惠州学院考试-高等数学(你懂的)
- 格式:doc
- 大小:207.00 KB
- 文档页数:3
第40卷第6期2020年12月惠州学院学报JOURNAL OF HUIZHOU UNIVERSITYVol.40.No.6Dec.2020《高等数学》线上、线下混合式教学模式的探索与实践研究——以惠州学院为例罗辉1,张驰2,杨水平1,李思彦1(1.惠州学院数学与统计学院;2.惠州工程职业学院机电工程系,广东惠州516007)摘要:惠州学院开设的《高等数学》课程基于OBE(Outcomes-based Education)理念,以惠州学院建设地方性高水平应用型大学的办学定位与目标为导向,设计了坚持立德树人,以学生为中心,产出导向,持续改进的线上线下混合教学的教学模式,形成了惠州学院高等数学课程特色.积极探索《高等数学》线上、线下混合式教学模式,构建适合地方院校的《高等数学》线上、线下混合式教学建设目标,给出线上、线下混合式教学设计思路,设计出《高等数学》线上、线下混合式课时教学设计.关键词:高等数学;混合式教学;OBE理念中图分类号:G642文献标识码:A文章编号:1671-5934(2020)06-0121-05DOI:10.16778/ki.1671-5934.2020.06.022《高等数学》是理工、经管类专业学生必修的一门重要基础理论课,是培养造就高层次专门人才所需数学素质的基本课程.高等数学课程通过各个教学环节逐步培养学生的抽象思维能力、逻辑推理能力、空间想象能力、自学能力以及一定的数学建模能力,培养学生熟练的运算能力和综合运用所学知识去分析解决问题尤其是运用数学知识解决来自实际中问题的能力,正确领会一些重要的数学思想方法.高等数学课程基于OBE(Outcomes-based Education)理念,以惠州学院建设地方性高水平应用型大学的办学定位与目标为导向,设计了以学生为中心,产出导向,持续改进的线上线下混合教学的教学模式.《高等数学》线上、线下混合式教学模式,以OBE (Outcomes-based Education)专业认证理念为指导,应用型人才培养为目标,以课程思政和信息化建设为抓手,积极践行教育教学改革,通过数学建模能力培养,注重将抽象的数学知识与各专业的应用点相结合,加强高等数学实践性教学,培养学生应用数学的能力.积极探索《高等数学》线上、线下混合式教学模式,构建适合地方院校的《高等数学》线上、线下混合式教学过程建设目标,总结高等数学课程的主要特色,给出线上、线下混合式教学过程设计思路,设计《高等数学》线上、线下混合式教学课时案例.1《高等数学》线上、线下混合式教学建设目标课程建设目标:本课程坚持立德树人,以学生为中心、应用型人才培养为导向,培养学生良好的数学基础,具备运用数学知识和数学工具对一些实际问题初步数学建模的能力.2《高等数学》线上、线下混合式教学设计思路《高等数学》线上、线下混合式教学设计如下:课前翻转,利用学习通平台,精心设计预习任务,制定导学案,提供电子资源,引领学生自主学习;线下课堂,问题探究,通过生生、师生互动,搭建知识架构,理顺重难点,答疑解惑;课后通过作业、知识拓展、测验、话题讨论巩固所学,使学生知识内化,螺旋上升[1].通过线上与线下结合的多元化过程考核方式和生生、师生互动形式,提升学生自主学习能力,实现课程目标.《高等数学》课程教学设计流程如图1所示.收稿日期:2020-08-24基金项目:惠州学院教学成果培育项目(CGPY2017004)作者简介:罗辉(1964-),女,广东普宁人,副教授,研究方向为特殊函授论,E-mail:****************2020年第40卷惠州学院学报图1教学设计流程3《高等数学》线上、线下混合式课时教学设计案例课题:泰勒级数[2]3.1授课对象及其特征分析授课对象是惠州学院计算机科学与工程学院2019级网络空间安全专业一年级学生,教学班级规模90人;具有中学数学和微积分的基础,掌握基本初等函数性质和泰勒公式;课堂气氛比较活跃,大部分同学对数学有很好的兴趣,少部分学生缺乏主动学习的动力.3.2教学知识点分析重点:使学生掌握泰勒级数的定义,熟练泰勒级数的构造,能够写出一些常见函数的泰勒级数和麦克劳林级数,了解用多项式逼近函数的思想方法.关键:泰勒公式,用多项式逼近函数.难点:学生难于理解用多项式逼近函数的思想方法,使用数形结合的可视化方法解决难点.3.3教学目标教学目标1:通过本课时的学习和训练,使学生掌握用多项式逼近来研究函数方法,借助数学动图,采用数形结合和可视化思维,直观揭示多项式逼近函数的思想方法,通过对多项式在某点的计算实现求函数的近似值的目的.通过新旧知识的类比,提出e 是什么?怎么求?由问题驱动,推出用多项式逼近函数的研究函数的思想方法;启发为主,分散难点,由浅入深,循序渐进,举一反三.教学目标2:通过本课时的学习和训练,培养学生抽象思维能力、逻辑推理能力,提升直觉能力、想象能力、自学能力和数学建模的初步能力以及应用数学知识解决实际问题的能力;体验综合运用数学知识和方法解决实际问题的过程,增强应用意识,发展学生的创新意识和实践能力.教学目标3:通过本课时的学习和训练,树立辩证唯物主义世界观、高尚的科学观、实事求是、尊重客观规律;培养学生良好的学习习惯、崇尚科学思维与求实的作风、勇于探索、敢于创新的思想意识和良好的团结协作精神.3.4教学策略与教学流程教学策略:问题驱动教学通过新旧知识的类比,提出e 是什么?怎么求?由问题驱动,推出用多项式逼近函数的研究函数的思想方法;启发为主,分散难点,由浅入深,循序渐进,举一反三.教学流程:展示概念的形成及抽象过程,有机融入课程思政.《高等数学》课时教学流程见图2.图2课时教学流程图突出概念的产生从特殊到一般的抽象过程,重点探究为什么要引入泰勒级数这个概念及引入泰勒级数概念的合理性.通过求e 的近似值的思想方法,抽象出一般函数用多项式逼近,当项数越多则多项式与函数重合度越高,最终合理引出泰勒级数的概念.通过案例的方法,利用几何画板,观察多项式一步一步逼近,得到当1x =时e 的近似值;课件制作理念先进,版面设计简洁,以动图演示的方式刻画多项式逼近函数的过程,形象直观.介绍自然常数e,有机结合欧拉公式,展示数学公式美并适时介绍数学家欧拉,欧拉是科学史上最多产的一位杰出的数学家,据统计他那不倦的一生,共写下了886本书籍和论文,他在双目失明以后,也没有停止对数学的研究,在失明后的17年间,他还口述了几本书和400篇左右的论文.这种孜孜不倦勤勤恳恳的治学精神,崇尚科学思维与求实的作风对于··122第6期罗辉等:《高等数学》线上、线下混合式教学模式的探索与实践研究同学们培养高尚的科学观、实事求是、尊重客观规律、培养良好的学习习惯、崇尚科学思维与求实的作风、勇于探索、敢于创新的思想意识和良好的团结协作精神有着极大帮助.高等数学教学坚持知识传授与价值引领结合,以学生中心,把学生的价值塑造作为课程教学首要的育人目标.3.5《高等数学》线上、线下混合式教学课时设计线上、线下混合式教学模式以学生为课堂中心,教学活动以学生的需要为基础和前提.根据课程整体设计原则和本课时具体教学要求,课时设计见表1.表1课时设计课前翻转自主学习线下课堂问题探究1)线上自主学习在学习通上布置课前学习任务,线上复习泰勒公式,掌握泰勒多项式及拉格朗日型余项的构造,预习泰勒级数的概念.1)课题引入课题:泰勒级数的概念教学目标:泰勒级数的概念2)知识回顾,温故知新复习泰勒公式()()()n nf x T x R x=+3)创设情境,问题驱动提出两个问题:第一:e的近似值怎么得来?第二:是否有与()xf x e=图像长得差不多的一个多项式?4)探究学习,形成概念例1:写出函数()xf x e=在00x=处的n阶泰勒公式.动图展示在00x=附近用多项式对()xf x e=进行逼近.教师精心设计预习任务,制定导学案,给学生构建清晰的知识框架体系,明确教学目标,标识重点难点,分解知识点并录播成微课,提供电子教材和课件,学生借助学习通APP,完成课前自主学习.开门见山,直接引入课题.让学生集中注意力在教学目标上.带着目标学习,注意力指向明确,有的放矢.提出思考题:怎么求函数的近似值?泰勒公式的意义:使用多项式估计()f x在0x附近的值.用多项式逼近函数,借助多项式的容易计算、求导和求积分的特性,可以容易实现求函数的近似值.求e的近似值.从泰勒公式切入,当0,得到近似公式:234111112!3!4!!x ne x x x x xn»++++++当1x=得到求e的近似值公式.1111112!3!4!!en»++++++介绍融合e,π的欧拉(Euler)公式:i e10p+=欧拉公式是自然常数e的数学价值的最高体现.它就像圆周率π和虚数单位i,e是数学中最重要的常数观察在00x=附近多项式对e xy=进行逼近,明确观察对象:两条曲线的重合度,由具体到抽象得出观察小结:1)求近似值的方法:由多项式逼近函数.2)近似值的精确度由多项式项数决定,误差由拉格朗日余项算得.3)通过案例的方法,以动图演示的方式展示泰勒多项式一步一步逼近e xy=,刻画多项式逼近e xy=的过程,抽象出函数用泰勒多项式逼近,当项数越多则多项式与函数重合度越高,最终引出泰勒级数的概念.体验综合运用数学知识和方法解决实际问题的过程,增强应用意识,发展学生的创新意识和实践能力.目标指向明确.吸引学生的注意力.问题驱动,启发学生思考怎样求近似值?转化的思想,用多项式这个简单的函数逼近一般函数达.培养抽象、转换、想象能力.培养学生的观察能力,发散思维和分析问题的能力.通过自然常数e相关知识介绍,拓展学生眼界,体会数学美.介绍数学家欧拉,欧拉是科学史上最多产的一位杰出的数学家,他在双目失明以后,也没有停止对数学的研究,在失明后的17年间,他还口述了几本书和400篇左右的论文.培养学生良好的学习习惯、崇尚科学思维与求实的作风、勇于探索、敢于创新的思想意识.在教学中适当地渗透辩证唯物主义观点,使学生能用实践与认识,对立与统一,运动与变化等辩证法思想来探究数学问题.使学生的学习过程成为再发现,再创造的过程,从而激发学习的积极性,树立学好数学的信心,形成能够克服困难,勇于追求新知的良好思维品质.教学环节教学内容教学设计达成目标··1232020年第40卷惠州学院学报课后巩固螺旋上升5)明确概念,熟练定义泰勒级数的概念:如果()f x在点0x的某邻在0处的泰勒级数,x=,泰勒级数称为麦克劳林级数.6)课堂练习写出函数()sinf x x=的麦克劳林级数.7)课时总结泰勒级数本质上就是为了在某个点附近,用多项式函数替换其他函数.1)作业:教材P202,Ex.1-3;2)知识拓展:线上观看微课视频:自然增长率e(5).mp4、高等数学超星课程资料https:///coursedata/toPreview?courseId=204828250&dataId=239879337&objectId=3c1efd8a0adb941e4e3ff5164d66161e;3)补充学习纸质参考书:同济大学数学系.高等数学(第七版)(下册).北京:高等教育出版社,2014年.由第4步观察得到:如果函数存在任意阶导数,则泰勒多项式就变成了级数.顺理成章引出概念.使学生掌握泰勒级数的概念,熟练泰勒级数的构造,能够写出一些常见函数的麦克劳林级数.重点探讨了为什么要引入泰勒级数,解决了引入这个概念的必要性和合理性的问题.展示抽象、类比、转换、数形结合及可视化等思想方法.探讨了大学课堂是传授思想方法重要还是传授知识重要.适时介绍欧拉公式,有机融入课程思政.()(0)nf的取值依次循环地为0,1,0,-1,…,于是得级数35211(1)3!5!(21)!nnx x xxn---+-+-+-.用形式简单的多项式来近似在0x邻域内的函数,展开项越多近似程度越高.使学生掌握用多项式逼近来研究函数的方法.加强课后作业及课后阅读,拓展课内知识,组织数学思想讨论,通过思维导图和学习笔记内化知识.教师综合学生课前预习答题情况、课堂上学生学习的表现及课后作业的完成情况,对学生进行个别化、层次化学习指导,在微信和学习通上及时答疑解惑.通过数形结合的可视化方法培养观察能力,直觉能力,抽象概括能力.培养学生抽象思维能力、逻辑推理能力,提升直觉能力和想象能力、自学能力及数学建模的初步能力以及应用数学知识解决实际问题的能力.提升应用数学知识解决实际问题的能力.培养学生归纳总结的能力及反思能力.反思:大学课堂是传授思想方法重要还是传授知识重要.展现了抽象、类比、转换、数形结合及可视化等思想方法.有机融入课程思政.泰勒级数的概念在书上仅仅几行字,一个公式,怎么讲好这个貌似简单的概念,思考了很久.研究e的计算过程有什么意义?泰勒级数可以做什么比直接求泰勒级数重要得多.让学生不仅仅知道什么是泰勒级数,这个不难,给出定义即可,更想让学生明白为什么要引入这个概念,引入它的合理性和必要性.(续表1)教学环节教学内容教学设计达成目标4课程的特色与创新高等数学课程在惠州学院开设已有40余年历史,在课程建设过程中,课程教学团队深化课程教学改革与实践,注重优化和提炼课程特色元素,通过实践与反思,继承与发展,逐渐形成课程的鲜明特色.4.1课程覆盖专业广,影响范围大,示范效应强,课程建设初显成效高等数学课程是理工、经管类专业学生必修的重要基础理论课,课程覆盖专业广,2019年惠州学院有30个专业开设高等数学课,选课学生逾3000人.高等数学课程建设对校内公共课有示范效应,同时对同类院校同类课程有较强的示范效应.用“动态”的方法教授高等数学.高等数学教学切实抓住3个基本问题:课程的基本方法是什么?基本思想是什么?基本联系是什么?以教学目标为纲,纲举目张.结合教学内容,明确思想政治教育的融入点,坚持“知识传授与价值引领”相结合的原则,围绕“知识目标”“能力目标”“素质目标”展开教学.4.2多元化的实践能力培养,支撑应用型人才培养目标··124第6期罗辉等:《高等数学》线上、线下混合式教学模式的探索与实践研究始终坚持理论与实践相结合.以数学建模能力培养为抓手,注重将抽象的数学知识与各专业的应用点相结合,加强高等数学实践性教学,培养学生应用数学的能力.以竞赛为平台,培养创新性应用型人才.通过校内协同交流和问卷调查,加强高等数学与新工科应用型人才培养各专业课程的融合,取得良好效果[3].4.3专业认证理念下系统设计教学模式,实现课程目标的达成惠州学院已经有两个专业获得工程认证,五个专业正在进行工程认证.在专业认证理念下,积极探索线上线下结合有效的教学模式,逐渐形成线上线下混合式教学模式.线上教学案例荣获广东省第三批高校在线教学优秀案例(课程类)二等奖.4.4科学设计课程思政教学体系,将课程思政融入教学全过程始终坚持知识传授与价值引领结合.以学生中心,把学生的价值塑造作为课程教学首要的育人目标.积极开展教学研讨,充分挖掘思政元素,有机融入高等数学课程的课堂教学,将课程思政融入教学全过程.积极撰写思政案例,努力构建、科学设计高等数学课程思政的教学体系.注重思政教育与专业教育的有机衔接和融合.认真探索如何结合高等数学教学内容,明确思想政治教育的融入点、教学方法和载体途径.引导学生用正确的价值观、立场和方法去分析问题.参考文献:[1]姚雪迎.“互联网+课堂”信息时代翻转式教学模式浅析[J ].北京教育(高教),2020(2):52-54.[2]罗辉,庄容坤.高等数学[M ].上海:复旦大学出版社,2017.[3]王海青,陈益智.师范类专业认证标准下“合作与实践”体系的重建与实践——以惠州学院数学与应用数学专业为例[J ].惠州学院学报,2020,40(3):118-123.【责任编辑:裴蓉蓉】Practice of Online and Offline Blended Teaching Mode of Advanced Mathematics——The Case of Huizhou UniversityLUO Hui 1,ZHANG Chi 2,YANG Shuiping 1,LI Siyan 1(1.School of Mathematics and Big Data Science,Huizhou University;2.Department of Mechanical and Electrical Engineering,Huizhou Engineering Vocational College,Huizhou 516001,Guangdong,China )Abstract:The "Advanced Mathematics"course offered by Huizhou University is based on the concept of OBE (Outcomes-based Edu-cation),which is guided by the orientation and goal of Huizhou University to build a regional high-level applied university.The course insists on a student-centered,output-oriented and continuous improvement of the online and offline blended teaching,which defines the characteristics of the higher mathematics curriculum of Huizhou University.The purpose of this article is to actively explore the methods of online and offline blended teaching mode of "Advanced Mathematics"for the purpose of building a suitable construction goals for lo-cal colleges "Advanced Mathematics"online and offline blended teaching,to give online and offline blended teaching design concept,and to provide an example of "Advanced Mathematics"online and offline blended teaching.Key words:Advanced Mathematics;online and offline blended teaching mode;outcomes-based education··125。
惠 州 学 院 试题H 卷评分参考答案科目:2.(-5,-3)⋃(3,+∞)3.若 {}],[n n b a 是一个区间套,则存在唯一一点ξ使得21],[、或=≤≤∈n b a b a nn n n ξξ4.05.1, 0 6.y=2x-e 7.-68 .x+13!x 3+15!x 5+…+()121!n -x 2n-1+o (x 2n ) 9(1,3) 10.f (a )二.求下列极限(每小题5分,共10分):1.解: 由于,nnn n11)131211(1≤++++≤ (2分)又,1lim=∞→nn n (3分)故。
1)131211(lim 1=++++∞→nn n(5分)2.解:x x x 20)sin 1(lim-→=2ln(1sin )lim x xx e-→=e ()2ln 1sin limx x x→- (2分)而 ()02ln 1sin limx x x→-=02cos lim 1sin x xx →--=-2 (4分) 故 xx x 2)sin 1(lim -→=e -2 (5分)三. 计算下列函数的导数或微分(每小题5分,共20分)1. 解:()()()3 5f x '=-==分分2. 解:lny=sinxln (1+x 2) (1分)/1y y=cosxln (1+x 2)+22sin 1x x x + (2分)/y =( 1 + x 2 ) si n x (cosxln (1+x 2)+22sin 1x xx +)(3分) ()()dx x x x x x dy x⎪⎭⎫ ⎝⎛++++=22sin 21sin 21ln cos 1 (5分)3. 解: 3232(sin )3sin cos tan ,(cos )3cos sin dy a t a t tt dx a t a t t '===-'-(2分) 222232sec sec (cos )3cos sin d y t tdx a t a t t-=='。
复变函数与积分变换复习一、考试的目的和性质本课程是高等学校工科本科特别是自动控制、自动化、信号处理等专业的基础课。
通过本课程的学习,使初步学生掌握复变函数与积分变换的理论和方法,为学习有关后续课程和进一步扩大数学知识奠定必要的数学基础。
二、考试的内容和范围考试内容: 复数与复变函数、解析函数、复积分、复变函数的级数理论、留数、共形映射、傅里叶变换、拉普拉斯变换考试范围: 一 知识点1第一章主要掌握复数的四则运算,复数的代数形式、三角形式、指数形式及其运算。
2 第二章主要掌握函数的解析性,会判断函数是否是解析函数,会求解析函数的导数。
3 第三章掌握复变函数积分的计算,掌握柯西积分公式,高阶导数公式及解析函数的性质。
4 第四章掌握复数项级数的有关性质,会把一个函数展开成泰勒级数。
5 第五章掌握将函数展开为洛朗级数,掌握孤立奇点的分类及判断。
6 第六章掌握留数的计算,掌握用留数计算积分,了解利用留数计算三类实积分。
7第七章掌握傅里叶变换及其逆变换的计算,掌握卷积的概念并能运用卷积定理。
8 第八章掌握拉普拉斯变换及其逆变换的计算,掌握卷积的概念并能运用卷积定理;掌握常系数线 性微分方程(组)的拉氏变换解法。
三、考试的形式和方法试题比例:基本概念10%左右,计算技能90%左右。
(一)复数的概念1.复数的概念:z x iy =+,,x y 是实数, ()()Re ,Im x z y z ==.21i =-. 注:两个复数不能比较大小.2.复数的表示1)模:z =2)幅角:在0z ≠时,矢量与x 轴正向的夹角,记为()Arg z (多值函数);主值()arg z 是位于(,]ππ-中的幅角。
3)()arg z 与arctanyx之间的关系如下: 当0,x > arg arctan yz x=;当0,arg arctan 0,0,arg arctan yy z xx y y z xππ⎧≥=+⎪⎪<⎨⎪<=-⎪⎩;4)三角表示:()cos sin z z i θθ=+,其中arg z θ=;注:中间一定是“+”号。
第一章函数、极限、连续第一节函数考点1:判断函数是否为同一函数方法:定义域和对应法则都相同的函数为同一函数。
1.下列函数()f x 与()g x 为同一函数的是().A ()f x x =,()g x x =.B ()f x x =,()g x =.C ()f x =()g x =D.()()3ln ,3ln f x x g x x==【答案】D【考点】函数的三要素:定义域、值域、解析式【解析】解:判断函数是否是同一函数,需要定义域与解析式一样,D 选项定义域和解析式都一样,是同一函数。
A 选项解析式不一样。
考点2:求函数定义域(1)具体函数求定义域,00log ,0arcsin ,arccos ,11a ax x x x x x x x ⎧≠⎪⎪⎪≥⎨⎪>⎪-≤≤⎪⎩(2)抽象函数求定义域:()(),,f g x f h x ⎡⎤⎡⎤⎣⎦⎣⎦要使得()(),g x h x 值域要相同,求出x 的范围即可。
1.函数y =的定义域为.【答案】(][),43,-∞-+∞ 【考点】考察函数的定义域。
【解析】解:()()(][)2120340,,43,x x x x x +-≥-+≥∈-∞-+∞ ,2.设函数()y f x =的定义域为[]2,2-,求函数()24f x -的定义域.【答案】[]1,3x ∈【考点】考察函数的定义域。
【解析】解:[]2242,13,1,3x x x -≤-≤≤≤∈考点3:函数的解析式、反函数的求法函数的解析式:配凑法,换元法反函数:解出()x y ϕ=1.已知()11f x x =-则()f f x =⎡⎤⎣⎦().A 1x -.B 11x -.C 1x -.D 11x-【答案】D【考点】求函数的解析式。
【解析】解:()11111111x f f x x xx=-=-=⎡⎤⎣⎦---2.已知函数y =,求反函数()1f x -.【答案】()21211x fx x --=+【考点】求解反函数。
广东省2022年普通高等学校专升本招生考试高等数学本试卷共20小题,满分100分。
考试时间120分钟。
一、单项选择题(本大题共5小题,每小题3分,共15分,每小题只有一项符合题目要求)1.若函数1,1(),1x x f x a x +≠⎧=⎨=⎩,1x =在处连续,则常数a =( )A.-1B.0C.1D.22.1lim(13)xx x →-=()A.3e - B.13e-C.1D.3e 3.1lim 0n n x n u u ∞→==∑是级数收敛的( )A.充分条件B.必要条件1C.充要条件D.即非充也非公必要条件得分阅卷人4.2+1()()1f x f x dx x∞=⎰已知是函数的一个原函数,则( )A.2B.1C.-1D.-25.xf (x 2+y 2)dy 化为极坐标形成的二次积分,则 I =()110I dx =⎰⎰将二次积分 A.2sec ()400d f p dp πθθ⎰⎰ B.2c ()40cs d pf p dp πθθ⎰⎰B.2sec 2()04d f p dp πθθπ⎰⎰ D.2csc 2()04d pf p dp πθθπ⎰⎰二、填空题(本大题共5小题,每小题3分,共15分)6.若0→x 时,无穷小量x 2与x x m 32+等价,则常数m =7.2225,log t x t t dy dx y t=⎧=-=⎨=⎩设则8.椭圆13422=+y x 所围成的图形绕x 轴旋转一周而成的旋转体体积为9.微分方程2'=-y ex的通解是10.ln (,)(,)ye e Z xe e dz==函数在点处的全微分得分阅卷人三、计算题(本大题共8小题,每小题6分,共48分)12.2212=tan ,x d yy arc x dx=设求13.设函数21sin ,00,0x x x x ⎧≠⎪⎨⎪=⎩,利用导数定义(0)f '.14.求不定积分2.得分阅卷人15.已知tan ln cos xdx x C=-+⎰,求定积分24sec x xdx π⎰.16.2(,)2z z z Z f x y Z x y e y x y∂∂==--∂∂设是由方程所确定的隐函数,计算.17.cos ,sin (0)0,2Dxd D y x x y πσ=≤≤=⎰⎰计算二重积分其中是曲线和曲线2x π=围成的有界闭区域。
2025届广东省惠州一中高考数学必刷试卷注意事项1.考生要认真填写考场号和座位序号。
2.试题所有答案必须填涂或书写在答题卡上,在试卷上作答无效。
第一部分必须用2B 铅笔作答;第二部分必须用黑色字迹的签字笔作答。
3.考试结束后,考生须将试卷和答题卡放在桌面上,待监考员收回。
一、选择题:本题共12小题,每小题5分,共60分。
在每小题给出的四个选项中,只有一项是符合题目要求的。
1.若点(2,k)到直线5x-12y+6=0的距离是4,则k的值是( )A.1 B.-3 C.1或53D.-3或1732.已知某超市2018年12个月的收入与支出数据的折线图如图所示:根据该折线图可知,下列说法错误的是()A.该超市2018年的12个月中的7月份的收益最高B.该超市2018年的12个月中的4月份的收益最低C.该超市2018年1-6月份的总收益低于2018年7-12月份的总收益D.该超市2018年7-12月份的总收益比2018年1-6月份的总收益增长了90万元3.在平行四边形ABCD中,113,2,,D,32AB AD AP AB AQ A====若CP C12,Q⋅=则ADC∠=( )A.56πB.34πC.23πD.2π4.如图,网格纸上小正方形的边长为1,粗线画出的是某几何体的三视图,则该几何体的表面积()A .623+B .622+C .442+D .443+5. “1sin 2x =”是“2()6x k k Z ππ=+∈”的( ) A .充分不必要条件 B .必要不充分条件 C .充要条件D .既不充分也不必要条件6.抛物线()220y px p =>的准线与x 轴的交点为点C ,过点C 作直线l 与抛物线交于A 、B 两点,使得A 是BC 的中点,则直线l 的斜率为( ) A .13±B .223±C .±1D .37.已知数列{}n a 中,112,()1,n n n a n a a a n N *+=-=+∈ ,若对于任意的[]*2,2,a n N ∈-∈,不等式21211n a t at n +<+-+恒成立,则实数t 的取值范围为( ) A .(][),21,-∞-⋃+∞ B .(][),22,-∞-⋃+∞ C .(][),12,-∞-⋃+∞D .[]2,2-8.设F 为抛物线24x y =的焦点,A ,B ,C 为抛物线上三点,若0FA FB FC ++=,则|||||FA FB FC ++=( ). A .9B .6C .38D .3169.设f (x )是定义在R 上的偶函数,且在(0,+∞)单调递减,则( ) A .0.30.43(log 0.3)(2)(2)f f f -->>B .0.40.33(log 0.3)(2)(2)f f f -->>C .0.30.43(2)(2)(log 0.3)f f f -->> D .0.40.33(2)(2)(log 0.3)f f f -->>10.已知命题p :x ∀∈R ,210x x -+<;命题 q :x ∃∈R ,22x x >,则下列命题中为真命题的是( ) A .p q ∧B .p q ⌝∧C .p q ∧⌝D .p q ⌝∧⌝11.已知15455,log 5,log 2a b c ===,则,,a b c 的大小关系为( )A .a b c >>B .a c b >>C .b a c >>D .c b a >>12.过双曲线()222210,0x y a b a b-=>>的左焦点作倾斜角为30的直线l ,若l 与y 轴的交点坐标为()0,b ,则该双曲线的标准方程可能为( )A .2212x y -=B .2213x y -=C .2214x y -=D .22132x y -=二、填空题:本题共4小题,每小题5分,共20分。
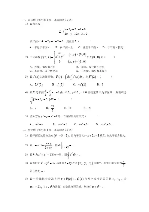
一、选择题(每小题3分,本大题共15分)1)设有直线3210:21030x y z L x y z +++=⎧⎨--+=⎩及平面:4220x y z π-+-=,则直线L ()A 、平行于平面πB 、在平面π上C 、垂直于平面πD 、与平面π斜交2)二元函数()()()()()22,0,0,0,0,0xy x y x yf x y x y ⎧≠⎪+=⎨⎪=⎩在点()0,0处()A 、连续、偏导数存在B 、连续、偏导数不存在C 、不连续、偏导数存在D 、不连续、偏导数不存在3)设()f x 为连续函数,()()1ttyF t dy f x dx =⎰⎰,则()2F '=()A 、()22fB 、()2f C 、()2f -D 、04)设∑是平面123x yz ++=由0,0,0x y z ≥≥≥所确定的三角形区域,曲面积分()326x y z dS ∑++=⎰⎰()A 、7B 、212C 、14D 、215)微分方程1xy y e ''-=+的一个特解应具有形式()A 、xae b+B 、xaxe b+C 、xae bx+D 、xaxe bx+二、填空题(每小题3分,本大题共15分)1)设平面经过原点及点()6,3,2-,且与平面428x y z -+=垂直,则此平面方程为。
2)设arctan1x yz xy-=+,则(1,dz =。
3)设L 为221x y +=正向一周,则2xLe dy =⎰ 。
4)设圆柱面223x y +=,与曲面z xy =在点()000,,x y z 点相交,且他们的交角为6π,则正数0z =。
5)设一阶线性非奇次方程()()y P x y Q x '+=有两个线性无关的解12,y y ,若12y y αβ+(,αβ为常数)也是该方程的解,则应有αβ+=。
三、(本题7分)设由方程组cos sin uux e vy e v⎧=⎪⎨=⎪⎩确定,u v 关于,x y 的函数,求u x ∂∂及v x ∂∂和v y ∂∂。
惠州学院期末考试试卷一、选择题(每题2分,共20分)1. 以下哪项是惠州学院的校训?A. 求实创新B. 博学笃行C. 厚德博学D. 明德至善2. 惠州学院位于哪个省份?A. 广东省B. 广西省C. 湖南省D. 湖北省3. 惠州学院的校徽颜色是什么?A. 蓝色和白色B. 红色和黄色C. 绿色和白色D. 黑色和金色4. 惠州学院的图书馆藏书量是多少?A. 100万册B. 150万册C. 200万册D. 250万册5. 惠州学院的校庆日是每年的哪一天?A. 5月20日B. 6月1日C. 9月10日D. 11月11日6. 惠州学院的办学特色是什么?A. 工程教育B. 师范教育C. 医学教育D. 艺术教育7. 惠州学院的校园占地面积是多少?A. 1000亩B. 1500亩C. 2000亩D. 2500亩8. 惠州学院的校歌名称是什么?A. 惠州学院之歌B. 惠州学院颂C. 惠州学院校歌D. 惠州学院赞歌9. 惠州学院的校长是谁?A. 张三B. 李四C. 王五D. 赵六10. 惠州学院的校训中“求实”的含义是什么?A. 追求真理B. 实事求是C. 追求实际D. 求知务实二、填空题(每空1分,共20分)1. 惠州学院的校训是“____,____”。
2. 惠州学院的校徽由____和____两种颜色组成。
3. 惠州学院的图书馆藏书量超过____万册。
4. 惠州学院的校庆日是每年的____月____日。
5. 惠州学院的办学特色是____教育。
6. 惠州学院的校园占地面积超过____亩。
7. 惠州学院的校歌名称是“____”。
8. 惠州学院的校长是____。
9. 惠州学院的校训中“求实”的含义是____。
10. 惠州学院的校训中“创新”的含义是____。
三、简答题(每题10分,共30分)1. 简述惠州学院的发展历程。
2. 描述惠州学院的校园环境。
3. 阐述惠州学院的教育理念。
四、论述题(每题15分,共30分)1. 论述惠州学院在教学和科研方面的优势。
惠州学院高等数学(下)期末试题参考答案高等数学(下)期末试题参考答案一、单项选择题(每题2分,总计10分)。
1、),(00y x f x 和),(00y x f y 存在是函数),(y x f 在点),(00y x 连续的()。
A .必要非充分的条件; B.充分非必要的条件;C.充分且必要的条件;D.即非充分又非必要的条件。
3、设)ln(222z y x u ++=,则)(u grad div =()。
A.2221z y x ++;B.2222z y x ++;C.2222)(1z y x ++;D.2222)(2z y x ++ 3、设D 是xoy 面上以)1,1(),1,1(),1,1(---为顶点的三角形区域,1D 是D 中在第一象限的部分,则积分??+Dd y x y x σ)sin cos (33=()A.σd y x D ??1sin cos 23; B.??132D yd x σ; C.??+1)sin cos (433D d y x y x σ; D.04、设∑为曲面)0(222>=+R R y x 上的10≤≤z 部分,则??∑++dSy x ey x )sin(2222=()。
A .0;B.2sin Re R R π;C.R π4;D.2sin Re 2R R π 5、设二阶线性非齐次方程)()()(x f y x q y x p y =+'+''有三个特解x y =1,x e y =2,x e y 23=,则其通解为()。
A.x x e C e C x 221++;B.x x e C e C x C 2321++;C.)()(221x x x e x C e e C x -+-+;D.)()(2221x e C e e C x x x -+-二、填空题(每题3分,总计15分)。
1、-5;2、)2,2,1(±±μ;3、)1(611--e ;4、81;5、C y y x =-1、函数y xy ax x y x f 22),(22+++=在点)1,1(-处取得极值,则常数a =_____。
高 等 数 学Ⅰ.考试性质与目的普通高等学校本科插班生招生考试(又称专插本考试)是由专科毕业生参加的选拔性考试,我院将根据考生的成绩,按已确定的招生计划,德、智、体全面衡量,择优录取。
考试应有较高的信度、效度,必要的区分度和适当的难度。
本大纲适用于所有需要参加《高等数学》考试的各专业考生。
Ⅱ.考试内容和要求总体要求:考生应按本大纲的要求了解或理解“高等数学”中函数、极限和连续、一元函数微分学、一元函数积分学、多元函数微积分学初步和常微分方程初步的基本概念与基本理论,掌握或者熟练掌握上述各部分的基本方法。
应理解各部分知识结构及知识的内在联系;应具有一定的抽象思维能力、逻辑推理能力、运算能力;能运用基本概念、基本理论和基本方法,正确地判断和证明,准确地计算;能综合运用所掌握知识分析并解决简单的实际问题。
第一部分函数、极限和连续(一)函数Ⅰ.考试内容(1) 函数的概念:函数的定义,函数的表示法,分段函数。
(2) 函数的简单性质:单调性、奇偶性、有界性、周期性。
(3) 反函数(4) 函数的四则运算与复合运算。
(5) 基本初等函数:幂函数、指数函数、对数函数、三角函数、反三角函数。
(6) 初等函数。
2.考试要求(1)理解函数的概念,会求函数包括分段函数的定义域、表达式及函数值,并会作出简单的分段函数图象。
(2)掌握函数的单调性、奇偶性、有界性和周期性定义,会判断所给函数的相关性质。
(3)理解函数)(χf y = 与它的反函数)(1x f y -=之间的关系(定义域、值域、图象),会求单调函数的反函数。
(4)掌握函数的四则运算与复合运算,熟练掌握复合函数的复合过程。
(5)掌握基本初等函数的简单性质及其图象。
(6)掌握初等函数的概念。
(二)极根1.考试内容(1)数列和数列极限的定义。
(2)数列极限的性质:唯一性、有界性、四则运算定理、夹逼定理、单调有界数列极限存在性定理。
(3)函数极限的概念:函数在一点处的极限定义,左、右极限及其与极限的关系,趋于无穷大(),,-∞→+∞→∞→x x x 时函数极限的定义,函数极限的几何意义。
高等数学(下)期末试题参考答案一、单项选择题(每题2分,总计10分)。
1、f x (x °,y °)和 f y (x °, y °)存在是函数 f (x, y)在点(x °, y °)连续的() A.必要非充分的条件; B.充分非必要的条件;C.充分且必要的条件;D.即非充分又非必要的条件。
3、设 u = In( x 2 y 2 z 2),则 div( grad u)=()。
八1 c2 12A___________ ・ B ___________ ・ C _____________ ・ D ___________________222222' 222~2' 222~2x y zx y z(x y z )(x y z )3、设D 是xoy 面上以(1,1), (-1,1), M -1)为顶点的三角形区域,D 1是D 中在第 一象限的部分,则积分 ii(x 3y cos 3 xs in y)d ;「=()DA. 2 iicos 3xsinyd 二;B. 2 iix 3yd ;「;C. 4 ii(x 3y cos 3xsin y)d 二;D.0D 1D [D [4、设工为曲面x 2 + y 2 = R 2 (R >0)上的0兰z 兰1部分,则Cf e x 七sin(x 2 + y 2)dS =()。
8y1、函数f (x, y) =2x 2+ax+xy 2+2y 在点(1, -1)处取得极值,则常数a = ____________ 。
2、 若曲面x 2 2y 2 3z^21的切平面平行于平面x-4y ,6z ,25=0,则切点坐 标为 。
3、 ___________________________________________ 二重积分 £dy fyye^dx 的值为。
A.0 ;B. 二 Re Rsin R 2;C. 4 R ;R 2D. 2- Re sin R 5、设二阶线性非齐次方程 目p(x)y• q(x)y 二 f (x)有三个特解 y^ x ,y^e x ,A. x C1e x C2e2x;B. Gx C2e xC e2xC. x C1 (e - e ) C2 (x - e );D. C r(e - e ) C2(e - x)、填空题(每题3分,总计15分) 1、-5 ;2、(_1,二2, 一2) ;3、y^e2x,则其通解为()4、设空间立体门所占闭区域为x • y • z 叮,x _ 0, y _ 0 ,门上任一点的体密度是P(x, y, z) = x + y + z ,则此空间立体的质量为 ______________ 。
惠州数学考研试题及答案一、单项选择题(每题3分,共30分)1. 设函数f(x)=x^2-4x+3,下列哪个选项是f(x)的零点?A. 1B. 3C. 2D. 4答案:C2. 已知向量a=(1,2),b=(3,-1),下列哪个选项是向量a与b的点积?A. -5B. 5C. -1D. 1答案:A3. 已知矩阵A=\[\begin{bmatrix} 1 & 2 \\ 3 & 4 \end{bmatrix}\],下列哪个选项是矩阵A的行列式?A. -2B. 2C. -5D. 5答案:B4. 设函数f(x)=sin(x),下列哪个选项是f(x)的周期?A. 2πB. πC. 3πD. 4π答案:A5. 已知曲线y=x^3-3x^2+2x,下列哪个选项是该曲线的拐点?A. (0,0)B. (1,0)C. (2,0)D. (3,0)答案:B6. 已知极限lim(x→0) (x^2+3x)/(x^2+2x+1),下列哪个选项是该极限的值?A. 3B. 2C. 1D. 0答案:C7. 设函数f(x)=e^x,下列哪个选项是f(x)的导数?A. e^xB. -e^xC. e^(-x)D. -e^(-x)答案:A8. 已知数列{an}满足an=2^n,下列哪个选项是数列{an}的通项公式?A. an=2nB. an=n^2C. an=2^nD. an=n答案:C9. 设函数f(x)=ln(x),下列哪个选项是f(x)的反函数?A. f^(-1)(x)=e^xB. f^(-1)(x)=ln(x)C. f^(-1)(x)=x^2D. f^(-1)(x)=x答案:A10. 已知圆的方程为(x-2)^2+(y-3)^2=9,下列哪个选项是该圆的半径?A. 3B. 6C. 9D. 12答案:A二、填空题(每题4分,共20分)11. 设函数f(x)=x^3-6x^2+11x-6,f(x)的极值点为_。
答案:x=1, x=212. 已知向量a=(2,-3),b=(1,2),向量a与b的叉积为_。
2022年广东省惠州市普通高校高职单招数学摸底卷(含答案)学校:________ 班级:________ 姓名:________ 考号:________一、单选题(20题)1.若sinα=-3cosα,则tanα=()A.-3B.3C.-1D.12.函数y=Asin(wx+α)的部分图象如图所示,则()A.y=2sin(2x-π/6)B.y=2sin(2x-π/3)C.y=2sin(x+π/6)D.y=2sin(x+π/3)3.已知椭圆的一个焦点为F(0,1),离心率e=1/2,则该椭圆的标准方程为()A.x2/3+y2/4=1B.x2/4+y2/3=1C.x2/2+y2=1D.y2/2+x2=14.若等差数列{a n}中,a1=2,a5=6,则公差d等于()A.3B.2C.1D.05.设a>b>0,c<0,则下列不等式中成立的是A.ac>bcB.C.D.6.己知,则这样的集合P有()个数A.3B.2C.4D.57.A=,是AB=的()A.充分条件B.必要条件C.充要条件D.既不充分也不必要条件8.函数和在同一直角坐标系内的图像可以是()A.B.C.D.9.若将函数:y=2sin(2x+π/6)的图象向右平移1/4个周期后,所得图象对应的函数为()A.y=2sin(2x+π/4)B.y=2sin(2x+π/3)C.3;=2sin(2x-π/4)D.3;=2sin(2x-π/3)10.若函数y=log2(x+a)的反函数的图像经过点P(-1,0),则a的值为()A.-2B.2C.D.11.直线2x-y+7=0与圆(x-b2)+(y-b2)=20的位置关系是()A.相离B.相交但不过圆心C.相交且过圆心D.相切12.A.2B.1C.1/213.从1、2、3、4、5五个数字中任取1数,则抽中偶数的概率是( )A.0B.1/5C.3/5D.2/514.设集合,,则()A.A,B的都是有限集B.A,B的都是无限集C.A是有限集,B是无限集D.B是有限集,A是无限集15.下列函数中,在其定义域内既是偶函数,又在(-∞,0)上单调递增的函数是()A.f(x)=x2B.f(x)=2|x|C.f(x)=log21/|x|D.f(x)=sin2x16.已知向量a=(2,4),b=(-1,1),则2a-b=( )A.(5,7)B.(5,9)C.(3,7)D.(3,9)17.已知的值()A.B.C.D.18.sin750°=( )A.-1/2B.1/2C.D.19.将函数图像上所有点向左平移个单位长度,再把所得图像上各点的横坐标扩大到原来的2倍(纵向不变),则所得到的图像的解析为()A.B.C.D.20.椭圆x2/16+y2/9的焦点坐标为()A.(,0)(-,0)B.(4,0)(-4,0)C.(3,0)(-3,0)D.(7,0)(-7,0)二、填空题(20题)21.若f(x-1) = x2-2x + 3,则f(x)= 。
一、选择题(每小题3分,本大题共15分) 1) 设有直线
3210
:21030
x y z L x y z +++=⎧⎨
--+=⎩
及平面:4220x y z π-+-=,则直线L ( )
A 、平行于平面π
B 、在平面π上
C 、垂直于平面π
D 、与平面π斜交 2) 二元函数()()()()()
22
,0,0,0,0,0xy x y x y
f x y x y ⎧≠⎪+=⎨⎪=⎩
在点()0,0处( )
A 、连续、偏导数存在
B 、连续、偏导数不存在
C 、不连续、偏导数存在
D 、不连续、偏导数不存在 3) 设()f x 为连续函数,()()1
t
t
y
F t dy f
x dx =
⎰
⎰,则()2F '=( )
A 、()22f
B 、()2f
C 、()2f -
D 、0 4) 设∑是平面
123
x y z ++=由0,0,0x y z ≥≥≥所确定的三角形区域,曲面积分
()326x y z d S ∑
++=⎰⎰( )
A 、7
B 、
212
C 、14
D 、21
5) 微分方程1x y y e ''-=+的一个特解应具有形式( )
A 、x
ae b + B 、x
axe b + C 、x
ae bx + D 、x
axe bx + 二、填空题(每小题3分,本大题共15分)
1) 设平面经过原点及点()6,3,2-,且与平面428x y z -+=垂直,则此平面方程为。
2) 设arctan
1x y z xy
-=+
,则(1
,dz
=。
3) 设L 为22
1x y +=正向一周,则2
x
L
e dy =⎰ 。
4) 设圆柱面22
3x y +=,与曲面z xy =在点()000,,x y z 点相交,且他们的交角为
6
π
,
则正数0z =。
5) 设一阶线性非奇次方程()()y P x y Q x '+=有两个线性无关的解12,y y ,若
12y y αβ+(,αβ为常数)也是该方程的解,则应有αβ+=。
三、(本题7分)设由方程组cos sin u
u
x e v
y e v
⎧=⎪⎨=⎪⎩确定,u v 关于,x y 的函数,求u x ∂∂及v x ∂∂和v y ∂∂。
四、已知点()1,1,1A 及点()3,2,1B -,求函数()3ln 32u xy z =-在点A 处沿AB
方向的方向导数。
五、(本题8
分)计算累次积分2
411
2
2
11x
x
y
y
x
dx e dy dx e dy y
y
+
⎰⎰
⎰。
六、(本题8分)计算I zdxdydz Ω
=⎰⎰⎰,其中Ω由柱面2
2
1x
y +=及平面0,1z z ==围成
的区域。
七、(本题8分)计算()3
2
x y z d S ∑
++⎰⎰,其中∑是抛物面222z x y =+被平面2z =所截
下的有限部分。
八、(本题8分)计算222
224cos cos L x x x x x dx dy y y y y ⎛⎫+- ⎪⎝
⎭⎰,L 是点,22A π
π⎛⎫ ⎪⎝⎭到点(),2B ππ在上半平面()0y >上任意逐段光滑曲线。
九、(本题8分)计算()()()2
2
2
x y
dydz y z dzdx z x dxdy ∑
+++++⎰⎰,其中∑
为半球面
z =
十、(本题8分)设二阶连续可导函数()y f x =,s x t
=适合
2
2
2
2
4
0y y t
s
∂∂+=∂∂,求()y f x =。
十一、(本题4分)求方程4cos 2y y x ''+=的通解。
十二、(本题4分)在球面2222x y z a ++=的第一卦限上求一点M ,使以M 为一个顶点,各面平行于坐标平面的球内接长方体的表面积最小。
有关级数的题目:
1) 判别级数()
()1
11ln 1n n n n
-∞
=-++⎡⎤⎣⎦∑
是否收敛?如果是收敛的,是绝对收敛还是条件收敛?
2)求幂级数2
12!
n
n
n n x n ∞
=+∑
的收敛区间及和函数。
3)将函数()0000a x f x H x a
H a x πππ⎧<≤<⎪
=<<⎨⎪--<<⎩
展成以2π为周期的弗里叶级数。