批准上市的蛋白同化制剂批准上市的蛋白
- 格式:docx
- 大小:6.66 MB
- 文档页数:200
血液制品、蛋肽制剂、含特药品、冷藏药品考核试卷姓名:部门:岗位:分数:1、血液制品:全血和红细制剂的贮存温度()A、20-24℃B、2-6 ℃C、10-30℃D、2-10℃2、现行蛋白同化制剂品种目录共有品种()个A、36B、85C、74D、123、我国上市的蛋白同化制剂品种()个A、36B、85C、74D、124、蛋白同化制剂、肽类激素的验收、检查、保管、销售和出入库登记记录应当保存至超过蛋白同化制剂、肽类激素有效期()年。
A、2B、3C、4D、55、除()外,药品零售企业不得经营蛋白同化制剂或者其他肽类激素。
A、胰岛素B、促红素C、生长激素D、促皮质素6、冷藏药品抽样原则:整件数量在()件及以下的全部抽样检查;A、2B、3C、4D、57、冷藏药品验收:验收冷藏药品时,在()待验区进行,随到随验。
A、常温库B、阴凉库C、冷库内D、任意库8、蛋白同化制剂、肽类激素包装或说明书应当注明()A、运动员慎用B、新生儿慎用C、高血压慎用D、孕妇慎用9、冷藏药品不得直接接触(),防止对药品造成质量影响。
A、温湿度记录仪B、保温箱C、蓄冷剂D、隔离装置10、人血浆中有92% - 93%是水,仅有()是蛋白质,血液制品就是从这部分蛋白质分离提纯制成的。
A、7% - 8%B、7% - 13%C、35% - 75%D、10% - 15%1、冷藏药品到货时,应对其质量控制状况进行重点检查及记录,不符合温度要求的应当拒收()A、运输方式B、运输过程中的温度记录C、运输时间D、其他2、我国上市的蛋白同化制剂品种()A、克仑特罗、达那唑、普拉睾酮B、夫拉扎勃、孕三烯酮、美雄酮C、甲睾酮、诺龙、羟甲烯龙D、司坦唑醇、睾酮、替勃龙3、依照药品管理法的规定取得《药品经营许可证》的药品批发企业,具备下列条件(),并经省、自治区、直辖市人民政府食品药品监督管理部门批准,方可经营蛋白同化制剂、肽类激素:A、有专门的管理人员;B、有专储仓库或者专储药柜;D、法律、行政法规规定的其他条件。
一、蛋白同化制剂、肽类激素品种通用名393b-羟基-5a-雄烷-17-酮序号1雄烯二醇40美雄诺龙2雄烯二酮41美睾酮3雄烯二醇(异构体)42美雄酮4雄-4-烯-3α,17β-二醇432a,17a-二甲基-5a-雄烷-3-酮-17b-醇5雄-4-烯-3β,17α-二醇4417α-甲基-17β-羟基雌-4,9(10)-二烯-3-酮6雄-5-烯-3α,17α-二醇45甲基-1-睾酮7雄-5-烯-3α,17β-二醇46甲基去甲睾酮8雄-5-烯-3b, 17a-二醇4717α-甲基-17β-羟基雌-4,9,11-三烯-3-酮9雄-4-烯二醇48美替诺龙10雄烯二酮异构体49美雄醇11阿法雄烷二醇50甲睾酮12倍他雄烷二醇异构体51米勃酮13雄烷二醇异构体52诺龙14倍他雄烷二醇5319-去甲雄烯二醇15勃拉睾酮5419-去甲雄烯二酮16勃地酮55去甲雄酮171,4-雄二烯-3,17-二酮56诺勃酮18卡芦睾酮57诺司替勃19克仑特罗58诺乙雄龙20氯司替勃5919-去甲本胆烷醇酮21达那唑60环戊丙羟勃龙22脱氢氯甲基睾酮61氧雄龙23雄-1-烯-3,17-二酮62羟甲睾酮24(Δ)雄烯二醇63羟甲烯龙25普拉睾酮64[3,2-c]吡唑-5a-苯别胆烷-17β-4氢吡喃醇26去氧甲基睾酮65奎勃龙27双氢睾酮66司坦唑醇28屈他雄酮67司腾勃龙295α-雄烷-3β,17β-二醇681-睾酮30表双氢睾酮69睾酮31乙雌烯醇70四氢孕三烯酮32氟甲睾酮71替勃龙33甲酰勃龙72群勃龙34夫拉扎勃73泽仑诺35孕三烯酮364-羟基睾酮374-羟基诺龙383a-羟基-5a-雄烷-17-酮二、肽类激素品种74促皮质素78胰岛素及其类似物75促红素(EPO)及其类似物79胰岛素样生长因子1 76促性素80生长因子素77生长激素及其类似物。
蛋白同化制剂、肽类激素药品不良反应报告制度为加强蛋白同化制剂、肽类激素药品不良反应监测工作的管理,确保患者用药安全有效,根据《药品不良反应监测管理办法》等有关规定,制定本制度。
一、蛋白同化制剂、肽类激素药品不良反应1、主要是指合格蛋白同化制剂、肽类激素药品在正常用法、用量情况下出现的与用药目的无关或意外的有害反应。
2、蛋白同化制剂、肽类激素药品不良反应主要包括蛋白同化制剂、肽类激素药品已知和未知作用引起的副作用、毒性反应及过敏反应等。
如:因服用蛋白同化制剂、肽类激素药品引起死亡的;致癌致畸的;损害重要生命器官而威胁生命或丧失生活能力的;延长住院治疗时间的等等。
二、蛋白同化制剂、肽类激素药品不良反应的报告范围1、上市五年以内蛋白同化制剂、肽类激素的药品,收集并报告其所有可疑的不良反应。
2、上市五年以上蛋白同化制剂、肽类激素的药品,报告其严重的、罕见的、或说明书未收载的不良反应。
三、蛋白同化制剂、肽类激素药品不良反应报告的程序1、加强对本公司所经营蛋白同化制剂、肽类激素药品不良反应情况的收集,一经发现可疑蛋白同化制剂、肽类激素药品不良反应,应立即向质量管理部和质量负责人报告。
质量管理部在详细记录并调查确认后,填写“蛋白同化制剂、肽类激素药品不良反应报告表”,向市药监局报告。
2、本公司经营的蛋白同化制剂、肽类激素药品中发现药品说明书中未载明的可疑严重不良反应病例,必须以快速有效的方式报告市药监局,并按市药监局的要求报告有关部门。
3、其他可疑蛋白同化制剂、肽类激素药品不良反应和病例,每季向市药监局集中报告。
四、蛋白同化制剂、肽类激素药品药品不良反应的处理1、经药品监督管理部门或本公司质量管理部确认有蛋白同化制剂、肽类激素药品不良反应的,质量管理部应立即通知仓库、营销部停止该蛋白同化制剂、肽类激素药品的发货和销售,就地封存,并及时追回已售出的该药品。
采购部联系该蛋白同化制剂、肽类激素药品的供货单位协商处理。
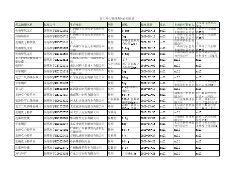
三、蛋白同化制剂、肽类激素品种参考目录
蛋白同化制剂又称同化激素,俗称合成类固醇,是合成代谢类药物,具有促进蛋白质合成和减少氨基酸分解的特征,可促进肌肉增生,提高动作力度和增强男性的性特征.
肽类激素由氨基酸通过肽键连接而成,最小的肽类激素可由三个氨基酸组成,如促甲状腺激素释放激素。
多数肽类激素可由十几个,几十个或乃至上百及几百个氨基酸组成.
蛋白同化制剂和肽类激素主要包括下列品种:
四、需冷藏药品参考目录
五、含麻黄碱类复方制剂、含可待因复方口服溶液、含地芬诺酯复方制剂品种参考目录。
蛋白同化制剂品种
世界上常见的蛋白同化制剂品种包括:
1. 乳清蛋白粉:乳清蛋白是从乳制品中提取的一种高质量蛋白质,含有丰富的必需氨基酸。
乳清蛋白粉易溶于水,常用于增加肌肉质量和促进肌肉恢复。
2. 大豆蛋白粉:大豆蛋白粉是从大豆中提取的一种植物蛋白,含有丰富的亮氨酸和精氨酸。
大豆蛋白粉常用于素食者或对乳制品过敏的人群。
3. 麻酱蛋白粉:麻酱蛋白粉是从芝麻中提取的一种植物蛋白,含有丰富的亮氨酸和精氨酸。
麻酱蛋白粉的口感较浓郁,常用于调制各类健身饮品和营养食品。
4. 肌酸:肌酸是人体内天然存在的一种化合物,可提高肌肉爆发力和肌肉质量。
肌酸补充剂常用于提高训练效果和增加力量。
5. 支链氨基酸(BCAA):BCAA是构成蛋白质的三种支链氨
基酸,包括亮氨酸、异亮氨酸和缬氨酸。
BCAA补充剂常用于促进肌肉合成和减少肌肉损伤。
6. 胶原蛋白:胶原蛋白是一种结构性蛋白,构成皮肤、骨骼、肌肉和韧带等组织的一部分。
胶原蛋白补充剂常用于改善皮肤弹性和关节保健。
请注意,蛋白同化制剂在使用过程中应遵循正确的剂量和使用
方式,并结合适当的饮食和训练计划。
另外,如果有特殊健康状况或者正在服用药物的人群,应在医生的指导下使用。
蛋白同化制剂、肽类激素目录一、蛋白同化制剂品种1、雄烯二醇 androstenediol2、雄烯二酮* androstenedione3、雄烯二醇(异构体) androst-4-ene-3α,17α-diol4、雄-4-烯-3α,17β-二醇* androst-4-ene-3α,17β-diol5、雄-4-烯-3β,17α-二醇* androst-4-ene-3β,17α-diol6、雄-5-烯-3α,17α-二醇* androst-5-ene-3α,17α-diol7、雄-5-烯-3α,17β-二醇* androst-5-ene-3α,17β-diol8、雄-5-烯-3β,17α-二醇* androst-5-ene-3β,17α-diol9、雄-4-烯二醇* 4-androstenediol androst-4-ene-3β,17β-diol10、雄烯二酮异构体 5-androstenedione11、阿法雄烷二醇 5α-androstane-3α,17α-diol12、倍他雄烷二醇异构体 5α-androstane-3α,17β-diol13、雄烷二醇异构体 5α-androstane-3β,17α-diol14、倍他雄烷二醇 5α-androstane-3β,17β-diol15、勃拉睾酮(双甲睾酮) bolasterone16、勃地酮(宝丹酮) boldenone17、1,4-雄二烯-3,17-二酮* boldione18、卡普睾酮 calusterone19、克仑特罗 clenbuterol20、氯司替勃(氯斯太宝) clostebol21、达那唑 danazol22、脱氢氯甲基睾酮* dehydrochloromethyltestosterone23、雄-1-烯-3,17-二酮* deltal-androstene-3,17-dione24、(Δ)雄烯二醇 deltal-androstenediol25、普拉雄酮* dehydroepiandrosterone(DHEA)26、去氧甲基睾酮* desoxymethyltestosterone27、双氢睾酮 dihydrotestosterone28、屈他雄酮(羟甲雄酮) drostanolone29、5α-雄烷-3β,17β-二醇* drostanediol30、表双氢睾酮 epi-dihydrotestosterone31、乙烯雌醇 ethylestrenol32、氟甲睾酮 fluoxymesterone33、甲酰勃龙(醛甲宝龙) formebolone34、呋咱甲氢龙(夫拉扎勃) furazabol35、孕三烯酮 gestrinone36、4-羟基睾酮 4-hydroxytestosterone37、4-羟基诺龙 4-hydroxy-19-nortestosterone38、3α-羟基-5α-雄烷-17-酮* 3α-hydroxy-5α-androstan-17-one39、3β-羟基-5α-雄烷-17-酮* 3β-hydroxy-5α-androstan-17-one40、美雄诺龙 mestanolone41、美睾酮 mesterolone42、美雄酮 methandienone43、2α,17α-二甲基-5α-雄烷-3-酮-17β-醇 methasterone44、17α-甲基-17β-羟基雌-4,9(10)-二烯-3-酮* methyldienolone45、甲基-1-睾酮* methyl-1-testosterone46、甲基去甲睾酮* methylnortestosterone47、17α-甲基-17β-羟基雌-4,9,11-三烯-3-酮* methyltrienolone48、美替诺龙 metenolone49、美雄醇 methandriol50、甲睾酮 methyltestosterone51、米勃龙* mibolerone52、诺龙 nandrolone53、19-去甲雄烯二醇* 19-norandrostenediol54、19-去甲雄烯二酮* 19-norandrostenedione55、去甲雄酮 19-norandrosterone56、诺勃酮 norboletone57、诺司替勃 norclostebol58、诺乙雄龙(乙基诺龙) norethandrolone59、19-去甲本胆烷醇酮* 19-noretiocholanolone60、羟勃龙(氧宝龙) oxabolone61、氧雄龙(氧甲氢龙) oxandrolone62、羟甲睾酮 oxymesterone63、羟甲烯龙 oxymetholone64、[3,2-c]吡唑-5α-苯别胆烷-17β-4氢吡喃醇* prostanozol65、奎勃龙 quinbolone66、司坦唑醇 stanozolol67、司腾勃龙 stenbolone68、1-睾酮 1-testosterone69、睾酮 testosterone70、四氢孕三烯酮 tetrahydrogestrinone71、替勃龙 tibolone72、群勃龙(追宝龙) trenbolone73、折仑诺 zeranol74、齐帕特罗 zilpaterol二、肽类激素品种75、促皮质素 Corticotrophins76、促红细胞生成素(EPO) Erythropoietin(EPO)77、促性腺激素 Gonadotrophins(LH,hCG)78、生长激素 Growth hormone(hGH)79、胰岛素 Insulin80、胰岛素样生长因子 1 Insulin-lkie Growth Factor(IGF-1)81、生长因子素 Mechano Growth Factors (MGFs) 注:1.目录所列物质包括其可能存在的盐及光学异构体;2.目录所列物质包括其原料药及单方制剂;3.目录所列蛋白同化制剂品种包括其可能存在的盐、酯、醚及光学异构体;4.括号内为参考译名,带*为暂译。