贴片稳压二极管代码W7
- 格式:pdf
- 大小:384.80 KB
- 文档页数:3
常用稳压二极管型号(转)2008-05-12 15:06:44原型号国外型号稳压值国替代型号1N746 H23 MA4030 RD417E RD217EB2.5-3.5 2CW511N747 1N748 1N749 HZ4 RD3.9E3.9-4.5 2CW521N750 1N751 HZ5 05Z5.1 RD5A RD5.1E4-5.8 2CW531N752 1N753 HZ6 HZ6.2E 05Z5.6E RD6A5.5-6.5 2CW541N754 HZ6.8E 02Z6。
8A RD6.8E RD7A 6.2-7.52CW551N755 1N756 HZ7 HZ7.5E 05Z7.5 RD7.57-8.5 2CW561N757 HZ9 RD9A8.5-9.52CW571N758 HZ10A RD10E9.2-10.52CW581N714 1N962 1S335 HZ11 HZ11E RD11E10-11.8 2CW591N963 HZ12E 05Z12 BZX79C12 RD12E11.5-12.5 2CW601N717 1N964 1S270 HZ12B2 MA113012.2-14 2CW611N718 1N965 1N966 HZ15-1 05Z15 RD15E13.5-17 2CW621N967 HZ18-1 HZ18-2 05Z18 RD18E16-19 2CW631N968 HZ20-1 RD20E18-212CW641N969 HZ24E RD24E20-242CW651N970 02Z2423-262CW661N971 HZ2725-282CW671N972 RD31E27-322CW681N973 1N974 HZ733 ZX0249E UPC574J31-35 2CW69 2CW70稳压二极管型号对照表美标稳压二极管型号1N4727 3V01N4728 3V31N4729 3V61N4730 3V91N4731 4V31N4732 4V71N4733 5V11N4734 5V61N4735 6V21N4736 6V81N4737 7V51N4738 8V21N4739 9V11N4740 10V1N4741 11V1N4742 12V1N4744 15V1N4745 16V1N4746 18V1N4747 20V1N4748 22V1N4749 24V1N4750 27V1N4751 30V1N4752 33V1N4753 36V1N4754 39V1N4755 43V1N4756 47V1N4757 51V需要规格书请到以下地址下载,.dccomponents./products/Rectifiers/Diode/Zener/经常看到很多板子上有M记的铁壳封装的稳压管,都是以美标的1N系列型号标识的,没有具体的电压值,刚才翻手册查了以下3V至51V的型号与电压的对照值,希望对大家有用1N4727 3V01N4728 3V31N4729 3V61N4730 3V91N4731 4V31N4732 4V71N4733 5V11N4734 5V61N4735 6V21N4736 6V81N4737 7V51N4738 8V21N4739 9V11N4740 10V1N4741 11V1N4742 12V1N4743 13V1N4744 15V1N4745 16V1N4746 18V1N4747 20V1N4748 22V1N4749 24V1N4750 27V1N4752 33V1N4753 36V1N4754 39V1N4755 43V1N4756 47V1N4757 51VDZ是稳压管的电器编号,是和1N4148和相近的,其实1N4148就是一个0.6V的稳压管,下面是稳压管上的编号对应的稳压值,有些小的稳压管也会在管体上直接标稳压电压,如5V6就是5.6V的稳压管。
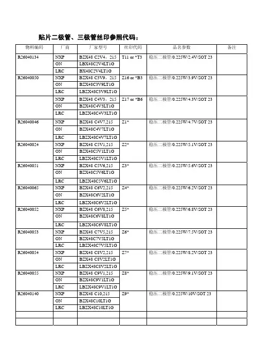
贴片二极管、三极管丝印参照代码:物料编码厂商厂家型号丝印代码品名参数备注R26040134T11 or *T3 稳压二极管/0.225W/2.4V/SOT-23 NXP BZX48-C2V4,215ON LBX48C2V4LT1GLRC BX48C2V4LT1GR26040050NXP BZX48-C3V9,215Z16 or *B3稳压二极管/0.225W/3.9V/SOT-23 ON BZX48C3V9LT1GLRC LBZX48C3V9LT1GZ17 or *B6稳压二极管/0.225W/4.3V/SOT-23 NXP BZX48-C4V3,215ON BZX48C4V3LT1GLRC LBZX48C4V3LT1GR26040046Z1* 稳压二极管/0.225W/4.7V/SOT-23 NXP BZX48-C4V7,215ON BZX48C4V7LT1GLRC LBZX48C4V7LT1GR26040024NXP BZX48-C5V1,215Z2* 稳压二极管/0.225W/5.1V/SOT-23 ON BZX48C5V1LT1GLRC LBZX48C5V1LT1GR26040051Z3* 稳压二极管/0.225W/5.6V/SOT-23 NXP BZX48-C5V6,215ON BZX48C5V6LT1GLRC LBZX48C5V6LT1GR26040065NXP BZX48-C6V2,215Z4* 稳压二极管/0.225W/6.2V/SOT-23 ON BZX48C6V2LT1GLRC LBZX48C6V2LT1GZ5* 稳压二极管/0.225W/6.8V/SOT-23R26040052NXP BZX48-C6V8,215ON BZX48C6V8LT1GLRC LBZX48C6V8LT1GZ6* 稳压二极管/0.225W/7.5V/SOT-23R26040053NXP BZX48-C7V5,215ON BZX48C7V5LT1GLRC LBZX48C7V5LT1GZ7* 稳压二极管/0.225W/8.2V/SOT-23 NXP BZX48-C8V2,215R26040054ON BZX48-C8V2LT1GLRC LBZX48C8V2LT1GZ8* 稳压二极管/0.225W/9.1V/SOT-23R26040055NXP BZX48-C9V1,215ON BZX48C9V1LT1GLRC LBZX48C9V1LT1GZ9* 稳压二极管/0.225W/10V/SOT-23R26040140NXP BZX48-C10,215ON BZX48C10LT1GLRC LBZX48C10LT1GNXP BZX48-C11,215R26040056Y1* 稳压二极管/0.225W/11V/SOT-23 ON BZX48C11LT1GLRC LBZX48C11LT1GR26040045NXP BZX48-C12,215Y2* 稳压二极管/0.225W/12V/SOT-23 ON BZX48C12LT1GLRC LBZX48C12LT1GR26040057Y3* 稳压二极管/0.225W/13V/SOT-23 NXP BZX48-C13,215ON BZX48C13LT1GLRC LBZX48C13LT1GY4* 稳压二极管/0.225W/15V/SOT-23R26040062NXP BZX48-C15,215ON BZX48C15LT1GLRC LBZX48C15LT1GR26040048Y5* 稳压二极管/0.225W/16V/SOT-23 NXP BZX48-C16,215ON BZX48C16LT1GLRC LBZX48C16LT1GR26040025NXP BZX48-C18,215Y6* 稳压二极管/0.225W/18V/SOT ON BZX48C18LT1GLRC LBZX48C18LT1GY7* 稳压二极管/0.225W/20V/SOT R26040105NXP BZX48-C20,215ON BZX48C20LT1GLRC LBZX48C20LT1GR26040058NXP BZX48-C22,215Y8* 稳压二极管/0.225W/22V/SOT ON BZX48C22LT1GLRC LBZX48C22LT1GY9* 稳压二极管/0.225W/24V/SOT R26040044NXP BZX48-C24,215ON BZX48C24LT1GLRC LBZX48C24LT1GY10 or *T2稳压二极管/0.225W/27V/SOT R26040059NXP BZX48-C27,215ON BZX48C27LT1GLRC LBZX48C27LT1GY11 or *T5稳压二极管/0.225W/30V/SOT NXP BZX48-C30,215R26040132ON BZX48C30LT1GLRC LBZX48C30LT1GY12 or *T6稳压二极管/0.225W/33V/SOT R26040139NXP BZX48-C33,215ON BZX48C33LT1GLRC LBZX48C33LT1GY13 or *T7稳压二极管/0.225W/36V/SOT R26040063NXP BZX48-C36,215ON BZX48C36LT1GLRC LBZX48C36LT1GNXP BAT54L4*ON BAT54LT1G L4* R26030030LRC LBAT54LT1G L4* 肖特基二极管/30V/200mA/290mW/SOT-23/SC 专用NXP BA V70 ON BA V70LT1G R26010012 LRC LBA V70LT1GA4*普通二极管/70V/200mA/1.0V/共阴/SOT-23NXP BA V99 ON BA V99LT1G LRC LBA V99LT1G R26010005A7* 普通二极管/70V/715mA/1.75V/双串联/SOT-23NXP PMBT3904 *1A 3904LT 1AMON MMBT3904LT1G LRC LMBT3904LT1G*1A LMBT3904TT MA R26080001 LMBT3904WT AM小信号三极管/NPN/40V/200mA/SOT-23NXP PMBT3906ON MMBT3906LT1G LRC LMBT3906LT1G*2ALMBT3906TT 2A R26080002LMBT3906DW A2小信号三极管/PNP/-40V/-200mA/SOT-23NXP PMBT4401ON MMBT4401LT1G R26080003LRC LMBT4401LT1G2X小信号三极管/NPN/40V/600mA/SOT-23NXP PMBT4403ON MMBT4403LT1G R26080004LRC LMBT4403LT1G2T小信号三极管/PNP/-40V/-600mA/SOT-23R25020098 ON OB226MMP GM944 PWM 电源芯片/OB226MMP/SOT-26 代码后三位与周期变化 R25020032 ON OB2262MP 62A21 PWM 电源芯片/OB2262MP/SOT-26 代码后三位与周期变化 R26010142 NXP 35200M/BAS16H A1 开关二极管/100V/215mA/4ns/SOD123F4R26010026 Diodes 1N4148W-7-F R26010070B PANJIT LL4148 T4SMD 二极管/75V/0.15A/1V/LL-34LRC LBAS40LT1G R26030069 ON BAS40LT1G B1肖特基二极管/40V/0.1A/0.60V/SOT-23LRC LBAT54LT1G JV3 NXP BAT54 R26030030ON BAT54LT1G L4W 肖特基二极管/30V/200mA/290mW/SOT-23/SCLRC LMBD7000LT1GNXP PMBD7000R26010030ON MMBD7000LT1G M5C开关二极管/100V/200mA/1.1V/串联/SOT-23LRC LBAS16LT1GON BAS16LT1GR26010099VISHAY BAS16-V-GS08 A6开关二极管/75V/200mA/6ns/SOT-23LRC LMBD914LT1GON MMBD914LT1G R26010011NXP PMBD914 5D普通二极管/100V/200mA/1.0V/SOT-23备注:*号表示制造产地*=P:香港制造*=T:马来西亚*=W:中国制造。
稳压管型号参数对照表(一)美标稳压二极管型号序号型号稳压值序号型号稳压值序号型号稳压值1 1N4727 3V0 2 1N4728 3V3 3 1N4729 3V6 4 1N4730 3V9 5 1N4731 4V3 6 1N4732 4V7 7 1N4733 5V1 8 1N4734 5V6 9 1N4735 6V2 10 1N4736 6V8 11 1N4737 7V5 12 1N4738 8V2 13 1N4739 9V1 14 1N4740 10V 15 1N4741 11V 16 1N4742 12V 17 1N4743 13V 18 1N4744 15V 19 1N4745 16V 20 1N4746 18V 21 1N4747 20V 22 1N4748 22V 23 1N4749 24V 24 1N4750 27V 25 1N4751 30V 26 1N4752 33V 27 1N4753 36V 28 1N4754 39V 29 1N4755 43V 30 1N4756 47V 31 1N4757 51V(二)有后缀字母A的稳压管型号DZ是稳压管的电器编号,是和1N4148和相近的,其实1N4148就是一个0.6V的稳压管,下面是稳压管上的编号对应的稳压值,有些小的稳压管也会在管体上直接标稳压电压,如5V6就是5.6V的稳压管。
序号型号稳压值序号型号稳压值序号型号稳压值1 1N4728A 3.3 2 1N4729A 3.6 3 1N4730A 3.9 4 1N4731A 4.3 5 1N4732A 4.7 6 1N4733A 5.1 7 1N4734A 5.6 8 1N4735A 6.2 9 1N4736A 6.8 10 1N4737A 7.5 11 1N4738A 8.2 12 1N4739A 9.1 13 1N4740A 10 14 1N4741A 11 15 1N4742A 12 16 1N4743A 13 17 1N4744A 15 18 1N4745A 16 19 1N4746A 18 20 1N4747A 20 21 1N4748A 22 22 1N4749A 24 23 1N4750A 27 24 1N4751A 30 25 1N4752A 33 26 1N4753A 36 27 1N4754A 39 28 1N4755A 43 29 1N4756A 47 30 1N4757A 51 31 1N4758A 56 32 1N4759A 62 33 1N4760A 68 34 1N4761A 75(三)摩托罗拉IN47系列1W稳压管序号型号稳压值序号型号稳压值序号型号稳压值1 IN4728 3.3v2 IN4729 3.6v3 IN4730 3.9v4 IN4731 4.3v5 IN4732 4.7v6 IN4733 5.1v7 IN4734 5.6v 8 IN4735 6.2v 9 IN4736 6.8v10 IN4737 7.5v 11 IN4738 8.2v 12 IN4739 9.1v13 IN4740 10v 14 IN4741 11v 15 IN4742 12v16 IN4743 13v 17 IN4744 15v 18 IN4745 16v19 IN4746 18v 20 IN4747 20v 21 IN4748 22v序号型号稳压值序号型号稳压值序号型号稳压值22 IN4749 24v 23 IN4750 27v 24 IN4751 30v 25 IN4752 33v 26 IN4753 34v 27 IN4754 35v 28 IN4755 36v 29 IN4756 47v 30 IN4757 51v (四)摩托罗拉IN52系列0.5w精密稳压管序号型号稳压值序号型号稳压值序号型号稳压值1 IN5226 3.3v 2 IN5227 3.6v 3 IN5228 3.9v 4 IN5229 4.3v 5 IN5230 4.7v 6 IN5231 5.1v 7 IN5232 5.6v 8 IN5233 6.0v 9 IN5234 6.2v 10 IN5235 6.8v 11 IN5236 7.5v 12 IN5237 8.2v 13 IN5238 8.7v 14 IN5239 9.1v 15 IN5240 10v 16 IN5241 11v 17 IN5242 12v 18 IN5243 13v 19 IN5244 14v 20 IN5245 15v 21 IN5246 16v 22 IN5247 17v 23 IN5248 18v 24 IN5249 19v 25 IN5250 20v 26 IN5251 22v 27 IN5252 24v 28 IN5253 25v 29 IN5254 27v 30 IN5255 28v 31 IN5256 30v 32 IN5257 33vIN57系列序号型号稳压值序号型号稳压值序号型号稳压值1 IN5730 5.6v 2 IN5731 6.2v 3 IN5732 6.8v 4 IN5733 7.5v 5 IN5734 8.2v 6 IN5735 9.1v 7 IN5736 10v 8 IN5737 11v 9 IN5738 12v 10 IN5739 13v 11 IN5740 15v 12 IN5741 16v 13 IN5742 18v 14 IN5743 20v 15 IN5744 22v 16 IN5745 24v 17 IN5746 27v 18 IN5747 30v 19 IN5748 33v 20 IN5749 36v 21 IN5750 39vIN59系列序号型号稳压值序号型号稳压值序号型号稳压值1 IN5985 2.4v 2 IN5986 2.7v 3 IN5987 3v 4 IN5988 3.3v 5 IN5989 3.6v 6 IN5990 3.9v 7 IN5991 4.3v 8 IN5992 4.7v 9 IN5993 5.1v 10 IN5994 5.6v 11 IN5995 6.2v 12 IN5996 6.8v 13 IN5997 7.5v 14 IN5998 8.2v 15 IN5999 9.1v 16 IN6000 10v 17 IN6001 11v 18 IN6002 12v 19 IN6003 13v 20 IN6004 15v 21 IN6005 16v 22 IN6006 18v 23 IN6007 20v 24 IN6008 22v(五)贴片型SOD-123穏压二极管Marking Code SINLOONSMD SOD-123 Zener DiodeType /V oltage / Marking Code序号型号代码标示电压序号型号代码标示电压HZD5221B Z21 2.4V HZD5222B Z22 2.5V HZD5223B Z23 2.7V HZD5224B Z242.8V HZD5225B Z253.0V HZD5226B Z26 3.3V HZD5227B Z273.6V HZD5228B Z28 3.9V HZD5229B Z294.3V HZD5230B Z304.7V HZD5231B Z315.1V HZD5232B Z32 5.6V HZD5233B Z336.0V HZD5234B Z34 6.2V HZD5235B Z35 6.8V HZD5236B Z367.5V HZD5237B Z37 8.2V HZD5238B Z38 8.7V HZD5239B Z39 9.1V HZD5240B Z40 10V HZD5241B Z41 11V HZD5242B Z42 12V HZD5243B Z43 13V HZD5244B Z44 14V HZD5245B Z45 15V。
稳压⼆极管型号对照表稳压⼆极管型号对照表作者: 晨昏 | 浏览数(51) | 评论数(0) | 10-21 21:39 稳压⼆极管型号对照表200W、230W、300W、350W、420W等各功率电脑电源上的整流部分散热⽚上的快恢复、肖特基⼆极管.型号如:1.快恢复⼆极管:F12C20 F16C20C U20C20C U20D20C2.肖特基⼆极管:S10C40C S16C40C S20C40C S30D40C S40D45C S40D60C3.光藕BPC817C ,IN5408、FR107/FR104/KBP206等不同种类⼆极管如何选⽤1.检波⼆极管的选⽤检波⼆极管⼀般可选⽤点接触型锗⼆极管,例如2AP系列等。
选⽤时,应根据电路的具体要求来选择⼯作频率⾼、反向电流⼩、正向电流⾜够⼤的检波⼆极管。
2.整流⼆极管的选⽤整流⼆极管⼀般为平⾯型硅⼆极管,⽤于各种电源整流电路中。
选⽤整流⼆极管时,主要应考虑其最⼤整流电流、最⼤反向⼯作电流、截⽌频率及反向恢复时间等参数。
普通串联稳压电源电路中使⽤的整流⼆极管,对截⽌频率的反向恢复时间要求不⾼,只要根据电路的要求选择最⼤整流电流和最⼤反向⼯作电流符合要求的整流⼆极管即可。
例如,1N系列、2CZ系列、RLR系列等。
开关稳压电源的整流电路及脉冲整流电路中使⽤的整流⼆极管,应选⽤⼯作频率较⾼、反向恢复时间较短的整流⼆极管(例如RU系列、EU系列、V系列、1SR系列等)或选择快恢复⼆极管。
3.稳压⼆极管的选⽤稳压⼆极管⼀般⽤在稳压电源中作为基准电压源或⽤在过电压保护电路中作为保护⼆极管。
选⽤的稳压⼆极管,应满⾜应⽤电路中主要参数的要求。
稳压⼆极管的稳定电压值应与应⽤电路的基准电压值相同,稳压⼆极管的最⼤稳定电流应⾼于应⽤电路的最⼤负载电流50%左右。
4、开关⼆极管的选⽤开关⼆极管主要应⽤于收录机、电视机、影碟机等家⽤电器及电⼦设备有开关电路、检波电路、⾼频脉冲整流电路等。
Y字头-贴片稳压二极管贴片元件标示代码查询表示符号实际元件生产厂结构封装类型参数及代换型号Y0s CGY121B Sie GaAs MMICY1 BZX84-C11 Phi C SOT230.3W zener 11V±5%Y1p BZX84-C11 Phi C SOT230.3W zener 11V±5%Y1 BZV49C11 Zet O SOT891W zener 11V ±5%Y2 CLY2 Sie DR MW6 3GHz GaAsfet 0.25W 3GHz Y2 BZX84-C12 Phi C SOT230.3W zener 12V±5%Y3 BZX84-C13 Phi C SOT230.3W zener 13V±5%Y4 BZX84-C15 Phi C SOT230.3W zener 15V±5%Y4 BZV49C15 Zet O SOT891W zener 15V ±5%Y5s CGY59 Sie DS SOT363 GaAs 0.9/1.8GHz preamp Y5 BZX84-C16 Phi C SOT230.3W zener 16V±5%Y5 BZV49C16 Zet O SOT891W zener 16V ±5%Y6s CGY62 Sie DS MW6 GaAs MMICY6 BZX84-C18 Phi C SOT230.3W zener 18V±5%Y7 CGY60 Sie DS MW6 GaAs preamp MMIC 1.8GHz Y7 BZX84-C20 Phi C SOT230.3W zener 20V±5%Y8 CGY120 Sie MW6 GaAs MMICY8 BZX84-C22 Phi C SOT230.3W zener 22V±5%Y8 BZV49C22 Zet O SOT891W zener 22V ±5%Y9s CGY121A Sie MW6 GaAs MMICY9 BZX84-C24 Phi C SOT230.3W zener 24V±5%Y9 BZV49C24 Zet O SOT891W zener 124V ±5%Y10 BZX84-C27 Phi C SOT230.3W zener 27V±5%Y11 BZX84-C30 Phi C SOT230.3W zener 30V±5%Y12 BZX84-C33 Phi C SOT230.3W zener 33V±5%Y13 BZX84-C36 Phi C SOT230.3W zener 36V±5%Y14 BZX84-C39 Phi C SOT230.3W zener 39V±5%Y15 BZX84-C43 Phi C SOT230.3W zener 43V±5%Y16 BZX84-C47 Phi C SOT230.3W zener 47V±5%Y17 BZX84-C51 Phi C SOT230.3W zener 51V±5%Y18 BZX84-C56 Phi C SOT230.3W zener 56V±5%Y19 BZX84-C62 Phi C SOT230.3W zener 62V±5%Y36 BZX84-C13V6 Phi C SOT230.3W zener 13.6V±5% Y50 BZX84-A2V4 Phi C SOT230.3W zener 2.4V ±1% Y51 BZX84-A2V7 Phi C SOT230.3W zener 2.7V ±1% Y52 BZX84-A3V0 Phi C SOT230.3W zener 3.0V ±1% Y53 BZX84-A3V3 Phi C SOT230.3W zener 3.3V ±1% Y54 BZX84-A3V6 Phi C SOT230.3W zener 3.6V ±1% Y55 BZX84-A3V9 Phi C SOT230.3W zener 3.9V ±1% Y56 BZX84-A4V3 Phi C SOT230.3W zener 4.3V ±1% Y57 BZX84-A4V7 Phi C SOT230.3W zener 4.7V ±1% Y58 BZX84-A5V1 Phi C SOT230.3W zener 5.1V ±1% Y59 BZX84-A5V6 Phi C SOT230.3W zener 5.6V ±1% Y60 BZX84-A6V2 Phi C SOT230.3W zener 6.2V ±1% Y61 BZX84-A6V8 Phi C SOT230.3W zener 6.8V ±1% Y62 BZX84-A7V5 Phi C SOT230.3W zener 7.5V ±1% Y63 BZX84-A8V2 Phi C SOT230.3W zener 8.2V ±1% Y64 BZX84-A9V1 Phi C SOT230.3W zener 9.1V ±1% Y65 BZX84-A10 Phi C SOT230.3W zener 10V ±1% Y66 BZX84-A11 Phi C SOT230.3W zener 11V ±1% Y67 BZX84-A12 Phi C SOT230.3W zener 12V ±1% Y68 BZX84-A13 Phi C SOT230.3W zener 13V ±1% Y69 BZX84-A15 Phi C SOT230.3W zener 15V ±1% Y70 BZX84-A16 Phi C SOT230.3W zener 16V ±1% Y71 BZX84-A18 Phi C SOT230.3W zener 18V ±1% Y72 BZX84-A20 Phi C SOT230.3W zener 20V ±1% Y73 BZX84-A22 Phi C SOT230.3W zener 22V ±1% Y74 BZX84-A24 Phi C SOT230.3W zener 24V ±1% Y75 BZX84-A27 Phi C SOT230.3W zener 27V ±1% Y76 BZX84-A30 Phi C SOT230.3W zener 30V ±1% Y77 BZX84-A33 Phi C SOT230.3W zener 33V ±1% Y78 BZX84-A36 Phi C SOT230.3W zener 36V ±1% Y79 BZX84-A39 Phi C SOT230.3W zener 39V ±1% Y80 BZX84-A43 Phi C SOT230.3W zener 43V ±1% Y81 BZX84-A47 Phi C SOT230.3W zener 47V ±1% Y82 BZX84-A51 Phi C SOT230.3W zener 51V ±1% Y83 BZX84-A56 Phi C SOT230.3W zener 56V ±1% Y84 BZX84-A62 Phi C SOT230.3W zener 62V ±1% Y85 BZX84-A68 Phi C SOT230.3W zener 68V ±1% Y86 BZX84-A75 Phi C SOT230.3W zener 75V ±1% YBs BSS84 Inf M SOT23p-ch mosfet 50V 0.13AYP BZX284-C2V7 Phi I SOD110 0.4W zener 2.7V E12 ±5% YQ BZX284-C3V0 Phi I SOD110 0.4W zener 3.0V E12 ±5% YR MSD601R Mot N SOT346 npn gp 25VYR BZX284-C3V3 Phi I SOD110 0.4W zener 3.3V E12 ±5% YS MSD601S Mot N SOT346 npn gp 25VYS BZX284-C3V6 Phi I SOD110 0.4W zener 3.6V E12 ±5% YT BZX284-C3V9 Phi I SOD110 0.4W zener 3.9V E12 ±5% YU BZX284-C4V3 Phi I SOD110 0.4W zener 4.3V E12 ±5% YV BZX284-C4V7 Phi I SOD110 0.4W zener 4.7V E12 ±5% YW BZX284-C5V1 Phi I SOD110 0.4W zener 5.1V E12 ±5% YX BZX284-C5V6 Phi I SOD110 0.4W zener 5.6V E12 ±5% YY BZX284-C6V2 Phi I SOD110 0.4W zener 6.2V E12 ±5% 补充:元器件标示代号封装形式实际元件型号制造工厂替换型号Y 2 SOD-523 BB182B PH2 SOD-523 HSMP-282Y AVY*4 QFN-4 HMPP-3893 AVY0S 6 MW-6 CGY121B IF3 SOT-23BZX84C11 NS SM ZE BZX79C11 Y13 SOT-89 BZV49C11 ZE BZV85C11 Y1** 3 SOT-23TC1273-5ENB MIY10 3 SOT-23BZX84C27 NS TH VAL BZX79C27 Y11 3 SOT-23BZX84C30 NS TH VAL BZX79C303 SC-59 2SA1464Y12 NEY123 SC-70 2SA1608Y12 NE3 SOT-23BZX84C33 NS TH VAL BZX79C333 SC-59 2SA1464Y13 NEY133 SC-70 2SA1608Y13 NE3 SOT-23BZX84C36 TH VAL BZX79C363 SC-59 2SA1464Y14 NEY143 SC-70 2SA1608Y14 NE3 SOT-23BZX84C39 TH VAL BZX79C393 SC-59 NTM2907AY15 2N2907A Y153 SOT-23BZX84C43 TH BZX79C43 Y16 3 SOT-23BZX84C47 TH VAL BZX79C47 Y17 3 SOT-23BZX84C51 TH VAL BZX79C51 Y18 3 SOT-23BZX84C56 TH VAL BZX79C56Y1p 3 SOT-23BZX84C11 PH BZX79C11 Y1t 3 SOT-23BZX84-C11 PHY1W 3 SOT-23BZX84-C11 PH3 SOT-23BZX84C12 NS SM ZE BZX79C12 Y26 MW-6 CLY2 IFY2** 3 SOT-23TC1273-10ENB MIY20 3 SOT-23BZX84C68 TH VAL BZX79C68 Y21 3 SOT-23BZX84C75 TH VAL BZX79C75 Y22 3 SC-59 2SA1461Y22 NEY23 3 SC-59 2SA1461Y23 NEY24 3 SC-59 2SA1461Y24 NEY25 3 SC-59 NTM3906Y25 2N3906Y2p 3 SOT-23BZX84C12 PH BZX79C12 Y2t 3 SOT-23BZX84-C12 PHY2W 3 SOT-23BZX84-C12 PHY3 3 SOT-23BZX84C13 NS SM ZE BZX79C13 Y3** 3 SOT-23TC1273-15ENB MI3 SC-59 2SA1462Y33 NEY333 SC-70 2SA1610Y33 NE3 SC-59 2SA1462Y34 NEY343 SC-70 2SA1610Y34 NEY36 3 SOT-23BZX84C13V6 ZEY3p 3 SOT-23BZX84C13 PH BZX79C13 Y3t 3 SOT-23BZX84-C13 PH3 SC-75 KA4A4Z NEY43 SOT-23BZX84C15 NS SM ZE BZX79C153 SOT-89 BZV49C15 ZE BZV85C15 Y4p 3 SOT-23BZX84C15 PH BZX79C15 Y4t 3 SOT-23BZX84-C15 PHY4W 3 SOT-23BZX84-C15 PH3 SOT-23BZX84C16 NS SM ZE BZX79C16 Y53 SOT-89 BZV49C16 ZE BZV85C16 Y50 3 SOT-23BZX84-A2V4 PHY51 3 SOT-23BZX84-A2V7 PHY52 3 SOT-23BZX84-A3V0 PHY53 3 SOT-23BZX84-A3V3 PHY55 3 SOT-23BZX84-A3V9 PHY56 3 SOT-23BZX84-A4V3 PHY57 3 SOT-23BZX84-A4V7 PHY58 3 SOT-23BZX84-A5V1 PHY59 3 SOT-23BZX84-A5V6 PHY5p 3 SOT-23BZX84C16 PH BZX79C16 Y5s 6 SOT-363 CGY59W IFY5t 3 SOT-23BZX84-C16 PHY5W 3 SOT-23BZX84-C16 PH3 SOT-23BZX84C18 NS SM ZE BZX79C18 Y66 MW-6 CGY120 SMY60 3 SOT-23BZX84-A6V2 PHY61 3 SOT-23BZX84-A6V8 PHY62 3 SOT-23BZX84-A7V5 PHY63 3 SOT-23BZX84-A8V2 PHY64 3 SOT-23BZX84-A9V1 PHY65 3 SOT-23BZX84-A10 PHY66 3 SOT-23BZX84-A11 PHY67 3 SOT-23BZX84-A12 PHY68 3 SOT-23BZX84-A13 PHY69 3 SOT-23BZX84-A15 PHY6p 3 SOT-23BZX84C18 PH BZX79C18 Y6s 6 MW-6 CGY62 IFY6t 3 SOT-23BZX84-C18 PHY6W 3 SOT-23BZX84-C18 PH3 SC-75 KN4A4Z NEY73 SOT-23BZX84C20 NS SM ZE BZX79C20 Y70 3 SOT-23BZX84-A16 PHY71 3 SOT-23BZX84-A18 PHY72 3 SOT-23BZX84-A20 PHY73 3 SOT-23BZX84-A22 PHY74 3 SOT-23BZX84-A24 PHY75 3 SOT-23BZX84-A27 PHY76 3 SOT-23BZX84-A30 PHY77 3 SOT-23BZX84-A33 PHY78 3 SOT-23BZX84-A36 PHY7p 3 SOT-23BZX84C20 PH BZX79C20 Y7s 6 MW-6 CGY60 IFY7t 3 SOT-23BZX84-C20 PHY7W 3 SOT-23BZX84-C20 PH3 SOT-23BZX84C22 NS SM ZE BZX79C22 Y83 SOT-89 BZV49C22 ZE BZV85C22 Y80 3 SOT-23BZX84-A43 PHY81 3 SOT-23BZX84-A47 PHY82 3 SOT-23BZX84-A51 PHY83 3 SOT-23BZX84-A56 PHY84 3 SOT-23BZX84-A62 PHY85 3 SOT-23BZX84-A68 PHY86 3 SOT-23BZX84-A75 PHY8p 3 SOT-23BZX84C22 PH BZX79C22 Y8t 3 SOT-23BZX84-C22 PHY8W 3 SOT-23BZX84-C22 PH3 SOT-23BZX84C24 NS SM ZE BZX79C24 Y93 SOT-89 BZV49C24 ZE BZV85C24 Y9p 3 SOT-23BZX84C24 PH BZX79C24 Y9S 6 MW-6 CGY121A IFY9t 3 SOT-23BZX84-C24 PHY9W 3 SOT-23BZX84-C24 PH3 SOT-23BCW61RA TFK BC558A YA6 SC-88 µPA679TB NEYAs 3 SOT-23BSS83P IF3 SOT-23BCW61RB TFK BC558B YB3 SOT-89 2SK680A NEYBs 3 SOT-23BSS84P IFYC 3 SOT-23BCW61RC TFK BC558B YD 3 SOT-23BCW61RD TFK BC558C YG 3 SOT-23BCX71RG TFK BC557A YH 3 SOT-23BCX71RH TFK BC557B YJ 3 SOT-23BCX71RJ TFK BC557B3 SOT-23BCX71RK TFK BC557C YK3 SOT-89 2SB1115YK NEYL 3 SOT-89 2SB1115YL NEYO 2 SOD-110 BZX284-C2V4 PH2 SOD-110 BZX284-C2V7 PH YP3 SOT-89 2SB1115AYP NE2 SOD-110 BZX284-C3V0 PH YQ3 SC-75 2PA1774Q PH3 SOT-89 2SB1115AYQ NE2 SOD-110 BZX284-C3V3 PH YR3 SC-75 2PA1774R PH2 SOD-110 BZX284-C3V6 PH YS3 SC-75 2PA1774S PH YT 2 SOD-110 BZX284-C3V9 PH YU 2 SOD-110 BZX284-C4V3 PH YV 2 SOD-110 BZX284-C4V7 PH YW 2 SOD-110 BZX284-C5V1 PH YX 2 SOD-110 BZX284-C5V6 PH YY 2 SOD-110 BZX284-C6V2 PH YZ 2 SOD-110 BZX284-C6V8 PH。
Z字头-贴片稳压二极管标示1 2 3 4 5 6 7 8 9 0A B C D E F G H I J K L M N O P Q R S T U V W X Y Z贴片元件标示代码表示查询DuQ838电子-技术资料-电子元件-电路图-技术应用网站-基本知识-原理-维修-作用-参数-电子元器件符号表示符号实际元件生产厂结构封装类型参数及代换型号Z0 SST310 Tem F SOT23 J310 n-ch jfetZ0 PDZ2.4B Phi I SOD323 2.4V 0.4W zenerZ08 SST308 Sil F SOT23 J308 n-ch jfetZ09 SST309 Sil F SOT23 J309 n-ch jfetZ10 SST310 Sil F SOT23 J310 n-ch jfetZ1 BZX84-C4V7 Phi C SOT23 0.3W zener 4.7VZ1 SSTJ211 Sil F SOT23 J211 n-ch jfetZ1 PDZ2.7B Phi I SOD323 2.7V 0.4W zenerZ1 IMZ1A Roh DE 2SC2414 npn,2SA1037AK pnpZ1 BZV49C4V7 Zet O SOT89 1W ±5% zener 4.7VZ2 BZX84-C5V1 Phi C SOT23 0.3W zener 4.7VZ2 SSTJ212 Sil F SOT23 J212 n-ch jfetZ2 IMZ2A Roh DF 2SC2414 npn,2SA1037AK pnpZ2 PDZ3.0B Phi I SOD323 3.0V 0.4W zenerZ2 BZV49C5V1 Zet O SOT89 1W ±5% zener 5.1VZ2U FMMTA63 Zet N SOT23 MPSA63Z2V FMMTA64 Zet N SOT23 MPSA64Z3 BZX84-C5V6 Phi C SOT23 0.3W zener 5.6VZ3 PDZ3.3B Phi I SOD323 3.3V 0.4W zenerZ3 2SK1078 Tos T SOT89 n-ch mosfet 60V 0.8AZ3 BZV49C5V6 Zet O SOT89 1W ±5% zener 5.6VZ4 BZX84-C6V2 Phi C SOT23 0.3W zener 6.2VZ4 PDZ3.6B Phi I SOD323 3.6V 0.4W zenerZ4 2SK1079 Tos T SOT89 n-ch mosfet 100V 0.6AZ5 BZX84-C6V8 Phi C SOT23 0.3W zener 6.8VZ5 PDZ3.9B Phi I SOD323 3.9V 0.4W zenerZ5 2SK1717 Tos T SOT89 n-ch mosfet 60V 2AZ5 BZV49C6V8 Zet O SOT89 1W ±5% zener 6.8VZ6 BZX84-C7V5 Phi C SOT23 0.3W zener 7.5VZ6 PDZ4.3B Phi I SOD323 4.3V 0.4W zenerZ6 2SJ238 Tos T SOT89 p-ch mosfet 60V 1AZ6 BZV49C7V5 Zet O SOT89 1W ±5% zener 7.5VZ7 BZX84-C8V2 Phi C SOT23 0.3W zener 8.2VZ7 PDZ4.7B Phi I SOD323 4.7V 0.4W zenerZ7 BZV49C8V2 Zet O SOT89 1W ±5% zener 8.2VZ8 BZX84-C9V1 Phi C SOT23 0.3W zener 9.1VZ8 PDZ5.1B Phi I SOD323 5.1V 0.4W zenerZ8 BZV49C9V1 Zet O SOT89 1W ±5% zener 9.1VZ9 BZX84-C10 Phi C SOT23 0.3W zener 10VZ9 PDZ5.6B Phi I SOD323 5.6V 0.4W zenerZ1 BZV49C10 Zet O SOT89 1W ±5% zener 10VZ10 SST310 Sil F SOT23 J310 n-ch jfetZ11 BZX84-C2V4 Phi C SOT23 0.3W zener 2.4V ±5%Z12 BZX84-C2V7 Phi C SOT23 0.3W zener 2.7V ±5%Z13 BZX84-C3V0 Phi C SOT23 0.3W zener 3.0V ±5%Z14 BZX84-C3V3 Phi C SOT23 0.3W zener 3.3V ±5%Z15 BZX84-C3V6 Phi C SOT23 0.3W zener 3.6V ±5%Z16 BZX84-C3V9 Phi C SOT23 0.3W zener 3.9V ±5%Z17 BZX84-C4V3 Phi C SOT23 0.3W zener 4.3V ±5%Z21 DTC113ZE Rho N EMT3 npn dtr 1k0 + 10k 50V 100mA Z21 DTC113ZUA Rho N SC70 npn dtr 1k0 + 10k 50V 100mA Z21 DTC113ZKA Rho N SC59 npn dtr 1k0 + 10k 50V 100mA Z50 BZX84-B2V4 Phi C SOT23 0.3W zener 2.4V ±2%Z51 BZX84-B2V7 Phi C SOT23 0.3W zener 2.7V ±2%Z52 BZX84-B3V0 Phi C SOT23 0.3W zener 3.0V ±2%Z53 BZX84-B3V3 Phi C SOT23 0.3W zener 3.3V ±2%Z54 BZX84-B3V6 Phi C SOT23 0.3W zener 3.6V ±2%Z55 BZX84-B3V9 Phi C SOT23 0.3W zener 3.9V ±2%Z56 BZX84-B4V3 Phi C SOT23 0.3W zener 4.3V ±2%Z57 BZX84-B4V7 Phi C SOT23 0.3W zener 4.7V ±2%Z58 BZX84-B5V1 Phi C SOT23 0.3W zener 5.1V ±2%Z59 BZX84-B5V6 Phi C SOT23 0.3W zener 5.6V ±2%Z60 BZX84-B6V2 Phi C SOT23 0.3W zener 6.2V ±2%Z61 BZX84-B6V8 Phi C SOT23 0.3W zener 6.8V ±2%Z62 BZX84-B7V5 Phi C SOT23 0.3W zener 7.5V ±2%Z63 BZX84-B8V2 Phi C SOT23 0.3W zener 8.2V ±2%Z64 BZX84-B9V1 Phi C SOT23 0.3W zener 9.1V ±2%Z66 BZX84-B11 Phi C SOT23 0.3W zener 11V ±2%Z67 BZX84-B12 Phi C SOT23 0.3W zener 12V ±2%Z68 BZX84-B13 Phi C SOT23 0.3W zener 13V ±2%Z69 BZX84-B15 Phi C SOT23 0.3W zener 15V ±2%Z70 BZX84-B16 Phi C SOT23 0.3W zener 16V ±2%Z71 BZX84-B18 Phi C SOT23 0.3W zener 18V ±2%Z72 BZX84-B20 Phi C SOT23 0.3W zener 20V ±2%Z73 BZX84-B22 Phi C SOT23 0.3W zener 22V ±2%Z74 BZX84-B24 Phi C SOT23 0.3W zener 24V ±2%Z75 BZX84-B27 Phi C SOT23 0.3W zener 27V ±2%Z76 BZX84-B30 Phi C SOT23 0.3W zener 30V ±2%Z77 BZX84-B33 Phi C SOT23 0.3W zener 33V ±2%Z78 BZX84-B36 Phi C SOT23 0.3W zener 36V ±2%Z79 BZX84-B39 Phi C SOT23 0.3W zener 39V ±2%Z80 BZX84-B43 Phi C SOT23 0.3W zener 43V ±2%Z81 BZX84-B47 Phi C SOT23 0.3W zener 47V ±2%Z82 BZX84-B51 Phi C SOT23 0.3W zener 51V ±2%Z83 BZX84-B56 Phi C SOT23 0.3W zener 56V ±2%Z84 BZX84-B62 Phi C SOT23 0.3W zener 62V ±2%Z85 BZX84-B68 Phi C SOT23 0.3W zener 68V ±2%Z86 BZX84-B75 Phi C SOT23 0.3W zener 75V ±2% ZA BZX284-C7V5 Phi I SOD110 0.4W zener 7.5V ±5% ZA PDZ6.2B Phi I SOD323 6.2V 0.4W zenerZB FMMT4123 Zet N SOT23 2N4123ZB PDZ6.8B Phi I SOD323 6.8V 0.4W zenerZB BZX284-C8V2 Phi I SOD110 0.4W zener 8.2V ±5% ZC FMMT4124 Zet N SOT23 2N4124ZC BZX284-C9V1 Phi I SOD110 0.4W zener 9.1V ±5% ZC PDZ7.5B Phi I SOD323 7.5V 0.4W zenerZD FMMT4125 Zet N SOT23 2N4125ZD MMBT4125 Mot N SOT23 2N4125ZD BZX284-C10 Phi I SOD110 0.4W zener 10V ±5% ZD PDZ8.2B Phi I SOD323 8.2V 0.4W zenerZE FMMT4126 Zet N SOT23 2N4126ZE MMBT4123 Nat N SOT23 2N4123ZE BZX284-C11 Phi I SOD110 0.4W zener 11V ±5% ZE PDZ9.1B Phi I SOD323 9.1V 0.4W zenerZF BZX284-C12 Phi I SOD110 0.4W zener 12V ±5% ZF PDZ10B Phi I SOD323 10V 0.4W zenerZG BZX284-C13 Phi I SOD110 0.4W zener 13V ±5% ZG PDZ11B Phi I SOD323 11V 0.4W zenerZH BZX284-C15 Phi I SOD110 0.4W zener 15V ±5% ZH PDZ12B Phi I SOD323 12V 0.4W zenerZHK SM2Z5V1 STM I 2W SMD 5.1V 2W zenerZHL SM2Z5V6 STM I 2W SMD 5.6V 2W zener ZHW SM2Z12 STM I 2W SMD 12V 2W zenerZI BZX284-C16 Phi I SOD110 0.4W zener 16V ±5% ZJ BZX284-C18 Phi I SOD110 0.4W zener 18V ±5% ZJ PDZ13B Phi I SOD323 13V 0.4W zenerZJF SM2Z18 STM I 2W SMD 18V 2W zenerZJQ SM2Z30 STM I 2W SMD 30V 2W zenerZK BZX284-C20 Phi I SOD110 0.4W zener 20V ±5% ZK PDZ15B Phi I SOD323 15V 0.4W zenerZKR SM2Z150 STM I 2W SMD 150V 2W zenerZL BZX284-C22 Phi I SOD110 0.4W zener 22V ±5% ZL PDZ16B Phi I SOD323 16V 0.4W zenerZM BZX284-C24 Phi I SOD110 0.4W zener 24V ±5% ZM PDZ18B Phi I SOD323 18V 0.4W zenerZN BZX284-C27 Phi I SOD110 0.4W zener 27V ±5% ZN PDZ20B Phi I SOD323 20V 0.4W zenerZO BZX284-C30 Phi I SOD110 0.4W zener 30V ±5% ZP BZX284-C33 Phi I SOD100 0.4W zener 33V ±5% ZP PDZ22B Phi I SOD323 22V 0.4W zenerZQ BZX284-C36 Phi I SOD110 0.4W zener 36V ±5% ZQ PDZ24B Phi I SOD323 24V 0.4W zenerZ-Q 2PC4081Q Phi N SOT323 gp npn hfe 120-270 ZtQ 2PC4081Q Phi N SOT323 gp npn hfe 120-270 ZR MSD1819A Mot N SOT323 npn gp 50VZR BZX284-C39 Phi I SOD110 0.4W zener 39V ±5% ZR PDZ27B Phi I SOD323 27V 0.4W zenerZ-R 2PC4081R Phi N SOT323 gp npn hfe 180-390 ZtR 2PC4081R Phi N SOT323 gp npn hfe 180-390ZS BZX284-C43 Phi I SOD110 0.4W zener 43V ±5% ZS PDZ30B Phi I SOD323 30V 0.4W zenerZS1 ZHCS1000 Zet E SOT23 30V 1A schottky diode ZS5 ZHCS500 Zet E SOT23 40V 0.5A schottky diode ZS7 ZHCS750 Zet E SOT23 30V 0.75A schottky diode Z-S 2PC4081S Phi N SOT323 gp npn hfe 270-560 ZtS 2PC4081S Phi N SOT323 gp npn hfe 270-560ZT BZX284-C47 Phi I SOD110 0.4W zener 47V ±5% ZT PDZ33B Phi I SOD323 33V 0.4W zenerZU BZX284-C51 Phi I SOD110 0.4W zener 51V ±5% ZU PDZ36B Phi I SOD323 36V 0.4W zenerZV BZX284-C56 Phi I SOD110 0.4W zener 56V ±5% ZW BZX284-C62 Phi I SOD110 0.4W zener 62V ±5% ZX BZX284-C68 Phi I SOD110 0.4W zener 68V ±5% ZY BZX284-C75 Phi I SOD110 0.4W zener 75V ±5%ZS1 ZHCS1000 Zet C SOT23 schottky 1A 30VZS7 ZHCS750 Zet C SOT23 schottky 0.75A 30VDuQ838电子-技术资料-电子元件-电路图-技术应用网站-基本知识-原理-维修-作用-参数-电子元器件符号补充:DuQ838电子-技术资料-电子元件-电路图-技术应用网站-基本知识-原理-维修-作用-参数-电子元器件符号元器件标示代号封装形式实际元件型号制造工厂替换型号Z 2 SOD-523 BB145B PH6 SOT-363 HSMP-389T A VZ–Q 3 SOT-323 2PC4081Q PHZ–R 3 SOT-323 2PC4081R PHZ–S 3 SOT-323 2PC4081S PHZ0 3 SOT-23 SST310 SIL J3106 SOT-457 BZA420A PHZ08 3 SOT-23 SST308 SIL J308Z09 3 SOT-23 SST309 SIL J309Z0D 4 SOT-223 Z0110DN STZ0M 4 SOT-223 Z0110MN STZ0N 4 SOT-223 Z0110NN STZ0S 4 SOT-223 Z0110SN STZ1 2 SOD-723 BB145B-01 PH3 SOT-23 稳压二极管BZX84C4V7 NS SM ZE BZX79C4V73 SOT-89 BZV49C4V7 ZE BZV85C4V75 SOT-353 BZA856A PH5 SOT-665 BZA956A PHZ1** 3 SOT-23 TC1274-5ENB MIZ10 3 SOT-23 SST310 SIL J310Z11 3 SOT-23 稳压二极管BZX84C2V4 V AL BZX79C2V4Z12 3 SOT-23 稳压二极管BZX84C2V7 V AL BZX79C2V7Z13 3 SOT-23 稳压二极管BZX84C3V0 V AL BZX79C3V0Z14 3 SOT-23 稳压二极管BZX84C3V3 V AL BZX79C3V3Z15 3 SOT-23 稳压二极管BZX84C3V6 V AL BZX79C3V6Z16 3 SOT-23 稳压二极管BZX84C3V9 V AL BZX79C3V9Z17 3 SOT-23 稳压二极管BZX84C4V3 V AL BZX79C4V3Z1p 3 SOT-23 稳压二极管BZX84C4V7 PH BZX79C4V7Z1t 3 SOT-23 稳压二极管BZX84-C4V7 PHZ1W 3 SOT-23 稳压二极管BZX84-C4V7 PHZ2 3 SOT-23 稳压二极管BZX84C5V1 NS SM ZE BZX79C5V13 SOT-89 BZV49C5V1 ZE BZV85C5V15 SOT-353 BZA862A PH5 SOT-665 BZA962A PHZ2** 3 SOT-23 TC1274-10ENB MIZ2p 3 SOT-23 稳压二极管BZX84C5V1 PH BZX79C5V1Z2t 3 SOT-23 稳压二极管BZX84-C5V1 PH6 SOT-457 BZA462A PHZ2U 3 SOT-23 FMMTA63 ZE MPSA63Z2V 3 SOT-23 FMMTA64 ZE MPSA64Z2W 3 SOT-23 稳压二极管BZX84-C5V1 PHZ3 3 SOT-23 稳压二极管BZX84C5V6 NS SM ZE BZX79C5V6 3 SOT-89 2SK1078 TO3 SOT-89 BZV49C5V6 ZE BZV85C5V65 SOT-353 BZA868A PH5 SOT-665 BZA968A PHZ3** 3 SOT-23 TC1274-15ENB MIZ3D 4 SOT-223 Z0103DN STZ3M 4 SOT-223 Z0103MN STZ3N 4 SOT-223 Z0103NN STZ3p 3 SOT-23 稳压二极管BZX84C5V6 PH BZX79C5V6Z3t 3 SOT-23 稳压二极管BZX84-C5V6 PHZ3S 4 SOT-223 Z0103SN STZ3W 3 SOT-23 稳压二极管BZX84-C5V6 PHZ4 3 SC-75 KA4F4Z NE3 SOT-23 稳压二极管BZX84C6V2 NS SM ZE BZX79C6V23 SOT-89 2SK1079 TO3 SOT-89 BZV49C6V2 ZE BZV85C6V25 SOT-353 BZA820A PHZ4p 3 SOT-23 稳压二极管BZX84C6V2 PH BZX79C6V2Z4t 3 SOT-23 稳压二极管BZX84-C6V2 PHZ4W 3 SOT-23 稳压二极管BZX84-C6V2 PHZ5 3 SOT-23 稳压二极管BZX84C6V8 NS SM ZE BZX79C6V8 3 SOT-89 2SK1717 TO3 SOT-89 BZV49C6V8 ZE BZV85C6V8Z50 3 SOT-23 稳压二极管BZX84B2V4 V AL BZX79B2V4Z51 3 SOT-23 稳压二极管BZX84B2V7 V AL BZX79B2V7Z52 3 SOT-23 稳压二极管BZX84B3V0 V AL BZX79B3V0Z53 3 SOT-23 稳压二极管BZX84B3V3 V AL BZX79B3V3Z54 3 SOT-23 稳压二极管BZX84B3V6 V AL BZX79B3V6Z55 3 SOT-23 稳压二极管BZX84B3V9 V AL BZX79B3V9Z56 3 SOT-23 稳压二极管BZX84B4V3 V AL BZX79B4V3Z57 3 SOT-23 稳压二极管BZX84B4V7 V AL BZX79B4V7Z58 3 SOT-23 稳压二极管BZX84B5V1 V AL BZX79B5V1Z59 3 SOT-23 稳压二极管BZX84B5V6 V AL BZX79B5V6Z5p 3 SOT-23 稳压二极管BZX84C6V8 PH BZX79C6V8Z5t 3 SOT-23 稳压二极管BZX84-C6V8 PHZ5W 3 SOT-23 稳压二极管BZX84-C6V8 PHZ6 3 SOT-23 稳压二极管BZX84C7V5 NS SM ZE BZX79C7V53 SOT-89 2SJ238 TO3 SOT-89 BZV49C7V5 ZE BZV85C7V56 SOT-457 BZA456A PHZ60 3 SOT-23 稳压二极管BZX84B6V2 V AL BZX79B6V2Z61 3 SOT-23 稳压二极管BZX84B6V8 V AL BZX79B6V8Z62 3 SOT-23 稳压二极管BZX84B7V5 V AL BZX79B7V5Z63 3 SOT-23 稳压二极管BZX84B8V2 V AL BZX79B8V2Z64 3 SOT-23 稳压二极管BZX84B9V1 V AL BZX79B9V1Z65 3 SOT-23 稳压二极管BZX84B10 V AL BZX79B10Z66 3 SOT-23 稳压二极管BZX84B11 V AL BZX79B11Z67 3 SOT-23 稳压二极管BZX84B12 V AL BZX79B12Z68 3 SOT-23 稳压二极管BZX84B13 V AL BZX79B13Z69 3 SOT-23 稳压二极管BZX84B15 V AL BZX79B15Z6p 3 SOT-23 稳压二极管BZX84C7V5 PH BZX79C7V5Z6t 3 SOT-23 稳压二极管BZX84-C7V5 PHZ6W 3 SOT-23 稳压二极管BZX84-C7V5 PHZ7 3 SC-75 KN4F4Z NE3 SOT-23 稳压二极管BZX84C8V2 NS SM ZE BZX79C8V23 SOT-89 BZV49C8V2 ZE BZV85C8V2Z70 3 SOT-23 稳压二极管BZX84B16 V AL BZX79B16Z71 3 SOT-23 稳压二极管BZX84B18 V AL BZX79B18Z72 3 SOT-23 稳压二极管BZX84B20 V AL BZX79B20Z73 3 SOT-23 稳压二极管BZX84B22 V AL BZX79B22Z74 3 SOT-23 稳压二极管BZX84B24 V AL BZX79B24Z75 3 SOT-23 稳压二极管BZX84B27 V AL BZX79B27Z76 3 SOT-23 稳压二极管BZX84B30 V AL BZX79B30Z77 3 SOT-23 稳压二极管BZX84B33 V AL BZX79B33Z78 3 SOT-23 稳压二极管BZX84B36 V AL BZX79B36Z79 3 SOT-23 稳压二极管BZX84B39 V AL BZX79B39Z7D 4 SOT-223 Z0107DN STZ7M 4 SOT-223 Z0107MN STZ7N 4 SOT-223 Z0107NN STZ7p 3 SOT-23 稳压二极管BZX84C8V2 PH BZX79C8V2Z7S 4 SOT-223 Z0107SN STZ7t 3 SOT-23 稳压二极管BZX84-C8V2 PHZ7W 3 SOT-23 稳压二极管BZX84-C8V2 PHZ8 3 SOT-23 稳压二极管BZX84C9V1 NS SM ZE BZX79C9V1 3 SOT-23 SST308 SIL J3083 SOT-89 BZV49C9V1 ZE BZV85C9V16 SOT-457 BZA408B PHZ80 3 SOT-23 稳压二极管BZX84B43 V AL BZX79B43Z81 3 SOT-23 稳压二极管BZX84B47 V AL BZX79B47Z82 3 SOT-23 稳压二极管BZX84B51 V AL BZX79B51Z83 3 SOT-23 稳压二极管BZX84B56 V AL BZX79B56Z84 3 SOT-23 稳压二极管BZX84B62 V AL BZX79B62Z85 3 SOT-23 稳压二极管BZX84B68 V AL BZX79B68Z86 3 SOT-23 稳压二极管BZX84B75 V AL BZX79B75Z8p 3 SOT-23 稳压二极管BZX84C9V1 PH BZX79C9V1Z8t 3 SOT-23 稳压二极管BZX84-C9V1 PHZ8W 3 SOT-23 稳压二极管BZX84-C9V1 PHZ9 3 SOT-23 稳压二极管BZX84C10 NS SM ZE BZX79C10 3 SOT-23 SST309 SIL J3093 SOT-89 BZV49C10 ZE BZV85C10Z9D 4 SOT-223 Z0109DN STZ9M 4 SOT-223 Z0109MN STZ9N 4 SOT-223 Z0109NN STZ9p 3 SOT-23 稳压二极管BZX84C10 PH BZX79C10Z9S 4 SOT-223 Z0109SN STZ9t 3 SOT-23 稳压二极管BZX84-C10 PHZ9W 3 SOT-23 稳压二极管BZX84-C10 PHZA 2 SOD-110 稳压二极管BZX284-C7V5 PH3 SOT-23 BCW60RA TFK BC548A5 SC-95/5 µPA507TE NEZA509TS 20 SSOP-20 BZA509TS PHZB 2 SOD-110 稳压二极管BZX284-C8V2 PH3 SOT-23 BCW60RB TFK BC548B3 SOT-23 FMMT4123 FER ZE 2N41235 SC-95/5 µPA508TE NEZC 2 SOD-110 稳压二极管BZX284-C9V1 PH3 SOT-23 BCW60RC TFK BC548B3 SOT-23 FMMT4124 FER ZE 2N41243 SOT-23 MMBT4124 NS 2N4124ZD 2 SOD-110 稳压二极管BZX284-C10 PH3 SOT-23 BCW60RD TFK BC548C3 SOT-23 FMMT4125 FER ZE 2N41253 SOT-23 MMBT4125 NS 2N4125ZE 2 SOD-110 稳压二极管BZX284-C11 PH3 SOT-23 FMMT4126 FER ZE 2N41263 SOT-23 MMBT4123 NS 2N4123ZF 2 SOD-110 稳压二极管BZX284-C12 PH3 SOT-23 MMBT4126 NS 2N4126ZFD 3 SOT-23 BCV26 ZE BC516ZFE 3 SOT-23 BCV46 ZEZFF 3 SOT-23 BCV27 ZE BC517ZFG 3 SOT-23 BCV47 ZEZG 2 SOD-110 稳压二极管BZX284-C13 PH3 SC-59 2SA1182GR TO3 SC-70 2SA1588GR TO3 SOT-23 BCX70RG TFK BC547AZH 2 SOD-110 稳压二极管BZX284-C15 PH 3 SOT-23 BCX70RH TFK BC547BZHK 2 DO-214AC SM2Z5V1 STZHL 2 DO-214AC SM2Z5V6 STZHN 2 DO-214AC SM2Z6V2 STZHQ 2 DO-214AC SM2Z7V5 STZHU 2 DO-214AC SM2Z10 STZHW 2 DO-214AC SM2Z12 STZHZ 2 DO-214AC SM2Z15 STZI 2 SOD-110 稳压二极管BZX284-C16 PH ZJ 2 SOD-110 稳压二极管BZX284-C18 PH 3 SOT-23 BCX70RJ TFK BC547BZJF 2 DO-214AC SM2Z18 STZJG 2 DO-214AC SM2Z20 STZJK 2 DO-214AC SM2Z22 STZJL 2 DO-214AC SM2Z24 STZJN 2 DO-214AC SM2Z27 STZJQ 2 DO-214AC SM2Z30 STZJS 2 DO-214AC SM2Z36 STZJT 2 DO-214AC SM2Z39 STZJV 2 DO-214AC SM2Z47 STZK 2 SOD-110 稳压二极管BZX284-C20 PH 3 SOT-23 BCX70RK TFK BC547C3 SOT-89 2SB1114ZK NEZKM 2 DO-214AC SM2Z68 STZKQ 2 DO-214AC SM2Z100 STZKR 2 DO-214AC SM2Z150 STZKW 2 DO-214AC SM2Z200 STZL 2 SOD-110 稳压二极管BZX284-C22 PH 3 SOT-89 2SB1114ZL NEZL– 3 SOT-23 PDTA123TT PH PDTA123TS ZLp 3 SOT-23 PDTA123TT PH PDTA123TS ZLt 3 SOT-23 PDTA123TT PH PDTA123TS ZLW 3 SOT-23 PDTA123TT PH PDTA123TS ZM 2 SOD-110 稳压二极管BZX284-C24 PH 3 SOT-89 2SB1114ZM NEZM– 3 SOT-23 PDTC123TT PH PDTC123TS ZMp 3 SOT-23 PDTC123TT PH PDTC123TS ZMt 3 SOT-23 PDTC123TT PH PDTC123TS ZMW 3 SOT-23 PDTC123TT PH PDTC123TS ZN 2 SOD-110 稳压二极管BZX284-C27 PH ZO 2 SOD-110 稳压二极管BZX284-C30 PH 3 SC-59 2SA1182O TO3 SC-70 2SA1588O TOZP 2 SOD-110 稳压二极管BZX284-C33 PHZQ 2 SOD-110 稳压二极管BZX284-C36 PH3 SC-59 2PD601AQ PH3 SC-75 2PC4617Q PHZR 2 SOD-110 稳压二极管BZX284-C39 PH3 SC-59 2PD601AR PH3 SC-75 2PC4617R PHZS 2 SOD-110 稳压二极管BZX284-C43 PH3 SC-59 2PD601AS PH3 SC-75 2PC4617S PHZT 2 SOD-110 稳压二极管BZX284-C47 PHZT2222 4 SOT-223 PZT2222 SM 2N2222ZT2222A 4 SOT-223 PZT2222A PH SM 2N2222A ZT2907 4 SOT-223 PZT2907 SM 2N2907ZT2907A 4 SOT-223 PZT2907A PH SM 2N2907A ZT3904 4 SOT-223 PZT3904 PH SM 2N3904ZT3906 4 SOT-223 PZT3906 SM 2N3906ZTA42 4 SOT-223 PZTA42 PH MPSA42ZTA43 4 SOT-223 PZTA43 PH MPSA43ZTA96 4 SOT-223 PZTA96 MO MPSA96ZTp 3 SOT-23 PBSS4140T PH PBSS4140SZtQ 3 SOT-323 2PC4081Q PHZtR 3 SOT-323 2PC4081R PHZtS 3 SOT-323 2PC4081S PHZTt 3 SOT-23 PBSS4140T PH PBSS4140SZTW 3 SOT-23 PBSS4140T PH PBSS4140SZtZ 6 SC-88 PUMX1 PHZU 2 SOD-110 稳压二极管BZX284-C51 PHZV 2 SOD-110 稳压二极管BZX284-C56 PH ZW 2 SOD-110 稳压二极管BZX284-C62 PH ZX 2 SOD-110 稳压二极管BZX284-C68 PH3 SC-84 2SB1628ZX NEZY 2 SOD-110 稳压二极管BZX284-C75 PH3 SC-59 2SA1182Y TO3 SC-70 2SA1588Y TO3 SC-84 2SB1628ZY NEZZ 3 SC-84 2SB1628ZZ NE6 SOT-363 HSMS-286R A V。
SMD_贴片三极管,稳压管,二极管标识手册Codes / Markings SMD codes1st character/以第一个字符为基准0123456789A B C D EF G H I JK L M N OP Q R S TU V W X YZ印字器件厂商类型封装器件用途及参数0 2SC3603 Nec CX SOT173Npn RF fT 7GHz005 SSTPAD5 Sil J -PAD-5 5pA leakage diode p01PDTA143ET Phi N SOT23pnp dtr 4k7+4k7t01PDTA143ET Phi N SOT23pnp dtr 4k7+4k701Gali-1MC AZ SOT89DC-8GHz MMIC amp 12dB gain 010 SSTPAD10 Sil J -PAD-10 10pA leakage diode 011 SO2369R SGS R SOT23R2N236902 BST82 Phi M -n-ch mosfet 80V 175mA02 MRF5711L Mot X SOT143npn RF MRF57102 DTCC114T Roh N -50V 100mA npn sw + 10k base res02Gali-2MC AZ SOT89DC-8GHz MMIC amp 16dB gain p02PDTC143ET Phi N SOT23npn 4k7+4k7 bias rest02PDTC143ET Phi N SOT23npn 4k7+4k7 bias res03Gali-3MC AZ SOT89DC-3GHz MMIC amp 22dB gain 03DTC143TE Roh N EMT3npn dtr R1 4k7 50V 100mA 03DTC143TUA Roh N SC70npn dtr R1 4k7 50V 100mA 03DTC143TKA Roh N SC59npn dtr R1 4k7 50V 100mA04 DTC114TCA Roh N SOT23npn dtr R1 10k 50V 100mA04 DTC114TE Roh N EMT3npn dtr R1 10k 50V 100mA04 DTC114TUA Roh N SC70npn dtr R1 10k 50V 100mA04 DTC114TKA Roh N SC59npn dtr R1 10k 50V 100mA04 MRF5211L Mot X SOT143pnp RF MRF52104Gali-4MC AZ SOT89DC-4GHz MMIC amp 17.5 dBm -04PMSS3904Phi N SOT3232N3904t04PMBS3904Phi N SOT232N390405Gali-4MC AZ SOT89DC-4GHz MMIC amp 18 dBm o/p05 DTC124TE Roh N EMT3npn dtr R1 22k 50V 100mA05 DTC124TUA Roh N SC70npn dtr R1 22k 50V 100mA05 DTC124TKA Roh N SC59npn dtr R1 22k 50V 100mA05F TSDF1205R Tfk WQ -fT12GHz npn 4V 5mA 06Gali-6MC AZ SOT89DC-4GHz MMIC amp 115 dBm o/p06 DTC144TE Roh N EMT3npn dtr R1 47k 50V 100mA06 DTC144TUA Roh N SC70npn dtr R1 47k 50V 100mA06 DTC144TKA Roh N SC59npn dtr R1 47k 50V 100mA-06PMSS3906Phi N SOT3232N3906t06PMBS3906Phi N SOT232N3906020 SSTPAD20 Sil J -PAD-20 20pA leakage diode 050 SSTPAD50 Sil J -PAD-50 50pA leakage diode 081 SO2369AR SGS R SOT23R2N2369A09 DTC115TUA Roh N SC70npn dtr R2 100k 50V 100mA 09 DTC115TKA Roh N SC59npn dtr R2 100k 50V 100mA 0A MUN5111DW1 Mot DO SOT363dual pnp dtr 10k+10k 0A DTC125TUA Roh N SC70npn dtr R2 100k 50V 100mA 0A DTC125TKA Roh N SC59npn dtr R2 100k 50V 100mA 0B MUN5112DW1 Mot DO SOT363dual pnp dtr 22k+22k 0C MUN5113DW1 Mot DO SOT363dual pnp dtr 47k+47k0D MUN5114DW1 Mot DO SOT363dual pnp dtr 10k+47k0E MUN5115DW1 Mot DO SOT363dual pnp dtr R1 10k0F MUN5116DW1 Mot DO SOT363dual pnp dtr R1 4k70G MUN5130DW1 Mot DO SOT363dual pnp dtr 1k0+1k00H MUN5131DW1 Mot DO SOT363dual pnp dtr 2k2+2k20J MUN5132DW1 Mot DO SOT363dual pnp dtr 4k7+4k70K MUN5133DW1 Mot DO SOT363dual pnp dtr 4k7+47k0L MUN5134DW1 Mot DO SOT363dual pnp dtr 22k+47k0M MUN5135DW1 Mot DO SOT363dual pnp dtr 2k2+47k Code Device Manufacturer Base Package Leaded Equivalent/Data 12SC3587Nec CX-npn RF fT10GHz1BA277Phi I SOD523VHF Tuner band switch diode 1 (red)BB669Sie I SOD32356-2.7 pF varicap10MRF9411L Mot X SOT143npn Rf 8GHz MRF94110A PZM10NB2A Phi A SOT346dual ca 10V 0.3W zener10V PZM10NB Phi C SOT34610V 0.3W zener10Y BZV49-C10Phi O SOT8910V 1W zener11MRF9511L Mot X SOT143npn RF 8GHz MRF95111MUN5311DW1Mot DP SOT363npn/pnp dtr 10k+10k11PDTA114EU Phi N SOT416pnp dtrp11PDTA114TT Phi N SOT23pnp dtrt11PDTA114TT Phi N SOT23pnp dtr11A PZM11NB2A Phi A SOT346dual ca 11V 0.3W zener11A MMBD1501A Nat C SOT23Si diode 200V 100mA11V PZM11NB Phi C SOT34611V 0.3W zener11Y BZV49-C11Phi O SOT8911V 1W zener12MUN5312DW1Mot DP SOT363npn/pnp dtr 22k+22k12DTA123EUA Rho N SC70pnp dtr 2k2+2k2 50V 100ma 12DTA123EKA Rho N SC59pnp dtr 2k2+2k2 res 50V 100ma p12PDTC114TT Phi N SOT23npn dtrt12PDTC114TT Phi N SOT23npn dtr12A MMBD1502A Nat K SOT23Si diode 200V 100mA12A PZM12NB2A Phi A SOT346dual ca 12V 0.3W zener12E ZC2812E Zet D SOT23dual series RF schottky15V 20mA 12V PZM12NB Phi C SOT34612V 0.3W zener12Y BZV49-C12Phi O SOT8912V 1W zener13DTA143EUA Rho N SC70pnp dtr 4k7+4k7 50V 100ma 13DTA143EKA Rho N SC59pnp dtr 4k7+4k7 50V 100ma 13DTA143ECA Rho N SOT23pnp dtr 4k7+4k7 50V 100ma 13t BC846BPN Phi N SOT363BC546B13s BAS125Sie C SOT23Schottky sw 24V 100mA13s BAS125W Sie C SOT323Schottky sw 24V 100mA13MA4CS103A M/A C SOT23Schottky RF 20V 100mA13MUN5313DW1Mot DP SOT363npn/pnp dtr 47k+47k13A MMBD1503A Nat D SOT23dual Si diode 200V 100mA 13A PZM13NB2A Phi A SOT346dual ca 13V 0.3W zener 13E ZC2813E Zet A SOT23dual ca RF schottky15V 20mA 13V PZM13NB Phi C SOT34613V 0.3W zener13Y BZV49-C13Phi O SOT8913V 1W zener14s BAS125-04Sie D SOT23Dual series Schottky 25V 100mA 14s BAS125-04W Sie D SOT323Dual series Schottky 25V 100mA 14BAT114-099R Sie DQ-Quad Schottky crossover ring 14DTA114EUA Roh N SC70pnp dtr 10k + 10k14DTA114EKA Roh N SC59pnp dtr 10k + 10k14MUN5314DW1Mot DP SOT363npn/pnp dtr 10k R114DTA114ECA Roh N SOT23pnp dtr 10k + 10k14A MMBD1504A Nat B-dual cc Si diode 200V 100mA 15s BAS125-05Sie B SOT23dual cc Schottky 25V 100mA 15s BAS125-05W Sie B SOT323dual cc Schottky 25V 100mA 15DTA124EUA Roh N SC70pnp dtr 30V 50mA 22k+22k 15DTA124EKA Roh N SC59pnp dtr 30V 50mA 22k+22k 15DTA124ECA Roh N SOT23pnpdtr 30V 50mA 22k+22k 15MUN5315DW1Mot DP SOT363npn/pnp dtr 10k R115MMBT3960Mot N-2N396015A MMBD1505A Nat A-dual ca Si diode 200V 100mA 15A PZM15NB2A Phi A SOT346dual ca 15V 0.3W zener15V PZM15NB Phi C SOT34615V 0.3W zener15Y BZV49-C15Phi O SOT8915V 1W zenerp16PDTC114ET Phi N SOT23npn dtrt16PDTC114EU Phi N SOT323npn dtr16s BAS125-06Sie A SOT23dual ca Schottky 25V 100mA 16s BAS125-06W Sie A SOT323dual ca Schottky 25V 100mA 16MUN5316DW1Mot DP SOT363npn/pnp dtr 4k7 R1 16DTA144EUA Roh N SC70pnp dtr 30V 50mA 47k+47k 16DTA144EKA Roh N SC59pnp dtr 30V 50mA 47k+47k 16V PZM16NB Phi C SOT34616V 0.3W zener16Y BZV49-C16Phi O SOT8916V 1W zener17s BAS125-07Sie S SOT143dual Schottky 25V 100mA 17s BAS125-07W Sie S SOT343dual Schottky 25V 100mA p17PDTC124ET Phi N SOT23npn dtrt17PDTC124EU Phi N SOT323npn dtr18BFP181T Tfk X-npn Rf fT 7.8GHz 10V 20mA 18PDTC143ZK Phi N SOT346npn dtr 4k7+47kp18PDTC143ZT Phi N SOT23npn dtr 4k7+47kt18PDTC143ZT Phi N SOT23npn dtr 4k7+47k18V PZM18NB Phi C SOT34618V 0.3W zener18Y BZV49-C18Phi O SOT8918V 1W zener19PDTA143ZK Phi N SOT346pnp dtr 4k7+47k19DTA115EUA Rho N SC70pnp dtr 100k+100k 50V 100ma 19DTA115EKA Rho N SC59pnp dtr 100k+100k 50V 100ma p19PDTA143ZT Phi N SOT23pnp dtr 4k7+47kt19PDTA143ZT Phi N SOT23pnp dtr 4k7+47k100SSTPAD100Sil J SOT23PAD-100 100pA leakage diode 101PZM10NB1Phi C SOT34610V 0.3W zener102PZM10NB2Phi C SOT34610V 0.3W zener103PZM10NB3Phi C SOT34610V 0.3W zener111PZM11NB1Phi C SOT34611V 0.3W zener111DTA113ZUA Roh N SC70pnp dtr 1k+10k 50V 100mA 112PZM11NB2Phi C SOT34611V 0.3W zener113PZM11NB3Phi C SOT34611V 0.3W zener113DTA143ZUA Roh N SC70pnp dtr 4k7+47k 50V 100mA 121PZM12NB1Phi C SOT34612V 0.3W zener121DTC113ZUA Roh N SC70npn dtr 1k+10k 50V 100mA 122PZM12NB2Phi C SOT34612V 0.3W zener123PZM12NB3Phi C SOT34612V 0.3W zener123DTC143ZUA Roh N SC70npn dtr 4k7+47k 50V 100mA 131PZM13NB1Phi C SOT34613V 0.3W zener132PZM13NB2Phi C SOT34613V 0.3W zener132DTA123JUA Roh N SC70pnp dtr 2k2+47k 50V 100mA 133PZM13NB3Phi C SOT34613V 0.3W zener142DTA123JUA Roh N SC70npn dtr 2k2+47k 50V 100mA 151PZM15NB1Phi C SOT34615V 0.3W zener152PZM15NB2Phi C SOT34615V 0.3W zener153PZM15NB3Phi C SOT34615V 0.3W zener156DTA144VUA Roh N SC70pnp dtr 47k+10k 50V 100mA 161PZM16NB1Phi C SOT34616V 0.3W zener162PZM16NB2Phi C SOT34616V 0.3W zener163PZM16NB3Phi C SOT34616V 0.3W zener166DTC144VUA Roh N SC70npn dtr 47k+10k 50V 100mA 179FMMT5179Zet N-2N5179181PZM18NB1Phi C SOT34618V 0.3W zener182PZM18NB2Phi C SOT34618V 0.3W zener183PZM18NB3Phi C SOT34618V 0.3W zener1A BC846A Phi N SOT23BC546A1A BC846AT Phi N SOT416BC546A1Ap BC846A Phi N SOT23BC546A1At BC846A Phi N SOT23BC546A1At BC846AW Phi N SOT323BC546A1A-BC846AW Phi N SOT323BC546A1A FMMT3904Zet N SOT232N39041A MMBT3904Mot N SOT232N39041A IRLML2402IR F SOT23n-ch mosfet 20V 0.9A p1A PMMT3904Phi N SOT232N3904p1A PXT3904Phi N SOT892N3904t1A PMMT3904Phi N SOT232N3904t1A PMST3904Phi N SOT3232N3904-1A PMST3904Phi N SOT3232N39041AM MMBT3904L Mot N SOT232N39041B BC846B Phi N SOT23BC546B1B BC846BT Phi N SOT416BC546B1Bp BC846B Phi N SOT23BC546B1Bt BC846B Phi N SOT23BC546B1Bt BC846BW Phi N SOT323BC546B1B-BC846BW Phi N SOT323BC546B1B FMMT2222Zet N SOT232N22221B MMBT2222Mot N SOT232N22221B IRLML2803IR F SOT23n-ch mosfet 30V 0.9A p1B PMBT2222Phi N SOT232N2222t1B PMBT2222Phi N SOT232N2222t1B PMST2222Phi N SOT2332N2222-1B PMST2222Phi N SOT3232N22221Bs BC817UPN Sie N SC74-1Cp BAP50-05Phi B SOT23dual cc GP RF pin diode 1C FMMT-A20Zet N SOT23MPSA201C MMBTA20L Mot N SOT23MPS39041C IRLML6302IR F SOT23p-ch mosfet 20V 0.6A 1Cs BC847S Sie-SOT363BC4571Dp BC846Phi N SOT23BC4561Dt BC846Phi N SOT23BC4561Dt BC846W Phi N SOT323BC4561D-BC846W Phi N SOT323BC4561D MMBTA42Mot N SOT23MPSA42 300V npn 1D IRLML5103IR F SOT23p-ch mosfet 30V 0.6A p1D PMBTA42Phi N SOT23MPSA42 300V npn p1D PXTA42Phi N SOT89MPSA42 300V npn t1D PMBTA42Phi N SOT23MPSA42 300V npn t1D PMSTA42Phi N SOT323MPSA42 300V npn1Ds BC846U Sie N SC74BC4561Ds BC846U Sie-SOT363BC4561DN2SC4083Roh N-npn 11V 3.2GHz TV tuners 1DR MSD1328R Mot N SOT346npn gp 25V 500mA1E BC847A Phi N SOT23BC547A1E BC847AT Phi N SOT416BC547A1Ep BC847A Phi N SOT23BC547A1Et BC847A Phi N SOT23BC547A1Et BC847A Phi N SOT323BC547A1E-BC847A Phi N SOT323BC547A1ER BC847AR Phi R SOT23R BC547A1E FMMT-A43Zet N-MPSA431E MMBTA43Mot N SOT23MPSA43 200V npnt1E PMBTA43Mot N SOT23MPSA43 200V npnt1E PMSTA43Mot N SOT323MPSA43 200V npn1Es BC847A Sie N SOT23BC4571Es BC847AW Sie N SOT323BC4571EN2SC4084Roh N-npn 20V 2.0GHz TV tuners 1F BC847B Phi N SOT23BC547B1F BC847BT Phi N SOT416BC547B1Fs BC847B Sie N SOT23BC547B1Fs BC847BT Sie N SC75BC547B1Fs BC847BW Sie N SOT323BC547B1Fp BC847B Phi N SOT23BC547B1Ft BC847B Phi N SOT23BC547B1Ft BC847BW Phi N SOT323BC547B1F-BC847BW Phi N SOT323BC547B1FR BC847BR Phi R SOT23R BC547B1F MMBT5550Mot N SOT232N5550 140V npnp1F PMBT5550Phi N SOT232N5550 140V npnt1F PMBT5550Phi N SOT232N5550 140V npnt1F PMST5550Phi N SOT3232N5550 140V npn1FZ FMBT5550Zet N SOT232N5550 140V npn1G BC847C Phi N SOT23BC547C1G BC847CT Phi N SOT416BC547C1Gp BC847C Phi N SOT23BC547C1Gt BC847CW Phi N SOT323BC547C1G-BC847CW Phi N SOT323BC547C1Gs BC847C Sie N SOT23BC547C1Gs BC847CW Sie N SOT323BC547C1GR BC847CR Phi R SOT23R BC547C1GT SOA06SGS N SOT23MPSA061G FMMT-A06Zet N SOT23MPSA061G MMBTA06Mot N SOT23MPSA06p1G PMMTA06Phi N SOT23MPSA06t1G PMMTA06Phi N SOT23MPSA06t1G PMMTA06Phi N SOT323MPSA061GM MMBTA06Mot N SOT23MPSA061Hp BC847Phi N SOT23BC5471Ht BC847Phi N SOT23BC5471Ht BC847W Phi N SOT323BC5471H-BC847W Phi N SOT323BC5471H FMMT-A05Zet N-MPSA051H MMBTA05Mot N SOT23MPSA05t1H MMBTA05Phi N SOT323MPSA051HT SOA05SGS N SOT23MPSA051J BC848A Phi N SOT23BC548A1Js BC848A Sie N SOT23BC548A1Js BC848AW Sie N SOT323BC548A1J FMMT2369Zet N SOT232N23691J MMBT2369Mot N SOT23MPS23691Js BCV61A Sie VQ SOT143npn current mirror hFe 180 1Jp BCV61A Phi VQ SOT143npn current mirror hFe 180 p1J PMBT2369Phi N SOT232N2369t1J PMBT2369Phi N SOT232N2369t1J PMBT2369Phi N SOT3232N23691JA MMBT2369A Mot N SOT23MPS2369A1JR BC848AR Phi R SOT23R BC548A1JZ BC848A Zet N SOT23BC548A1K BC848B ITT N SOT23BC548B1Kp BC848B Phi N SOT23BC548B1Ks BC848B Sie N SOT23BC548B1Ks BC848BW Sie N SOT323BC548B1K MMBT6428Mot N SOT23MPSA18 50Vp1K PMBT6428Phi N SOT23MPSA18 50Vt1K PMBT6428Phi N SOT23MPSA18 50Vt1K PMBT6428Phi N SOT323MPSA18 50V1K FMMT4400Zet N SOT232N44001Ks BCV61B Sie VQ SOT143B npn current mirror hFe 290 1Kp BCV61B Phi VQ SOT143B npn current mirror hFe 290 1KR BC848BR Phi R SOT23R BC548B1KM MMBT6428L Mot N SOT23MPSA18 50V1KZ FMMT4400Zet N SOT232N44001L BC848C ITT N SOT23BC548C1Lp BC848C Phi N SOT23BC548C1Ls BC848C Sie N SOT23BC548C1Ls BC848CW Sie N SOT323BC548C1L MMBT6429Mot N-MPSA18 45V1L FMMT4401Zet N-2N44011L BCV61C Sie VQ SOT143B npn current mirror hFe 5201Lp BCV61C Phi VQ SOT143B npn current mirror hFe 520 p1L PMBT6429Phi N SOT23MPSA18 45Vt1L PMBT6429Phi N SOT23MPSA18 45Vt1L PMBT6429Phi N SOT323MPSA18 45V1LR BC848CR Phi R SOT23R BC548C1Mp BC848Phi N SOT23BC5481M MMBTA13Mot N SOT23MPSA13 darlington1Mp BCV61Phi VQ SOT143B npn current mirror1M FMMT-A13Zet N SOT23MPSA13p1M PXTA13Phi N SOT89MPSA13 darlingtonp1M PMBTA13Phi N SOT23MPSA13 darlingtont1M PMBTA13Phi N SOT23MPSA13 darlington1N FMMT-A14Zet N SOT23MPSA141N MMBTA14Mot N SOT23MPSA14 darlington1N5ZTX11N15DF Zet N SOT23npn 15V 3A low saturation Vp1N PMBTA14Mot N SOT23MPSA14 darlingtonp1N PXTA14Mot N SOT89MPSA14 darlingtont1N PMBTA14Mot N SOT23MPSA14 darlington1P FMMT2222A Zet N-2N2222A1P MMBT2222A Mot N SOT232N2222A1P BC847PN Sie DI-pnp/npn separate pair gp AF p1P PMBT2222A Phi N SOT232N2222Ap1P PXT2222A Phi N SOT892N2222At1P PMBT2222A Phi N SOT232N2222At1P PMST2222A Phi N SOT3232N2222A1Q MMBT5088Mot N SOT23MPSA18 Vce 30Vp1Q PMBT5088Phi N SOT23MPSA18 Vce 30Vt1Q PMBT5088Phi N SOT23MPSA18 Vce 30Vt1Q PMST5088Phi N SOT323MPSA18 Vce 30V1R MMBT5089Mot N SOT23MPSA18 Vce 25Vt1R PMST5089Phi N SOT323MPSA18 Vce 25V1S MMBT2369A Nat N SOT232N2369A 500MHz sw npn 1S MSC3130Mot H SOT346npn RF fT 1.4GHz 10V1T MMBT3960A Mot N-2N3960A1U MMBT2484L Mot N SOT23MPSA181V MMBT6427Mot H SOT232N6426/7 darlington npn 1Vp BF820Phi N SOT23npn 300V 50mA BF4201Vt BF820Phi N SOT23npn 300V 50mA BF4201Vt BF820W Phi N SOT323npn 300V 50mA BF4201V-BF820W Phi N SOT323npn 300V 50mA BF4201W FMMT3903Zet N SOT232N39031Wp BF821Phi N SOT23pnp 300V 50mA BF4211Wt BF821Phi N SOT23pnp 300V 50mA BF4211W t BF822W Phi N SOT323pnp 300V 50mA BF4211W -BF822W Phi N SOT323pnp 300V 50mA BF4211X MMBT930L Mot N SOT23MPS39041Xp BF822Phi N SOT23npn 250V 50mA BF4221Xt BF822Phi N SOT23npn 250V 50mA BF4221Y MMBT3903Mot N SOT232N39031Yp BF823Phi N SOT23pnp 250V 50mA BF4231Yt BF823Phi N SOT23pnp 250V 50mA BF4231Z BAS70-06Zet A SOT23dual RF CA schottky diode1Z MMBT6517Mot N SOT232N6517 npn Vce 350V Code Device Manufacturer Base Package Leaded Equivalent/Data 2BAT62-02W Sie I SCD80BAT16 schottky diode2 (blue)BAR64-03W Sie I SOD323pin diode22SC3604Nec CX-npn RF fT8GHz 12dB@2GHz 2 (white) BB439Sie I SOD32329-5 pF varicap20MRF5811Mot X SOT143npn Rf fT 5GHz 0.2A-20PDTC114WU Phi N SOT323npn dtr20F TSDF1220Tfk X SOT143fT 12GHz npn 6V 20mA20V PZM20NB Phi C SOT34620V 300mW zener20Y BZV49-C20Phi O SOT8920V 1W zener21Gali-21MC AZ SOT89DC-8GHz MMIC amp 14 dB gain 22MMBT4209Nat N SOT23pnp sw 850MHz 2N4209 22DTC123EUA Rho N SC70npn dtr 2k2+2k2 50V 100ma 22DTC123EKA Rho N SC59npn dtr 2k2+2k2 50V 100ma 22V PZM22NB Phi C SOT34622V 300mW zener22Y BZV49-C22Phi O SOT8922V 1W zener23MMBT3646Nat N SOT23npn sw 350MHz 2N3646 23DTC143EUA Roh N SC70pnp dtr 50V 100mA 4k7+ 4k7 23DTC143EKA Roh N SC59pnp dtr 50V 100mA 4k7+ 4k7 -23PDTA114TU Phi N SOT323pnp dtr R1 10kt23PDTA114TU Phi N SOT323pnp dtr R1 10k24MMBD2101Nat C SOT23Si diode 100V 200mA24DTC114ECA Roh N SOT23npn dtr 50V 100mA 10k + 10k 24DTC114EUA Roh N SC70npn dtr 50V 100mA 10k + 10k 24DTC114EKA Roh N SC59npn dtr 50V 100mA 10k + 10k 242SC5006Nec N-npn RF fT 4.5GHz @3V 7mA -24PDTC114TU Phi N SOT323npn dtr R1 10kt24PDTC114TU Phi N SOT323npn dtr R1 10k24V PZM24NB Phi C SOT34624V 300mW Zener24Y BZV49-C24Phi O SOT8924V 1W zener25MMBD2102Nat K SOT23Si diode 100V 200mA 25DTC124ECA Roh N SOT23npn dtr 50V 100mA 22k + 22k 25DTC124EKA Roh N SC59npn dtr 50V 100mA 22k + 22k 25DTC124EUA Roh N SC70npn dtr 50V 100mA 22k + 22k 26MMBD2103Nat D SOT23dual MMBD120126DTC144EKA Roh N SC59npn dtr 50V 30mA 47k + 47k26DTC144EUA Roh N SC70npn dtr 50V 30mA 47k + 47k 27MMBD2104Nat B SOT23dual cc MMBD120127V PZM27NB Phi C SOT34627V 300mW Zener27Y BZV49-C27Phi O SOT8927V 1W zener28BFP280T Tfk W-npn RF fT 7GHz 8V 10mA 28MMBD2105Nat A SOT23dual ca MMBD1201-28PDTA114WU Phi N SOT323pnp dtr29MMBD1401Nat C SOT23Si diode 200V 100mA29DTC115EE Roh N EMT3npn dtr 100k +100k 50V 20mA 29DTC115EUA Roh N SC70npn dtr 100k +100k 50V 20mA 29DTC115EKA Roh N SC59npn dtr 100k +100k 50V 20mA 200SSTPAD200Sil J-PAD-200 200pA leakage diode 201PZM20NB1Phi C SOT34620V 300mW Zener202PZM20NB2Phi C SOT34620V 300mW Zener203PZM20NB3Phi C SOT34620V 300mW Zener221PZM22NB1Phi C SOT34622V 300mW Zener222PZM22NB2Phi C SOT34622V 300mW Zener223PZM22NB3Phi C SOT34622V 300mW Zener241PZM24NB Phi C SOT34624V 300mW Zener242PZM24NB Phi C SOT34624V 300mW Zener243PZM20NB Phi C SOT34624V 300mW Zener271PZM2.7NB1Phi C SOT346 2.7V 300mW Zener 272PZM2.7NB2Phi C SOT346 2.7V 300mW Zener2A MMBT3906L Mot N SOT232N39062A MMBT3906W Mot N SOT3232N39062A FMMT3906Zet N SOT232N3906t2A PMBT3906Phi N SOT232N3906t2A PMST3906Phi N SOT3232N3906SOT232N3906p2A PMBT3906 Phi Np2A PXT3906Phi O SOT892N39062A4PZM2.4NB2A Phi A SOT346dual 2.4V cc Zener2A7PZM2.7NB2A Phi A SOT346dual 2.7V cc Zener2B BC849B ITT N SOT23BC549B2Bs BC849B Sie N SOT23BC549B2Bs BC849BW Sie N SOT323BC549B2Bp BC849B Phi N SOT23BC549B2Bt BC849BW Phi N SOT323 BC549B2B-BC849BW Phi N SOT323 BC549B2B FMMT2907Zet N SOT232N29072B MMBT2907Mot N SOT23MPS2907p2B PMBT2907Phi N SOT232N2907t2B PMBT2907Phi N SOT232N29072BR BC849BR Phi R SOT23R BC549B2BZ FMMT2907Zet N SOT232N29072C BC849C ITT N SOT23BC549C2Cs BC849C Sie N SOT23BC549C2Cs BC849CW Sie N SOT323BC549C2Cp BC849C Phi N SOT23BC549C2Ct BC849C Phi N SOT23BC549C2Ct BC849CW Phi N SOT323BC549C2C-BC849CW Phi N SOT323BC549C2C MMBTA70Mot N SOT23MPSA702CR BC849CR Phi R SOT23R BC549C2CZ FMMTA70Zet N SOT23MPSA702D MMBTA92Mot N SOT23MPSA92 pnp Vce 300V p2D PMBTA92Phi N SOT23MPSA92 pnp Vce 300V p2D PXTA92Phi O SOT89MPSA92 pnp Vce 300V t2D PMBTA92Phi N SOT23MPSA92 pnp Vce 300V t2D PMSTA92Phi N SOT323MPSA92 pnp Vce 300V 2E MMBTA93Mot N SOT23MPSA93 pnp Vce 200V 2E FMMT-A93Zet N SOT23MPSA93t2E PMBTA93Phi N SOT23MPSA93 pnp Vce 200V t2E PMSTA93Phi N SOT323MPSA93 pnp Vce 200V 2F BC850B ITT N SOT23 BC550B2Fs BC850B Sie N SOT23 BC550B2Fs BC850BW Sie N SOT323 BC550B2Fp BC850B Phi N SOT23 BC550B2Ft BC850B Phi N SOT23 BC550B2Ft BC850BW Phi N SOT323 BC550B2F-BC850BW Phi N SOT323 BC550B2F FMMT2907A Zet N SOT232N2907A2F MMBT2907A Mot N SOT23MPS2907A2F MMBT2907AW Mot N SOT323MPS2907Ap2F PMBT2907A Phi N SOT232N2907Ap2F PXT2907A Phi O SOT892N2907At2F PMBT2907A Phi N SOT232N2907At2F PMBT2907A Phi N SOT3232N2907A2FR BC850BR Phi R SOT23R BC550B2G BC850C ITT N SOT23 BC550C2Gs BC850C Sie N SOT23 BC550C2Gp BC850C Phi N SOT23 BC550C2Gt BC850C Phi N SOT323 BC550C2Gt BC850CW Phi N SOT323 BC550C2G-BC850CW Phi N SOT323BC550C2G FMMT-A56Zet N SOT23MPSA562G MMBTA56Mot N SOT23MPSA56p2G PMBTA56Phi N SOT23MPSA56t2G PMBTA56Phi N SOT23MPSA56t2G PMSTA56Phi N SOT323MPSA562GM MMBTA56Mot N SOT23MPSA562GR BC850CR Phi R SOT23R BC550C2GT SOA56SGS N SOT23MPSA562H FMMT-A55Zet N SOT23MPSA552HT SOA55SGS N SOT23MPSA552H MMBTA55Mot N SOT23MPSA55t2H PMBTA55Phi N SOT23MPSA55t2H PMSTA55Phi N SOT323MPSA552J MMBT3640Mot N SOT23MPS3640 pnp sw 2K FMMT4402Zet N SOT232N44022K MMBT8598Mot N-2N4125 pnp 60V2L MMBT5401Mot N SOT232N5401 pnp 150V 2L FMMT4403Zet N SOT232N4403p2L PMBT5401Phi N SOT232N5401 pnp 150V t2L PMBT5401Phi N SOT232N5401 pnp 150V t2L PMST5401Phi N SOT3232N5401 pnp 150V 2M FMMT5087Zet N SOT232N50872M MMBT404Mot N SOT23pnp-chopper 24V 150mA 2N MMBT404A Mot N SOT23pnp-chopper 35V 150mA 2N0ZXT11N20DF Zet N SOT23npn 20V 2.5A low sat switch 2P FMMT2222R Zet R SOT23R2N22222P MMBT5086Mot N SOT232N50862Q MMBT5087Mot N SOT232N50872R HSMS-8102HP Z SOT2310-14GHz schottky mixer pair 2T SO4403SGS N SOT232N44032T MMBT4403Mot N SOT232N4403p2T PMBT4403Phi N SOT232N4403p2T PXT4403Phi O SOT892N4403t2T PMBT4403Phi N SOT232N4403t2T PMST4403Phi N SOT3232N44032T HT2Zet N SOT23pnp 80V 100mA2U MMBTA63Mot N SOT23MPSA63 darlingtont2U PMBTA63Phi N SOT23MPSA63 darlington2V MMBTA64Mot N SOT23MPSA64 darlingtonp2V PXTA64Phi O SOT89MPSA64 darlingtont2V PMBTA64Phi H SOT23MPSA64 darlington2V4PZM2.4NB Phi C SOT346 2.4V 300mW Zener2V7PZM2.7NB Phi C SOT346 2.7V 300mW Zener2W FMMT3905Zet N SOT232N39052W MMBT8599Mot N-2N4125 Vce 80V pnp2X SO4401SGS N SOT232N44012X MMBT4401Mot N SOT232N4401p2X PMBT4401Phi N SOT232N4401p2X PxT4401Phi O SOT892N4401t2X PMBT4401Phi N SOT232N4401t2X PMST4401Phi N SOT3232N44012Y4BZV49-C2V4Phi O SOT89 2.4V 1W zener2Z MMBT6520Mot N SOT232N6520 pnp Vce 350V2Z BAS70-04Zet D SOT23dual series RF schottky 70V 15mA 2Z5BAS70-05Zet B SOT23dual cc RF Schottky 70V 15mA Code Device Manufacturer Base Package Leaded Equivalent/Data 3BAT60A Sie I SOD32310V 3A sw schottky3BAT62-02W Sie I SCD80-30MUN5330DW1Mot DP SOT363npn/pnp dtr 1k0+1k030V PZM30NB1Phi C SOT34630V 300mW zener30Y BZV49-C30Phi O SOT8930V 1W zener301FDV301N Fch M SOT23n-ch 'digital' fet 25V 0.22A302FDV302P Fch M SOT23p-ch 'digital' fet 25V 0.13A303FDV303N Fch M SOT23n-ch 'digital' fet 25V 0.68A304FDV304P Fch M SOT23p-ch 'digital' fet 25V 0.46A31MUN5331DW1Mot DP SOT363npn/pnp dtr 2k2+2k231MMBD1402Nat K SOT23Si diode 200V 100mAp31PDTA143XT Phi N SOT23pnp dtr 4k7+10kt31PDTA143XT Phi N SOT23pnp dtr4k7+10k32MUN5332DW1Mot DP SOT363npn/pnp dtr 4k7+4k732MMBD1403Nat D SOT23dual Si diode 200V 100mA32BAT32Sie CS-18GHz zero-bias schottkyp32PDTC143XT Phi N SOT23pnp dtr 4k7+10kt32PDTC143XT Phi N SOT23pnp dtr 4k7+10ks33MUN5333DW1Mot DP SOT363npn/pnp dtr 4k7+47k33DTA143XE Roh N EMT3pnp dtr 4k7+10k 50V 100mA33DTA143XUA Roh N SC70pnp sw 4k7+10k bias res 50V 100mA 33DTA143XKA Roh N SC59pnp sw 4k7+10k bias res 50V 100mA 33MMBD1404Nat B SOT23dual cc Si diode 200V 100mA33 Gali-33 MC AZ SOT89 DC-4GHz MMIC amp 19dB gain 33V PZM33NB1Phi C SOT34633 300mW zener34MUN5334DW1Mot DP SOT363npn/pnp dtr 22k+47k34MMBD1405Nat A SOT23dual ca Si diode 200V 100mA 331NDS331N Fch M SOT23n-ch mosfet 1.3A 20V331PZM3.3NB1Phi C SOT346 3.3V 300mW zener332PZM3.3NB2Phi C SOT346 3.3V 300mW zener332NDS332N Fch M SOT23p-ch mosfet 0.4A, 1A pk, 20V 335NDS335N Fch M SOT23n-ch mosfet 70 mA, 1.7A pk, 20V 336NDS336N Fch M SOT23p-ch mosfet 0.27A, 1.2A pk, 20V 337NDS337N Fch M SOT23n-ch mosfet 50 mA, 2.5A pk 20V 338NDS338N Fch M SOT23p-ch mosfet 0.13A, 1.6Apk 20V 342SC5007Nec N-npn RF fT 7GHz @3V 7mA 340FDV340P Fch M SOT23p-ch mosfet 20V 70 mA35MUN5335DW1Mot DP SOT363npn/pnp dtr 2k2+47k35DTA124XE Roh N EMT3pnp dtr 22k+47k 50V 50mA 35DTA124XUA Roh N SC70pnp dtr 22k+47k 50V 50mA 35DTA124XKA Roh N SC59pnp dtr 22k+47k 50V 50mA 351NDS351N Fch M SOT23n-ch mosfet 1.1A 30V 352NDS352N Fch M SOT23p-ch mosfet 0.5A 20V 355NDS355N Fch M SOT23n-ch mosfet 0.1A, 1.6A pk 30V 356NDS356N Fch M SOT23p-ch mosfet 0.3A, 1.1A pk 20V 357NDS357N Fch M SOT23n-ch mosfet 2.5Apk 30V 358NDS358N Fch M SOT23p-ch mosfet 0.2A, 1.6A pk 30V 358FDN358N Fch M SOT23p-ch mosfet 0.2A 1.6A pk 30V 360FDN360P Fch M SOT23p-ch mosfet 80mA, 2a PK, 30V 361PZM3.6NB1Phi C SOT346 3.6V 300mW Zener362PZM3.3NB2Phi C SOT346 3.6V 300mW Zener36V PZM36NB1Phi C SOT34636V 300mW Zener36Y BZV49-C36Phi O SOT8936V 1W zener391PZM3.9NB1Phi C SOT346 3.9V 300mW Zener392PZM3.9NB2Phi C SOT346 3.9V 300mW Zener39V PZM39NB1Phi C SOT34639V 300mW Zener39Y BZV49-C39Phi O SOT8939V 1W zener3A BC856A ITT N SOT23BC556A3A BC856AT Phi N SOT416BC556A3Ap BC856A Phi N SOT23BC556A3At BC856A Phi N SOT23BC556A3As BC856A Sie N SOT23BC556A3At BC856AW Phi N SOT323BC556A3A-BC856AW Phi N SOT323BC556A3A MMBTH24Mot N SOT23VHF mixer npn fT 600MHz 3A0PZM3.0NB2A Phi C SOT346dual 3.0V Zener3A3PZM3.3NB2A Phi C SOT346dual 3.3V Zener3A6PZM3.6NB2A Phi C SOT346dual 3.6V Zener3A9PZM3.9NB2A Phi C SOT346dual 3.9V Zener3AR BC856AR Phi R SOT23R BC556A3B BC856B ITT N SOT23BC556B3B BC856BT Phi N SOT416BC556B3Bp BC856B Phi N SOT23BC556B3Bs BC856B Sie N SOT23BC556B3Bt BC856B Phi N SOT23BC556B3Bt BC856BW Phi N SOT323BC556B3B-BC856BW Phi N SOT323BC556B3B FMMT918Zet N SOT232N9183B MMBT918Mot N SOT232N9183BR BC856BR Phi R SOT23BC556B3C FMMTA20R Zet R SOT23R MPSA203C BC857Sie DO-pnp separate pair gp AF3D BC856Phi N SOT23BC556 hfe 75 min3Dp BC856Phi N SOT23BC556 hfe 75 min3Dt BC856Phi N SOT23BC556 hfe 75 min3Dt BC856W Phi N SOT323BC556 hfe 75 min3D-BC856W Phi N SOT323BC556 hfe 75 min3D MMBTH81L Mot N SOT23UHF pnp fT 600MHz 3D BC856S Sie DO-pnp separate pair gp AF 3E BC857A Phi N SOT23BC557A 3E BC857AT Phi N SOT416BC557A3Ep BC857A Phi N SOT23BC557A3Et BC857A Phi N SOT23BC557A3Et BC857A Phi N SOT323BC557A3E-BC857A Phi N SOT323BC557A3E MMBTH10Mot N SOT23MPSH10 fT 650MHz 3E FMMT-A42Zet N SOT23MPSA423EM MMBTH10L Mot N SOT23VHF amp 650MHz fT 3ER BC857AR Phi R SOT23R BC557A3EZ FMMTH10Zet N SOT23npn fT 650MHz3F BC857B Phi N SOT23BC557B3F BC857BT Phi N SOT416BC557B3Fp BC857B Phi N SOT23BC557B3Fs BC857B Sie N SOT23BC557B3Ft BC857B Phi N SOT23BC557B3Ft BC857BW Phi N SOT323BC557B3Ft BC857BS Phi N SOT363BC557B3F-BC857BW Phi N SOT323BC557B3FR BC857BR Phi R SOT23R BC557B3G BC857C Phi N SOT23BC557C3Gp BC857C Phi N SOT23BC557C3G BC857C Phi N SOT23BC557C3Gs BC857C Sie N SOT23BC557C3Gt BC857C Phi N SOT23BC557C3Gt BC857CW Phi N SOT323BC557C3G-BC857CW Phi N SOT323BC557C3G MMBTH11NS N SOT23-3G MGSF3454X Mot DK TSOP6n-ch enh tmosfet 1.75A 3GR BC857CR Phi R SOT23R BC557CR3Hp BC857C Phi N SOT23BC5573Ht BC857C Phi N SOT23BC5573Ht BC857CW Phi N SOT323BC5573H MMBTH30NS N SOT23-3H-BC857CW Phi N SOT323BC5573J MMBTH69Mot N SOT23pnp UHF fT 2GHz 3J BC858A Phi N SOT23BC558A3Js BC858A Sie N SOT23BC558A3JR BC858AR Phi R SOT23R BC558A3Js BCV62A Sie VQ SOT143pnp current mirror hFe 180 3Jp BCV62A Phi VQ SOT143pnp current mirror hFe 180 3K BC858B Phi N SOT23BC558B3Ks BCV62B Sie VQ SOT143npn current mirror hFe 290 3Kp BCV62B Phi VQ SOT143npn current mirror hFe 290 3KR BC858BR Phi R SOT23R BC558B3L BC858C Phi N SOT23BC558C3LR BC858CR Phi R SOT23R BC558C3Ls BCV62C Sie VQ SOT143pnp current mirror hFe 520 3Lp BCV62C Phi VQ SOT143pnp current mirror hFe 520 3M BC858Phi N SOT23BC5583M FMMT5087R Zet R SOT23R2N5087 BC322 3Ms BCV62Sie VQ SOT143pnp current mirror3Mp BCV62Phi VQ SOT143pnp current mirror 3N MMBT4402Nat N SOT232N4402 pnp3P FMT2222AR Zet R SOT23R2N2222A3R MMBT5571Nat N SOT23pnp sw 850MHz 3S MMBT5551Nat N SOT23npn 160V3T HT3Zet N SOT23npn 80V 100mA 3V0PZM3.0NB Phi C SOT346 3.0V 300mW Zener 3V3PZM3.3NB Phi C SOT346 3.3V 300mW Zener 3V6PZM3.6NB Phi C SOT346 3.6V 300mW Zener 3V9PZM3.9NB Phi C SOT346 3.9V 300mW Zener 3W FMMT-A12Zet N-MPSA123Y3BZV49-C3V3Phi O SOT89 3.3V 1W zener 3Y6BZV49-C3V6Phi O SOT89 3.6V 1W zener 3Y9BZV49-C3V9Phi O SOT89 3.9V 1W zener Code Device Manufacturer Base Package Leaded Equivalent/Data4 (white)BAS140W Sie I SOD32340V 120mA sw schottky 4 (yellow)BB644Sie I SOD323Varicap 42-2.5pF4 (red)BB57-03W Sie I SOD323Varicap4BB664Sie I SCD80Varicap 42-2.5pF 41BAT14-115S Sie CS SOT17340GHz schottky diode 41BAT14-115R Sie CZ SOT17340GHz schottky ring quad 41A FMMT491A Zet N SOT23npn 40v 1A max 41D BAT14-115D Sie CY SOT17340GHz schottky dual 42BAT14-025S Sie CS SOT1734GHz schottky diode 42BAT14-025R Sie CZ SOT1734GHz schottky ring quad 42D BAT14-025D Sie CY SOT1734GHz schottky dual 43BAS40Sie C SOT23schottky diode 40V 100mA 43DTA143EE Mot N SOT416pnp dtr 4k7 + 4k7 43DTC143XE Roh N EMT3npn dtr 4k7+10k 50V 100mA 43DTC143XUA Roh N SC70npn dtr 4k7+10k 50V 100mA43DTC143XKA Roh N SC59npn dtr 4k7+10k 50V 100mA 43V PZM43NB Phi C SOT34643V 0.3W zener43Y BZV49-C43Phi O SOT8943V 1W zener44BAS40-04Sie D SOT23dual series BAS4044BAS40-04W Sie D SOT323dual series BAS40442SC5009Nec N-npn RF fT 12GHz @3V 5mA 45BAS40-05Sie A SOT23dual ca BAS40。
很全稳压二极管型号对照表稳压二极管型号对照表200W、230W、300W、350W、420W等各功率电脑电源上的整流部分散热片上的快恢复、肖特基二极管.型号如:1.快恢复二极管:F12C20 F16C20C U20C20C U20D20C2.肖特基二极管:S10C40C S16C40C S20C40C S30D40C S40D45C S40D60C3.光藕BPC817C ,IN5408、FR107/FR104/KBP206等不同种类二极管如何选用1.检波二极管的选用检波二极管一般可选用点接触型锗二极管,例如2AP系列等。
选用时,应根据电路的具体要求来选择工作频率高、反向电流小、正向电流足够大的检波二极管。
2.整流二极管的选用整流二极管一般为平面型硅二极管,用于各种电源整流电路中。
选用整流二极管时,主要应考虑其最大整流电流、最大反向工作电流、截止频率及反向恢复时间等参数。
普通串联稳压电源电路中使用的整流二极管,对截止频率的反向恢复时间要求不高,只要根据电路的要求选择最大整流电流和最大反向工作电流符合要求的整流二极管即可。
例如,1N系列、2CZ系列、RLR系列等。
开关稳压电源的整流电路及脉冲整流电路中使用的整流二极管,应选用工作频率较高、反向恢复时间较短的整流二极管(例如RU系列、EU系列、V系列、1SR系列等)或选择快恢复二极管。
3.稳压二极管的选用稳压二极管一般用在稳压电源中作为基准电压源或用在过电压保护电路中作为保护二极管。
选用的稳压二极管,应满足应用电路中主要参数的要求。
稳压二极管的稳定电压值应与应用电路的基准电压值相同,稳压二极管的最大稳定电流应高于应用电路的最大负载电流50%左右。
4、开关二极管的选用开关二极管主要应用于收录机、电视机、影碟机等家用电器及电子设备有开关电路、检波电路、高频脉冲整流电路等。
中速开关电路和检波电路,可以选用2AK系列普通开关二极管。
高速开关电路可以选用RLS系列、1SS系列、1N系列、2CK系列的高速开关二极管。
Z字头-贴片稳压二极管标示1 2 3 4 5 6 7 8 9 0A B C D E F G H I J K L M N O P Q R S T U V W X Y Z贴片元件标示代码表示查询DuQ838电子-技术资料-电子元件-电路图-技术应用网站-基本知识-原理-维修-作用-参数-电子元器件符号表示符号实际元件生产厂结构封装类型参数及代换型号Z0 SST310 Tem F SOT23 J310 n-ch jfetZ0 PDZ2.4B Phi I SOD323 2.4V 0.4W zenerZ08 SST308 Sil F SOT23 J308 n-ch jfetZ09 SST309 Sil F SOT23 J309 n-ch jfetZ10 SST310 Sil F SOT23 J310 n-ch jfetZ1 BZX84-C4V7 Phi C SOT23 0.3W zener 4.7VZ1 SSTJ211 Sil F SOT23 J211 n-ch jfetZ1 PDZ2.7B Phi I SOD323 2.7V 0.4W zenerZ1 IMZ1A Roh DE 2SC2414 npn,2SA1037AK pnpZ1 BZV49C4V7 Zet O SOT89 1W ±5% zener 4.7VZ2 BZX84-C5V1 Phi C SOT23 0.3W zener 4.7VZ2 SSTJ212 Sil F SOT23 J212 n-ch jfetZ2 IMZ2A Roh DF 2SC2414 npn,2SA1037AK pnpZ2 PDZ3.0B Phi I SOD323 3.0V 0.4W zenerZ2 BZV49C5V1 Zet O SOT89 1W ±5% zener 5.1VZ2U FMMTA63 Zet N SOT23 MPSA63Z2V FMMTA64 Zet N SOT23 MPSA64Z3 BZX84-C5V6 Phi C SOT23 0.3W zener 5.6VZ3 PDZ3.3B Phi I SOD323 3.3V 0.4W zenerZ3 2SK1078 Tos T SOT89 n-ch mosfet 60V 0.8AZ3 BZV49C5V6 Zet O SOT89 1W ±5% zener 5.6VZ4 BZX84-C6V2 Phi C SOT23 0.3W zener 6.2VZ4 PDZ3.6B Phi I SOD323 3.6V 0.4W zenerZ4 2SK1079 Tos T SOT89 n-ch mosfet 100V 0.6AZ5 BZX84-C6V8 Phi C SOT23 0.3W zener 6.8VZ5 PDZ3.9B Phi I SOD323 3.9V 0.4W zenerZ5 2SK1717 Tos T SOT89 n-ch mosfet 60V 2AZ5 BZV49C6V8 Zet O SOT89 1W ±5% zener 6.8VZ6 BZX84-C7V5 Phi C SOT23 0.3W zener 7.5VZ6 PDZ4.3B Phi I SOD323 4.3V 0.4W zenerZ6 2SJ238 Tos T SOT89 p-ch mosfet 60V 1AZ6 BZV49C7V5 Zet O SOT89 1W ±5% zener 7.5VZ7 BZX84-C8V2 Phi C SOT23 0.3W zener 8.2VZ7 PDZ4.7B Phi I SOD323 4.7V 0.4W zenerZ7 BZV49C8V2 Zet O SOT89 1W ±5% zener 8.2VZ8 BZX84-C9V1 Phi C SOT23 0.3W zener 9.1VZ8 PDZ5.1B Phi I SOD323 5.1V 0.4W zenerZ8 BZV49C9V1 Zet O SOT89 1W ±5% zener 9.1VZ9 BZX84-C10 Phi C SOT23 0.3W zener 10VZ9 PDZ5.6B Phi I SOD323 5.6V 0.4W zenerZ1 BZV49C10 Zet O SOT89 1W ±5% zener 10VZ10 SST310 Sil F SOT23 J310 n-ch jfetZ11 BZX84-C2V4 Phi C SOT23 0.3W zener 2.4V ±5%Z12 BZX84-C2V7 Phi C SOT23 0.3W zener 2.7V ±5%Z13 BZX84-C3V0 Phi C SOT23 0.3W zener 3.0V ±5%Z14 BZX84-C3V3 Phi C SOT23 0.3W zener 3.3V ±5%Z15 BZX84-C3V6 Phi C SOT23 0.3W zener 3.6V ±5%Z16 BZX84-C3V9 Phi C SOT23 0.3W zener 3.9V ±5%Z17 BZX84-C4V3 Phi C SOT23 0.3W zener 4.3V ±5%Z21 DTC113ZE Rho N EMT3 npn dtr 1k0 + 10k 50V 100mA Z21 DTC113ZUA Rho N SC70 npn dtr 1k0 + 10k 50V 100mA Z21 DTC113ZKA Rho N SC59 npn dtr 1k0 + 10k 50V 100mA Z50 BZX84-B2V4 Phi C SOT23 0.3W zener 2.4V ±2%Z51 BZX84-B2V7 Phi C SOT23 0.3W zener 2.7V ±2%Z52 BZX84-B3V0 Phi C SOT23 0.3W zener 3.0V ±2%Z53 BZX84-B3V3 Phi C SOT23 0.3W zener 3.3V ±2%Z54 BZX84-B3V6 Phi C SOT23 0.3W zener 3.6V ±2%Z55 BZX84-B3V9 Phi C SOT23 0.3W zener 3.9V ±2%Z56 BZX84-B4V3 Phi C SOT23 0.3W zener 4.3V ±2%Z57 BZX84-B4V7 Phi C SOT23 0.3W zener 4.7V ±2%Z58 BZX84-B5V1 Phi C SOT23 0.3W zener 5.1V ±2%Z59 BZX84-B5V6 Phi C SOT23 0.3W zener 5.6V ±2%Z60 BZX84-B6V2 Phi C SOT23 0.3W zener 6.2V ±2%Z61 BZX84-B6V8 Phi C SOT23 0.3W zener 6.8V ±2%Z62 BZX84-B7V5 Phi C SOT23 0.3W zener 7.5V ±2%Z63 BZX84-B8V2 Phi C SOT23 0.3W zener 8.2V ±2%Z64 BZX84-B9V1 Phi C SOT23 0.3W zener 9.1V ±2%Z66 BZX84-B11 Phi C SOT23 0.3W zener 11V ±2%Z67 BZX84-B12 Phi C SOT23 0.3W zener 12V ±2%Z68 BZX84-B13 Phi C SOT23 0.3W zener 13V ±2%Z69 BZX84-B15 Phi C SOT23 0.3W zener 15V ±2%Z70 BZX84-B16 Phi C SOT23 0.3W zener 16V ±2%Z71 BZX84-B18 Phi C SOT23 0.3W zener 18V ±2%Z72 BZX84-B20 Phi C SOT23 0.3W zener 20V ±2%Z73 BZX84-B22 Phi C SOT23 0.3W zener 22V ±2%Z74 BZX84-B24 Phi C SOT23 0.3W zener 24V ±2%Z75 BZX84-B27 Phi C SOT23 0.3W zener 27V ±2%Z76 BZX84-B30 Phi C SOT23 0.3W zener 30V ±2%Z77 BZX84-B33 Phi C SOT23 0.3W zener 33V ±2%Z78 BZX84-B36 Phi C SOT23 0.3W zener 36V ±2%Z79 BZX84-B39 Phi C SOT23 0.3W zener 39V ±2%Z80 BZX84-B43 Phi C SOT23 0.3W zener 43V ±2%Z81 BZX84-B47 Phi C SOT23 0.3W zener 47V ±2%Z82 BZX84-B51 Phi C SOT23 0.3W zener 51V ±2%Z83 BZX84-B56 Phi C SOT23 0.3W zener 56V ±2%Z84 BZX84-B62 Phi C SOT23 0.3W zener 62V ±2%Z85 BZX84-B68 Phi C SOT23 0.3W zener 68V ±2%Z86 BZX84-B75 Phi C SOT23 0.3W zener 75V ±2% ZA BZX284-C7V5 Phi I SOD110 0.4W zener 7.5V ±5% ZA PDZ6.2B Phi I SOD323 6.2V 0.4W zenerZB FMMT4123 Zet N SOT23 2N4123ZB PDZ6.8B Phi I SOD323 6.8V 0.4W zenerZB BZX284-C8V2 Phi I SOD110 0.4W zener 8.2V ±5% ZC FMMT4124 Zet N SOT23 2N4124ZC BZX284-C9V1 Phi I SOD110 0.4W zener 9.1V ±5% ZC PDZ7.5B Phi I SOD323 7.5V 0.4W zenerZD FMMT4125 Zet N SOT23 2N4125ZD MMBT4125 Mot N SOT23 2N4125ZD BZX284-C10 Phi I SOD110 0.4W zener 10V ±5% ZD PDZ8.2B Phi I SOD323 8.2V 0.4W zenerZE FMMT4126 Zet N SOT23 2N4126ZE MMBT4123 Nat N SOT23 2N4123ZE BZX284-C11 Phi I SOD110 0.4W zener 11V ±5% ZE PDZ9.1B Phi I SOD323 9.1V 0.4W zenerZF BZX284-C12 Phi I SOD110 0.4W zener 12V ±5% ZF PDZ10B Phi I SOD323 10V 0.4W zenerZG BZX284-C13 Phi I SOD110 0.4W zener 13V ±5% ZG PDZ11B Phi I SOD323 11V 0.4W zenerZH BZX284-C15 Phi I SOD110 0.4W zener 15V ±5% ZH PDZ12B Phi I SOD323 12V 0.4W zenerZHK SM2Z5V1 STM I 2W SMD 5.1V 2W zenerZHL SM2Z5V6 STM I 2W SMD 5.6V 2W zener ZHW SM2Z12 STM I 2W SMD 12V 2W zenerZI BZX284-C16 Phi I SOD110 0.4W zener 16V ±5% ZJ BZX284-C18 Phi I SOD110 0.4W zener 18V ±5% ZJ PDZ13B Phi I SOD323 13V 0.4W zenerZJF SM2Z18 STM I 2W SMD 18V 2W zenerZJQ SM2Z30 STM I 2W SMD 30V 2W zenerZK BZX284-C20 Phi I SOD110 0.4W zener 20V ±5% ZK PDZ15B Phi I SOD323 15V 0.4W zenerZKR SM2Z150 STM I 2W SMD 150V 2W zenerZL BZX284-C22 Phi I SOD110 0.4W zener 22V ±5% ZL PDZ16B Phi I SOD323 16V 0.4W zenerZM BZX284-C24 Phi I SOD110 0.4W zener 24V ±5% ZM PDZ18B Phi I SOD323 18V 0.4W zenerZN BZX284-C27 Phi I SOD110 0.4W zener 27V ±5% ZN PDZ20B Phi I SOD323 20V 0.4W zenerZO BZX284-C30 Phi I SOD110 0.4W zener 30V ±5% ZP BZX284-C33 Phi I SOD100 0.4W zener 33V ±5% ZP PDZ22B Phi I SOD323 22V 0.4W zenerZQ BZX284-C36 Phi I SOD110 0.4W zener 36V ±5% ZQ PDZ24B Phi I SOD323 24V 0.4W zenerZ-Q 2PC4081Q Phi N SOT323 gp npn hfe 120-270 ZtQ 2PC4081Q Phi N SOT323 gp npn hfe 120-270 ZR MSD1819A Mot N SOT323 npn gp 50VZR BZX284-C39 Phi I SOD110 0.4W zener 39V ±5% ZR PDZ27B Phi I SOD323 27V 0.4W zenerZ-R 2PC4081R Phi N SOT323 gp npn hfe 180-390 ZtR 2PC4081R Phi N SOT323 gp npn hfe 180-390ZS BZX284-C43 Phi I SOD110 0.4W zener 43V ±5% ZS PDZ30B Phi I SOD323 30V 0.4W zenerZS1 ZHCS1000 Zet E SOT23 30V 1A schottky diode ZS5 ZHCS500 Zet E SOT23 40V 0.5A schottky diode ZS7 ZHCS750 Zet E SOT23 30V 0.75A schottky diode Z-S 2PC4081S Phi N SOT323 gp npn hfe 270-560 ZtS 2PC4081S Phi N SOT323 gp npn hfe 270-560ZT BZX284-C47 Phi I SOD110 0.4W zener 47V ±5% ZT PDZ33B Phi I SOD323 33V 0.4W zenerZU BZX284-C51 Phi I SOD110 0.4W zener 51V ±5% ZU PDZ36B Phi I SOD323 36V 0.4W zenerZV BZX284-C56 Phi I SOD110 0.4W zener 56V ±5% ZW BZX284-C62 Phi I SOD110 0.4W zener 62V ±5% ZX BZX284-C68 Phi I SOD110 0.4W zener 68V ±5% ZY BZX284-C75 Phi I SOD110 0.4W zener 75V ±5%ZS1 ZHCS1000 Zet C SOT23 schottky 1A 30VZS7 ZHCS750 Zet C SOT23 schottky 0.75A 30VDuQ838电子-技术资料-电子元件-电路图-技术应用网站-基本知识-原理-维修-作用-参数-电子元器件符号补充:DuQ838电子-技术资料-电子元件-电路图-技术应用网站-基本知识-原理-维修-作用-参数-电子元器件符号元器件标示代号封装形式实际元件型号制造工厂替换型号Z 2 SOD-523 BB145B PH6 SOT-363 HSMP-389T A VZ–Q 3 SOT-323 2PC4081Q PHZ–R 3 SOT-323 2PC4081R PHZ–S 3 SOT-323 2PC4081S PHZ0 3 SOT-23 SST310 SIL J3106 SOT-457 BZA420A PHZ08 3 SOT-23 SST308 SIL J308Z09 3 SOT-23 SST309 SIL J309Z0D 4 SOT-223 Z0110DN STZ0M 4 SOT-223 Z0110MN STZ0N 4 SOT-223 Z0110NN STZ0S 4 SOT-223 Z0110SN STZ1 2 SOD-723 BB145B-01 PH3 SOT-23 稳压二极管BZX84C4V7 NS SM ZE BZX79C4V73 SOT-89 BZV49C4V7 ZE BZV85C4V75 SOT-353 BZA856A PH5 SOT-665 BZA956A PHZ1** 3 SOT-23 TC1274-5ENB MIZ10 3 SOT-23 SST310 SIL J310Z11 3 SOT-23 稳压二极管BZX84C2V4 V AL BZX79C2V4Z12 3 SOT-23 稳压二极管BZX84C2V7 V AL BZX79C2V7Z13 3 SOT-23 稳压二极管BZX84C3V0 V AL BZX79C3V0Z14 3 SOT-23 稳压二极管BZX84C3V3 V AL BZX79C3V3Z15 3 SOT-23 稳压二极管BZX84C3V6 V AL BZX79C3V6Z16 3 SOT-23 稳压二极管BZX84C3V9 V AL BZX79C3V9Z17 3 SOT-23 稳压二极管BZX84C4V3 V AL BZX79C4V3Z1p 3 SOT-23 稳压二极管BZX84C4V7 PH BZX79C4V7Z1t 3 SOT-23 稳压二极管BZX84-C4V7 PHZ1W 3 SOT-23 稳压二极管BZX84-C4V7 PHZ2 3 SOT-23 稳压二极管BZX84C5V1 NS SM ZE BZX79C5V13 SOT-89 BZV49C5V1 ZE BZV85C5V15 SOT-353 BZA862A PH5 SOT-665 BZA962A PHZ2** 3 SOT-23 TC1274-10ENB MIZ2p 3 SOT-23 稳压二极管BZX84C5V1 PH BZX79C5V1Z2t 3 SOT-23 稳压二极管BZX84-C5V1 PH6 SOT-457 BZA462A PHZ2U 3 SOT-23 FMMTA63 ZE MPSA63Z2V 3 SOT-23 FMMTA64 ZE MPSA64Z2W 3 SOT-23 稳压二极管BZX84-C5V1 PHZ3 3 SOT-23 稳压二极管BZX84C5V6 NS SM ZE BZX79C5V6 3 SOT-89 2SK1078 TO3 SOT-89 BZV49C5V6 ZE BZV85C5V65 SOT-353 BZA868A PH5 SOT-665 BZA968A PHZ3** 3 SOT-23 TC1274-15ENB MIZ3D 4 SOT-223 Z0103DN STZ3M 4 SOT-223 Z0103MN STZ3N 4 SOT-223 Z0103NN STZ3p 3 SOT-23 稳压二极管BZX84C5V6 PH BZX79C5V6Z3t 3 SOT-23 稳压二极管BZX84-C5V6 PHZ3S 4 SOT-223 Z0103SN STZ3W 3 SOT-23 稳压二极管BZX84-C5V6 PHZ4 3 SC-75 KA4F4Z NE3 SOT-23 稳压二极管BZX84C6V2 NS SM ZE BZX79C6V23 SOT-89 2SK1079 TO3 SOT-89 BZV49C6V2 ZE BZV85C6V25 SOT-353 BZA820A PHZ4p 3 SOT-23 稳压二极管BZX84C6V2 PH BZX79C6V2Z4t 3 SOT-23 稳压二极管BZX84-C6V2 PHZ4W 3 SOT-23 稳压二极管BZX84-C6V2 PHZ5 3 SOT-23 稳压二极管BZX84C6V8 NS SM ZE BZX79C6V8 3 SOT-89 2SK1717 TO3 SOT-89 BZV49C6V8 ZE BZV85C6V8Z50 3 SOT-23 稳压二极管BZX84B2V4 V AL BZX79B2V4Z51 3 SOT-23 稳压二极管BZX84B2V7 V AL BZX79B2V7Z52 3 SOT-23 稳压二极管BZX84B3V0 V AL BZX79B3V0Z53 3 SOT-23 稳压二极管BZX84B3V3 V AL BZX79B3V3Z54 3 SOT-23 稳压二极管BZX84B3V6 V AL BZX79B3V6Z55 3 SOT-23 稳压二极管BZX84B3V9 V AL BZX79B3V9Z56 3 SOT-23 稳压二极管BZX84B4V3 V AL BZX79B4V3Z57 3 SOT-23 稳压二极管BZX84B4V7 V AL BZX79B4V7Z58 3 SOT-23 稳压二极管BZX84B5V1 V AL BZX79B5V1Z59 3 SOT-23 稳压二极管BZX84B5V6 V AL BZX79B5V6Z5p 3 SOT-23 稳压二极管BZX84C6V8 PH BZX79C6V8Z5t 3 SOT-23 稳压二极管BZX84-C6V8 PHZ5W 3 SOT-23 稳压二极管BZX84-C6V8 PHZ6 3 SOT-23 稳压二极管BZX84C7V5 NS SM ZE BZX79C7V53 SOT-89 2SJ238 TO3 SOT-89 BZV49C7V5 ZE BZV85C7V56 SOT-457 BZA456A PHZ60 3 SOT-23 稳压二极管BZX84B6V2 V AL BZX79B6V2Z61 3 SOT-23 稳压二极管BZX84B6V8 V AL BZX79B6V8Z62 3 SOT-23 稳压二极管BZX84B7V5 V AL BZX79B7V5Z63 3 SOT-23 稳压二极管BZX84B8V2 V AL BZX79B8V2Z64 3 SOT-23 稳压二极管BZX84B9V1 V AL BZX79B9V1Z65 3 SOT-23 稳压二极管BZX84B10 V AL BZX79B10Z66 3 SOT-23 稳压二极管BZX84B11 V AL BZX79B11Z67 3 SOT-23 稳压二极管BZX84B12 V AL BZX79B12Z68 3 SOT-23 稳压二极管BZX84B13 V AL BZX79B13Z69 3 SOT-23 稳压二极管BZX84B15 V AL BZX79B15Z6p 3 SOT-23 稳压二极管BZX84C7V5 PH BZX79C7V5Z6t 3 SOT-23 稳压二极管BZX84-C7V5 PHZ6W 3 SOT-23 稳压二极管BZX84-C7V5 PHZ7 3 SC-75 KN4F4Z NE3 SOT-23 稳压二极管BZX84C8V2 NS SM ZE BZX79C8V23 SOT-89 BZV49C8V2 ZE BZV85C8V2Z70 3 SOT-23 稳压二极管BZX84B16 V AL BZX79B16Z71 3 SOT-23 稳压二极管BZX84B18 V AL BZX79B18Z72 3 SOT-23 稳压二极管BZX84B20 V AL BZX79B20Z73 3 SOT-23 稳压二极管BZX84B22 V AL BZX79B22Z74 3 SOT-23 稳压二极管BZX84B24 V AL BZX79B24Z75 3 SOT-23 稳压二极管BZX84B27 V AL BZX79B27Z76 3 SOT-23 稳压二极管BZX84B30 V AL BZX79B30Z77 3 SOT-23 稳压二极管BZX84B33 V AL BZX79B33Z78 3 SOT-23 稳压二极管BZX84B36 V AL BZX79B36Z79 3 SOT-23 稳压二极管BZX84B39 V AL BZX79B39Z7D 4 SOT-223 Z0107DN STZ7M 4 SOT-223 Z0107MN STZ7N 4 SOT-223 Z0107NN STZ7p 3 SOT-23 稳压二极管BZX84C8V2 PH BZX79C8V2Z7S 4 SOT-223 Z0107SN STZ7t 3 SOT-23 稳压二极管BZX84-C8V2 PHZ7W 3 SOT-23 稳压二极管BZX84-C8V2 PHZ8 3 SOT-23 稳压二极管BZX84C9V1 NS SM ZE BZX79C9V1 3 SOT-23 SST308 SIL J3083 SOT-89 BZV49C9V1 ZE BZV85C9V16 SOT-457 BZA408B PHZ80 3 SOT-23 稳压二极管BZX84B43 V AL BZX79B43Z81 3 SOT-23 稳压二极管BZX84B47 V AL BZX79B47Z82 3 SOT-23 稳压二极管BZX84B51 V AL BZX79B51Z83 3 SOT-23 稳压二极管BZX84B56 V AL BZX79B56Z84 3 SOT-23 稳压二极管BZX84B62 V AL BZX79B62Z85 3 SOT-23 稳压二极管BZX84B68 V AL BZX79B68Z86 3 SOT-23 稳压二极管BZX84B75 V AL BZX79B75Z8p 3 SOT-23 稳压二极管BZX84C9V1 PH BZX79C9V1Z8t 3 SOT-23 稳压二极管BZX84-C9V1 PHZ8W 3 SOT-23 稳压二极管BZX84-C9V1 PHZ9 3 SOT-23 稳压二极管BZX84C10 NS SM ZE BZX79C10 3 SOT-23 SST309 SIL J3093 SOT-89 BZV49C10 ZE BZV85C10Z9D 4 SOT-223 Z0109DN STZ9M 4 SOT-223 Z0109MN STZ9N 4 SOT-223 Z0109NN STZ9p 3 SOT-23 稳压二极管BZX84C10 PH BZX79C10Z9S 4 SOT-223 Z0109SN STZ9t 3 SOT-23 稳压二极管BZX84-C10 PHZ9W 3 SOT-23 稳压二极管BZX84-C10 PHZA 2 SOD-110 稳压二极管BZX284-C7V5 PH3 SOT-23 BCW60RA TFK BC548A5 SC-95/5 µPA507TE NEZA509TS 20 SSOP-20 BZA509TS PHZB 2 SOD-110 稳压二极管BZX284-C8V2 PH3 SOT-23 BCW60RB TFK BC548B3 SOT-23 FMMT4123 FER ZE 2N41235 SC-95/5 µPA508TE NEZC 2 SOD-110 稳压二极管BZX284-C9V1 PH3 SOT-23 BCW60RC TFK BC548B3 SOT-23 FMMT4124 FER ZE 2N41243 SOT-23 MMBT4124 NS 2N4124ZD 2 SOD-110 稳压二极管BZX284-C10 PH3 SOT-23 BCW60RD TFK BC548C3 SOT-23 FMMT4125 FER ZE 2N41253 SOT-23 MMBT4125 NS 2N4125ZE 2 SOD-110 稳压二极管BZX284-C11 PH3 SOT-23 FMMT4126 FER ZE 2N41263 SOT-23 MMBT4123 NS 2N4123ZF 2 SOD-110 稳压二极管BZX284-C12 PH3 SOT-23 MMBT4126 NS 2N4126ZFD 3 SOT-23 BCV26 ZE BC516ZFE 3 SOT-23 BCV46 ZEZFF 3 SOT-23 BCV27 ZE BC517ZFG 3 SOT-23 BCV47 ZEZG 2 SOD-110 稳压二极管BZX284-C13 PH3 SC-59 2SA1182GR TO3 SC-70 2SA1588GR TO3 SOT-23 BCX70RG TFK BC547AZH 2 SOD-110 稳压二极管BZX284-C15 PH 3 SOT-23 BCX70RH TFK BC547BZHK 2 DO-214AC SM2Z5V1 STZHL 2 DO-214AC SM2Z5V6 STZHN 2 DO-214AC SM2Z6V2 STZHQ 2 DO-214AC SM2Z7V5 STZHU 2 DO-214AC SM2Z10 STZHW 2 DO-214AC SM2Z12 STZHZ 2 DO-214AC SM2Z15 STZI 2 SOD-110 稳压二极管BZX284-C16 PH ZJ 2 SOD-110 稳压二极管BZX284-C18 PH 3 SOT-23 BCX70RJ TFK BC547BZJF 2 DO-214AC SM2Z18 STZJG 2 DO-214AC SM2Z20 STZJK 2 DO-214AC SM2Z22 STZJL 2 DO-214AC SM2Z24 STZJN 2 DO-214AC SM2Z27 STZJQ 2 DO-214AC SM2Z30 STZJS 2 DO-214AC SM2Z36 STZJT 2 DO-214AC SM2Z39 STZJV 2 DO-214AC SM2Z47 STZK 2 SOD-110 稳压二极管BZX284-C20 PH 3 SOT-23 BCX70RK TFK BC547C3 SOT-89 2SB1114ZK NEZKM 2 DO-214AC SM2Z68 STZKQ 2 DO-214AC SM2Z100 STZKR 2 DO-214AC SM2Z150 STZKW 2 DO-214AC SM2Z200 STZL 2 SOD-110 稳压二极管BZX284-C22 PH 3 SOT-89 2SB1114ZL NEZL– 3 SOT-23 PDTA123TT PH PDTA123TS ZLp 3 SOT-23 PDTA123TT PH PDTA123TS ZLt 3 SOT-23 PDTA123TT PH PDTA123TS ZLW 3 SOT-23 PDTA123TT PH PDTA123TS ZM 2 SOD-110 稳压二极管BZX284-C24 PH 3 SOT-89 2SB1114ZM NEZM– 3 SOT-23 PDTC123TT PH PDTC123TS ZMp 3 SOT-23 PDTC123TT PH PDTC123TS ZMt 3 SOT-23 PDTC123TT PH PDTC123TS ZMW 3 SOT-23 PDTC123TT PH PDTC123TS ZN 2 SOD-110 稳压二极管BZX284-C27 PH ZO 2 SOD-110 稳压二极管BZX284-C30 PH 3 SC-59 2SA1182O TO3 SC-70 2SA1588O TOZP 2 SOD-110 稳压二极管BZX284-C33 PHZQ 2 SOD-110 稳压二极管BZX284-C36 PH3 SC-59 2PD601AQ PH3 SC-75 2PC4617Q PHZR 2 SOD-110 稳压二极管BZX284-C39 PH3 SC-59 2PD601AR PH3 SC-75 2PC4617R PHZS 2 SOD-110 稳压二极管BZX284-C43 PH3 SC-59 2PD601AS PH3 SC-75 2PC4617S PHZT 2 SOD-110 稳压二极管BZX284-C47 PHZT2222 4 SOT-223 PZT2222 SM 2N2222ZT2222A 4 SOT-223 PZT2222A PH SM 2N2222A ZT2907 4 SOT-223 PZT2907 SM 2N2907ZT2907A 4 SOT-223 PZT2907A PH SM 2N2907A ZT3904 4 SOT-223 PZT3904 PH SM 2N3904ZT3906 4 SOT-223 PZT3906 SM 2N3906ZTA42 4 SOT-223 PZTA42 PH MPSA42ZTA43 4 SOT-223 PZTA43 PH MPSA43ZTA96 4 SOT-223 PZTA96 MO MPSA96ZTp 3 SOT-23 PBSS4140T PH PBSS4140SZtQ 3 SOT-323 2PC4081Q PHZtR 3 SOT-323 2PC4081R PHZtS 3 SOT-323 2PC4081S PHZTt 3 SOT-23 PBSS4140T PH PBSS4140SZTW 3 SOT-23 PBSS4140T PH PBSS4140SZtZ 6 SC-88 PUMX1 PHZU 2 SOD-110 稳压二极管BZX284-C51 PHZV 2 SOD-110 稳压二极管BZX284-C56 PH ZW 2 SOD-110 稳压二极管BZX284-C62 PH ZX 2 SOD-110 稳压二极管BZX284-C68 PH3 SC-84 2SB1628ZX NEZY 2 SOD-110 稳压二极管BZX284-C75 PH3 SC-59 2SA1182Y TO3 SC-70 2SA1588Y TO3 SC-84 2SB1628ZY NEZZ 3 SC-84 2SB1628ZZ NE6 SOT-363 HSMS-286R A V。