可见光范围内原子(离子)光谱谱线----氩 1090条
- 格式:xls
- 大小:269.50 KB
- 文档页数:46
可见光范围的谱线
可见光范围的谱线是指在可见光波长范围内的谱线。
可见光波长范围大约在400纳米到700纳米之间。
在这个范围内,不同的元素和分子会发出不同波长的光线,这些光线的颜色也不同。
通过观察这些颜色,可以分析出物质的成分和性质。
比如,氢原子发出的光线在可见光范围内有四条,分别是红色、青色、蓝色和紫色,这四条光线被称为巴尔末系。
而太阳光中则包含了多种元素的谱线,因此可以通过观察太阳光谱来研究太阳的成分和结构。
可见光范围的谱线在天文学、化学、物理学等领域都有广泛的应用。
- 1 -。
原子吸收光谱位于光谱的紫外-可见区。
在对原子吸收光谱进行深入探究之前,我们首先要了解原子是什么以及什么是光谱。
原子是构成物质的基本单位,由原子核和绕核运动的电子组成。
而光谱则是通过将原子或分子激发至高能级,再使其复原至低能级时所释放或吸收的光产生的一种特殊的光谱图。
而原子吸收光谱即是在分析实验中,原子吸收外部能量,使得内部电子跃迁,产生特定波长的光谱现象。
原子吸收光谱在紫外-可见区的位置,正是其属性和特点的体现。
在紫外-可见区,光的波长范围大约为200至780纳米,这正是适合原子吸收光谱的范围。
在这一区域内,各种元素和原子特有的电子跃迁能级所对应的波长就在这个范围内。
通过对原子在紫外-可见区的吸收光谱进行分析,我们能够了解原子的内部结构和电子的跃迁能级,从而揭示物质的性质和成分。
在实际应用中,原子吸收光谱在许多领域都发挥着重要作用。
在化学分析中,原子吸收光谱被广泛用于测定样品中各种金属元素的含量,因为每种金属元素都具有特定的吸收光谱线。
在地球科学领域,原子吸收光谱也被用于分析岩石和矿物中的元素含量,从而揭示地球内部的成分和结构。
在环境监测和食品安全领域,原子吸收光谱也被广泛应用于检测有害元素的含量,以保障公众健康和安全。
对于我个人而言,原子吸收光谱的研究和应用代表着对物质微观结构的探索和揭示,这一过程充满了挑战和乐趣。
正是在对原子吸收光谱的不断理解和应用中,我深刻体会到了科学的力量和魅力。
我对于原子吸收光谱的学习和探索充满了激情和期待。
原子吸收光谱位于光谱的紫外-可见区,这一事实不仅展现了原子内部结构和特性的重要信息,也展示了原子吸收光谱在各个领域中的重要应用价值。
通过对原子吸收光谱的深入研究,我们可以更好地理解物质的组成和性质,同时也能够推动科学技术的发展和创新。
希望我对原子吸收光谱的个人理解和观点能够为您带来一些启发和思考。
原子吸收光谱是一种非常重要的分析技术,它在化学、地质、环境监测和食品安全等领域都有着广泛的应用。
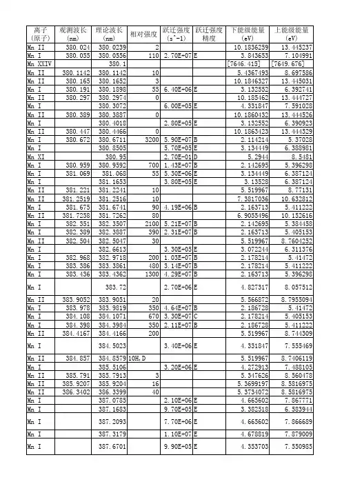
相对强度说明:
- 强度比给定值稍低
* 强度为几条谱线共有(通常为复合类谱线)
: 给出的波长观测值是计算值的圆整值
a 吸收观测值
bl 和另一条谱线混合到一起,可能会引起波长和强度变化
b 光谱带头
c 合成
d 散开
f 禁止
g 涉及到地光谱项能级的跃迁
hfs 具有超精细结构
h 模糊(同散开)
i 不确定的识别
j 由于孤立电子序列而使波长平滑
l 被较长波长掩盖(此字符在数字后容易被看成数字"1") m 被另一条谱线掩盖(无测量波长)
p 靠近线不稳定,波长和强度都会受到影响
q 不对称
r 容易被反转
s 被较短波长掩盖
t 暂时类
u 靠近线未分解
w 宽线
x 推算波长
B 线或面膜随着自电离化扩展而变大
D 双线
E 在引用文献中因过度曝光而发散
G 位置为粗略估计
H 非常模糊
理论波长说明:
+ 根据上下能级差计算出的波长(精度可能更高)
* 根据上下能级差计算出的波长
光谱项说明:
* 奇宇称
能级说明:
* 能级的光谱项有问题
? 可能不是真实的能级
() 理论值
[] 用已知实验值或半经验计算值的外推或内插
+x 精确实验系统和不确定实验结果的能级的相对位置,这一系统和已做的其他光谱能级的实验没有相
的实验没有相关连。
内蒙古通辽市2024高三冲刺(高考物理)人教版考试(自测卷)完整试卷一、单项选择题(本题包含8小题,每小题4分,共32分。
在每小题给出的四个选项中,只有一项是符合题目要求的)(共8题)第(1)题如图,某同学用手摇发电机、可拆变压器给小灯泡供电。
矩形闭合导线框abcd处于水平匀强磁场中,绕轴匀速转动,不计线框与导线的电阻,小灯泡额定功率足够大,电阻恒定。
下列说法正确的是()A.可拆变压器为降压变压器B.图示位置穿过线框的磁通量最大,线框产生的感应电动势也最大C.若可拆变压器视为理想变压器,转速增加一倍,其他条件不变,则小灯泡两端的电压也增加一倍D.若考虑变压器能量损耗,副线圈接线柱由“0、2”调整为“0、8”,其他条件不变,则小灯泡消耗的功率变为原来的16倍第(2)题用α粒子轰击铍Be时会得到新的原子核C并同时放出一种射线,该射线是( )A.质子流B.电子流C.中子流D.光子流第(3)题如图为氢原子在可见光区域的四条谱线、、、与能级图,可以判定()A.谱线对应的能级差为1.89eVB.同一介质对光的折射率最小C.同一介质中光的传播速度最大D.用光照射某金属能发生光电效应则光照射该金属一定能发生光电效应第(4)题如图所示,在直角坐标系xOy的(3L,0)处固定一个电荷量为2Q的正点电荷,(-3L,0)处固定一个电荷量绝对值为Q的负点电荷。
另一电荷量为q的正点电荷从A点(0,2L)沿y轴运动到B点(0,-2L),取无穷远处电势为0.下列说法正确的是( )A.电荷量为q的正点电荷从A点运动到B点的过程中,电势能一直不变B.电荷量为q的正点电荷从A点运动到O点的过程中,电场力一直做负功C.除无穷远处外,在x轴上存在两个电场强度为0的位置D.在x轴上电场强度为0的位置电势也一定为0第(5)题如图所示,在竖直平面内,截面为三角形的小积木悬挂在离地足够高处,一玩具枪的枪口与小积木上点等高且相距为。
玩具子弹以水平速度从枪口射出时,小积木恰好由静止释放,子弹从射出至击中积木所用时间为,不计空气阻力。
2024年广东省佛山市禅城区高三上学期统一调研测试物理试题(二)一、单选题 (共6题)第(1)题某质量为2kg的遥控汽车(可视为质点)沿如图所示的路径进行性能测试,半径为3m的半圆弧BC与长8m的直线路径AB相切于B点,与半径为4m的半圆弧CD相切于C点。
若小车从A点由静止开始,以1m/s2的加速度驶入路径,到达B点后保持速率不变依次经过BC和CD,则( )A.小车到达B点时的速度大小为2m/s B.小车从A到D所需时间为C.小车在BC段的向心加速度大小为D.小车在CD段所受向心力大小为4N第(2)题如图甲所示的电路中,理想变压器原、副线圈匝数比为,电路中的5个灯泡完全相同,定值电阻,当A、B端输入如图乙所示的交变电压时,5个灯泡亮度相同,则每个灯泡的平均功率为( )A.B.C.D.第(3)题氢原子光谱在可见光区域内有四条谱线,都是氢原子中电子从量子数n>2的能级跃迁到n=2的能级发出的光,它们在真空中的波长由长到短,可以判定A.对应的前后能级之差最小B.同一介质对的折射率最大C.同一介质中的传播速度最大D.用照射某一金属能发生光电效应,则也一定能第(4)题两列简谐横波在同一介质中沿相反方向传播,某时刻两列波相遇,如图所示,图示时刻x=9m处的质点正在向下振动,若两列波的波速均为15m/s,则下列说法正确的是( )A.实线波沿x轴正方向传播B.实线波与虚线波的频率之比为2:3C.两列波在相遇区域能发生干涉现象D.从图示时刻起再过0.3s,平衡位置x=9m处的质点位于y=15cm处第(5)题在高空运行的同步卫星功能失效后,往往会被送到同步轨道上空几百公里处的“墓地轨道”,以免影响其他在轨卫星并节省轨道资源.如图所示,2022年1月22日,我国实践21号卫星在地球同步轨道“捕获”已失效的北斗二号G2卫星后,成功将其送入“墓地轨道”.已知转移轨道与同步轨道、墓地轨道分别相切于P、Q点,则北斗二号G2卫星( )A.在墓地轨道运行时的速度大于其在同步轨道运行的速度B.在转移轨道上经过P点的加速度大于在同步轨道上经过P点的加速度C.在墓地轨道上经过Q点的速度大于转移轨道上经过Q点的速度D.若要从Q点逃脱地球的引力束缚,则在该处速度必须大于11.2km/s第(6)题如图,光滑固定导轨M、N水平放置,两根导体棒P、Q平行放置在导轨上,形成一个闭合回路,忽略空气阻力,已知重力加速度为g,当一条形磁铁从高处下落接近回路时( )A.P、Q将相互靠拢B.P、Q将相互远离C.磁铁的加速度仍为g D.磁铁的加速度一定大于g二、多选题 (共4题)第(1)题如图所示,、、、为匀强电场中的四点,它们的连线构成正方形,其中边与电场线平行,点为与连线的交点。
江西省萍乡市2024高三冲刺(高考物理)统编版(五四制)模拟(冲刺卷)完整试卷一、单项选择题(本题包含8小题,每小题4分,共32分。
在每小题给出的四个选项中,只有一项是符合题目要求的)(共8题)第(1)题如图所示,将小球从倾角为的斜面底端正上方某点以的速度水平抛出,同时一束平行光竖直向下照射小球,在斜面上留下了小球的“影子”,“影子”沿斜面运动时小球撞在斜面上。
小球的质量为,小球可视为质点,不计空气阻力,不考虑小球与斜面相撞后的运动情况,重力加速度取,。
下列说法正确的是()A.小球的“影子”做匀加速直线运动B.小球在空中的运动时间为C.抛出点与斜面底端的高度差为D.小球撞在斜面前瞬间重力的功率为第(2)题如图所示,水平金属板A、B分别与电源两极相连,带电油滴处于静止状态.现将B板右端向下移动一小段距离,两金属板表面仍均为等势面,则该油滴()A.仍然保持静止B.竖直向下运动C.向左下方运动D.向右下方运动第(3)题容器内装有的一定质量理想气体的压强、体积、温度满足,内能,其中R为常量,T为热力学温度。
理想气体从状态A经状态B、C再回到状态A过程的图像如图所示,由状态A到状态B过程满足,其中为常量。
则()A.从A到B过程,气体内能变化量为B.从B到C过程,气体吸收的热量为C.从C到A过程,气体放出的热量为D.从A到B过程,气体对外做的功为第(4)题氢原子光谱在可见光区域内有四条谱线,都是氢原子中电子从量子数n>2的能级跃迁到n=2的能级发出的光,它们在真空中的波长由长到短,可以判定A.对应的前后能级之差最小B.同一介质对的折射率最大C.同一介质中的传播速度最大D.用照射某一金属能发生光电效应,则也一定能第(5)题如图所示,接有直流电源E的光滑金属导轨水平放置。
电阻不可忽略的导体棒ab静止于导轨上,当电键S闭合的瞬间,导体棒( )A.向左移动B.向右移动C.上下弹跳D.保持不动第(6)题从地面竖直向上抛出一只小球,小球运动一段时间后落回地面。
相对强度说明:
- 强度比给定值稍低
* 强度为几条谱线共有(通常为复合类谱线)
: 给出的波长观测值是计算值的圆整值
a 吸收观测值
bl 和另一条谱线混合到一起,可能会引起波长和强度变化
b 光谱带头
c 合成
d 散开
f 禁止
g 涉及到地光谱项能级的跃迁
hfs 具有超精细结构
h 模糊(同散开)
i 不确定的识别
j 由于孤立电子序列而使波长平滑
l 被较长波长掩盖(此字符在数字后容易被看成数字"1") m 被另一条谱线掩盖(无测量波长)
p 靠近线不稳定,波长和强度都会受到影响
q 不对称
r 容易被反转
s 被较短波长掩盖
t 暂时类
u 靠近线未分解
w 宽线
x 推算波长
B 线或面膜随着自电离化扩展而变大
D 双线
H 非常模糊
理论波长说明:
+ 根据上下能级差计算出的波长(精度可能更高)
* 根据上下能级差计算出的波长
光谱项说明:
* 奇宇称
能级说明:
* 能级的光谱项有问题
? 可能不是真实的能级
() 理论值
[] 用已知实验值或半经验计算值的外推或内插
+x 精确实验系统和不确定实验结果的能级的相对位置,这一系统和已做的其他光谱能级的实验没有相关
实验没有相关连。