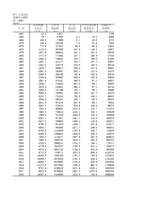
山东统计年鉴宏观经济数据处理:13-15 主要农业机械年末拥有量(2017-2018)
- 格式:xls
- 大小:23.00 KB
- 文档页数:4
类 别 单位
农业机械总动力 (万千瓦)
一、拖拉机及配套机械
拖拉机 (万台)
(万千瓦)
#大中型( 22.1千瓦以上) (万台)
(万千瓦)
拖拉机配套农具 (万部)
#与58.8千瓦及以上拖拉机配套 (万部)
二、种植业机械
机引犁 (万台)
旋耕机 (万台)
免耕播种机 (万台)
精量播种机 (万台)
农用水泵 (万台)
节水灌溉类机械 (万套)
谷物联合收割机 (万台)
(万千瓦)
#玉米联合收割机 (万台)
秸秆粉碎还田机 (万台)
机动脱粒机 (万台)
三、畜牧机械 (万台)
(万千瓦)
四、水产机械 (万台)
13-15 主要农业机械年末拥有量
Major Agricultural Machinery at the Ye
(万千瓦)
五、农产品初加工机械
农产品初加工动力机械 (万台)
(万千瓦)
农产品初加工作业机械 (万台)
七、农田基本建设机械 (万台)
(万千瓦)
八、其他机械
#农用航空器 (架)
注:部分指标统计口径、指标名称进行提升和更名。
a)Some indicators have been updated and renamed with
statistical caliber and indicator names.
Category Unit20172018
total power of agricultural machinery (10000 kw)10144.0510431.68
Tractors and related machinery
Tractor (10000 units)
247.97247.35
(10000 kw)
3992.184164.15
Large and Medium-sized( 14.7 kw and above) (10000 units)
60.4046.05
(10000 kw)
2416.622285.64
Tractor Supporting Tools (10000 units)
430.86438.21
Large and Medium-sized (10000 units)
110.2656.00
Farming Machinery
Mechanical Power Plow (10000 units)
141.37140.63
Rotary Tiller (10000 units)
33.9834.72
16.61
34.72
Agricultural Water-pump (10000 units)
294.85294.59
Water-saving Irrigation Machinery (10000 units)
52.6853.28
Combine Harvester (10000 units)
30.5431.52
(10000 kw)
1443.171546.56
Corn Combine Harvester (10000 units)
12.4513.01
Straw crushing Machinery (10000 units)
12.4612.93
Thresher (10000 units)
39.4539.69
Animal Husbandry Machinery (10000 units)23.0624.19
(10000 kw)
135.82139.11
Fishery Machinery (10000 units)14.8516.36
量
he Year-end
(10000 kw)
236.82109.97
Agricultural Products Primary Processing Machinery
Agricultural Products Primary Processing (10000 units)
101.00101.08
Power Machinery
(10000 kw)
921.99922.89
Agricultural Products Primary Processing (10000 units)
51.3151.61
Operating Machinery
Farmland Capital Construction Machinery (10000 units)4.324.34
(10000 kw)
288.14288.53
Other Machinery
Agricultural Aircraft (unit)
12472129