项和122n n S +=-,则数列{}n a 为等比数列C .若等比数列{}n a 是递增数列,则{}n a 的公比1q >D .数列{}n a 是等比数列,n S 为前n 项和,则n S ,2n n S S -,32n n S S -,仍为等比数列 【答案】AB 【分析】对于A ,求出 42n a n =-,所以数列{}n a 为等差数列,故选项A 正确;对于B , 求出2n n a =,则数列{}n a 为等比数列,故选项B 正确;对于选项C ,有可能10,01a q <<<,不一定 1q >,所以选项C 错误;对于D ,比如公比1q =-,n 为偶数,n S ,2n n S S -,32n n S S -,⋯,均为0,不为等比数列.故选项D 不正确. 【详解】对于A ,若数列{}n a 的前n 项和22n S n =,所以212(1)(2)n S n n -=-≥,所以142(2)n n n a S S n n -=-=-≥,适合12a =,所以数列{}n a 为等差数列,故选项A 正确;对于B ,若数列{}n a 的前n 项和122n n S +=-,所以122(2)nn S n -=-≥,所以12(2)n n n n a S S n -=-=≥,又1422a =-=,2218224a S S =-=--=, 212a a =则数列{}n a 为等比数列,故选项B 正确;对于选项C ,若等比数列{}n a 是递增数列,则有可能10,01a q <<<,不一定 1q >,所以选项C 错误;对于D ,数列{}n a 是等比数列,n S 为前n 项和,则n S ,2n n S S -,32n n S S -,⋯不一定为等比数列,比如公比1q =-,n 为偶数,n S ,2n n S S -,32n n S S -,⋯,均为0,不为等比数列.故选项D 不正确. 故选:AB 【点睛】方法点睛:求数列的通项常用的方法有:(1)公式法;(2)归纳法;(3)累加法;(4)累乘法;(5)构造法. 要根据已知条件灵活选择方法求解.6.已知数列{}n a ,下列结论正确的有( ) A .若12a =,11n n a a n +++=,则20211a =.B .若11132n n a a a ++=,=,则71457a =C .若12nn S =3+,则数列{}n a 是等比数列D .若11212n n n a a a a ++=,=()*n N ∈,则15215a = 【答案】AB 【分析】直接利用叠加法可判断选项A ,从而判断,利用构造新数列可求出B,D 中数列的通项公式,可判断,选项C 求出数列的前3项从而可判断. 【详解】选项A. 由11n n a a n +=++,即11n n a a n +-=+ 则()()()()19191818120207121a a a a a a a a a a =-+-+-++-+20191822211=+++++=故A 正确.选项B. 由132n n a a +=+,得()1311n n a a +=++,所以数列{}1n a +是以112a +=为首项,3为公比的等比数列.则1123n n a -+=⨯,即1231n n a -=⨯-,所以672311457a =⨯-=,故B 正确.选项C. 由12nn S =3+,可得当1n =时,11722a =+=3 当2n =时,得2211193622a S S ⎛⎫⎛⎫=-=+-+= ⎪ ⎪⎝⎭⎝⎭, 当3n =时,得332112791822a S S ⎛⎫⎛⎫=-=+-+= ⎪ ⎪⎝⎭⎝⎭, 显然2213a a a ≠,所以数列{}n a 不是等比数列,故C 错误. 选项D. 由122nn n a a a +=+,可得11112n n a a +-= 所以数列1n a ⎧⎫⎨⎬⎩⎭是以1为首项,12为公差的等差数列.所以()1111122n n n a +=+-=,则1511826a ==,即1518a =,故D 错误. 故选:AB 【点睛】关键点睛:本题考查利用递推关系求数列的通项公式,解答的关键是掌握求数列通项公式的常见方法,由叠加法可得()()()()19191818120207121a a a a a a a a a a =-+-+-++-+,利用构造新数列()1311n n a a +=++,11112n n a a +-=解决问题,属于中档题.7.已知数列{}n a 中,112a =,且()11n n n a a a +=+,n *∈N ,则以下结论正确的是( )A .11111n n n a a a +=-+ B .{}n a 是单调递增数列C .211011111111a a a a +++>+++ D .若1212120111n n a a aa a a ⎡⎤+++=⎢⎥+++⎣⎦,则122n =([]x 表示不超过x 的最大整数) 【答案】ABD 【分析】利用裂项法可判断A 选项的正误;利用数列单调性的定义可判断B 选项的正误;利用裂项求和法可判断C 选项的正误;求出1212111nn a a aa a a ++++++的表达式,可判断D 选项的正误. 【详解】在数列{}n a 中,112a =,且()11n n n a a a +=+,n *∈N ,则()21110a a a =+>,()32210a a a =+>,,依此类推,可知对任意的n *∈N ,0n a >.对于A 选项,()()()111111111n n n n n n n n n a a a a a a a a a ++-===-+++,A 选项正确; 对于B 选项,210n n n a a a +-=>,即1n n a a +>,所以,数列{}n a 为单调递增数列,B 选项正确;对于C 选项,由A 选项可知,11111n n n a a a +=-+, 所以,1212231011111110111111111111111a a a a a a a a a a a a ⎛⎫⎛⎫⎛⎫+++=-+-++-=-< ⎪ ⎪ ⎪+++⎝⎭⎝⎭⎝⎭,C 选项错误; 对于D 选项,12122311111111111111111n nn n a a a a a a a a a a a ++⎛⎫⎛⎫⎛⎫+++=-+-++-=- ⎪ ⎪ ⎪+++⎝⎭⎝⎭⎝⎭, 所以,()()()12121212111111111111n nn n a a a a a a a a a a a a +-+++=+++++++++-+-+121111111112111n n n n n n a a a a a a ++⎛⎫⎛⎫=-+++=--=-+ ⎪ ⎪+++⎝⎭⎝⎭, 由112a =,且()11n n n a a a +=+得234a =,32116a =,又{}n a 是单调递增数列,则3n ≥时,1n a >,则101na <<, 从而1122120n n n a +⎡⎤-=-=⎢⎥⎣⎦+,得122n =,D 选项正确. 故选:ABD. 【点睛】方法点睛:数列求和的常用方法:(1)对于等差等比数列,利用公式法直接求和;(2)对于{}n n a b 型数列,其中{}n a 是等差数列,{}n b 是等比数列,利用错位相减法求和;(3)对于{}n n a b +型数列,利用分组求和法; (4)对于11n n a a +⎧⎫⎨⎬⎩⎭型数列,其中{}n a 是公差为()0d d ≠的等差数列,利用裂项相消法求和.8.已知等差数列{}n a 的前n 项和为n S ,若981S =,713a =,3S ,1716S S -,k S 成等比数列,则( ) A .2n S n = B .122310*********a a a a a a ++⋅⋅⋅+= C .11k = D .21n a n =-【答案】ACD 【分析】先根据题意求出等差数列的首项和公差,再根据等差数列的通项公式和求和公式求得,n n a S ,再由3S ,1716S S -,k S 成等比数列列出式子求解得出k 的值,再利用裂项相消法求和,得到122310111111021a a a a a a ++⋅⋅⋅+=,从而判断各项的正误. 【详解】依题意,95981S a ==,解得59a =; 而713a =,故75275a a d -==-,则1541a a d =-=, 则21n a n =-,2n S n =,故D 、A 正确:因为3S ,1716S S -,k S 成等比数列,故()223171617k S S S S a =-=,则22933k =,解得11k =,故C 正确;而122310111111021a a a a a a ++⋅⋅⋅+=,故B 错误. 故选:ACD . 【点睛】思路点睛:该题考查的是有关数列的问题,解题方法如下: (1)根据题意,求得通项公式,进而求得前n 项和; (2)根据三项成等比数列的条件,列出等式,求得k 的值;(3)利用裂项相消法,对12231011111a a a a a a ++⋅⋅⋅+求和; (4)对选项逐个判断正误,得到结果.二、平面向量多选题9.已知ABC 的面积为3,在ABC 所在的平面内有两点P ,Q ,满足20PA PC +=,2QA QB =,记APQ 的面积为S ,则下列说法正确的是( )A .//PB CQ B .2133BP BA BC =+ C .0PA PC ⋅< D .2S =【答案】BCD 【分析】本题先确定B 是AQ 的中点,P 是AC 的一个三等分点,判断选项A 错误,选项C 正确; 再通过向量的线性运算判断选项B 正确;最后求出2APQ S =△,故选项D 正确. 【详解】解:因为20PA PC +=,2QA QB =,所以B 是AQ 的中点,P 是AC 的一个三等分点,如图:故选项A 错误,选项C 正确;因为()121333BP BA AP BA BC BA BA BC =+=+-=+,故选项B 正确;因为1122 23132APQABCAB hSS AB h⨯⨯==⋅△△,所以,2APQS=△,故选项D正确.故选:BCD【点睛】本题考查平面向量的线性运算、向量的数量积、三角形的面积公式,是基础题.10.如图所示,设Ox ,Oy是平面内相交成2πθθ⎛⎫≠⎪⎝⎭角的两条数轴,1e,2e分别是与x,y轴正方向同向的单位向量,则称平面坐标系xOy为θ反射坐标系中,若12OM xe ye=+,则把有序数对(),x y叫做向量OM的反射坐标,记为(),OM x y=.在23πθ=的反射坐标系中,()1,2a =,()2,1b=-.则下列结论中,正确的是()A.()1,3a b-=-B .5a=C.a b⊥D.a在b上的投影为37【答案】AD【分析】123a b e e-=-+,则()1,3a b-=-,故A正确;3a=,故B错误;32a b⋅=-,故C错误;由于a在b上的投影为3372147a bb-⋅==-,故D正确.【详解】()()121212223a b e e e e e e-=+--=-+,则()1,3a b-=-,故A正确;()2122254cos33a e eπ=+=+=B错误;()()22121211223222322a b e e e e e e e e ⋅=+⋅-=+⋅-=-,故C 错误; 由于()22227b e e =-=a 在b 上的投影为327a b b -⋅==,故D 正确。
专题数列一、单选题1(全国甲卷数学(文))等差数列a n 的前n 项和为S n ,若S 9=1,a 3+a 7=()A.-2B.73C.1D.29【答案】D【分析】可以根据等差数列的基本量,即将题目条件全转化成a 1和d 来处理,亦可用等差数列的性质进行处理,或者特殊值法处理.【详解】方法一:利用等差数列的基本量由S 9=1,根据等差数列的求和公式,S 9=9a 1+9×82d =1⇔9a 1+36d =1,又a 3+a 7=a 1+2d +a 1+6d =2a 1+8d =29(9a 1+36d )=29.故选:D 方法二:利用等差数列的性质根据等差数列的性质,a 1+a 9=a 3+a 7,由S 9=1,根据等差数列的求和公式,S 9=9(a 1+a 9)2=9(a 3+a 7)2=1,故a 3+a 7=29.故选:D 方法三:特殊值法不妨取等差数列公差d =0,则S 9=1=9a 1⇒a 1=19,则a 3+a 7=2a 1=29.故选:D2(全国甲卷数学(理))等差数列a n 的前n 项和为S n ,若S 5=S 10,a 5=1,则a 1=()A.-2B.73C.1D.2【答案】B【分析】由S 5=S 10结合等差中项的性质可得a 8=0,即可计算出公差,即可得a 1的值.【详解】由S 10-S 5=a 6+a 7+a 8+a 9+a 10=5a 8=0,则a 8=0,则等差数列a n 的公差d =a 8-a 53=-13,故a 1=a 5-4d =1-4×-13 =73.故选:B .3(新高考北京卷)记水的质量为d =S -1ln n,并且d 越大,水质量越好.若S 不变,且d 1=2.1,d 2=2.2,则n 1与n 2的关系为()A.n 1<n 2B.n 1>n 2C.若S <1,则n 1<n 2;若S >1,则n 1>n 2;D.若S <1,则n 1>n 2;若S >1,则n 1<n 2;【答案】C2024年高考真题【分析】根据题意分析可得n 1=eS -12.1n 2=eS -12.2,讨论S 与1的大小关系,结合指数函数单调性分析判断.【详解】由题意可得d 1=S -1ln n 1=2.1d 2=S -1ln n 2=2.2 ,解得n 1=e S -12.1n 2=e S -12.2,若S >1,则S -12.1>S -12.2,可得e S -12.1>e S -12.2,即n 1>n 2;若S =1,则S -12.1=S -12.2=0,可得n 1=n 2=1;若S <1,则S -12.1<S -12.2,可得e S -1 2.1<e S -12.2,即n 1<n 2;结合选项可知C 正确,ABD 错误;故选:C .二、填空题4(新课标全国Ⅱ卷)记S n 为等差数列{a n }的前n 项和,若a 3+a 4=7,3a 2+a 5=5,则S 10=.【答案】95【分析】利用等差数列通项公式得到方程组,解出a 1,d ,再利用等差数列的求和公式节即可得到答案.【详解】因为数列a n 为等差数列,则由题意得a 1+2d +a 1+3d =73a 1+d +a 1+4d =5,解得a 1=-4d =3 ,则S 10=10a 1+10×92d =10×-4 +45×3=95.故答案为:95.5(新高考上海卷)无穷等比数列a n 满足首项a 1>0,q >1,记I n =x -y x ,y ∈a 1,a 2 ∪a n ,a n +1 ,若对任意正整数n 集合I n 是闭区间,则q 的取值范围是.【答案】q ≥2【分析】当n ≥2时,不妨设x ≥y ,则x -y ∈0,a 2-a 1 ∪a n -a 2,a n +1-a 1 ∪0,a n +1-a n ,结合I n 为闭区间可得q -2≥-1q n -2对任意的n ≥2恒成立,故可求q 的取值范围.【详解】由题设有a n =a 1q n -1,因为a 1>0,q >1,故a n +1>a n ,故a n ,a n +1 =a 1q n -1,a 1q n ,当n =1时,x ,y ∈a 1,a 2 ,故x -y ∈a 1-a 2,a 2-a 1 ,此时I 1为闭区间,当n ≥2时,不妨设x ≥y ,若x ,y ∈a 1,a 2 ,则x -y ∈0,a 2-a 1 ,若y ∈a 1,a 2 ,x ∈a n ,a n +1 ,则x -y ∈a n -a 2,a n +1-a 1 ,若x ,y ∈a n ,a n +1 ,则x -y ∈0,a n +1-a n ,综上,x -y ∈0,a 2-a 1 ∪a n -a 2,a n +1-a 1 ∪0,a n +1-a n ,又I n 为闭区间等价于0,a 2-a 1 ∪a n -a 2,a n +1-a 1 ∪0,a n +1-a n 为闭区间,而a n +1-a 1>a n +1-a n >a 2-a 1,故a n +1-a n ≥a n -a 2对任意n ≥2恒成立,故a n +1-2a n +a 2≥0即a 1q n -1q -2 +a 2≥0,故q n -2q -2 +1≥0,故q -2≥-1qn -2对任意的n ≥2恒成立,因q >1,故当n →+∞时,-1q n -2→0,故q -2≥0即q ≥2.故答案为:q ≥2.【点睛】思路点睛:与等比数列性质有关的不等式恒成立,可利用基本量法把恒成立为转为关于与公比有关的不等式恒成立,必要时可利用参变分离来处理.三、解答题6(新课标全国Ⅰ卷)设m 为正整数,数列a 1,a 2,...,a 4m +2是公差不为0的等差数列,若从中删去两项a i 和a j i <j 后剩余的4m 项可被平均分为m 组,且每组的4个数都能构成等差数列,则称数列a 1,a 2,...,a 4m +2是i ,j -可分数列.(1)写出所有的i ,j ,1≤i <j ≤6,使数列a 1,a 2,...,a 6是i ,j -可分数列;(2)当m ≥3时,证明:数列a 1,a 2,...,a 4m +2是2,13 -可分数列;(3)从1,2,...,4m +2中一次任取两个数i 和j i <j ,记数列a 1,a 2,...,a 4m +2是i ,j -可分数列的概率为P m ,证明:P m >18.【答案】(1)1,2 ,1,6 ,5,6 (2)证明见解析(3)证明见解析【分析】(1)直接根据i ,j -可分数列的定义即可;(2)根据i ,j -可分数列的定义即可验证结论;(3)证明使得原数列是i ,j -可分数列的i ,j 至少有m +1 2-m 个,再使用概率的定义.【详解】(1)首先,我们设数列a 1,a 2,...,a 4m +2的公差为d ,则d ≠0.由于一个数列同时加上一个数或者乘以一个非零数后是等差数列,当且仅当该数列是等差数列,故我们可以对该数列进行适当的变形a k =a k -a 1d+1k =1,2,...,4m +2 ,得到新数列a k =k k =1,2,...,4m +2 ,然后对a 1,a 2,...,a 4m +2进行相应的讨论即可.换言之,我们可以不妨设a k =k k =1,2,...,4m +2 ,此后的讨论均建立在该假设下进行.回到原题,第1小问相当于从1,2,3,4,5,6中取出两个数i 和j i <j ,使得剩下四个数是等差数列.那么剩下四个数只可能是1,2,3,4,或2,3,4,5,或3,4,5,6.所以所有可能的i ,j 就是1,2 ,1,6 ,5,6 .(2)由于从数列1,2,...,4m +2中取出2和13后,剩余的4m 个数可以分为以下两个部分,共m 组,使得每组成等差数列:①1,4,7,10 ,3,6,9,12 ,5,8,11,14 ,共3组;②15,16,17,18 ,19,20,21,22 ,...,4m -1,4m ,4m +1,4m +2 ,共m -3组.(如果m -3=0,则忽略②)故数列1,2,...,4m +2是2,13 -可分数列.(3)定义集合A =4k +1 k =0,1,2,...,m =1,5,9,13,...,4m +1 ,B =4k +2 k =0,1,2,...,m =2,6,10,14,...,4m +2 .下面证明,对1≤i <j ≤4m +2,如果下面两个命题同时成立,则数列1,2,...,4m +2一定是i ,j -可分数列:命题1:i ∈A ,j ∈B 或i ∈B ,j ∈A ;命题2:j -i ≠3.我们分两种情况证明这个结论.第一种情况:如果i ∈A ,j ∈B ,且j -i ≠3.此时设i =4k 1+1,j =4k 2+2,k 1,k 2∈0,1,2,...,m .则由i <j 可知4k 1+1<4k 2+2,即k 2-k 1>-14,故k 2≥k 1.此时,由于从数列1,2,...,4m +2中取出i =4k 1+1和j =4k 2+2后,剩余的4m 个数可以分为以下三个部分,共m 组,使得每组成等差数列:①1,2,3,4 ,5,6,7,8 ,...,4k 1-3,4k 1-2,4k 1-1,4k 1 ,共k 1组;②4k 1+2,4k 1+3,4k 1+4,4k 1+5 ,4k 1+6,4k 1+7,4k 1+8,4k 1+9 ,...,4k 2-2,4k 2-1,4k 2,4k 2+1 ,共k 2-k 1组;③4k 2+3,4k 2+4,4k 2+5,4k 2+6 ,4k 2+7,4k 2+8,4k 2+9,4k 2+10 ,...,4m -1,4m ,4m +1,4m +2 ,共m -k 2组.(如果某一部分的组数为0,则忽略之)故此时数列1,2,...,4m +2是i ,j -可分数列.第二种情况:如果i ∈B ,j ∈A ,且j -i ≠3.此时设i =4k 1+2,j =4k 2+1,k 1,k 2∈0,1,2,...,m .则由i <j 可知4k 1+2<4k 2+1,即k 2-k 1>14,故k 2>k 1.由于j -i ≠3,故4k 2+1 -4k 1+2 ≠3,从而k 2-k 1≠1,这就意味着k 2-k 1≥2.此时,由于从数列1,2,...,4m +2中取出i =4k 1+2和j =4k 2+1后,剩余的4m 个数可以分为以下四个部分,共m 组,使得每组成等差数列:①1,2,3,4 ,5,6,7,8 ,...,4k 1-3,4k 1-2,4k 1-1,4k 1 ,共k 1组;②4k 1+1,3k 1+k 2+1,2k 1+2k 2+1,k 1+3k 2+1 ,3k 1+k 2+2,2k 1+2k 2+2,k 1+3k 2+2,4k 2+2 ,共2组;③全体4k 1+p ,3k 1+k 2+p ,2k 1+2k 2+p ,k 1+3k 2+p ,其中p =3,4,...,k 2-k 1,共k 2-k 1-2组;④4k 2+3,4k 2+4,4k 2+5,4k 2+6 ,4k 2+7,4k 2+8,4k 2+9,4k 2+10 ,...,4m -1,4m ,4m +1,4m +2 ,共m -k 2组.(如果某一部分的组数为0,则忽略之)这里对②和③进行一下解释:将③中的每一组作为一个横排,排成一个包含k 2-k 1-2个行,4个列的数表以后,4个列分别是下面这些数:4k 1+3,4k 1+4,...,3k 1+k 2 ,3k 1+k 2+3,3k 1+k 2+4,...,2k 1+2k 2 ,2k 1+2k 2+3,2k 1+2k 2+3,...,k 1+3k 2 ,k 1+3k 2+3,k 1+3k 2+4,...,4k 2 .可以看出每列都是连续的若干个整数,它们再取并以后,将取遍4k 1+1,4k 1+2,...,4k 2+2 中除开五个集合4k 1+1,4k 1+2 ,3k 1+k 2+1,3k 1+k 2+2 ,2k 1+2k 2+1,2k 1+2k 2+2 ,k 1+3k 2+1,k 1+3k 2+2 ,4k 2+1,4k 2+2 中的十个元素以外的所有数.而这十个数中,除开已经去掉的4k 1+2和4k 2+1以外,剩余的八个数恰好就是②中出现的八个数.这就说明我们给出的分组方式满足要求,故此时数列1,2,...,4m +2是i ,j -可分数列.至此,我们证明了:对1≤i <j ≤4m +2,如果前述命题1和命题2同时成立,则数列1,2,...,4m +2一定是i ,j -可分数列.然后我们来考虑这样的i ,j 的个数.首先,由于A ∩B =∅,A 和B 各有m +1个元素,故满足命题1的i ,j 总共有m +1 2个;而如果j -i =3,假设i ∈A ,j ∈B ,则可设i =4k 1+1,j =4k 2+2,代入得4k 2+2 -4k 1+1 =3.但这导致k 2-k 1=12,矛盾,所以i ∈B ,j ∈A .设i =4k 1+2,j =4k 2+1,k 1,k 2∈0,1,2,...,m ,则4k 2+1 -4k 1+2 =3,即k 2-k 1=1.所以可能的k 1,k 2 恰好就是0,1 ,1,2 ,...,m -1,m ,对应的i ,j 分别是2,5 ,6,9 ,...,4m -2,4m +1 ,总共m 个.所以这m +1 2个满足命题1的i ,j 中,不满足命题2的恰好有m 个.这就得到同时满足命题1和命题2的i ,j 的个数为m +1 2-m .当我们从1,2,...,4m+2中一次任取两个数i和j i<j时,总的选取方式的个数等于4m+24m+12=2m+14m+1.而根据之前的结论,使得数列a1,a2,...,a4m+2是i,j-可分数列的i,j至少有m+12-m个.所以数列a1,a2,...,a4m+2是i,j-可分数列的概率P m一定满足P m≥m+12-m2m+14m+1=m2+m+12m+14m+1>m2+m+142m+14m+2=m+12222m+12m+1=18.这就证明了结论.【点睛】关键点点睛:本题的关键在于对新定义数列的理解,只有理解了定义,方可使用定义验证或探究结论.7(新课标全国Ⅱ卷)已知双曲线C:x2-y2=m m>0,点P15,4在C上,k为常数,0<k<1.按照如下方式依次构造点P n n=2,3,...,过P n-1作斜率为k的直线与C的左支交于点Q n-1,令P n为Q n-1关于y轴的对称点,记P n的坐标为x n,y n.(1)若k=12,求x2,y2;(2)证明:数列x n-y n是公比为1+k1-k的等比数列;(3)设S n为△P n P n+1P n+2的面积,证明:对任意的正整数n,S n=S n+1.【答案】(1)x2=3,y2=0(2)证明见解析(3)证明见解析【分析】(1)直接根据题目中的构造方式计算出P2的坐标即可;(2)根据等比数列的定义即可验证结论;(3)思路一:使用平面向量数量积和等比数列工具,证明S n的取值为与n无关的定值即可.思路二:使用等差数列工具,证明S n的取值为与n无关的定值即可.【详解】(1)由已知有m=52-42=9,故C的方程为x2-y2=9.当k=12时,过P15,4且斜率为12的直线为y=x+32,与x2-y2=9联立得到x2-x+322=9.解得x=-3或x=5,所以该直线与C的不同于P1的交点为Q1-3,0,该点显然在C的左支上.故P23,0,从而x2=3,y2=0.(2)由于过P n x n,y n且斜率为k的直线为y=k x-x n+y n,与x2-y2=9联立,得到方程x2-k x-x n+y n2=9.展开即得1-k2x2-2k y n-kx nx-y n-kx n2-9=0,由于P n x n,y n已经是直线y=k x-x n+y n和x2 -y2=9的公共点,故方程必有一根x=x n.从而根据韦达定理,另一根x =2k y n -kx n 1-k 2-x n =2ky n -x n -k 2x n1-k 2,相应的y =k x -x n +y n =y n +k 2y n -2kx n1-k 2.所以该直线与C 的不同于P n 的交点为Q n 2ky n -x n -k 2x n 1-k 2,y n +k 2y n -2kx n1-k 2,而注意到Q n 的横坐标亦可通过韦达定理表示为-y n -kx n 2-91-k 2x n,故Q n 一定在C 的左支上.所以P n +1x n +k 2x n -2ky n 1-k 2,y n +k 2y n -2kx n1-k 2.这就得到x n +1=x n +k 2x n -2ky n 1-k 2,y n +1=y n +k 2y n -2kx n1-k 2.所以x n +1-y n +1=x n +k 2x n -2ky n 1-k 2-y n +k 2y n -2kx n1-k 2=x n +k 2x n +2kx n 1-k 2-y n +k 2y n +2ky n 1-k 2=1+k 2+2k 1-k2x n -y n =1+k1-k x n -y n .再由x 21-y 21=9,就知道x 1-y 1≠0,所以数列x n -y n 是公比为1+k 1-k 的等比数列.(3)方法一:先证明一个结论:对平面上三个点U ,V ,W ,若UV =a ,b ,UW=c ,d ,则S △UVW =12ad -bc .(若U ,V ,W 在同一条直线上,约定S △UVW =0)证明:S △UVW =12UV⋅UW sin UV ,UW =12UV ⋅UW 1-cos 2UV ,UW=12UV ⋅UW 1-UV ⋅UW UV ⋅UW2=12UV 2⋅UW 2-UV ⋅UW 2=12a 2+b 2 c 2+d 2 -ac +bd 2=12a 2c 2+a 2d 2+b 2c 2+b 2d 2-a 2c 2-b 2d 2-2abcd =12a 2d 2+b 2c 2-2abcd =12ad -bc 2=12ad -bc .证毕,回到原题.由于上一小问已经得到x n +1=x n +k 2x n -2ky n 1-k 2,y n +1=y n +k 2y n -2kx n1-k 2,故x n +1+y n +1=x n +k 2x n -2ky n 1-k 2+y n +k 2y n -2kx n 1-k 2=1+k 2-2k 1-k2x n +y n =1-k1+k x n +y n .再由x 21-y 21=9,就知道x 1+y 1≠0,所以数列x n +y n 是公比为1-k 1+k的等比数列.所以对任意的正整数m ,都有x n y n +m -y n x n +m=12x n x n +m -y n y n +m +x n y n +m -y n x n +m -12x n x n +m -y n y n +m -x n y n +m -y n x n +m =12x n -y n x n +m +y n +m -12x n +y n x n +m -y n +m =121-k 1+k m x n -y n x n +y n-121+k 1-k m x n +y n x n -y n =121-k 1+k m -1+k 1-k m x 2n -y 2n=921-k 1+k m -1+k 1-k m.而又有P n +1P n =-x n +1-x n ,-y n +1-y n ,P n +1P n +2 =x n +2-x n +1,y n +2-y n +1 ,故利用前面已经证明的结论即得S n =S △P n P n +1P n +2=12-x n +1-x n y n +2-y n +1 +y n +1-y n x n +2-x n +1=12x n +1-x n y n +2-y n +1 -y n +1-y n x n +2-x n +1=12x n +1y n +2-y n +1x n +2 +x n y n +1-y n x n +1 -x n y n +2-y n x n +2=12921-k 1+k -1+k 1-k +921-k 1+k -1+k 1-k -921-k 1+k 2-1+k 1-k 2 .这就表明S n 的取值是与n 无关的定值,所以S n =S n +1.方法二:由于上一小问已经得到x n +1=x n +k 2x n -2ky n 1-k 2,y n +1=y n +k 2y n -2kx n1-k 2,故x n +1+y n +1=x n +k 2x n -2ky n 1-k 2+y n +k 2y n -2kx n 1-k 2=1+k 2-2k 1-k 2x n +y n=1-k1+k x n +y n .再由x 21-y 21=9,就知道x 1+y 1≠0,所以数列x n +y n 是公比为1-k 1+k的等比数列.所以对任意的正整数m ,都有x n y n +m -y n x n +m=12x n x n +m -y n y n +m +x n y n +m -y n x n +m -12x n x n +m -y n y n +m -x n y n +m -y n x n +m =12x n -y n x n +m +y n +m -12x n +y n x n +m -y n +m =121-k 1+k m x n -y n x n +y n -121+k 1-k m x n +y n x n -y n =121-k 1+k m -1+k 1-k m x 2n -y 2n =921-k 1+k m -1+k 1-k m.这就得到x n +2y n +3-y n +2x n +3=921-k 1+k -1+k1-k =x n y n +1-y n x n +1,以及x n +1y n +3-y n +1x n +3=921-k 1+k 2-1+k 1-k 2=x n y n +2-y n x n +2.两式相减,即得x n +2y n +3-y n +2x n +3 -x n +1y n +3-y n +1x n +3 =x n y n +1-y n x n +1 -x n y n +2-y n x n +2 .移项得到x n +2y n +3-y n x n +2-x n +1y n +3+y n x n +1=y n +2x n +3-x n y n +2-y n +1x n +3+x n y n +1.故y n +3-y n x n +2-x n +1 =y n +2-y n +1 x n +3-x n .而P n P n +3 =x n +3-x n ,y n +3-y n ,P n +1P n +2 =x n +2-x n +1,y n +2-y n +1 .所以P n P n +3 和P n +1P n +2平行,这就得到S △P n P n +1P n +2=S △P n +1P n +2P n +3,即S n =S n +1.【点睛】关键点点睛:本题的关键在于将解析几何和数列知识的结合,需要综合运用多方面知识方可得解.8(全国甲卷数学(文))已知等比数列a n 的前n 项和为S n ,且2S n =3a n +1-3.(1)求a n 的通项公式;(2)求数列S n 的通项公式.【答案】(1)a n =53n -1(2)3253 n -32【分析】(1)利用退位法可求公比,再求出首项后可求通项;(2)利用等比数列的求和公式可求S n .【详解】(1)因为2S n =3a n +1-3,故2S n -1=3a n -3,所以2a n =3a n +1-3a n n ≥2 即5a n =3a n +1故等比数列的公比为q =53,故2a 1=3a 2-3=3a 1×53-3=5a 1-3,故a 1=1,故a n =53n -1.(2)由等比数列求和公式得S n =1×1-53 n1-53=3253 n -32.9(全国甲卷数学(理))记S n 为数列a n 的前n 项和,且4S n =3a n +4.(1)求a n 的通项公式;(2)设b n =(-1)n -1na n ,求数列b n 的前n 项和为T n .【答案】(1)a n =4⋅(-3)n -1(2)T n =(2n -1)⋅3n +1【分析】(1)利用退位法可求a n 的通项公式.(2)利用错位相减法可求T n .【详解】(1)当n =1时,4S 1=4a 1=3a 1+4,解得a 1=4.当n ≥2时,4S n -1=3a n -1+4,所以4S n -4S n -1=4a n =3a n -3a n -1即a n =-3a n -1,而a 1=4≠0,故a n ≠0,故an a n -1=-3,∴数列a n 是以4为首项,-3为公比的等比数列,所以a n =4⋅-3 n -1.(2)b n =(-1)n -1⋅n ⋅4⋅(-3)n -1=4n ⋅3n -1,所以T n =b 1+b 2+b 3+⋯+b n =4⋅30+8⋅31+12⋅32+⋯+4n ⋅3n -1故3T n =4⋅31+8⋅32+12⋅33+⋯+4n ⋅3n所以-2T n =4+4⋅31+4⋅32+⋯+4⋅3n -1-4n ⋅3n=4+4⋅31-3n -11-3-4n ⋅3n =4+2⋅3⋅3n -1-1 -4n ⋅3n=(2-4n )⋅3n -2,∴T n =(2n -1)⋅3n +1.10(新高考北京卷)设集合M =i ,j ,s ,t i ∈1,2 ,j ∈3,4 ,s ∈5,6 ,t ∈7,8 ,2i +j +s +t .对于给定有穷数列A :a n 1≤n ≤8 ,及序列Ω:ω1,ω2,...,ωs ,ωk =i k ,j k ,s k ,t k ∈M ,定义变换T :将数列A 的第i 1,j 1,s 1,t 1项加1,得到数列T 1A ;将数列T 1A 的第i 2,j 2,s 2,t 2列加1,得到数列T 2T 1A ⋯;重复上述操作,得到数列T s ...T 2T 1A ,记为ΩA .(1)给定数列A :1,3,2,4,6,3,1,9和序列Ω:1,3,5,7 ,2,4,6,8 ,1,3,5,7 ,写出ΩA ;(2)是否存在序列Ω,使得ΩA 为a 1+2,a 2+6,a 3+4,a 4+2,a 5+8,a 6+2,a 7+4,a 8+4,若存在,写出一个符合条件的Ω;若不存在,请说明理由;(3)若数列A 的各项均为正整数,且a 1+a 3+a 5+a 7为偶数,证明:“存在序列Ω,使得ΩA 为常数列”的充要条件为“a 1+a 2=a 3+a 4=a 5+a 6=a 7+a 8”.【答案】(1)ΩA :3,4,4,5,8,4,3,10(2)不存在符合条件的Ω,理由见解析(3)证明见解析【分析】(1)直接按照ΩA 的定义写出ΩA 即可;(2)利用反证法,假设存在符合条件的Ω,由此列出方程组,进一步说明方程组无解即可;(3)分充分性和必要性两方面论证.【详解】(1)由题意得ΩA :3,4,4,5,8,4,3,10;(2)假设存在符合条件的Ω,可知ΩA 的第1,2项之和为a 1+a 2+s ,第3,4项之和为a 3+a 4+s ,则a 1+2 +a 2+6 =a 1+a 2+sa 3+4 +a 4+2 =a 3+a 4+s,而该方程组无解,故假设不成立,故不存在符合条件的Ω;(3)我们设序列T k ...T 2T 1A 为a k ,n 1≤n ≤8 ,特别规定a 0,n =a n 1≤n ≤8 .必要性:若存在序列Ω:ω1,ω2,...,ωs ,使得ΩA 为常数列.则a s ,1=a s ,2=a s ,3=a s ,4=a s ,5=a s ,6=a s ,7=a s ,8,所以a s ,1+a s ,2=a s ,3+a s ,4=a s ,5+a s ,6=a s ,7+a s ,8.根据T k ...T 2T 1A 的定义,显然有a k ,2j -1+a k ,2j =a k -1,2j -1+a k -1,2j ,这里j =1,2,3,4,k =1,2,....所以不断使用该式就得到,a 1+a 2=a 3+a 4=a 5+a 6=a 7+a 8,必要性得证.充分性:若a 1+a 2=a 3+a 4=a 5+a 6=a 7+a 8.由已知,a 1+a 3+a 5+a 7为偶数,而a 1+a 2=a 3+a 4=a 5+a 6=a 7+a 8,所以a 2+a 4+a 6+a 8=4a 1+a 2 -a 1+a 3+a 5+a 7 也是偶数.我们设T s ...T 2T 1A 是通过合法的序列Ω的变换能得到的所有可能的数列ΩA 中,使得a s ,1-a s ,2 +a s ,3-a s ,4 +a s ,5-a s ,6 +a s ,7-a s ,8 最小的一个.上面已经证明a k ,2j -1+a k ,2j =a k -1,2j -1+a k -1,2j ,这里j =1,2,3,4,k =1,2,....从而由a 1+a 2=a 3+a 4=a 5+a 6=a 7+a 8可得a s ,1+a s ,2=a s ,3+a s ,4=a s ,5+a s ,6=a s ,7+a s ,8.同时,由于i k +j k +s k +t k 总是偶数,所以a k ,1+a k ,3+a k ,5+a k ,7和a k ,2+a k ,4+a k ,6+a k ,8的奇偶性保持不变,从而a s ,1+a s ,3+a s ,5+a s ,7和a s ,2+a s ,4+a s ,6+a s ,8都是偶数.下面证明不存在j =1,2,3,4使得a s ,2j -1-a s ,2j ≥2.假设存在,根据对称性,不妨设j =1,a s ,2j -1-a s ,2j ≥2,即a s ,1-a s ,2≥2.情况1:若a s ,3-a s ,4 +a s ,5-a s ,6 +a s ,7-a s ,8 =0,则由a s ,1+a s ,3+a s ,5+a s ,7和a s ,2+a s ,4+a s ,6+a s ,8都是偶数,知a s ,1-a s ,2≥4.对该数列连续作四次变换2,3,5,8 ,2,4,6,8 ,2,3,6,7 ,2,4,5,7 后,新的a s +4,1-a s +4,2 +a s +4,3-a s +4,4 +a s +4,5-a s +4,6 +a s +4,7-a s +4,8 相比原来的a s ,1-a s ,2 +a s ,3-a s ,4 +a s ,5-a s ,6 +a s ,7-a s ,8 减少4,这与a s ,1-a s ,2 +a s ,3-a s ,4 +a s ,5-a s ,6 +a s ,7-a s ,8 的最小性矛盾;情况2:若a s ,3-a s ,4 +a s ,5-a s ,6 +a s ,7-a s ,8 >0,不妨设a s ,3-a s ,4 >0.情况2-1:如果a s ,3-a s ,4≥1,则对该数列连续作两次变换2,4,5,7 ,2,4,6,8 后,新的a s +2,1-a s +2,2 +a s +2,3-a s +2,4 +a s +2,5-a s +2,6 +a s +2,7-a s +2,8 相比原来的a s ,1-a s ,2 +a s ,3-a s ,4 +a s ,5-a s ,6 +a s ,7-a s ,8 至少减少2,这与a s ,1-a s ,2 +a s ,3-a s ,4 +a s ,5-a s ,6 +a s ,7-a s ,8 的最小性矛盾;情况2-2:如果a s ,4-a s ,3≥1,则对该数列连续作两次变换2,3,5,8 ,2,3,6,7 后,新的a s +2,1-a s +2,2 +a s +2,3-a s +2,4 +a s +2,5-a s +2,6 +a s +2,7-a s +2,8 相比原来的a s ,1-a s ,2 +a s ,3-a s ,4 +a s ,5-a s ,6 +a s ,7-a s ,8 至少减少2,这与a s ,1-a s ,2 +a s ,3-a s ,4 +a s ,5-a s ,6 +a s ,7-a s ,8 的最小性矛盾.这就说明无论如何都会导致矛盾,所以对任意的j =1,2,3,4都有a s ,2j -1-a s ,2j ≤1.假设存在j =1,2,3,4使得a s ,2j -1-a s ,2j =1,则a s ,2j -1+a s ,2j 是奇数,所以a s ,1+a s ,2=a s ,3+a s ,4=a s ,5+a s ,6=a s ,7+a s ,8都是奇数,设为2N +1.则此时对任意j =1,2,3,4,由a s ,2j -1-a s ,2j ≤1可知必有a s ,2j -1,a s ,2j =N ,N +1 .而a s ,1+a s ,3+a s ,5+a s ,7和a s ,2+a s ,4+a s ,6+a s ,8都是偶数,故集合m a s ,m =N 中的四个元素i ,j ,s ,t 之和为偶数,对该数列进行一次变换i ,j ,s ,t ,则该数列成为常数列,新的a s +1,1-a s +1,2 +a s +1,3-a s +1,4 +a s +1,5-a s +1,6 +a s +1,7-a s +1,8 等于零,比原来的a s ,1-a s ,2 +a s ,3-a s ,4 +a s ,5-a s ,6 +a s ,7-a s ,8 更小,这与a s ,1-a s ,2 +a s ,3-a s ,4 +a s ,5-a s ,6 +a s ,7-a s ,8 的最小性矛盾.综上,只可能a s ,2j -1-a s ,2j =0j =1,2,3,4 ,而a s ,1+a s ,2=a s ,3+a s ,4=a s ,5+a s ,6=a s ,7+a s ,8,故a s ,n =ΩA 是常数列,充分性得证.【点睛】关键点点睛:本题第三问的关键在于对新定义的理解,以及对其本质的分析.11(新高考天津卷)已知数列a n 是公比大于0的等比数列.其前n 项和为S n .若a 1=1,S 2=a 3-1.(1)求数列a n 前n 项和S n ;(2)设b n =k ,n =a kb n -1+2k ,a k <n <a k +1,b 1=1,其中k 是大于1的正整数.(ⅰ)当n =a k +1时,求证:b n -1≥a k ⋅b n ;(ⅱ)求S ni =1b i .【答案】(1)S n =2n -1(2)①证明见详解;②S ni =1b i =3n -1 4n+19【分析】(1)设等比数列a n 的公比为q >0,根据题意结合等比数列通项公式求q ,再结合等比数列求和公式分析求解;(2)①根据题意分析可知a k =2k -1,b n =k +1,b n -1=k 2k -1 ,利用作差法分析证明;②根据题意结合等差数列求和公式可得∑2k -1i =2k -1b i =193k -1 4k -3k -4 4k -1,再结合裂项相消法分析求解.【详解】(1)设等比数列a n 的公比为q >0,因为a 1=1,S 2=a 3-1,即a 1+a 2=a 3-1,可得1+q =q 2-1,整理得q 2-q -2=0,解得q =2或q =-1(舍去),所以S n =1-2n1-2=2n -1.(2)(i )由(1)可知a n =2n -1,且k ∈N *,k ≥2,当n =a k +1=2k≥4时,则a k =2k -1<2k -1=n -1n -1=a k +1-1<a k +1 ,即a k <n -1<a k +1可知a k =2k -1,b n =k +1,b n -1=b a k+a k +1-a k -1 ⋅2k =k +2k 2k -1-1 =k 2k -1 ,可得b n -1-a k ⋅b n =k 2k -1 -k +1 2k -1=k -1 2k -1-k ≥2k -1 -k =k -2≥0,当且仅当k =2时,等号成立,所以b n -1≥a k ⋅b n ;(ii )由(1)可知:S n =2n -1=a n +1-1,若n =1,则S 1=1,b 1=1;若n ≥2,则a k +1-a k =2k -1,当2k -1<i ≤2k -1时,b i -b i -1=2k ,可知b i 为等差数列,可得∑2k -1i =2k -1b i =k ⋅2k -1+2k 2k -12k -1-1 2=k ⋅4k -1=193k -1 4k -3k -4 4k -1 ,所以∑S ni =1b i =1+195×42-2×4+8×43-5×42+⋅⋅⋅+3n -1 4n -3n -4 4n -1=3n -1 4n+19,且n =1,符合上式,综上所述:∑Sni =1b i =3n -1 4n +19.【点睛】关键点点睛:1.分析可知当2k -1<i ≤2k -1时,b i -b i -1=2k ,可知b i 为等差数列;2.根据等差数列求和分析可得∑2k -1i =2k -1b i =193k -1 4k -3k -4 4k -1.12(新高考上海卷)若f x =log a x (a >0,a ≠1).(1)y =f x 过4,2 ,求f 2x -2 <f x 的解集;(2)存在x 使得f x +1 、f ax 、f x +2 成等差数列,求a 的取值范围.【答案】(1)x |1<x <2 (2)a >1【分析】(1)求出底数a ,再根据对数函数的单调性可求不等式的解;(2)存在x 使得f x +1 、f ax 、f x +2 成等差数列等价于a 2=21x +342-18在0,+∞ 上有解,利用换元法结合二次函数的性质可求a 的取值范围.【详解】(1)因为y =f x 的图象过4,2 ,故log a 4=2,故a 2=4即a =2(负的舍去),而f x =log 2x 在0,+∞ 上为增函数,故f 2x -2 <f x ,故0<2x -2<x 即1<x <2,故f 2x -2 <f x 的解集为x |1<x <2 .(2)因为存在x 使得f x +1 、f ax 、f x +2 成等差数列,故2f ax =f x +1 +f x +2 有解,故2log a ax =log a x +1 +log a x +2 ,因为a >0,a ≠1,故x >0,故a 2x 2=x +1 x +2 在0,+∞ 上有解,由a 2=x 2+3x +2x 2=1+3x +2x 2=21x +34 2-18在0,+∞ 上有解,令t =1x ∈0,+∞ ,而y =2t +34 2-18在0,+∞ 上的值域为1,+∞ ,故a 2>1即a >1.一、单选题1(2024·重庆·三模)已知数列a n 的前n 项和为S n ,a 1=1,S n +S n +1=n 2+1n ∈N ∗ ,S 24=()A.276B.272C.268D.266【答案】A【分析】令n =1得S 2=1,当n ≥2时,结合题干作差得S n +1-S n -1=2n -1,从而利用累加法求解S 24=即可.【详解】∵a 1=S 1=1,又∵S n +S n +1=n 2+1,当n =1时,S 1+S 2=12+1=2,解得S 2=1;当n ≥2时,S n -1+S n =(n -1)2+1,作差得S n +1-S n -1=2n -1,∴S 24=S 24-S 22 +S 22-S 20 +⋯+S 4-S 2 +S 2=223+21+⋯+3 -11+1=276.故选:A2(2024·河北张家口·三模)已知数列a n的前n项和为S n,且满足a1=1,a n+1=a n+1,n为奇数2a n,n为偶数,则S100=()A.3×251-156B.3×251-103C.3×250-156D.3×250-103【答案】A【分析】分奇数项和偶数项求递推关系,然后记b n=a2n+a2n-1,n≥1,利用构造法求得b n=6×2n-1-3,然后分组求和可得.【详解】因为a1=1,a n+1=a n+1,n为奇数2a n,n为偶数 ,所以a2k+2=a2k+1+1=2a2k+1,a2k+1=2a2k=2a2k-1+2,k∈N*,且a2=2,所以a2k+2+a2k+1=2a2k+a2k-1+3,记b n=a2n+a2n-1,n≥1,则b n+1=2b n+3,所以b n+1+3=2b n+3,所以b n+3是以b1+3=a1+a2+3=6为首项,2为公比的等比数列,所以b n+3=6×2n-1,b n=6×2n-1-3,记b n的前n项和为T n,则S100=T50=6×20+6×21+6×22+⋅⋅⋅+6×249-3×50=3×251-156.故选:A【点睛】关键点点睛:本题解题关键在于先分奇数项和偶数项求递推公式,然后再并项得b n的递推公式,利用构造法求通项,将问题转化为求b n的前50项和.3(2024·山东日照·三模)设等差数列b n的前n项和为S n,若b3=2,b7=6,则S9=()A.-36B.36C.-18D.18【答案】B【分析】利用等差数列的前n项和公式,结合等差数列的性质求解.【详解】解:S9=b1+b9×92=b3+b7×92=36,故选:B.4(2024·湖北武汉·二模)已知等差数列a n的前n项和为S n,若S3=9,S9=81,则S12=() A.288 B.144 C.96 D.25【答案】B【分析】利用等差数列的前n项和列方程组求出a1,d,进而即可求解S12.【详解】由题意S3=3a1+3×22d=9S9=9a1+9×82d=81,即a1+d=3a1+4d=9,解得a1=1d=2.于是S12=12×1+12×112×2=144.故选:B.5(2024·江西赣州·二模)在等差数列a n中,a2,a5是方程x2-8x+m=0的两根,则a n的前6项和为()A.48B.24C.12D.8【答案】B【分析】利用韦达定理确定a2+a5=8,根据等差数列性质有a2+a5=a1+a6=8,在应用等差数列前n项和公式即可求解.【详解】因为a 2,a 5是方程x 2-8x +m =0的两根,所以a 2+a 5=8,又因为a n 是等差数列,根据等差数列的性质有:a 2+a 5=a 1+a 6=8,设a n 的前6项和为S 6,则S 6=a 1+a 6 ×62=3×8=24.故选:B6(2024·湖南永州·三模)已知非零数列a n 满足2n a n +1-2n +2a n =0,则a 2024a 2021=()A.8B.16C.32D.64【答案】D【分析】根据题意,由条件可得a n +1=4a n ,再由等比数列的定义即可得到结果.【详解】由2n a n +1-2n +2a n =0可得a n +1=4a n ,则a 2024a 2021=4×4×4a 2021a 2021=64.故选:D7(2024·浙江绍兴·二模)汉诺塔(Tower of Hanoi ),是一个源于印度古老传说的益智玩具. 如图所示,有三根相邻的标号分别为A 、B 、C 的柱子,A 柱子从下到上按金字塔状叠放着n 个不同大小的圆盘,要把所有盘子一个一个移动到柱子B 上,并且每次移动时,同一根柱子上都不能出现大盘子在小盘子的上方,请问至少需要移动多少次?记至少移动次数为H n ,例如:H (1)=1,H (2)=3,则下列说法正确的是()A.H (3)=5B.H (n ) 为等差数列C.H (n )+1 为等比数列D.H 7 <100【答案】C【分析】由题意可得H (3)=7,判断A ;归纳得到H n =2n -1,结合等差数列以及等比数列的概念可判断B ,C ;求出H 7 ,判断D .【详解】由题意知若有1个圆盘,则需移动一次:若有2个圆盘,则移动情况为:A →C ,A →B ,C →B ,需移动3次;若有3个圆盘,则移动情况如下:A →B ,A →C ,B →C ,A →B ,C →A ,C →B ,A →B ,共7次,故H (3)=7,A 错误;由此可知若有n 个圆盘,设至少移动a n 次,则a n =2a n -1+1,所以a n +1=2a n -1+1 ,而a 1+1=1+1=2≠0,故a n +1 为等比数列,故a n =2n -1即H n =2n -1,该式不是n 的一次函数,则H (n ) 不为等差数列,B 错误;又H n =2n -1,则H n +1=2n ,H n +1 +1H n +1=2,则H (n )+1 为等比数列,C 正确,H 7 =27-1=127>100,D 错误,故选:C8(2024·云南曲靖·二模)已知S n 是等比数列a n 的前n 项和,若a 3=3,S 3=9,则数列a n 的公比是()A.-12或1 B.12或1 C.-12D.12【答案】A【分析】分别利用等比数列的通项公式和前n 项和公式,解方程组可得q =1或q =-12.【详解】设等比数列a n 的首项为a 1,公比为q ,依题意得a 3=a 1q 2=3S 3=a 1+a 2+a 3=a 1+a 1q +a 1q 2=9 ,解得q =1或q =-12.故选:A .9(2024·四川·模拟预测)已知数列a n 为等差数列,且a 1+2a 4+3a 9=24,则S 11=()A.33B.44C.66D.88【答案】B【分析】将a 1,a 4,a 9用a 1和d 表示,计算出a 6的值,再由S 11=11a 6得S 11的值.【详解】依题意,a n 是等差数列,设其公差为d ,由a 1+2a 4+3a 9=24,所以a 1+2a 1+3d +3a 1+8d =6a 1+30d =6a 6=24,即a 6=4,S 11=11a 1+10×112d =11a 1+5d =11a 6=11×4=44,故选:B .10(2024·北京东城·二模)设无穷正数数列a n ,如果对任意的正整数n ,都存在唯一的正整数m ,使得a m =a 1+a 2+a 3+⋯+a n ,那么称a n 为内和数列,并令b n =m ,称b n 为a n 的伴随数列,则()A.若a n 为等差数列,则a n 为内和数列B.若a n 为等比数列,则a n 为内和数列C.若内和数列a n 为递增数列,则其伴随数列b n 为递增数列D.若内和数列a n 的伴随数列b n 为递增数列,则a n 为递增数列【答案】C【分析】对于ABD :举反例说明即可;对于C :根据题意分析可得a m 2>a m 1,结合单调性可得m 2>m 1,即可得结果.【详解】对于选项AB :例题a n =1,可知a n 即为等差数列也为等比数列,则a 1+a 2=2,但不存在m ∈N *,使得a m =2,所以a n 不为内和数列,故AB 错误;对于选项C :因为a n >0,对任意n 1,n 2∈N *,n 1<n 2,可知存在m 1,m 2∈N *,使得a m 1=a 1+a 2+a 3+⋯+a n 1,a m 2=a 1+a 2+a 3+⋯+a n 2,则a m 2-a m 1=a n 1+1+a n 1+2+⋯+a n 2>0,即a m 2>a m 1,且内和数列a n 为递增数列,可知m 2>m 1,所以其伴随数列b n 为递增数列,故C 正确;对于选项D :例如2,1,3,4,5,⋅⋅⋅,显然a n 是所有正整数的排列,可知a n 为内和数列,且a n 的伴随数列为递增数列,但an 不是递增数列,故D 错误;故选:C.【点睛】方法点睛:对于新定义问题,要充分理解定义,把定义转化为已经学过的内容,简化理解和运算.11(2024·广东茂名·一模)已知T n为正项数列a n的前n项的乘积,且a1=2,T2n=a n+1n,则a5=() A.16 B.32 C.64 D.128【答案】B【分析】利用给定的递推公式,结合对数运算变形,再构造常数列求出通项即可得解.【详解】由T2n=a n+1n,得T2n+1=a n+2n+1,于是a2n+1=T2n+1T2n=a n+2n+1a n+1n,则a n n+1=a n+1n,两边取对数得n lg a n+1=(n+1)lg a n,因此lg a n+1n+1=lg a nn,数列lg a nn是常数列,则lg a nn=lg a11=lg2,即lg a n=n lg2=lg2n,所以a n=2n,a5=32.故选:B12(2024·湖南常德·一模)已知等比数列a n中,a3⋅a10=1,a6=2,则公比q为()A.12B.2 C.14D.4【答案】C【分析】直接使用已知条件及公比的性质得到结论.【详解】q=1q3⋅q4=a3a6⋅a10a6=a3⋅a10a26=122=14.故选:C.二、多选题13(2024·湖南长沙·三模)设无穷数列a n的前n项和为S n,且a n+a n+2=2a n+1,若存在k∈N∗,使S k+1 >S k+2>S k成立,则()A.a n≤a k+1B.S n≤S k+1C.不等式S n<0的解集为n∈N∗∣n≥2k+3D.对任意给定的实数p,总存在n0∈N∗,当n>n0时,a n<p【答案】BCD【分析】根据题意,得到a k+2<0,a k+1>0,a k+1+a k+2>0且a n是递减数列,结合等差数列的性质以及等差数列的求和公式,逐项判定,即可求解.【详解】由S k+1>S k+2>S k,可得a k+2=S k+2-S k+1<0,a k+1=S k+1-S k>0,且a k+1+a k+2=S k+2-S k>0,即a k+2<0,a k+1>0,a k+1+a k+2>0又由a n+a n+2=2a n+1,可得数列a n是等差数列,公差d=a k+2-a k+1<0,所以a n是递减数列,所以a1是最大项,且随着n的增加,a n无限减小,即a n≤a1,所以A错误、D正确;因为当n≤k+1时,a n>0;当n≥k+2时,a n<0,所以S n的最大值为S k+1,所以B正确;因为S2k+1=(2k+1)(a1+a2k+1)2=(2k+1)a k+1>0,S2k+3=(2k+3)a k+2<0,且S 2k +2=a 1+a 2k +22×2k +2 =k +1 ⋅a k +1+a k +2 >0,所以当n ≤2k +2时,S n >0;当n ≥2k +3时,S n <0,所以C 正确.故选:BCD .14(2024·山东泰安·模拟预测)已知数列a n 的通项公式为a n =92n -7n ∈N *,前n 项和为S n ,则下列说法正确的是()A.数列a n 有最大项a 4B.使a n ∈Z 的项共有4项C.满足a n a n +1a n +2<0的n 值共有2个D.使S n 取得最小值的n 值为4【答案】AC【分析】根据数列的通项公式,作差判断函数的单调性及项的正负判断A ,根据通项公式由整除可判断B ,根据项的正负及不等式判断C ,根据数列项的符号判断D .【详解】对于A :因为a n =92n -7n ∈N *,所以a n +1-a n =92n -5-92n -7=-182n -5 2n -7,令a n +1-a n >0,即2n -5 2n -7 <0,解得52<n <72,又n ∈N *,所以当n =3时a n +1-a n >0,则当1≤n ≤2或n ≥4时,a n +1-a n <0,令a n =92n -7>0,解得n >72,所以a 1=-95>a 2=-3>a 3=-9,a 4>a 5>a 6>⋯>0,所以数列a n 有最大项a 4=9,故A 正确;对于B :由a n ∈Z ,则92n -7∈Z 又n ∈N *,所以n =2或n =3或n =4或n =5或n =8,所以使a n ∈Z 的项共有5项.故B 不正确;对于C :要使a n a n +1a n +2<0,又a n ≠0,所以a n 、a n +1、a n +2中有1个为负值或3个为负值,所以n =1或n =3,故满足a n a n +1a n +2<0的n 的值共有2个,故C 正确;对于D :因为n ≤3时a n <0,n ≥4时a n >0,所以当n =3时S n 取得最小值,故D 不正确.故选:AC .15(2024·山东临沂·二模)已知a n 是等差数列,S n 是其前n 项和,则下列命题为真命题的是()A.若a 3+a 4=9,a 7+a 8=18,则a 1+a 2=5B.若a 2+a 13=4,则S 14=28C.若S 15<0,则S 7>S 8D.若a n 和a n ⋅a n +1 都为递增数列,则a n >0【答案】BC【分析】根据题意,求得d =98,结合a 1+a 2=a 3+a 4 -4d ,可判定A 错误;根据数列的求和公式和等差数列的性质,可判定B 正确;由S 15<0,求得a 8<0,可判定C 正确;根据题意,求得任意的n ≥2,a n >0,结合a 1的正负不确定,可判定D 错误.【详解】对于A 中,由a 3+a 4=9,a 7+a 8=18,可得a 7+a 8 -a 3+a 4 =8d =9,所以d =98,又由a 1+a 2=a 3+a 4 -4d =9-4×98=92,所以A 错误;对于B 中,由S 14=14a 1+a 14 2=14a 2+a 132=28,所以B 正确;对于C 中,由S 15=15(a 1+a 15)2=15a 8<0,所以a 8<0,又因为S 8-S 7=a 8<0,则S 7>S 8,所以C 正确;对于D 中,因为a n 为递增数列,可得公差d >0,因为a n a n +1 为递增数列,可得a n +2a n +1-a n a n +1=a n +1⋅2d >0,所以对任意的n ≥2,a n >0,但a 1的正负不确定,所以D 错误.故选:BC .16(2024·山东泰安·二模)已知等差数列a n 的前n 项和为S n ,a 2=4,S 7=42,则下列说法正确的是()A.a 5=4B.S n =12n 2+52n C.a nn为递减数列 D.1a n a n +1 的前5项和为421【答案】BC【分析】根据给定条件,利用等差数列的性质求出公差d ,再逐项求解判断即可.【详解】等差数列a n 中,S 7=7(a 1+a 7)2=7a 4=42,解得a 4=6,而a 2=4,因此公差d =a 4-a 24-2=1,通项a n =a 2+(n -2)d =n +2,对于A ,a 5=7,A 错误;对于B ,S n =n (3+n +2)2=12n 2+52n ,B 正确;对于C ,a n n =1+2n ,a n n 为递减数列,C 正确;对于D ,1a n a n +1=1(n +2)(n +3)=1n +2-1n +3,所以1a n a n +1 的前5项和为13-14+14-15+⋯+17-18=13-18=524,D 错误.故选:BC17(2024·江西·三模)已知数列a n 满足a 1=1,a n +1=2a n +1,则()A.数列a n 是等比数列B.数列log 2a n +1 是等差数列C.数列a n 的前n 项和为2n +1-n -2D.a 20能被3整除【答案】BCD【分析】利用构造法得到数列a n +1 是等比数列,从而求得通项,就可以判断选项,对于数列求和,可以用分组求和法,等比数列公式求和完成,对于幂的整除性问题可以转化为用二项式定理展开后,再加以证明.【详解】由a n +1=2a n +1可得:a n +1+1=2a n +1 ,所以数列a n +1 是等比数列,即a n =2n -1,则a 1=1,a 2=3,a 3=7,显然有a 1⋅a 3≠a 22,所以a 1,a 2,a 3不成等比数列,故选项A 是错误的;由数列a n +1 是等比数列可得:a n +1=2n ,即log 2a n +1 =log 22n =n ,故选项B 是正确的;由a n =2n -1可得:前n 项和S n =21-1+22-1+23-1+⋅⋅⋅+2n-1=21-2n 1-2-n =2n +1-n -2,故选项C是正确的;由a 20=220-1=3-1 20-1=C 020320+C 120319⋅-1 +C 220318⋅-1 2+⋅⋅⋅+C 19203⋅-1 19+C 2020-1 20-1=3×C 020319+C 120318⋅-1 +C 220317⋅-1 2+⋅⋅⋅+C 1920-1 19 ,故选项D 是正确的;方法二:由210=1024,1024除以3余数是1,所以10242除以3的余数还是1,从而可得220-1能补3整除,故选项D 是正确的;故选:BCD .18(2024·湖北·二模)无穷等比数列a n 的首项为a 1公比为q ,下列条件能使a n 既有最大值,又有最小值的有()A.a 1>0,0<q <1B.a 1>0,-1<q <0C.a 1<0,q =-1D.a 1<0,q <-1【答案】BC【分析】结合选项,利用等比数列单调性分析判断即可.【详解】a 1>0,0<q <1时,等比数列a n 单调递减,故a n 只有最大值a 1,没有最小值;a 1>0,-1<q <0时,等比数列a n 为摆动数列,此时a 1为大值,a 2为最小值;a 1<0,q =-1时,奇数项都相等且小于零,偶数项都相等且大于零,所以等比数列a n 有最大值,也有最小值;a 1<0,q <-1时,因为q >1,所以a n 无最大值,奇数项为负无最小值,偶数项为正无最大值.故选:BC 三、填空题19(2024·山东济南·三模)数列a n 满足a n +2-a n =2,若a 1=1,a 4=4,则数列a n 的前20项的和为.【答案】210【分析】数列a n 的奇数项、偶数项都是等差数列,结合等差数列求和公式、分组求和法即可得解.【详解】数列a n 满足a n +2-a n =2,若a 1=1,a 4=4,则a 2=a 4-2=4-2=2,所以数列a n 的奇数项、偶数项分别构成以1,2为首项,公差均为2的等差数列所以数列a n 的前20项的和为a 1+a 2+⋯+a 20=a 1+a 3+⋯+a 19 +a 2+a 4+⋯+a 20=10×1+10×92×2+10×2+10×92×2=210.故答案为:210.20(2024·云南·二模)记数列a n 的前n 项和为S n ,若a 1=2,2a n +1-3a n =2n ,则a 82+S 8=.【答案】12/0.5【分析】构造得a n +12n -1-4=34a n2n -2-4,从而得到a n 2n -2=4,则a n =2n ,再利用等比数列求和公式代入计算即可.【详解】由2a n +1-3a n =2n ,得a n +12n -1=34×a n 2n -2+1,则a n +12n -1-4=34a n2n -2-4,又a 12-1-4=0,则a n 2n -2=4,则a n =2n ,a 8=28,S 8=21-28 1-2=29-2,a 82+S 8=2829=12,故答案为:12.21(2024·上海·三模)数列a n 满足a n +1=2a n (n 为正整数),且a 2与a 4的等差中项是5,则首项a 1=。
1.(2019·全国卷Ⅰ)记S n 为等差数列{a n }的前n 项和.已知S 4=0,a 5=5,则( )A .a n =2n -5B .a n =3n -10C .S n =2n 2-8nD .S n =12n 2-2n2.(2019·长郡中学联考)已知数列{a n }满足,a n +1+2a n =0,且a 2=2,则{a n }前10项的和等于( )A.1-2103 B .-1-2103 C .210-1D .1-2103.已知等比数列{a n }的首项为1,公比q ≠-1,且a 5+a 4=3(a 3+a 2),则 9a 1a 2a 3…a 9等于( )A .-9B .9C .-81D .81@4.(2018·全国卷Ⅰ)记S n 为等差数列{a n }的前n 项和,若3S 3=S 2+S 4,a 1=2,则a 5=( )A .-12B .-10C .10D .125.(2019·山东省实验中学联考)已知等差数列{a n }的公差不为零,S n 为其前n 项和,S 3=9,且a 2-1,a 3-1,a 5-1构成等比数列,则S 5=( )A .15B .-15C .30D .25二、填空题6.(2019·北京卷)设等差数列{a n }的前n 项和为S n .若a 2=-3,S 5=-10,则a 5=________,S n 的最小值为________.7.中国古代数学著作《算法统宗》中有这样一个问题:“三百七十八里关,初行健步不为难,次日脚痛减一半,六朝才得到其关,要见次日行里数,请公仔细算相还.”其意思为:“有一个人走378里路,第一天健步行走,从第二天起脚痛每天走的路程为前一天的一半,走了6天才到达目的地.”则此人第4天走的里程是________里.8.(2019·雅礼中学调研)若数列{a n }的首项a 1=2,且a n +1=3a n+2(n ∈N *).令b n =log 3(a n +1),则b 1+b 2+b 3+…+b 100=________. :三、解答题9.(2019·全国卷Ⅰ)记S n 为等差数列{a n }的前n 项和.已知S 9=-a 5.(1)若a 3=4,求{a n }的通项公式;(2)若a 1>0,求使得S n ≥a n 的n 的取值范围.10.已知数列{a n }是等比数列,并且a 1,a 2+1,a 3是公差为-3的等差数列.(1)求数列{a n }的通项公式;(2)设b n =a 2n ,记S n 为数列{b n }的前n 项和,证明:S n <163.?B 级 能力提升11.(2019·广州调研)已知等差数列{a n }的公差d ≠0,且a 1,a 3,a 13成等比数列,若a 1=1,S n 是数列{a n }的前n 项和,则2S n +16a n +3(n ∈N *)的最小值为( )A .4B .3C .23-2D.9212.设等差数列{a n }的前n 项和为S n ,a =(a 1,1),b =(1,a 10),若a ·b =24,且S 11=143,数列{b n }的前n 项和为T n ,且满足2a n -1=λT n -(a 1-1)(n ∈N *).(1)求数列{a n }的通项公式及数列⎩⎨⎧⎭⎬⎫1a n a n +1的前n 项和M n ;(2)是否存在非零实数λ,使得数列{b n }为等比数列?并说明理由.)1.解析:设首项为a 1,公差为d .由S 4=0,a 5=5可得⎩⎪⎨⎪⎧a 1+4d =5,4a 1+6d =0,解得⎩⎪⎨⎪⎧a 1=-3,d =2.@所以a n =-3+2(n -1)=2n -5,S n =n ×(-3)+n (n -1)2×2=n 2-4n . 答案:A2.解析:由题意得,a n +1+2a n =0,则a n +1a n=-2,即数列是公比为-2的等比数列,又a 2=2,所以a 1=-1,所以{a n }前10项的和等于S 10=a 1(1-q 10)1-q=-1-2103.答案:B3.解析:根据题意可知a 5+a 4a 3+a 2=q 2=3,则9a 1a 2a 3…a 9= 9a 95=a 5=a 1·q 4=1×32=9.答案:B【4.解析:设等差数列{a n }的公差为d ,因为3S 3=S 2+S 4,所以3⎣⎢⎡⎦⎥⎤3a 1+3×(3-1)2×d =2a 1+2×(2-1)2×d +4a 1+4×(4-1)2d ,解得d =-32a 1, 因为a 1=2,所以d =-3,所以a 5=a 1+4d =2+4×(-3)=-10. 答案:B5.解析:设数列{a n }的公差为d (d ≠0), 由S 3=3a 2=9,得a 2=3.又a 2-1,a 3-1,a 5-1成等比数列,;所以(a 3-1)2=(a 2-1)(a 5-1),则(2+d )2=2(2+3d ),所以d =2,则a 3=a 2+d =5,故S 5=5a 3=25. 答案:D 二、填空题6.解析:因为a 2=a 1+d =-3,S 5=5a 1+10d =-10, 所以a 1=-4,d =1, 所以a 5=a 1+4d =0, 所以a n =a 1+(n -1)d =n -5. `令a n <0,则n <5,即数列{a n }中前4项为负,a 5=0,第6项及以后为正,所以S n 的最小值为S 4=S 5=-10. 答案:0 -107.解析:由题意,每天走的路程构成公比为12的等比数列.设等比数列的首项为a 1,则a 1⎝ ⎛⎭⎪⎫1-1261-12=378, 所以a 1=192.因此a 4=192×⎝ ⎛⎭⎪⎫123=24.答案:24—8.解析:由a n +1=3a n +2(n ∈N *)可知a n +1+1=3(a n +1),所以{a n +1}是以3为首项,3为公比的等比数列, 所以a n +1=3n ,a n =3n -1. 所以b n =log 3(a n +1)=n ,所以b 1+b 2+b 3+…+b 100=100(1+100)2=5 050. 答案:5 050 三、解答题9.解:(1)设{a n }的公差为d . 】由S 9=-a 5得a 1+4d =0.由a 3=4得a 1+2d =4. 于是a 1=8,d =-2.因此{a n }的通项公式为a n =10-2n . (2)由(1)得a 1=-4d ,故a n =(n -5)d , S n =n (n -9)d 2. 由a 1>0知d <0,故S n ≥a n 等价于n 2-11n +10≤0,解得1≤n ≤10,所以n 的取值范围是{n |1≤n ≤10,n ∈N *}.<10.(1)解:设等比数列{a n }的公比为q ,因为a 1,a 2+1,a 3是公差为-3的等差数列,所以⎩⎪⎨⎪⎧a 2+1=a 1-3,a 3=(a 2+1)-3,即⎩⎪⎨⎪⎧a 1q -a 1=-4,a 1q 2-a 1q =-2,解得⎩⎨⎧a 1=8,q =12.所以a n =a 1qn -1=8×⎝ ⎛⎭⎪⎫12n -1=24-n .(2)证明:因为b n +1b n =a 2n +2a 2n=14,所以数列{b n }是以b 1=a 2=4为首项,14为公比的等比数列.所以S n =4⎣⎢⎡⎦⎥⎤1-⎝ ⎛⎭⎪⎫14n 1-14=163·⎣⎢⎡⎦⎥⎤1-⎝ ⎛⎭⎪⎫14n <163. 、B 级 能力提升11.解析:依题意a 23=a 1a 13,即(1+2d )2=1+12d ,解得d =2.因此a n =2n -1,S n =n 2.则2S n +16a n +3=2n 2+162n +2=n 2+8n +1=(n +1)2-2(n +1)+9n +1=(n +1)+9n +1-2≥2(n +1)×9n +1-2=4,当且仅当n =2时取得最小值4.答案:A12.解:(1)设数列{a n }的公差为d , 由a =(a 1,1),b =(1,a 10),a ·b =24,)得a 1+a 10=24,又S 11=143,解得a 1=3,d =2,因此数列{a n }的通项公式是a n =2n +1(n ∈N *), 所以1a n a n +1=1(2n +1)(2n +3)=12⎝⎛⎭⎪⎫12n +1-12n +3, 所以M n =12⎝ ⎛⎭⎪⎫13-15+15-17+…+12n +1-12n +3=n6n +9(n ∈N *). (2)因为2a n -1=λT n -(a 1-1)(n ∈N *),且a 1=3, 所以T n =4n λ+2λ, 当n =1时,b 1=6λ;当n ≥2时,b n =T n -T n -1=3·4n -1λ, 此时有b nb n -1=4,若{b n }是等比数列,则有b 2b 1=4,而b 1=6λ,b 2=12λ,彼此相矛盾,故不存在非零实数λ使数列{b n }为等比数列.。
专题04 数列求通项(隔项等差(等比)数列)(典型例题+题型归类练)一、必备秘籍1、隔项等差数列已知数列{}n a ,满足1()(1)n n a a f n ++=----,则21(1)(2)n n a a f n +++=+----;1(1)(3)n n a a f n -+=-----2(2)(1):n n a a d +--=(其中d 为常数);或11(1)(3):(2)n n a a d n +---=≥则称数列{}n a 为隔项等差数列,其中: ①1357,,,a a a a 构成以1a 为首项的等差数列,公差为d ; ②2468,,,a a a a 构成以2a 为首项的等差数列,公差为d ;2、隔项等比数列已知数列{}n a ,满足1()(1)n n a a f n +⋅=----,则21(1)(2)n n a a f n ++⋅=+----;1(1)(3)n n a a f n -⋅=-----2(2):(1)n n a q a +=(其中q 为常数);或11(1):(2)(3)n n a q n a +-=≥则称数列{}n a 为隔项等比数列,其中: ①1357,,,a a a a 构成以1a 为首项的等比数列,公比为q ; ②2468,,,a a a a 构成以2a 为首项的等比数列,公比为q ;二、典型例题角度1:隔项等差数列例题1.(2022·四川眉山·三模(文))已知数列{}n a ,11a =,14n n a a n ++=,求{}n a 的通项公式;思路点拨:根据题意:,可推出,两式作差,判断为隔项等差数列解答过程:由,可推出,两式作差()所以是隔项等差数列:①构成以为首项的等差数列,公差为;②构成以为首项的等差数列,公差为;下结论求通项当为奇数:为第项:求通项当为偶数:为第项:综上:无论为奇数还是偶数:.核心秘籍对于本例中作为一个模型直接记忆,考试遇到判断为隔项等差数列.便于快速求解特别注意分奇偶时,判断是第几项【答案】(1)=21n a n -因为14n n a a n ++= 所以14(1)(2)n n a a n n -+=-≥, 两式相减得114n n a a +--=,所以{}n a 是隔项等差数列, 124a a +=且11a =, 所以11()=212n n a a d n -=+-(n 为奇数), 22()=212n n a a d n -=+-(n 为偶数), 所以=21n a n -.例题2.(2022·安徽·淮南第二中学高二开学考试)已知各项均为正数的数列{}n a 的前n 项和为n S ,且()112*n n n n N S a a +=∈⋅,11a =.求数列{}n a 的通项公式;思路点拨:根据题意:,可推出,两式作差,判断为隔项等差数列解答过程:由,可推出,及两式作差∵,∴.所以是隔项等差数列:①构成以为首项的等差数列,公差为; ②构成以为首项的等差数列,公差为;下结论求通项当为奇数:为第项:求通项当为偶数:为第项:综上:无论为奇数还是偶数:.【答案】()*n a n n N =∈由题意得,12n n n S a a +=⋅,则1122n n n S a a +++=⋅,两式相减得()1122n n n n a a a a +++=-, ∵10n a +>,∵22n n a a +-=.∵11a =,∵当()21N*n k k =-∈,()2112121n k a a k k n -==+-=-=, 又1122S a a =,∵22a =,∵当()2N*n k k =∈时,()22212n k a a k k n ==+-==. 综上,()N*n a n n =∈.角度2:隔项等比数列例题3.(2022·山东·肥城市教学研究中心模拟预测)已知数列{}n a 满足11a =,19nn n a a +⋅=,N n *∈.求数列{}n a 的通项公式n a ;思路点拨:根据题意:,可推出,两式作商,判断为隔项等比数列解答过程:由,可推出,两式作商所以是隔项等比数列:①构成以为首项的等比数列,公比为; ②构成以为首项的等比数列,公比为;下结论求通项当为奇数:为第项:求通项当为偶数:为第项:综上:.【答案】(1)13,3,n n nn a n -⎧=⎨⎩为奇数为偶数 解:由题意,当1n =时,129a a =,可得29a =,因为19n n n a a +⋅=,可得1129n n n a .a +++=,所以,29n na a +=, 所以数列{}n a 的奇数项和偶数项都是公比为9的等比数列.所以当n 为奇数时,设()21N n k k *=-∈,则1221211933k k n n k a a ----==⋅==, 当n 为偶数时,设()2N n k k *=∈,则12299933k k k nn k a a -==⋅===.因此,13,3,n n nn a n -⎧=⎨⎩为奇数为偶数. 三、题型归类练1.在数列{an }中,若()1121nn n a a n ++--=,则数列{an }的前12项和等于_________. 【答案】78因为()1121nn n a a n ++-=-,所以211a a -=,323a a +=,435a a -=,547a a +=,659a a -=,76a a +=11,87a a -=13,98a a +=15,109a a -=17,1110a a +=19,1211a a -=21.从第一个式子开始,相邻的两个式子作差得: 1357911a a a a a a +++===2.从第二个式子开始,相邻的两个式子相加得: 42681012a a a a a a +++=8,=24,=40,把以上的式子依次相加可得: 12121112S a a a a =++++()()()()()()135791124681012a a a a a a a a a a a a =+++++++++++22282440+=++++=78.核心秘籍对于本例中作为一个模型直接记忆,考试遇到判断为隔项等比数列.便于快速求解特别注意分奇偶时,判断是第几项故答案为:78.2.秋末冬初,流感盛行,某医院近30天每天入院治疗流感的人数依次构成数列{}n a ,已知11a =,22a =,且()*21(1)n n n a a n N +-=+-∈,则该医院第5天入院治疗流感的人数有________人;则该医院30天内入院治疗流感的人数共有________人. 【答案】 1 25511a =,22a =,且()*21(1)n n n a a n N +-=+-∈1n =时,31301a a a =⇒-=,2n =时,42424a a a =⇒-=,3n =时,53501a a a =⇒-=,观察可知{}n a 奇数项是1的常数列,偶数项是首项为2,公差为2的等差数列. 30(230)151152552S故答案为: 1 ;2553.(2022·广东·三模)已知数列{n a }的前n 项和n S ,11a =,0n a >,141n n n a a S +=-.计算2a 的值,求{n a }的通项公式;【答案】3,21n a n =-当1n =时,12141a a a =-,解得23a = 由题知141n n n a a S +=- ① 12141n n n a a S +++=- ②由②-①得()1214n n n n a a a a +++-=, 因为0n a >,所以24n n a a +-=所以数列{}n a 的奇数项是以11a =为首项,以4为公差的等差数列;偶数项是以23a =为首项,以4为公差的等差数列;当n 为奇数时,1114212n n a n +⎛⎫=+-⨯=- ⎪⎝⎭ 当n 为偶数时,314212n n a n ⎛⎫=+-⨯=- ⎪⎝⎭所以{}n a 的通项公式21n a n =-.4.(2022·新疆·一模(理))已知数列{}n a 满足2122a a ==,1294n n n a a -+=+⋅.求数列{}n a 的通项公式;【答案】()()113241N 55n n n a n +-*=⋅+-⋅∈;依题意,121,2a a ==,由1294n n n a a -+=+⋅得:1294n n n a a -+-=⋅,则当n 为奇数,3n ≥时,()()()131532n n n a a a a a a a a -=+-+-+-⋅⋅⋅+()32232144191441914n n ---⋅=+++⋅⋅⋅+=+⋅-132455n -=⋅+,11a =满足上式,当n 为偶数,4n ≥时,()()()242642n n n a a a a a a a a -=+-+-+⋅⋅⋅+-()32332444294442914n n ---⋅=+++⋅⋅⋅+=+⋅-132455n -=⋅-,22a =满足上式,即当n 为奇数时,132455n n a -=⋅+,当n 为偶数时,132455n n a -=⋅-,所以()()113241N 55n n n a n +-*=⋅+-⋅∈.5.(2022·福建泉州·模拟预测)记数列{n a }的前n 项和为n S .已知11a =,___________. 从①24n n a a +-=;②14n n a a n ++=;③11n n S na n n +=-+()中选出一个能确定{n a }的条件,补充到上面横线处,并解答下面的问题.求{n a }的通项公式: 【答案】(1)21n a n =- 选①:24n n a a +-=,只能说明数列{}n a 的奇数项和偶数项分别构成等差数列,已知11a =,数列的奇数项可以确定,但2a 未知,故数列的偶数项不确定,因此数列{}n a 不确定,题设的两个条件均无法求解, 选②:14n n a a n ++=,由14n n a a n ++=得: ()()12121n n a n a n +⎡⎤-+=---⎣⎦, 因为11a =,所以()1121110a a -⨯-=-= 故()210n a n --=,即21n a n =-; 选③:()11n n S na n n +=-+由()11n n S na n n +=-+得:2121a S -==,故23a = 当2n ≥时,()()111n n S n a n n -=---, 两式相减得:12n n a a +-=,又因为212a a -=满足12n n a a +-=, 综上:对所有的n *∈N ,均有12n n a a +-=, 所以{}n a 为首项为1,公差为2的等差数列, 故21n a n =-6.若数列{}n a ,11a =,2111()2n n n a a ++=,求数列{}n a 的通项公式.答案当n 是奇数时:11211()4n n a +-=⋅,整理得11()2n n a -=;当n 是偶数时:1221()4nn a a -=⋅,整理得11()2n n a +=解:因为2111()2n n n a a ++=,所以23211()2n n n a a +++=,两式相除:214n n a a +=,所以{}n a 是隔项等比数列; 1357,,,a a a a 构成以1a 为首项的等比数列,公比为14; 2468,,,a a a a 构成以2a 为首项的等比数列,公比为14; 当n 是奇数时:11211()4n n a +-=⋅,整理得11()2n n a -=当n 是偶数时:1221()4nn a a -=⋅,整理得11()2n n a +=7.(2022·浙江省富阳中学高三阶段练习)数列{}n a 满足21112,2n n n a a a ++=⋅=,求数列{}n a 的通项公式;【答案】(1)2n n a =依题意,数列{}n a 满足21112,2n n n a a a ++=⋅=,()21122n n n a a n --⋅=≥,两式相除并化简得()1142n n a n a +-=≥,312224a a a ⋅=⇒=, 所以{}{}212,n n a a -是公比为4的等比数列,其中{}21n a -的首项为2,{}2n a 的首项为4. 所以12112212242,442n n n n n n a a ----=⨯==⨯=,所以2n n a =.。
2024年高考数学总复习第六章《数列》测试卷及答案(时间:120分钟满分:150分)一、选择题(本大题共12小题,每小题5分,共60分)1.已知等差数列{a n }的公差为2,前n 项和为S n ,且S 10=100,则a 7的值为()A .11B .12C .13D .14答案C解析由S 10=100及公差为2,得10a 1+10×(10-1)2×2=100,所以a 1=1.所以a n =2n -1,故a 7=13.故选C.2.若等差数列{a n }的公差d ≠0且a 1,a 3,a 7成等比数列,则a2a 1等于()A.32B.23C.12D .2答案A解析设等差数列的首项为a 1,公差为d ,则a 3=a 1+2d ,a 7=a 1+6d .因为a 1,a 3,a 7成等比数列,所以(a 1+2d )2=a 1(a 1+6d ),解得a 1=2d .所以a 2a 1=2d +d 2d=32.故选A.3.已知等差数列{a n }的前n 项和为S n ,若S 6=30,S 10=10,则S 16等于()A .-160B .-80C .20D .40答案B解析a 1+15d =30,a 1+45d =10,解得a 1=10,d =-2,故S 16=16a 1+120d =16×10+120×(-2)=-80,故选B.4.记等比数列{a n }的前n 项和为S n ,若S 3=2,S 6=18,则S 10S 5等于()A .-3B .5C .-31D .33答案D解析由题意知公比q ≠1,S 6S 3=a 1(1-q 6)1-qa 1(1-q 3)1-q =1+q 3=9,∴q =2,S 10S 5=a 1(1-q 10)1-qa 1(1-q 5)1-q=1+q 5=1+25=33.5.(2019·湖南五市十校联考)已知数列{a n }满足2a n =a n -1+a n +1(n ≥2),a 2+a 4+a 6=12,a 1+a 3+a 5=9,则a 1+a 6等于()A .6B .7C .8D .9答案B解析由数列{a n }满足2a n =a n -1+a n +1(n ≥2)得数列{a n }为等差数列,所以a 2+a 4+a 6=3a 4=12,即a 4=4,同理a 1+a 3+a 5=3a 3=9,即a 3=3,所以a 1+a 6=a 3+a 4=7.6.(2019·新乡模拟)为了参加冬季运动会的5000m 长跑比赛,某同学给自己制定了7天的训练计划:第1天跑5000m ,以后每天比前1天多跑200m ,则这个同学7天一共将跑()A .39200mB .39300mC .39400mD .39500m答案A解析依题意可知,这个同学第1天,第2天,…跑的路程依次成首项为5000,公差为200的等差数列,则这个同学7天一共将跑5000×7+7×62×200=39200(m).故选A.7.等差数列{a n }的前n 项和为S n ,已知a m -1+a m +1-a 2m =0,S 2m -1=38,则m 等于()A .38B .20C .10D .9答案C解析因为{a n }是等差数列,所以a m -1+a m +1=2a m ,由a m -1+a m +1-a 2m =0,得2a m -a 2m =0,由S 2m -1=38知a m ≠0,所以a m =2,又S 2m -1=38,即(2m -1)(a 1+a 2m -1)2=38,即(2m -1)×2=38,解得m =10,故选C.8.(2019·青岛调研)已知各项均不相等的等比数列{a n },若3a 2,2a 3,a 4成等差数列,设S n 为数列{a n }的前n 项和,则S 3a 3等于()A.139B.79C .3D .1答案A解析设等比数列{a n }的公比为q ,∵3a 2,2a 3,a 4成等差数列,∴2×2a 3=3a 2+a 4,∴4a 2q =3a 2+a 2q 2,化为q 2-4q +3=0,解得q =1或3.又数列的各项均不相等,∴q ≠1,当q =3时,S 3a 3=a 1(33-1)3-1a 1×9=139.故选A.9.(2019·广东六校联考)将正奇数数列1,3,5,7,9,…依次按两项、三项分组,得到分组序列如下:(1,3),(5,7,9),(11,13),(15,17,19),…,称(1,3)为第1组,(5,7,9)为第2组,依此类推,则原数列中的2019位于分组序列中的()A .第404组B .第405组C .第808组D .第809组答案A解析正奇数数列1,3,5,7,9,…的通项公式为a n =2n -1,则2019为第1010个奇数,因为按两项、三项分组,故按5个一组分组是有202组,故原数列中的2019位于分组序列中的第404组,故选A.10.(2019·新疆昌吉教育共同体月考)在数列{a n }中,a 1=2,其前n 项和为S n .在直线y =2x -1上,则a 9等于()A .1290B .1280C .1281D .1821答案C解析由已知可得S n +1n +1-1=又S11-1=a 1-1=1,1,公比为2的等比数列,所以Sn n -1=2n -1,得S n =n (1+2n -1),当n ≥2时,a n =S n -S n -1=(n +1)2n -2+1,故a 9=10×128+1=1281.11.(2019·长沙长郡中学调研)已知数列{a n }的前n 项和为S n ,且S n =n 2+4n ,若首项为13的数列{b n }满足1b n +1-1b n =a n ,则数列{b n }的前10项和为()A.175264B.3988C.173264D.181264答案A解析由S n =n 2+4n ,可得a n =2n +3,根据1b n +1-1b n=a n =2n +3,结合题设条件,应用累加法可求得1b n n 2+2n ,所以b n =1n 2+2n =1n (n +2)=所以数列{b n }的前n项和为T n -13+12-14+…+1n --1n +1-所以T 10-111-=175264,故选A.12.已知数列{a n }的通项a n =nx(x +1)(2x +1)…(nx +1),n ∈N *,若a 1+a 2+a 3+…+a 2018<1,则实数x 可以等于()A .-23B .-512C .-1348D .-1160答案B 解析∵a n =nx(x +1)(2x +1)…(nx +1)=1(x +1)(2x +1)…[n (x -1)+1]-1(x +1)(2x +1)…(nx +1)(n ≥2),∴a 1+a 2+…+a 2018=x x +1+1x +1-1(x +1)(2x +1)…(2018x +1)=1-1(x +1)(2x +1)…(2018x +1),当x =-23x +1>0,nx +1<0(2≤n ≤2018,n ∈N *),此时1-1(x +1)(2x +1)…(2018x +1)>1.当x =-512时,x +1>0,x +2>0,nx +1<0(3≤n ≤2018,n ∈N *),此时1-1(x +1)(2x +1)…(2018x +1)<1;当x =-1348时,x +1>0,x +2>0,x +3>0,nx +1<0(4≤n ≤2018,n ∈N *),此时1-1(x +1)(2x +1)…(2018x +1)>1;当x =-1160时,x +1>0,x +2>0,x +3>0,x +4>0,x +5>0,nx +1<0(6≤n ≤2018,n ∈N *),此时1-1(x +1)(2x +1)…(2018x +1)>1.故选B.二、填空题(本大题共4小题,每小题5分,共20分)13.设等差数列{a n }的公差为d ,其前n 项和为S n ,若a 4+a 10=0,2S 12=S 2+10,则d 的值为________.答案-10解析由a 4+a 10=0,2S 12=S 2+10,1+3d +a 1+9d =0,a 1+12×112d2a 1+d +10,解得d =-10.14.(2019·沈阳东北育才中学模拟)等差数列{a n },{b n }的前n 项和分别为S n 和T n ,若Sn T n =2n +13n +2,则a 3+a 11+a 19b 7+b 15=________.答案129130解析原式=3a 112b 11=32·2a 112b 11=32·a 1+a 21b 1+b 21=32·S 21T 21=32·2×21+13×21+2=129130.15.(2019·荆州质检)已知数列{a n }的前n 项和为S n ,若a n =(2n -2则S 2019=________.答案2020解析∵a n =(2n -2=(1-2n )sinn π2,∴a 1,a 2,…,a n 分别为-1,0,5,0,-9,0,13,0,-17,0,21,0,…,归纳可得,每相邻四项和为4,∴S 2019=504×4+a 2017+a 2018+a 2019=2016+[(1-2×2017)+0+(2×2019-1)]=2016+4=2020.16.(2019·长沙长郡中学调研)已知点列P 1(1,y 1),P 2(2,y 2),P 3(3,y 3),…,P n +1(n +1,y n +1)在x 轴上的投影为Q 1,Q 2,…,Q n +1,且点P n +1满足y 1=1,直线P n P n +1的斜率1n n P P k +=2n .则多边形P 1Q 1Q n +1P n +1的面积为________.答案3×2n -n -3解析根据题意可得y n +1-y n =2n ,结合y 1=1,应用累加法,可以求得y n +1=2n +1-1,根据题意可以将该多边形分成n 个直角梯形计算,且从左往右,第n 个梯形的面积为S n =y n +y n +12=3×2n -1-1,总的面积应用分组求和法,可求得多边形的面积为S =3(2n -1)-n =3×2n -n -3.三、解答题(本大题共70分)17.(10分)已知{a n }是以a 为首项,q 为公比的等比数列,S n 为它的前n 项和.(1)当S 1,S 3,S 4成等差数列时,求q 的值;(2)当S m ,S n ,S l 成等差数列时,求证:对任意自然数k ,a m +k ,a n +k ,a l +k 也成等差数列.(1)解由已知,得a n =aq n -1,因此S 1=a ,S 3=a (1+q +q 2),S 4=a (1+q +q 2+q 3).当S 1,S 3,S 4成等差数列时,S 4-S 3=S 3-S 1,可得aq 3=aq +aq 2,化简得q 2-q -1=0.解得q =1±52.(2)证明若q =1,则{a n }的各项均为a ,此时a m +k ,a n +k ,a l +k 显然成等差数列.若q ≠1,由S m ,S n ,S l 成等差数列可得S m +S l =2S n ,即a (q m -1)q -1+a (q l -1)q -1=2a (q n -1)q -1,整理得q m +q l =2q n .因此a m +k +a l +k =aq k -1(q m +q l )=2aq n+k -1=2a n +k ,所以a m +k ,a n +k ,a l +k 成等差数列.18.(12分)(2019·安徽皖南八校联考)数列{a n }的前n 项和记为S n ,且4S n =5a n -5,数列{b n }满足b n =log 5a n .(1)求数列{a n },{b n }的通项公式;(2)设c n =1b n b n +1,数列{c n }的前n 项和为T n ,证明T n <1.(1)解∵4S n =5a n -5,∴4a 1=5a 1-5,∴a 1=5.当n ≥2时,4S n -1=5a n -1-5,∴4a n =5a n -5a n -1,∴a n =5a n -1,∴{a n }是以5为首项,5为公比的等比数列,∴a n =5·5n -1=5n .∴b n =log 55n =n .(2)证明∵c n =1n (n +1)=1n -1n +1,∴T n…=1-1n +1<1.19.(12分)(2019·安徽皖中名校联考)已知数列{a n }满足:a n +1=2a n -n +1,a 1=3.(1)设数列{b n }满足:b n =a n -n ,求证:数列{b n }是等比数列;(2)求出数列{a n }的通项公式和前n 项和S n .(1)证明b n +1b n =a n +1-(n +1)a n -n =2a n -n +1-(n +1)a n -n=2(a n -n )a n -n =2,又b 1=a 1-1=3-1=2,∴{b n }是以2为首项,2为公比的等比数列.(2)解由(1)得b n =2n ,∴a n =2n +n ,∴S n =(21+1)+(22+2)+…+(2n +n )=(21+22+…+2n )+(1+2+3+…+n )=2(1-2n )1-2+n (n +1)2=2n +1-2+n (n +1)2.20.(12分)(2019·湖南衡阳八中月考)已知数列{a n }的前n 项和为S n ,且S n =2a n -n (n ∈N *).(1)证明:{a n +1}是等比数列;(2)若数列b n =log 2(a n +1)n 项和T n .(1)证明当n =1时,S 1=2a 1-1,∴a 1=1.∵S n =2a n -n ,∴S n +1=2a n +1-(n +1),∴a n +1=2a n +1,∴a n +1+1=2(a n +1),∴{a n +1}是以a 1+1=2为首项,2为公比的等比数列.(2)解由(1)得a n +1=2n ,∴b n =log 22n =n ,∴1b 2n -1·b 2n +1=1(2n -1)(2n +1)=∴T n -13+13-15+…+12n -1-=n 2n +1.21.(12分)(2019·青岛调研)已知数列{a n }的各项均为正数,其前n 项和为S n .(1)若对任意n ∈N *,S n =n 2+n +12都成立,求a n ;(2)若a 1=1,a 2=2,b n =a 2n -1+a 2n ,且数列{b n }是公比为3的等比数列,求S 2n .解(1)由S n =n 2+n +12,得S n -1=(n -1)2+n2,n ≥2,两式相减得a n =n ,n ≥2,又a 1=S 1=32,不满足a n =n ,∴a n n =1,n ≥2.(2)S 2n =a 1+a 2+…+a 2n =(a 1+a 2)+(a 3+a 4)+…+(a 2n -1+a 2n )=b 1+b 2+…+b n ,∵b 1=a 1+a 2=3,{b n }是公比为3的等比数列,∴S 2n =b 1+b 2+…+b n =3(1-3n )1-3=32(3n-1).22.(12分)(2019·湖南岳阳一中质检)已知数列{a n }的前n 项和为S n ,S n =2a n -2.(1)求数列{a n }的通项公式;(2)设数列{b n }的前n 项和为T n ,b 1=1,点(T n +1,T n )在直线x n +1-y n =12上,若存在n ∈N *,使不等式2b 1a 1+2b 2a 2+…+2b na n≥m 成立,求实数m 的最大值.解(1)∵S n =2a n -2,①∴S n +1=2a n +1-2,②∴②-①得a n +1=2a n +1-2a n (n ≥1),∴a n +1=2a n ,即a n +1a n=2,∴{a n }是首项为2,公比为2的等比数列.∴a n =2n .(2)由题意得,T n +1n +1-T n n =12,成等差数列,公差为12.首项T 11=b11=1,∴T n n =1+12(n -1)=n +12,T n =n (n +1)2,当n ≥2时,b n =T n -T n -1=n (n +1)2-n (n -1)2=n ,当n =1时,b 1=1成立,∴b n =n .∴2b n a n =2n2n =n 2n -1=-1,令M n =2b 1a 1+2b 2a 2+…+2b na n,只需(M n )max ≥m .∴M n =1+2×12+3+…+n -1,③12M n =12+2+3+…+n ,④③-④得,12M n =1+12++…-1-n 1-12n=2-(n +,∴M n =4-(n +-1.∵M n +1-M n =4-(n +-4+(n +-1=n +12n>0.∴{M n }为递增数列,且(n +-1>0,∴M n <4.∴m ≤4,实数m 的最大值为4.。
新高考题型《数列》:解答题开放性问题(条件3选1)及答案解析1.已知公差不为0的等差数列{}n a 的首项12a =,前n 项和是n S ,且____(①1a ,3a ,7a 成等比数列,①(3)2n n n S +=,①816a =,任选一个条件填入上空),设12n n n b a -=,求数列{}n b 的前n 项和n T .2.在①35a =,2526a a b +=;①22b =,3433a a b +=;①39S =,4528a a b +=,这三个条件中任选一个,补充在下面问题中,并解答.已知等差数列{}n a 的公差为(1)d d >,前n 项和为n S ,等比数列{}n b 的公比为q ,且11a b =,d q =, .(1)求数列{}n a ,{}n b 的通项公式. (2)记nn na cb =,求数列{}nc 的前n 项和n T .3.在等差数列{}n a 中,已知612a =,1836a =. (1)求数列{}n a 的通项公式n a ; (2)若____,求数列{}n b 的前n 项和n S . 在①14n n n b a a +=,①(1)n n n b a =-,①2n a n n b a =这三个条件中任选一个补充在第(2)问中,并对其求解.4.在①414S =-,①515S =-,①615S =-三个条件中任选两个,补充到下面问题中,并解答.已知等差数列{}n a 的前n 项和为n S ,满足: ,*n N ∈. (1)求n S 的最小值; (2)设数列671{}n n a a ++的前n 项和n T ,证明:1n T <.5.从条件①2(1)n n S n a =+,(2)n a n =,①0n a >,22nn n a a S +=中任选一个,补充到下面问题中,并给出解答.已知数列{}n a 的前n 项和为n S ,11a =,_____.若1a ,k a ,2k S +成等比数列,求k 的值.6.在①355a a +=,47S =;①243n S n n =+;①42514S S =,5a 是3a 与92的等比中项,这三个条件中任选一个,补充在下面问题中,然后解答补充完整的题目. 已知n S 为等差数列{}n a 的前n 项和,若____. (1)求n a ; (2)记2221n n n b a a +=,求数列{}n b 的前n 项和n T .7.已知{}n a 为等差数列,1a ,2a ,3a 分别是表第一、二、三行中的某一个数,且1a ,2a ,3a 中的任何两个数都不在表的同一列.请从①12a =,①11a =,①13a =的三个条件中选一个填入上表,使满足以上条件的数列{}n a 存在;并在此存在的数列{}n a 中,试解答下列两个问题 (1)求数列{}n a 的通项公式;(2)设数列{}n b 满足12(1)n n n b a +=-,求数列{}n b 的前n 项和n T .8.在①2n S n n =+,①3516a a +=,3542S S +=,①171,56n n a n S a n++==这三个条件中任选一个补充在下面的问题中,并加以解答.设等差数列{}n a 的前n 项和为n S ,数列{}n b 为等比数列,_____,12112,2a ab a b ==.求数列1n n b S ⎧⎫+⎨⎬⎩⎭的前n 项和n T .9.在①2342a a a +=,①22n n S a =-,①425S S =三个条件中任选一个,补充在下面问题中,并解答.在已知等比数列{}n a 的公比0q >前n 项和为n S ,若 _____,数列{}n b 满足11,13n n n b a b b =+=.(1)求数列{}n a ,{}n b 的通项公式;(2)求数列1{}n n n a b b +的前n 项和n T ,并证明13n T <.10.在①131n n S S +=+,①211,2139n n a S a +==-③这三个条件中选择两个,补充在下面问题中,并给出解答.已知数列{}n a 的前n 项和为n S ,满足____,____;又知正项等差数列{}n b 满足12b =,且1b ,21b -,3b 成等比数列.(1)求{}n a 和{}n b 的通项公式; (2)证明:12326n b b b a a a ++⋯+<.11.给出以下三个条件:①数列{}n a 是首项为2,满足142n n S S +=+的数列; ①数列{}n a 是首项为2,满足2132()n n S R λλ+==+∈的数列; ①数列{}n a 是首项为2,满足132n n S a +=-的数列.请从这三个条件中任选一个将下面的题目补充完整,并求解.设数列{}n a 的前n 项和为n S ,n a 与n S 满足______,记数列21222log log log n n b a a a =++⋯+,21n n n n nc b b ++=,求数列{}n c 的前n 项和n T .12.在①5462a b b =+,①35144()a a b b +=+,①24235b S a b =三个条件中任选一个,补充在下面的问题中,并解答.设{}n a 是公比大于0的等比数列,其前n 项和为n S ,{}n b 是等差数列.已知11a =,32212S S a a -=+,435a b b =+,________.(1)求{}n a 和{}n b 的通项公式;(2)设112233n n n T a b a b a b a b =+++⋯+,求n T .13.在①4S 是2a 与21a 的等差中项;①7a 是33S 与22a 的等比中项;①数列2{}n a 的前5项和为65这三个条件中任选一个,补充在横线中,并解答下面的问题. 已知{}n a 是公差为2的等差数列,其前n 项和为n S ,_______. (1)求n a ;(2)设3()4n n n b a =;是否存在k N ∈,使得278k b >?若存在,求出k 的值;若不存在,说明理由.14.设数列{}n a 的前n 项和为n S ,11a =,____. 给出下列三个条件:条件①:数列{}n a 为等比数列,数列1{}n S a +也为等比数列;条件①:点(n S ,1)n a +在直线1y x =+上;条件①:1121222n n n n a a a na -+++⋯+=.试在上面的三个条件中任选一个,补充在上面的横线上,完成下列两问的解答:(1)求数列{}n a 的通项公式; (2)设21231log log n n n b a a ++=,求数列{}n b 的前n 项和n T .15.在①2351a a a b +=-,①2372a a a =,①315S =这三个条件中任选一个,补充在下面问题中,并解答.已知等差数列{}n a 的公差0d >,前n 项和为n S ,若 _______,数列{}n b 满足11b =,213b =,11n n n n a b nb b ++=-.(1)求{}n a 的通项公式; (2)求{}n b 的前n 项和n T .注:如果选择多个条件分别解答,按第一个解答计分.16.在①53A B =,①122114a a B -=,①535B =这三个条件中任选一个,补充在下面问题中,并解答.已知等差数列{}n a 的公差为(0)d d >,等差数列{}n b 的公差为2d .设n A ,n B 分别是数列{}n a ,{}n b 的前n 项和,且13b =,23A =,________.(1)求数列{}n a ,{}n b 的通项公式; (2)设132n a n n n c b b +=+,求数列{}n c 的前n 项和n S .17.①535a b b =+,①387S =①91012a a b b -=+这三个条件中任选一个,补充在下面问题中,并给出解答.设等差数列{}n a 的前n 项和为n S ,数列{}n b 的前n 项和为n T ,________,16a b =,若对于任意*n N ∈都有21n n T b =-,且(n k S S k 为常数),求正整数k 的值. 注:如果选择多个条件分别解答,那么按第一个解答计分.18.在①1,n a ,n S 成等差数列,①递增等比数列{}n a 中的项2a ,4a 是方程21090x x -+=的两根,①11a =,120n n a a ++=这三个条件中任选一个,补充在下面的问题中,若问题中的k 存在,求k 的值;若k 不存在,说明理由.已知数列{}n a 和等差数列{}n b 满足 _______,且14b a =,223b a a =-,是否存在(320,)k k k N <<∈使得k T 是数列{}n a 中的项?(n S 为数列{}n a 的前n 项和,n T 为数列{}n b 的前n 项和)注:如果选择多个条件分别解答,按第一个解答计分.19.给出以下三个条件:①34a ,43a ,52a 成等差数列;①对于*n N ∀∈,点(,)n n S 均在函数2x y a =-的图象上,其中a 为常数;①37S =.请从这三个条件中任选一个将下面的题目补充完整,并求解.设{}n a 是一个公比为(0,1)q q q >≠的等比数列,且它的首项11a =,. (1)求数列{}n a 的通项公式;(2)令*22log 1()n n b a n N =+∈,证明数列11n n b b +⎧⎫⎨⎬⎩⎭的前n 项和12n T <.20.在①133a a b +=,①52a =-,①254b S b +=-这三个条件中任选两个,补充在下面的问题中.若问题中的m 存在,求出m 的值;若不存在,请说明理由.等差数列{}n a 的前n 项和为n S ,{}n b 是各项均为正数的等比数列, , ,且12b =,2312b b +=.是否存在大于2的正整数m ,使得14S ,3S ,m S 成等比数列?21.在①2213(0)n n n a a a +-=>,①211390n n n n a a a a -----=,①222n S n n =-+这三个条件中任选一个,补充在下面问题中.已知:数列{}n a 的前n 项和为n S ,且11a =, .(1)求数列{}n a 的通项公式;(2)对大于1的自然数n ,是否存在大于2的自然数m ,使得1a ,n a ,m a 成等比数列.若存在,求m 的最小值;若不存在,说明理由.22.在①21n n S b =-,①14(2)n n b b n --=,①12(2)n n b b n -=+这三个条件中任选一个,补充在下面问题中,若问题中的k 存在,求出k 的值;若k 不存在,说明理由. 已知数列{}n a 为等比数列,123a =,312a a a =,数列{}n b 的首项11b =,其前n 项和为n S , ,是否存在k ,使得对任意*n N ∈,n n k k a b a b 恒成立?23.已知函数()log (k f x x k =为常数,0k >且1)k ≠.(1)在下列条件中选择一个 使数列{}n a 是等比数列,说明理由; ①数列{()}n f a 是首项为2,公比为2的等比数列; ①数列{()}n f a 是首项为4,公差为2的等差数列;①数列{()}n f a 是首项为2,公差为2的等差数列的前n 项和构成的数列.(2)在(1)的条件下,当k =12241n n n a b n +=-,求数列{}n b 的前n 项和n T .24.在①44a b =,①624S =-这两个条件中任选一个,补充在下面问题中,若问题中的正整数k 存在,求k 的值;若k 不存在,请说明理由.设n S 为等差数列{}n a 的前n 项和,{}n b 是等比数列, ,15b a =,39b =-,6243b =.是否存在k ,使得1k k S S ->且1k k S S +<?注:如果选择多个条件分别解答,按第一个解答计分.25.设33M a =-,22N a =,4T a =,给出以下四种排序:①M ,N ,T ;①M ,T ,N ;①N ,T ,M ;①T ,N ,M .从中任选一个,补充在下面的问题中,解答相应的问题. 已知等比数列{}n a 中的各项都为正数,11a =,且___依次成等差数列. (①)求{}n a 的通项公式;(①)设,01,1,1,n n n n na ab a a <⎧⎪=⎨>⎪⎩数列{}n b 的前n 项和为n S ,求满足100n n S b >的最小正整数n .26.已知数列{}n a 的前n 项和为n S ,11a =,1(0n n S pa p +=≠且1p ≠-,*)n N ∈. (1)求{}n a 的通项公式;(2)在①1k a +,3k a +,2k a +①2k a +,1k a +,3k a +这两个条件中任选一个,补充在下面的问题中:对任意的正整数k ,若将1k a +,2k a +,3k a +按______的顺序排列后构成等差数列,求p 的值.27.设*n N ∈,数列{}n a 的前n 项和为n S ,已知12n n n S S a +=++,______.请在①1a ,2a ,5a 成等比数列,①69a =,①535S =这三个条件中任选一个补充在上面题干中,并解答下面问题. (1)求数列{}n a 的通项公式;(2)若数列{}n b满足1(1)n a n n n b a +=+-,求数列{}n b 的前2n 项的和2n T .28.已知公差不为0的等差数列的首项12a =,前n 项和为n S ,且 ______(①1a ,2a ,4a 成等比数列;①(3)2n n n S +=;①926a =任选一个条件填入上空). 设3n a n b =,nn n a c b =,数列{}n c 的前n 项和为n T ,试判断n T 与13的大小. 注:如果选择多个条件分别解答,按第一个解答计分.29.在①2a ,3a ,44a -成等差数列;①1S ,22S +,3S 成等差数列;①12n n a S +=+中任选一个,补充在下列的问题中,并解答.在各项均为正数等比数列{}n a 中,前n 项和为n S ,已知12a =,且 . (1)求数列{}n a 的通项公式; (2)数列{}n b的通项公式nn b =,*n N ∈,求数列{}n b 的前n 项和n T .30.在①36S a =,①420S =,①14724a a a ++=这三个条件中任选一个,补充在下面问题中,并解答.(注:如果选择多个条件分别解答,则按第一个解答给分) 已知等差数列{}n a 的前n 项和为n S ,满足36a =,____. (1)求{}n a 的通项公式;(2)设2n a n n b a =+,求{}n b 的前n 项和n T .31.已知{}n a 是等差数列,{}n b 是等比数列,15b a =,23b =,581b =-. (1)求数列{}n b 的通项公式:(2)设数列{}n a 的前n 项和为n S ,在①132b b a +=,①44a b =这两个条件中任选一个,补充在题干条件中,是否存在k ,使得1k k S S +>且21k k S S ++>?若问题中的k 存在,求k 的值;着k 不存在,说明理由.32.已知等差数列{}n a 的公差为d ,前n 项和为n S ,315S =,0n a >,1d >,且______从“①21a -为11a -与31a +的等比中项”,“①等比数列{}n b 的公比12q =,12b a =,33b a =”这两个条件中,选择一个补充在上面问题中的划线部分,使得符合条件的数列{}n a 存在并作答. (1)求数列{}n a 的通项公式;(2)设数列11{}n n a a +的前n 项和为n T ,求n T .33.在①312S =,①2123a a -=,①824a =这三个条件中任选一个,补充在下面问题中并作答.已知{}n a 是公差不为0的等差数列,其前n 项和为n S ,__,且1a ,2a ,4a 成等比数列. (1)求数列{}n a 的通项公式;(2)设数列{}n b 是各项均为正数的等比数列,且21b a =,44b a =,求数列{}n n a b +的前n 项和n T .34.在①4516a a +=;①39S =;①2(n S n r r =+为常数)这3个条件中选择1个条件,补全下列试题后完成解答(选择多个条件并分别解答的按第1个评分).设等差数列{}n a 的前n 项和为n S ,若数列{}n a 的各项均为正整数,且满足公差1d >,______. (1)求数列{}n a 的通项公式;(2)令21n a n b =+,求数列{}n b 的前n 项的和.35.已知{}n a 为等差数列,各项为正的等比数列{}n b 的前n 项和为n S ,且1122a b ==,2810a a +=,_____.在①1()n n S b R λλ=-∈;①43212a S S S =-+;①2()n a n b R λλ=∈.这三个条件中任选其中一个,补充在上面的横线上,并完成下面问题的解答(如果选择多个条件解答,则按选择第一个解答计分). (1)求数列{}n a 和{}n b 的通项公式; (2)求数列{}n n a b +的前n 项和n T .36.在①5CA CB =-,①ABC ∆的面积为-一个,补充在下面问题中,并解决该问题:在ABC ∆中,角A ,B ,C 所对各边分别为a ,b ,c , 已知sin sin 1sin sin sin sin A CB C A B+=++,_______,且1b =.(1)求ABC ∆的周长;(2)已知数列{}n a 为公差不为0的等差数列,数列{}n b 为等比数列,1cos 1a A =,且11b a =,23b a =,37b a =.若数列{}n c 的前n 项和为n S ,且113c =,111n n n n n a c b a a -+=-.2n . 证明:116n S <. 注:在横线上填上所选条件的序号,如果选择多个条件分别解答,按第一个解答计分.新高考题型:解答题开放性问题(条件3选1)《数列》答案解析1.已知公差不为0的等差数列{}n a 的首项12a =,前n 项和是n S ,且____(①1a ,3a ,7a 成等比数列,①(3)2n n n S +=,①816a =,任选一个条件填入上空),设12n n n b a -=,求数列{}n b 的前n 项和n T .解:设等差数列{}n a 的公差为d ,选①:由1a ,3a ,7a 成等比数列得22111(6)(2)a a d a d +=+, 化简得20d dd =≠,11n d a n ∴=∴=+,于是1(1)2n n b n -=+,∴21213242(1)2n n T n -=+++⋯++,232223242(1)2n n T n =+++⋯++,相减得:212222(1)22n n n n T n n --=+++⋯+-+=-,∴2n n T n =;选①:()()()13122,122n n n n n n n n a S S n -+-+=-=-=+时,1n =时,12a =,符合上式,1n a n ∴=+,下同①; 选①:81281a a d -==-,22(1)2n a n n ∴=+-=, ∴2n n b n =,231222322n n T n =⨯+⨯+⨯+⋯+, 234121222322n n T n -=⨯+⨯+⨯+⋯+,相减得2311122222222n n n n n T n n +++-=+++⋯+-=--,∴1(1)22n n T n +=-+.2.在①35a =,2526a a b +=;①22b =,3433a a b +=;①39S =,4528a a b +=,这三个条件中任选一个,补充在下面问题中,并解答.已知等差数列{}n a 的公差为(1)d d >,前n 项和为n S ,等比数列{}n b 的公比为q ,且11a b =,d q =, 22b =,3433a a b += .(1)求数列{}n a ,{}n b 的通项公式. (2)记nn na cb =,求数列{}nc 的前n 项和n T . 解: 选择①(1)35a =,2526a a b +=,11a b =,d q =,111251256a d d a d a d +=⎧>∴⎨+=⎩,解得112a d =⎧⎨=⎩或1256512a d ⎧=⎪⎪⎨⎪=⎪⎩(舍去),∴112b q =⎧⎨=⎩,1(1)21n n d n αα∴=+--=-,1112n n n b b q --==,(2)n n n a c b =,11211(21)()22n n n n c n ---∴==-⨯, 2211111135()(23)()(21)()2222n n n T n n --∴=+⨯+⨯+⋯+-⨯+-⨯,∴2311111113()5()(23)()(21)()222222n n n T n n -=+⨯+⨯+⋯+-⨯+-⨯, ∴12111[1()]11111112212[()()](21)()12(21)()3(23)()1222222212n n n n nn T n n n ---=+++⋯+--⨯=+⨯--⨯=-+⨯-,∴116(23)()2n n T n -=-+⨯.选择①22b =,3433a a b +=;(1)设11a b t ==,1d q =>,由22b =,3433a a b +=,可得2tq =,2253t d tq +=, 又d q =,解得2d q ==,1t =, 可得12(1)21n a n n =+-=-;12n n b -=; (2)11(21)()2n n n n a c n b -==-, 前n 项和11111135(21)()242n n T n -=+++⋯+-, 11111135(21)()22482n n T n =+++⋯+-, 两式相减可得21111111()(21)()22422n n n T n -=++++⋯+--,111121(1)()1212n n n --=+---, 化简可得116(23)()2n n T n -=-+.选择①39S ∴=,4528a a b +=,11a b =,d q =,1d >,∴1113278a d a d a d +=⎧⎨+=⎩,解得112a d =⎧⎨=⎩或121838a d ⎧=⎪⎪⎨⎪=⎪⎩(舍去),1(1)21n a a n d n ∴=+-=-,1112n n n b b q --==.(2)11211(21)()22n n n n n n a n c c n b ---=∴==-⨯, 2211111135()(23)()(21)()2222n n n T n n --∴=+⨯+⨯+⋯+-⨯+-⨯,∴2311111113()5()(23)()(21)()222222n n n T n n -=+⨯+⨯+⋯+-⨯+-⨯, ∴12111[1()]11111112212[()()](21)()12(21)()3(23)()1222222212m n n n nn T n n n ---=+++⋯+--⨯=+⨯--⨯=-+⨯-,∴116(23)()2n n T n -=-+⨯.3.在等差数列{}n a 中,已知612a =,1836a =. (1)求数列{}n a 的通项公式n a ; (2)若____,求数列{}n b 的前n 项和n S . 在①14n n n b a a +=,①(1)n n n b a =-,①2n a n n b a =这三个条件中任选一个补充在第(2)问中,并对其求解.解:(1)由题意,设等差数列{}n a 的公差为d ,则 115121736a d a d +=⎧⎨+=⎩,解得122a d =⎧⎨=⎩, 2(1)22n a n n ∴=+-⨯=,*n N ∈.(2)方案一:选条件① 由(1)知,144122(1)(1)n n n b a a n n n n +===++, 12n n S b b b =++⋯+1111223(1)n n =++⋯+⨯⨯+ 1111112231n n =-+-+⋯+-+ 111n =-+ 1nn =+. 方案二:选条件①由(1)知,(1)(1)2n n n n b a n =-=-,122468(1)2n n n S b b b n ∴=++⋯+=-+-+-⋯+-,()i 当n 为偶数时, 12n n S b b b =++⋯+2468(1)2n n =-+-+-⋯+-,(24)(68)[2(1)2]n n =-++-++⋯+--+222=++⋯+22n =⨯ n =,()ii 当n 为奇数时,1n -为偶数, 12n n S b b b =++⋯+2468(1)2n n =-+-+-⋯+-,(24)(68)[2(2)2(1)]2n n n =-++-++⋯+--+--2222n =++⋯+-1222n n -=⨯- 1n =--,,,1,.n n n S n n ⎧∴=⎨--⎩为偶数为奇数;方案三:选条件①由(1)知,222224n a n n n n b a n n ===,1231224446424n n n S b b b n ∴=++⋯+=⨯+⨯+⨯+⋯+⨯, 231424442(1)424n n n S n n +=⨯+⨯+⋯+-⨯+⨯,两式相减,可得123132424242424n n n S n +-=⨯+⨯+⨯+⋯+⨯-⨯ 12118(1444)24n n n -+=⨯+++⋯+-⨯11482414nn n +-=⨯-⨯-12(13)8433n n +-=-.12(31)8499n n n S +-∴=+. 4.在①414S =-,①515S =-,①615S =-三个条件中任选两个,补充到下面问题中,并解答.已知等差数列{}n a 的前n 项和为n S ,满足: ①① ,*n N ∈. (1)求n S 的最小值; (2)设数列671{}n n a a ++的前n 项和n T ,证明:1n T <.解:(1)①若选择①①; 由题知:6650a S S =-=, 又因为15535()5152a a S a +===-,所以33a =-. 所以6333d a a =-=,解得1d =. 所以6(6)6n a a n n =+-=-.所以125670a a a a a <<⋯<<=<<⋯, 所以6515n S S S ==- ①若选择①①;由题知:5541a S S =-=-, 又因为15535()5152a a S a +===-, 所以33a =-.所以5322d a a =-=,1d =. 所以3(3)6n a a n d n =+-=-. 所以125670a a a a a <<⋯<<=<<⋯, 所以6515n S S S ==- ①若选择①①; 由题知:1666()152a a S +==-,所以161255a a a d +=+=- 由题知:1444()142a a S +==-,所以141237a a a d +=+=-所以15a =-,1d =. 所以6n a n =-.所以125670a a a a a <<⋯<<=<<⋯, 所以6515n S S S ==-. 证明(2)因为6n a n =-, 所以671111(1)1n n a a n n n n ++==-++ 所以11111111122311n T n n n =-+-+⋯+-=-<++. 5.从条件①2(1)n n S n a =+,(2)n a n =,①0n a >,22nn n a a S +=中任选一个,补充到下面问题中,并给出解答.已知数列{}n a 的前n 项和为n S ,11a =,_____.若1a ,k a ,2k S +成等比数列,求k 的值. 解:选择①2(1)n n S n a =+,112(2)n n S n a ++∴=+,相减可得:112(2)(1)n n n a n a n a ++=+-+,∴11n na a n n+=+, ∴111n a a n ==,可得:n a n =. 2(2)(12)(2)(3)22k k k k k S ++++++∴==. 1a ,k a ,2k S +成等比数列,∴212kk a a S +=,2(2)(3)2k k k ++∴=,*k N ∈,解得6k =.选择(2)n a n =,1n n S S -=-=,0n S >1=,∴数列是等差数列,首项为1,公差为1.∴11n n =+-=,解得2n S n =.2n ∴时,221(1)21n n n a S S n n n -=-=--=-.2(2)(123)(2)(2)2k k k S k k ++++∴==++1a ,k a ,2k S +成等比数列,∴212kk a a S +=,22(21)(2)k k ∴-=+,*k N ∈,解得3k =. 选择①0n a >,22n n n a a S +=,∴21112n n n a a S ++++=,相减可得:221112n n n n n a a a a a ++++--=,化为:11()(1)0n n n n a a a a +++--=, 可得:11n n a a +-=,∴数列{}n a 是首项与公差都为1的等差数列,11n a n n ∴=+-=.(1)2n n n S +∴=, 1a ,k a ,2k S +成等比数列,∴212kk a a S +=,2(2)(12)2k k k +++∴=,*k N ∈,解得6k =.6.在①355a a +=,47S =;①243n S n n =+;①42514S S =,5a 是3a 与92的等比中项,这三个条件中任选一个,补充在下面问题中,然后解答补充完整的题目. 已知n S 为等差数列{}n a 的前n 项和,若____. (1)求n a ; (2)记2221n n n b a a +=,求数列{}n b 的前n 项和n T .解:(1)选择条件①:设等差数列{}n a 的公差为d , 则11265,4347,2a d a d +=⎧⎪⎨⨯+=⎪⎩解得11,1,2a d =⎧⎪⎨=⎪⎩ ∴12n n a +=,*n N ∈; 选择条件①:243n S n n =+,∴当2n 时,2214443(1)3(1)22n n n a S S n n n n n -=-=+--+-=+即1(2)2n n a n +=, 当1n =时,21113114a S +⨯===,也适合上式,∴12n n a +=,*n N ∈; 选择条件①:设等差数列{}n a 的公差为d , 则112115(46)14(2),9(4)(2),2a d a d a d a d ⨯+=+⎧⎪⎨+=+⎪⎩, 解得11a =,12d =,或10a =,0d =,不合题意,舍去, ∴12n n a +=,*n N ∈; (2)由(1)可知,22214112()(21)(23)2123n n n b a a n n n n +===-++++,∴121111112()35572123n n T b b b n n =++⋯+=-+-+⋯+-++ 1142()32369nn n =-=++. 7.已知{}n a 为等差数列,1a ,2a ,3a 分别是表第一、二、三行中的某一个数,且1a ,2a ,3a 中的任何两个数都不在表的同一列.请从①12a =,①11a =,①13a =的三个条件中选一个填入上表,使满足以上条件的数列{}n a 存在;并在此存在的数列{}n a 中,试解答下列两个问题 (1)求数列{}n a 的通项公式;(2)设数列{}n b 满足12(1)n n n b a +=-,求数列{}n b 的前n 项和n T .解:(1)若选择条件①12a =,则放在第一行的任何一列,满足条件的等差数列{}n a 都不存在,若选择条件①11a =,则放在第一行的第二列,结合条件可得11a =,24a =,37a =,则32n a n =-,则*n N ∈,若选择条件①13a =,则放在第一行的任何一列,结满足条件的等差数列{}n a 都不存在, 综上可得32n a n =-,则*n N ∈, (2)由(1)知,12(1)(32)n n b n +=--, 当n 为偶数时,22222212312341n n n n T b b b b a a a a a a -∴=+++⋯+=-+-+⋯+-,1212343411()()()()()()n n n n a a a a a a a a a a a a --=+-++-+⋯+-+,2123(132)933()3222n n n a a a a n n +-=-+++⋯+=-⨯=-+,当n 为奇数时,22219393(1)(1)(32)22222n n n T T b n n n n n -=+=--+-+-=--,2293,22932,22n n n n T n n n ⎧-+⎪⎪∴=⎨⎪--⎪⎩为偶数为奇数 8.在①2n S n n =+,①3516a a +=,3542S S +=,①171,56n n a n S a n++==这三个条件中任选一个补充在下面的问题中,并加以解答.设等差数列{}n a 的前n 项和为n S ,数列{}n b 为等比数列,_____,12112,2a ab a b ==.求数列1n n b S ⎧⎫+⎨⎬⎩⎭的前n 项和n T . 解:选①:当1n =时,112a S ==,当2n 时,12n n n a S S n -=-=,又1n =满足2n a n =,所以2n a n =.设{}n b 的公比为q ,又因为12121122,4,,2a a a ab a b ====由,得12b =,2q =,所以2n n b =; 由数列{}n b 的前n 项和为11222212n n ++-=--,又可知211111(1)1n S n n n n n n ===-+++, 数列1n S ⎧⎫⎨⎬⎩⎭的前n 项和为1111111122311n n n -+-+⋯+-=-++,故11112212111n n n T n n ++=-+-=--++. 选①:设公差为d ,由1353512616,16,42,81342,a d a a S S a d +=⎧+=+=⎨+=⎩得解得12,2,a d =⎧⎨=⎩所以22,n n a n S n n ==+.设{}n b 的公比为q ,又因为12121122,4,,2a a a ab a b ====由,得12b =,2q =,所以2n n b =.由数列{}n b 的前n 项和为11222212n n ++-=--,又可知211111(1)1n S n n n n n n ===-+++,数列1n S ⎧⎫⎨⎬⎩⎭的前n 项和为1111111122311n n n -+-+⋯+-=-++,故11112212111n n n T n n ++=-+-=--++. 选①: 由11111,,,11n n n n n n a a a a an a a n a n n n n +++====+得所以即,74172856S a a ===,所以12a =,所以22,n n a n S n n ==+.设{}n b 的公比为q ,又因为12121122,4,,2a a a ab a b ====由,得12,2,2n n b q b ===所以. 由数列{}n b 的前n 项和为11222212n n ++-=--,又可知211111(1)1n S n n n n n n ===-+++, 数列1n S ⎧⎫⎨⎬⎩⎭的前n 项和为1111111122311n n n -+-+⋯+-=-++, 故11112212111n n n T n n ++=-+-=--++. 9.在①2342a a a +=,①22n n S a =-,①425S S =三个条件中任选一个,补充在下面问题中,并解答.在已知等比数列{}n a 的公比0q >前n 项和为n S ,若 _____,数列{}n b 满足11,13n n n b a b b =+=.(1)求数列{}n a ,{}n b 的通项公式;(2)求数列1{}n n n a b b +的前n 项和n T ,并证明13n T <. 解:(1)若选择①2342a a a +=,可得231112a q a q a q +=,化为220q q --=,解得2(1q =-舍去),又因为1n n n a b b +=,113b =,解得12a =,所以2n n a =,11112n nn b a ==++; 选择①22n n S a =-,可得11122a S a ==-,解得12a =,又122222a a S a +==-,解得24a =,可得2q =,又因为1n n n a b b +=,113b =,解得12a =,所以2n n a =,11112n nn b a ==++; 选择①425S S =,可得4211(1)(1)511a q a q q q--=--,即215q +=,解得2q =,又因为1n n n a b b +=,113b =,解得12a =,所以2n n a =,11112n n n b a ==++; (2)证明:111211(21)(21)2121n n n n n n n n a b b +++==-++++, 2231111111111()()()212121212121321n n n n T ++=-+-+⋯+-=-+++++++, 由11021n +>+,可得13n T <. 10.在①131n n S S +=+,①211,2139n n a S a +==-③这三个条件中选择两个,补充在下面问题中,并给出解答.已知数列{}n a 的前n 项和为n S ,满足____,____;又知正项等差数列{}n b 满足12b =,且1b ,21b -,3b 成等比数列.(1)求{}n a 和{}n b 的通项公式; (2)证明:12326n b b b a a a ++⋯+<. 解:选择①①:(1)解:由131n n S S +=+⇒当2n 时,有131n n S S -=+,两式相减得:13n n a a +=,即113n n a a +=,2n .又当1n =时,有2112313()S S a a =+=+,又219a =,113a ∴=,2113a a =也适合,所以数列{}n a 是首项、公比均为13的等比数列,所以1()3n n a =;设正项等差数列{}n b 的公差为d ,12b =,且1b ,21b -,3b 成等比数列,2213(1)b b b ∴-=,即2(21)2(22)d d +-=+,解得:3d =或1d =-(舍),23(1)31n b n n ∴=+-=-,故1()3n n a =,31n b n =-.(2)证明:由(1)可得311()3n n b a -=,∴1211[1()]313927[1()]1262726127n n n b b b a a a -++⋯+==-<-. 选择:①①:(1)解:由1213n n S a +=-⇒当2n 时,1213n n S a -=-,两式相减得:1233n n n a a a +=-+,即113n n a a +=,2n .又当1n =时,有1212132S a a =-=,又219a =,113a ∴=,2113a a =也适合,所以数列{}n a 是首项、公比均为13的等比数列,所以1()3n n a =;设正项等差数列{}n b 的公差为d ,12b =,且1b ,21b -,3b 成等比数列,2213(1)b b b ∴-=,即2(21)2(22)d d +-=+,解得:3d =或1d =-(舍),23(1)31n b n n ∴=+-=-,故1()3n n a =,31n b n =-.(2)证明:由(1)可得311()3n n b a -=,∴1211[1()]313927[1()]1262726127n n n b b b a a a -++⋯+==-<-. 11.给出以下三个条件:①数列{}n a 是首项为2,满足142n n S S +=+的数列; ①数列{}n a 是首项为2,满足2132()n n S R λλ+==+∈的数列; ①数列{}n a 是首项为2,满足132n n S a +=-的数列.请从这三个条件中任选一个将下面的题目补充完整,并求解. 设数列{}n a 的前n 项和为n S ,n a 与n S 满足______,记数列21222log log log n n b a a a =++⋯+,21n n n n nc b b ++=,求数列{}n c 的前n 项和n T .解:选①,由已知142n n S S +=+⋯①, 当2n 时,142n n S S -=+⋯①,①-①可得14n n a a +=,当1n =时,2142S S =+可得28a =,满足214a a =.∴数列{}n a 是首项为2,公比为4的等比数列.即可得212n n a -=.221222log log log 13(21)n n b a a a n n =++⋯+=++⋯+-=2221(1)111(1)(1)1n n n n n n n c b b n n n n n n +++====-+++. ∴数列{}n c 的前n 项和1111111()1223111n nT n n n n =-+-+⋯+-=-=+++. 选①,由已知2132n n S λ+==+⋯①211.32n n S λ--==+⋯①, ①-①可得21212132232n n n n a +--=-=. 当1n =时,12a =满足212n n a -=.∴数列{}n a 是首项为2,公比为4的等比数列,即可得212n n a -=.221222log log log 13(21)n n b a a a n n =++⋯+=++⋯+-=2221(1)111(1)(1)1n n n n n n n c b b n n n n n n +++====-+++. ∴数列{}n c 的前n 项和1111111()1223111n nT n n n n =-+-+⋯+-=-=+++. 选①,由已知132n n S a +=-⋯①, 当2n 时,12n n S S -=-⋯①, ①-①可得14n n a a +=,当1n =时,可得28a =,满足214a a =.∴数列{}n a 是首项为2,公比为4的等比数列.即可得212n n a -=.221222log log log 13(21)n n b a a a n n =++⋯+=++⋯+-=2221(1)111(1)(1)1n n n n n n n c b b n n n n n n +++====-+++.∴数列{}n c 的前n 项和1111111()1223111n nT n n n n =-+-+⋯+-=-=+++. 12.在①5462a b b =+,①35144()a a b b +=+,①24235b S a b =三个条件中任选一个,补充在下面的问题中,并解答.设{}n a 是公比大于0的等比数列,其前n 项和为n S ,{}n b 是等差数列.已知11a =,32212S S a a -=+,435a b b =+,________.(1)求{}n a 和{}n b 的通项公式;(2)设112233n n n T a b a b a b a b =+++⋯+,求n T . 解:方案一:选条件①:(1)设等比数列{}n a 的公比为q .11a =,32212S S a a -=+,220q q ∴--= 解得2q =或1q =-,0q >,2q ∴=,∴12n n a -=.⋯⋯⋯⋯⋯⋯⋯⋯⋯⋯⋯⋯⋯⋯⋯⋯⋯⋯⋯⋯⋯⋯⋯⋯⋯⋯⋯⋯⋯⋯⋯(2分)设等差数列{}n b 的公差为435d a b b =+,5462a b b =+,∴113431316b d b d +=⎧⎨+=⎩ 解得111b d =⎧⎨=⎩,n b n ∴=.∴12,n n n a b n -==⋯⋯⋯⋯⋯⋯⋯⋯⋯⋯⋯⋯⋯⋯⋯⋯⋯⋯⋯⋯⋯⋯⋯⋯⋯⋯⋯⋯(5分)(2)由(1)可知:12,n n n a b n -==,012111221222(1)22n n n n n T a b a b a b n n --∴=++⋯+=⨯+⨯+⋯+-⨯+⨯,∴12121222(1)22n n n T n n -=⨯+⨯+⋯+-⨯+⨯⋯⋯⋯⋯⋯⋯⋯⋯⋯⋯⋯⋯⋯⋯⋯(7分) ∴1211212222221212nn nn n n n T n n n ---=+++⋯+-⨯=-⨯=--⨯⋯⋯⋯⋯⋯⋯⋯⋯⋯⋯⋯⋯⋯⋯⋯⋯⋯⋯-(9分)∴(1)21n n T n =-+.⋯⋯⋯⋯⋯⋯⋯⋯⋯⋯⋯⋯⋯⋯⋯⋯⋯⋯⋯⋯⋯⋯⋯⋯⋯⋯(10分)方案二:选条件①:(1)设等比数列{}n a 的公比为q .11a =,32212S S a a -=+,220q q ∴--=. 解得2q =或1q =-, 0q >,2q ∴=,∴12n n a -=.⋯⋯⋯⋯⋯⋯⋯⋯⋯⋯⋯⋯⋯⋯⋯⋯⋯⋯⋯⋯⋯⋯⋯⋯⋯⋯⋯⋯⋯⋯⋯(2分)设等差数列{}n b 的公差为d ,435a b b =+,135141344()235b d a a b b b d +=⎧+=+∴⎨+=⎩ 解得111b d =⎧⎨=⎩,n b n ∴=.∴12,n n n a b n -==.⋯⋯⋯⋯⋯⋯⋯⋯⋯⋯⋯⋯⋯⋯⋯⋯⋯⋯⋯⋯⋯⋯(5分)(2)同方案一(2). 方案三:选条件①(1)设等比数列{}n a 的公比为q .11a =,32212S S a a -=+,220q q ∴--=,解得2q =或1q =-, 0q >,2q ∴=,∴12n n a -=⋯⋯⋯⋯⋯⋯⋯⋯⋯⋯⋯⋯⋯⋯⋯⋯⋯⋯⋯⋯⋯⋯(2分)设等差数列{}n b 的公差为d . 435a b b =+,4235S a b =,∴11340b d b d +=⎧⎨-=⎩解得111b d =⎧⎨=⎩,n b n ∴=,∴12,n n n a b n -==.⋯⋯⋯⋯⋯⋯⋯⋯⋯⋯⋯⋯⋯⋯⋯⋯⋯⋯⋯⋯⋯⋯⋯⋯⋯⋯⋯⋯(5分)(2)同方案一(2).13.在①4S 是2a 与21a 的等差中项;①7a 是33S 与22a 的等比中项;①数列2{}n a 的前5项和为65这三个条件中任选一个,补充在横线中,并解答下面的问题. 已知{}n a 是公差为2的等差数列,其前n 项和为n S ,_______. (1)求n a ;(2)设3()4n n n b a =;是否存在k N ∈,使得278k b >?若存在,求出k 的值;若不存在,说明理由.解:(1){}n a 是公差d 为2的等差数列,若选①4S 是2a 与21a 的等差中项,可得42212S a a =+, 即有112(46)221a d a d +=+,即为16918a d ==,解得13a =; 若①7a 是33S 与22a 的等比中项,可得2732213a S a =,即21111(62)(332)(212)3a a a +⨯=+⨯+⨯, 即2111(12)(2)(42)a a a +=++, 解得13a =;若选①数列2{}n a 的前5项和为65,可得241065a a a ++⋯+=, 即1115(13579)52555065a d a d a +++++=+=+=, 解得13a =;综上可得32(1)21n a n n =+-=+,*n N ∈; (2)33()(21)()44n n n n b a n ==+,由1133523(23)()(21)()()4444n n nn n n b b n n ++--=+-+=,当1n =,2时,可得10n n b b +->,即321b b b >>;当3n ,*n N ∈时,可得10n n b b +-<,即345b b b >>>⋯, 则n b 的最大项为318964b =, 由18927648<, 可得不存在k N ∈,使得278k b >. 14.设数列{}n a 的前n 项和为n S ,11a =,____. 给出下列三个条件:条件①:数列{}n a 为等比数列,数列1{}n S a +也为等比数列;条件①:点(n S ,1)n a +在直线1y x =+上;条件①:1121222n n n n a a a na -+++⋯+=.试在上面的三个条件中任选一个,补充在上面的横线上,完成下列两问的解答: (1)求数列{}n a 的通项公式; (2)设21231log log n n n b a a ++=,求数列{}n b 的前n项和n T .解:选条件①: (1)数列1{}n S a +为等比数列,2211131()()()S a S a S a ∴+=++,即2121123(2)2(2)a a a a a a +=++.设等比数列{}n a 的公比为q ,22(2)2(2)q q q ∴+=++,解得2q =或0q =(舍),1112n n n a a q --∴==;(2)由(1)知:12n n a -=,212311111()log log (2)22n n n b a a n n n n ++∴===-++,111111111111311323[()()()()()]()2132435111221242(1)(2)n n T n n n n n n n n +∴=-+-+-+⋯+-+-=--=--++++++. 选条件①:(1)点(n S ,1)n a +在直线1y x =+,11n n a S +∴=+,又11(2,)n n a S n n N -=+∈,两式相减有:12n n a a +=,又11a =,2112a S =+=,也适合上式,故数列{}n a 为首项是1,公比是2的等比数列.1112n n n a a q --∴==;(2)由(1)知:12n n a -=,212311111()log log (2)22n n n b a a n n n n ++∴===-++,111111111111311323[()()()()()]()2132435111221242(1)(2)n n T n n n n n n n n +∴=-+-+-+⋯+-+-=--=--++++++. 选条件①:(1)1121222n n n n a a a na -+++⋯+=,12121222(1)(2)n n n n a a a n a n ---∴++⋯+=-. 由两式相减可得:122(1)n n n a na n a +=--,即12n n a a +=,又11a =,2112a S =+=,也适合上式,故数列{}n a 为首项是1,公比是2的等比数列. 1112n n n a a q --∴==;(2)由(1)知:12n n a -=,212311111()log log (2)22n n n b a a n n n n ++∴===-++,111111111111311323[()()()()()]()2132435111221242(1)(2)n n T n n n n n n n n +∴=-+-+-+⋯+-+-=--=--++++++.15.在①2351a a a b +=-,①2372a a a =,①315S =这三个条件中任选一个,补充在下面问题中,并解答.已知等差数列{}n a 的公差0d >,前n 项和为n S ,若 _______,数列{}n b 满足11b =,213b =,11n n n n a b nb b ++=-.(1)求{}n a 的通项公式; (2)求{}n b 的前n 项和n T .注:如果选择多个条件分别解答,按第一个解答计分. 解:若选①:(1)11n n n n a b nb b ++=-,∴当1n =时,1212a b b b =-,11b =,213b =,12a ∴=.又2351a a a b +=-,3d ∴=,31n a n ∴=-;(2)由(1)知:11(31)n n n n b nb b ++-=-,即13n n nb nb +=,113n n b b +∴=.又11b =,所以数列{}n b 是以1为首项,以13为公比的等比数列,11()3n n b -∴=,11()33(13)1213nn n T --==--. 若选①:(1)11n n n n a b nb b ++=-,∴当1n =时,1212a b b b =-,11b =,213b =,12a ∴=.又2372a a a =,(2)(22)2(26)d d d ∴++=+,0d >,3d ∴=, 31n a n ∴=-;(2)由(1)知:11(31)n n n n b nb b ++-=-,即13n n nb nb +=,113n n b b +∴=.又11b =,所以数列{}n b 是以1为首项,以13为公比的等比数列,11()3n n b -∴=,11()33(13)1213nn n T --==--. 若选①:(1)11n n n n a b nb b ++=-,∴当1n =时,1212a b b b =-,11b =,213b =,12a ∴=.又315S =,3d ∴=, 31n a n ∴=-;(2)由(1)知:11(31)n n n n b nb b ++-=-,即13n n nb nb +=,113n n b b +∴=.又11b =,所以数列{}n b 是以1为首项,以13为公比的等比数列,11()3n n b -∴=,11()33(13)1213nn n T --==--. 16.在①53A B =,①122114a a B -=,①535B =这三个条件中任选一个,补充在下面问题中,并解答.已知等差数列{}n a 的公差为(0)d d >,等差数列{}n b 的公差为2d .设n A ,n B 分别是数列{}n a ,{}n b 的前n 项和,且13b =,23A =,________.(1)求数列{}n a ,{}n b 的通项公式; (2)设132n a n n n c b b +=+,求数列{}n c 的前n 项和n S . 解:方案一:选条件① (1)由题意,可知数列{}n a ,{}n b 都是等差数列,且23A =,53A B =,∴112351096a d a d d +=⎧⎨+=+⎩,解得111a d =⎧⎨=⎩,11(1)n a n n ∴=+-=,*n N ∈, 321(1)21n b n n =+-=+,*n N ∈,综上所述,可得n a n =,21n b n =+. (2)由(1)知, 331122()(21)(23)22123n n n c n n n n =+=+-++++,12n n S c c c ∴=++⋯+2311311311[2()][2()][2()]23525722123n n n =+-++-+⋯++-++23111111(222)[()()()]235572123n n n =++⋯++-+-+⋯+-++2(12)311()122323n n -=+--+13(2)223n n n ++=-+. 方案二:选条件① (1)由题意,可知数列{}n a ,{}n b 都是等差数列,且21221143,A a a B =-=, ∴11123114232a d a a d d +=⎧⎪⎨-=⎪+⨯+⎩, 整理,得()()1111231,4621a d a a a d d d d +==⎧⎧⎨⎨+=+=⎩⎩解得,11(1)n a n n ∴=+-=,*n N ∈, 321(1)21n b n n =+-=+,*n N ∈,综上所述,可得n a n =,21n b n =+. (2)同方案一第(2)小题解题过程. 方案三:选条件① (1)由题意,可知数列{}n a ,{}n b 都是等差数列,且23A =,535B =, ∴11231,541352352a d a d d +=⎧=⎧⎪⎨⎨⨯=⨯+⨯=⎩⎪⎩解得, 11(1)n a n n ∴=+-=,*n N ∈, 321(1)21n b n n =+-=+,*n N ∈,综上所述,可得n a n =,21n b n =+. (2)同方案一第(2)小题解题过程.17.①535a b b =+,①387S =①91012a a b b -=+这三个条件中任选一个,补充在下面问题中,并给出解答.设等差数列{}n a 的前n 项和为n S ,数列{}n b 的前n 项和为n T ,________,16a b =,若对于任意*n N ∈都有21n n T b =-,且(n k S S k 为常数),求正整数k 的值. 注:如果选择多个条件分别解答,那么按第一个解答计分.解:由21n n T b =-,可得1n =时,11b =;2n 时,1121n n T b --=-,相减可得122n n n b b b -=-,即12n n b b -=,由此可得{}n b 为首项为1,公比为2的等比数列,故12n n b -=, ①当535a b b =+,1632a b ==,541620a =+=, 设{}n a 的公差为d ,则20324d =+,解得3d =-,所以323(1)353n a n n =--=-.因为当11n 时,0n a >,当11n >时,0n a <, 所以当11n =时,n S 取得最大值, 因此正整数k 的值为11.①当387S =时,132a =,2387a =,设{}n a 的公差为d ,则3(32)87d +=,解得3d =-,所以323(1)353n a n n =--=-.因为当11n 时,0n a >,当11n >时,0n a <, 所以当11n =时,n S 取得最大值, 因此正整数k 的值为11.①当91012a a b b -=+时,132a =,9103a a -=, 设{}n a 的公差为d ,则3d =-,所以323(1)353n a n n =--=-.因为当11n 时,0n a >,当11n >时,0n a <, 所以当11n =时,n S 取得最大值, 因此正整数k 的值为11.18.在①1,n a ,n S 成等差数列,①递增等比数列{}n a 中的项2a ,4a 是方程21090x x -+=的两根,①11a =,120n n a a ++=这三个条件中任选一个,补充在下面的问题中,若问题中的k 存在,求k 的值;若k 不存在,说明理由.已知数列{}n a 和等差数列{}n b 满足 _______,且14b a =,223b a a =-,是否存在(320,)k k k N <<∈使得k T 是数列{}n a 中的项?(n S 为数列。
高考真题数学答案及解析一、选择题1. 题目:若函数f(x) = ax^2 + bx + c在点x=2处取得极小值,且已知f(1)=3,f(3)=15,则a的值为____。
解析:由题意可知,函数f(x) = ax^2 + bx + c在x=2处取得极小值,所以f'(x)在x=2处为0。
首先求导数f'(x) = 2ax + b。
将x=2代入得到4a + b = 0。
又已知f(1)=3,f(3)=15,将x=1和x=3分别代入原函数得到两个方程:a + b + c = 3和9a + 3b + c = 15。
联立这三个方程解得a=1,b=-2,c=4。
所以a的值为1。
2. 题目:设集合A={x|x=2n, n∈Z},B={x|x=2n+1, n∈Z},则A∪B的元素个数为____。
解析:集合A表示所有偶数的集合,集合B表示所有奇数的集合。
由于整数集包括所有的偶数和奇数,所以A∪B就是整个整数集。
因此,A∪B的元素个数为无穷多个。
3. 题目:已知三角形ABC中,∠A=90°-∠B,AB=AC,点D为BC中点,连接AD,若∠BAD=15°,则∠BAC的度数为____。
解析:由于AB=AC,所以三角形ABC为等腰直角三角形,∠BAC=45°。
又因为∠A=90°-∠B,所以∠B=45°。
由于点D为BC中点,AD为中线,所以AD=BD=CD。
又因为∠BAD=15°,所以∠DAC=∠BAC-∠BAD=45°-15°=30°。
因此,∠BAC的度数为30°。
二、填空题1. 题目:若等差数列{an}的前n项和为Sn,已知a1=2,公差d=3,求S10的值为____。
解析:等差数列的前n项和公式为Sn = n/2 * (2a1 + (n-1)d)。
将n=10,a1=2,d=3代入公式得:S10 = 10/2 * (2*2 + (10-1)*3) = 5 * (4 + 27) = 5 * 31 = 155。
高考求数列真题及答案解析
数列是高中数学中的重要概念,也是高考数学中的必考内容之一。
在高考数学试卷中,数列题目通常包括数列的概念、性质、递推公式、通项公式等方面的考查。
为了帮助广大考生更好地备考数列题目,在
本文中,我们将对一些高考数列题目进行解析,希望对考生们有所帮助。
第一题:
已知数列{an}的通项公式为an = 2^n + 3^n,求数列{an}的前n
项和Sn。
解析:
要求数列的前n项和Sn,我们需要先确定数列的通项公式。
题目中给出的通项公式为an = 2^n + 3^n,因此可以得到数列的前n项和
Sn的表达式为:Sn = a1 + a2 + ... + an。
将通项公式代入到Sn的表达式中,我们可以得到:
Sn = (2^1 + 3^1) + (2^2 + 3^2) + ... + (2^n + 3^n)。
这是一个等差数列求和的问题,由等差数列的求和公式Sn = (a1 + an) * n / 2,我们可以将Sn重新整理为:
Sn = [(2^1 + 2^n) + (3^1 + 3^n)] * n / 2。
进一步化简,我们可以得到:
Sn = [(2 + 2^n) + (3 + 3^n)] * n / 2。
至此,我们得到了数列{an}的前n项和Sn的表达式。
第二题:
已知数列{an}满足an+1 = an + 2n + 3,a1 = 4,求数列{an}的通项公式。
解析:
题目给出了数列的递推公式an+1 = an + 2n + 3,我们可以尝试寻找数列的递推关系。
观察递推公式可以得知,数字2n + 3可能是数列的公差。
我们可以将递推公式进行一下变换:
an+1 - an = 2n + 3。
再次变形,我们可以得到:
an+1 - an - (n + 3) = n。
将等式两边同时累加,可以得到:
a2 - a1 - n - 3 = 1 + 2 + ... + (n - 1) + n。
根据等差数列的求和公式,1 + 2 + ... + (n - 1) + n 的等于n(n + 1)/2。
再次代入已知条件,我们可以得到:
3n + 4 - 3 = n(n + 1)/2。
这是一个关于n的二次方程。
对该方程进行变形和化简,我们可以得到:
n^2 + 5n + 6 = 0。
将该二次方程因式分解,可以得到:
(n + 2)(n + 3) = 0。
由此可得,n = -2 或 n = -3。
因为数列的项数n是正整数,所以只能取n = -3。
代入an+1 = an + 2n + 3,我们可以得到:
a1 = a0 + 2(-3) + 3。
整理后,我们可以得到:
a0 = 4 - 2 = 2。
至此,我们得到了数列{an}的通项公式an = 2n + 2。
通过以上两道高考数列题目的解析,我们可以看到数列题目在高考中的考查内容涉及到数列的概念、性质、递推公式、通项公式等方面。
在解答数列题目时,我们需要灵活运用已知条件,善于变形和化
简,以找到数列的规律和特点。
通过多练习真题并理解解题思路,相信考生们一定可以轻松应对高考数学数列题目。