长沙理工大学DSP期末考试题目修订版.V1.1
- 格式:doc
- 大小:41.00 KB
- 文档页数:7
一、单项选择题(本大题有4小题,每小题4分,共16分) 1 设 f ( X):A) f (0)设 2.(X)cos X(X 2(B)f(°)1 X(x)1 X sin x ),则在x 0处有(1( C ) f (0)3 33 x ,则当x(C)3.若(X)与(X) 是同阶无穷小, (X)是比(X)高阶的无穷小;X(2tF(x)函数但不是等价无穷小;(D)(B) 函数 (C) 函数 (D) 函数 F(x)必在x F (x)必在x F (x)在 xF(x)在 x ).(D ) f(x)不可导.1时((B)(X)与(X)是等价无穷小;(X)是比(X)高阶的无穷小.x)f(t)dt ,其中f(x)在区间上(1,1)二阶可导且f (x)0,则’ 设f (x)是连续函数, 4.2 X (B) 20处取得极大值; 0处取得极小值;0处没有极值,但点(°,F(0))为曲线y F(x)的拐点;0处没有极值,点(°,F (°))也不是曲线y F (x)的拐点。
1 2 0 f (x) x f (t)dt ,贝U f (x)( 2 X (A) 2二、填空题(本大题有 5. 4小题,每小题4分,共16 分) 2 lim (1 3x)K x 0 \ / 6. 已知空仝是f(x)的一个原函数 f(x) 空xdx x 7.li m n—(cos 2— n n 2 cos2 cos 2x arcsin x 1dx 8. 三、解答题(本大题有 5小题,设函数y y(X)由方程 1 x 77 X 9.每小题 e x y 8分,共40分)sin (xy) 1 确定,求(X)以及y (0)10. 求X(1 -dx. ) 11. 12.设f (x) xex ,\ 2x x 2g(x)设函数f(x)连续,并讨论g(x)在x 0处的连续性.13f(x)dx .f(xt)dt,且limA()x 0X,A 为常数.求g(x)四、解答题(本大题io 分)14. 已知上半平面内一曲线y y(x) (x°),过点(O,1),且曲线上任一点M(xo ,yo )处切线斜率数值上等于此曲线与 x 轴、y轴、直线Xx°所围成面积的2倍与该点纵坐标之和,求此曲线方程.五、解答题(本大题1°分)15. 过坐标原点作曲线y ln x的切线,该切线与曲线y ln x及x 轴围成平面图形D.(1) 求D 的面积A ; (2)求D 绕直线x = e 旋转一周所得旋转体的体积 V.六、证明题(本大题有 2小题,每小题4分,共8 分)13.求微分方程xy 2y xsx 满足y(i)1 9的解.16.设函数f(x)在q 1 f(x)d x q0 00,1上连续且单调递f (x)dx 减,证明对任意的q[0,1]17.设函数f(x)在0, f (x) d 上连续,且0 0 f(x)cos x dx.证明: 在0, 内至少存在两个不同的点1 x F(x) f(x)dx 0) f( J f( 2) 0.(提示:设一、单项选择题(本大题有4小题,每小题 1、D 2、A 3、C4分,共16分)4、C 二、填空题(本大题有65.e三、解答题(本大题有 解:方程两边求导 y) 4小题,每小题 1 COSX 2 .6.2T 5小题,每小题4分,共 c.7.8 分,:9. x y . e (1 y(x) x 0, 10.y 7解:u x1 原式 16分)2.40分) 8.cos(xy)(xy e x y e x y0,y(0) 7x 6dx ycos(xy) xcos(xy)1 du y)7 u(1 1外 n|u| 】ln | x 71 7 1 閱 3 f (x)dx 解:32ln|u2 In |1 7xe3(丄 u1|) x 7xdxu 1)du 02xx 2dx12.解:由g(x)g(x)g(0)xxe2e3f(0)f(xt)dt1、1 (x 1)2dx0 2 人cos d (令x21 sin )g(o)-f (u)duxt uxf (x) f (u)du2x-f (u)dulimx0 x2xf(x)(x 0)(x 0)f(x)limx02x戈叫g (x)00-f(u)du~2x13 . dy 解:dx2 -y x2 —dxx四、14 .In2—dxxInxdxC)2,g(x)在x 0处连续。
一、填空题(每空 2 分,共20 分)1、在C语言和C55x汇编语言的混合程序设计中,C函数的参数和返回值传递到C55x的寄存器中。
在函数“long func(int *p1, int i2, int i3, int i4) ”中,*p1 传递到AR0 寄存器,i2 传递到T0 寄存器,i4 传递到AR1 寄存器,返回值由AC0 寄存器传递。
2、汇编语言“mov*AR0,AC0”使用的寻址方式是间接寻址模式,“mov#0x3,DPH”使用的寻址方式是直接寻址模式,“mov*(#0x011234) ,T2”使用的寻址方式是绝对寻址模式。
3、指令执行前AC0的值是0012345678,那么汇编语句“AND #0x7f ,AC0”,执行之后,AC0的值是0000000078 。
4、C55x 的链接器命令文件中,SECTIONS命令的主要作用是告诉链接器如何将输入段组合成输出段,以及在存储器何处存放输出。
MEMOR命Y令的主要作用是定义目标系统的存储器配置图,包括对存储器各部分的命名,以及规定它们的起始地址和长度。
二、简述题(共40 分)1、根据你的理解,试列举DSP 芯片的特点?(5 分)答:哈佛结构;多总线结构;指令系统的流水线操作;专用的硬件乘法器;特殊的DSP 指令;快速的指令周期;丰富的外设2、TMS320C55x芯片的总线结构有何特点,主要包括哪些总线?它们的功能是什么?(6 分)答:TMS320C55x DSP采用先进的哈佛结构并具有十二组总线,其独立的程序总线和数据总线允许同时读取指令和操作数,实现高度的并行操作。
采用各自分开的数据总线分别用于读数据和写数据,允许CPU在同一个机器周期内进行两次读操作数和一次写操作数。
独立的程序总线和数据总线允许CPU同时访问程序指令和数据。
包括12 条总线,分别是:PAB和PB、BAB和BB、CAB和CB、DAB和DB、EAB和EB、FAB和FB。
3、DSP为了降低功耗采取了哪些措施?( 6 分)答:双电压供电;多种工作模式4、TMS320C55x的总存储空间为多少?可分为哪 3 类,它们的大小是多少?存储器空间的各自作用是什么?( 6 分)答:程序空间16M Byte ;I/O 空间64K Words;数据空间8M Words5、TMS320C55x有哪些寻址方式,它们是如何寻址的?试为每种寻址方式列举一条指令(6 分)答:直接寻址模式,mov #K16,DP;间接寻址模式,mov *AR0,AC0;绝对寻址模式,mov *(#0x011234) ,T2;MMR寻址模式,mov *abs16( #AR2), T2 ;寄存器位寻址模式,btstp @30, AC1 ;圆形寻址模式。
一、 填空题(每空2分,共20分)1、在C 语言和C55x 汇编语言的混合程序设计中,C 函数的参数和返回值传递到C55x 的寄存器中。
在函数“long func(int *p1, int i2, int i3, int i4)”中,*p1传递到 AR0 寄存器,i2传递到 T0 寄存器,i4传递到 AR1 寄存器,返回值由 AC0 寄存器传递。
2、汇编语言“mov *AR0,AC0”使用的寻址方式是 间接寻址模式 ,“mov #0x3,DPH ”使用的寻址方式是 直接寻址模式 ,“mov *(#0x011234),T2”使用的寻址方式是 绝对寻址模式 。
3、“AND #0x7f , AC0”,执行之后,AC0的值是 0000000078 。
4、C55x 的链接器命令文件中,SECTIONS 命令的主要作用是 告诉链接器如何将输入段组合成输出段,以及在存储器何处存放输出 。
MEMORY 命令的主要作用是 定义目标系统的存储器配置图,包括对存储器各部分的命名,以及规定它们的起始地址和长度 。
二、简述题(共40分)1、根据你的理解,试列举 DSP 芯片的特点?(5分)答:哈佛结构;多总线结构;指令系统的流水线操作;专用的硬件乘法器;特殊的DSP 指令;快速的指令周期;丰富的外设2、TMS320C55x 芯片的总线结构有何特点,主要包括哪些总线?它们的功能是什么?(6分)答:TMS320C55x DSP 采用先进的哈佛结构并具有十二组总线,其独立的程序总线和数据总线允许同时读取指令和操作数,实现高度的并行操作。
采用各自分开的数据总线分别用于读数据和写数据,允许CPU 在同一个机器周期内进行两次读操作数和一次写操作数。
独立的程序总线和数据总线允许CPU 同时访问程序指令和数据。
包括12条总线,分别是:PAB 和PB 、BAB 和BB 、CAB 和CB 、DAB 和DB 、EAB 和EB 、FAB 和FB 。
dsp期末考试试卷一、选择题(每题2分,共20分)1. 在数字信号处理中,离散傅里叶变换(DFT)的主要应用是什么?A. 信号的频谱分析B. 信号的时域分析C. 信号的压缩D. 信号的滤波2. 下列哪个算法不是用于数字滤波器设计?A. 窗函数法B. 巴特沃斯法C. 切比雪夫法D. 快速傅里叶变换法3. 在数字信号处理中,卷积运算通常用于实现哪种类型的滤波器?A. 线性时不变(LTI)滤波器B. 线性时变(LTV)滤波器C. 非线性时不变(NTI)滤波器D. 非线性时变(NTV)滤波器4. 采样定理指出,为了避免混叠现象,采样频率至少应为信号最高频率的多少倍?A. 1倍B. 2倍C. 3倍D. 4倍5. 在数字信号处理中,Z变换通常用于分析哪种类型的系统?A. 连续时间系统B. 离散时间系统C. 线性时不变系统D. 线性时变系统6. 下列哪个选项不是数字信号处理中的调制技术?A. 幅度调制(AM)B. 频率调制(FM)C. 相位调制(PM)D. 时间调制(TM)7. 在数字信号处理中,滤波器的频率响应通常用哪种图表示?A. 幅频图B. 相频图C. 群延时图D. 所有选项8. 离散余弦变换(DCT)通常用于哪种类型的信号处理?A. 语音信号B. 图像信号C. 音频信号D. 视频信号9. 在数字信号处理中,希尔伯特变换用于实现什么功能?A. 信号的滤波B. 信号的调制C. 信号的解调D. 信号的包络检测10. 下列哪个算法不是用于谱估计?A. 周期图法B. 协方差法C. 音乐法D. 快速傅里叶变换法二、填空题(每题2分,共20分)11. 数字信号处理中的奈奎斯特频率是信号最高频率的________倍。
12. 离散时间信号的傅里叶变换(DTFT)是连续的,而离散傅里叶变换(DFT)是________的。
13. 在数字信号处理中,窗函数用于________频谱泄漏。
14. 巴特沃斯滤波器的设计基于________多项式。
一、填空题(每空2分,共20分)1、在C语言和C55x汇编语言的混合程序设计中,C函数的参数和返回值传递到C55x 的寄存器中。
在函数“Io ng fun c(i nt *p1, i nt i2, i nt i3, i nt i4)”中,*p1传递到____ AR「寄存器,i2传递到________ TO_ 寄存器,i4传递到_AR1 ________ 寄存器,返回值由____ AC0—寄存器传递。
2、汇编语言“mov*AR0, AC0使用的寻址方式是_间接寻址模式“mov#0x3, DPH使用的寻址方式是—直接寻址模式_mov*(#0x011234),T2”使用的寻址方式是_绝对寻址模式_。
3、指令执行前AC0的值是00,那么汇编语句“AND #0x7f,AC0”,执行之后,AC0的值是____ 0000000078 ______ 。
4、 C55x的链接器命令文件中,SECTION命令的主要作用是_告诉链接器如何将输入段组合成输出段,以及在存储器何处存放输出_。
MEMORY令的主要作用是—定义目标系统的存储器配置图,包括对存储器各部分的命名,以及规定它们的起始地址和长度_。
二、简述题(共40分)1、根据你的理解,试列举 DSP芯片的特点?( 5分)答:哈佛结构;多总线结构;指令系统的流水线操作;专用的硬件乘法器;特殊的DSP 指令;快速的指令周期;丰富的外设2、T MS320C55)芯片的总线结构有何特点,主要包括哪些总线?它们的功能是什么?( 6分)答:TMS320C55X DSP采用先进的哈佛结构并具有十二组总线,其独立的程序总线和数据总线允许同时读取指令和操作数,实现高度的并行操作。
采用各自分开的数据总线分别用于读数据和写数据,允许CPU在同一个机器周期内进行两次读操作数和一次写操作数。
独立的程序总线和数据总线允许CPU同时访问程序指令和数据。
包括12条总线,分别是:PAB和PB BAB和BB CAB和CB DAB和DB EAB和EB FAB 和FB。
《DSP原理与应用》期末考试试题一、选择题(每题2分,共20分)1、在数字信号处理中,常用的滤波器是()。
A.巴特沃斯滤波器B.贝塞尔滤波器C.拉普拉斯滤波器D.理想滤波器2、在进行傅里叶变换时,如果采样频率为fs,则采样点数为N的信号的离散傅里叶变换的结果中,频域的分辨率是()。
A. fs/NB. 2fs/NC. fs/(2N)D. fs/(2N+1)3、在进行Z变换时,如果时间序列的采样点数为N,则Z变换的收敛域是()。
A. |z|<NB. |z|<N+1C. |z|<N-1D. |z|<N-24、在进行小波变换时,如果小波基为ψ(t),则小波变换的结果是一个()。
A.实数序列B.复数序列C.实数矩阵D.复数矩阵5、在进行离散傅里叶变换时,如果信号的采样点数为N,则其频率分辨率是()。
A. 2π/NB. π/NC. π/(2N)D. π/(N+1)二、填空题(每题3分,共30分)1、在数字信号处理中,常用的滤波器有________、________、________、________。
2、在进行傅里叶变换时,如果采样频率为fs,则采样点数为N的信号的离散傅里叶变换的结果中,频域的分辨率是________。
3、在进行Z变换时,如果时间序列的采样点数为N,则Z变换的收敛域是|z|<________。
4、在进行小波变换时,如果小波基为ψ(t),则小波变换的结果是一个________。
5、在进行离散傅里叶变换时,如果信号的采样点数为N,则其频率分辨率是________。
6、在数字信号处理中,常用的窗函数有________、________、________、________。
7、在进行数字滤波器的设计时,常用的方法有________、________、________。
8、在进行数字信号的分析时,常用的工具包括________、________、________。
《美学原理》期末考试试题及答案一、单项选择题1、下列哪个选项不属于美学的研究范畴?A.绘画、音乐、诗歌等艺术形式的美学原理B.建筑、设计、自然等现实生活中的美学应用C.精神分析学、现象学等其他学科的美学分支D.美食、时尚、旅游等消费领域的美学实践正确答案:C.精神分析学、现象学等其他学科的美学分支。
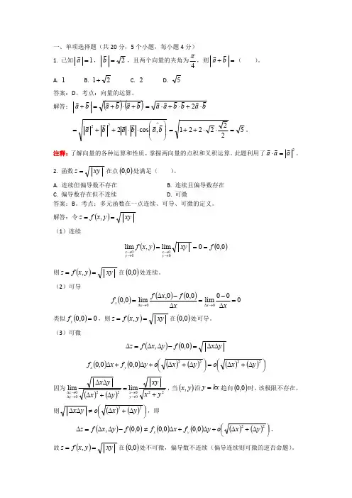
一、单项选择题(共20分,5个小题,每小题4分)1.已知1=a,2=b ,且两个向量的夹角为4π,则=+b a ()。
A.1B.21+ C.2D.5答案:D 。
考点:向量的运算。
解答:()()b a b a b a+⋅+=+ba b b a a ⋅+⋅+⋅=2⎪⎪⎭⎫ ⎝⎛⋅⋅++=∧b a b a b a,cos 2225222221=⋅⋅++=。
注释:了解向量的各种运算和性质,掌握两向量的点积和叉积运算。
此题利用了2a a a=⋅。
2.函数xy z =在点()0,0处满足()。
A.连续但偏导数不存在B.连续且偏导数存在C.偏导数存在但不连续D.可微答案:B 。
考点:多元函数在一点连续、可导、可微的定义。
解答:令()xyy x f z ==,(1)连续()()0,00lim,lim 0000f xy y x f y x y x ===→→→→则()xy y x f z ==,在()0,0处连续。
(2)可导()()()000lim 0,00,lim0,000=∆-=∆-∆=→∆→∆x x f x f f x x x 类似()00,0=y f ,则()xy y x f z ==,在()0,0处可导。
(3)可微()()y x f y x f z ∆∆=-∆∆=∆0,0,()()()()()()⎪⎭⎫ ⎝⎛∆+∆=⎪⎭⎫⎝⎛∆+∆+∆+∆22220,00,0y x o y x o y f x f y x 因为()()2202200limlimy x xy y x yx y x y x +=∆+∆∆∆→→→∆→∆,当()y x ,沿kx y =趋向()0,0时,该极限不存在,则()()⎪⎭⎫⎝⎛∆+∆≠∆∆22y x o y x ,即()()0,0,f y x f z -∆∆=∆()()()()⎪⎭⎫⎝⎛∆+∆+∆+∆≠220,00,0y x o y f x f y x ,故()xy y x f z ==,在()0,0处不可微,偏导数不连续(偏导连续则可微的逆否命题)。
DSP期末试题与答案一、填空题:1. DSP芯片的结构特点主要有改进的哈佛结构、低功耗设计______________、高度并行性___________ 、多处理单元、特殊的DSP指令等。
2. C54x DSP具有两个40 位累加器。
累加器A的AG 或32-39 位是保护位。
3. 软件中断都是由INTR K 、TRAP K 和RESET 产生。
4. TMS320C54X片内有8条16位主总—存程序总线、—、4 条地址总线________ 。
5. MEMRC的作用是用于描述系统实际的硬件资源,用来定义用户设计的系统中所包含的各种形式的存储器,以及它们占据的地址范围,SECTIONS的作用是用于描述输入段怎样被组合到输出段内,在可执行程序内定义输出段,规定存储器内何处存放置输出段,允许重命名输出段。
6. 执行复位操作后,下列寄存器的初始值分别为: ASM= _0 _________ 、DP= _0 ________ 。
7. TMS320C54X有三种类型的串行口:标准同步串行口(SPI)、缓冲串行口(BSP ___________ 、和8?桶形移位器能把输入的—0-31 位的左移和0-15 位的右移。
9. 即寻址方式中的立即数有两种数值形式,数值的位数为3、5、8、9 _________ 位时为短立即数;数值的位数为J6 __________ 位时是长立即数。
10. ________________________________________ DSP片内寄存器在C 语言中一般米用扌旨针____________________________________________方式来访问,常常米用的方法是将DSP寄存器地址的列表定义在头文件中(reg.h )______________。
11. 所有TMS320C54)芯片内部都包含程序存储器和数据___________ 存储器。
12. 直接寻址就是在指令中包含有数据存—低7位用作偏移地址,并与基地地址组成16位的数据存储器地址。
一、单项选择题(本大题有4小题,每小题4分,共16分) 1 设 f ( X):A) f (0)设 2.(X)cos X(X 2(B)f(°)1 X(x)1 X sin x ),则在x 0处有(1( C ) f (0)3 33 x ,则当x(C)3.若(X)与(X) 是同阶无穷小, (X)是比(X)高阶的无穷小;X(2tF(x)函数但不是等价无穷小;(D)(B) 函数 (C) 函数 (D) 函数 F(x)必在x F (x)必在x F (x)在 xF(x)在 x ).(D ) f(x)不可导.1时((B)(X)与(X)是等价无穷小;(X)是比(X)高阶的无穷小.x)f(t)dt ,其中f(x)在区间上(1,1)二阶可导且f (x)0,则’ 设f (x)是连续函数, 4.2 X (B) 20处取得极大值; 0处取得极小值;0处没有极值,但点(°,F(0))为曲线y F(x)的拐点;0处没有极值,点(°,F (°))也不是曲线y F (x)的拐点。
1 2 0 f (x) x f (t)dt ,贝U f (x)( 2 X (A) 2二、填空题(本大题有 5. 4小题,每小题4分,共16 分) 2 lim (1 3x)K x 0 \ / 6. 已知空仝是f(x)的一个原函数 f(x) 空xdx x 7.li m n—(cos 2— n n 2 cos2 cos 2x arcsin x 1dx 8. 三、解答题(本大题有 5小题,设函数y y(X)由方程 1 x 77 X 9.每小题 e x y 8分,共40分)sin (xy) 1 确定,求(X)以及y (0)10. 求X(1 -dx. ) 11. 12.设f (x) xex ,\ 2x x 2g(x)设函数f(x)连续,并讨论g(x)在x 0处的连续性.13f(x)dx .f(xt)dt,且limA()x 0X,A 为常数.求g(x)四、解答题(本大题io 分)14. 已知上半平面内一曲线y y(x) (x°),过点(O,1),且曲线上任一点M(xo ,yo )处切线斜率数值上等于此曲线与 x 轴、y轴、直线Xx°所围成面积的2倍与该点纵坐标之和,求此曲线方程.五、解答题(本大题1°分)15. 过坐标原点作曲线y ln x的切线,该切线与曲线y ln x及x 轴围成平面图形D.(1) 求D 的面积A ; (2)求D 绕直线x = e 旋转一周所得旋转体的体积 V.六、证明题(本大题有 2小题,每小题4分,共8 分)13.求微分方程xy 2y xsx 满足y(i)1 9的解.16.设函数f(x)在q 1 f(x)d x q0 00,1上连续且单调递f (x)dx 减,证明对任意的q[0,1]17.设函数f(x)在0, f (x) d 上连续,且0 0 f(x)cos x dx.证明: 在0, 内至少存在两个不同的点1 x F(x) f(x)dx 0) f( J f( 2) 0.(提示:设一、单项选择题(本大题有4小题,每小题 1、D 2、A 3、C4分,共16分)4、C 二、填空题(本大题有65.e三、解答题(本大题有 解:方程两边求导 y) 4小题,每小题 1 COSX 2 .6.2T 5小题,每小题4分,共 c.7.8 分,:9. x y . e (1 y(x) x 0, 10.y 7解:u x1 原式 16分)2.40分) 8.cos(xy)(xy e x y e x y0,y(0) 7x 6dx ycos(xy) xcos(xy)1 du y)7 u(1 1外 n|u| 】ln | x 71 7 1 閱 3 f (x)dx 解:32ln|u2 In |1 7xe3(丄 u1|) x 7xdxu 1)du 02xx 2dx12.解:由g(x)g(x)g(0)xxe2e3f(0)f(xt)dt1、1 (x 1)2dx0 2 人cos d (令x21 sin )g(o)-f (u)duxt uxf (x) f (u)du2x-f (u)dulimx0 x2xf(x)(x 0)(x 0)f(x)limx02x戈叫g (x)00-f(u)du~2x13 . dy 解:dx2 -y x2 —dxx四、14 .In2—dxxInxdxC)2,g(x)在x 0处连续。
在节电模式下,使之更适合于手机。
(7)在片仿真接口,片上的JTAG接口符合IEEE149.1边界扫描逻辑接口标准,可与主机连接,用于芯片的仿真和测试。
9.定时器由哪些寄存器组成,他们是如何工作的?答:定时器主要由3个寄存器所组成,包括定时寄存器TIM 、定时周期寄存器 PRD 、定时控制寄存器TCR。
定时寄存器TIM是一个减1计数器,提供定时器目前的计数值;周期定时器PRD用来存取定时时间常数;定时控制寄存器TCR中包含定时器的控制位和状态位,可以使能和屏蔽定时器,决定定时器的工作模式,用来控制定时器的操作。
二、指令解释1、MAC *AR3+,*AR4+,A,B;B=A-*AR3+*AR4;AR3=AR3+1;AR4=AR4+12、SUB #12345,8,A,B;B=A-12345<<83、ADD *AR2+,*AR2-,A;A=*(AR2)+*(AR2+1)4、RPT #99NOP;重复NOP100次5、MVDD *AR3+,*AR5+;数据存储器内部传送数据AR3→AR5,且指令结束后AR3与AR5加16、ABDST *AR3+,*AR4+;B=(*AR3-*AR4)<<167、CALA A;按累加器规定的地址调用子程序8、ST T,*AR7- *AR7=T,AR7=AR7-19、DST B,*AR1+ AR1=B,AR1=AR1+110、STA, *AR4+||LD *AR4-,A AR4=A,AR4=AR4+1|| A=AR4,AR4-111、LD #0032H,4,A;立即数0032H先左移4位后,再加载累加器A12、STM #1000H,*AR2;立即数1000H存储到AR2指向的地址单元13、MAC #345,A,B;立即数345与T寄存器内值相乘后与累加器A相加,结果加载累加器B14、MVDD *AR3-,100H;AR3指向的地址单元的值传送给地址100H,AR3中地址减一15、LDM *AR1,A;AR1指向的地址单元的值加载到累加器A16、LD #80H, A 把立即数80H装入累加器17、WRITA SMEM 把Smem所指定的数据存储单元中的一个数传送到累加器A所指定的成序存储单元18、PORTR FIFO,*AR5 把一个数从端口为FIFO的I/O口复制到AR5寄存器所指向的数据存储单元中19、LDM MMR ,A ;将MMR 装入累加器A 中20、MVKD SAMPLE,*AR521、ADD *AR3+,14,A ;将AR3左移14加上A →AAR3=AR3+122、MPYA TEMP2;B<=A.Temp2.T=Temp223、STA , *AR4+||LD *AR4-,A24、DST B ,*AR1-; B 存到长字单元 AR1中,且AR 减125、MACD *AR2-,COEFFS,A26、STL A ,@quot;将 累加器A 的低16位字存放在quot 的存储单元中27、ADD #4568H ,8,A ,B;将4568H 左移8位与A 相加,赋给B28、LDM AR1,A;存储器映像寄存器寻址方式,将映像寄存器加载累加器AR1 → A 的低位,其余位置为029、MVDD *AR3+,*AR5+;数据存储器内部传送数据AR3→AR5,且指令结束后AR3与AR5加130、MPYA TEMP2;B<=A.Temp2.T=Temp2四、编程1.用汇编语言编制计算的程序。
dsp原理与应用期末复习题一、选择题1. 数字信号处理(DSP)中的数字指的是什么?A. 信号的采样值B. 信号的模拟值C. 信号的模拟时间D. 信号的模拟频率2. 在DSP中,离散傅里叶变换(DFT)的主要作用是什么?A. 将模拟信号转换为数字信号B. 将数字信号转换为模拟信号C. 将时域信号转换为频域信号D. 将频域信号转换为时域信号3. 快速傅里叶变换(FFT)相比于DFT的主要优势是什么?A. 更高的精确度B. 更快的计算速度C. 更低的计算复杂度D. 更好的信号稳定性4. 下列哪个算法不是用于数字滤波器设计?A. 窗函数法B. 巴特沃斯法C. 卡尔曼滤波D. 切比雪夫法5. 在数字信号处理中,什么是卷积?A. 一种信号的加法运算B. 一种信号的乘法运算C. 一种信号的乘积运算D. 一种信号的时间延迟运算二、简答题1. 解释什么是数字信号处理,并简述其在现代通信系统中的应用。
2. 描述离散傅里叶变换(DFT)和快速傅里叶变换(FFT)的区别和联系。
3. 数字滤波器有哪些类型?请列举至少三种,并简要说明它们的特点。
4. 解释什么是傅里叶变换的时移性质,并给出一个具体的例子。
5. 在数字信号处理中,什么是过采样和欠采样?它们各自的优缺点是什么?三、计算题1. 给定一个离散时间信号 \( x[n] = \{3, 5, 2, 7, 4, 6\} \),请计算其DFT \( X[k] \)。
2. 假设有一个低通滤波器,其理想频率响应为 \( H(\omega) =\begin{cases} 1 & \text{for } 0 \leq \omega \leq \pi/2 \\ 0 & \text{for } \pi/2 < \omega \leq \pi \end{cases} \),请设计一个简单的数字滤波器来近似这个理想频率响应。
3. 给定两个离散信号 \( x[n] = \{1, 2, 3\} \) 和 \( y[n] = \{4, 5, 6\} \),请计算它们的线性卷积 \( z[n] = x[n] * y[n] \)。
期末考试试题:一、在括号中填上正确的内容:(20分)1. 8031单片机的最大寻址空间是(),该空间的地址范围为()。
2. 031的R0~R7寄存器在不同的区其对应的RAM地址不一样,当RS1,RS2=11时,R0的地址=()3. 8031具有四个双向8位I/O口,每个I/O线均由(),()和输入缓冲器组成。
每一条口线可独立用作输入又可用作输出,作输出时可()数据,作输入时可缓冲数据。
4. 上电复位以后,8031的各I/O口输出为()电平,SP=( )。
5. MCS-51系列单片机从外部数据存储器中读数据的指令是()或()6. 8031单片机内部包含哪些主要逻辑功能部件是()、()、()、()、()、()、()。
7. 8031指令中,ADD R0,R7 和SUBB A,20H,正确的是()8. MOVC A,@A+DPTR 指令执行的结果是()二、利用8031的T1定时器产生500US的定时,在P1.1输出周期为1MS的方波;F OSC=6MHZ。
完成程序设计。
(20分)三、设计一个程序,以9600bps的波特率将30H至3FH的内容通过串口发送出去。
单片机晶振频率为11.059MHz.(20分)四、设计一个电路,利用两片74LS373为89C51扩展16bit输出接口,地址自己定义。
(20分)五、设计一个程序,当8031有外部中断0产生时,把P1口置成低电平,并在P3.0输入低电平时把P1口变为高电平。
中断信号是电平跳变有效。
(20)参考答案:一、在括号中填上正确的内容:(20分)1. 8031单片机的最大寻址空间是(64K),该空间的地址范围为(0000-FFFFH)。
2. 031的R0~R7寄存器在不同的区其对应的RAM地址不一样,当RS1,RS2=11时,R0的地址=(18H)3. 8031具有四个双向8位I/O口,每个I/O线均由(锁存器),(输出电路)和输入缓冲器组成。
每一条口线可独立用作输入又可用作输出,作输出时可(锁存)数据,作输入时可缓冲数据。
dsp考试试题及答案DSP考试试题及答案一、单项选择题(每题2分,共20分)1. 在数字信号处理中,下列哪个算法用于消除信号中的直流分量?A. 快速傅里叶变换(FFT)B. 低通滤波器C. 带通滤波器D. 高通滤波器答案:D2. 离散傅里叶变换(DFT)的周期是:A. 2πB. 1D. 2N答案:C3. 下列哪个不是数字滤波器的设计方法?A. 窗函数法B. 频率采样法C. 巴特沃斯滤波器D. 傅里叶变换法答案:D4. 在数字信号处理中,采样定理要求采样频率至少是信号最高频率的多少倍?A. 1/2B. 1C. 2答案:C5. 一个线性时不变(LTI)系统,其输入为x[n],输出为y[n],则该系统对输入x[-n]的响应是:A. y[-n]B. -y[n]C. -y[-n]D. y[n]答案:A6. 以下哪个是因果系统的属性?A. 系统的脉冲响应是无限长的B. 系统的脉冲响应在所有时间上都是零C. 系统的输出在任何时间都不依赖于未来的输入D. 系统的输出在任何时间都依赖于未来的输入答案:C7. 一个数字滤波器的频率响应为H(e^jω),其相位响应为:A. H(e^jω)的实部B. H(e^jω)的虚部C. H(e^jω)的对数D. H(e^jω)的幅角答案:D8. 快速傅里叶变换(FFT)算法的主要优点是:A. 计算复杂度低B. 实时性C. 易于编程D. 精度高答案:A9. 在数字信号处理中,以下哪种滤波器的频率响应在通带和阻带之间有严格的分界?A. 巴特沃斯滤波器B. 切比雪夫滤波器C. 理想滤波器D. 椭圆滤波器答案:C10. 下列哪个是数字信号处理中的卷积运算?A. 两个序列的乘积B. 两个序列的和C. 两个序列的点乘D. 两个序列的加权和答案:D二、填空题(每题2分,共20分)1. 离散傅里叶变换(DFT)的公式为:X[k] = Σ(x[n] e^(-j 2π k n / N)),其中N是序列的长度,k和n的取值范围是________。
DSP原理及应用考试题库凯哥电子技术应用教研室2012.05.20目录一、填空题 (1)二、选择题 (7)三、判断题 (11)四、简答题 (13)五、程序阅读题 (18)六、指令分析 (28)七、程序改错题 (32)八、程序编写 (34)九、程序识读 (35)十、硬件电路分析 (37)一、填空题1.累加器A 分为三个部分,分别为 ; ; 。
2.TMS320VC5402型DSP 的内部采用 条 位的多总线结构。
3.TMS320VC5402型DSP 采用 总线结构对程序存储器和数据存储器进行控制。
4.TMS329VC5402型DSP 有 个辅助工作寄存器。
5.DSP 处理器TMS320VC5402中DARAM 的容量是 字。
6.TI 公司的DSP 处理器TMS320VC5402PGE100有___________个定时器。
7.在链接器命令文件中,PAGE 1通常指________存储空间。
8.C54x 的中断系统的中断源分为 中断和 中断。
9.TI 公司DSP 处理器的软件开发环境是__________________。
10.DSP 处理器TMS320VC5402外部有___________根地址线。
11.直接寻址中从页指针的位置可以偏移寻址 个单元。
12.在链接器命令文件中,PAGE 0通常指________存储空间。
13.C54x 系列DSP 处理器中,实现时钟频率倍频或分频的部件是_____________。
14.TMS320C54x 系列DSP 处理器上电复位后,程序从指定存储地址________单元开始工作。
15.TMS320C54x 系列DSP 处理器有_____个通用I/O 引脚,分别是_________。
16.DSP 处理器按数据格式分为两类,分别是_______;_____。
17.TMS329VC5402型DSP 的ST1寄存器中,INTM 位的功能是 。
18.MS320C54X DSP 主机接口HPI 是________位并行口。
一、单项选择题 (本大题有4小题, 每小题4分, 共16分)1. )(0),sin (cos )( 处有则在设=+=x x x x x f .(A )(0)2f '= (B )(0)1f '=(C )(0)0f '= (D )()f x 不可导.2. )时( ,则当,设133)(11)(3→-=+-=x x x x xx βα.(A )()()x x αβ与是同阶无穷小,但不是等价无穷小; (B )()()x x αβ与是等价无穷小;(C )()x α是比()x β高阶的无穷小; (D )()x β是比()x α高阶的无穷小.3.若()()()02xF x t x f t dt=-⎰,其中()f x 在区间上(1,1)-二阶可导且'>()0f x ,则( ).(A )函数()F x 必在0x=处取得极大值;(B )函数()F x 必在0x =处取得极小值;(C )函数()F x 在0x =处没有极值,但点(0,(0))F 为曲线()y F x =的拐点; (D )函数()F x 在0x =处没有极值,点(0,(0))F 也不是曲线()y F x =的拐点。
4.)()( , )(2)( )(1=+=⎰x f dt t f x x f x f 则是连续函数,且设(A )22x (B )222x +(C )1x - (D )2x +.二、填空题(本大题有4小题,每小题4分,共16分)5. =+→xx x sin 20)31(lim .6.,)(cos 的一个原函数是已知x f x x =⋅⎰x x xx f d cos )(则 .7.lim (cos cos cos )→∞-+++=22221n n n n n n ππππ .8.=-+⎰21212211arcsin -dx xx x .三、解答题(本大题有5小题,每小题8分,共40分)9. 设函数=()y y x 由方程sin()1x ye xy ++=确定,求'()y x 以及'(0)y . 10. .d )1(177x x x x ⎰+-求11. . 求,, 设⎰--⎪⎩⎪⎨⎧≤<-≤=1 32)(1020)(dx x f x x x x xe x f x12.设函数)(x f 连续,=⎰1()()g x f xt dt,且→=0()limx f x A x ,A 为常数. 求'()g x 并讨论'()gx 在=0x 处的连续性.13.求微分方程2ln xy y x x '+=满足=-1(1)9y 的解.四、 解答题(本大题10分)14. 已知上半平面内一曲线)0()(≥=x x y y ,过点(,)01,且曲线上任一点M x y (,)00处切线斜率数值上等于此曲线与x 轴、y 轴、直线x x =0所围成面积的2倍与该点纵坐标之和,求此曲线方程.五、解答题(本大题10分)15. 过坐标原点作曲线x y ln =的切线,该切线与曲线x y ln =及x 轴围成平面图形D.(1)求D 的面积A ;(2) 求D 绕直线x = e 旋转一周所得旋转体的体积V .六、证明题(本大题有2小题,每小题4分,共8分)16. 设函数)(x f 在[]0,1上连续且单调递减,证明对任意的[,]∈01q ,1()()≥⎰⎰q f x d x q f x dx.17. 设函数)(x f 在[]π,0上连续,且0)(0=⎰πx d x f ,0cos )(0=⎰πdx x x f .证明:在()π,0内至少存在两个不同的点21,ξξ,使.0)()(21==ξξf f (提示:设⎰=xdxx f x F 0)()()一、单项选择题(本大题有4小题, 每小题4分, 共16分) 1、D 2、A 3、C 4、C二、填空题(本大题有4小题,每小题4分,共16分)5.6e . 6.cx x +2)cos (21 .7. 2π. 8.3π.三、解答题(本大题有5小题,每小题8分,共40分) 9. 解:方程两边求导(1)cos()()0x y e y xy xy y +''+++=cos()()cos()x y x ye y xy y x e x xy +++'=-+0,0x y ==,(0)1y '=-10. 解:767u x x dx du == 1(1)112()7(1)71u du duu u u u -==-++⎰⎰原式 1(ln ||2ln |1|)7u u c =-++ 7712ln ||ln |1|77x x C =-++11. 解:1033()x f x dx xe dx ---=+⎰⎰⎰03()x xd e --=-+⎰⎰00232cos (1sin )x x xe e d x πθθθ----⎡⎤=--+-=⎣⎦⎰ 令3214e π=--12. 解:由(0)0f =,知(0)0g =。
dsp考试题及答案一、单项选择题(每题2分,共10题)1. DSP(数字信号处理器)的主要应用领域不包括以下哪一项?A. 音频处理B. 图像处理C. 通信系统D. 机械制造答案:D2. 在DSP系统中,以下哪一项不是数字滤波器的基本类型?A. FIR滤波器B. IIR滤波器C. 低通滤波器D. 机械滤波器答案:D3. 以下哪个不是DSP芯片的特点?A. 高速度B. 高精度C. 低功耗D. 大体积答案:D4. DSP中的定点运算和浮点运算的主要区别在于?A. 速度C. 存储空间D. 以上都是答案:B5. 在DSP编程中,以下哪个指令不是用于数据移动的?A. MOVB. MPYC. ADDD. SUB答案:B6. 以下哪个算法不是用于数字信号处理的?A. FFT算法B. DFT算法C. PID算法D. 卡尔曼滤波算法答案:C7. DSP系统中的A/D转换器的主要功能是什么?A. 将模拟信号转换为数字信号B. 将数字信号转换为模拟信号C. 放大模拟信号D. 压缩数字信号答案:A8. 在DSP中,以下哪个寄存器不是用于存储程序计数器的?B. SPC. BPD. AR答案:B9. 以下哪个不是DSP系统中的中断类型?A. 外部中断B. 定时器中断C. 串行通信中断D. 模拟中断答案:D10. DSP系统中的DMA(直接存储器访问)的主要作用是什么?A. 提高数据传输速度B. 减少CPU的计算负担C. 增加系统的存储容量D. 提高系统的功耗答案:A二、填空题(每题2分,共5题)1. DSP芯片通常采用_________位数据总线。
答案:162. 在DSP系统中,_________是一种常用的快速傅里叶变换算法。
答案:FFT3. DSP中的_________指令用于实现两个数的乘法运算。
答案:MPY4. 在DSP编程中,_________指令用于实现两个数的累加运算。
答案:ADD5. DSP系统中的_________是用于存储程序和数据的存储器。
以下内容在任亚洲同学原稿上()稍作修改,仅做参考,为了保证答案的正确性跟同志们的过科率,希望大家踊跃发现并改正其中的错误,如有修改请在修改完成后注明修改后的版本,谢谢合作!(本版本)。 温馨提示:X表示X—
1. 2812芯片:定点32位芯片。 2. 2000系列功能比较强。 3. 2812 I/O口供电电压,内核供电电压或。 4. 2812编译时.CMD是什么文件,.OUT是什么文件 答: CMD是链接命令文件,.OUT是最终可执行成文件。 5. 2812的3个CPU定时器是多少位 DSP采用段的概念,各个段的都有什么意思 答:○32位; ○已初始化的段:包含真实的指令跟数据,存放在程序储存空间。 未初始化的段:包含变量的地址空间,存放在数据存储空间。 6. 2812 时钟150M时,低速、高速外输时钟是多少 答:低速,高速75MHz 7. DSP总线结构是什么样子 答: 先进型哈弗结构。 8. 2812 CPU的中断有可屏蔽中断和不可屏蔽中断,分别是哪些 答:○可屏蔽中断:INT1~INT14 14个通用中断;DLOGINT数据标志中断;RTOSINT实时操作系统中断。 ○不可屏蔽中断:软件中断(INTR指令和TRAP指令);硬件中断NMI,非法指令陷阱;硬件复位中断;用户自定义中断。 9. 2812实际寻址空间是多少 答: 地址:00000~3FFFF(4M) 10. 2812一个事件管理器(EV)能够产生8路PWM波。(2路独立PWM波,3对6路互补PWM波) 11.DSP有3组地址总线,3组数据总线,分别是什么 答:地址:程序地址总线、数据读地址总线、数据写地址总线。 数据:程序读数据总线、数据读数据总线、数据写数据总线。 12. ADC模块有多少路采样通道 8*2=16路 13. SCI和SPI口哪一个需要设置波特率 SCI 14. 把目标文件下载到实验板怎么操作 答:File----load program 15. CAN通讯的最大带宽是多少 1M 16. 加上看门狗,2812内部定时器一共有多少个 答:3个CPU定时器,4个事件管理通用定时器,1个看门狗定时器,总共8个。 17. 2812DSP流水线深度为 8。 18. TI公司生产的最牛cpu是667x有8个核,320G mac /s。 注:mac是乘法累加 19. 2812AD满量程转换时,转换寄存器的值是多少 0xFFF0 20. 2812CPU最小系统:主芯片,电源模块,时钟电路,复位电路,JTAG电路 21. DSP生产厂家是TI公司,ADI公司,Freescale(飞思卡尔)公司。 22. TI公司的DSP芯片类型有C2000,C5000,C6000系列 23. DSP工程开发,需要编写4个文件:头文件,库文件,源文件,CMD文件。 24. 2812有2个事件管理器EVA、EVB,每一个事件管理器包含哪几个功能模块 答:通用定时器;全比较单元;捕获单元;正交编码电路。 25. 2812定时器计数周期怎么算 T=(TDDRH:TDDR+1)*(PRDH:PRD+1) /150 s 26. 2812在什么情况下工作于微处理器模式 MP/MC=0 27. 2812中断系统有一部分挂在PIE上面,这些都属于可屏蔽中断,那么能够响应中断的条件是什么 答: INTM置0响应总中断,其他的置1响应。(INTM=0,IFR=1,IER=1,PIEIFR=1,PIEIER=1,PIEACR=1) 28. 2812在进行引导时第一条程序在什么位置 0x3FFFC0 注:就是程序运行的起始地址,2^20byte=1M 29. 2812AD转换器的输入电压 0~3V。 30. 2812片内flash有128k*16位。 31. 2812的OTP模块是可编程模块可以多次擦写吗 不可以,是一次擦写。 32. 2812 ROM是只读存储器,flash是可以重复擦写的存储器。 33. 2812的供电电压 答: 当时钟频率为135MHZ时,内核电压,时钟频率为150MHZ时,内核电压 34. memory sections是 CMD文件里面的内容。 35. PIE支持多少个外部中断,实际上使用了多少个最大支持96个,实际使用45个。 36. 看门狗是干什么的通过软件,给看门狗计数器的密钥周期性的写明哪两个数 答:为DSP的运行情况进行“把脉”,如果发现程序跑飞或者状态不正常,便立即使DSP复位,提高系统的可靠性;周期性写入 0x55,0xAA。 37. SPI口和SCI口是干嘛的 答:SPI是串行外围设备接口,是一种高速的,全双工,同步的通信总线。SCI是相对于并行通信的,是双线串行异步通信技术的一种总称。SCI通信接口可以设计成rs232接口,也可以设计成rs485接口 38. 2812有多少个通用IO口 56个 39. 2812的乘法器是多少位 32位 40. 6000系列更适合处理图像。 41. 2812下载的程序是在片外flash运行。 42. CCS用什么打开什么窗口显示存储器的数据 view-memory 43. 2812的AD的最高的采样速率是多少 44. 2812有4种工作模式:正常模式,空闲模式,暂停模式,备用模式最省电的是暂停模式 45. 2812的DSP用 4字节空间用于存放中断服务程序的地址 46. CAN的抗通讯距离可以达到多远 10km 47. CMD文件下面有memory sections,其中memory下面的括号要写什么 答:PAGE0(程序空间),PAGE1(数据空间) 48. CCS建立工程到下载程序分成哪三(ji)步 答:新建工程—添加源文件、库文件、CMD文件—编译链接—下载 49. 2812的DSP可以实现倍频或者分频的是什么 PLL(锁相环)最大倍频系数为5 50. 2812一个周期内能算32位的乘法,16x16位能算2个,32x32位能算1个。 51. 2812的RAM多大 18Kx16位 52. 使用厂家的bootloader进行引导时MP/MC应该怎么设置 MP/MC=0 53. SCI口是串口时,地址是什么 答:0x00007050~0x0000705F,0x00007750~0x0000775F 54. 2812的高速外部时钟是不是一定比低速外部时钟快 不一定 55. 2812的中断向量的地址是不是不能改变 不是,能改变 56. DSP在编程时流水线是有冲突的。如,下一条指令在用上一条指令的结果时,上一条指令还没有计算完,这就引起了流水线冲突,必须打断。C语言写程序时有流水线冲突吗 答:C语言写的程序没有流水线冲突,汇编写程序时有流水线冲突。 57. DSP比51快,为什么 答:因为DSP有改进型哈弗结构,多路数据总线,指令流水线,地址发生器,硬件的乘法器,零开销循环。
最后有20分是第一个实验,主要考CMD文件以及注释。 第一个实验 1.系统初始化函数 /**************************************************************************** *文件名: *功 能:对2812的系统控制模块进行初始化 *作 者: likyo from hellodsp ****************************************************************************/ #include "" /**************************************************************************** *名 称:InitSysCtrl() *功 能:该函数对2812的系统控制寄存器进行初始化 *入口参数:无 *出口参数:无 ****************************************************************************/ void InitSysCtrl(void) { Uint16 i; EALLOW; 函数 /************************************ *文件名: *功 能:使用XF引脚作为通用的I/O口来控制LED灯的闪烁 **************************************/ #include "" #include "" void delay_loop(); eset : > PRAMH0, PAGE = 0 .text : > PRAMH0, PAGE = 0 .cinit : > PRAMH0, PAGE = 0
/* 存放数据区: */ .stack : > RAMM1, PAGE = 1 .bss : > DRAMH0, PAGE = 1 .ebss : > DRAMH0, PAGE = 1 .const : > DRAMH0, PAGE = 1 .econst : > DRAMH0, PAGE = 1 .sysmem : > DRAMH0, PAGE = 1
/* 存放外设0相关寄存器的结构: */ DevEmuRegsFile : > DEV_EMU, PAGE = 1 FlashRegsFile : > FLASH_REGS, PAGE = 1 CsmRegsFile : > CSM, PAGE = 1 XintfRegsFile : > XINTF, PAGE = 1 CpuTimer0RegsFile : > CPU_TIMER0, PAGE = 1 CpuTimer1RegsFile : > CPU_TIMER1, PAGE = 1 CpuTimer2RegsFile : > CPU_TIMER2, PAGE = 1 PieCtrlRegsFile : > PIE_CTRL, PAGE = 1 PieVectTable : > PIE_VECT, PAGE = 1
/* 存放外设2相关寄存器的结构: */ ECanaRegsFile : > ECAN_A, PAGE = 1 ECanaMboxesFile : > ECAN_AMBOX PAGE = 1
/* 存放外设1相关寄存器的结构: */ SysCtrlRegsFile : > SYSTEM, PAGE = 1 SpiaRegsFile : > SPI_A, PAGE = 1 SciaRegsFile : > SCI_A, PAGE = 1 XIntruptRegsFile : > XINTRUPT, PAGE = 1 GpioMuxRegsFile : > GPIOMUX, PAGE = 1 GpioDataRegsFile : > GPIODAT PAGE = 1