(完整版)第1章复变函数习题答案习题详解
- 格式:doc
- 大小:1.47 MB
- 文档页数:21
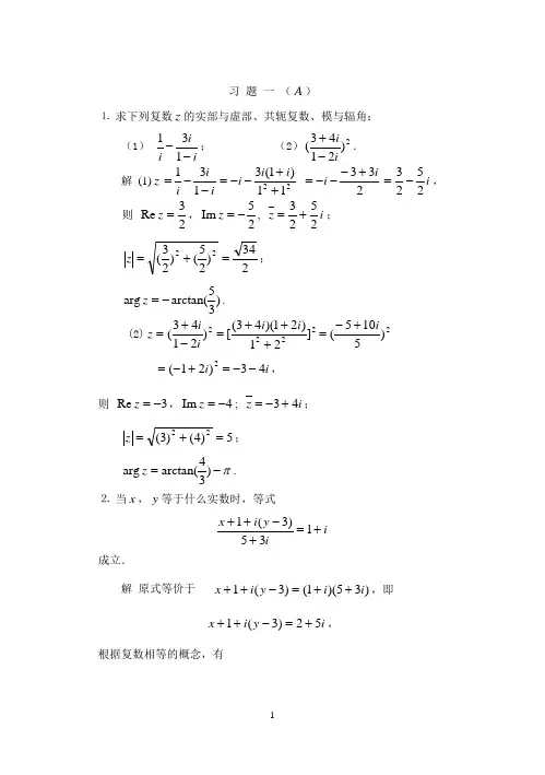
第一章习题详解1. 求下列复数z 的实部与虚部,共轭复数、模与辐角: 1)i231+ 解:()()()132349232323231231ii i i i i -=+-=-+-=+ 实部:133231=⎪⎭⎫⎝⎛+i Re 虚部:132231-=⎪⎭⎫⎝⎛+i Im共轭复数:1323231ii +=⎪⎭⎫⎝⎛+ 模:1311323231222=+=+i辐角:πππk arctg k arctg k i i Arg 23221331322231231+⎪⎭⎫ ⎝⎛-=+-=+⎪⎭⎫ ⎝⎛+=⎪⎭⎫ ⎝⎛+arg 2) ii i --131 解:()()()2532332113311131312i i i i i i i i i i i i i i -=-+-=++---=+-+-=--实部:23131=⎪⎭⎫⎝⎛--i i i Re 虚部:25131-=⎪⎭⎫⎝⎛--i i i Im共轭复数:253131ii i i +=⎪⎭⎫⎝⎛-- 模:234434253131222==+=--iii 辐角:πππk arctg k arctg k i i i i i i Arg 235223252131131+⎪⎭⎫ ⎝⎛-=+⎪⎪⎪⎭⎫ ⎝⎛-=+⎪⎭⎫ ⎝⎛--=⎪⎭⎫ ⎝⎛--arg3)()()ii i 25243-+解:()()()22672267272625243ii ii ii i --=-+=--=-+ 实部:()()2725243-=⎪⎭⎫⎝⎛-+i i i Re虚部:()()1322625243-=-=⎪⎭⎫⎝⎛-+i i i Im 共轭复数:()()226725243ii i i +-=⎪⎭⎫⎝⎛-+ 模:()()2925226272524322=⎪⎭⎫ ⎝⎛-+⎪⎭⎫ ⎝⎛-=-+ii i辐角:()()ππk arctg k arctg i i i Arg 272622722625243+⎪⎭⎫ ⎝⎛=+⎪⎪⎪⎭⎫ ⎝⎛--=⎪⎭⎫ ⎝⎛-+ 4) i ii +-2184解:i i i i ii 31414218-=+-=+-实部:()14218=+-i i i Re 虚部:()34218-=+-i i i Im 共轭复数:()i i i i 314218+=+- 模:1031422218=+=+-i ii辐角:()()πππk arctg k arctg k i i i i ii Arg 23213244218218+-=+⎪⎭⎫⎝⎛-=++-=+-arg2. 当x 、y 等于什么实数时,等式()i iy i x +=+-++13531成立?解:根据复数相等,即两个复数的实部和虚部分别相等。
第一篇 复变函数第一章 复数与复变函数1. 求下列复数的实部、虚部、共轭复数、模与幅角.(1) 72)52)(43(ii i −+;(2) .4218i i i +−2. 当x ,y 等于什么实数时,等式i iiy x +=+−++135)3(1 成立?3.证明:(1);2z z z = (2)1122,z z z z = .02≠z4.求下列各式的值: (1)();35i −(2)().131i +−5.求方程083=+z 的所有根.6.设1z ,2z ,3z 三点适合条件0321=++z z z ,证明1z ,2z ,3z 是内接于单位圆1=z 的一个正三角形的顶点.7.指出下列各题中点z 的轨迹或所在的范围:(1);65=−z(2);12≥+i z(3).i z i z −=+8.描述下列不等式所确定的区域,并指出它是有界的还是无界的: (1);32≤≤z(2).141+<−z z9.将方程tt z 1+=(t 为实参数)给出的曲线用一个实直角坐标方程表出.第一章 复习题1.单项选择题(1)设iy x z +=,y x ≠||,4z 为实数,则( ).A .0=xy B.0=+y x C .0=−y x D.022=−y x(2)关于复数幅角的运算,下列等式中正确的是( ). A .Argz Argz 22= B.z z arg 2arg 2=C .2121arg arg )arg(z z z z += D.2121)(Argz Argz z z Arg += (3)=+31i ( ).A .ie 62πB.ie 62π−C .ie 62π± D.i e62π±(4)2210<++<i z 表示( ). A .开集、非区域 B.单连通区域 C .多连通区域 D.闭区域(5)z i z f =−1,则()=+i f 1( ).A .1 B.21i+ C .21i− D.i −1 (6)若方程1−=z e ,则此方程的解集为( ).A .空集 B.π)12(−=k z ,(k 为整数) C .i k z π)12(−= D. πi z =2.对任何复数22,z z z =是否一定成立?3. 解方程.0)1(22=−++i z z4. 求)(i Ln −,)43(i Ln +−和它们的主值.5. 求i e 21π−,i i e41π+,i 3和ii )1(+值.第二章 导数1.下列函数何处可导?何处解析? (1) ();2iy x z f −=(2) ().22y ix xy z f +=2.指出下列函数()z f 的解析性区域,并指出其导数.(1) ();22iz z z f +=(2) ();112−=z z f(3)(),dcz baz z f ++=(d c ,中至少有一个不为0).3.设()2323lxy x i y nx my +++为解析函数,试确定l 、m 、n 的值.4.证明:如果()z f 在区域D 内解析,并满足下列条件之一,那么是常数. (1)()z f 恒取实值. (2))(z f 在区域D 内解析. (3)()z f 在区域D 内是一个常数.5.应用导数的定义讨论下列函数的是否存在?(1)())Re(z z f =;(2)())Im(z z f =.6.证明;,sin z e z 在复平面上任一点都不解析.第二章 复习题1.单项选择题(1)函数()z f w =在点0z 可导是可微的( ).A .必要但非充分条件 B. 充分但非必要条件 C .充分必要条件D. 既非充分也非必要条件(2)函数()z f w =在点0z 可导是连续的( ).A .必要但非充分条件 B. 充分但非必要条件 C .充分必要条件D. 既非充分也非必要条件(3)函数()),(),(y x iv y x u z f +=,则在()00,y x 点,v u ,均可微是函数()z f 在点0z 可微的( ).A .必要但非充分条件 B. 充分但非必要条件 C .充分必要条件D. 既非充分也非必要条件(4)函数()22ix xy z f −=,那么( ). A .()z f 处处可微 B. ()z f 处处不可导 C .()z f 仅在原点可导 D. ()z f 仅在x 轴上可导(5)若,0,,00,),(222222=+≠++=y x y x y x xy y x u ,,),(xy y x v =()iv u z f +=,则()z f ( ).A .()z f 仅在原点可导 B. ()z f 处处不可导C .()z f 除原点外处处可导 D. ()z f 处处可微(6)若()()y x y i xy x z f 233333+−+−=, 那么()z f ( ).A .()z f 仅在原点可导且()00=′f B. ()z f 处处解析且()xy i y x z f 63322+−=′ C .()z f 处处解析且()xy i y x z f 63322−−=′ D. ()z f 处处解析且()xy i x y z f 63322+−=′ (7)函数()z z z f = ,则( ). A .()z f 在全平面解析 B. ()z f 仅在原点解析C .()z f 仅在原点可导但不解析 D. ()z f 处处不可导(8)设()34−=′z z f ,且()i i f 31−=+,则()=z f ( ).A . i z z −−322 B. i z z 3322+− C .i z z 43322+−+ D. i z z 43322−+− 2.指出函数112+z 的解析性区域,并求导数.3.如果0z 是()z f 的奇点,而()z g 在0z 解析,那么0z 是否是())(z g z f +和())(z g z f 的奇点.4.若()iv u z f +=是区域D 内的解析函数,那么在D 内v +iu 是否也是解析函数.第三章 积分1.沿下列路径计算积分∫Czdz Re .(1)自原点至1+i 的直线段;(2)自原点沿实轴至1,再由1铅直向上至1+i ;(3)自原点沿虚轴至i ,再由i 沿水平向右至1+i .2.分别沿y =x 与2x y =计算积分()∫++i dz iy x102的值.3计算积分dz zzC∫,其中C 为正向圆周,2=z .4.计算下列积分 ,其中C 为正向圆周,1=z . (1);21dz z C ∫− (2);4212dz z z C ∫++(3);cos 1dz zC ∫ (4);211dz z C∫−(5);dz ze Cz ∫(6)().)2(21dz i z z C∫−+5.沿指定曲线正向计算下列积分:(1)dz z C ∫−21,C :12=−z ;(2)dz a z C ∫−221,C: a a z =−;(3),3dz z zC ∫− C :2=z ;(4)()()dz z z C∫++41122,C :23=z ;(5)dz zzC ∫sin ,C :1=z ; (6)dz z zC∫−22sin π,C :2=z .6.计算下列各题: (1)∫−ii z dz e ππ32;(2)∫−iizdz ππ2sin ;(3).)(0∫−−iz dz e i z7.计算下列积分:(1)dz i z z C ∫+++2314,C :4=z ,正向; (2)dz z iC ∫+122,C :61=−z ,正向; (3),cos 213dz z zC C C ∫+= 1C :2=z ,正向,2C :3=z ,负向;(4)dz i z C ∫−1,C 为以i 56,21±±为顶点的正向菱形; (5)()dz a z eC z∫−3;其中a 为1≠a 的任何复数,C :1=z ,正向.9. 设C 为不经过a 与a −的简单正向闭曲线,a 为不等于0的任何复数,试就a 与a −跟C 的各种不同位置,计算积分dz a z zC ∫−22的值.第三章 复习题1.单项选择题.(1)设C 为θi e z =,θ从2π−到2π的一段,则=∫Cdz z ( ).A .i B.2i C .-2i D.- i(2)设C 是从0=z 到i z +=1的直线段,则=∫Cdz z ( ).A .1+i B.21i+ C .i e4π− D. ie 4π(3)设C 为θi e z =,θ从0到π的一段,则=∫Czdz arg ( ).A .i 2−−π B. π− C .i 2+π D. i 2−π(4)设C 为t i z )1(−=,t 从1到0的一段,则=∫Cdz z ( ).A .1 B.-1 C .i D.- i(5)设C 为1=z 的上半部分逆时针方向,则=−∫Cdz z )1(( ).A .2i B.2 C .-2i D.- 2(6)设C 为θi e z 21=,正向,则=−∫C z dz e e zsin ( ).A .sin1 B.e i 1sin 2π C .e i 1sin 2π− D.0(7)=++∫=dz z z z 12221( ).A .i π2 B.i π2− C .0 D.π2 (8)设C 为沿抛物线12−=x y 从()0,1−到()0,1的弧度,则=+∫C dz z )1sin(( ).A .0 B.2cos − C .12cos − D. 12cos − (9)=++∫=+dz z z e z z 232)1(232( ). A .0 B.i π32C .i π2 D. i π2−(10)=++∫=dz z z zz 121682cos π( )A .0 B.i π C .i π− D. i π2.(11)=+∫=dz z zz 221( ).A .0 B.i π2 C .i π2− D. i π(12)=∫=dz z e z z12( ).A .i π2 B. i π C .0 D. π (13)1322z z z e dz ==∫( ).A .i π2 B. i π16 C .i π8 D. i π4 2.计算()∫Γ−=dz z z e I z12,其中Γ是圆环域:221≤≤z 的边界.3.(1)证明:当C 为任何不经过原点的闭曲线时,则;012=∫dz zC(2)沿怎样的简单闭曲线有;012=∫dz z C(3)沿怎样的简单闭曲线有.0112=++∫dz z z C4.设(),4ζζζπd ze zf C ∫−=其中C :2=z ,试求()i f ,()i f −及()i f 43−的值.5.计算()22,2z Ce z I dz z =+∫其中C :.1=z6.()()∫=−=12,ζζζdz z e z f z()1≠z ,求().z f ′第四章 级数1.判别下列级数的绝对收敛性与收敛性:();11∑∞=n nni()∑∞=2;ln 2n nni();8)56(30∑∞=+n n ni().2cos 40∑∞=n n in2.求下列幂级数的收敛半径:()为正整数);p nz n p n(,11∑∞=()∑∞=12;)!(2n nn z nn()∑∞=+0;)1(3n nnz i().41∑∞=n n n iz e π3.把下列各函数展开成z 的幂级数,并指出它们的收敛半径: ();1113z +();)1(1223z +();cos 32z();4shz();5chz().sin 622z e z4.求下列各函数在指定点0z 处的泰勒展开式,并指出它们的收敛半径: ();1,1110=+−z z z()();110,10,1122<−<<<−z z z z()()(),2113−−z z;21,110+∞<−<<−<z z()()为中心的圆环域内;在以i z i z z =−,142第四章 复习题1.单项选择题:()().112的收敛半径为幂级数∑∞=n nin z e0.A 1.B 2.C ∞.D()()∑∞=1.1sin 2n nnz n 的收敛半径为幂级数0.A 1.B e C . ∞.D()()()∑∞=−1.13n n n z i 的收敛半径为幂级数1.A 21.B 2.C 21.D()()()∑∞=+12.434n n n z i 的收敛半径为幂级数5.A 51.B 5.C 51.D ()()∑∞=1.!5n nn z n 的收敛半径为幂级数1.A ∞.B 0.C e D .()()∑∞−∞=−=>=n nne a z za z z.,0,6721则设!71.A !71.−B !91.C !91.−D()∑∞==−10,2.2n nn z z a 收敛,能否在幂级数 .3发散而在=z().1.32的和函数求n n z n n ∑∞=−.0cos 1.40处的泰勒展开式在求=−∫z d zζζζ上的罗朗展开在求函数11sin .512>−∫=ζζζζz d z .式第五章 留数1.判断下列函数奇点的类型,如果是极点,指出它的阶数:()();11122+z z();sin 23z z();11323+−−z z z()();1ln 4zz +();511−z e()().1162−z e z()..2在有限奇点处的留数求下列各函数z f();2112zz z −+();1242z e z −()();113224++zz();cos 4zz();11cos5z−().1sin 62zz3.计算下列各积分(利用留数,圆周均取正向).();sin 123∫=z dz z z()();12222dz z e z z∫=−()();,cos 1323为整数m dz z zz m∫=−();tan 43∫=z zdz π().521111∫=−−z z dz ze点?并是下列各函数的什么奇判断∞=z .4.的留数求出在∞();121z e();sin cos 2z z −().3232zz+()[]的值,如果:求∞,Re 5.z f s()();112−=z ez f z()()()().41124−+=z z z z f6.计算下列各积分,C 为正向圆周:()()()∫=++Cz C dz zzz ;3:,211342215().2:,1213=+∫z C dz e z z zC7.计算下列积分:();sin 351120θθπd ∫+()();0,cos sin 2202>>+∫b a d b a θθθπ()()∫+∞∞−+;11322dx x()∫+∞∞−++.54cos 42dx x x x第五章 复习题1.单项选择题:()().1sin101的是函数zz = 本性奇点.A 可去奇点.B 一级奇点.C 非孤立奇点.D()().0,1cos Re 2=z z s0.A 1.B 21.C 21.−D()()()().,11Re 32=+−i z i z s 4.i A 4.i B − 41.C 41.−D()().0,1Re 44=−−z e s z !31.A !31.−B !41.C !41.−D()()()∫=−=+21.,15z n n n dz z z 为正整数0.A i B π2. i n C π2. niD π2.()()∫=−=11.6z zz dz zei e A 1.−π i B π2. i e C 12.−π i D π2.−()()∫==−25.117z dz z 0.A i B π2. i C π25. i D π52.2.判断zz e 1+的孤立奇点的类型,并求其留数.3.计算n dz z z z n,1cos 1∫=是正整数.4.计算积分∫=−+114.1z z dz5.计算积分∫+πθθ20.cos 2d6.计算∫+∞+04.11dx x7.计算∫+∞+02.42cos dx x x复变函数总复习题一、单项选择题:(1) 函数z w ln =在i e z =处的值为(). (k 为整数)A. ()i k 12+πB. ()i k π12+C. i k π2D. i k π+212(2) 设积分路径C 为从原点到i +2的直线段, 则积分()=∫Cydz .A. 21i− B. 21i +C. i +1D. i −1(3) 1=z 是函数1ln 2−z z的( ).A. 可去奇点B. 极点C. 本性奇点D. 非孤立奇点 (4) 设()33iy x z f −=, 则()z f 在复平面上( ).A. 处处可导 B. 仅在0=z 处解析 C. 处处不可导 D. 仅在0=z 处可导(5) ()()=−∫=−dz z e z iz211221. A.21i+ B. i +1 C. ()i e i +−12π D. 2π−(6) 函数21z e z+以∞=z 为( ).A. 可去奇点 B. 极点 C. 本性奇点 D. 解析点(7) 0=z 是ze z 111−−的( ).A. 可去奇点 B. 极点 C. 本性奇点 D. 解析点(8) 由2121>−z 与2123>−i z 所确定的点集是( ).A. 开集、非区域 B. 单连通区域 C. 多连通区域 D. 闭区域(9) ()=+−∫=dz z z z z z 122sin cos 1. A. 0 B. i π2 C. i π D. i π3二、填空题:1. =i e π9 .2.=+∫=dz z z 12121. 3. 设()()z z z f Im =, 则()=′0f .4. 级数()()()∑∞=+−+−0124121n n nz n 的收敛范围为 .5. 函数z 211−在+∞<<z 21内的罗朗展式为 . 6.()=−∫=dz z z 12 .7. 级数()∑∑∞=∞=+−12121n n n n n nn z z 的收敛范围是 .8. ()2236z z z z z f ++−=, ()()=∞,Re z f s .9. =−1,1sin Re z z s ;=−1,11sin Re z z s .三、解答下列各题:1. 已知()(),21i i z −+= 求()Re z .2. 求2122lim 1z zz z z z →+−−−.3. 讨论()2z z f =在0=z 处的可导性及解析性.4. 讨论()()yx i x y x z f 322322−++−−=的解析性, 并求出在解析点处的导数.5. 计算()12CIi z dz =+−∫, 其中C 为连接01=z , 12=z 和i z +=13, 从1z 至2z 至3z 的折线段.6. 将z 2sin 展开为z 的幂级数.7. 求级数()n n nn z n 214302+++∑∞=的收敛圆, 并讨论在47−=z 和49−=z 处的收敛性.8. 求()242−=z z z f 在3<z 内所有留数之和.9. 求函数z cot 在它所有有限孤立奇点处的留数.10. 求()()222aze zf ibz+=在ai −处的留数,(a , b 为实数).11. 计算积分()()dz z e z zI z z∫=−+−=232189.12. 计算积分dz z z I z ∫=++=2365112.13. 计算积分dz z z I z ∫=+−=22211.14. 计算积分dz z z e i I z z∫=++=2241221π.15. 计算积分()dx axx I ∫∞++=02222, ()0>a .四、证明题:1. 证明()=≠+=0,00,22z z yx xyz f 在0=z 处不连续.2. 证明0→z 时, 函数()()22Re zz z f =的极限不存在.第二篇 积分变换1. 设() >≤=1,01,1t t t f , 试算出()ωF , 并推证:>=<=∫∞+1,01,41,2cos sin 0t t t d t ππωωωω. (提示()t f 为偶函数)2. 求矩形脉冲函数()≤≤=其它,00,τt A t f 的傅氏变换.3. 求()><−=1,01,1222t t t t f 的傅氏积分. 4. 求()2sin tt f = 的拉氏变换.5. 求()≥<≤−<≤=4,042,120,3t t t t f 的拉氏变换.6. 求下列函数的拉氏逆变换:(1) ()221as s F +=;(2) ()441a s s F −=答案第一章:,2295,135.3,13Im ,5.3Re )1.(1=+−=−=−=z i z z z ).(,23arctan ,10||,31,3Im ,1Re )2();(,)12()726arctan(arg Z k k Argz z i z z z Z k k z ∈+−==+=−==∈++=ππ.11,1.2==y x().2,1,0,2)2(;16316)1.(43275.06=−−+k ei k iπ5..31,2,31i i −−+7.(1)以z =5为圆心,6为半径的圆;(2)以z =-2i 为圆心,1为半径的圆周及圆周的外部;(3)i 和i 两点的连线的中垂线. 8.(1)圆环形闭区域,有界; (2)中心在,1517−=z 半径为158的圆周的外部区域,无界. 9.xy =1。
复变函数与积分变换同步练习参考答案中北大学复变函数教研室编印1复变函数同步练习第一章参考答案三、作业题1、(1)设23412i z i +⎛⎞=⎜⎟−⎝⎠,则z = 5 ,辐角主值为4arctan()3π−。
(2)设55(1)1(1)1i z i −−=++,则其实部为125−,虚部为3225−。
提示:本题注意到2(1)2i i −=−,2(1)2i i +=。
则52225222(1)1[(1)](1)1(2)(1)1132(1)1[(1)](1)1(2)(1)12525i i i i i z i i i i i i −−−−−−−−====−−+++++++ 。
(3)一复数对应的向量按逆时针方向旋转23π时对应的复数为1i +,则原复数为1122−+−+。
提示:本题相当于解23111(1)()(1)2222i z ei i i i π−−+−=+=−−+=+。
(4)设1z =2z i =−,则12z z 的指数式i122e π,12zz 的三角式为 155[cos sin 21212i ππ+。
(5)2122lim1z zz z z z →+−−=−32。
提示:211122(2)(1)23limlim lim 1(1)(1)12z z z zz z z z z z z z z z →→→+−−+−+===−−++。
(6)设复数z 满足arg(2)3z π+=,5arg(2)6z π−=,那么z=1−+。
提示:(利用复数的几何意义)向量2z −与向量2z +夹角为5632πππ−=,在复平面上,代表复数2z −、z 、2z +的点在平行于x 轴的直线上(由于此三点的虚轴没有发生变2化)。
连接0,2z +,2z −的三角形为Rt Δ。
因此推出向量2z =,2arg 3z π=,即1z =−+。
本题也可以利用代数法来做。
2、把复数πααα≤≤+−=0,sin cos 1i z 化为三角表示式与指数表示式,并求z 的辐角主值。
第1章 复数与复变函数1.1 复数及复平面1-1若1||1,n nz z z ω==+(n 是正整数),则(). (A )Re()0ω=(B )Im()0ω=(C )arg()0ω=(D )arg()πω=解由||1z =知1z z=,因此1n n n n z z z z+=+为实数,故Im()0ω=. 选(B )||1z =时n z =1/.n n z z =1-23311()()22n n--+=(). (A )(1)2n -(B )1(1)2n --(C )2 (D )2-解2i π3e =2i π3e =知,等式中两项皆为1. 选(C )1-3i |(1e )|n θ+=().(A )2cos2n nθ(B )2sin2n nθ(C )/222(1cos )n n θ+(D )/222(1sin )n n θ+解i 222|1e |(1cos )sin 2(1cos )θθθθ+=++=+故i /22|(1e )|2(1cos ).n nn θθ+=+选(C )本题容易错选(A)项,因为2(1+2cos )4cos 2θθ=得i |1e |θ+=2cos .2θ错在cos 2θ应加上绝对值.1-442max{|i |||1}z z z +≤=(). (A(BC(D )2 解由4242|i |||||2,z z z z +≤+≤而当i4e z π=时,πi4i π2422e 1,i ie 1,|i |2z z z z ==-==-+=,故最大值为2.选(D )用不等式确定最大值是常用方法. 1-5对任意复数12,z z ,证明不等式121212||||||||||||.z z z z z z -≤±≤+证1121212*********|||()|||||||||||||||||z z z z z z z z z z z z z z z -=+-≤+-=+=+-≤++故1212||||||z z z z -≤+,同理2112||||||z z z z -≤+ 即121212||||||||z z z z z z -+≤-≤+ 也就是1212||||||||.z z z z -≤+证2(代数法)设i (1,2)k k k z x y k =+= 则只要证222121122||||2||||||z z z z z z +≤++即只要证1212x x y y +≤1) 只要证2222212121122()()()x x y y x y x y +≤++ 此不等式等价于22221221112220x y x y x y x y +-≥由于,k k x y 皆是实数,上式左边是完全平方式,故此不等式成立,也就是1212||||||z z z z +≤+成立,以下同证1.证3(三角法).设12i i 1122e ,e ,z r z r θθ==则2221211221122||(cos cos )(sin sin )z z r r r r θθθθ+=+++222212*********cos()2r r r r r r r r θθ=+-≤+ 21212()(||||)r r z z =+=+即1212||||||z z z z +≤+成立,以下同证1.1-6 当1||≤z 时,求||α+nz 的最大与最小值,n 是正整数,a 是复常数. 解1(代数法).由1-5题知.||1||||||||||||αα+≤+≤+≤-a z z z z n n n我们知道,当1||=nz ,且向量n z 与α夹角为0°时右边不等式等号成立.故||α+nz 的最大值是.||1α+对左边不等式,要分情况讨论.(1)若1||>α,则.1||||||||-≥-≥+αααnnz z 等号当,1||=z 且nz 与α方向相反时成立.这时最小值是.1||-α(2)若1||≤α,则由0||≥+αn z ,当α-=nz 时等号成立,最小值为0.总之,不论α为何复数,|1|+nz 的最大值是||1α+;而当1||>α时,最小值为1||-α.当1||≤α时,最小值为0.解2 (几何法).我们仅就1||>α加以证明.由1||≤z 知1||≤nz 。
p44第一章习题(一)[ 13, 16, 17 , 20]13. 试证arg z ( -π < arg z ≤π )在负实轴(包括原点)上不连续,除此而外在z平面上处处连续.【解】记f(z) = arg z,D = \{ z∈ | Im(z) = 0,Re(z) ≤ 0},D1 = { z∈ | Re(z) > 0},D2 = { z∈ | Im(z) > 0},D3 = { z∈ | Im(z) < 0}.(1) 首先,f(z)在原点无定义,故f(z)在原点处不连续.(2) 设a∈ ,且a < 0.则f(a) = π.考察点列z n = | a | (cos(1/n-π)+ i sin(1/n-π)),n∈ +.显然,-π < 1/n-π≤π,故f(z n) = 1/n-π.而lim n→∞z n = lim n→∞( | a | (cos(1/n-π)+ i sin(1/n-π)) ) = a,但lim n→∞f(z n) = lim n→∞(1/n-π) = -π≠f(a).故f(z)在a处不连续.(3) 下面证明f(z)在D1, D2, D3这三个区域上都连续.设z = x + i y,x, y∈ .(3.1) 在D1上,f(z) = arctan(y/x),因arctan(y/x)是{(x, y)∈ 2 | x > 0 }上的二元连续函数,故f(z)是D1上的连续函数.(3.2) 在D2上,f(z) = arccot(x/y),因arccot(x/y)是{(x, y)∈ 2 | y > 0 }上的二元连续函数,故f(z)是D2上的连续函数.(3.3) 在D3上,f(z) = arccot(x/y) -π,因arccot(x/y) -π是{(x, y)∈ 2 | y < 0 }上的二元连续函数,故f(z)是D3上的连续函数.(4) 最后证明f(z)是D = \{ z∈ | Im(z) = 0,Re(z) ≤ 0}上的连续函数.∀a∈D,因为D = D1⋂D2⋂D3,故存在k (k = 1, 2, 3),使得a∈D k.因D k是开集故存在r > 0,使得U r(a) = { z∈ | | z –a | < r } ⊆D k.根据(3),f(z)在D k上是连续的,故∀ε > 0,∃η> 0,使得∀z∈D k,当| z–a | < η时,| f(z) -f(a) | < ε.设δ= min { r, η},则∀z∈D,当| z–a | < δ时,z∈U r(a) ⊆D k,又因| z–a | < δ< η,故必有| f(z) -f(a) | < ε.所以,f在a处连续.由a的任意性,f(z)是上的连续函数.[连续性部分的证明可以用几何的方法,而且写起来会简单些.但我们之所以选择这个看起来很复杂的方法,是可以从这里看出θ(z) = arg(z)作为(x, y)的二元函数,在D1, D2, D3上都有很明显的可导的表达式,因此它在区域D上不仅是连续的,而且是连续可导二元函数:θx = y/(x2 + y2),θy = -x/(x2 + y2).证明中的第四部分并不是多余的,这是因为若f在两个集合A, B上都连续(即使它们有公共的部分),一般说来,并不能保证f在两个集合A⋂B上也连续.问题:若f在区域A, B上都连续,且A ⋃B ≠∅,问f在A⋂B上是否必连续?] 16. 试问函数f(z) = 1/(1 –z )在单位圆| z | < 1内是否连续?是否一致连续?【解】(1) f(z)在单位圆| z | < 1内连续.因为z在 内连续,故f(z) = 1/(1 –z )在 \{1}内连续(连续函数的四则运算),因此f(z)在单位圆| z | < 1内连续.(2) f(z)在单位圆| z | < 1内不一致连续.令z n= 1 – 1/n,w n= 1 – 1/(n + 1),n∈ +.则z n, w n都在单位圆| z | < 1内,| z n-w n | → 0,但| f(z n)-f(w n)| = | n - (n + 1) | = 1 > 0,故f(z)在单位圆| z | < 1内不一致连续.[也可以直接用实函数f(x) = 1/(1 –x )在(0, 1)不一致连续来说明,只要把这个实函数看成是f(z)在E = { z∈ | Im(z) = 0, 0 < Re(z) < 1 }上的限制即可.]17. 试证:复数列z n = x n + i y n以z0 = x0 + i y0为极限的充要条件是实数列{x n}及{y n}分别以x0及y0为极限.【解】(⇒) 若复数列z n = x n + i y n以z0 = x0 + i y0为极限,则∀ε > 0,∃N∈ +,使得∀n > N,有| z n -z0| < ε.此时有| x n -x0| ≤ | z n -z0| < ε;| y n -y0| ≤ | z n -z0| < ε.故实数列{x n}及{y n}分别以x0及y0为极限.(⇐) 若实数列{x n}及{y n}分别以x0及y0为极限,则∀ε > 0,∃N1∈ +,使得∀n > N1,有| x n -x0| < ε/2;∃N2∈ +,使得∀n > N2,有| y n -y0| < ε/2.令N = max{N1, N2},则∀n > N,有n > N1且n > N2,故有| z n -z0| = | (x n -x0) + i (y n -y0)| ≤ | x n -x0| + | y n -y0| < ε/2 + ε/2 = ε.所以,复数列z n = x n + i y n以z0 = x0 + i y0为极限.20. 如果复数列{z n}合于lim n→∞z n = z0≠∞,证明lim n→∞ (z1 + z2 + ... + z n)/n = z0.当z0≠∞时,结论是否正确?【解】(1) ∀ε > 0,∃K∈ +,使得∀n > K,有| z n -z0| < ε/2.记M = | z1-z0 | + ... + | z K-z0 |,则当n > K时,有| (z1 + z2 + ... + z n)/n-z0 | = | (z1-z0) + (z2-z0) + ... + (z n-z0) |/n≤ ( | z1-z0 | + | z2-z0 | + ... + | z n-z0 |)/n= ( | z1-z0 | + ... + | z K-z0 |)/n + ( | z K +1-z0 | + ... + | z n-z0 |)/n≤M/n + (n-K)/n · (ε/2) ≤M/n + ε/2.因lim n→∞ (M/n) = 0,故∃L∈ +,使得∀n > L,有M/n < ε/2.令N = max{K, L},则当n > K时,有| (z 1 + z 2 + ... + z n )/n - z 0 | ≤ M /n + ε /2 < ε /2 + ε /2 = ε.所以,lim n →∞ (z 1 + z 2 + ... + z n )/n = z 0.(2) 当z 0 ≠ ∞时,结论不成立.这可由下面的反例看出.例:z n = (-1)n · n ,n ∈ +.显然lim n →∞ z n = ∞.但∀k ∈ +,有(z 1 + z 2 + ... + z 2k )/(2k ) = 1/2,因此数列{(z 1 + z 2 + ... + z n )/n }不趋向于∞.[这个结论的证明的方法与实数列的情况完全相同,甚至反例都是一样的.]p45第一章习题(二)[ 6, 8, 9, 11, 12 ]6. 设| z | = 1,试证:| (a z + b )/(b * z + a * ) | = 1.(z *表示复数z 的共轭)【解】此题应该要求b * z + a * ≠ 0.| a z + b | = | (a z + b )* | = | a * z * + b * | = | a * z * + b * | · | z | = | (a * z * + b *) · z | = | a * z * · z + b * · z | = | a * | z |2 + b * · z | = | b * z + a * |.故| (a z + b )/(b * z + a * ) | = 1.8. 试证:以z 1, z 2, z 3为顶点的三角形和以w 1, w 2, w 3为顶点的三角形同向相似的充要条件为111332211w z w z w z = 0. 【解】两个三角形同向相似是指其中一个三角形经过(一系列的)旋转、平移、位似这三种初等几何变换后可以变成另一个三角形(注意没有反射变换).例如z'z 312我们将采用下述的观点来证明:以z 1, z 2, z 3为顶点的三角形和以w 1, w 2, w 3为顶点的三角形同向相似的充要条件是:将它们的一对对应顶点都平移到原点后,它们只相差一个位似旋转. 记f 1(z ) = z - z 1 (将z 1变到0的平移);f 3(z ) = z - w 1 (将0变到w 1的平移); 那么,三角形z 1z 2z 3与三角形w 1w 2w 3同向相似⇔ 存在某个绕原点的旋转位似变换f 2(z ) = z 0 z ,使得f 2 ( f 1(z k )) = f 3(w k ),(k = 2, 3),其中z 0∈ \{0}⇔ 存在z 0∈ \{0},使得z 0(z k - z 1) = w k - w 1,(k = 2, 3)⇔ (w 2 - w 1)/(z 2 - z 1) = (w 3 - w 1)/(z 3 - z 1)⇔ 13131212w w z z w w z z ----= 0⇔ 1110013131212w w z z w w z z ----= 0⇔ 111332211w z w z w z = 0.[证完]9. 试证:四个相异点z 1, z 2, z 3, z 4共圆周或共直线的充要条件是(z 1 – z 4)/(z 1 – z 2) : (z 3 – z 4)/(z 3 – z 2)为实数.【解】在平面几何中,共线的四个点A , B , C , D 的交比定义为(A , B ; C , D ) = (AC /CB ) : (AD /DB ).这是射影几何中的重要的不变量.类似地,在复平面上,(不一定共线的)四个点z 1, z 2, z 3, z 4的交比定义为[z 1z 2, z 3z 4] = (z 1 – z 3)/(z 2 – z 3) : (z 1 – z 4)/(z 2 – z 4).本题的结论是说:复平面上四个点共圆或共线的充要条件是其交比为实数. (⇒) 分两种情况讨论(1) 若(z 1 – z 4)/(z 1 – z 2)为实数,则(z 3 – z 4)/(z 3 – z 2)也是实数.设(z 1 – z 4)/(z 1 – z 2) = t ,t ∈ .则z 4 = (1 – t )z 1 + t z 2,故z 4在z 1, z 2所确定的直线上,即z 1, z 2, z 4共线.因此,同理,z 1, z 2, z 3也共线.所以,z 1, z 2, z 3, z 4是共线的.(2) 若(z 1 – z 4)/(z 1 – z 2)为虚数,则(z 3 – z 4)/(z 3 – z 2)也是虚数.故Arg ((z 1 – z 4)/(z 1 – z 2)) ≠ k π,Arg ((z 3 – z 4)/(z 3 – z 2)) ≠ k π.而Arg ((z 1 – z 4)/(z 1 – z 2)) – Arg ((z 3 – z 4)/(z 3 – z 2))= Arg ((z 1 – z 4)/(z 1 – z 2) : (z 3 – z 4)/(z 3 – z 2)) = k π.注意到Arg ((z – z 4)/(z – z 2)) = Arg ((z 4 – z )/(z 2 – z ))是z 2 – z 到z 4 – z 的正向夹角, 若Arg ((z 1 – z 4)/(z 1 – z 2)) = Arg ((z 3 – z 4)/(z 3 – z 2)),则z 1, z 3在z 2, z 4所确定的直线的同侧,且它们对z 2, z 4所张的角的大小相同, 故z 1, z 2, z 3, z 4是共圆的.若Arg ((z 1 – z 4)/(z 1 – z 2)) = Arg ((z 3 – z 4)/(z 3 – z 2)) + π,则z 1, z 3在z 2, z 4所确定的直线的异侧,且它们对z 2, z 4所张的角的大小互补, 故z 1, z 2, z 3, z 4也是共圆的.(⇐) 也分两种情况讨论(1) 若z1, z2, z3, z4是共线的,则存在s, t∈ \{0, 1},使得z4 = (1 –s)z3 + s z2,z4 = (1 –t)z1 + t z2,那么,z3–z4 = s (z3 –z2),即(z3–z4)/(z3–z2) = s;而z1–z4 = t (z1 –z2),即(z1–z4)/(z1–z2) = t,所以,(z1–z4)/(z1–z2) : (z3–z4)/(z3–z2) = t/s∈ .(2) 若z1, z2, z3, z4是共圆的,若z1, z3在z2, z4所确定的直线的同侧,那么,Arg ((z4–z1)/(z2–z1)) = Arg ((z4–z3)/(z2–z3))因此(z4–z1)/(z2–z1) : (z4–z3)/(z2–z3)是实数.也就是说(z1–z4)/(z1–z2) : (z3–z4)/(z3–z2)是实数.若z1, z3在z2, z4所确定的直线的异侧,则Arg ((z4–z1)/(z2–z1)) + Arg ((z2–z3)/(z4–z3)) = (2k + 1)π,故Arg ((z1–z4)/(z1–z2) : (z3–z4)/(z3–z2))= Arg ((z1–z4)/(z1–z2)) – Arg ((z3–z4)/(z3–z2))= Arg ((z1–z4)/(z1–z2)) + Arg ((z3–z2)/(z3–z4))= Arg ((z4–z1)/(z2–z1)) + Arg ((z2–z3)/(z4–z3)) = (2k + 1)π,所以,(z1–z4)/(z1–z2) : (z3–z4)/(z3–z2)仍为实数.[证完]这个题目写的很长,欢迎同学们给出更简单的解法.11. 试证:方程| z -z1 |/| z -z2 | = k ( 0 < k ≠ 1,z1≠z2 )表示z平面的一个圆周,其圆心为z0,半径为ρ,且z0 = (z1 -k2 z2)/(1-k2),ρ = k | z1 -z2|/| 1-k2 |.【解】到两定点距离成定比的点的轨迹是圆或直线.当比值不等于1时,轨迹是一个圆,这个圆就是平面几何中著名的Apollonius圆.设0 < k ≠ 1,z1≠z2,z0 = (z1 -k2 z2)/(1-k2),ρ = k | z1 -z2|/| 1-k2 |.∀z∈ ,| z -z0 | = ρ⇔| z - (z1 -k2 z2)/(1-k2)| = k | z1 -z2|/| 1-k2 |⇔| z(1-k2)- (z1 -k2 z2) | = k | z1 -z2 |⇔| (z -z1) -k2 (z-z2)| = k | z1 -z2|⇔| (z -z1)/k-k (z-z2) | = | z1 -z2|⇔| (z -z1)/k-k (z-z2) | = | (z -z1)- (z-z2) |⇔| (z -z1)/k-k (z-z2) |2 = | (z -z1) - (z-z2) |2⇔| z -z1 |2/k2 + k2 | z-z2 |2 = | z -z1 |2 + | z-z2 |2⇔(1/k2 - 1)| z -z1 |2 = (1-k2 ) | z-z2 |2⇔| z -z1 |2/k2 = | z-z2 |2⇔| z -z1 |/| z-z2 | = k.[证完]直接地双向验证,可能需要下面的结论,其几何意义非常明显的.命题:若复数z, w≠ 0,则| | z | ·w /| w| - | w| ·z /| z| | = | w -z |.证明:我们用z*表示复数z的共轭.| | z | ·w /| w| - | w| ·z /| z| |2= | | z | ·w /| w| |2 + | | w| ·z /| z| |2- 2Re[( | z | ·w /| w|) · (| w| ·z /| z|)* ]= | z |2 + | w|2- 2Re( w ·z* ) = | w -z |2.或更直接地,| | z | ·w /| w| - | w| ·z /| z| |= | | z | ·w /| w| - | w| ·z /| z| | · | z*/| z| | · | w*/| w| |= | (| z | ·w /| w| - | w| ·z /| z|) ·(z*/| z|) · (w*/| w|) |= | (| z | · (z*/| z|) - | w| ·(w*/| w|)) | = | w -z |.12. 试证:Re(z) > 0 ⇔ | (1 -z)/(1 + z) | < 1,并能从几何意义上来读本题.【解】Re(z) > 0 ⇔点z在y轴右侧⇔点z在点-1和点1为端点的线段的垂直平分线的右侧⇔点z在点-1和点1为端点的线段的垂直平分线的与1同侧的那一侧⇔点z到点-1的距离大于点z到点1的距离⇔|1 + z | > | 1 -z | ⇔| (1 -z)/(1 + z) | < 1.不用几何意义可以用下面的方法证明:设z = x + i y,x, y∈ .| (1 -z)/(1 + z) | < 1 ⇔|1 + z | > | 1 -z | ⇔|1 + z |2 > | 1 -z |2⇔ 1 + z2 + 2Re(z) > 1 + z2- 2Re(z) ⇔Re(z) > 0.[由本题结论,可知映射f(z) = (1 -z)/(1 + z)必然把右半平面中的点映射到单位圆内的点.并且容易看出,映射f(z)把虚轴上的点映射到单位圆周上的点.问题:f(z)在右半平面上的限制是不是到单位圆的双射?f(z)在虚轴上的限制是不是到单位圆周的双射?]∀∃∅-⨯±≠≥·◦≤≡⊕⊗≅αβχδεφγηιϕκλμνοπθρστυϖωξψζ∞∙︒ℵℜ℘∇∏∑⎰ ⊥∠ √§ψ∈∉⊆⊂⊃⊇⊄⊄∠⇒♣♦♥♠§ #↔→←↑↓⌝∨∧⋃⋂⇔⇒⇐∆∑ΓΦΛΩ∂∀m∈ +,∃m∈ +,★〈α1, α2, ..., αn〉lim n→∞,+n→∞∀ε > 0,∑u n,∑n≥ 1u n,m∈ ,∀ε > 0,∃δ> 0,【解】⎰[0, 2π]l 2 dx,f(x) = (-∞, +∞)[-π, π]∑1 ≤k≤n u n,[0, 2π]。
习题一答案之马矢奏春创作1. 求下列复数的实部、虚部、模、幅角主值及共轭复数:(1)132i+ (2)(1)(2)i i i -- (3)131i i i -- (4)8214i i i -+- 解:(1)1323213i z i -==+, 因此:32Re , Im 1313z z ==-, (2)3(1)(2)1310i i i z i i i -+===---, 因此,31Re , Im 1010z z =-=, (3)133335122i i i z i i i --=-=-+=-, 因此,35Re , Im 32z z ==-, (4)82141413z i i i i i i =-+-=-+-=-+因此,Re 1, Im 3z z =-=,2. 将下列复数化为三角表达式和指数表达式:(1)i (2)1-+ (3)(sin cos )r i θθ+(4)(cos sin )r i θθ- (5)1cos sin (02)i θθθπ-+≤≤解:(1)2cos sin 22ii i e πππ=+= (2)1-+23222(cos sin )233i i e πππ=+= (3)(sin cos )r i θθ+()2[cos()sin()]22i r i re πθππθθ-=-+-=(4)(cos sin )r i θθ-[cos()sin()]i r i re θθθ-=-+-=(5)21cos sin 2sin 2sin cos 222i i θθθθθ-+=+ 3. 求下列各式的值: (1)5)i - (2)100100(1)(1)i i ++-(3)(1)(cos sin )(1)(cos sin )i i i θθθθ+-- (4)23(cos5sin5)(cos3sin3)i i ϕϕϕϕ+- (5(6解:(1)5)i -5[2(cos()sin())]66i ππ=-+- (2)100100(1)(1)i i ++-50505051(2)(2)2(2)2i i =+-=-=-(3)(1)(cos sin )(1)(cos sin )i i i θθθθ-+-- (4)23(cos5sin5)(cos3sin3)i i ϕϕϕϕ+- (5=(6= 4.设12 ,z z i ==-试用三角形式暗示12z z 与12z z 解:12cos sin , 2[cos()sin()]4466z i z i ππππ=+=-+-,所以 12z z 2[cos()sin()]2(cos sin )46461212i i ππππππ=-+-=+, 5. 解下列方程:(1)5()1z i += (2)440 (0)z a a +=>解:(1)z i+=由此25k iz i e iπ=-=-,(0,1,2,3,4)k=(2)z==11[cos(2)sin(2)]44a k i kππππ=+++,当0,1,2,3k=时,对应的4(1),(1),1),(1)i i i i+-+---6.证明下列各题:(1)设,z x iy=+z x y≤≤+证明:首先,显然有z x y=≤+;其次,因222,x y x y+≥固此有2222()(),x y x y+≥+从而z=≥。
第一章习题详解1.求下列复数的实部与虚部,共轭复数、模与辐角:z 1)i231+解:()()()132349232323231231ii i i i i -=+-=-+-=+实部:133231=⎪⎭⎫⎝⎛+i Re 虚部:132231-=⎪⎭⎫⎝⎛+i Im 共轭复数:1323231ii +=⎪⎭⎫⎝⎛+模:1311323231222=+=+i 辐角:πππk arctg k arctg k i i Arg 23221331322231231+⎪⎭⎫ ⎝⎛-=+-=+⎪⎭⎫ ⎝⎛+=⎪⎭⎫ ⎝⎛+arg 2)ii i --131解:()()()2532332113311131312i i i i i i i i i i i i i i -=-+-=++---=+-+-=--实部:23131=⎪⎭⎫⎝⎛--i i i Re 虚部:25131-=⎪⎭⎫⎝⎛--i i i Im 共轭复数:253131i i i i +=⎪⎭⎫⎝⎛--模:234434253131222==+=--ii i 辐角:πππk arctg k arctg k i i i i i i Arg 235223252131131+⎪⎭⎫ ⎝⎛-=+⎪⎪⎪⎭⎫ ⎝⎛-=+⎪⎭⎫ ⎝⎛--=⎪⎭⎫ ⎝⎛--arg3)()()ii i 25243-+解:()()()22672267272625243ii ii ii i --=-+=--=-+实部:()()2725243-=⎪⎭⎫⎝⎛-+i i i Re 虚部:()()1322625243-=-=⎪⎭⎫⎝⎛-+i i i Im 共轭复数:()()226725243ii i i +-=⎪⎭⎫⎝⎛-+模:()()2925226272524322=⎪⎭⎫ ⎝⎛-+⎪⎭⎫ ⎝⎛-=-+ii i 辐角:()()ππk arctg k arctg i i i Arg 272622722625243+⎪⎭⎫ ⎝⎛=+⎪⎪⎪⎭⎫ ⎝⎛--=⎪⎭⎫ ⎝⎛-+4)ii i +-2184解:ii i i i i 31414218-=+-=+-实部:()14218=+-i i i Re 虚部:()34218-=+-i ii Im 共轭复数:()ii i i 314218+=+-模:1031422218=+=+-i ii 辐角:()()πππk arctg k arctg k i i i i ii Arg 23213244218218+-=+⎪⎭⎫⎝⎛-=++-=+-arg 2.当、等于什么实数时,等式成立?x y ()i iy i x +=+-++13531解:根据复数相等,即两个复数的实部和虚部分别相等。
第一章 复变函数习题及解答1.1 写出下列复数的实部、虚部;模和辐角以及辐角的主值;并分别写成代数形式,三角形式和指数形式.(其中,,R αθ为实常数)(1)1-; (2)ππ2(cosisin )33-; (3)1cos isin αα-+;(4)1ie +; (5)i sin R e θ; (6)i + 答案 (1)实部-1;虚部2;辐角为 4π2π,0,1,2,3k k +=±±L;主辐角为4π3;原题即为代数形式;三角形式为4π4π2(cosisin )33+;指数形式为4πi32e .(2)略为 5πi 35π5π2[cos sin ], 233i e +(3)略为 i arctan[tan(/2)][2sin()]2c e αα(4)略为 i;(cos1isin1)ee e +(5)略为:cos(sin )isin(sin )R R θθ+(6)该复数取两个值略为i i isin ),arctan(1isin ),πarctan(1θθθθθθθθ+=+=+1.2 计算下列复数 1)()103i 1+-;2)()31i 1+-;答案 1)3512i 512+-;2)()13π/42k πi632e0,1,2k +=;1.3计算下列复数(1(2答案 (1)(2)(/62/3)i n e ππ+1.4 已知x【解】令i ,(,)p q p q R =+∈,即,p q 为实数域(Real).平方得到2212()2i x p q xy +=-+,根据复数相等,所以即实部为,x ±虚部为 说明 已考虑根式函数是两个值,即为±值.1.5 如果 ||1,z =试证明对于任何复常数,a b 有||1az bbz a +=+【证明】 因为||1,11/z zz z z =∴=∴=,所以1.6 如果复数b a i +是实系数方程()01110=++++=--n n n n a z a z a z a z P Λ的根,则b a i -一定也是该方程的根.证 因为0a ,1a ,… ,n a 均为实数,故00a a =,11a a =,… ,n n a a =.且()()kkz z =,故由共轭复数性质有:()()z P z P =.则由已知()0i ≡+b a P .两端取共轭得即()0i ≡-b a P.故b a i -也是()0=z P 之根.注 此题仅通过共轭的运算的简单性质及实数的共轭为其本身即得证.此结论说明实系数多项式的复零点是成对出现的.这一点在代数学中早已被大家认识.特别地,奇次实系数多项式至少有一个实零点.1.7 证明:2222121212||||2(||||)z z z z z z ++-=+,并说明其几何意义. 1.8 若 (1)(1)n n i i +=-,试求n 的值.【解】 因为222244444444(1)2(cos sin )2(cos sin )(1)2(cos sin )2(cos sin )n nnnn n n n n n n n i i i i i i ππππππππ+=+=+-=-=- 所以44sin sin n n ππ=- 即为4sin 0n π=所以4,4,(0,1,2,)n k n k k ππ===±±L1.9将下列复数表为sin ,cos θθ的幂的形式 (1)cos5θ; (2)sin5θ答案 53244235(1) cos 10cos sin 5cos sin (2) 5cos sin 10cos sin sin θθθθθθθθθθ-+-+1.10 证明:如果 w 是1的n 次方根中的一个复数根,但是1≠w 即不是主根,则必有1.11 对于复数,k k αβ,证明复数形式的柯西(Cauchy)不等式:22221111||(||||)||||nnnnk k k k k kk k k k αβαβαβ====≤≤∑∑∑∑ 成立。
第一章 复数与复变函数1.1计算下列各式:(1) (1)(32);i i +--解: (1)(32)(1)322 3.i i i i i +--=+-+=-+(2) ;(1)(2)i i i -- 解:2(13)3.(1)(2)2213101010i i i i i i i i i i i i +-====+----+- (3) 1(1);1z z x iy z -=+≠-+ 解: 2222222211(1)(1)12.11(1)(1)(1)z x iy x iy x iy x y y i z x iy x y x y x y-+--++-+-===++++++++++ 1.2 将直线方程220(0)ax by c a b ++=+≠写成复数形式.[提示: 记.x iy z +=] 解: 由,22z z z z x y i+-== 代入直线方程,得 ()()0,22()20,()()20,0,,2.a b z z z z c iaz az bi z z c a bi z a bi z c Az Az B A a ib B c ++-+=+--+=-+++=++==+=故其中1.3 将圆周方程22()0(0)a x y bx cy d a ++++=≠写成复数形式(即可z 与z 表示,其中z x iy =+).解: 把22,,22z z z z x y x y z z i+-==+=⋅代入圆周方程得: ()()0,222()()20,0.b c az z z z z z d iaz z b ic z b ic z d Az z Bz Bz C ⋅+++-+=⋅+-+++=⋅+++=故其中2,,2.A a B b ic C d ==+=1.4 求下列复数的模与辐角主值.(1) 2;i -解: 2i -== 11arg(2)arctan arctan .22i --==- (2) 13;i -+解: 13i -+== 3arg(13)arctanarctan 3.1i ππ-+=+=-- 1.5 将下列各复数写成三角形式.(1) sin cos ;i αα+解: sin cos 1,i αα+=故sin cos cos()sin().22i i ππαααα+=-+- (2) sin cos .66i ππ-- 解: 2arg(sincos )arctan(cot ),666263i ππππππππ--=-=--=- sin cos 66i ππ--=2222cos()sin()cos()sin .3333i i ππππ-+-=- 1.6 利用复数的三角表示计算下列各式:(1) 31();2解: 由乘幂公式知3cos3()sin 3() 1.33i ππ⎡⎤=⋅-+-=-⎢⎥⎣⎦(2)解: 因32222),4i i π-+=-+=所以由开方公式知3838sin ),0,1,2,3.1616k k i k ππ++=+= 1.7 指出满足下列各式的点z 的轨迹是什么曲线? (1) 1;z i +=解: 以(0,1)-为圆心,1为半径的圆周. (2) 0,zz az az b +++=其中a 为复数,为b 实常数;解: 由题设可知 2()()||0,z a z a b a +++-=即22||||,z a a b +=-若2||,a b =则z 的轨迹为一点;a -若2||,a b >则z 的轨迹为圆,圆心在a -,若2||,a b <无意义.1.8 用参数方程表示下列各曲线.(1) 连接1i +与14i --的直线段;解: 法一:由直线段的复参数方程直接得 211()()[14(1)](1)1(25),01z t z z t z i i t i i i t t =-+=---+++=++--≤≤法二:由直线段的实参数方程间接得平面上连接点(1,1)与(1,4)--的直线段,其参数方程可写为: 1(11),011(41),x t t y t =+--⎧≤≤⎨=+--⎩故其复数形式的参数方程为: 12(15)1(25),01z t i t i i t t =-+-=++--≤≤ (2) 试证0Re limz z z →不存在. 证: 000Re limlim ,z x y z x z x iy →→→=+令,y kx =则上述极限为1,1ki +随k 变化而变化,因而极限不存在.全国2009年4月高等教育自学考试英语语法试题课程代码:00831一、单项选择题(本大题共20小题,每小题1分,共20分)Choose the best answer from the choices given and put the letters A, B, C or D in the brackets.1.——Did you hear what she said? ( )——Well, I heard her say something, but I ______.So I don ’t know exactly what she said.A .would not listenB .were not listeningC .had not listenedD .shouldn ’t listen2.When I got to the top of the mountain, the sun ______.()A.shoneB.shinesC.has shoneD.was shining3.The building suddenly collapsed while it ______ down.()A.pulledB.had been pulledC.was being pulledD.was pulled4.Most of my saving ______ in stocks.()A.has been investedB.is being investedC.have investedD.have been invested5.The manager insisted that the chief engineer ______ testing the new model immediately.()A.startB.startsC.startedD.will start6.Great as Newton was, many of his principles ______ and modified by contemporary scientists。
精心整理第一章习题详解1.求下列复数z的实部与虚部,共轭复数、模与辐角:解:()()()132349232323231231iiiiii-=+-=-+-=+实部:133231=⎪⎭⎫⎝⎛+iRe解:1i-模:234434253131222==+=--iii辐角:πππkarctgkarctgkiiiiiiArg235223252131131+⎪⎭⎫⎝⎛-=+⎪⎪⎪⎭⎫⎝⎛-=+⎪⎭⎫⎝⎛--=⎪⎭⎫⎝⎛--arg解:()()()22672267272625243iii iiii--=-+=--=-+实部:()()2725243-=⎪⎭⎫⎝⎛-+iiiRe虚部:()()1322625243-=-=⎪⎭⎫⎝⎛-+i i i Im 共轭复数:()()226725243ii i i +-=⎪⎭⎫⎝⎛-+ 模:()()2925226272524322=⎪⎭⎫ ⎝⎛-+⎪⎭⎫ ⎝⎛-=-+ii i解:i8-模:2. 当x 即x3. 证明:i-14. 证明证明:设iy x z +=,则iy x z -=证明:设111iy x z +=,222iy x z +=,则有: 证明:设111θi e r z =,222θi e r z =,则有: 证明:设111θi e r z =,222θi er z =,则有:证明:设iy x z +=,则有证明:设iy x z +=,则iy x z -= 5. 对任何22,z z z =是否成立?如果是,就给出证明。
如果不是,对哪些z 值才成立?解:设iy x z+=,则有:故当0=y ,即iy x z +=是实数时,22z z =成立。
6. 当1≤z 时,求a z n +的最大值,其中n 为正整数,a 为复数。
解:a z a z a z nn n +=+≤+1≤z a z n +7. 1) 若c 2) 若z 3)i 2<4) 5) 6)1z +解:假命题。
设有两个数i z i z -==21,,使2121z z z z +=+不成立。
第一章 复数与复变函数一、选择题1.当ii z -+=11时,5075100z z z ++的值等于( ) (A )i (B )i - (C )1 (D )1- 2.设复数z 满足3)2(π=+z arc ,65)2(π=-z arc ,那么=z ( ) (A )i 31+- (B )i +-3 (C )i 2321+-(D )i 2123+- 3.复数)2(tan πθπθ<<-=i z 的三角表示式是( ) (A ))]2sin()2[cos(sec θπθπθ+++i (B ))]23sin()23[cos(sec θπθπθ+++i (C ))]23sin()23[cos(sec θπθπθ+++-i (D ))]2sin()2[cos(sec θπθπθ+++-i 4.若z 为非零复数,则22z z -与z z 2的关系是( ) (A )z z z z 222≥- (B )z z z z 222=- (C )z z z z 222≤- (D )不能比较大小5.设y x ,为实数,yi x z yi x z +-=++=11,1121且有1221=+z z ,则动点),(y x 的轨迹是( )(A )圆 (B )椭圆 (C )双曲线 (D )抛物线 6.一个向量顺时针旋转3π,向右平移3个单位,再向下平移1个单位后对应的复数为i 31-,则原向量对应的复数是( )(A )2 (B )i 31+(C )i -3 (D )i +37.使得22z z =成立的复数z 是( )(A )不存在的 (B )唯一的 (C )纯虚数 (D )实数 8.设z 为复数,则方程i z z +=+2的解是( )(A )i +-43 (B )i +43 (C )i -43 (D )i --439.满足不等式2≤+-iz iz 的所有点z 构成的集合是( ) (A )有界区域 (B )无界区域 (C )有界闭区域 (D )无界闭区域 10.方程232=-+i z 所代表的曲线是( )(A )中心为i 32-,半径为2的圆周 (B )中心为i 32+-,半径为2的圆周 (C )中心为i 32+-,半径为2的圆周 (D )中心为i 32-,半径为2的圆周 11.下列方程所表示的曲线中,不是圆周的为( ) (A )221=+-z z (B )433=--+z z (C ))1(11<=--a azaz (D ))0(0>=-+++c c a a z a z a z z12.设,5,32,1)(21i z i z z z f -=+=-=,则=-)(21z z f ( ) (A )i 44-- (B )i 44+ (C )i 44- (D )i 44+- 13.00)Im()Im(lim0z z z z x x --→( )(A )等于i (B )等于i - (C )等于0 (D )不存在14.函数),(),()(y x iv y x u z f +=在点000iy x z +=处连续的充要条件是( ) (A )),(y x u 在),(00y x 处连续 (B )),(y x v 在),(00y x 处连续(C )),(y x u 和),(y x v 在),(00y x 处连续(D )),(),(y x v y x u +在),(00y x 处连续15.设C z ∈且1=z ,则函数zz z z f 1)(2+-=的最小值为( )(A )3- (B )2- (C )1- (D )1二、填空题1.设)2)(3()3)(2)(1(i i i i i z ++--+=,则=z2.设)2)(32(i i z +--=,则=z arg3.设43)arg(,5π=-=i z z ,则=z 4.复数22)3sin 3(cos )5sin 5(cos θθθθi i -+的指数表示式为 5.以方程i z 1576-=的根的对应点为顶点的多边形的面积为 6.不等式522<++-z z 所表示的区域是曲线 的内部7.方程1)1(212=----zi iz 所表示曲线的直角坐标方程为8.方程i z i z +-=-+221所表示的曲线是连续点 和 的线段的垂直平分线9.对于映射zi =ω,圆周1)1(22=-+y x 的像曲线为 10.=+++→)21(lim 421z z iz三、若复数z 满足03)21()21(=+++-+z i z i z z ,试求2+z 的取值范围.四、设0≥a ,在复数集C 中解方程a z z =+22.五、设复数i z ±≠,试证21zz+是实数的充要条件为1=z 或0)(=z IM .六、对于映射)1(21zz +=ω,求出圆周4=z 的像.七、试证1.)0(0221≠≥z z z 的充要条件为2121z z z z +=+; 2.)),,2,1,,,0(021n j k j k z z z j =≠≠≥的充要条件为 n n z z z z z z +++=+++ 2121.八、若0)(lim 0≠=→A z f x x ,则存在0>δ,使得当δ<-<00z z 时有A z f 21)(>.九、设iy x z +=,试证y x z y x +≤≤+2.十、设iy x z +=,试讨论下列函数的连续性:1.⎪⎩⎪⎨⎧=≠+=0,00,2)(22z z y x xyz f2.⎪⎩⎪⎨⎧=≠+=0,00,)(223z z y x y x z f第二章 解析函数一、选择题:1.函数23)(z z f =在点0=z 处是( )(A )解析的 (B )可导的(C )不可导的 (D )既不解析也不可导 2.函数)(z f 在点z 可导是)(z f 在点z 解析的( )(A )充分不必要条件 (B )必要不充分条件(C )充分必要条件 (D )既非充分条件也非必要条件 3.下列命题中,正确的是( )(A )设y x ,为实数,则1)cos(≤+iy x(B )若0z 是函数)(z f 的奇点,则)(z f 在点0z 不可导(C )若v u ,在区域D 内满足柯西-黎曼方程,则iv u z f +=)(在D 内解析 (D )若)(z f 在区域D 内解析,则)(z if 在D 内也解析 4.下列函数中,为解析函数的是( )(A )xyi y x 222-- (B )xyi x +2(C ))2()1(222x x y i y x +-+- (D )33iy x +5.函数)Im()(2z z z f =在=z 处的导数( )(A )等于0 (B )等于1 (C )等于1- (D )不存在6.若函数)(2)(2222x axy y i y xy x z f -++-+=在复平面内处处解析,那么实常 数=a ( )(A )0 (B )1 (C )2 (D )2-7.如果)(z f '在单位圆1<z 内处处为零,且1)0(-=f ,那么在1<z 内≡)(z f ( )(A )0 (B )1 (C )1- (D )任意常数 8.设函数)(z f 在区域D 内有定义,则下列命题中,正确的是(A )若)(z f 在D 内是一常数,则)(z f 在D 内是一常数 (B )若))(Re(z f 在D 内是一常数,则)(z f 在D 内是一常数 (C )若)(z f 与)(z f 在D 内解析,则)(z f 在D 内是一常数 (D )若)(arg z f 在D 内是一常数,则)(z f 在D 内是一常数 9.设22)(iy x z f +=,则=+')1(i f ( )(A )2 (B )i 2 (C )i +1 (D )i 22+ 10.ii 的主值为( )(A )0 (B )1 (C )2πe (D )2π-e11.z e 在复平面上( )(A )无可导点 (B )有可导点,但不解析 (C )有可导点,且在可导点集上解析 (D )处处解析 12.设z z f sin )(=,则下列命题中,不正确的是( )(A ))(z f 在复平面上处处解析 (B ))(z f 以π2为周期(C )2)(iziz e e z f --= (D ))(z f 是无界的13.设α为任意实数,则α1( )(A )无定义 (B )等于1(C )是复数,其实部等于1 (D )是复数,其模等于1 14.下列数中,为实数的是( )(A )3)1(i - (B )i cos (C )i ln (D )i e 23π-15.设α是复数,则( )(A )αz 在复平面上处处解析 (B )αz 的模为αz(C )αz 一般是多值函数 (D )αz 的辐角为z 的辐角的α倍二、填空题1.设i f f +='=1)0(,1)0(,则=-→zz f z 1)(lim2.设iv u z f +=)(在区域D 内是解析的,如果v u +是实常数,那么)(z f 在D 内是 3.导函数xvix u z f ∂∂+∂∂=')(在区域D 内解析的充要条件为 4.设2233)(y ix y x z f ++=,则=+-')2323(i f 5.若解析函数iv u z f +=)(的实部22y x u -=,那么=)(z f 6.函数)Re()Im()(z z z z f -=仅在点=z 处可导7.设z i z z f )1(51)(5+-=,则方程0)(='z f 的所有根为 8.复数ii 的模为 9.=-)}43Im{ln(i 10.方程01=--ze 的全部解为三、设),(),()(y x iv y x u z f +=为iyx z +=的解析函数,若记)2,2()2,2(),(izz z z iv i z z z z u z z w -++-+=,则0=∂∂z w .四、试证下列函数在z 平面上解析,并分别求出其导数 1.;sinh sin cosh cos )(y x i y x z f -=2.);sin cos ()sin cos ()(y ix y y ie y y y x e z f xx++-=五、设023=+-ze zw w ,求22,dz w d dz dw .六、设⎪⎩⎪⎨⎧=≠++=0,00,)()(422z z y x iy x xy z f 试证)(z f 在原点满足柯西-黎曼方程,但却不可导.七、已知22y x v u -=-,试确定解析函数iv u z f +=)(.八、设s 和n 为平面向量,将s按逆时针方向旋转2π即得n .如果iv u z f +=)(为解析函数,则有s v n u n v s u ∂∂-=∂∂∂∂=∂∂,(s ∂∂与n∂∂分别表示沿s ,n 的方向导数).九、若函数)(z f 在上半平面内解析,试证函数)(z f 在下半平面内解析.十、解方程i z i z 4cos sin =+.第三章 复变函数的积分一、选择题:1.设c 为从原点沿x y =2至i +1的弧段,则=+⎰cdz iy x )(2( )(A )i 6561- (B )i 6561+- (C )i 6561-- (D )i 6561+ 2.设c 为不经过点1与1-的正向简单闭曲线,则dz z z zc⎰+-2)1)(1(为( ) (A )2i π (B )2iπ- (C )0 (D )(A)(B)(C)都有可能 3.设1:1=z c 为负向,3:2=z c 正向,则=⎰+=dz z zc c c 212sin ( ) (A ) i π2- (B )0 (C )i π2 (D )i π4 4.设c 为正向圆周2=z ,则=-⎰dz z zc 2)1(cos ( ) (A )1sin - (B )1sin (C )1sin 2i π- (D )1sin 2i π5.设c 为正向圆周21=z ,则=--⎰dz z z z c23)1(21cos( )(A ))1sin 1cos 3(2-i π (B )0 (C )1cos 6i π (D )1sin 2i π-6.设ξξξξd ze zf ⎰=-=4)(,其中4≠z ,则=')i f π(( ) (A )i π2- (B )1- (C )i π2 (D )17.设)(z f 在单连通域B 内处处解析且不为零,c 为B 内任何一条简单闭曲线,则积分dz z f z f z f z f c⎰+'+'')()()(2)( ( )(A )于i π2 (B )等于i π2- (C )等于0 (D )不能确定8.设c 是从0到i 21π+的直线段,则积分=⎰cz dz ze ( )(A )21eπ-(B) 21eπ-- (C)i e21π+(D) i e21π-9.设c 为正向圆周0222=-+x y x ,则=-⎰dz z z c1)4sin(2π( ) (A )i π22 (B )i π2 (C )0 (D )i π22- 10.设c 为正向圆周i a i z ≠=-,1,则=-⎰c dz i a zz 2)(cos ( ) (A )ie π2 (B )eiπ2 (C )0 (D )i i cos 11.设)(z f 在区域D 内解析,c 为D 内任一条正向简单闭曲线,它的内部全属于D .如果)(z f 在c 上的值为2,那么对c 内任一点0z ,)(0z f ( )(A )等于0 (B )等于1 (C )等于2 (D )不能确定 12.下列命题中,不正确的是( ) (A )积分⎰=--ra z dz az 1的值与半径)0(>r r 的大小无关 (B )2)(22≤+⎰cdz iy x ,其中c 为连接i -到i 的线段 (C )若在区域D 内有)()(z g z f =',则在D 内)(z g '存在且解析 (D )若)(z f 在10<<z 内解析,且沿任何圆周)10(:<<=r r z c 的积分等于零,则)(z f 在0=z 处解析13.设c 为任意实常数,那么由调和函数22y x u -=确定的解析函数iv u z f +=)(是 ( )(A)c iz +2(B ) ic iz +2(C )c z +2(D )ic z +214.下列命题中,正确的是( )(A )设21,v v 在区域D 内均为u 的共轭调和函数,则必有21v v = (B )解析函数的实部是虚部的共轭调和函数 (C )若iv u z f +=)(在区域D 内解析,则xu∂∂为D 内的调和函数 (D )以调和函数为实部与虚部的函数是解析函数15.设),(y x v 在区域D 内为),(y x u 的共轭调和函数,则下列函数中为D 内解析函数的是( )(A )),(),(y x iu y x v + (B )),(),(y x iu y x v -(C )),(),(y x iv y x u - (D )xv i x u ∂∂-∂∂二、填空题1.设c 为沿原点0=z 到点i z +=1的直线段,则=⎰cdz z 22.设c 为正向圆周14=-z ,则=-+-⎰c dz z z z 22)4(233.设⎰=-=2)2sin()(ξξξξπd zz f ,其中2≠z ,则=')3(f 4.设c 为正向圆周3=z ,则=+⎰cdz zzz 5.设c 为负向圆周4=z ,则=-⎰c zdz i z e 5)(π6.解析函数在圆心处的值等于它在圆周上的 7.设)(z f 在单连通域B 内连续,且对于B 内任何一条简单闭曲线c 都有0)(=⎰cdz z f ,那么)(z f 在B 内8.调和函数xy y x =),(ϕ的共轭调和函数为9.若函数23),(axy x y x u +=为某一解析函数的虚部,则常数=a10.设),(y x u 的共轭调和函数为),(y x v ,那么),(y x v 的共轭调和函数为三、计算积分 1.⎰=+-Rz dz z z z)2)(1(62,其中1,0≠>R R 且2≠R ; 2.⎰=++22422z z z dz.四、设)(z f 在单连通域B 内解析,且满足)(1)(1B x z f ∈<-.试证1.在B 内处处有0)(≠z f ; 2.对于B 内任意一条闭曲线c ,都有0)()(=''⎰cdz z f z f五、设)(z f 在圆域R a z <-内解析,若)0()()(max R r r M z f ra z <<==-,则),2,1()(!)()( =≤n rr M n a f nn .六、求积分⎰=1z zdz z e ,从而证明πθθπθ=⎰0cos )cos(sin d e .七、设)(z f 在复平面上处处解析且有界,对于任意给定的两个复数b a ,,试求极限⎰=+∞→--R z R dz b z a z z f ))(()(lim并由此推证)()(b f a f =(刘维尔Liouville 定理).八、设)(z f 在)1(><R R z 内解析,且2)0(,1)0(='=f f ,试计算积分⎰=+122)()1(z dz z z f z 并由此得出⎰πθθθ202)(2cos d e f i 之值.九、设iv u z f +=)(是z 的解析函数,证明222222222))(1()(4))(1ln())(1ln(z f z f y z f x z f +'=∂+∂+∂+∂.十、若)(22y x u u +=,试求解析函数iv u z f +=)(.第四章 级 数一、选择题:1.设),2,1(4)1( =++-=n n nia n n ,则n n a ∞→lim ( ) (A )等于0 (B )等于1 (C )等于i (D )不存在2.下列级数中,条件收敛的级数为( )(A )∑∞=+1)231(n ni (B )∑∞=+1!)43(n n n i(C ) ∑∞=1n nni (D )∑∞=++-11)1(n n n i3.下列级数中,绝对收敛的级数为( )(B ) ∑∞=+1)1(1n n in(B )∑∞=+-1]2)1([n n n i n (C)∑∞=2ln n nn i (D )∑∞=-12)1(n nn n i 4.若幂级数∑∞=0n n nz c在i z 21+=处收敛,那么该级数在2=z 处的敛散性为( )(A )绝对收敛 (B )条件收敛(C )发散 (D )不能确定 5.设幂级数∑∑∞=-∞=01,n n n n nn znc z c 和∑∞=++011n n n z n c 的收敛半径分别为321,,R R R ,则321,,R R R 之间的关系是( )(A )321R R R << (B )321R R R >> (C )321R R R <= (D )321R R R == 6.设10<<q ,则幂级数∑∞=02n n n z q 的收敛半径=R ( )(A )q (B )q1(C )0 (D )∞+ 7.幂级数∑∞=1)2(2sinn n z n n π的收敛半径=R ( ) (A ) 1 (B )2 (C )2 (D )∞+8.幂级数∑∞=++-011)1(n n n z n 在1<z 内的和函数为 (A ))1ln(z + (B ))1ln(z -(D )z +11ln(D) z-11ln 9.设函数z e z cos 的泰勒展开式为∑∞=0n n n z c ,那么幂级数∑∞=0n nn z c 的收敛半径=R ( )(A )∞+ (B )1 (C )2π(D )π 10.级数+++++22111z z z z的收敛域是( ) (A )1<z (B )10<<z (C )+∞<<z 1 (D )不存在的11.函数21z在1-=z 处的泰勒展开式为( ) (A ))11()1()1(11<++-∑∞=-z z n n n n(B ))11()1()1(111<++-∑∞=--z z n n n n(C ))11()1(11<++-∑∞=-z z n n n (D ))11()1(11<++∑∞=-z z n n n12.函数z sin ,在2π=z 处的泰勒展开式为( )(A ))2()2()!12()1(012+∞<--+-∑∞=+ππz z n n n n(B ))2()2()!2()1(02+∞<---∑∞=ππz z n n n n(C ))2()2()!12()1(0121+∞<--+-∑∞=++ππz z n n n n(D ))2()2()!2()1(021+∞<---∑∞=+ππz z n n n n13.设)(z f 在圆环域201:R z z R H <-<内的洛朗展开式为∑∞-∞=-n n nz z c)(0,c 为H 内绕0z 的任一条正向简单闭曲线,那么=-⎰c dz z z z f 20)()(( )(A)12-ic π (B )12ic π (C )22ic π (D ))(20z f i 'π14.若⎩⎨⎧--==-+= ,2,1,4,2,1,0,)1(3n n c nn n n ,则双边幂级数∑∞-∞=n nn z c 的收敛域为( ) (A )3141<<z (B )43<<z (C )+∞<<z 41 (D )+∞<<z 3115.设函数)4)(1(1)(++=z z z z f 在以原点为中心的圆环内的洛朗展开式有m 个,那么=m ( )(A )1 (B )2 (C )3 (D )4二、填空题 1.若幂级数∑∞=+0)(n n ni z c在i z =处发散,那么该级数在2=z 处的收敛性为 . 2.设幂级数∑∞=0n nnz c与∑∞=0)][Re(n n n z c 的收敛半径分别为1R 和2R ,那么1R 与2R 之间的关系是 . 3.幂级数∑∞=+012)2(n n nz i 的收敛半径=R4.设)(z f 在区域D 内解析,0z 为内的一点,d 为0z 到D 的边界上各点的最短距离,那么当d z z <-0时,∑∞=-=0)()(n n nz z cz f 成立,其中=n c .5.函数z arctan 在0=z 处的泰勒展开式为 . 6.设幂级数∑∞=0n nnz c的收敛半径为R ,那么幂级数∑∞=-0)12(n n n nz c 的收敛半径为 .7.双边幂级数∑∑∞=∞=--+--112)21()1()2(1)1(n n n nnz z 的收敛域为 . 8.函数zze e 1+在+∞<<z 0内洛朗展开式为 . 9.设函数z cot 在原点的去心邻域R z <<0内的洛朗展开式为∑∞-∞=n n nz c,那么该洛朗级数收敛域的外半径=R . 10.函数)(1i z z -在+∞<-<i z 1内的洛朗展开式为 .三、若函数211z z --在0=z 处的泰勒展开式为∑∞=0n nn z a ,则称{}n a 为菲波那契(Fibonacci)数列,试确定n a 满足的递推关系式,并明确给出n a 的表达式.四、试证明 1.);(11+∞<≤-≤-z ez ee zzz2.);1()1(1)3(<-≤-≤-z z e e z e z五、设函数)(z f 在圆域R z <内解析,∑==nk kk n z k f S 0)(!)0(试证 1.)()(21)(111R r z d z z f iz S n rn n n <<--=+=++⎰ξξξξξπξ.2.)()()(2)((11R r z d z f iz z S z f r n n n <<-=-⎰=++ξξξξπξ)。
复变函数习题总汇与参考答案第1章 复数与复变函数一、单项选择题1、假设Z 1=〔a, b 〕,Z 2=(c, d),那么Z 1·Z 2=〔C 〕 A 〔ac+bd, a 〕 B (ac-bd, b) C 〔ac-bd, ac+bd 〕 D (ac+bd, bc-ad)2、假设R>0,那么N 〔∞,R 〕={ z :〔D 〕} A |z|<R B 0<|z|<R C R<|z|<+∞ D |z|>R3、假设z=x+iy, 那么y=(D)A B C D4、假设A= ,那么|A|=〔C 〕A 3B 0C 1D 2二、填空题1、假设z=x+iy, w=z 2=u+iv, 那么v=〔 2xy 〕2、复平面上满足Rez=4的点集为〔 {z=x+iy|x=4} 〕3、〔 设E 为点集,假设它是开集,且是连通的,那么E 〕称为区域。
2zz +2z z -iz z 2+iz z 2-)1)(4()1)(4(i i i i +--+4、设z 0=x 0+iy 0, z n =x n +iy n (n=1,2,……),那么{z n }以z o 为极限的充分必要条件是 x n =x 0,且 y n =y 0。
三、计算题1、求复数-1-i 的实部、虚部、模与主辐角。
解:Re(-1-i)=-1 Im(-1-i)=-1 |-1-i|=2、写出复数-i 的三角式。
解:3、写出复数 的代数式。
解:4、求根式 的值。
+∞→n lim +∞→n limππ45|11|arctan ),1(12)1()1(=--+=--∴--=-+-i ary i 在第三象限 ππ23sin 23cos i i +=-i i i i i i i i i i i i i i i 212312121)1()1)(1()1(11--=--+-=⋅-++-+=-+-ii i i -+-11327-解:四、证明题1、证明假设 ,那么a 2+b 2=1。