第六章 课程习题与答案
- 格式:doc
- 大小:83.00 KB
- 文档页数:5
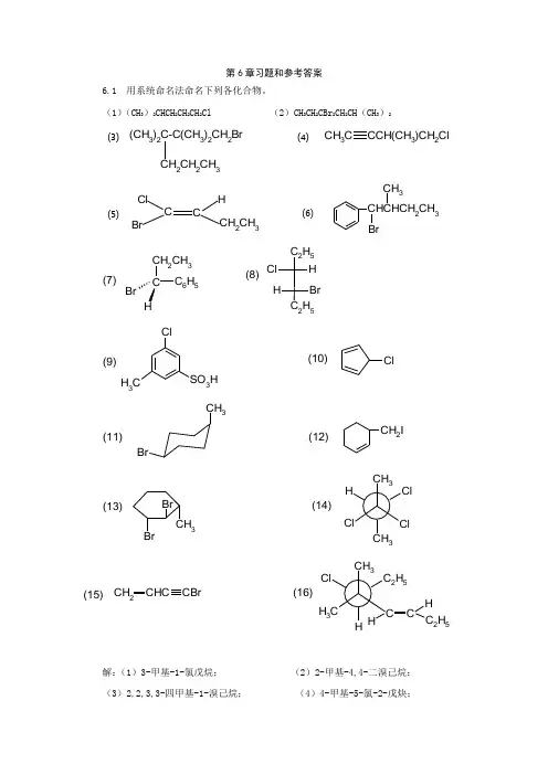
第6章习题和参考答案6.1 用系统命名法命名下列各化合物。
(1)(CH 3)2CHCH 2CH 2CH 2Cl (2)CH 3CH 2CBr 2CH 2CH (CH 3)2(CH 3)2C-C(CH 3)2CH 2Br2CH 2CH 3CH 3C CCH(CH 3)CH 2Cl⑶⑷CH Cl BrCH 2CH 3CHCHCH 2CH 3BrCH 3⑸⑹C 2H 52H 5H ClBr HCCH 2CH 3C 6H 5Br(7)(8)ClClCH 3SO 3H (9)(10)CH 3BrCH 2I(11)(12)CH 3ClClCl CH 3HBrCH 3Br (13)(14)CH 3CH 3C 2H 5H ClCHH C 2H 5CCH 2CHCCBr(15)(16)解:(1)3-甲基-1-氯戊烷; (2)2-甲基-4,4-二溴己烷; (3)2,2,3,3-四甲基-1-溴己烷; (4)4-甲基-5-氯-2-戊炔;(5)(Z)-1-氯-1-溴-1-丁烯;(6)2-甲基-1-苯基-1-溴丁烷;(7) (R )-1-苯基-1-溴丙烷; (8)(3R ,4R )-3-氯-4-溴己烷; (9) 3-甲基-5-氯苯磺酸; (10)5-氯-1,3-环己二烯; (11) 顺-1-甲基-4-溴环己烷; (12) 3-碘甲基环己烯(13) (1S ,2R ,3R )-1-甲基-2,3-二溴环己烷; (14) (S )-2,2,3-三氯丁烷 (15) 4-溴-1-丁烯-3-炔; (16) (3E ),(6R )-5,5-二甲基-6-溴-3-辛烯6.2 写出下列化合物的结构式。
(1) 异丙基氯; (2) 烯丙基溴; (3) β-苯基乙基溴; (4) 对氯苄基溴; (5) 新戊基碘; (6) 叔丁基氯(7) (S)-2-碘辛烷 (8) 6,7-二甲基-5-氯二环[3.2.1]辛烷 (9) 反-1-苯基-2-氯环己烷 (10) 1,2,3-三氯环己烷所有异构体的稳定构象解:CH 3CH 2CH 2CHCH 3ClBrCH 2CH CH 2(1)(2)CH 2CH 2Br CH 2BrCl(3)(4)C CH 2CH 3CH 3CH 3I C Cl CH 3CH 3CH 3(5)(6)C 6H 133I HCH 3C H 3ClClPh(9)(8)(7)ClClClClClClClClCl(10)6.3 写出1-溴丁烷与下列试剂反应的主要产物。
第六章测试题及参考答案一、选择题(每题2分,共10分)1. 下列哪项不是第六章讨论的内容?A. 理论基础B. 实验方法C. 历史回顾D. 应用实例答案:C2. 第六章中提到的主要理论是谁提出的?A. 牛顿B. 爱因斯坦C. 霍金D. 波尔答案:D3. 实验方法中,哪一种是第六章中特别强调的?A. 观察法B. 实验法C. 调查法D. 模拟法答案:B4. 以下哪个不是第六章中讨论的应用实例?A. 量子计算B. 人工智能C. 核能发电D. 基因编辑答案:B5. 第六章中,哪个概念是新引入的?A. 相对论B. 量子力学C. 牛顿力学D. 经典力学答案:B二、填空题(每题2分,共10分)1. 第六章中提到的______理论是现代物理学的基础之一。
答案:量子力学2. 实验方法中,______是获取数据的直接手段。
答案:实验法3. 在第六章的应用实例中,______是近年来发展迅速的领域。
答案:量子计算4. 历史回顾中,______的发现对于理解宇宙的起源具有重要意义。
答案:大爆炸理论5. 第六章中讨论的______理论对于解释微观粒子的行为至关重要。
答案:量子力学三、简答题(每题5分,共20分)1. 简述第六章中提到的量子力学的主要特点。
答案:量子力学的主要特点是波粒二象性、不确定性原理和量子纠缠等。
2. 描述第六章中讨论的实验方法的重要性。
答案:实验方法是验证理论、探索未知和推动科学发展的重要手段。
3. 列举第六章中提到的至少两个应用实例,并说明它们的重要性。
答案:量子计算和核能发电。
量子计算在处理复杂计算问题上具有潜在的革命性优势,而核能发电则为人类提供了一种清洁、高效的能源。
4. 根据第六章内容,解释为什么历史回顾对于理解现代科学理论至关重要。
答案:历史回顾有助于我们理解科学理论的发展脉络,了解前人的研究和发现,从而更好地理解现代科学理论的根基和意义。
四、论述题(每题15分,共30分)1. 论述第六章中提到的量子力学理论对于现代科技发展的影响。
七下数学第六章课本课后习题答案第六章:实数习题一:理解实数的概念1. 实数包括有理数和无理数。
有理数可以表示为两个整数的比,而无理数则不能表示为这种形式。
2. 无理数的例子包括圆周率π和黄金分割比φ。
3. 实数在数轴上可以找到对应的点,数轴上的每一个点都代表一个实数。
习题二:实数的分类1. 正实数:大于0的实数。
2. 负实数:小于0的实数。
3. 零:0是唯一的中性实数,既不是正数也不是负数。
习题三:实数的运算1. 加法:两个实数相加,正数与正数相加结果为正数,负数与负数相加结果为负数,正数与负数相加结果根据绝对值大小而定。
2. 减法:减去一个实数等于加上它的相反数。
3. 乘法:两个正数相乘结果为正数,两个负数相乘结果也为正数,正数与负数相乘结果为负数。
4. 除法:除以一个正数结果的符号与被除数相同,除以一个负数结果的符号与被除数相反。
习题四:实数的大小比较1. 所有正实数都大于0。
2. 所有负实数都小于0。
3. 正实数大于一切负实数。
4. 两个负实数,绝对值大的反而小。
习题五:平方根和立方根1. 平方根:一个数的平方根是另一个数,当这个数自乘时等于原数。
例如,4的平方根是2,因为2*2=4。
2. 立方根:一个数的立方根是另一个数,当这个数自乘三次等于原数。
例如,8的立方根是2,因为2*2*2=8。
习题六:无理数的近似1. 无理数通常需要用近似值来表示,例如π的近似值是3.14159。
2. 可以使用无限不循环小数来近似无理数,但要注意保留足够的位数以确保精度。
习题七:估算无理数的大小1. 估算无理数时,可以通过比较它与相邻的有理数来确定其大小。
2. 例如,π位于3和4之间,可以估计为3.14。
习题八:实数的四则运算法则1. 先进行乘除运算,再进行加减运算。
2. 同级运算,从左到右依次进行。
3. 括号内的运算优先级最高。
本章习题答案提供了对实数概念、分类、运算和估算的深入理解,帮助学生掌握实数的基本性质和运算规则。
特别提示:自信考试 诚信做人第六章 幼儿园课程一、填空题1、幼儿园课程是实现幼儿园 教育目的 的手段,是帮助幼儿获得有意的 学习经验 ,促进其身心全面和谐发展的 各种活动 的总和。
2、幼儿园课程内容的形态有: 教材 、 活动 、 经验 .3、在蒙台梭利的课程中,教育内容的组织是以 教具 为中心的,课程的实施是以 环境 为基础的.4、_________活动_____也称经验课程或儿童中心课程,是以儿童的主体性活动的经验为中心组织的课程。
5、儿园课程具有 目标的全面性、启蒙性 ; 内容的生活、性浅显性;结构的整体性、综合性 、 实施的活动性、经验性 等特点。
6、幼儿园课程中常见的目标取向有: 行为 、 生成、 表现 。
7、幼儿园课程内容是实现幼儿园课程目标的 手段和中介 ,主要解决教师 教什么 和幼儿 学什么 的问题。
8、幼儿园课程内容的取向主要有三种: 教材 、 活动 、 经验 。
9、幼儿园课程内容选择的原则有: 基础性 、 生活性 、 心理性 . 10、幼儿园课程实施的取向主要有:忠实 、 相互适应 、 创生 . 11、 自由 、 作业 和 秩序 是蒙台梭利儿童教育的三根支柱. 12、蒙台梭利课程中教师是(环境的创设者、 观察者 、 示范者 、 指导者 。
13、 方案活动 是瑞吉欧课程与教学的主要特色.14、瑞吉欧教育中教师是幼儿的 引导者 、 伙伴 、 研究者 ,还是材料的 提供者 、 幼儿行为的记录者 。
二、选择题1、幼儿园课程的基本形式是( B )。
A 、上课B 、游戏C 、活动D 、参观2、幼儿需要通过与客观事物的相互作用来学习,因此,幼儿的学习具有明显的( D )A 、教师讲授B 、幼儿自学C 、幼儿的间接经验D 、幼儿的直接经验 3、蒙台梭利教育内容中最重要、最有特色的部分是( C )A 、文化科学教育B 、日常生活练习C 、感官教育D 、语文教育 4、下列幼儿园课程方案中,( D )没有明确规定课程内容,更没有固定的“教材”。
第六章、单项选择题3 .年劳动生产率x (干元)和工人工资y=10+70x ,这意味着年劳动生产率每提高1千元时,工人工资平均()A 增加70元B 减少70元C 增加80元D 减少80元4.若要证明两变量之间线性相关程度高,则计算出的相关系数应接近于 ()A +1B -1C 0.5D _15•回归系数和相关系数的符号是一致的,其符号均可用来判断现象 ()A 线性相关还是非线性相关B 正相关还是负相关C 完全相关还是不完全相关D 单相关还是复相关6•某校经济管理类的学生学习统计学的时间 (x )与考试成绩(y )之间建立线性回归方程1. 下面的函数关系是() A 现代化水平与劳动生产率 C 家庭的收入和消费的关系2. 相关系数r 的取值范围() A - 8< r <+8C -1< r < +1B 圆周的长度决定于它的半径 D 亩产量与施肥量B -K r < +1D 0< r < +1 ? =a+bx 。
经计算,方程为 ? =200A a 值是明显不对的C a 值和b 值都是不对的0.8x ,该方程参数的计算() B b 值是明显不对的 D a 值和b 值都是正确的7.在线性相关的条件下,自变量的均方差为 0.8时,则其回归系数为:()A 8B 0.32C 2D 12. 5&进行相关分析,要求相关的两个变量 2,因变量均方差为5,而相关系数为A 都是随机的C 一个是随机的,一个不是随机的 9•下列关系中,属于正相关关系的有(A 合理限度内,施肥量和平均单产量之间的关系B 产品产量与单位产品成本之间的关系C 商品的流通费用与销售利润之间的关系()B 都不是随机的 D 随机或不随机都可以D流通费用率与商品销售量之间的关系10.相关分析是研究( )A变量之间的数量关系B变量之间的变动关系C变量之间的相互关系的密切程度D变量之间的因果关系11.在回归直线y c=a+bx, b<0,则x 与y之间的相关系数( )A r=0B r=lC 0< r<1D -1< r <012.当相关系数r=0 时,表明( )A现象之间完全无关B相关程度较小C现象之间完全相关D无直线相关关系13.下列现象的相关密切程度最高的是( )A某商店的职工人数与商品销售额之间的相关系数0.87B流通费用水平与利润率之间的相关系数为-0.94C商品销售额与利润率之间的相关系数为0.51D商品销售额与流通费用水平的相关系数为-0.8114.估计标准误差是反映( )A平均数代表性的指标B相关关系的指标C回归直线方程的代表性指标D序时平均数代表性指标二、多项选择题1.下列哪些现象之间的关系为相关关系( )A家庭收入与消费支出关系B圆的面积与它的半径关系C广告支出与商品销售额关系D商品价格一定,商品销售与额商品销售量关系2.相关系数表明两个变量之间的( )A因果关系C变异程度D相关方向E相关的密切程度3.对于一元线性回归分析来说( )A两变量之间必须明确哪个是自变量,哪个是因变量B回归方程是据以利用自变量的给定值来估计和预测因变量的平均可能值C可能存在着y依x和x依y的两个回归方程D回归系数只有正号4.可用来判断现象线性相关方向的指标有( )A相关系数B回归系数C回归方程参数a D估计标准误5•单位成本(元)依产量(千件)变化的回归方程为y c=78- 2x,这表示()A产量为1000件时,单位成本76元B 产量为1000 件时,单位成本78 元C产量每增加1000件时,单位成本下降2元D产量每增加1000件时,单位成本下降78元6.估计标准误的作用是表明( )A样本的变异程度B回归方程的代表性C估计值与实际值的平均误差D样本指标的代表性7.销售额与流通费用率,在一定条件下,存在相关关系,这种相关关系属于( )A完全相关B单相关C负相关D复相关8.在直线相关和回归分析中( )A据同一资料,相关系数只能计算一个B 据同一资料,相关系数可以计算两个C据同一资料,回归方程只能配合一个D据同一资料,回归方程随自变量与因变量的确定不同,可能配合两个9.相关系数r 的数值( ) A可为正值B可为负值C可大于1 D可等于-110.从变量之间相互关系的表现形式看,相关关系可分为( )A正相关B负相关C直线相关D曲线相关11.确定直线回归方程必须满足的条件是( )A现象间确实存在数量上的相互依存关系B 相关系数r 必须等于 1C y与x必须同方向变化D现象间存在着较密切的直线相关关系12.当两个现象完全相关时,下列统计指标值可能为( ) A r=1 B r=0 C r=-1 D S y=013.在直线回归分析中,确定直线回归方程的两个变量必须是( )A一个自变量,一个因变量 B 均为随机变量C对等关系D 一个是随机变量,一个是可控制变量14.配合直线回归方程是为了()A确定两个变量之间的变动关系 B 用因变量推算自变量C用自变量推算因变量 D 两个变量都是随机的15.在直线回归方程中( )A在两个变量中须确定自变量和因变量B一个回归方程只能作一种推算C要求自变量是给定的,而因变量是随机的。
管理学作业第六章简述计划的概念(名词和动词)及其性质。
[中山大学2011年研、上海交大2005年研、吉林大学2012年研]计划的含义: 计划是对未来行动的说明。
名词意义上——用文字和指标等形式所表述的,在未来一定时期内组织以及组织内不同部门和不同成员,关于行动方向、内容和方式安排的管理文件。
(做什么?)计划既是决策所确定的组织未来一定时期内的行动目标和方式在时间和空间的进一步展开,又是组织、领导、控制和创新等管理活动的基础。
动词意义上——为了实现决策所确定的目标,预先进行的行动安排。
(怎么做?)这项行动安排工作包括:在时间和空间两个维度上进一步分解任务和目标,选择任务和目标的实现方式,规定进度,检查与控制行动结果等。
性质:(1)目标性:计划工作为实现组织目标服务(2)首位性:计划工业是管理活动的桥梁,是组织、领导和控制等管理活动的基础(3)计划工作具有普遍性和秩序性:(4)效率性:计划工作要追求效率理解计划的类型及其作用。
(一)长期计划和短期计划长期计划描述了组织在较长时期(通常为五年以上)的发展方向和方针,规定了组织的各个部门在较长时期内从事某种活动应达到的目标和要求,绘制了组织长期发展的蓝图。
短期计划具体地规定了组织的各个部门在目前到未来的各个较短的时期阶段,特别是最近的时段中,应该从事何种活动,从事该种活动应达到何种要求,因而为各组织成员在近期内的行动提供了依据。
(二)业务计划长期生产计划安排了企业生产规模的扩张及实施步骤,短期生产计划则主要涉及不同车间、班组的季、月、旬乃至周的作业进度安排;长期营销计划关系到推销方式或销售渠道的选择与建立,而短期营销计划则为在现有营销手段和网络的充分利用。
(三)财务计划和人事计划长期人事计划要研究如何保证组织的发展提高成员的素质,准备必要的干部力量,短期人事计划则要研究如何将具备不同素质特点的组织成员安排在不同的岗位上,使他们的能力和积极性得到充分的发挥。
概率论第六章课后习题答案概率论第六章课后习题答案概率论是一门研究随机现象的数学分支,它在解决实际问题中具有广泛的应用。
第六章是概率论中的重要章节,主要涉及随机变量及其概率分布、数学期望和方差等内容。
在课后习题中,我们将通过解答一些典型问题,进一步加深对这些概念的理解。
1. 随机变量X的概率分布函数为F(x) ={ 0, x < 0{ 1/4, 0 ≤ x < 1{ 1/2, 1 ≤ x < 2{ 3/4, 2 ≤ x < 3{ 1, x ≥ 3(1) 求随机变量X的概率密度函数f(x)。
(2) 求P(0.5 ≤ X ≤ 2.5)。
解:(1) 概率密度函数f(x)是概率分布函数F(x)的导数。
根据导数的定义,我们可以得到:f(x) ={ 0, x < 0{ 1/4, 0 ≤ x < 1{ 1/2, 1 ≤ x < 2{ 1/4, 2 ≤ x < 3{ 0, x ≥ 3(2) P(0.5 ≤ X ≤ 2.5) = F(2.5) - F(0.5) = 3/4 - 1/4 = 1/2 2. 设随机变量X的概率密度函数为f(x) ={ c(1 - x^2), -1 ≤ x ≤ 1{ 0, 其他(1) 求常数c的值。
(2) 求P(|X| > 0.5)。
解:(1) 概率密度函数f(x)的积分值等于1。
我们可以计算:∫[-1,1] c(1 - x^2) dx = 1解这个积分方程,可得c = 3/4。
(2) P(|X| > 0.5) = 1 - P(|X| ≤ 0.5)= 1 - ∫[-0.5,0.5] c(1 - x^2) dx= 1 - 3/4 ∫[-0.5,0.5] (1 - x^2) dx= 1 - 3/4 [x - x^3/3] |[-0.5,0.5]= 1 - 3/4 [(0.5 - 0.5^3/3) - (-0.5 + 0.5^3/3)] = 1 - 3/4 [0.5 - 0.5/3 - (-0.5 + 0.5/3)]= 1 - 3/4 [1/3]= 1 - 1/4= 3/43. 设随机变量X的概率密度函数为f(x) ={ kx^2, 0 ≤ x ≤ 2{ 0, 其他(1) 求常数k的值。
第六章习题解答6-1 解:首先写出S 点的振动方程 若选向上为正方向,则有:0c o s02.001.0ϕ=- 21cos 0-=ϕ,0s i n 00>-=ϕωυA 0sin 0<ϕ 即 πϕ320-=或π34 初始相位 πϕ320-=则 m t y s )32cos(02.0πω-=再建立如图题6-1(a)所示坐标系,坐标原点选在S 点,沿x 轴正向取任一P 点,该点振动位相将落后于S 点,滞后时间为: ux t =∆则该波的波动方程为:m u x t y ⎥⎦⎤⎢⎣⎡--=πω32)(cos 02.0若坐标原点不选在S 点,如习题6-1图(b )所示,P 点仍选在S 点右方,则P 点振动落后于S 点的时间为: uL x t -=∆则该波的波方程为:m uL x t y ⎥⎦⎤⎢⎣⎡---=πω32)(cos 02.0若P 点选在S 点左侧,P 点比S 点超前时间为ux L -,如习题6-1图(c)所示,则⎥⎦⎤⎢⎣⎡--+=πω32)(cos 02.0u x L t y⎥⎦⎤⎢⎣⎡---=πω32)(cos 02.0uL x t∴不管P 点在S 点左边还是右边,波动方程为: ⎥⎦⎤⎢⎣⎡---=πω32)(cos 02.0uL x t y6-2 解(1)由习题6-2图可知, 波长 m 8.0=λ 振幅A=0.5m习题6-1图习题6-1图频率 Hz 125Hz 8.0100===λuv周期 s 10813-⨯==vT ππυω2502==(2)平面简谐波标准波动方程为: ⎥⎦⎤⎢⎣⎡+-=ϕω)(cos u xt A y 由图可知,当t=0,x=0时,y=A=0.5m ,故0=ϕ。
将ϕπωω、、、u v A )2(=代入波动方程,得:m )100(250cos 5.0⎥⎦⎤⎢⎣⎡-=x t y π(3) x =0.4m 处质点振动方程.⎥⎦⎤⎢⎣⎡-=)1004.0(250cos 5.0t y π m )250cos(5.0ππ-=t6-3 解(1)由习题6-3图可知,对于O 点,t=0时,y=0,故2πϕ±=再由该列波的传播方向可知,00<υ取 2πϕ=由习题6-3图可知,,40.0m OP ==λ且u=0.08m/s ,则ππλππω52rad/s 40.008.0222====u v rad/s可得O 点振动表达式为:m t y )252cos(04.00ππ+=(2) 已知该波沿x 轴正方向传播,u=0.08m/s,以及O 点振动表达式,波动方程为:m x t y ⎥⎦⎤⎢⎣⎡+-=2)08.0(52cos 04.0ππ(3) 将40.0==λx 代入上式,即为P 点振动方程:m t y y p ⎥⎦⎤⎢⎣⎡+==ππ2152cos 04.00 (4)习题6-3图中虚线为下一时刻波形,由图可知,a 点向下运动,b 点向上运动。
第六章习题6-11、由一致估计的定义,对0ε∀>{}{}{}()1212max ,,,max ,,,n n P X X X P X X X θεεθεθ-<=-+<<+()()F F εθεθ=+--+()0, 0, 01, X x xF x x x θθθ<⎧⎪=≤≤⎨⎪>⎩及(){}()()()()1212max ,,,n n X X X X X X F x F x F x F x F x ==⋅⋅⋅()1F εθ∴+=(){}()12max ,,,1nn x F P X X X εθεθθ⎫⎛-+=<-+≈- ⎪⎝⎭{}()12max ,,,111()nn x P X X X n θεθ⎫⎛∴-<=--→→∞ ⎪⎝⎭2、证明:EX μ=()1111111ni i n n i i i i nn n i i i i i i i i a X E a E X a a a a μμ======⎫⎛⎪ ⎪ ==⋅=⎪ ⎪⎝⎭∑∑∑∑∑∑ 11niii nii a Xa==∴∑∑是μ的无偏估计量3、证明: ()() ()()22D E E θθθ=-()() ()()()2222E D E D θθθθθθ∴=+=+> 2θ∴不是2θ的无偏估计量4、证明:()~X P λEX λ∴=,()()222E X DX EX λλ=+=+()22E X EX λ∴-=,即()22E X X λ-=用样本矩2211n i i A X n ==∑,1A X =代替相应的总体矩()2E X 、EX所以得2λ的无偏估计量: 22111n i i A A X X n λ==-=-∑ 5、()~,X B n p ,EX np ∴=()()()()22222111E X np p n p np n n p EX n n p =-+=+-=+-()()()()222111E X EX E X X p n n n n -⎫⎛∴=-=⎪ --⎝⎭所以用样本矩2211n i i A X n ==∑,1A X =分别代替总体矩()2E X 、EX得2p 的无偏估计量: ()()()222121111ni i i A A p X X n n n n =-==---∑6、()~,1X N m ,()i E X m ∴=,()1i D X =,(1,2)i =()()()11212212121333333E m E X X E X E X m m m ⎫⎛∴=+=+=+= ⎪⎝⎭()()()1121221414153399999D m D X X D X D X ⎫⎛=+=+=+= ⎪⎝⎭同理可得: ()2E m m =, ()258D m =, ()3E m m =, ()212D m =123,,m m m ∴都是m 的无偏估计量,且在 123,,m m m 中, 3m 的方差最小习题6-21、(1)()11cccEX x c xdx cx dx θθθθθθθθ+∞+∞-+-=⋅==-⎰⎰EXEX cθ∴=-,令X EX =X X c θ∴=-为矩估计量,θ的矩估计值为 x x cθ=-,其中11n i i x x n ==∑似然函数为:()()11211,,,;nnn n n ii i i L x x x c xcx θθθθθθθ-+-====∏∏ ,i x c > 对数似然函数:()()()1ln ln ln 1ln nii L n n c x θθθθ==+-+∑求导,并令其为0,得:1ln ln ln 0ni i d L nn c x d θθ==+-=∑ 1ln ln Lnii nx n cθ=∴=-∑,即θ的最大似然估计量为 1ln ln Lnii nXn cθ==-∑(2)21111EX EX x x dx EX θθθθθ-⎫⎛=⋅=⇒= ⎪--⎝⎭⎰ 以X EX =,得: 21X X θ⎫⎛=⎪ -⎝⎭为θ的矩估计量θ的矩估计值为: 21x x θ⎫⎛=⎪ -⎝⎭,其中11ni i x x n ==∑ 而()1121211,,,;n nnn i i i i L x x x x x θθθθθ--==⎫⎛==⎪⎝⎭∏∏ ,01i x ≤≤()()1ln ln 1ln 2nii nL x θθθ=∴=+-∑令1ln 11ln 022ni i d L n x d θθθ==+⋅⋅=∑, 21ln L ni i n x θ=⎫⎛⎪ ⎪ ∴=⎪⎪⎝⎭∑ 所以θ的最大似然估计量 21ln L ni i n x θ=⎫⎛⎪ ⎪ =⎪ ⎪⎝⎭∑ (3)()~,X B m p ,EXEX mp p m∴=⇒=p ∴的矩估计量: 111n i i X p X X m mn m====∑p ∴的矩估计值为: 11n i i p x mn ==∑ 而()()()111211,,,;11nniii i ii i i nnx m x m x x x x n mm i i L x x x p Cpp C pp ==--==∑∑=-=⋅⋅-∏∏ ,0,1,,ix m = ()()()111ln ln ln ln 1i nnn x mi i i i i L p C x p m x p ====+⋅+-⋅-∑∑∑令() 111ln 111101n n n i i L ii i i d L x m x p x x dp p p mn m ====⋅--⋅=⇒==-∑∑∑ p ∴的最大似然估计量为: 1L p X m=2、(1)()01;2EX xf x dx xdx θθθθ+∞-∞===⎰⎰令11n i i EX X X n ===∑,22X X θθ∴=⇒=2X θ∴= (2)由观测的样本值得:6111(0.30.80.270.350.620.55)0.481766i i x x ===+++++≈∑20.9634x θ∴== 3、由1111122EX X θθθθθ+=⨯+⨯++⨯== 21X θ∴=-为θ的矩估计量 4、设p :抽得废品的概率;1p -:抽得正品的概率 引入{1, i i X i =第次抽到废品0,第次抽到正品,1,2,,60i =()1i P X p ∴==,()01i P X p ==-,且i EX p =所以对样本1260,,,X X X 的一个观测值1260,,,x x x由矩估计法得,p 的估计值为: 601141606015ii p x ====∑,即这批产品的废品率为1155、()()2212213132EX θθθθθ=⨯+⨯-+⨯-=-,()1412133x =⨯++=EX x = , 3526x θ-∴==为矩估计值 ()()()()()()()34511223312121i i i L P X x P X x P X x P X x θθθθθθ========⋅⋅-=-∏()()ln ln25ln ln 1L θθθ=++-令() ln 1155016Ld L d θθθθθ=⨯-=⇒=- 6、(1)λ的最大似然估计 LX λ=, ()0LX P X e e λ--∴=== (2)设X :一个扳道员在五年内引起的严重事故的次数()~X P λ∴,122n =得样本均值:5011(044142221394452) 1.123122122r r x r s ==⨯⋅=⨯⨯+⨯+⨯+⨯+⨯+⨯=∑()1.12300.3253x P X e e --∴====习题6-33、从总体中抽取容量为n 的样本12,,,n X X X 由中心极限定理:()~0,1,/X U N n nμσ-=→∞(1)当2σ已知时,近似得到μ的置信度为1α-的置信区间为:22,X u X u n n αασσ⎫⎛-⋅+⋅⎪ ⎝⎭ (2)当2σ未知时,用2σ的无偏点估计2s 代替2σ:~(0,1),/X N n s nμ-→∞于是得到μ的置信度为1α-的置信区间为:22,s s X u X u n n αα⎫⎛-⋅+⋅⎪ ⎝⎭一般要求30n ≥才能使用上述公式,称为大样本区间估计 4、40n = 属于大样本,2,X N n σμ⎫⎛∴⎪ ⎝⎭ 近似μ∴的95%的置信区间近似为:2x u n ασ⎫⎛±⋅⎪ ⎝⎭其中642x =,3σ=,40 6.32n =≈,21.96u α=()23642 1.966420.9340x u n ασ⎫⎛⎫⎛∴±⋅=±⨯≈±⎪ ⎪⎝⎭⎝⎭故μ的95%的置信区间上限为642.93,下限为641.075、100n =属于大样本,2~,X N n σμ⎛⎫∴ ⎪⎝⎭近似μ∴的99%的置信区间近似为:2x u n ασ⎫⎛±⋅⎪ ⎝⎭其中10x =,3σ=,100n =,22.58u α=()()2310 2.58100.7749.226,10.774100x u n ασ⎛⎫⎛⎫∴±⋅=±⨯=±= ⎪ ⎪⎝⎭⎝⎭由此可知最少要准备10.77410000107740()kg ⨯=这种商品,才能以0.99的概率满足要求。
第6章课后习题答案6-1解顶圆直径
齿高
齿顶厚
齿槽夹角
棘爪长度
图6.1 题6-1解图6-2解拔盘转每转时间
槽轮机构的运动特性系数
槽轮的运动时间
槽轮的静止时间
6-3解槽轮机构的运动特性系数
因:所以
6-4解要保证则槽轮机构的运动特性系数应为
因得,则
槽数和拔盘的圆销数之间的关系应为:
由此得当取槽数~8时,满足运动时间等于停歇时间的组合只有一种:,。
6-5 解:
机构类型工作特点结构、运动及动力性能适用场合
棘轮机构摇杆的往复摆动变成棘轮的单向间
歇转动
结构简单、加工方便,运
动可靠,但冲击、噪音大,
运动精度低
适用于低速、转角不大场
合,如转位、分度以及超
越等。
槽轮机构拨盘的连续转动变成槽轮的间歇转
动
结构简单,效率高,传动
较平稳,但有柔性冲击
用于转速不高的轻工机械
中
不完全齿轮机构从动轮的运动时间和静止时间的比
例可在较大范围内变化
需专用设备加工,有较大
冲击
用于具有特殊要求的专用
机械中
凸轮式间歇运动
机构只要适当设计出凸轮的轮廓,就能获
得预期的运动规律。
运转平稳、定位精度高,
动荷小,但结构较复杂
可用于载荷较大的场合。
第六章幼儿园课程1、关于课程,下列说法错误的是()A.学生是课程的主体B.课程是师生双向互动的实践活动过程C.课程即课程表D.课程是实现教育目标的手段2、关于素质的说法错误的是()A.素质具有整体性和潜在性B.素质具有稳定性、不可变C.幼儿园课程能促进幼儿素质的发展D.素质具有基础性3、课程的轴心是(),它决定着课程的方向和状态A.课程目标B.课程内容C.课程形式D.教育目的4、幼儿园课程内容最内在的形态是()A.知识经验B.活动C.人、事、物的现象与情境D.现实生活情境5、计划拟定的重点是()A.学年计划B.学期计划C.一日计划D.具体教育活动计划6、社会生活常识的学习以()最好A.直接教学B.间接教学C.集体活动D.课堂教学7、最为经济的组织形式是()A.集体活动B.直接教学C.小组活动D.个别活动8、下列观点不正确的是()A.幼儿可以不参加任何兴趣小组活动,家长和教师不能强迫B.幼儿园个课程的目标、内容及组织可由每个幼儿园自己定C.因为幼儿园不存在考试,所以幼儿园的教育是素质教育D.幼儿园课程是基础教育课程的基本部分9、哪种课程内容的方式有利于幼儿直接经验的发展()A.分科课程B.核心课程C.活动课程D.选修课程10、教育结构性最高的活动是()A.教师专门组织的活动B.幼儿自选活动C.幼儿自发自主活动11、下列教育观点不正确的是()A.评价是为了发现问题和解决问题B.课程评价中教师即是评价者又是被评价者C.在评价过程中要尊重幼儿的主体地位D.幼儿的接受学习是指幼儿主要通过教师的言语讲授获得知识的学习方式,是被动的让幼儿学习,应予以取缔12、幼儿园课程实施的具体途径是()A.幼儿园教育活动B.幼儿园教学C.上课D.游戏13、研究幼儿园课程要解决的基本问题有()①幼儿园应努力达到什么样的目标②提供哪些内容才能达到预定的目标③如何有效地组织教育内容④如何确定教育目标是否达成A.①②B.③④C.①②③D.①②③④14、课程是指在学校教师的直接和间接指导下,出现的学习者与()相互作用的学习活动的总和A.教育者B.教育环境C.教育内容D.教材教具15、()是实现幼儿教育目标的手段,是帮助幼儿获得有益的学习经验,以促进其身心全面和谐发展的各种活动的总和。
第六章幼儿园课程1、关于课程,下列说法错误的是()A.学生是课程的主体B.课程时师生双向互动的实践活动过程C.课程即课程表D.课程时实现教育目标的手段2、关于素质的说法错误的是()A.素质具有整体性和潜在性B.素质具有稳定性、不可变C.幼儿园课程能促进幼儿素质的发展D.素质具有基础性3、课程的轴心是(),它决定着课程的方向和状态A.课程目标B.课程内容C.课程形式D.教育目的4、幼儿园课程内容最内在的形态是()A.知识经验B.活动C.人、事、物的现象与情境D.现实生活情境5、计划拟定的重点是()A.学年计划B.学期计划C.一日计划D.具体教育活动计划6、社会生活常识的学习以()最好A.直接教学B.间接教学C.集体活动D.课堂教学7、最为经济的组织形式是()A.集体活动B.直接教学C.小组活动D.个别活动8、下列观点不正确的是()A.幼儿可以不参加任何兴趣小组活动,家长和教师不能强迫B.幼儿园个课程的目标、内容及组织可由每个幼儿园自己定C.因为幼儿园不存在考试,所以幼儿园的教育是素质教育D.幼儿园课程是基础教育课程的基本部分9、哪种课程内容的方式有利于幼儿直接经验的发展()A.分科课程B.核心课程C.活动课程D.选修课程10、教育结构性最高的活动是()A.教师专门组织的活动B.幼儿自选活动C.幼儿自发自主活动11、下列教育观点不正确的是()A.评价是为了发现问题和解决问题B.课程评价中教师即是评价者又是被评价者C.在评价过程中要尊重幼儿的主体地位D.幼儿的接受学习是指幼儿主要通过教师的言语讲授获得知识的学习方式,是被动的让幼儿学习,应予以取缔12、幼儿园课程实施的具体途径是()A.幼儿园教育活动B.幼儿园教学C.上课D.游戏13、研究幼儿园课程要解决的基本问题有()①幼儿园应努力达到什么样的目标②提供哪些内容才能达到预定的目标③如何有效地组织教育内容④如何确定教育目标是否达成A.①②B.③④C.①②③D.①②③④14、课程是指在学校教师的直接和间接指导下,出现的学习者与()相互作用的学习活动的总和A.教育者B.教育环境C.教育内容D.教材教具15、()是实现幼儿教育目标的手段,是帮助幼儿获得有益的学习经验,以促进其身心全面和谐发展的各种活动的总和。
第六章课程一、单项选择题1、被称为“课程评价之父”的教育家是()A 杜威B 斯塔弗尔比姆C 泰勒D 斐斯泰洛齐2、把课程分为必修课程和选修课程的依据是()A 课程任务B 课程制定者C 课程设置的要求D课程管理层次3、美国各门课程中多样化的实践活动、日本的总和活动实践反映出对()在课程中地位的重视。
A 知识B 能力C 直接经验D 间接经验4、欧洲中世纪的宗教神学课程和工业革命后的以自然科学为基础的课程属于课程类别中的()A 学科课程B 活动课程C 综合课程D 融合课程5、布鲁纳认为,无论选择何种学科,都务必使学生理解该学科的基本结构。
依次而建立的课程理论是()A 百科全书式课程理论B 综合课程理论C 实用主义课程理论D 结构主义课程理论6、最早把评价引入课程编制过程之中的是() A 泰勒 B 罗杰斯 C 布鲁姆 D 布鲁纳7、课程文件的三个层次是()A 教学计划—教学大纲—教科书B 课程总目标—领域目标—学科目标C 课程目的—课程评价—课程实施D 知识—经验—活动8、能解决教育中无儿童,见物不见人倾向的课程观是()A 课程是知识B 课程是计划C 课程是活动D 课程是项目9、我国中小学普遍实行的学科课程及相应的理论,是()的表现。
A 课程是知识B课程是经验C课程是活动 D 课程是项目10、在具体实施国家课程和地方课程的前提下,通过对本校学生的要求进行科学评估,充分利用当地社区和学校的课程资源而开发的多样性的可供学生选择的课程是()A 国家课程B 地方课程C 学校课程D 基础型课程11、被称为课程论经典的学术着作是泰勒的()A《课程与教学的基本原理》B《教育目标分类学》C《教育过程》D《教学与一般发展》12、()是最自觉、清醒地论证了直接经验在个人成长的意义,并将儿童个体的直接经验加以规范和具体化课程并且付诸实践的教育家。
A 泰勒 B 桑代克 C 斯金纳 D 杜威13、课程论与心理学的联系,最早可以追溯到()A 柏拉图 B 毕达哥拉斯 C 苏格拉底 D 亚里士多德14、在《课程与教学的基本原理》中提出的关于课程编制的四个问题被称为()A 杜威原理B 泰勒原理C 斯宾塞原理D 赫尔巴特原理15、以纲要的形式编订有关学科教学内容的教学指导性文件,被称为()A 课程标准B 课程计划C 教材D 教科书16、教科书编写遵循的原则为()A 科学性、操作性、基础性、适用性B 普遍性、思想性、基础性、适用性C 科学性、思想性、基础性、适用性D 科学性、思想性、强制性、适用性17、把课程计划付诸实践的过程,属于(课程实施)A.课程目标 B 斯宾塞 C 赫尔巴特 D 杜威19、下列不属于课程表安排应遵循的原则的是()A 整体性原则B 迁移性原则C 生理适宜原则D 合理性原则20、下列属于一级课程的是() A 国家课程B地方课程 C 学校课程 D 基础型课程21、下列哪个国家在1988年改革之前,既没有统一的国家课程标准,更没有统一的国家课程计划()A 德国B 美国C 加拿大D 英国22、在我国,中小学教科书长期以来采用国定制,一直持续到()。
第六章幼儿园课程1、关于课程,下列说法错误的是()A.学生是课程的主体B.课程时师生双向互动的实践活动过程C.课程即课程表D.课程时实现教育目标的手段2、关于素质的说法错误的是()A.素质具有整体性和潜在性B.素质具有稳定性、不可变C.幼儿园课程能促进幼儿素质的发展D.素质具有基础性3、课程的轴心是(),它决定着课程的方向和状态A.课程目标B.课程内容C.课程形式D.教育目的4、幼儿园课程内容最内在的形态是()A.知识经验B.活动C.人、事、物的现象与情境D.现实生活情境5、计划拟定的重点是()A.学年计划B.学期计划C.一日计划D.具体教育活动计划6、社会生活常识的学习以()最好A.直接教学B.间接教学C.集体活动D.课堂教学7、最为经济的组织形式是()A.集体活动B.直接教学C.小组活动D.个别活动8、下列观点不正确的是()A.幼儿可以不参加任何兴趣小组活动,家长和教师不能强迫B.幼儿园个课程的目标、内容及组织可由每个幼儿园自己定C.因为幼儿园不存在考试,所以幼儿园的教育是素质教育D.幼儿园课程是基础教育课程的基本部分9、哪种课程内容的方式有利于幼儿直接经验的发展()A.分科课程B.核心课程C.活动课程D.选修课程10、教育结构性最高的活动是()A.教师专门组织的活动B.幼儿自选活动C.幼儿自发自主活动11、下列教育观点不正确的是()A.评价是为了发现问题和解决问题B.课程评价中教师即是评价者又是被评价者C.在评价过程中要尊重幼儿的主体地位D.幼儿的接受学习是指幼儿主要通过教师的言语讲授获得知识的学习方式,是被动的让幼儿学习,应予以取缔12、幼儿园课程实施的具体途径是()A.幼儿园教育活动B.幼儿园教学C.上课D.游戏13、研究幼儿园课程要解决的基本问题有()①幼儿园应努力达到什么样的目标②提供哪些内容才能达到预定的目标③如何有效地组织教育内容④如何确定教育目标是否达成A.①②B.③④C.①②③D.①②③④14、课程是指在学校教师的直接和间接指导下,出现的学习者与()相互作用的学习活动的总和A.教育者B.教育环境C.教育内容D.教材教具15、()是实现幼儿教育目标的手段,是帮助幼儿获得有益的学习经验,以促进其身心全面和谐发展的各种活动的总和。
第六章账务处理程序课后练习答案一、单项选择题1[答案]:B[解析]:科目汇总表账务处理程序的优点:可以简化总分类账的登记工作,减轻了登记总分类账的工作量,并可以做到试算平衡,简明易懂,方便易学。
科目汇总表账务处理程序不能清晰地反映各科目的对应关系,这是它的缺点。
2答案]:B[解析]:3[答案]:A[解析]:本题的考点为汇总记账凭证账务处理的优缺点。
汇总记账凭证账务处理不利于会计核算工作的FI常分工。
4[答案]:C[解析]:本题的考点为在科目汇总表账务处理程序的一般程序。
科目汇总表账务处理程序下,期末现金日记账、银行存款日记账和明细分类账的余额同有关的总分类账进行核对。
5[答案]:C[解析]:本题的考点为汇总记账凭证账务处理程序的特点。
C属于记账凭证账务处理程序的步骤。
6[答案]:C[解析]:本题的考点为记账凭证账务处理程序的适用范围。
7[答案]:D[解析]:本题的考点为记账凭证账务处理程序的优缺点。
记账凭证账务处理程序的缺点是登记总分类账的工作量较大。
8[答案]:C9[答案]:A[解析]:应该根据各种记账凭证编制科li汇总表。
10[答案]:C[解析]: 一种账务处理程序区别于另一种账务处理程序,主要在于登记总分类账的程序和方法不同。
"[答案]:C[解析]:三种账务处理程序中,会计报表都是根据明细账和总分类账编制的。
12[答案]:C[解析]:记账凭证账务处理程序根据记账凭证登记总账,汇总记账凭证账务处理程序根据各种汇总记账凭证登记总账,科目汇总表账务处理程序根据科目汇总表登记总分类账。
13[答案]:A[解析]:记账凭证账务处理程序的优点:直接根据记账凭证登记总账,简单明了,易于理解,总分类账可以较详细地反映经济业务的发生情况。
14[答案]:D[解析]:15[答案]:D[解析]:记账凭证账务处理程序适用于规模较小、经济业务量较少的单位。
二、多项选择题1[答案]:ACD[解析]:本题的考点为科目汇总表账务处理程序的特点。
第六章完全竞争市场1、(1) P=3, Q=10(2) p=34、(1)由已知得SMC=0・3Q3-4Q+15根据完全竞争厂商实现利润最大化原则P=SMC,有0.3Q3-4Q+15=55解得Q=20 将Q=20代入利润等式有:3 2n =TR-STC=P Q-STC= (55 X 20) - ( 0.1 X 20 -2X 20+15 X 20+10)=790(2)当市场价格下降为P小于平均可变成本AVC即P W AVC时,厂商必须停产。
而此时的价格P必定小于最小的可变平均成本AVC。
根据题意,有:AVC=0.1Q2-2Q+15令dAVC/dQ=0解得Q=10代入AVC,得AVC=5即,当市场价格P=5时,厂商必须停产(3)根据完全厂商短期实现利润最大化原则P=SMC,有:0.3Q2-4Q+ (15-P) =0解得Q=4±J I6-1.2(15-P),取+ 厂20.6 0.6因为该厂商在短期只有在P》5时才生产,而PV5时必定会停产,所以,该厂商的短期供给函数为:, P>50.6Q=0 , P<55、(1)根据题意,有,LMC=3Q 2-24Q+40且完全竞争厂商的P=MR,根据已知条件P=100,故有MR=100。
由利润最大化的原则MR=LMC,得:3Q2-24Q+40=100整理得Q2-8Q-20=0解得Q=10 (负值舍去了)又LAC= Q 2-12Q+40将Q=10代入,得:LAC=20兀=TR-L TC=800(2) LAC=Q 2-12Q+40令dLAC/dQ=0得,Q=6 此时,LAC=4(3)由于完全竞争的成本不变行业的长期供给曲线是一条水平线,且相应的市场长期均衡价格是固定的,它等于单个厂商的最低的长期平均成本,所以,本题的市场的长期均衡价格固定为P=4。
以P=4代入市场需求函数Q=660-15P,便可以得到市场的长期均衡数量为Q=660-15 X 4=6000现已求得在市场实现长期均衡时,市场均衡数量Q=600,单个厂商的均衡产量Q=6,于是,行业长期均衡时的厂商数量=600+ 6=100家)6、(1)在完全竞争市场长期均衡时有LS=D ,即有:5500+300P=8000-200P解得P =5代入LS 函数,得:Q e=7000所以,市场的长期均衡价格和均衡数量分别为P=5,Q e=7000 2)同理可得P e=9,Q e=82003)比较(1)、(2)可得:对于完全竞争的成本递增行业而言,市场需求增加,会使市场的均衡价格上升,即由P=5上升为P=9;使市场的均衡数量也增加,即由Q e=7000增加为Q e=8200。
习题一、选择题1.计算机的IP地址和域名的关系是〔 C 〕。
A.两者是一样的B.必须一一对应C.一个IP地址可对应多个域名D.一个域名可对应多个IP地址2.以下IP地址中,不合法的是〔A〕。
A.202.16.3233.Internet上的WWW效劳采用的协议是〔C〕。
A.FTP B.Telnet C.HTTP D.SMTP4.用户的电子邮件信箱是〔C〕。
A.通过邮局申请的个人信箱B.邮件效劳器内存中的一块区域C.邮件效劳器硬盘上的一块区域D.用户计算机硬盘上的一块区域5.接入Internet的计算机用户名为Jasmine,而连接的效劳商主机名为mail.tpt ,那么相应的E-mail地址应为〔 D 〕。
A.文件传输只能传输计算机上已存有的文件,远程登录那么还可以直接在登录的主机上进行建立文件、删除文件等其他操作B.文件传输可以传输文件,但远程登录不能传输文件C.文件传输只能传输文本文件,不能传输图像、声音、视频文件,而远程登录那么能传输任何文件D.文件传输不必经过对方计算机的验证许可,而远程登录必须经过对方计算机的验证许可7.在HTML中用于设置超链接的标记是〔C〕。
A.<P> B.<IMG> C.<A> D.<HR>8.使用浏览器访问网站时,第一个被访问的网页称为〔 D 〕。
A.网页B.网站C.Web页面D.主页9.在FrontPage 2003中,需要在浏览器中的不同区域同时显示几个网页,可使用〔 B 〕方法。
A.表格B.框架C.表单D.单元格10.以下〔 D 〕功能在FrontPage 2003中不能实现。
二、填空题1.Internet的接入方式有:局域网接入、专线接入、〔拨号接入〕、〔无线接入〕。
2.IPv4的IP地址由〔32〕位二进制数组成,分成〔4 〕组,每组〔8 〕位,再将它们用十进制数表示,组与组之间用“.〞分隔。
3.IP地址通常划分为5类,A类地址的最高位为〔0〕,B类地址的最高位为〔10〕,C类地址的最高位为〔110〕。
第六章课程一、单项选择题1.被称为“课程评价之父”的教育家是( C)。
A.杜威 B.斯塔弗尔比姆 C.泰勒 D.裴斯泰洛齐2.把课程分为必修课程和选修课程的依据是( C)。
A.课程任务 B.课程制定者 C.课程设置的要求 D.课程管理层次3.美国各门课程中多样化的实践活动、日本的综合活动实践反映出对( C)在课程中地位的重视。
A.知识 B.能力 C.直接经验 D.间接经验4.欧洲中世纪的宗教神学课程和工业革命后的以自然科学为基础的课程属于课程类别中的( A)。
A.学科课程 B.活动课程 C.综合课程 D.融合课程5.布鲁纳认为,无论选择何种学科,都务必使学生理解该学科的基本结构,依此而建立的课程理论是( D)。
A.百科全书式课程理论 B.综合课程理论 C.实用主义课程理论 D.结构主义课程理论6.最早把评价引入课程编制过程之中的是( A)。
A.泰勒 B.罗杰斯 C.布卢姆 D.布鲁纳7.课程文件的三个层次是( A)。
A.教学计划一教学大纲一教科书 B.课程总目标一领域目标一学科目标C.课程目的一课程评价一课程实施 D.知识一经验一活动8.能解决教育中无儿童,见物不见人倾向的课程观是( D)。
A.课程是知识 B.课程是计划 C.课程是经验 D.课程是活动9.我国中小学普遍实行的学科课程及相应的理论,是( A)的表现。
A.课程是知识 B.课程是经验 C.课程是活动 D.课程是项目10.在具体实施国家课程和地方课程的前提下,通过对本校学生的要求进行科学评估,充分利用当地社区和学校的课程资源而开发的多样性的可供学生选择的课程是( C)。
A.国家课程 B.地方课程 C.学校课程 D.基础课程11.被称为课程论经典的学术著作是泰勒的( A)。
A.《课程与教学的基本原理》 B.《教育目标分类学》 C.《教育过程》 D.《教学与一般发展》12.( D)是最自觉、清醒地论证了直接经验在个人成长中的意义,并将儿童个体的直接经验加以规范和具体化为课程并且付诸实践的教育家。
A.泰勒 B.桑代克 C.斯金纳 D.杜威13.课程论与心理学的联系,最早可以追溯到( D)。
A.柏拉图 B.毕达哥拉斯 C.苏格拉底 D.亚里士多德14.在《课程与教学的基本原理》中提出的关于课程编制的四个问题被称为( B)。
A.杜威原理 B.泰勒原理 C.斯宾塞原理 D.赫尔巴特原理15.以纲要的形式编定有关学科教学内容的教学指导性文件,被称为( A)。
A.课程标准 B.课程计划 C.教材 D.教科书16.教科书编写遵循的原则为( C)。
A.科学性、操作性、基础性、适用性 B.普遍性、思想性、基础性、适用性C.科学性、思想性、基础性、适用性 D.科学性、思想性、强制性、适用性17.把课程计划付诸实践的过程,属于( B)。
A.课程目标 B.课程实施 C.教学任务 D.课程评价18.把课程用于教育科学的专门术语始于( B)。
A.洛克 B.斯宾塞 C.赫尔巴特 D.杜威19.下列不属于课程表安排应遵循的原则的是( D)。
A.整体性原则 B.迁移性原则 C.生理适宜原则 D.合理性原则20.下列属于一级课程的是( A)。
A.国家课程 B.地方课程 C.学校课程 D.基础型课程21.课程论研究的是( C)的问题。
A.为谁教 B.怎样教 C.教什么 D.教给谁22.学校教育的基础是( D )。
A.教师 B.学生 C.班级 D.课程23.最早提出“隐性课程”的学者是( C )。
A.杜威 B.叶圣陶 C.贾克森 D.苏格拉底24.下列选项中,与现代科学课程改革的总趋势不一致的一项是( A )。
A.重视课程内容的功能化 B.强调知识的系统、结构化C.重视智力开发与学习能力的培养 D.重视个别差异25.课程的特点在于动手“做”,在于首脑并用,以获得直接经验,这种课程类型属于( B )。
A.学科教程 B.活动课程 C.学生课程 D.教师课程26.课程改革就其实质来讲,就是课程( A )的问题。
A.现代化 B.综合化 C.系统化 D.理论化27.根据课程的表现形式,课程可分为( D )。
A.基础型课程、拓展型课程和研究型课程 B.综合课程和单一课程C.国家课程、地方课程和学校课程 D.显性课程和隐性课程28.注重培养学生的探究态度与能力的课程是( C )。
A.基础型课程 B.拓展型课程 C.研究型课程 D.发展型课程29.注重培养学生基础学力的课程是( A )。
A.基础型课程 B.拓展型课程 C.研究型课程 D.发展型课程30.注重发展学生知识与能力,开阔学生知识视野,发展学生不同特殊能力的课程是( B )。
A.基础型课程 B.拓展型课程 C.研究型课程 D.发展型课程31.国家根据一定的教育目的和培养目标制定的有关学校教育和教学工作的指导性文件是( B )。
A.教学大纲 B.课程计划 C.教科书 D.课本32.衡量各科教学质量的重要标准是( B )。
A.教学计划 B.教学大纲 C.教学目的 D.教学目标33.课程计划的中心问题是( A )。
A.开设哪些科目 B.各门学科开设的顺序C.各门学科的教学时间 D.各门学科的教学方法34.编写教科书和教师进行教学的主要依据是( B )。
A.课程计划 B.课程标准 C.教育目的 D.教育政策35.教材的主体部分是( C )。
A.讲授题纲和讲义 B.教科书和参考书C.教科书和讲义 D.讲义和参考书36、我国中小学开设的语文、数学、外语等课程属于()。
A活动课程 B潜在课程 C综合课程 D学科课程37、课程论研究的是()问题。
A为谁教 B怎样教 C教什么 D教给谁38、把课程用于教育科学的专门术语,始于教育家()。
A洛克 B斯宾塞 C赫尔巴特 D杜威39、真正全面而系统地从理论上论证活动课程的特点和价值的是()。
A克伯屈 B杜威 C卢梭 D福禄培尔40、有目的、有计划、有结构地产生教学计划、教学大纲(课程标准)及教科书等系统化活动的过程是()。
A课程分类 B课程评价 C课程实施 D课程设计41、学校教育的基础是()。
A教师 B学生 C班级 D课程42、最早提出“隐性课程”的学者是()。
A杜威 B叶圣陶 C贾克森 D苏格拉底43、欧洲中世纪的宗教神学课程和工业革命后的以自然科学为基础的课程属于课程类别中的()。
A学科课程 B活动课程 C综合课程 D融合课程44基础型课程注重学生基础学力的培养,即培养学生作为一个公民所必需具备的以“三基”为中心的基础教养。
“三基”指的是()。
A读、写、画 B读、画、算 C画、写、算 D读、写、算45、根据课程制定者的不同,可将课程分为国家课程、地方课程和()。
A分科课程 B活动课程 C学校课程 D综合课程46、课程实施计划的展开过程是()。
A安排课程表 B分析教学任务 C选择并确定教学模式 D组织教学活动47、教材的主体部分是()。
A讲授题纲和讲义 B教科书和参考书 C教科书和讲义 D讲议和参考书48、最早把评价引入课程编制过程之中的是()。
A泰勒 B罗杰斯 C布卢姆 D布鲁纳49、美国各门课程中多样化的实践活动、日本的综合活动实践反映出对()在课程中地位的重视。
A知识 B能力 C直接经验 D间接经验50、下列不属于课程表安排应遵循的原则的是()。
A整体性原则 B迁移性原则 C生理适宜原则 D合理性原则51、从课程的任务来看,可把课程分为基础型课程、研究型课程和()。
A社会中心课程 B技能性课程 C拓展型课程 D地方课程52、根据课程的表现形式,课程可分为()。
A基础型课程、拓展型课程和研究型课程 B综合课程和单一课程C国家课程、地方课程和学校课程 D显性课程和隐性课程53、下列属于一级课程的是()。
A国家课程 B地方课程 C学校课程 D基础型课程54、注重培养学生基础能力的课程是()。
A基础型课程 B拓展型课程 C研究型课程 D发展型课程55、国家根据一定的教育目的和培养目标制定的有关学校教育和教学工作的指导性文件是()。
A教学大纲 B课程计划 C教科学 D课本56、衡量各科教学质量的重要标准是()A教学计划(课程计划) B教学大纲(课程标准) C教学目的 D教学目标57、以纲要的形式编定有关学科教学内容的教学指导性文件,被称为()。
A课程标准(教学大纲) B课程计划(教学计划) C教材 D教科书58、课程计划的中心问题是()。
A开设哪些科目 B各门学科开设的顺序C各门学科的教学时间 D各门学科的教学方法59、编写教科书和教师进行教学的主要依据是()。
A课程计划(教学计划) B教学大纲(课程标准) C教育目的 D教育政策60、把课程计划付诸实践的过程,属于()。
A课程目标 B课程实施 C教学任务 D课程评价二、填空题1.教育改革的核心是( 课程改革 )。
2.各级各类学校为实现培养目标而规定的学习科目及其进程的总和是( 课程 )。
3.在我国,课程具体表现为( 教学计划 )、( 教学大纲 )、( 教材 )。
4.以课程任务为依据分类,课程可分为基础型课程、(拓展型课程 )、( 研究型课程 )。
5.从课程制定者或管理制度层次,课程类型分为(国家课程 )、(地方课程)、(学校课程)。
6.基础型课程的内容是基础的,以基础知识和(基本技能 )为主。
7.拓展课常常以( 选修课 )的形式出现。
8.学校课程通常以选修课或( 特色课 )的形式出现。
9.制约学校课程的三大因素是社会、知识和(儿童)。
10.建立在不同的教育哲学理论基础上的课程论及课程的历史传统叫(课程理论)。
11.课程目标四个方面的规定性是指时限性、(具体性)、预测性和(可操作性)。
12.课程目标的依据有三个方面:对学生的研究、(对学科的研究)、(对社会的研究)。
13.我国义务教育的教学计划具备的三个基本特征是(强制性)、(普遍性)、(基础性)。
14.教学计划的核心问题是(课程的设置)。
15.安排课程需要遵循整体性原则、(迁移性原则)、(生理适应性原则)。
16.学生的学习特点具有独特性、(稳定性)、发展性、(灵活性)。
17.学生的学习特点受三方面因素的影响:(基础因素)、(内部因素)、(外部因素)。
18.课程评价的主要模式有(目标评价模式)、(目的游离评价模式)、CIPP评价模式。
19.美国学者斯克里文主张把评价的重点从课程计划预期的结果转向“课程计划实际的结果”,属于课程评价的( 目的游离评价模式 )。
20.CIPP评价模式包括四个步骤( 背景评价 )、输入评价、过程评价、成果评价21.教学大纲一般由说明部分、(本文部分)和其他或附录等几部分构成。
三、简答题1.简述制约课程的主要因素。
P.1282.制订课程目标的依据有哪些? P.1313. 我国新一轮课程改革所确立的课程目标是什么? P.1324.简述我国新一轮基础教育课程评价改革的特点。