高中数学必修一基础练习题集锦
- 格式:doc
- 大小:2.35 MB
- 文档页数:37
数学高中必修一练习题及讲解### 数学高中必修一练习题及讲解#### 练习题一:函数的基本性质题目:已知函数 \(f(x) = 2x^2 - 3x + 1\),求其定义域和值域。
解答:函数 \(f(x) = 2x^2 - 3x + 1\) 是一个二次函数。
二次函数的定义域为全体实数,即 \(x \in (-\infty, +\infty)\)。
要找到值域,我们可以将函数转换为顶点形式。
首先,找到顶点的\(x\) 坐标:\[ x = -\frac{b}{2a} = -\frac{-3}{2 \times 2} = \frac{3}{4} \]将 \(x = \frac{3}{4}\) 代入原函数,得到顶点的 \(y\) 坐标:\[ f\left(\frac{3}{4}\right) = 2\left(\frac{3}{4}\right)^2 -3\left(\frac{3}{4}\right) + 1 \]\[ f\left(\frac{3}{4}\right) = 2\left(\frac{9}{16}\right) -\frac{9}{4} + 1 = \frac{9}{8} - \frac{9}{4} + 1 = -\frac{1}{8} \]因此,函数的最小值为 \(-\frac{1}{8}\),由于开口向上,函数没有最大值,所以值域为 \([-\frac{1}{8}, +\infty)\)。
#### 练习题二:指数函数的运算题目:计算 \(2^3 \cdot 5^3\)。
解答:指数函数的乘法运算可以转换为基数相乘,指数相同的形式。
即:\[ 2^3 \cdot 5^3 = (2 \cdot 5)^3 \]计算基数的乘积:\[ 2 \cdot 5 = 10 \]将结果代入指数:\[ 10^3 = 1000 \]所以 \(2^3 \cdot 5^3 = 1000\)。
#### 练习题三:三角函数的图像和性质题目:已知 \(\sin(\alpha) = \frac{3}{5}\),\(\alpha\) 在第一象限,求 \(\cos(\alpha)\)。
人教版高一数学(必修1)基础知识试题选及答案高一数学(必修1)基础知识试题选及答案一、选择题1. 下列数列中,等差数列是:A. 1, 3, 6, 10, 15B. 1, 2, 4, 7, 11C. 1, 4, 9, 16, 25D. 1, 3, 9, 27, 81答案:A2. 设等差数列的首项为a, 公差为d, 则该等差数列的第n项为:A. anB. a + (n-1)dC. a + ndD. a + (n+1)d答案:B3. 设等差数列的前n项和为Sn,则Sn的通项公式为:A. Sn = n(a + l)/2B. Sn = n(a + 2l)/2C. Sn = (a + l)n/2D. Sn = (a + 2l)n/2答案:A4. 已知等差数列的前n项和为Sn,公差为d,则该等差数列的第n 项可以表示为:A. Sn - Sn-1B. Sn - Sn+1C. Sn - Sn-dD. Sn - Sn+d答案:B5. 下列数列中,等比数列是:A. 2, 5, 8, 11, 14B. 4, 8, 16, 32, 64C. 1, 3, 6, 10, 15D. 1, 1, 2, 3, 5答案:B6. 设等比数列的首项为a, 公比为q, 则该等比数列的第n项为:A. a^nB. a + (n-1)qC. aq^nD. aq^(n-1)答案:C7. 设等比数列的前n项和为Sn,则该等比数列的第n项可以表示为:A. Sn - Sn-1B. Sn - Sn+1C. Sn/q - Sn/qdD. Snq - Snqd答案:A8. 如果在等比数列的前n项和中,n趋于无穷大,且公比小于1,则该等比数列的前n项和趋于:A. 1B. 0C. ∞D. 不存在答案:B二、解答题1. 将下列数列排列成由小到大的顺序:8, 5, 2, 9, 6答案:2, 5, 6, 8, 92. 求下列数列的前n项和:1, 3, 5, 7, ...答案:Sn = n^23. 求解下列方程:2x - 5 = 7答案:x = 64. 用配方法求解下列二次方程:x^2 - 5x + 6 = 0答案:x = 2, 35. 确定下列函数的定义域:f(x) = √(x + 4)答案:x ≥ -46. 求解下列不等式:2x - 5 > 7答案:x > 67. 已知点A(2, 1)和B(-3, 4),求线段AB的斜率。
第一章集合与函数的概念1.对集合{1,5,9,13,17}用描述法来表示,其中正确的一个是()A.{x|x是小于18的正奇数}B.{x|x=4k+1,k∈Z,且k<5}C.{x|x=4t-3,t∈N,且t≤5}D.{x|x=4s-3,s∈N*,且s≤5}解析:选D.A中小于18的正奇数除给定集合中的元素外,还有3,7,11,15;B中k取负数,多了若干元素;C中t=0时多了-3这个元素,只有D是正确的.2.集合P={x|x=2k,k∈Z},M={x|x=2k+1,k∈Z},S={x|x=4k+1,k∈Z},a∈P,b∈M,设c=a+b,则有()A.c∈P B.c∈MC.c∈S D.以上都不对解析:选B.∈a∈P,b∈M,c=a+b,设a=2k1,k1∈Z,b=2k2+1,k2∈Z,∈c=2k1+2k2+1=2(k1+k2)+1,又k1+k2∈Z,∈c∈M.3.定义集合运算:A*B={z|z=xy,x∈A,y∈B},设A={1,2},B={0,2},则集合A*B 的所有元素之和为()A.0 B.2C.3 D.6解析:选D.∈z=xy,x∈A,y∈B,∈z的取值有:1×0=0,1×2=2,2×0=0,2×2=4,故A*B={0,2,4},∈集合A*B的所有元素之和为:0+2+4=6.4.已知集合A={1,2,3},B={1,2},C={(x,y)|x∈A,y∈B},则用列举法表示集合C=____________.解析:∈C={(x,y)|x∈A,y∈B},∈满足条件的点为:(1,1),(1,2),(2,1),(2,2),(3,1),(3,2).答案:{(1,1),(1,2),(2,1),(2,2),(3,1),(3,2)}1.集合{(x ,y )|y =2x -1}表示( ) A .方程y =2x -1 B .点(x ,y )C .平面直角坐标系中的所有点组成的集合D .函数y =2x -1图象上的所有点组成的集合 答案:D2.设集合M ={x ∈R |x ≤33},a =26,则( ) A .a ∈M B .a ∈M C .{a }∈M D .{a |a =26}∈M 解析:选B.(26)2-(33)2=24-27<0, 故26<3 3.所以a ∈M .3.方程组⎩⎪⎨⎪⎧x +y =1x -y =9的解集是( )A .(-5,4)B .(5,-4)C .{(-5,4)}D .{(5,-4)}解析:选D.由⎩⎪⎨⎪⎧ x +y =1x -y =9,得⎩⎪⎨⎪⎧x =5y =-4,该方程组有一组解(5,-4),解集为{(5,-4)}.4.下列命题正确的有( ) (1)很小的实数可以构成集合;(2)集合{y |y =x 2-1}与集合{(x ,y )|y =x 2-1}是同一个集合; (3)1,32,64,|-12|,0.5这些数组成的集合有5个元素;(4)集合{(x ,y )|xy ≤0,x ,y ∈R }是指第二和第四象限内的点集. A .0个 B .1个 C .2个 D .3个解析:选A.(1)错的原因是元素不确定;(2)前者是数集,而后者是点集,种类不同;(3)32=64,|-12|=0.5,有重复的元素,应该是3个元素;(4)本集合还包括坐标轴. 5.下列集合中,不同于另外三个集合的是( ) A .{0} B .{y |y 2=0} C .{x |x =0} D .{x =0}解析:选D.A 是列举法,C 是描述法,对于B 要注意集合的代表元素是y ,故与A ,C 相同,而D 表示该集合含有一个元素,即“x =0”.6.设P ={1,2,3,4},Q ={4,5,6,7,8},定义P *Q ={(a ,b )|a ∈P ,b ∈Q ,a ≠b },则P *Q 中元素的个数为( )A .4B .5C .19D .20解析:选C.易得P *Q 中元素的个数为4×5-1=19.故选C 项.7.由实数x ,-x ,x 2,-3x 3所组成的集合里面元素最多有________个. 解析:x 2=|x |,而-3x 3=-x ,故集合里面元素最多有2个. 答案:28.已知集合A =⎩⎨⎧⎭⎬⎫x ∈N |4x -3∈Z ,试用列举法表示集合A =________. 解析:要使4x -3∈Z ,必须x -3是4的约数.而4的约数有-4,-2,-1,1,2,4六个,则x =-1,1,2,4,5,7,要注意到元素x 应为自然数,故A ={1,2,4,5,7}答案:{1,2,4,5,7}9.集合{x |x 2-2x +m =0}含有两个元素,则实数m 满足的条件为________. 解析:该集合是关于x 的一元二次方程的解集,则Δ=4-4m >0,所以m <1. 答案:m <110. 用适当的方法表示下列集合: (1)所有被3整除的整数;(2)图中阴影部分点(含边界)的坐标的集合(不含虚线); (3)满足方程x =|x |,x ∈Z 的所有x 的值构成的集合B .解:(1){x |x =3n ,n ∈Z };(2){(x ,y )|-1≤x ≤2,-12≤y ≤1,且xy ≥0};(3)B ={x |x =|x |,x ∈Z }.11.已知集合A ={x ∈R |ax 2+2x +1=0},其中a ∈R .若1是集合A 中的一个元素,请用列举法表示集合A .解:∈1是集合A 中的一个元素,∈1是关于x 的方程ax 2+2x +1=0的一个根, ∈a ·12+2×1+1=0,即a =-3. 方程即为-3x 2+2x +1=0,解这个方程,得x 1=1,x 2=-13,∈集合A =⎩⎨⎧⎭⎬⎫-13,1.12.已知集合A ={x |ax 2-3x +2=0},若A 中元素至多只有一个,求实数a 的取值范围. 解:∈a =0时,原方程为-3x +2=0,x =23,符合题意.∈a ≠0时,方程ax 2-3x +2=0为一元二次方程. 由Δ=9-8a ≤0,得a ≥98.∈当a ≥98时,方程ax 2-3x +2=0无实数根或有两个相等的实数根.综合∈∈,知a =0或a ≥98.1.下列各组对象中不能构成集合的是( ) A .水浒书业的全体员工 B .《优化方案》的所有书刊 C .2010年考入清华大学的全体学生 D .美国NBA 的篮球明星解析:选D.A 、B 、C 中的元素:员工、书刊、学生都有明确的对象,而D 中对象不确定,“明星”没有具体明确的标准.2.(2011年上海高一检测)下列所给关系正确的个数是( ) ∈π∈R ;∈3∈Q ;∈0∈N *;∈|-4|∈N *. A .1 B .2 C .3 D .4 解析:选B.∈∈正确,∈∈错误.3.集合A ={一条边长为1,一个角为40°的等腰三角形}中有元素( ) A .2个 B .3个 C .4个 D .无数个解析:选C.(1)当腰长为1时,底角为40°或顶角为40°.(2)当底边长为1时,底角为40°或顶角为40°,所以共有4个三角形.4.以方程x 2-5x +6=0和方程x 2-x -2=0的解为元素的集合中共有________个元素. 解析:由x 2-5x +6=0,解得x =2或x =3.由x2-x-2=0,解得x=2或x=-1.答案:31.若以正实数x,y,z,w四个元素构成集合A,以A中四个元素为边长构成的四边形可能是()A.梯形B.平行四边形C.菱形D.矩形答案:A2.设集合A只含一个元素a,则下列各式正确的是()A.0∈A B.a∈AC.a∈A D.a=A答案:C3.给出以下四个对象,其中能构成集合的有()∈教2011届高一的年轻教师;∈你所在班中身高超过1.70米的同学;∈2010年广州亚运会的比赛项目;∈1,3,5.A.1个B.2个C.3个D.4个解析:选C.因为未规定年轻的标准,所以∈不能构成集合;由于∈∈∈中的对象具备确定性、互异性,所以∈∈∈能构成集合.4.若集合M={a,b,c},M中元素是∈ABC的三边长,则∈ABC一定不是()A.锐角三角形B.直角三角形C.钝角三角形D.等腰三角形解析:选D.根据元素的互异性可知,a≠b,a≠c,b≠c.5.下列各组集合,表示相等集合的是()∈M={(3,2)},N={(2,3)};∈M={3,2},N={2,3};∈M={(1,2)},N={1,2}.A.∈ B.∈C.∈ D.以上都不对解析:选B.∈中M中表示点(3,2),N中表示点(2,3),∈中由元素的无序性知是相等集合,∈中M表示一个元素:点(1,2),N中表示两个元素分别为1,2.6.若所有形如a +2b (a ∈Q 、b ∈Q )的数组成集合M ,对于x =13-52,y =3+2π,则有( )A .x ∈M ,y ∈MB .x ∈M ,y ∈MC .x ∈M ,y ∈MD .x ∈M ,y ∈M 解析:选B.∈x =13-52=-341-5412,y =3+2π中π是无理数,而集合M 中,b ∈Q ,得x ∈M ,y ∈M .7.已知∈5∈R ;∈13∈Q ;∈0={0};∈0∈N ;∈π∈Q ;∈-3∈Z .其中正确的个数为________.解析:∈错误,0是元素,{0}是一个集合;∈0∈N ;∈π∈Q ,∈∈∈正确. 答案:38.对于集合A ={2,4,6},若a ∈A ,则6-a ∈A ,那么a 的取值是________. 解析:当a =2时,6-a =4∈A ; 当a =4时,6-a =2∈A ; 当a =6时,6-a =0∈A , 所以a =2或a =4. 答案:2或49.若a ,b ∈R ,且a ≠0,b ≠0,则|a |a +|b |b 的可能取值组成的集合中元素的个数为________.解析:当a >0,b >0时,|a |a +|b |b =2;当a ·b <0时,|a |a +|b |b =0;当a <0且b <0时,|a |a +|b |b=-2.所以集合中的元素为2,0,-2.即元素的个数为3. 答案:310.已知集合A 含有两个元素a -3和2a -1,若-3∈A ,试求实数a 的值. 解:∈-3∈A ,∈-3=a -3或-3=2a -1. 若-3=a -3,则a =0,此时集合A 含有两个元素-3,-1,符合题意. 若-3=2a -1,则a =-1,此时集合A 含有两个元素-4,-3,符合题意. 综上所述,满足题意的实数a 的值为0或-1.11.集合A 是由形如m +3n (m ∈Z ,n ∈Z )的数构成的,试判断12-3是不是集合A 中的元素?解:∈12-3=2+3=2+3×1,而2,1∈Z ,∈2+3∈A ,即12-3∈A .12.已知M ={2,a ,b },N ={2a,2,b 2},且M =N ,试求a 与b 的值. 解:根据集合中元素的互异性,有⎩⎪⎨⎪⎧ a =2a b =b 2或⎩⎪⎨⎪⎧a =b2b =2a, 解得⎩⎪⎨⎪⎧ a =0b =1或⎩⎪⎨⎪⎧a =0b =0或⎩⎨⎧a =14b =12.再根据集合中元素的互异性,得⎩⎪⎨⎪⎧a =0b =1或⎩⎨⎧a =14b =12.1.下列六个关系式,其中正确的有( )∈{a ,b }={b ,a };∈{a ,b }∈{b ,a };∈∈={∈};∈{0}=∈;∈∈{0};∈0∈{0}.A .6个B .5个C .4个D .3个及3个以下 解析:选C.∈∈∈∈正确.2.已知集合A ,B ,若A 不是B 的子集,则下列命题中正确的是( ) A .对任意的a ∈A ,都有a ∈B B .对任意的b ∈B ,都有b ∈A C .存在a 0,满足a 0∈A ,a 0∈B D .存在a 0,满足a 0∈A ,a 0∈B解析:选C.A 不是B 的子集,也就是说A 中存在不是B 中的元素,显然正是C 选项要表达的.对于A 和B 选项,取A ={1,2},B ={2,3}可否定,对于D 选项,取A ={1},B ={2,3}可否定.3.设A={x|1<x<2},B={x|x<a},若A B,则a的取值范围是()A.a≥2 B.a≤1C.a≥1 D.a≤2解析:选A.A={x|1<x<2},B={x|x<a},要使A B,则应有a≥2.4.集合M={x|x2-3x-a2+2=0,a∈R}的子集的个数为________.解析:∈Δ=9-4(2-a2)=1+4a2>0,∈M恒有2个元素,所以子集有4个.答案:41.如果A={x|x>-1},那么()A.0∈A B.{0}∈AC.∈∈A D.{0}∈A解析:选D.A、B、C的关系符号是错误的.2.已知集合A={x|-1<x<2},B={x|0<x<1},则()A.A>B B.A BC.B A D.A∈B解析:选C.利用数轴(图略)可看出x∈B∈x∈A,但x∈A∈x∈B不成立.3.定义A-B={x|x∈A且x∈B},若A={1,3,5,7,9},B={2,3,5},则A-B等于() A.A B.BC.{2} D.{1,7,9}解析:选D.从定义可看出,元素在A中但是不能在B中,所以只能是D.4.以下共有6组集合.(1)A={(-5,3)},B={-5,3};(2)M={1,-3},N={3,-1};(3)M=∈,N={0};(4)M={π},N={3.1415};(5)M={x|x是小数},N={x|x是实数};(6)M={x|x2-3x+2=0},N={y|y2-3y+2=0}.其中表示相等的集合有()A.2组B.3组C.4组D.5组解析:选A.(5),(6)表示相等的集合,注意小数是实数,而实数也是小数.5.定义集合间的一种运算“*”满足:A*B={ω|ω=xy(x+y),x∈A,y∈B}.若集合A={0,1},B ={2,3},则A *B 的子集的个数是( )A .4B .8C .16D .32解析:选B.在集合A 和B 中分别取出元素进行*的运算,有0·2·(0+2)=0·3·(0+3)=0,1·2·(1+2)=6,1·3·(1+3)=12,因此可知A *B ={0,6,12},因此其子集个数为23=8,选B.6.设B ={1,2},A ={x |x ∈B },则A 与B 的关系是( ) A .A ∈B B .B ∈A C .A ∈B D .B ∈A解析:选D.∈B 的子集为{1},{2},{1,2},∈, ∈A ={x |x ∈B }={{1},{2},{1,2},∈},∈B ∈A .7.设x ,y ∈R ,A ={(x ,y )|y =x },B ={(x ,y )|yx =1},则A 、B 间的关系为________.解析:在A 中,(0,0)∈A ,而(0,0)∈B ,故B A .答案:BA8.设集合A ={1,3,a },B ={1,a 2-a +1},且A ∈B ,则a 的值为________. 解析:A ∈B ,则a 2-a +1=3或a 2-a +1=a ,解得a =2或a =-1或a =1,结合集合元素的互异性,可确定a =-1或a =2.答案:-1或29.已知A ={x |x <-1或x >5},B ={x |a ≤x <a +4},若A B ,则实数a 的取值范围是________.解析:作出数轴可得,要使A B ,则必须a +4≤-1或a >5,解之得{a |a >5或a ≤-5}.答案:{a |a >5或a ≤-5}10.已知集合A ={a ,a +b ,a +2b },B ={a ,ac ,ac 2},若A =B ,求c 的值.解:∈若⎩⎪⎨⎪⎧a +b =ac a +2b =ac2,消去b 得a +ac 2-2ac =0, 即a (c 2-2c +1)=0.当a =0时,集合B 中的三个元素相同,不满足集合中元素的互异性, 故a ≠0,c 2-2c +1=0,即c =1; 当c =1时,集合B 中的三个元素也相同, ∈c =1舍去,即此时无解.∈若⎩⎪⎨⎪⎧a +b =ac 2a +2b =ac ,消去b 得2ac 2-ac -a =0,即a (2c 2-c -1)=0.∈a ≠0,∈2c 2-c -1=0,即(c -1)(2c +1)=0. 又∈c ≠1,∈c =-12.11.已知集合A ={x |1≤x ≤2},B ={x |1≤x ≤a ,a ≥1}. (1)若AB ,求a 的取值范围;(2)若B ∈A ,求a 的取值范围. 解:(1)若AB ,由图可知,a >2.(2)若B ∈A ,由图可知,1≤a ≤2.12.若集合A ={x |x 2+x -6=0},B ={x |mx +1=0},且B A ,求实数m 的值.解:A ={x |x 2+x -6=0}={-3,2}. ∈BA ,∈mx +1=0的解为-3或2或无解.当mx +1=0的解为-3时, 由m ·(-3)+1=0,得m =13;当mx +1=0的解为2时, 由m ·2+1=0,得m =-12;当mx +1=0无解时,m =0. 综上所述,m =13或m =-12或m =0.1.(2010年高考广东卷)若集合A ={x |-2<x <1},B ={x |0<x <2},则集合A ∩B =( ) A .{x |-1<x <1} B .{x |-2<x <1} C .{x |-2<x <2} D .{x |0<x <1}解析:选D.因为A ={x |-2<x <1},B ={x |0<x <2},所以A ∩B ={x |0<x <1}. 2.(2010年高考湖南卷)已知集合M ={1,2,3},N ={2,3,4}则( ) A .M ∈N B .N ∈M C .M ∩N ={2,3} D .M ∈N ={1,4}解析:选C.∈M={1,2,3},N={2,3,4}.∈选项A、B显然不对.M∈N={1,2,3,4},∈选项D错误.又M∩N={2,3},故选C.3.已知集合M={y|y=x2},N={y|x=y2},则M∩N=()A.{(0,0),(1,1)} B.{0,1}C.{y|y≥0} D.{y|0≤y≤1}解析:选C.M={y|y≥0},N=R,∈M∩N=M={y|y≥0}.4.已知集合A={x|x≥2},B={x|x≥m},且A∈B=A,则实数m的取值范围是________.解析:A∈B=A,即B∈A,∈m≥2.答案:m≥21.下列关系Q∩R=R∩Q;Z∈N=N;Q∈R=R∈Q;Q∩N=N中,正确的个数是() A.1B.2C.3 D.4解析:选C.只有Z∈N=N是错误的,应是Z∈N=Z.2.(2010年高考四川卷)设集合A={3,5,6,8},集合B={4,5,7,8},则A∩B等于() A.{3,4,5,6,7,8} B.{3,6}C.{4,7} D.{5,8}解析:选D.∈A={3,5,6,8},B={4,5,7,8},∈A∩B={5,8}.3.(2009年高考山东卷)集合A={0,2,a},B={1,a2}.若A∈B={0,1,2,4,16},则a的值为()A.0 B.1C.2 D.4解析:选D.根据元素特性,a≠0,a≠2,a≠1.∈a=4.4.已知集合P={x∈N|1≤x≤10},集合Q={x∈R|x2+x-6=0},则P∩Q等于() A.{2} B.{1,2}C.{2,3} D.{1,2,3}解析:选A.Q={x∈R|x2+x-6=0}={-3,2}.∈P∩Q={2}.5.(2010年高考福建卷)若集合A={x|1≤x≤3},B={x|x>2},则A∩B等于()A.{x|2<x≤3} B.{x|x≥1}C.{x|2≤x<3} D.{x|x>2}解析:选A.∈A={x|1≤x≤3},B={x|x>2},∈A ∩B ={x |2<x ≤3}.6.设集合S ={x |x >5或x <-1},T ={x |a <x <a +8},S ∈T =R ,则a 的取值范围是( )A .-3<a <-1B .-3≤a ≤-1C .a ≤-3或a ≥-1D .a <-3或a >-1 解析:选A.S ∈T =R ,∈⎩⎪⎨⎪⎧a +8>5,a <-1.∈-3<a <-1. 7.(2010年高考湖南卷)已知集合A ={1,2,3},B ={2,m,4},A ∩B ={2,3},则m =________. 解析:∈A ∩B ={2,3},∈3∈B ,∈m =3. 答案:38.满足条件{1,3}∈M ={1,3,5}的集合M 的个数是________. 解析:∈{1,3}∈M ={1,3,5},∈M 中必须含有5, ∈M 可以是{5},{5,1},{5,3},{1,3,5},共4个. 答案:49.若集合A ={x |x ≤2},B ={x |x ≥a },且满足A ∩B ={2},则实数a =________. 解析:当a >2时,A ∩B =∈; 当a <2时,A ∩B ={x |a ≤x ≤2}; 当a =2时,A ∩B ={2}.综上:a =2. 答案:210.已知A ={x |x 2+ax +b =0},B ={x |x 2+cx +15=0},A ∈B ={3,5},A ∩B ={3},求实数a ,b ,c 的值.解:∈A ∩B ={3},∈由9+3c +15=0,解得c =-8.由x 2-8x +15=0,解得B ={3,5},故A ={3}. 又a 2-4b =0,解得a =-6,b =9. 综上知,a =-6,b =9,c =-8.11.已知集合A ={x |x -2>3},B ={x |2x -3>3x -a },求A ∈B . 解:A ={x |x -2>3}={x |x >5}, B ={x |2x -3>3x -a }={x |x <a -3}. 借助数轴如图:∈当a -3≤5,即a ≤8时,A ∈B ={x |x <a -3或x >5}. ∈当a -3>5,即a >8时,A ∈B ={x |x >5}∈{x |x <a -3}={x |x ∈R }=R . 综上可知当a ≤8时,A ∈B ={x |x <a -3或x >5}; 当a >8时,A ∈B =R .12.设集合A ={(x ,y )|2x +y =1,x ,y ∈R },B ={(x ,y )|a 2x +2y =a ,x ,y ∈R },若A ∩B =∈,求a 的值.解:集合A 、B 的元素都是点,A ∩B 的元素是两直线的公共点.A ∩B =∈,则两直线无交点,即方程组无解.列方程组⎩⎪⎨⎪⎧2x +y =1a 2x +2y =a ,解得(4-a 2)x =2-a ,则⎩⎪⎨⎪⎧4-a 2=02-a ≠0,即a =-2.1.(2010年高考辽宁卷)已知集合U ={1,3,5,7,9},A ={1,5,7},则∈U A =( ) A .{1,3} B .{3,7,9} C .{3,5,9} D .{3,9} 解析:选D.∈U A ={3,9},故选D.2.(2010年高考陕西卷)集合A ={x |-1≤x ≤2},B ={x |x <1},则A ∩(∈R B )=( ) A .{x |x >1} B .{x |x ≥1} C .{x |1<x ≤2} D .{x |1≤x ≤2}解析:选D.∈B ={x |x <1},∈∈R B ={x |x ≥1}, ∈A ∩∈R B ={x |1≤x ≤2}.3. 已知全集U =Z ,集合A ={x |x 2=x },B ={-1,0,1,2},则图中的阴影部分所表示的集合等于( )A .{-1,2}B .{-1,0}C .{0,1}D .{1,2}解析:选A.依题意知A={0,1},(∈U A)∩B表示全集U中不在集合A中,但在集合B中的所有元素,故图中的阴影部分所表示的集合等于{-1,2}.选A.4.已知全集U={x|1≤x≤5},A={x|1≤x<a},若∈U A={x|2≤x≤5},则a=________.解析:∈A∈∈U A=U,∈A={x|1≤x<2}.∈a=2.答案:21.已知全集U={1,2,3,4,5},且A={2,3,4},B={1,2},则A∩(∈U B)等于()A.{2} B.{5}C.{3,4} D.{2,3,4,5}解析:选C.∈U B={3,4,5},∈A∩(∈U B)={3,4}.2.已知全集U={0,1,2},且∈U A={2},则A=()A.{0} B.{1}C.∈ D.{0,1}解析:选D.∈∈U A={2},∈2∈A,又U={0,1,2},∈A={0,1}.3.(2009年高考全国卷∈)设集合A={4,5,7,9},B={3,4,7,8,9},全集U=A∈B,则集合∈U(A∩B)中的元素共有()A.3个B.4个C.5个D.6个解析:选A.U=A∈B={3,4,5,7,8,9},A∩B={4,7,9},∈∈U(A∩B)={3,5,8}.4.已知集合U={2,3,4,5,6,7},M={3,4,5,7},N={2,4,5,6},则()A.M∩N={4,6} B.M∈N=UC.(∈U N)∈M=U D.(∈U M)∩N=N解析:选B.由U={2,3,4,5,6,7},M={3,4,5,7},N={2,4,5,6},得M∩N={4,5},(∈U N)∈M ={3,4,5,7},(∈U M)∩N={2,6},M∈N={2,3,4,5,6,7}=U,选B.5.已知全集U={1,2,3,4,5},集合A={x|x2-3x+2=0},B={x|x=2a,a∈A},则集合∈U(A∈B)中元素个数为()A.1 B.2C.3 D.4解析:选B.∈A={1,2},∈B={2,4},∈A∈B={1,2,4},∈∈U(A∈B)={3,5}.6.已知全集U =A ∈B 中有m 个元素,(∈U A )∈(∈U B )中有n 个元素.若A ∩B 非空,则A ∩B 的元素个数为( )A .mnB .m +nC .n -mD .m -n解析:选D.U =A ∈B 中有m 个元素,∈(∈U A )∈(∈U B )=∈U (A ∩B )中有n 个元素, ∈A ∩B 中有m -n 个元素,故选D.7.设集合U ={1,2,3,4,5},A ={2,4},B ={3,4,5},C ={3,4},则(A ∈B )∩(∈U C )=________. 解析:∈A ∈B ={2,3,4,5},∈U C ={1,2,5}, ∈(A ∈B )∩(∈U C )={2,3,4,5}∩{1,2,5}={2,5}. 答案:{2,5}8.已知全集U ={2,3,a 2-a -1},A ={2,3},若∈U A ={1},则实数a 的值是________. 解析:∈U ={2,3,a 2-a -1},A ={2,3},∈U A ={1}, ∈a 2-a -1=1,即a 2-a -2=0, 解得a =-1或a =2. 答案:-1或29.设集合A ={x |x +m ≥0},B ={x |-2<x <4},全集U =R ,且(∈U A )∩B =∈,求实数m 的取值范围为________.解析:由已知A ={x |x ≥-m }, ∈∈U A ={x |x <-m },∈B ={x |-2<x <4},(∈U A )∩B =∈, ∈-m ≤-2,即m ≥2, ∈m 的取值范围是m ≥2. 答案:{m |m ≥2}10.已知全集U =R ,A ={x |-4≤x <2},B ={x |-1<x ≤3},P ={x |x ≤0或x ≥52},求A ∩B ,(∈U B )∈P ,(A ∩B )∩(∈U P ).解:将集合A 、B 、P 表示在数轴上,如图.∈A ={x |-4≤x <2},B ={x |-1<x ≤3},∈A ∩B ={x |-1<x <2}. ∈∈U B ={x |x ≤-1或x >3}, ∈(∈U B )∈P ={x |x ≤0或x ≥52},(A ∩B )∩(∈U P )={x |-1<x <2}∩{x |0<x <52}={x |0<x <2}.11.已知集合A ={x |x 2+ax +12b =0}和B ={x |x 2-ax +b =0},满足B ∩(∈U A )={2},A ∩(∈U B )={4},U =R ,求实数a ,b 的值.解:∈B ∩(∈U A )={2}, ∈2∈B ,但2∈A .∈A ∩(∈U B )={4},∈4∈A ,但4∈B .∈⎩⎪⎨⎪⎧42+4a +12b =022-2a +b =0,解得⎩⎨⎧a =87b =127.∈a ,b 的值为87,-127.12.已知集合A ={x |2a -2<x <a },B ={x |1<x <2},且A ∈R B ,求实数a 的取值范围.解:∈R B ={x |x ≤1或x ≥2}≠∈, ∈A∈R B ,∈分A =∈和A ≠∈两种情况讨论. ∈若A =∈,此时有2a -2≥a , ∈a ≥2.∈若A ≠∈,则有⎩⎪⎨⎪⎧ 2a -2<a a ≤1或⎩⎪⎨⎪⎧2a -2<a 2a -2≥2.∈a ≤1.综上所述,a ≤1或a ≥2.第二章 基本初等函数1.下列说法中正确的为( ) A .y =f (x )与y =f (t )表示同一个函数 B .y =f (x )与y =f (x +1)不可能是同一函数 C .f (x )=1与f (x )=x 0表示同一函数D .定义域和值域都相同的两个函数是同一个函数解析:选A.两个函数是否是同一个函数与所取的字母无关,判断两个函数是否相同,主要看这两个函数的定义域和对应法则是否相同.2.下列函数完全相同的是( ) A .f (x )=|x |,g (x )=(x )2 B .f (x )=|x |,g (x )=x 2 C .f (x )=|x |,g (x )=x 2xD .f (x )=x 2-9x -3,g (x )=x +3解析:选B.A 、C 、D 的定义域均不同. 3.函数y =1-x +x 的定义域是( ) A .{x |x ≤1} B .{x |x ≥0} C .{x |x ≥1或x ≤0} D .{x |0≤x ≤1}解析:选D.由⎩⎪⎨⎪⎧1-x ≥0x ≥0,得0≤x ≤1.4.图中(1)(2)(3)(4)四个图象各表示两个变量x ,y 的对应关系,其中表示y 是x 的函数关系的有________.解析:由函数定义可知,任意作一条直线x =a ,则与函数的图象至多有一个交点,对于本题而言,当-1≤a ≤1时,直线x =a 与函数的图象仅有一个交点,当a >1或a <-1时,直线x =a 与函数的图象没有交点.从而表示y 是x 的函数关系的有(2)(3).答案:(2)(3)1.函数y =1x 的定义域是( )A .RB .{0}C .{x |x ∈R ,且x ≠0}D .{x |x ≠1}解析:选C.要使1x 有意义,必有x ≠0,即y =1x 的定义域为{x |x ∈R ,且x ≠0}.2.下列式子中不能表示函数y =f (x )的是( ) A .x =y 2+1 B .y =2x 2+1 C .x -2y =6 D .x =y解析:选A.一个x 对应的y 值不唯一. 3.下列说法正确的是( )A .函数值域中每一个数在定义域中一定只有一个数与之对应B .函数的定义域和值域可以是空集C .函数的定义域和值域一定是数集D .函数的定义域和值域确定后,函数的对应关系也就确定了解析:选C.根据从集合A 到集合B 函数的定义可知,强调A 中元素的任意性和B 中对应元素的唯一性,所以A 中的多个元素可以对应B 中的同一个元素,从而选项A 错误;同样由函数定义可知,A 、B 集合都是非空数集,故选项B 错误;选项C 正确;对于选项D ,可以举例说明,如定义域、值域均为A ={0,1}的函数,对应关系可以是x →x ,x ∈A ,可以是x →x ,x ∈A ,还可以是x →x 2,x ∈A .4.下列集合A 到集合B 的对应f 是函数的是( ) A .A ={-1,0,1},B ={0,1},f :A 中的数平方 B .A ={0,1},B ={-1,0,1},f :A 中的数开方 C .A =Z ,B =Q ,f :A 中的数取倒数D .A =R ,B ={正实数},f :A 中的数取绝对值解析:选A.按照函数定义,选项B 中集合A 中的元素1对应集合B 中的元素±1,不符合函数定义中一个自变量的值对应唯一的函数值的条件;选项C 中的元素0取倒数没有意义,也不符合函数定义中集合A 中任意元素都对应唯一函数值的要求;选项D 中,集合A 中的元素0在集合B 中没有元素与其对应,也不符合函数定义,只有选项A 符合函数定义.5.下列各组函数表示相等函数的是( ) A .y =x 2-3x -3与y =x +3(x ≠3)B .y =x 2-1与y =x -1C .y =x 0(x ≠0)与y =1(x ≠0)D .y =2x +1,x ∈Z 与y =2x -1,x ∈Z 解析:选C.A 、B 与D 对应法则都不同.6.设f :x →x 2是集合A 到集合B 的函数,如果B ={1,2},则A ∩B 一定是( ) A .∈ B .∈或{1} C .{1} D .∈或{2}解析:选B.由f :x →x 2是集合A 到集合B 的函数,如果B ={1,2},则A ={-1,1,-2,2}或A ={-1,1,-2}或A ={-1,1,2}或A ={-1,2,-2}或A ={1,-2,2}或A ={-1,-2}或A ={-1,2}或A ={1,2}或A ={1,-2}.所以A ∩B =∈或{1}.7.若[a,3a -1]为一确定区间,则a 的取值范围是________. 解析:由题意3a -1>a ,则a >12.答案:(12,+∞)8.函数y =x +103-2x的定义域是________.解析:要使函数有意义,需满足⎩⎪⎨⎪⎧x +1≠03-2x >0,即x <32且x ≠-1.答案:(-∞,-1)∈(-1,32)9.函数y =x 2-2的定义域是{-1,0,1,2},则其值域是________. 解析:当x 取-1,0,1,2时, y =-1,-2,-1,2, 故函数值域为{-1,-2,2}. 答案:{-1,-2,2} 10.求下列函数的定义域: (1)y =-x 2x 2-3x -2;(2)y =34x +83x -2.解:(1)要使y =-x 2x 2-3x -2有意义,则必须⎩⎪⎨⎪⎧-x ≥0,2x 2-3x -2≠0,解得x ≤0且x ≠-12, 故所求函数的定义域为{x |x ≤0,且x ≠-12}.(2)要使y =34x +83x -2有意义,则必须3x -2>0,即x >23, 故所求函数的定义域为{x |x >23}. 11.已知f (x )=11+x(x ∈R 且x ≠-1),g (x )=x 2+2(x ∈R ). (1)求f (2),g (2)的值; (2)求f (g (2))的值. 解:(1)∈f (x )=11+x ,∈f (2)=11+2=13, 又∈g (x )=x 2+2, ∈g (2)=22+2=6. (2)由(1)知g (2)=6, ∈f (g (2))=f (6)=11+6=17. 12.已知函数y =ax +1(a <0且a 为常数)在区间(-∞,1]上有意义,求实数a 的取值范围.解:函数y =ax +1(a <0且a 为常数). ∈ax +1≥0,a <0,∈x ≤-1a ,即函数的定义域为(-∞,-1a ].∈函数在区间(-∞,1]上有意义, ∈(-∞,1]∈(-∞,-1a ],∈-1a ≥1,而a <0,∈-1≤a <0.即a 的取值范围是[-1,0).1.下列各图中,不能是函数f (x )图象的是( )解析:选C.结合函数的定义知,对A 、B 、D ,定义域中每一个x 都有唯一函数值与之对应;而对C ,对大于0的x 而言,有两个不同值与之对应,不符合函数定义,故选C.2.若f (1x )=11+x ,则f (x )等于( )A.11+x(x ≠-1) B.1+x x (x ≠0)C.x1+x(x ≠0且x ≠-1) D .1+x (x ≠-1) 解析:选C.f (1x )=11+x=1x1+1x(x ≠0), ∈f (t )=t1+t (t ≠0且t ≠-1),∈f (x )=x1+x(x ≠0且x ≠-1). 3.已知f (x )是一次函数,2f (2)-3f (1)=5,2f (0)-f (-1)=1,则f (x )=( ) A .3x +2 B .3x -2 C .2x +3 D .2x -3解析:选B.设f (x )=kx +b (k ≠0), ∈2f (2)-3f (1)=5,2f (0)-f (-1)=1,∈⎩⎪⎨⎪⎧ k -b =5k +b =1,∈⎩⎪⎨⎪⎧k =3b =-2,∈f (x )=3x -2. 4.已知f (2x )=x 2-x -1,则f (x )=________. 解析:令2x =t ,则x =t 2,∈f (t )=⎝⎛⎭⎫t 22-t 2-1,即f (x )=x 24-x2-1. 答案:x 24-x 2-11.下列表格中的x 与y 能构成函数的是( ) A.x非负数非正数y1 -1B.x 奇数 0 偶数 y1-1C.x 有理数 无理数 y1-1D.x 自然数 整数 有理数 y1-1解析:选C.A 中,当x =0时,y =±1;B 中0是偶数,当x =0时,y =0或y =-1;D 中自然数、整数、有理数之间存在包含关系,如x =1∈N(Z ,Q),故y 的值不唯一,故A 、B 、D 均不正确.2.若f (1-2x )=1-x 2x 2(x ≠0),那么f (12)等于( )A .1B .3C .15D .30解析:选C.法一:令1-2x =t ,则x =1-t2(t ≠1),∈f (t )=4t -12-1,∈f (12)=16-1=15. 法二:令1-2x =12,得x =14,∈f (12)=16-1=15. 3.设函数f (x )=2x +3,g (x +2)=f (x ),则g (x )的表达式是( ) A .2x +1 B .2x -1 C .2x -3 D .2x +7解析:选B.∈g (x +2)=2x +3=2(x +2)-1, ∈g (x )=2x -1.4.某学生离家去学校,由于怕迟到,所以一开始就跑步,等跑累了再走余下的路程,在下图中纵轴表示离学校的距离,横轴表示出发后的时间,则下图中较符合此学生走法的是( )解析:选D.由于纵轴表示离学校的距离,所以距离应该越来越小,排除A 、C ,又一开始跑步,速度快,所以D 符合.5.如果二次函数的二次项系数为1且图象开口向上且关于直线x =1对称,且过点(0,0),则此二次函数的解析式为( )A .f (x )=x 2-1B .f (x )=-(x -1)2+1C .f (x )=(x -1)2+1D .f (x )=(x -1)2-1解析:选D.设f (x )=(x -1)2+c , 由于点(0,0)在函数图象上, ∈f (0)=(0-1)2+c =0, ∈c =-1,∈f (x )=(x -1)2-1.6.已知正方形的周长为x ,它的外接圆的半径为y ,则y 关于x 的函数解析式为( ) A .y =12x (x >0) B .y =24x (x >0)C .y =28x (x >0) D .y =216x (x >0) 解析:选C.设正方形的边长为a ,则4a =x ,a =x4,其外接圆的直径刚好为正方形的一条对角线长.故2a =2y ,所以y =22a =22×x 4=28x . 7.已知f (x )=2x +3,且f (m )=6,则m 等于________. 解析:2m +3=6,m =32.答案:328. 如图,函数f (x )的图象是曲线OAB ,其中点O ,A ,B 的坐标分别为(0,0),(1,2),(3,1),则f [1f 3]的值等于________.解析:由题意,f (3)=1, ∈f [1f 3]=f (1)=2. 答案:29.将函数y =f (x )的图象向左平移1个单位,再向上平移2个单位得函数y =x 2的图象,则函数f (x )的解析式为__________________.解析:将函数y =x 2的图象向下平移2个单位,得函数y =x 2-2的图象,再将函数y =x 2-2的图象向右平移1个单位,得函数y =(x -1)2-2的图象,即函数y =f (x )的图象,故f (x )=x 2-2x -1.答案:f (x )=x 2-2x -110.已知f (0)=1,f (a -b )=f (a )-b (2a -b +1),求f (x ). 解:令a =0,则f (-b )=f (0)-b (-b +1) =1+b (b -1)=b 2-b +1. 再令-b =x ,即得f (x )=x 2+x +1. 11.已知f (x +1x )=x 2+1x 2+1x ,求f (x ).解:∈x +1x =1+1x ,x 2+1x 2=1+1x 2,且x +1x ≠1,∈f (x +1x )=f (1+1x )=1+1x 2+1x=(1+1x )2-(1+1x )+1.∈f (x )=x 2-x +1(x ≠1).12.设二次函数f (x )满足f (2+x )=f (2-x ),对于x ∈R 恒成立,且f (x )=0的两个实根的平方和为10,f (x )的图象过点(0,3),求f (x )的解析式.解:∈f (2+x )=f (2-x ),∈f (x )的图象关于直线x =2对称. 于是,设f (x )=a (x -2)2+k (a ≠0), 则由f (0)=3,可得k =3-4a , ∈f (x )=a (x -2)2+3-4a =ax 2-4ax +3. ∈ax 2-4ax +3=0的两实根的平方和为10, ∈10=x 21+x 22=(x 1+x 2)2-2x 1x 2=16-6a , ∈a =1.∈f (x )=x 2-4x +3.1.已知集合A ={a ,b },集合B ={0,1},下列对应不是A 到B 的映射的是( )解析:选C.A 、B 、D 均满足映射的定义,C 不满足A 中任一元素在B 中都有唯一元素与之对应,且A 中元素b 在B 中无元素与之对应.2.(2011年葫芦岛高一检测)设f (x )=⎩⎪⎨⎪⎧x +3 x >10f f x +5 x ≤10,则f (5)的值是( )A .24B .21C .18D .16解析:选A.f (5)=f (f (10)), f (10)=f (f (15))=f (18)=21, f (5)=f (21)=24.3.函数y =x +|x |x的图象为( )解析:选C.y =x +|x |x =⎩⎪⎨⎪⎧x +1 x >0x -1 x <0,再作函数图象.4.函数f (x )=⎩⎪⎨⎪⎧x 2-x +1,x <11x , x >1的值域是________.解析:当x <1时,x 2-x +1=(x -12)2+34≥34;当x >1时,0<1x <1,则所求值域为(0,+∞),故填(0,+∞).答案:(0,+∞)1.设f :A →B 是集合A 到B 的映射,其中A ={x |x >0},B =R ,且f :x →x 2-2x -1,则A 中元素1+2的像和B 中元素-1的原像分别为( )A.2,0或2 B .0,2 C .0,0或2D .0,0或2答案:C2.某城市出租车起步价为10元,最长可租乘3 km(含3 km),以后每1 km 为1.6元(不足1 km ,按1 km 计费),若出租车行驶在不需等待的公路上,则出租车的费用y (元)与行驶的里程x (km)之间的函数图象大致为( )解析:选C.由题意,当0<x ≤3时,y =10;当3<x ≤4时,y =11.6; 当4<x ≤5时,y =13.2; …当n -1<x ≤n 时,y =10+(n -3)×1.6,故选C.3.函数f (x )=⎩⎪⎨⎪⎧2x -x 20≤x ≤3x 2+6x-2≤x ≤0的值域是( )A .RB .[-9,+∞)C .[-8,1]D .[-9,1]解析:选C.画出图象,也可以分段求出部分值域,再合并,即求并集. 4.已知f (x )=⎩⎪⎨⎪⎧x +2x ≤-1,x 2-1<x <22x x ≥2,若f (x )=3,则x 的值是( ) A .1B .1或32C .1,32或± 3D.3解析:选D.该分段函数的三段各自的值域为(-∞,1],[0,4),[4,+∞),而3∈[0,4), ∈f (x )=x 2=3,x =±3,而-1<x <2,∈x = 3.5.已知函数f (x )=⎩⎪⎨⎪⎧1, x 为有理数,0, x 为无理数,g (x )=⎩⎪⎨⎪⎧0, x 为有理数,1, x 为无理数,当x ∈R 时,f (g (x )),g (f (x ))的值分别为( )A .0,1B .0,0C .1,1D .1,0解析:选D.g (x )∈Q ,f (x )∈Q ,f (g (x ))=1,g (f (x ))=0.6.设f (x )=⎩⎪⎨⎪⎧x +12 x ≤-1,2x +1 -1<x <1,1x -1 x ≥1,已知f (a )>1,则实数a 的取值范围是( )A .(-∞,-2)∈⎝⎛⎭⎫-12,+∞ B.⎝⎛⎭⎫-12,12 C .(-∞,-2)∈⎝⎛⎭⎫-12,1D.⎝⎛⎭⎫-12,12∈(1,+∞) 解析:选C.f (a )>1∈⎩⎪⎨⎪⎧ a ≤-1a +12>1或⎩⎪⎨⎪⎧-1<a <12a +1>1或⎩⎪⎨⎪⎧a ≥11a -1>1∈⎩⎪⎨⎪⎧a ≤-1a <-2或a >0或⎩⎪⎨⎪⎧-1<a <1a >-12或⎩⎪⎨⎪⎧a ≥10<a <12∈a <-2或-12<a <1.即所求a 的取值范围是(-∞,-2)∈⎝⎛⎭⎫-12,1. 7.设A =B ={a ,b ,c ,d ,…,x ,y ,z }(元素为26个英文字母),作映射f :A →B 为A 中每一个字母与B 中下一个字母对应,即:a →b ,b →c ,c →d ,…,z →a ,并称A 中的字母组成的文字为明文,B 中相应的字母为密文,试破译密文“nbuj ”:________.解析:由题意可知m →n ,a →b ,t →u ,i →j , 所以密文“nbuj ”破译后为“mati ”. 答案:mati8.已知函数f (x )=⎩⎪⎨⎪⎧x 2, x ≤0,f x -2, x >0,则f (4)=________.解析:f (4)=f (2)=f (0)=0. 答案:09.已知f (x )=⎩⎪⎨⎪⎧1,x ≥0,-1,x <0,则不等式x +(x +2)·f (x +2)≤5的解集是________.解析:原不等式可化为下面两个不等式组⎩⎪⎨⎪⎧x +2≥0x +x +2·1≤5或⎩⎪⎨⎪⎧x +2<0x +x +2·-1≤5,解得-2≤x ≤32或x <-2,即x ≤32.答案:(-∞,32]10.已知f (x )=⎩⎨⎧x 2 -1≤x ≤11 x >1或x <-1,(1)画出f (x )的图象;(2)求f (x )的定义域和值域.解:(1)利用描点法,作出f (x )的图象,如图所示. (2)由条件知, 函数f (x )的定义域为R. 由图象知,当-1≤x ≤1时, f (x )=x 2的值域为[0,1], 当x >1或x <-1时,f (x )=1,所以f (x )的值域为[0,1].11.某汽车以52千米/小时的速度从A 地到260千米远的B 地,在B 地停留112小时后,再以65千米/小时的速度返回A 地.试将汽车离开A 地后行驶的路程s (千米)表示为时间t (小时)的函数.解:∈260÷52=5(小时),260÷65=4(小时),∈s =⎩⎪⎨⎪⎧52t 0≤t ≤5,260 ⎝⎛⎭⎫5<t ≤612,260+65⎝⎛⎭⎫t -612 ⎝⎛⎭⎫612<t ≤1012.12. 如图所示,已知底角为45°的等腰梯形ABCD ,底边BC 长为7 cm ,腰长为2 2 cm ,当垂直于底边BC (垂足为F )的直线l 从左至右移动(与梯形ABCD 有公共点)时,直线l 把梯形分成两部分,令BF =x ,试写出左边部分的面积y 与x 的函数解析式,并画出大致图象.解:过点A ,D 分别作AG ∈BC ,DH ∈BC ,垂足分别是G ,H . 因为ABCD 是等腰梯形, 底角为45°,AB =2 2 cm , 所以BG =AG =DH =HC =2 cm. 又BC =7 cm ,所以AD =GH =3 cm. ∈当点F 在BG 上时, 即x ∈[0,2]时,y =12x 2;∈当点F 在GH 上时, 即x ∈(2,5]时,y =x +x -22×2=2x -2; ∈当点F 在HC 上时,即x ∈(5,7]时, y =S 五边形ABFED =S 梯形ABCD -S Rt∈CEF=12(7+3)×2-12(7-x )2 =-12(x -7)2+10.综合∈∈∈,得函数解析式为y =⎩⎪⎨⎪⎧12x 2x ∈[0,2]2x -2 x ∈2,5].-12x -72+10 x ∈5,7]函数图象如图所示.1.函数f (x )=2x 2-mx +3,当x ∈[-2,+∞)时,f (x )为增函数,当x ∈(-∞,-2]时,函数f (x )为减函数,则m 等于( )A .-4B .-8C .8D .无法确定解析:选B.二次函数在对称轴的两侧的单调性相反.由题意得函数的对称轴为x =-2,则m4=-2,所以m =-8. 2.函数f (x )在R 上是增函数,若a +b ≤0,则有( ) A .f (a )+f (b )≤-f (a )-f (b ) B .f (a )+f (b )≥-f (a )-f (b ) C .f (a )+f (b )≤f (-a )+f (-b ) D .f (a )+f (b )≥f (-a )+f (-b )解析:选C.应用增函数的性质判断. ∈a +b ≤0,∈a ≤-b ,b ≤-a . 又∈函数f (x )在R 上是增函数, ∈f (a )≤f (-b ),f (b )≤f (-a ). ∈f (a )+f (b )≤f (-a )+f (-b ).3.下列四个函数:∈y =x x -1;∈y =x 2+x ;∈y =-(x +1)2;∈y =x1-x +2.其中在(-∞,0)上为减函数的是( )A .∈B .∈C .∈∈D .∈∈∈解析:选A.∈y =x x -1=x -1+1x -1=1+1x -1.其减区间为(-∞,1),(1,+∞).∈y =x 2+x =(x +12)2-14,减区间为(-∞,-12).∈y =-(x +1)2,其减区间为(-1,+∞), ∈与∈相比,可知为增函数.4.若函数f (x )=4x 2-kx -8在[5,8]上是单调函数,则k 的取值范围是________. 解析:对称轴x =k 8,则k 8≤5,或k8≥8,得k ≤40,或k ≥64,即对称轴不能处于区间内.答案:(-∞,40]∈[64,+∞)1.函数y =-x 2的单调减区间是( ) A .[0,+∞) B .(-∞,0] C .(-∞,0) D .(-∞,+∞) 解析:选A.根据y =-x 2的图象可得.2.若函数f (x )定义在[-1,3]上,且满足f (0)<f (1),则函数f (x )在区间[-1,3]上的单调性是( )A .单调递增B .单调递减C .先减后增D .无法判断解析:选D.函数单调性强调x 1,x 2∈[-1,3],且x 1,x 2具有任意性,虽然f (0)<f (1),但不能保证其他值也能满足这样的不等关系.3.已知函数y =f (x ),x ∈A ,若对任意a ,b ∈A ,当a <b 时,都有f (a )<f (b ),则方程f (x )=0的根( )A .有且只有一个B .可能有两个C .至多有一个D .有两个以上解析:选C.由题意知f (x )在A 上是增函数.若y =f (x )与x 轴有交点,则有且只有一个交点,故方程f (x )=0至多有一个根.4.设函数f (x )在(-∞,+∞)上为减函数,则( ) A .f (a )>f (2a ) B .f (a 2)<f (a )C .f (a 2+a )<f (a )D .f (a 2+1)<f (a ) 解析:选D.∈a 2+1-a =(a -12)2+34>0,∈a 2+1>a ,∈f (a 2+1)<f (a ),故选D.5.下列四个函数在(-∞,0)上为增函数的是( ) ∈y =|x |;∈y =|x |x ;∈y =-x 2|x |;∈y =x +x|x |.A .∈∈B .∈∈C .∈∈D .∈∈解析:选C.∈y =|x |=-x (x <0)在(-∞,0)上为减函数; ∈y =|x |x =-1(x <0)在(-∞,0)上既不是增函数,也不是减函数;∈y =-x 2|x |=x (x <0)在(-∞,0)上是增函数;∈y =x +x|x |=x -1(x <0)在(-∞,0)上也是增函数,故选C.6.下列说法中正确的有( )∈若x 1,x 2∈I ,当x 1<x 2时,f (x 1)<f (x 2),则y =f (x )在I 上是增函数; ∈函数y =x 2在R 上是增函数; ∈函数y =-1x在定义域上是增函数;∈y =1x 的单调递减区间是(-∞,0)∈(0,+∞).A .0个B .1个C .2个D .3个解析:选A.函数单调性的定义是指定义在区间I 上的任意两个值x 1,x 2,强调的是任意,从而∈不对;∈y =x 2在x ≥0时是增函数,x ≤0时是减函数,从而y =x 2在整个定义域上不具有单调性;∈y =-1x 在整个定义域内不是单调递增函数.如-3<5,而f (-3)>f (5);∈y =1x 的单调递减区间不是(-∞,0)∈(0,+∞),而是(-∞,0)和(0,+∞),注意写法.7.若函数y =-bx 在(0,+∞)上是减函数,则b 的取值范围是________.解析:设0<x 1<x 2,由题意知 f (x 1)-f (x 2)=-b x 1+b x 2=bx 1-x 2x 1·x 2>0,∈0<x 1<x 2,∈x 1-x 2<0,x 1x 2>0. ∈b <0.答案:(-∞,0)8.已知函数f (x )是区间(0,+∞)上的减函数,那么f (a 2-a +1)与f (34 )的大小关系为________.解析:∈a 2-a +1=(a -12)2+34≥34,∈f (a 2-a +1)≤f (34).答案:f (a 2-a +1)≤f (34)9.y =-(x -3)|x |的递增区间是________. 解析: y =-(x -3)|x |=⎩⎪⎨⎪⎧-x 2+3x x >0x 2-3x x ≤0,作出其图象如图,观察图象知递增区间为[0,32].答案:[0,32]10.若f (x )=x 2+bx +c ,且f (1)=0,f (3)=0. (1)求b 与c 的值;(2)试证明函数f (x )在区间(2,+∞)上是增函数. 解:(1)∈f (1)=0,f (3)=0,∈⎩⎪⎨⎪⎧1+b +c =09+3b +c =0,解得b =-4,c =3. (2)证明:∈f (x )=x 2-4x +3, ∈设x 1,x 2∈(2,+∞)且x 1<x 2,f (x 1)-f (x 2)=(x 21-4x 1+3)-(x 22-4x 2+3) =(x 21-x 22)-4(x 1-x 2) =(x 1-x 2)(x 1+x 2-4), ∈x 1-x 2<0,x 1>2,x 2>2, ∈x 1+x 2-4>0.∈f (x 1)-f (x 2)<0,即f (x 1)<f (x 2). ∈函数f (x )在区间(2,+∞)上为增函数.11.已知f (x )是定义在[-1,1]上的增函数,且f (x -1)<f (1-3x ),求x 的取值范围.解:由题意可得⎩⎪⎨⎪⎧-1≤x -1≤1-1≤1-3x ≤1,x -1<1-3x即⎩⎪⎨⎪⎧0≤x ≤20≤x ≤23,x <12∈0≤x <12.12.设函数y =f (x )=ax +1x +2在区间(-2,+∞)上单调递增,求a 的取值范围.解:设任意的x 1,x 2∈(-2,+∞),且x 1<x 2, ∈f (x 1)-f (x 2)=ax 1+1x 1+2-ax 2+1x 2+2 =ax 1+1x 2+2-ax 2+1x 1+2x 1+2x 2+2=x 1-x 22a -1x 1+2x 2+2.∈f (x )在(-2,+∞)上单调递增, ∈f (x 1)-f (x 2)<0. ∈x 1-x 22a -1x 1+2x 2+2<0,∈x 1-x 2<0,x 1+2>0,x 2+2>0, ∈2a -1>0,∈a >12.1.函数f (x )=9-ax 2(a >0)在[0,3]上的最大值为( ) A .9 B .9(1-a ) C .9-aD .9-a 2解析:选A.x ∈[0,3]时f (x )为减函数,f (x )max =f (0)=9. 2.函数y =x +1-x -1的值域为( ) A .(-∞, 2 ] B .(0, 2 ] C .[2,+∞)D .[0,+∞)解析:选B.y =x +1-x -1,∈⎩⎪⎨⎪⎧x +1≥0x -1≥0,∈x ≥1.∈y =2x +1+x -1为[1,+∞)上的减函数,∈f (x )max =f (1)=2且y >0.3.函数f (x )=x 2-2ax +a +2在[0,a ]上取得最大值3,最小值2,则实数a 为( ) A .0或1 B .1C .2D .以上都不对解析:选B.因为函数f (x )=x 2-2ax +a +2=(x -a )2-a 2+a +2, 对称轴为x =a ,开口方向向上,所以f (x )在[0,a ]上单调递减,其最大值、最小值分别在两个端点处取得,即f (x )max =f (0)=a +2=3,f (x )min =f (a )=-a 2+a +2=2.故a =1.4.(2010年高考山东卷)已知x ,y ∈R +,且满足x 3+y 4=1.则xy 的最大值为________.解析:y 4=1-x 3,∈0<1-x3<1,0<x <3.而xy =x ·4(1-x 3)=-43(x -32)2+3.当x =32,y =2时,xy 最大值为3.答案:31.函数f (x )=x 2在[0,1]上的最小值是( ) A .1 B .0 C.14D .不存在解析:选B.由函数f (x )=x 2在[0,1]上的图象(图略)知, f (x )=x 2在[0,1]上单调递增,故最小值为f (0)=0.2.函数f (x )=⎩⎪⎨⎪⎧2x +6,x ∈[1,2]x +7,x ∈[-1,1],则f (x )的最大值、最小值分别为( )A .10,6B .10,8C .8,6D .以上都不对解析:选A.f (x )在x ∈[-1,2]上为增函数,f (x )max =f (2)=10,f (x )min =f (-1)=6. 3.函数y =-x 2+2x 在[1,2]上的最大值为( ) A .1 B .2 C .-1D .不存在解析:选A.因为函数y =-x 2+2x =-(x -1)2+1.对称轴为x =1,开口向下,故在[1,2]上为单调递减函数,所以y max =-1+2=1.。
高一数学基础试题及答案一、选择题(每题3分,共30分)1. 已知函数f(x) = 2x + 3,求f(-1)的值。
A. -1B. 1C. 5D. -52. 计算下列表达式的值:(3x^2 - 2x + 1) - (x^2 + 4x - 3)。
A. 2x^2 - 6x + 4B. 2x^2 - 6x - 2C. 2x^2 + 2x + 4D. 2x^2 + 2x - 23. 若a > 0,b < 0,且|a| < |b|,则a + b的符号是:A. 正C. 零D. 不确定4. 已知集合A = {x | x^2 - 5x + 6 = 0},求集合A的元素个数。
A. 0B. 1C. 2D. 35. 函数y = x^3 - 3x^2 + 2在x = 1处的导数是:A. 0B. 1C. -1D. 26. 计算下列极限:lim(x→0) (sin(x)/x)。
A. 0C. -1D. 27. 已知等比数列{an}的首项a1 = 2,公比q = 3,求a5的值。
A. 2B. 6C. 18D. 548. 计算下列定积分:∫(0 to 1) (2x + 1) dx。
A. 3/2B. 5/2C. 7/2D. 9/29. 已知向量a = (3, -2),b = (1, 2),求向量a与向量b的点积。
A. -1C. 1D. -710. 计算下列二项式展开式中x^2的系数:(x + 1)^4。
A. 6B. 4C. 10D. 15二、填空题(每题4分,共20分)11. 计算(2x - 3)^2的展开式,并求出x^2的系数。
12. 已知函数f(x) = x^2 - 4x + 3,求f(x)的最小值。
13. 计算下列二项式展开式的通项公式:(1 + x)^n。
14. 已知向量a = (4, 1),b = (2, -3),求向量a与向量b的叉积。
15. 计算下列极限:lim(x→∞) (x^2 - 3x + 2) / (2x^2 + 5x - 3)。
高中数学试卷必修一基础50题一、单选题(共15题;共30分)1.已知函数y=sinx的定义域为值域为,则的值不可能是( )A. B. C. D.2.已知集合, ,则()A. B. C. D.3.设集合是锐角,,从集合到的映射是“求正弦值”,则与中元素相对应的中元素是()A. B. C. D.4.设f(x)为周期是2的奇函数,当时,f(x)=x(x+1),则当时,f(x)的表达式为( )A. (x-5)(x-4)B. (x-6)(x-5)C. (x-6)(5-x)D. (x-6)(7-x)5.已知集合A={x|x<a},B={x|1<x<2},且A∪(∁R B)=R,则实数a的取值范围是()A. a≤1B. a<1C. a≥2D. a>26.已知集合,,则()A. B. C. D.7.已知函数的定义域为,的定义域为()A. B. C. D.8.已知偶函数在区间上是增函数,如果,则x的取值范围是()A. B. C. D.9.二次函数图象的对称轴方程为()A. B. C. D.10.下列函数中,既是偶函数,又在区间(0,+∞)单调递减的函数是()A. y=﹣x3B. y=ln|x|C. y=cosxD. y=2﹣|x|11.函数f(x)=a x﹣1+2的图象恒过定点()A. (3,1)B. (0,2)C. (1,3)D. (0,1)12.集合,,若,则实数a的取值范围是()A. B. C. D.13.若一系列函数的解析式相同,值域相同,但定义域不同,则称这些函数为“合一函数”,那么函数解析式为y=2x2﹣1,值域为{1,7}的“合一函数”共有()A. 10个B. 9个C. 8个D. 4个14.已知,b=0.53,,则a,b,c三者的大小关系是()A. b<a<cB. c<a<bC. a<c<bD. a<b<c15.若全集U=R,集合A={x|0<x<2},B={x|x﹣1>0},则A∩∁U B=()A. {x|0<x≤1}B. {x|1<x<2}C. {x|0<x<1}D. {x|1≤x<2}二、填空题(共20题;共21分)16.已知A={x|x<2},B={x|x<m},若B是A的子集,则实数m的取值范围为________.17.若二次函数的图象经过点,则代数式的值等于________.18.已知集合A={x|y=lg(2﹣x)},集合B=[y|y= },则A∩B=________.19.已知函数f(x)=2x﹣3,x∈N且1≤x≤5,则函数的值域为________.20.设集合M={x|﹣1<x<1},N={x|0≤x<2},则M∪N=________.21.设函数在区间上的最大值为,则________.22.函数的定义域为________.23.若函数f(x)= 在(﹣1,+∞)上的值域为________.24.已知幂函数的图象过点,则的单调减区间为________.25.设函数f(x)=(x﹣4)0+ ,则函数f(x)的定义域为________.26.若f(x)=2x+2﹣x lga是奇函数,则实数a=________.27.已知函数是奇函数,则=________.28.已知全集U={﹣1,0,2,4},集合A={0,2},则________.29.函数的单调递增区间为________.30.已知函数f(x)=,则f[f(-2)]=________ ,f(x)的最小值是________.31.设函数,若,则________.32.计算:的结果是________ .33.函数的单调增区间为________.34.化简:+=________35.已知集合,,若存在非零整数k,满足,则________.三、解答题(共15题;共135分)36.设,求证:(1);(2).37.设A={x|﹣1≤x≤a},(a>﹣1),B={y|y=x+1,x∈A}.C={y|y=x2,x∈A},若B=C,求a的值.38.(1)计算:;(2)已知( ) ,求的值.39.已知集合A={x|x<﹣1或x>4},B={x|2a≤x≤a+3},若B⊆A,求实数a的取值范围.40.已知集合A={x|﹣3<x≤4},集合B={x|k+1≤x≤2k﹣1},且A∪B=A,试求k的取值范围.41.比较下列各题中两个值的大小.(1)1.82.2,1.83;(2)0.7-0.3,0.7-0.4;(3)1.90.4,0.92.4.42.已知函数f(x)= 的定义域为(﹣1,1),满足f(﹣x)=﹣f(x),且f()= .(1)求函数f(x)的解析式;(2)证明f(x)在(﹣1,1)上是增函数;(3)解不等式f(x2﹣1)+f(x)<0.43.已知函数.(1)求函数的定义域;(2)是否存在实数a,使得为奇函数.44.已知全集U={x|﹣5≤x≤3},集合A={x|﹣5≤x<﹣1},B={x|﹣1≤x≤1}.(1)求A∩B,A∪B;(2)求(∁U A)∩(∁U B),(∁U A)∪(∁U B).45.设集合,.若,求的值46.设函数f(x)=ax2+(b﹣8)x﹣a﹣ab的两个零点分别是﹣3和2.(Ⅰ)求f(x);(Ⅱ)当函数f(x)的定义域是[0,1]时,求函数f(x)的值域.47.已知全集,若集合,B={x|x-m<0} .(1)若,求;(2)若, 求实数的取值范围.48.已知集合,.(1)当m=4时,求,;(2)若,求实数m的取值范围.49.已知A={x|x2﹣2x﹣3<0},B={x||x﹣1|<a}.(1)若A⊊B,求实数a的取值范围;(2)若B⊊A,求实数a的取值范围.50.已知,,全集.(1)求和;(2)已知非空集合,若,求实数的取值范围.答案解析部分一、单选题1.【答案】B2.【答案】D3.【答案】A4.【答案】B5.【答案】D6.【答案】B7.【答案】C8.【答案】A9.【答案】D10.【答案】B11.【答案】D12.【答案】C13.【答案】A14.【答案】B15.【答案】C二、填空题16.【答案】17.【答案】[ ,1]18.【答案】{2,4}19.【答案】;20.【答案】821.【答案】b<a<c22.【答案】23.【答案】24.【答案】25.【答案】26.【答案】27.【答案】028.【答案】{0,2,6,10}29.【答案】30.【答案】231.【答案】②③32.【答案】33.【答案】[2,5)34.【答案】35.【答案】三、解答题36.【答案】(1)解:(2)。
高中数学必修1基础知识过关100题带答案1.方程组3x=6,x+2y=6的解构成的集合是{2}。
2.不同于另外三个集合的是C.{x=1}。
3.若函数f(x)=ax^2-x-1有且仅有一个零点,则实数a的值为1/4.4.是空集的是C.{x|x^2<0}。
5.能使A⊇B成立的实数a的取值范围是B.{a|3<a<4}。
6.若B⊆A,则实数m=4.7.M∪N={3,5,6,7,8}。
8.A∩B={x|x>-1}。
9.M∩N={0}。
10.A∩B={x|-1<x≤3}。
11.A∩(∁B U)=C.{3}。
12.集合C={x|x≥1/2}。
则f(x)=2x+1,x>2或x<-427.若f(x)=ax+b,且f(1)=2,f(2)=3,则a=(),b=().28.已知函数f(x)=x2-4x+3,g(x)=2x-1,则f(g(x))=()A.4x2-12xB.4x2-8x-1C.4x2-4x-1D.4x2-4x+129.已知函数f(x)=x2-x+1,g(x)=x+1,则f(g(x))=() A.x2+2xB.x2+x+1C.x2+2x+1D.x2-2x+130.已知函数f(x)=x3+1,g(x)=x-1,则f(g(x))=()A.x3-x2+xB.x3-3x2+3xC.x3-3xD.x3-2x2+x31.已知函数f(x)=x+1,g(x)=2x-1,则f(g(x))=()A.2xB.2x+1C.2x+2D.2x-132.已知函数f(x)=2x-1,g(x)=x2,则f(g(x))=()A.2x2-1B.2x4-1C.2x2-2D.2x4-2x+133.已知函数f(x)=x2-1,g(x)=x+1,则f(g(x))=()A.x2+2xB.x2+2x+1C.x2+2x-1D.x2+x34.已知函数f(x)=x+1,g(x)=x2,则f(g(x))=()A.x2+xB.x2+x+1C.x2+2xD.x2+2x+135.已知函数f(x)=x2+1,g(x)=x+1,则f(g(x))=()A.x2+2xB.x2+2x+1C.x2+x+2D.x2+2x+236.已知函数f(x)=|x|,g(x)=x2,则f(g(x))=()A.|x2|B.x2C.x2+1D.|x2|+137.已知函数f(x)=x2,g(x)=|x|,则f(g(x))=()A.x4B.x2C.|x|2D.|x|27.已知函数f(x) = {2x。
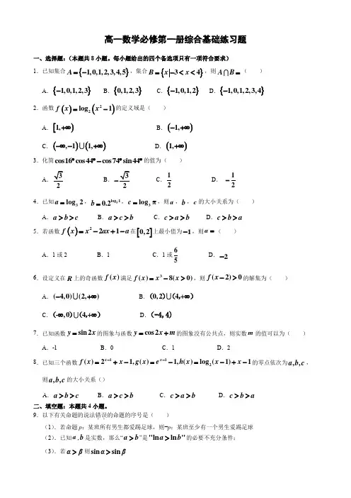
高一数学必修第一册综合基础练习题一、选择题:(本题共8小题。
每小题给出的四个备选项只有一项符合要求)1.已知集合{}1,0,1,2,3,4,5A =-,集合{}34B x x =-<<,则A B =( ) A .{}1,0,1,2,3- B .{}0,1,2,3 C .{}1,0,1,2- D .{}1,0,1,2,3,4-2.函数()()22log 1f x x =-的定义域是( )A .[)1,+∞ B .()1,-+∞ C .()(),11,-∞-+∞ D .()1,+∞3.化简cos16cos44cos74sin44︒︒-︒︒的值为( )A .2B .2-C .12D .12- 4.已知3log 2a =,5log 10.2b =,3log πc =,则a ,b ,c 的大小关系为( ) A .a b c >> B .a c b >>C .c a b >>D .c b a >> 5.若函数()221f x x ax a =-+-在[]0,2上最小值为1-,则a =( )A .1或2B .1C .1或65D .2- 6.设定义在R 上的奇函数()f x 满足3()8(0)f x x x =->,则(2)0f x ->的解集为( ) A .(4,0)(2,)-+∞ B .0,24+∞()(,)C .-,04+∞∞()(,)D .(-4,4) 7.已知函数sin 2y x =的图象与函数cos 2y x m =+的图象没有公共点,则实数m 的值可以为( ) A .-1B .0C .1D .2 8.已知三个函数112()21,()1,()log (1)1x x f x x g x e h x x x --=+-=-=-+-的零点依次为,,a b c ,则,,a b c 的大小关系()A .a b c >>B .a c b >>C .c a b >>D .c b a >> 二、填空题:本题共4小题。
必修一数学练习题及答案一、选择题1. 已知集合A={1,2,3},B={2,3,4},则A∩B的元素个数为()A. 1B. 2C. 3D. 42. 函数f(x)=2x^2-3x+1在区间(-∞,-1)上是()A. 增函数B. 减函数C. 常数函数D. 非单调函数3. 若sinθ+cosθ=a,则sin^2θ+cos^2θ的值为()A. a^2B. 1C. 2D. 04. 已知等差数列的前三项为2, 5, 8,求该数列的第10项。
A. 23B. 21C. 20D. 195. 已知点A(1,2)和点B(4,6),求线段AB的中点坐标。
A. (2,4)B. (3,5)C. (4,8)D. (5,7)二、填空题1. 已知圆的方程为(x-3)^2+(y+1)^2=25,求该圆的半径。
2. 函数y=x^3-2x^2+3x-1在x=1处的导数为______。
3. 若等比数列的前三项为3, 9, 27,求该数列的公比。
4. 已知直线l1: y=2x+1和直线l2: y=-4x-7,求两直线的交点坐标。
5. 已知正弦函数y=sin(2x-π/3)的周期为π,求其振幅。
三、解答题1. 解不等式:|x+2|-|x-3|<4。
2. 已知函数f(x)=x^3-3x^2+2,求其在区间[1,3]上的最大值和最小值。
3. 求椭圆x^2/a^2+y^2/b^2=1(其中a>b>0)的焦点坐标。
4. 已知某函数的导数为f'(x)=6x^5-15x^4+6x^3,求原函数f(x)。
5. 证明:对于任意实数x,等式e^x > 1+x恒成立。
答案:一、选择题1. B2. A3. B4. A5. B二、填空题1. 半径为5。
2. 导数为-3。
3. 公比为3。
4. 交点坐标为(-1,-5)。
5. 振幅为1。
三、解答题1. 解不等式:首先考虑绝对值,将不等式分为两部分,当x<-2时,不等式变为-x-2+x-3<4,解得x>-5,所以x属于(-5,-2);当-2≤x<3时,不等式变为x+2+x-3<4,解得x<2.5,所以x属于[-2,3);当x≥3时,不等式变为x+2-x+3<4,无解。
高中数学必修1练习题及讲解### 高中数学必修1练习题及讲解#### 练习题1:函数的概念与性质题目:给定函数 \( f(x) = 3x^2 - 2x + 1 \),求:1. 函数的值域。
2. 函数的对称轴。
解答:1. 首先,我们可以通过完成平方来找到函数的顶点。
函数 \( f(x) = 3x^2 - 2x + 1 \) 可以重写为 \( f(x) = 3(x - \frac{1}{3})^2 +\frac{2}{3} \)。
由于 \( (x - \frac{1}{3})^2 \) 总是非负的,函数的最小值是 \( \frac{2}{3} \),因此值域是 \( [\frac{2}{3},+\infty) \)。
2. 对称轴是二次函数的顶点的 x 坐标,即 \( x = \frac{1}{3} \)。
#### 练习题2:指数函数题目:解指数方程 \( 2^x = 8 \)。
解答:由于 \( 8 = 2^3 \),我们可以将方程 \( 2^x = 8 \) 写成 \( 2^x= 2^3 \)。
由于底数相同,指数必须相等,所以 \( x = 3 \)。
#### 练习题3:对数函数题目:如果 \( \log_{10}100 = 2 \),求 \( \log_{10}1000 \)。
解答:由于 \( 1000 = 10 \times 100 \),我们可以将 \( \log_{10}1000 \) 写成 \( \log_{10}(10 \times 100) \)。
根据对数的性质,这等于 \( \log_{10}10 + \log_{10}100 \)。
我们知道 \( \log_{10}10 = 1 \),所以 \( \log_{10}1000 = 1 + 2 = 3 \)。
#### 练习题4:三角函数题目:已知 \( \sin \theta = \frac{3}{5} \) 且 \( \theta \) 在第一象限,求 \( \cos \theta \)。
数学测试一、选择题1.下列函数与x y =有相同图象的一个函数是( )A .2x y = B .x x y 2= C .)10(log ≠>=a a a y x a 且 D .x a a y log = 2.下列函数中是奇函数的有几个( ) ①11x x a y a +=- ②2lg(1)33x y x -=+- ③x y x = ④1log 1a x y x +=- A .1 B .2 C .3 D .43.函数y x =3与y x =--3的图象关于下列那种图形对称( )A .x 轴B .y 轴C .直线y x =D .原点中心对称4.下列函数为偶函数是是 ( )A )f(x)=x 2+x-1B )f(x)=x|x|C )f(x)=x 2-x 3D )()f x =5.函数y = )A .[1,)+∞B .2(,)3+∞ C .2[,1]3 D .2(,1]3 6.三个数60.70.70.76log 6,,的大小关系为( ) A . 60.70.70.7log 66<< B . 60.70.70.76log 6<< C .0.760.7log 660.7<< D . 60.70.7log 60.76<<7.若f x x (ln )=+34,则f x ()的表达式为( )A .3ln xB .3ln 4x +C .3x eD .34xe + 二、填空题1.985316,8,4,2,2从小到大的排列顺序是 。
2.若3)1()(2++-=mx x m x f 是偶函数,则)(x f 的递增区间是____________。
3.计算:(log )log log 2222545415-++= 。
4.函数1218x y -=的定义域是______;5.判断函数2lg(y x x =的奇偶性 。
三、解答题1.已知二次函数f(x)的图像的顶点是(-1,2),且过原点,求f(x)的表达式附加题。
第一章 集合与函数概念 1.1.1(1)集合的含义与表示1.下列几组对象可以构成集合的是( ).A .充分接近π的实数的全体B .善良的人C .某校高一所有聪明的同学D .某单位所有身高在1.7 m 以上的人2.下面有四个语句:①集合N *中最小的数是0;②-a ∉N ,则a ∈N ;③a ∈N ,b ∈N ,则a +b 的最小值是2;④x 2+1=2x 的解集中含有2个元素. 其中正确语句的个数是( ). A .0 B .1 C .2 D .33.下列所给关系正确的个数是( ).①π∈R ; ②3∉Q ; ③0∈N *; ④|-4|∉N *.A .1B .2C .3D .44.已知x 、y 、z 为非零实数,代数式x |x |+y |y |+z |z |+|xyz |xyz的值所组成的集合是M ,则下列判断正确的是( ).A .0∉M B .2∈M C .-4∉M D .4∈M5.满足“a ∈A 且4-a ∈A ”,a ∈N 且4-a ∈N 的有且只有2个元素的集合A 的个数是( ).A .0B .1C .2D .36.设集合M 中的元素为平行四边形,p 表示某个矩形,q 表示某个梯形,则p ________M ,q ________M .7.已知集合A 中只含有1,a 2两个元素,则实数a 不能取的值为________.8.集合A 中的元素y 满足y ∈N 且y =-x 2+1,若t ∈A ,则t 的值为________.9.以方程x 2-5x +6=0和方程x 2-x -2=0的解为元素的集合中共有________个元素.10.设1,0,x 三个元素构成集合A ,若x 2∈A ,求实数x 的值.11.已知集合M 中含有三个元素2,a ,b ,集合N 中含有三个元素2a,2,b 2,且M =N ,求a ,b 的值.12.(能力提升)设P 、Q 为两个非空实数集合,P 中含有0,2,5三个元素,Q 中含有1,2,6三个元素,定义集合P +Q 中的元素是a +b ,其中a ∈P ,b ∈Q ,则P +Q 中元素的个数是多少?1.1.1(2)集合的含义与表示1.下列集合表示法正确的是( ).A .{1,2,2}B .{全体实数}C .{有理数}D .{祖国的大河} 2.集合M ={(x ,y )|xy >0,x ∈R ,y ∈R }是指( ).A .第一象限内的点集B .第三象限内的点集C .第一、三象限内的点集D .第二、四象限内的点集 3.下列语句:①0与{0}表示同一个集合;②由1,2,3组成的集合可表示为{1,2,3}或{3,2,1};③方程(x -1)2(x -2)2=0的所有解的集合可表示为{1,1,2}; ④集合{x |4<x <5}可以用列举法表示. 正确的是( ).A .只有①和④B .只有②和③C .只有②D .以上语句都不对 4.直线y =2x +1与y 轴的交点所组成的集合为( ).A .{0,1}B .{(0,1)}C.⎩⎨⎧⎭⎬⎫-12,0 D.⎩⎨⎧⎭⎬⎫⎝ ⎛⎭⎪⎫-12,05.集合A ={y |y =x 2+1},集合B ={(x ,y )|y =x 2+1}(A 、B 中x ∈R ,y ∈R ).选项中元素与集合的关系都正确的是( ).A .2∈A ,且2∈B B .(1,2)∈A ,且(1,2)∈BC .2∈A ,且(3,10)∈BD .(3,10)∈A ,且2∈B 6.集合A ={a ,b ,(a ,b )}含有________个元素.7.用列举法表示集合A =⎩⎨⎧⎭⎬⎫x |x ∈Z ,86-x ∈N =________.8.已知集合{-1,0,1}与集合{0,a ,b }相等,则a 2 010+b 2 011的值等于________.9.设-5∈{x |x 2-ax -5=0},则集合{x |x 2+ax +3=0}中所有元素之和为________.10.用另一种方法表示下列集合.(1){绝对值不大于2的整数};(2){能被3整除,且小于10的正数};(3){x |x =|x |,x <5且x ∈Z };(4){(x ,y )|x +y =6,x ∈N *,y ∈N *};(5){-3,-1,1,3,5}.11.用适当的方法表示下列对象构成的集合. (1)绝对值不大于3的整数;(2)平面直角坐标系中不在第一、三象限内的点; (3)方程2x +1+|y -2|=0的解.12.(能力提升)已知集合M ={0,2,4},定义集合P ={x |x =ab ,a ∈M ,b ∈M },求集合P .1.1.2 集合间的基本关系1.下列说法:①空集没有子集;②任何集合至少有两个子集; ③空集是任何集合的真子集;④若∅A ,则A ≠∅. 其中正确的有( ).A .0个B .1个C .2个D .3个2.如果A ={x |x >-1},那么正确的结论是( ).A .0⊆AB .{0}AC .{0}∈AD .∅∈A3.集合A ={x |0≤x <3且x ∈Z }的真子集的个数是( ).A .5B .6C .7D .84.下列关系中正确的是________.①∅∈{0};②∅{0};③{0,1}⊆{(0,1)};④{(a ,b )}={(b ,a )}.5.集合U 、S 、T 、F 的关系如图所示,下列关系错误的有________.①S U ;②F T ;③S T ;④S F ;⑤S F ;⑥F U .6.已知集合A ={(x ,y )|x +y =2,x ,y ∈N },试写出A 的所有子集.7.已知集合A =⎩⎨⎧⎭⎬⎫x |x =k3,k ∈Z ,B =⎩⎨⎧⎭⎬⎫x |x =k6,k ∈Z ,则( ).A .AB B .B AC .A =BD .A 与B 关系不确定8.满足{a }⊆M {a ,b ,c ,d }的集合M 共有( ).A .6个B .7个C .8个D .15个9.设A ={1,3,a },B ={1,a 2-a +1},若B A ,则a 的值为________.10.已知集合P ={x |x 2=1},集合Q ={x |ax =1},若Q ⊆P ,那么a 的取值是________.11.已知M ={a -3,2a -1,a 2+1},N ={-2,4a -3,3a -1},若M =N ,求实数a 的值.12.(能力提升)已知集合A ={x |-2≤x ≤5},B ={x |m +1≤x ≤2m -1}. (1)若B ⊆A ,求实数m 的取值范围; (2)若x ∈Z ,求A 的非空真子集的个数;(3)当x ∈R 时,若没有元素使x ∈A 与x ∈B 同时成立,求实数m 的取值范围.1.1.3(1)集合的基本运算(交集与并集)1.已知集合M ={x |-3<x ≤5},N ={x |x <-5或x >5},则M ∪N 等于( ).A .{x |x <-5或x >-3}B .{x |-5<x <5}C .{x |-3<x <5}D .{x |x <-3或x >5}2.满足条件M ∪{1}={1,2,3}的集合M 的个数是( ).A .1B .2C .3D .43.设集合M ={m ∈Z |-3<m <2},N ={n ∈Z |-1≤n ≤3},则M ∩N 等于( ).A .{0,1}B .{-1,0,1}C.{0,1,2} D.{-1,0,1,2}4.满足{1,3}∪A={1,3,5}的所有集合A的个数是( ).A.1 B.2 C.3 D.45.已知集合A={(x,y)|y=2x+1},B={x|y=x-1},则A∩B=().A.{-2} B.{(-2,-3)}C.∅D.{-3}6.满足{0,1}∪A={0,1,2}的所有集合A是________.7.若集合P={x|x2=1},集合M={x|x2-2x-3=0},则P∩M=________.8.设集合A={x|x>-1},B={x|-2<x<2},则A∪B=________.9.集合A={0,2,a2},B={1,a},若A∩B={1},则a=________.10.已知集合A={1,3,5},B={1,2,x2-1},若A∪B={1,2,3,5},求x及A∩B.11.若A∩B=A,A∪C=C,B={0,1,2},C={0,2,4},写出满足上述条件的所有集合A. 12.(能力提升)设U={1,2,3},M,N是U的子集,若M∩N={1,3},则称(M,N)为一个“理想配集”,求符合此条件的“理想配集”的个数(规定(M,N)与(N,M)不同).1.1.3(2)集合的基本运算(补集及综合运算)1.设全集U=R,A={x|0≤x≤6},则∁R A=( ).A.{0,1,2,3,4,5,6} B.{x|x<0或x>6}C.{x|0<x<6} D.{x|x≤0或x≥6}2.已知全集U={2,5,8},且∁U A={2},则集合A的真子集个数为( ).A.3 B.4 C.5 D.63.若A为全体正实数的集合,B={-2,-1,1,2},则下列结论中正确的是( ).A.A∩B={-2,-1} B.(∁R A)∪B={-2,-1,1}C.A∪B={1,2} D.(∁R A)∩B={-2,-1}4.在如图中,用阴影表示出集合(∁U A)∩(∁U B).5.已知U 为全集,集合M 、N 是U 的子集,若M ∩N =N ,则( ).A .(∁U M )⊇(∁U N )B .M ⊆(∁U N )C .(∁U M )⊆(∁U N )D .M ⊇(∁U N )6.已知集合A ={x |x <a },B ={x |1<x <2},且A ∪(∁R B )=R ,则实数a 的取值范围是( ).A .a ≤2 B.a <1 C .a ≥2 D.a >27.已知集合A ={3,4,m },集合B ={3,4},若∁A B ={5},则实数m =________.8.设全集U =A ∪B ={x ∈N *|0<x <10},若A ∩(∁U B )={m |m =2n +1,n =0,1,2,3,4},则集合B =________.9.设U ={0,1,2,3},A ={x ∈U |x 2+mx =0},若∁U A ={1,2},则实数m =________.10.设全集U =R ,集合A ={x |x ≥0},B ={y |y ≥1},则∁U A 与∁U B 的包含关系是________.11.已知全集U =R ,A ={x |-4≤x ≤2},B ={x |-1<x ≤3},P ={x |x ≤0或x ≥52},(1)求A ∩B ;(2)求(∁U B )∪P ;(3)求(A ∩B )∩(∁U P ).12.(能力提升)已知全集U =R ,集合A ={x |-1≤x ≤2},B ={x |4x +p <0},且B ⊆∁U A ,求实数p 的取值范围.1.2.1函数的概念1.下列式子中不能表示函数y =f (x )的是( ).A .x =y 2+1B .y =2x 2+1 C .x -2y =6 D .x =y2.函数y =1-x +x 的定义域是( ).A .{x |x ≥0} B.{x |x ≥1}C .{x |x ≥1}∪{0}D .{x |0≤x ≤1} 3.与y =|x |为相等函数的是( ).A .y =(x )2B .y =x 2C .y =⎩⎪⎨⎪⎧x x >0-x x <0D .y =3x 34.给出下列函数:①y =x 2-x +2,x >0;②y =x 2-x ,x ∈R ;③y =t 2-t +2,t ∈R ;④y =t 2-t +2,t >0.其中与函数y =x 2-x +2,x ∈R 是相等函数的是________.5.如果函数f :A →B ,其中A ={-3,-2,-1,1,2,3,4},对于任意a ∈A ,在B 中都有唯一确定的|a |和它对应,则函数的值域为________.6.已知函数f (x )=x 2-4x +5,f (a )=10,求a 的值.7.下列各组函数表示相等函数的是( ).A .y =x 2-9x -3与y =x +3B .y =x 2-1与y =x -1C .y =x 0(x ≠0)与y =1(x ≠0)D.y =2x +1,x ∈Z 与y =2x -1,x ∈Z8.设f (x )=x 2-1x 2+1,则f 2f ⎝ ⎛⎭⎪⎫12=( ).A .1B .-1 C.35 D .-359.y =x +4x +2的定义域为________.10.集合{x |-1≤x <0或1<x ≤2}用区间表示为________.11.求函数y =x +26-2x -1的定义域,并用区间表示.12.(能力提升)若函数f (x )的定义域为[-2,1],求g (x )=f (x )+f (-x )的定义域.1.2.2(1)函数的表示法1.若g (x +2)=2x +3,g (3)的值是( ). A .9 B .7 C .5 D .32.已知正方形的周长为x ,它的外接圆的半径为y ,则y 关于x 的解析式为( ).A .y =12xB .y =24xC .y =28xD .y =216x3.下列图形中,不可能作为函数y =f (x )图象的是( ).4.已知f (2x +1)=3x -2且f (a )=4,则a 的值为________. 5.已知f (x )与g (x )分别由下表给出那么f (g (3))=________.6.已知函数f (x )是二次函数,且它的图象过点(0,2),f (3)=14,f (-2)=8+52,求f (x )的解x 1 2 3 4 g (x ) 3 1 4 2x 1 2 3 4 f (x ) 4 3 2 1析式.7.下列表格中的x 与y 能构成函数的是( ). A.B.C.D.8.已知函数f (x +1)=3x +2,则f (x )的解析式是( ).A .f (x )=3x +2B .f (x )=3x +1C .f (x )=3x -1D .f (x )=3x +4 9.下列图形中,可以是函数y =f (x )图象的是________.11.作出下列函数的图象:(1)f (x )=x +x 0;(2)f (x )=1-x (x ∈Z ,且-2≤x ≤2).12.(能力提升)已知函数f (x )对任意实数a 、b ,都有f (ab )=f (a )+f (b )成立. (1)求f (0)与f (1)的值;(2)求证:f ⎝ ⎛⎭⎪⎫1x =-f (x );(3)若f (2)=p ,f (3)=q (p ,q 均为常数),求f (36)的值.1.2.2.(2)函数的表示法(分段函数及映射)1.下列对应不是映射的是( ).2.以下几个论断:①从映射角度看,函数是其定义域到值域的映射; ②函数y =x -1,x ∈Z 且x ∈(-3,3]的图象是一条线段; ③分段函数的定义域是各段定义域的并集,值域是各段值域的并集; ④若D 1、D 2分别是分段函数的两个不同对应关系的值域,则D 1∩D 2=∅. 其中正确的论断有( ).A .0个B .1个C .2个D .3个3.若定义运算a ⊙b =⎩⎪⎨⎪⎧ba ≥b ,a a <b ,则函数f (x )=x ⊙(2-x )的值域是( ).A .(-∞,1]B .(-∞,1)C .(-∞,+∞) D.(1,+∞)4.设集合P ={x |0≤x ≤4},Q ={y |0≤y ≤2},则下列的对应不表示从P 到Q 的映射的是( ).A .f :x →y =12xB .f :x →y =13xC .f :x →y =23x D .f :x →y =xx 非负数 非正数 y 1 -1 x 奇数 0 偶数y 1 0 -1 x 有理数 无理数 y 1 -1 x 自然数 整数 有理数y 1 0 -15.下列图形是函数y =⎩⎪⎨⎪⎧x 2, x <0x -1,x ≥0的图象的是________.6.已知f (x )=⎩⎪⎨⎪⎧2x ,x <0,x 2,x ≥0,若f (x )=16,则x 的值为________.7.作出函数y =⎩⎪⎨⎪⎧1x0<x <1,xx ≥1的图象,并求其值域.8.函数f (x )=|x -1|的图象是( ).9.设函数f (x )=⎩⎪⎨⎪⎧x 2+2 x ≤2,2x x >2,若f (x 0)=8,则x 0=________.10.设集合A =B ={(x ,y )|x ∈R ,y ∈R },点(x ,y )在映射f :A →B 的作用下对应的点是(x -y ,x +y ),则B 中点(3,2)对应的A 中点的坐标为________.11.已知f (x )=⎩⎪⎨⎪⎧x x +4x ≥0,x x -4 x <0,若f (1)+f (a +1)=5,求a 的值.12.(能力提升)在交通拥挤及事故多发地段,为了确保交通安全,规定在此地段内,车距d 是车速v (公里/小时)的平方与车身长S (米)的积的正比例函数,且最小车距不得小于车身长的一半.现假定车速为50公里/小时,车距恰好等于车身长,试写出d 关于v 的函数关系式(其中S 为常数).1.3.1(1)函数的单调性1.函数y =-x 2的单调减区间是( ).A .[0,+∞)B.(-∞,0]C .(-∞,0) D .(-∞,+∞) 2.定义在R 上的函数f (x )对任意两个不相等的实数a ,b ,总有f a -f ba -b>0,则必有( ).A .函数f (x )先增后减B .函数f (x )先减后增C .函数f (x )是R 上的增函数D .函数f (x )是R 上的减函数 3.下列说法中正确的有( ).①若x 1,x 2∈I ,当x 1<x 2时,f (x 1)<f (x 2),则y =f (x )在I 上是增函数;②函数y =x 2在R 上是增函数;③函数y =-1x在定义域上是增函数;④y =1x的单调区间是(-∞,0)∪(0,+∞).A .0个B .1个C .2个D .3个4.函数f (x )=-2x 2+mx +1在区间[1,4]上是单调函数,则实数m 的取值范围是________.5.函数y =-(x -3)|x |的递增区间为________.6.已知f (x )是定义在[-1,1]上的增函数,且f (x -1)<f (1-3x ),求x 的取值范围.7.若函数y =f (x )在区间(a ,b )上是增函数,在区间(b ,c )上也是增函数,则函数y =f (x )在区间(a ,b )∪(b ,c )上( ).A .必是增函数B .必是减函数C .是增函数或减函数D .无法确定单调性8.函数y =f (x )在R 上为增函数,且f (2m )>f (-m +9),则实数m 的取值范围是( ).A .(-∞,-3)B .(0,+∞)C.(3,+∞) D.(-∞,-3)∪(3,+∞)9.已知函数f (x )为区间[-1,1]上的增函数,则满足f (x )<f ⎝ ⎛⎭⎪⎫12的实数x 的取值范围为________. 10.已知函数y =8x 2+ax +5在[1,+∞)上递增,那么a 的取值范围是________.11.已知函数f (x )=x 2-2ax -3在区间[1,2]上单调,求实数a 的取值范围.12.(能力提升)若f (x )=x 2+bx +c ,且f (1)=0,f (3)=0. (1)求b 与c 的值;(2)试证明函数y =f (x )在区间(2,+∞)上是增函数.1.3.1(2)函数的最大(小)值1.函数y =f (x )在[-2,2]上的图象如图所示,则此函数的最小值、最大值分别是( ).A .f (-2),0B .0,2C .f (-2),2D .f (2),22.函数y =1x 2在区间⎣⎢⎡⎦⎥⎤12,2上的最大值是( ). A.14B .-1C .4D .-4 3.函数f (x )=x 2+3x +2在区间(-5,5)上的最大、最小值分别为( ).A .42,12B .42,-14C .12,-14D .无最大值,最小值为-144.函数y =2x 2+1,x ∈N *的最小值为________.5.若函数y =k x(k >0)在[2,4]上的最小值为5,则k 的值为________. 6.画出函数f (x )=⎩⎪⎨⎪⎧-2x,x ∈-∞,0,x 2+2x -1,x ∈[0,+∞的图象,并写出函数的单调区间,函数最小值.7.函数y =2x在区间[2,4]上的最大值、最小值分别是( ).A .1,12B.12,1 C.12,14D.14,128.函数f (x )=11-x 1-x的最大值是( ).A.45B.54C.34D.439.已知函数y *f (x )是(0,+∞)上的减函数,则f (a 2-a +1)与f ⎝ ⎛⎭⎪⎫34的大小关系是________.10.已知函数f (x )=x 2-6x +8,x ∈[1,a ],并且f (x )的最小值为f (a ),则实数a 的取值范围是________.11.某租车公司拥有汽车100辆,当每辆车的月租金为3 000元时,可全部租出,当每辆车的月租金每增加60元时,未租出的车将会增加一辆.租出的车每月需要维护费160元,未租出的车每月需要维护费60元.(1)当每辆车的月租金定为3 900元时,能租出多少辆车?(2)当每辆车的月租金为多少元时,租车公司的月收益最大?最大月收益是多少?12.(能力提升)已知函数f (x )=x 2+2ax +2,x ∈[-5,5]. (1)当a =-1时,求函数f (x )的最大值和最小值;(2)求实数a 的取值范围,使y =f (x )在区间[-5,5]上是单调函数.1.3.2函数的奇偶性1. 已知y =f (x )是偶函数,且f (4)=5,那么f (4)+f (-4)的值为( ). A .5 B .10 C .8 D .不确定2.对于定义域是R 的任意奇函数y =f (x ),都有( ).A .f (x )-f (-x )>0B .f (x )-f (-x )≤0C .f (x )·f (-x )≤0 D.f (x )·f (-x )>03.已知函数f (x )=1x2(x ≠0),则这个函数( ).A .是奇函数B .既是奇函数又是偶函数C .是偶函数D .既不是奇函数又不是偶函数4.若函数f (x )=(x +1)(x -a )为偶函数,则a 等于( ).A .-2B .-1C .1D .25.奇函数y =f (x )(x ∈R )的图象必定经过点( ).A .(a ,f (-a ))B .(-a ,f (a ))C .(-a ,-f (a )) D.⎝⎛⎭⎪⎫a ,f ⎝ ⎛⎭⎪⎫1a6.已知函数y =f (x )为奇函数,若f (3)-f (2)=1,则f (-2)-f (-3)=________.7.如果定义在区间[2-a,4]上的函数y =f (x )为偶函数,那么a =________.8.已知函数f (x )=ax 2+bx +3a +b 为偶函数,其定义域为[a -1,2a ],则a 的值为________.9.若f (x )=(m -1)x 2+6mx +2是偶函数,则f (0)、f (1)、f (-2)从小到大的顺序是________.10.如图是偶函数y =f (x )在x ≥0时的图象,请作出y =f (x )在x <0时的图象.11.判断下列函数的奇偶性:(1)f (x )=2x -1+1-2x ;(2)f (x )=x 4+x ;(3)f (x )=⎩⎪⎨⎪⎧ x 2+20-x 2-2x >0,x =0,x <0;(4)f (x )=x 3-x 2x -1.12.(能力提升)已知定义在R 上的奇函数f (x )满足f (x +2)=-f (x ),求f (6)的值.章末质量评估一、选择题1.如果集合A ={x |x ≤3},a =2,那么( ).A .a ∉AB .{a }AC .{a }∈AD .a ⊆A2.函数y =2x +1+3-4x 的定义域为( ).A.⎝ ⎛⎭⎪⎫-12,34B.⎣⎢⎡⎦⎥⎤-12,34C.⎝⎛⎦⎥⎤-∞,12D.⎝ ⎛⎭⎪⎫-12,0∪(0,+∞)3.已知全集U =R ,集合A ={x |-2≤x ≤3},B ={x |x <-1或x >4},那么集合A ∩(∁U B )等于 A .{x |-2≤x <4} B .{x |x ≤3或x ≥4}C.{x |-2≤x <-1} D .{x |-1≤x ≤3} 4.若函数f (x )满足f (3x +2)=9x +8,则f (x )的解析式是( ).A .f (x )=9x +8B .f (x )=3x +2C .f (x )=-3x -4D .f (x )=3x +2或f (x )=-3x -4 5.设集合A ={x |1<x <2},B ={x |x <a },满足A B ,则实数a 的取值范围是( ).A .{a |a ≥2} B.{a |a ≤1}C.{a |a ≥1} D.{a |a ≤2}6.如果奇函数y =f (x )在区间[1,5]上是减函数,且最小值为3,那么y =f (x )在区间 [-5,-1]上是( ).A .增函数且最小值为3B .增函数且最大值为3C .减函数且最小值为-3D .减函数且最大值为-37.设函数f (x )=1+x21-x2,则有( ).A .f (x )是奇函数,f ⎝ ⎛⎭⎪⎫1x =-f (x )B .f (x )是奇函数,f ⎝ ⎛⎭⎪⎫1x =f (x )C .f (x )是偶函数,f ⎝ ⎛⎭⎪⎫1x =-f (x )D .f (x )是偶函数,f ⎝ ⎛⎭⎪⎫1x =f (x ) 8.设f ,g 都是由A 到A 的映射,其对应法则如下表(从上到下):表 1 映射f 的对应法则表2 映射g 的对应法则则与f [g (1)]相同的是( ).A .g [f (1)]B .g [f (2)]C .g [f (3)]D .g [f (4)]9.设集合A ={x |0≤x ≤2},B ={y |1≤y ≤2},若对于函数y =f (x ),其定义域为A ,值域为B ,则这个函数的图象可能是( ).10.若函数y =f (x )为偶函数,且在(0,+∞)上是减函数,又f (3)=0,则f x +f -x 2x<0的解集为( ).A .(-3,3)B .(-∞,-3)∪(3,+∞)C .(-3,0)∪(3,+∞) D.(-∞,-3)∪(0,3) 二、填空题11.设集合A ={-1,1,3},B ={a +2,a 2+4},A ∩B ={3},则实数a 的值________.12.用列举法表示集合:A =⎩⎪⎨⎪⎧⎭⎪⎬⎪⎫x ⎪⎪⎪2x +1∈Z ,x ∈Z =________. 13.函数y =f (x )是R 上的偶函数,且当x >0时,f (x )=x 3+1,则当x <0时,f (x )=________.14.某城市出租车按如下方法收费:起步价8元,可行3 k m(含3 k m),3 k m 后到10 k m(含10 k m)每走1 k m 加价1.5元,10 k m 后每走1 k m 加价0.8元,某人坐该城市的出租车走了20 k m ,他应交费________元.三、解答题,(解答时应写出必要的文字说明、证明过程或演算步骤.)15.(10分)设A ={x |2x 2+ax +2=0},B ={x |x 2+3x +2a =0},且A ∩B ={2}.原象 1 2 3 4 象 3 4 2 1 原象 1 2 3 4 象 4 3 1 2(1)求a 的值及集合A ,B ;(2)设全集U =A ∪B ,求(∁U A )∪(∁U B ); (3)写出(∁U A )∪(∁U B )的所有子集.16.已知y =f (x )为二次函数,且f (x +1)+f (x -1)=2x 2-4x ,求f (x )的表达式.17.已知函数f (x )=2x +1x +1.(1)判断函数在区间[1,+∞)上的单调性,并用定义证明你的结论; (2)求该函数在区间[1,4]上的最大值与最小值.18.某工厂生产某种零件,每个零件的成本为40元,出厂价是60元,该厂为鼓励销售商订购,决定当一次订购量超过100个时,每多订购1个,订购的全部零件的出厂单价就降低0.02元,但实际出厂单价不能低于51元.(1)当一次订购量为多少时,零件的实际出厂单价降为51元?(2)设一次订购量为x 个,零件的实际出厂单价为p 元,写出函数p =f (x )的表达式.19已知函数f (x )对任意x 、y ∈R 都有f (x +y )=f (x )+f (y ),且x >0时,f (x )<0,f (1)=-2. (1)判断函数f (x )的奇偶性.(2)当x ∈[-3,3]时,函数f (x )是否有最值?如果有,求出最值;如果没有,请说明理由.2.1.1指数与指数幂的运算(1)1. 若242x x =-,则x 的取值范围是( )A.0x >B.0x <C.0x ≥D.0x ≤2.计算20032004(32)(32)+⋅-的值是( ) A.1 B.32- C.32+ D.23- 3.化简:()⎪⎭⎫⎝⎛<+-2391246322b a bab a 的结果是( )A.23a b -B.32b a -C. (23)a b ±-D.32ba - 4下列说法:①16的4次方根是2;②416的运算结果是±2; ③当n 为大于1的奇数时,n a 对任意a ∈R 有意义;④当n 为大于1的偶数时,na 只有当a ≥0时才有意义.其中正确的是( ) A .①③④ B .②③④ C .②③ D .③④5.求值(1)33(2)-=;(22(2)-=;(344(32)-=.6.当810x <<22(8)(10)x x --= ______. 70(52)9454552+-=-. 8726726+-.9化简:1212--+-+x x x x ) (12)x <<.10.化简:24334(1)(1)(1)x x x -+--1132343(1)(1)8x x ++ 12x y x y y x++.2.1.1指数与指数幂的运算(2)1.下列运算中,正确的是( )A.5552a a a ⋅=B.56a a a +=C.5525a a a ⋅= D.5315()a a -=-2.下列根式与分数指数幂的互化中.正确的是( )A.12()(0)x x =->13(0)y y =<C.340)xx -=>D.130)x x -=≠3.式子a ) A.111144a b B.111142a b C.114a D.114b4. 3216842111111(1)(1)(1)(1)(1)(1)222222++++++的值等于( ) A.64112- B.63122- C.651122- D.32314(1)2-5.化简:(1)131121373222[()()()]ab ab b ---⋅⋅⋅=.(2)21131133344()()x y z x y z ---⋅⋅⋅⋅⋅=.(3)20a >=.6.若103,104x y==,则10x y-=. 7.计算:π0+2-2×21412⎪⎭⎫⎝⎛=________. 8.已知3a =2,3b =15,则32a -b =________.9.求值: 341681⎛⎫ ⎪⎝⎭, 12100-, 314-⎛⎫ ⎪⎝⎭10.已知0,0a b >>,化简:11112244()()a b a b -÷-11.化简求值: (1)()31064.0--(-18)0+4316+2125.0;(2)a -1+b -1(ab )-1(a ,b ≠0).12.(能力提升)化简1111124242(1)(1)(1)x x x x x x -+++-+.13.(能力提升)已知a +a -1=5,求下列各式的值: (1)a 2+a -2;(2)2121--aa .2.1.2 指数函数及其性质(1)1.函数2(232)xy a a a =-+是指数函数,则a 的取值范围是( ) A.0,1a a >≠ B.1a = C.12a = D.1a =或12a = 2.函数211327x y -=-) A.(2,)-+∞ B.[1,)+∞ C.(,1]-∞- D.(,2)-∞-3.函数f (x )=3x -3(1<x ≤5)的值域是( )A .(0,+∞) B.(0,9)C.⎝ ⎛⎦⎥⎤19,9D.⎝ ⎛⎭⎪⎫13,27 4.若函数y =(1-2a )x是实数集R 上的增函数,则实数a 的取值范围为( )A.⎝ ⎛⎭⎪⎫12,+∞B .(-∞,0)C.⎝⎛⎭⎪⎫-∞,12D.⎝ ⎛⎭⎪⎫-12,12 5. 若221(2)(2)xxa a a a -++>++,则x 的范围为.6已知函数()f x 满足:对任意的12x x <,都有12()()f x f x <,且有1212()()()f x x f x f x +=⋅,则满足上述条件的一个函数是.7.将三个数10.20.7321.5,1.3,()3-按从小到大的顺序排列是8.(1)函数15x y -=(2)函数15x y =-的定义域是;值域是.9已知指数函数y =f (x )的图象过点M (3,8),则f (4)=________,f (-4)=________.10.已知 2223422(),()(0,1)x x x x f x a g x a a a +-+-==>≠,确定x 的范围,使得()()f x g x >.11.实数,a b 满足11111212a b ++=--,则a b +=.12.(能力提升)若函数2121x x a ay ⋅--=-为奇函数,(1)确定a 的值;(2)讨论函数的单调性.2.1.2 指数函数及其性质(2)1.如图指数函数①x y a =②x y b =③x y c =④xy d =的图象,则( ) A.01a b c d <<<<< B.01b a d c <<<<< C.1a b c d <<<< D.01a b d c <<<<<2.在同一坐标系中,函数xy a =与函数1y ax =+的图象只能是 ( )A B C D3.要得到函数122xy -=的图象,只要将函数1()4xy =的图象 ( )A.向左移1个单位B.向右移1个单位C.向左移0.5个单位D.向右移0.5个单位4.已知()|21|xf x =-,当a b c <<时,有()()()f a f c f b >>,则下列各式中正确的是 ( ) A.22a c > B.22a b > C.22ac -< D.222a c +<5函数y =2-x的图象是( ).6.若函数(1)(0,1)xy a b a a =-->≠图象不经过第二象限,则,a b 的满足的条件是_____________.7. 将函数21()3xy =图象的左移2个单位,再下移1个单位所得函数的解析式是;8.函数21x y a +=-(0,1)a a >≠的图象过定点.9.函数22363xx y -+=的单调递减区间是.10.已知函数311()()212x f x x =+-,(1)求()f x 的定义域; 11.如果75+->x xa a(a >0,a ≠1), (2)讨论()f x 的奇偶性; (3)证明:()0f x >. 求x 的取值范围.12已知指数函数()(0,1)xf x a a a =>≠,根据它的图象判断121[()()]2f x f x +和12()2x x f +的大小(不必证明).13.函数f (x )=a x(a >0,且a ≠1)在区间[1,2]上的最大值比最小值大a2,求a 的值.2.1.2 指数函数及其性质(3)1.某种细菌在培养过程中,每20分钟分裂一次(一个分裂为两个),经过3小时,这种细菌由1个可繁殖成( )A.511个B.512个C.1023个D.1024个2.某商场进了A B 、两套服装,A 提价20%后以960元卖出,B 降价20%后以960元卖出,则这两套服装销售后 ( )A.赚不亏B. 赚了80元C.亏了80元D.赚了2000元 3.某商品降价20%后,欲恢复原价,则应提价( )A. 25%B.20%C.30%D.15%4.已知a =30.2,b =0.2-3,c =(-3)0.2,则a ,b ,c 的大小关系为( ). A.a >b >c B.b >a >c C.c >a >b D.b >c >a5.某新型电子产品2002年初投产,计划到2004年初使其成本降低36%,那么平均每年应降低成本.6. 据报道,1992年底世界人口达到54.8亿,若世界人口的年平均增长率为%x ,到2005年底全世界人口为y 亿,则y 与x 的函数关系是.7.某工厂的一种产品的年产量第二年比第一年增加21%,第三年比第二年增加44%,则这两年的平均增长率是.8.a =0.80.7,b =0.80.9,c =1.20.8,则a ,b ,c 的大小关系是________.9.函数y =a x在[0,1]上的最大值与最小值之和为3,则a =________.10.甲、乙两人于同一天分别携款1万元到银行储蓄。
人教版高中数学必修1训练试题全集高中数学必修1练习题集第一章、集合与函数概念1.1.1集合的含义与表示例1.用符号和填空。
⑴设集合A是正整数的集合,则0_______A,________A,______A;⑵设集合B是小于的所有实数的集合,则2______B,1+______B;⑶设A为所有亚洲国家组成的集合,则中国_____A,美国_____A,印度_____A,英国____A例2.判断下列说法是否正确,并说明理由。
⑴某个单位里的年轻人组成一个集合;⑵1,,,,这些数组成的集合有五个元素;⑶由a,b,c组成的集合与b,a,c组成的集合是同一个集合。
例3.用列举法表示下列集合:⑴小于10的所有自然数组成的集合A;⑵方程x=x的所有实根组成的集合B;⑶由1~20中的所有质数组成的集合C。
例4.用列举法和描述法表示方程组的解集。
典型例题精析题型一集合中元素的确定性例1.下列各组对象:①接近于0的数的全体;②比较小的正整数全体;③平面上到点O的距离等于1的点的全体;④正三角形的全体;⑤的近似值得全体,其中能构成集合的组数是()A.2B.3C.4D.5题型二集合中元素的互异性与无序性例2.已知x{1,0,x},求实数x的值。
题型三元素与集合的关系问题1.判断某个元素是否在集合内例3.设集合A={x∣x=2k,kZ},B={x∣x=2k+1,kZ}。
若aA,bB,试判断a+b与A,B的关系。
2.求集合中的元素例4.数集A满足条件,若aA,则A,(a≠1),若A,求集合中的其他元素。
3.利用元素个数求参数取值问题例5.已知集合A={x∣ax+2x+1=0,aR},⑴若A中只有一个元素,求a的取值。
⑵若A中至多有一个元素,求a的取值范围。
题型四列举法表示集合例6.用列举法表示下列集合⑴A={x∣≤2,xZ};⑵B={x∣=0}⑶M={x+y=4,xN,yN}.题型五描述法表示集合例7.⑴已知集合M={xN∣Z},求M;⑵已知集合C={Z∣xN},求C.例8.用描述发表示图(图-8)中阴影部分(含边界)的点的坐标的集合。
高中数学必修一集合练习题1. 集合的表示法:给定集合A={1, 2, 3},请用描述法表示集合A。
2. 子集与真子集:若集合B={x | x是A的子集},集合A={1, 2, 3},请列出集合B的所有元素,并判断哪些是A的真子集。
3. 集合的并集:已知集合C={1, 2}和集合D={2, 3},请计算C∪D。
4. 集合的交集:若集合E={1, 3, 5}和集合F={2, 3, 5},请找出E∩F。
5. 集合的差集:给定集合G={1, 2, 3, 4}和集合H={3, 4, 5},求G-H。
6. 集合的补集:设全集U={1, 2, 3, 4, 5, 6},集合I={2, 4, 6},请求∁_U I。
7. 幂集:集合J={a, b},请列出J的所有幂集。
8. 集合的包含关系:若集合K={x | x是小于10的正整数},集合L={1, 3, 5, 7, 9},请判断K和L之间的关系。
9. 集合相等:集合M={x | x是偶数}和集合N={2, 4, 6, 8, 10},判断M和N是否相等。
10. 集合的笛卡尔积:若集合O={1, 2}和集合P={a, b},请计算O×P。
解答提示:- 对于第1题,描述法表示集合A可以写作A={x | x是正整数,且1≤x≤3}。
- 第2题中,集合B的所有元素包括空集和所有A的子集,即B={∅, {1}, {2}, {3}, {1, 2}, {1, 3}, {2, 3}, {1, 2, 3}}。
其中,A的真子集是不包含A本身的所有子集。
- 第3题,C∪D={1, 2, 3}。
- 第4题,E∩F={3, 5}。
- 第5题,G-H={1, 2}。
- 第6题,∁_U I={1, 3, 5}。
- 第7题,J的幂集包括所有J的子集,即{∅, {a}, {b}, {a, b}}。
- 第8题,K包含L,因为L的所有元素都在K中。
- 第9题,M和N相等,因为它们包含相同的元素。
完整)高中数学必修1基础练习题1.下面的结论正确的是()A。
a∈Q,则a∈ND。
以上结论均不正确重写:哪个结论是正确的?A。
如果a是有理数,则a是自然数。
D。
没有任何结论是正确的。
2.下列说法正确的是()A。
某班中年龄较小的同学能够形成一个集合B。
由1,2,3和9,1,4组成的集合不相等C。
不超过20的非负数组成一个集合D。
方程x2-4=和方程|x-1|=1的解构成了一个四元集重写:哪个说法是正确的?A。
每个年龄较小的同学都可以形成一个集合。
B。
由1,2,3和1,4,9组成的集合不相等。
C。
非负整数不超过20组成一个集合。
D。
方程x2-4和|x-1|=1的解构成一个四元组。
3.用列举法表示{(x,y)|x∈N+,y∈N+,x+y=4}应为()A。
{(1,3),(3,1)}B。
{(2,2)}C。
{(1,3),(3,1),(2,2)}D。
{(4,0),(0,4)}重写:用列举法表示{(x,y)|x是正整数,y是正整数,x+y=4}应该是哪一个?A。
{(1,3),(3,1)} B。
{(2,2)} C。
{(1,3),(3,1),(2,2)} D。
{(4,0),(0,4)}4.下列命题:1)方程x-2+|y+2|=的解集为{2,-2};2)集合{y|y=x2-1,x∈R}与{y|y=x-1,x∈R}的公共元素所组成的集合是{0,1};3)集合{x|x-1a,a∈R}没有公共元素.其中正确的个数为()A。
0B。
1C。
2D。
3重写:有多少命题是正确的?A。
0 B。
1 C。
2 D。
35.对于集合A={2,4,6,8},若a∈A,则8-a∈A,则a的取值构成的集合是________.重写:集合A={2,4,6,8},如果a是A的元素,那么8-a也是A的元素。
a的可能值是什么?6.定义集合A*B={x|x=a-b,a∈A,b∈B},若A={1,2},B={0,2},则A*B中所有元素之和为________.重写:定义集合A*B={x|x=a-b,a是A的元素,b是B的元素},如果A={1,2},B={0,2},那么A*B中所有元素的总和是多少?7.若集合A={-1,2},集合B={x|x2+ax+b=0},且A=B,则求实数a,b的值.重写:如果集合A={-1,2},集合B={x|x2+ax+b=0},并且A=B,那么a和b是多少?8.已知集合A={a-3,2a-1,a2+1},a∈R.1)若-3∈A,求实数a的值;2)当a为何值时,集合A的表示不正确.重写:已知集合A={a-3,2a-1,a2+1},其中a是实数。
高一必修一数学练习题一、集合与函数(1) A = {x | x是小于5的自然数}(2) B = {x | x是平方小于10的正整数}(1) 若A∩B = ∅,则A∪B = A(2) 若A⊆B,则B⊆A3. 设函数f(x) = 2x + 3,求f(2)、f(1)的值。
(1) f(x) = |x|,g(x) = x²(2) f(x) = x² 1,g(x) = (x + 1)(x 1)二、二次函数与方程(1) x² 5x + 6 = 0(2) 2x² 4x 3 = 0(1) y = x² 4x + 4(2) y = 2x² + 8x 63. 已知二次函数y = ax² + bx + c的图像开口向上,且顶点坐标为(1, 3),求a、b、c的值。
三、指数与对数(1) 2^3 × 2^4(2) (1/3)^2(1) log₂8 log₂2(2) log₃(3x) log₃x3. 已知log₂x = 3,求x的值。
四、平面几何1. 在直角坐标系中,求点A(2, 3)关于原点的对称点坐标。
2. 已知线段AB的长度为5,点C在线段AB上,且AC = 3,求BC 的长度。
(1) 四边形ABCD,AB = CD = 6,AD = BC = 8(2) 四边形EFGH,∠E = ∠F = ∠G = ∠H = 90°五、立体几何1. 计算棱长为2的正方体的表面积和体积。
2. 已知圆锥的底面半径为3,高为4,求圆锥的母线长度。
(1) 若一个长方体的长、宽、高分别为a、b、c,则其表面积S = 2ab + 2ac + 2bc。
(2) 若一个圆柱的底面半径为r,高为h,则其体积V = πr²h。
六、数列(1) 3, 6, 9, 12,(2) 2, 4, 8, 16,2. 已知数列{an}是等差数列,a1 = 1,公差d = 2,求a10的值。
高一数学必修一测试题(基础卷 )一、选择题(每小题3分,共36分)1.设集合{1,3},A =集合{1,2,4,5}B =,则集合A B ⋃=( )A .{1,3,1,2,4,5}B .{1}C .{1,2,3,4,5}D .{2,3,4,5}2.设集合{|12},{|}.A x x B x x a =<<=<若,A B ⊆则a 的范围是( )A .2a ≥B .1a ≤C .1a ≥D .2a ≤3.与||y x =为同一函数的是( )。
A.2y = B.y C .{,(0),(0)x x y x x >=-< D .log a x y a = 4.设()338x f x x =+-, 用二分法求方程3380(1,2)x x x +-=∈在内近似解的过程中, 计算得到(1)0,(1.5)0,(1.25)0,f f f <>< 则方程的根落在区间( ). A .(1,1.25) B .(1.25,1.5) C .(1.5,2) D .不能确定5.下列各式错误的是( ).A . 0.80.733> B.0.50.5log 0.4log 0.6>C . 0.10.10.750.75-<D .lg1.6lg1.4>6.设集合{|12}M x x =-≤<,{|0}N x x k =-≤,若M N φ≠,则k 的取值范围是( )A .]2,(-∞B .),1[+∞-C .),1(+∞-D .[-1,2]7.已知753()2f x ax bx cx =-++,且(5),f m -= 则(5)(5)f f +-的值为( ).A .4B .0C .2mD .4m -+8.函数21()322⎛⎫=+- ⎪⎝⎭xf x x 的零点有( )个。
A .0 B .1 C .2 D .3 9.已知函数21,0(),0x x f x x x +≥⎧=⎨<⎩,则[(2)]f f -的值为( ). A .1 B .2 C .4 D .510.如图的曲线是幂函数n x y =在第一象限内的图象. 已知n 分别取 2±,12±四个值,与曲线1c 、2c 、3c 、4c 相应的n 依次为( ). A .112,,,222-- B .112,,2,22-- C .11,2,2,22-- D .112,,,222-- 11.定义集合A 、B 的一种运算:1212{,,}A B x x x x x A x B *==+∈∈其中,若{1,2,3}A =,{1,2}B =,则A B *中的所有元素数字之和为( ).A .9B .14C .18D .12.如图所示的是某池塘中的浮萍蔓延的面积(2m )与时间t (月) 425c 4c 3c 2c 1的关系:t y a =,有以下叙述:① 这个指数函数的底数是2;② 第5个月时,浮萍的面积就会超过230m ;③ 浮萍从24m 蔓延到212m 需要经过1.5个月;④ 浮萍每个月增加的面积都相等。
高一数学必修一期中复习题集锦一、选择题:1、下列四组对象,能构成集合的是( )A.某班所有高个子的学生B.著名的艺术家C.倒数等于它自身的实数D.年纪很大的人2.已知集合{},,M a b c =中的三个元素可构成某个三角形的三条边长,那么此三角形一定不是( )A .直角三角形B .等腰三角形C .钝角三角形D .锐角三角形3.单词baby 的所有字母组成的集合是( )A. b,a,b,yB. b,a,yC.{b,a,b,y }D.{b,a,y }4. 以实数x ,-x ,|x |,-33x ,2x 为元素组成的集合最多含有元素的个数是( ).(A)2 (B)3 (C)4 (D)55、设A={正方形},B={矩形},C={平行四边形},D={梯形},则下列包含关系中不正确的是() (A) A ⊆B (B )B ⊆C (C )C ⊆D (D )A ⊆C6.以下关系正确的是 ( )A 、0=∅B 、 0∈∅C 、{0}=∅D 、0∈{0,1,2}7.下列四个关系式中,正确的是( )(A ){}a ∈φ (B) {}a a ⊆ (C ) {}b a a ,∈ (D) {}{}b a a ,∈8. 以下关系正确的是 ( )A .0⊆{0,2} B.}01|{2=+∈x R x =∅ C.{0}{x|x 2=0} D.∅∈N9、给定下列关系式: ①{a ,b } ⊆ {a ,b }; ②{a ,b }={ b ,a }; ③∅{0};④0∈{0}; ⑤∅∈{0}; ⑥∅={0}。
其中正确的个数为有 ( )A .6个B .5个C .4个D .小于4个10.在以下6个式子中:①{0}∈{0,1};②Q ∉3.0;③{0,-1,1}⊆{-1,0,1}; ④0∈φ;⑤{(0,0)}={0}, ⑥ {}2|20,x x x Z -=∈是空集 错误的写法是的个数是 () (A )2个 (B )3个 (C )4个 (D )5个11.集合8|,Z,Z 3M y y x y x ⎧⎫==∈∈⎨⎬+⎩⎭的元素个数是 ( ).(A )2个 (B )4个 (C )6个 (D )8个12、若集合2{|440}A x kx x =++=只有一个元素,则k =( )A .1,B .0,C .0或1,D .以上答案都不对13.下列命题中,(1)如果集合A 是集合B 的真子集,则集合B 中至少有一个元素(2)如果集合A 是集合B 的子集,则集合A 的元素少于集合的B 元素(3) 任何一个集合都至少有两个子集(4)集合{}2210A x R x x =∈-+=是单元素集正确的命题的个数是: ( )A . 1B .2C .3D .414.若集合M={x|x ≤5},a=5,则下面的结论正确的是( )(A ){a}⊆M (B )a ⊆M (C ){a}∈M (D )a ∉M15、若{1,2}⊆A ⊆{1,2,3,4,5}则满足条件的集合A 的个数是( )A. 6B. 7C. 8D. 916.满足{1,2,3}≠⊂ M ≠⊂{1,2,3,4,5,6}的集合M 的个数是 ( ) A .8 B .7 C .6 D .517. 若集合 A ,B ,C 满足 A ∩B = A ,B ∪C = C ,则 A 与 C 之间的关系必定是( )A. A CB. C AC. A ⊆CD. C ⊆A18.若},4,2,0{},2,1,0{,,==⊆⊆Q P Q M P M 则满足上述条件的集合M 的个数是 ( )A .4B .3C .2D .119.设集合A={x |1<x <2},B={x |x <a }满足A ≠⊂B ,则实数a 的取值范围是 ( ) A .[)+∞,2 B .(]1,∞- C .[)+∞,1 D .(]2,∞-20、已知集合(){}(){}4|,,2|,=-==+=y x y x N y x y x M ,那么N M =( )A 、x=3,y=-1B 、(3,-1)C 、{3,-1}D 、{(3,-1)}21、设集合{}(,)1A x y y ax ==+,{}(,)B x y y x b ==+,且{}(2,5)A B =,则A .3,2a b ==B .2,3a b ==C .3,2a b =-=-D .2,3a b =-=-22、设A 、B 是全集U 的两个子集,且A ⊆B ,则下列式子成立的是( )(A )C U A ⊆C U B (B )C U A ⋃C U B=U (C )A ⋂C U B=φ (D )C U A ⋂B=φ23. 已知 A={x |21<<-x }, B={x |1<X<3 },则 A ∪B= ( )A .{x |31<<-x } B. {x |21<<x } C. D.{0, 2} D.{0,1,2}24.已知全集S=R ,A={x|—4<x<21},B={x|x≤—4},C={x|x≥21},则C 是A 与B 的( ) (A )交集 (B )并集 (C )交集的补集 (D )并集的补集 25.已知集合}1,1{-=A ,}1|{==mx x B ,且A B A =⋃,则m 的值为( ) A .1 B .—1 C .1或—1 D .1或—1或026. 集合A ={1,2},则满足关系式A ∪B={1,2,3}的所有集合B 的个数是 ( )A. 1B. 2C.4D.827.设U ={1,2,3,4, 5 } ,若B A ⋂={2},}4{)(=⋂B A C U ,}5,1{)()(=⋂B C A C U U ,则下列结论正确的是 ( )A .A ∉3且B ∉3 B .A ∈3且B ∉3C .A ∉3且B ∈3D .A ∈3且B ∈328. 已知集合M 、P 满足M P=M ,则一定有 ( )(A )M=P (B )P ⊆M (C )M P=P (D )M ⊆P29、如图,阴影部分表示的集合是 ( )A .B ∩[C U (A ∪C)] B (A ∪B)∪(B ∪C)C (A ∪C)∩( C U B)D [C U (A ∩C)]∪B30.下列从集合A到集合B的对应中,不是..映射的是( ) (A)A={x|x>0}, B={y|y>0} 对应关系.f :x →y=x 1 (B)A = {非负实数} , B=R, 对应关系f :对A 中元素开平方(C)A = {数轴上的点} , B= R , f :A 中的元素对应它在数轴上的坐标(D)A=R , B={非负实数} , f :x 4y x →=31.下列从集合A到集合B的对应中,不是..映射的是( ) (A)A={x|x>0},B={y|y>0}.f :x →y=x1 (B)A=R,B=R,f :x x 1→ (C)A={x|x ∈R 且x ≠0},B={1},f :x 0x → (D)A=R,B={-1,1},f :x 1→32、下列集合A 到集合B 的对应f 是映射的是( )(A ){}{}1,0,1,1,0,1,A B f =-=-:A 中的数平方;(B ){}{}f B A ,1,0,1,1,0-==:A 中的数开方;(C ),,A Z B Q f ==:A 中的数取倒数;(D ),,A R B R f +==:A 中的数取绝对值;33. (x ,y )在映射f 下的象是(x +y ,x -y ),则象(1,2)在f 下的原象是( )(A)(23,21) (B)(―23,―21) (C)(21,23-) (D)(-21,23) 34.下列四个图像中,是函数图像的是 ( )A 、(1)B 、(1)、(3)、(4)C 、(1)、(2)、(3)D 、(3)、(4)35. 下列图象能作为函数图象的是( )A B C D36.下列四组函数中,表示同一个函数的是( )A. f(x)= x 与 ()2x x g =B. y=x 0与 y=1 Oy x x yy y O O O (1)(2) (3) (4)C.1112--=+=x x y x y 与 D.1212+-=-=x x y x y 与37. 下列四组函数中,表示同一个函数的是( )A. )(x f = |x |,2)(t t g =B. 2)(x x f =,2)()(x x g =C. 11)(2--=x x x f ,1)(+=x x g D. 11)(-⋅+=x x x f ,1)(2-=x x g38.下列各组函数中,表示同一函数的是 ( )A .x xy y ==,1 B .1,112-=+⨯-=x y x x yC .2)(|,|x y x y ==D . ⎩⎨⎧-==x x x g x x f )(|,|)( )0()0(<≥x x39。
下列各组函数中是相同函数的是( )(1)1)(,1)(2-=-=x x x g x x f (2)0)1()(,1)(-==x x g x f(3)2)(x x f =,2)(t t g = (4)||)(,)(2x x g x x f ==A .(1) B.(2) C.(2)(4) D.(3)(4)40. 与函数y x =的图象相同的函数是( )A、2y = B、y C 、2x y x = D、y41.若函数f(x)=⎪⎩⎪⎨⎧<+=>-)0(,3)0(,0)0(,4x x x x x 则f[f(3)]的值是 ( )(A)1 (B)2 ( C)3 (D)042.函数0()f x =的定义域为( )(A ){x|x>0} (B ){x|x<0} (C ){x|x>0且2x ≠} (D ){x|20x ≠≠且x }43.已知函数11)(22-+-=x x x f 的定义域是( )(A )[-1,1] (B ){-1,1} (C )(-1,1) (D )),1[]1,(+∞--∞44.若函数y=f(x)的定义域为(0,2),则函数y=f(-2x)的定义域是( )(A )(0,2) (B )(-1,0) (C )(-4,0) (D )(0,4)45. 已知函数f (x )= x 5 + ax 3 + bx - 3,且 f (2) = 2,则 f (-2) =( )A. -6B. -8C. -2D. 646.f(x)=x 5+ax 3+bx-8且f(-2)=0,则f(2)等于( )(A )-16 (B )-18 (C )-10 (D )1047.设函数f (x )对任意x 、y 满足f (x +y )=f (x )+f (y ),且f (2)=4,则f (-1)的值为()A .-2B .±12 C .±1 D .248.定义在R 上的函数()f x 满足()()()2f x y f x f y xy +=++(x y ∈R ,),(1)2f =,则(3)f -等于( )A .2B .3C .6D .9 49.设函数x x x f =+-)11(,则)(x f 的表达式为 ( ) A .x x -+11 B . 11-+x x C .x x +-11 D .12+x x 50.若f(x)=21xx +,则下列等式成立的是( ) (A )f(-x)=)(x f (B )f(x 1)=-f(x) (C )f()()1x f x =(D ))(1)1(x f x f = 51.已知g(x)=1-2x,f[g(x)]=)0(122≠-x xx ,则f(21)等于( ) (A )1 (B )3 (C )15 (D )3052.对任意的∈x R 都有)()(x f x f 21=+,当10≤≤x 时有)()(x x x f -=1,则(2.5)f =( )A 0.5 B.1 C. 2 D.4 53.25()1,[0,]2f x x x x =-+∈已知函数:的最值情况为( ) (A )有最小值34,但无最大值 (B )有最小值34,有最大值194(C )有最小值1,有最大值 194 (D )有最小值34,有最大值1 54、23()1[0,]2f x x x x =++∈已知函数:的最值情况为( ) (A )有最大值34,但无最小值 (B )有最小值34,有最大值1 (C )有最小值1,有最大值194 (D )无最大值,也无最小值 55.设函数243,[1,4]y x x x =-+∈,则()f x 的最大值与最小值分别为:( )A.3,0B.3 ,-1C. 有最小值-1,无最大值D.无最大,最小值56.设c bx x x f ++=2)(,且)1()5(f f =-,则( )A .)2()1(->>f c f B.)2()1(-<<f c f C.)1()2(f f c >-> D.)1()2(f f c <-<57.偶函数))((R x x f y ∈=在0<x 时是增函数,若0,021><x x ,且21x x <,下列结论正确的是A.)()(21x f x f -<-B.)()(21x f x f ->-C.)()(21x f x f -=-D.大小关系不确定与)()(21x f x f --58.下面说法不正确的选项 ( )A .函数的单调区间可以是函数的定义域B .函数的多个单调增区间的并集也是其单调增区间C .具有奇偶性的函数的定义域必定关于原点对称D .关于原点对称的图象一定是奇函数的图象59、已知函数f (x )、g (x )定义在同一区间D 上,f (x )是增函数,g (x )是减函数,且g (x )≠0,则在D 上 ( )(A )f(x)+g(x)一定是减函数 (B )f(x)-g(x)一定是增函数(C )f(x)·g(x)一定是增函数 (D ))()(x g x f 一定是减函数60.下列函数中,既不是奇函数又不是偶函数的是 ( )(A)32x y -= (B)52x y 2-= (C)f(x)=22+-x x (D)y = x 3-61.下列函数()f x 中,满足“对任意1x ,2x ∈(0,+∞),当1x <2x 时,都有1()f x >2()f x 的是( )A .()f x =1x B. ()f x =2(1)x - C .12)(-=x x f D x x f 2)(-=62.下列函数在(0,+∞)上单调递减的是( )A .y=12x -B .y=x 2+1C .y= lnxD .y=log 0.3x63. 下列函数中在(-∞,0)上单调递减的是( )(A )y =x 5- (B )y=1-x 2 (C )y=x 2-x (D )y=6x-364.下列函数中,在区间(0,+∞)上是增函数的是 ( )A. y =x 5B. x x y 22+=C. |2|-=x yD. 1y x =-+65.下列函数中,既不是奇函数又不是偶函数的是 ( )(A)32x y -= (B)52x y 2-= (C)y = x x 2- (D)xy ⎪⎭⎫⎝⎛=2166.下列函数中,既是奇函数又是区间(0,+∞)上的增函数的是( )A. 3y x =-B. 21y x =-+C. 2y x =- D. y =21x +67.偶函数()f x 在[0,2]上单调递减,则(1),(2)a f b f c f =-==的大小关系是() A.a>b>c B.a>c>b C..c>a>b D.c>b>a68.若函数()f x 是R 上的奇函数,当0x ≥时,()(1)f x x x =-,则当0x <时,()f x = ()A .(1)+x xB .(1)-+x xC .(1)-x xD .(1)--x x69.函数91x ++是( )A .奇函数B .偶函数C .既是奇函数又是偶函数D .非奇非偶函数70.函数2422-+=x x y 的单调递减区间是 ( )A .]6,(--∞B .),6[+∞-C .]1,(--∞D .),1[+∞-71.定义在(-3,3)的偶函数f(x),当0≤x <3时的图像如图,则不等式f(x)<0的解是 ( )(A )(-3,1) (B )(-3,1) [0,1)(C )(-1,1) (D )(-1,0) (0,1)72.)(x f 是定义在R 上的奇函数,下列结论中,不正确...的是( ) (A )0)()(=+-x f x f (B ))(2)()(x f x f x f -=--(C ))(x f ·)(x f -≤0 (D )1)()(-=-x f x f 73. 若函数f(x)=x 3(x ∈R),则函数y=f(-x)在其定义域上是( )A .单调递减的偶函数 B.单调递减的奇函数C .单调递增的偶函数D .单调递增的奇函数74. 函数R x x x y ∈=|,|,满足 ( )A .是奇函数又是减函数B .是偶函数又是增函数C .是奇函数又是增函数D .是偶函数又是减函数 75.下列函数是奇函数的是( )A.)1,1[(2)(-∈=x x x f )B.xx x f 1)(+= C.||2)(x x f = D.x x x f 2)(2+= 76.函数762+-=x x y 的值域是( )A.),(+∞-∞B.]2,(--∞C.),2[+∞-D.),2(+∞-77.下列函数中,是偶函数的是( ) A .2e e )x (f xx --= B .2e e )x (f x x -+= C .13x 2x )x (f 2+-= D. 33x x )x (f -+= 78.设f(x)为定义在R 上的偶函数,且f(x)在[0,+∞)上为增函数,则f(-2),f(-π)、f(3)的大小顺序是( ) (A )f(-π)>f(3)>f(-2) (B )f(-π)>f(-2)>f(3)(C )f(-π)<f(3)<f(-2) (D )f(-π)<f(-2)<f(3)79. 如果奇函数 f (x )在区间[3,7]上是增函数且最小值是 5,那么函数 f (x )在区间[-7,-3]上( )A. 是增函数且最小值为 -5B. 是增函数且最大值是 -5C. 是减函数且最小值为 -5D. 是减函数且最大值是 -580. 若二次函数y = x 2 + bx + c 的图象的对称轴是 x = 2,则有( )A. f (1)<f (2)<f (4)B. f (2)<f (1)<f (4)C. f (2)<f (4)<f (1)D. f (4)<f (2)<f (1)81.定义在R 上的偶函数()f x ,在(0,)+∞上是增函数,则( )A. (3)(4)()f f f π<-<-B. (3)()(4)f f f π<-<-C. ()(4)(3)f f f π-<-<D. (4)()(3)f f f π-<-<82.设f (x )是(-∞,+∞)的奇函数,且f (x+2)=-f (x ),当0≤x ≤1时,f (x )=x ,则f (3.5)的值是( )A. 0.5B. -0.5C. 1.5D. -1.583.已知函数f(x)是定义在),(+∞-∞上的奇函数,且)(x f 在),0[+∞上是减函数,下列关系正确的是( )A.(5)(5)f f >-B. (4)(3)f f >C. (2)(2)f f ->D. (8)(8)f f -<84.函数()223f x x mx =-+当[)2,x ∈-+∞时为增函数,当(],2x ∈-∞-是减函数,则()1f 等于A .1B .9C .3-D .1385. 若函数f(x)是偶函数,当x<0时,f(x)的解析式是f(x)=x(1-x),则当x>0时,f(x)的解析式是( )A.-x(1-x)B.x(1-x)C.-x(1+x)D.x(1+x)86、函数f (x )=x 2+2(a -1)x +2在区间 (-∞,4]上递减, 则a 的取值范围是( )A.)3,-+∞⎡⎣B. (-∞,5]C.(,3-∞-⎤⎦D.[3,+∞)87.函数x x xy +=的图象是( )A . B. C. D.88. 函数 42)(+=x x f 在区间 [3-,2 ] 上最大值、最小值分别为( )A .2, 21B. 1, 31C.2, 31D. 1, 2189.函数c bx x y ++=2))1,((-∞∈x 是单调函数时,b 的取值范围 ( )A .)2,-+∞⎡⎣B .(,2-∞-⎤⎦C .()2,-+∞D .(),2-∞-90.函数y=-2(x+3)2-4的图像可以看作由函数y=-2x 2的图象,经过下列的平移得到( )(A )向右平移3,再向下平移4 (B )向左平移3,再向下平移4(C )向右平移3,再向上平移4 (D )向左平移3,再向上平移491.与抛物线y = 23x 的开口大小相同,开口方向相反,且顶点在(3,-2)的二次函数的解析式是()(A) 2)3-x (3y 2-= (B) 2)3-x (3y 2--=(C)2)3-x (3y 2+-= (D)2)3x (3y 2-+-=92.下列各等式中,恒成立的是 ( )A .a a a =⋅3223 B. 122()a a -= C.(2332()()a a = D.111()a b a b ---+=+ 93.下列各式中成立的一项 ( )A .7177)(m n m n =B .31243)3(-=-C .43433)(y x y x +=+ D .3339=94.下列等式中:44463342233)3(223,)2(2,,26-=--=-+=+=b a b a a a .一定成立的有( )(A )0个 (B )1个 (C )2个 (D )3个95.化简)31()3)((656131212132b a b a b a ÷-的结果 ( ) A .a 6B .a -C .a 9-D .29a 96. 4369)(a 等于( )(A )a 8 (B )a 4 (C )a2 (D )a 97.已知a>b,ab 0≠下列不等式(1)a 2>b 2,(2)2a >2b ,(3)b a 11<,(4)a 31>b 31,(5)(31)a <(31)b 中恒成立的有( )(A )1个 (B )2个 (C )3个 (D )4个98. 若 a ,b 是任意实数,且 a >b ,则( )A. a 2>b 2B.a b <1C. lg (a - b )>0D.a ⎪⎭⎫ ⎝⎛21<b ⎪⎭⎫ ⎝⎛21 99. 若指数函数在上是减函数,那么( ) A. B.C. D. 100.若指数函数x a y =在[-1,1]上的最大值与最小值的差是1,则底数a 等于( ) A.251+ B.251+- C.251± D.215± 101.函数||2)(x x f -=的值域是 ( ) A .]1,0( B .)1,0( C .),0(+∞ D .R102.函数⎪⎩⎪⎨⎧>≤-=-0,0,12)(21x x x x f x ,满足1)(>x f 的x 的取值范围 ( )A.)1,1(-B.),1(+∞-C.}20|{-<>x x x 或D.}11|{-<>x x x 或103、已知函数⎩⎨⎧><+=0,20,52)(x x x x f x ,那么)]1([-f f 的值是( ) A. 3 B.6 C. 8 D.11104.已知0<a<1,则函数2-=x a y 的图像必定不经过( )(A) 第一象限 (B) 第二象限 (C) 第三象限 (D) 第四象限105.已知a>1, b ≤-1, 则函数y=a x +b 的图像必定不经过( )(A)第一象限 (B)第二象限 (C)第三象限 (D)第四象限106.若10α=3,10β=2,则βα3210-的值为 ( ) A .827 B.89 C .94 D .23 107.已知集合A=}R x 1,x y |y {2∈-=,B=R}x ,)21(y |y {x ∈=,则A B= ( ) A. (]0,∞- B. [)+∞,0 C. ()+∞,0 D.[)+∞-,1108.已知2)(x x e e x f --=,则下列正确的是 ( ) A .奇函数,在R 上为增函数 B .偶函数,在R 上为增函数C .奇函数,在R 上为减函数D .偶函数,在R 上为减函数109、函数,使成立的的值的集合是( ) A. B. C. D. 120.设g (x )为R 上不恒等于0的奇函数,)(111)(x g b a x f x ⎪⎭⎫ ⎝⎛+-=(a >0且a ≠1)为偶函数,则b=( ) A .2 B .1 C .21 D .与a 有关的值121.当时,函数和的图象只可能是 ( )A .B .C .D .122、下列函数图象中,函数,与函数的图象只能是()A .B .C .D .123.下列指数式与对数式互化不正确的一组是( )A. 01ln 10==与eB. 3121log 2188)31(-==-与C. 3929log 213==与 D. 7717log 17==与124. 函数f (x )=)1(log 21-x 的定义域是( )A .(1,+∞)B .(2,+∞)C .(-∞,2)D .]21(,125.函数f(x)=)3(log 12x x --的定义域为( )A.[)3,1B.[)()3,22,1C. ()3,2)2,1(D.[)(]3,22,1126.下列结论正确的是( )A.函数x y -=2在R 上是增函数B.函数2x y =在R 上是增函数C. 函数()1ln -=x y 在()+∞,1为增函数D. x y 1=在定义域内为减函数127、已知(10)x f x =,则()100f = ( )A 、100B 、10010C 、lg10D 、2128. 已知 0<log a 2<log b 2,则 a ,b 的关系是( )A. 0<a <b <1B. 0<b <a <1C. b >a >1D. a >b >1129.下面式子正确的是( ) A. 2.05->1.05-; B. e lg >3lg ; C. 8.01.0<8.02.0; D. π3log <8.0log 2130. 设M=3log 13log 152+,则( )(A )M=2 (B )M=-2 (C )M<-2 (D)m>2131.设554a log 4b log c log ===25,(3),,则( ) (A)a<c<b (B) )b<c<a (C) )a<b<c (D) )b<a<c132.已知log (3)log (3)0m n ππ-<-<,m,n 为不等于1的正数,则下列关系中正确的是( ) (A )1<m<n (B)m<n<1 (C)1<m<n (D)n<m<1 133.下列函数中既是奇函数,又是区间[]1,1-上单调递减的是( )(A )1()()2xx f x a a -=- (B) ()1f x x =-+ (C) 1()()2x x f x a a -=+ (D) 2()2xf x lnx-=+ 134. 已知x x f 26log )(=,那么)8(f 等于( )(A )34 (B )8 (C )18 (D )21 135.y=a -x和y=log a x 在同一坐标系内的图像可能为( )A .①或②B .①或③C .③或④D .②或④136.f(x)=⎪⎩⎪⎨⎧-<≤≤--->)1(,2)1x 1(,12x )1(,x log x 2x x ,则f{f[f(2)]}= ( )A .81 B .1 C .2 D .3137、若函数⎩⎨⎧<+≥=-)4(),3()4(,2)(x x f x x f x ,则=)3(log 2f ( )A 、241 B 、 481 C 、111 D 、823- 138、函数22log (1)y x x =+≥的值域为 ( )A 、()2,+∞B 、(),2-∞C 、[)2,+∞D 、[)3,+∞139.将函数 y = 3x-2 的图象向左平移两个单位,再将所得图象关于直线 y = x 对称后所得图象的函数解析式为( )A. y = 4 + log 3 xB. y = log 3(x - 4)C. y = log 3 xD. y = 2 + log 3 x140、函数12+=-xy (x>0)的反函数是( )A 、)2,1(,11log 2∈-=x x yB 、)2,1(,11log 2∈--=x x yC 、]2,1(,11log 2∈-=x x y D 、]2,1(,11log 2∈--=x x y 141、已知732log [log (log )]0x =,那么12x-等于( )A 、13 B C D 142、2log 13a<,则a 的取值范围是( ) A 、()20,1,3⎛⎫+∞ ⎪⎝⎭B 、2,3⎛⎫+∞⎪⎝⎭ C 、2,13⎛⎫ ⎪⎝⎭ D 、220,,33⎛⎫⎛⎫+∞ ⎪ ⎪⎝⎭⎝⎭143.函数y=log 21(2x 2-3x+1)的递减区间为( )(A )(1,+∞) (B )(-∞,43] (C )(21,+∞) (D )(-∞,21] 144.若0<a<1,b>1,则M=a b,N=log b a,p=b a的大小是( )(A )M<N<P (B )N<M<P (C )P<M<N (D )P<N<M 145、已知32a=,那么33log 82log 6-用a 表示是( )A 、2a -B 、52a -C 、23(1)a a -+ D 、 23a a - 146、2log (2)log log a a a M N M N -=+,则NM的值为( ) A 、41B 、4C 、1D 、4或1 147、计算()()5lg 2lg 25lg 2lg 22⋅++等于 ( )A 、0B 、1C 、2D 、3 148.已知m>n>0,则以下结论正确的是( )A .n m8.08.0> B. n log m log 5.35.3> C.5-5n m -> D . 5log 5log n m >149.三个数3.0222,3.0log ,3.0===c b a 之间的大小关系是 ( )A b c a <<. B. c b a << C. c a b << D.a c b << 150、函数2lg 11y x ⎛⎫=-⎪+⎝⎭的图像关于( ) A 、x 轴对称 B 、y 轴对称 C 、原点对称 D 、直线y x =对称151.下列函数中,是偶函数的是 ( )A.2e e )x (f xx --=B.2e e )x (f x x -+=C.=)(x f 1212+-x xD.)1,1(,11ln )(-∈+-=x xxx f ,152.下列关系式中,成立的是 ( )A .10log 514log 3103>⎪⎭⎫⎝⎛>B . 4log 5110log 3031>⎪⎭⎫⎝⎛>C . 03135110log 4log ⎪⎭⎫⎝⎛>>D .0331514log 10log ⎪⎭⎫⎝⎛>>153.23log 4log 27的值是( )A 、23 B 、1 C 、32D 、2 154.已知log a<1,那么a 的取值范围是( ) A . 0<a <B .a >C.<a <1 D. 0<a <,或a >1155.下列各对函数是互为反函数的是 ( )A . y=3x与x)31(y = B .y=-x 2与)x (log y 2-=C .y=3x与x log y 3= D .y=2x与2x y =156.y=log a (x+2) (0<a<1,),则图像必不过哪个象限 ( )A .第一象限B .第二象限C .第三象限D .第四象限 157.根据下列图像判断a 、b 、c 、d 的大小( )B158. 下列函数:① y = 2x 3;②3y x=;③43y x -=;④ y =54-x - 1;⑤ y = - x 3; ⑥y x =;⑦ y =54x 中,幂函数的个数为( )A. 1个B. 2个C. 3个D. 4个159.下列命题中正确的是 ( ) A .当0=α时函数αx y =的图象是一条直线 B .幂函数的图象都经过(0,0)和(1,1)点C .若幂函数αx y =是奇函数,则αx y =是定义域上的增函数 D .幂函数的图象不可能出现在第四象限160. 幂函数 n my x =(m ,n 为互质的自然数)的图象关于原点对称的条件是( )A. m 是偶数,n 是奇数B. n 是偶数,m 是奇数C. m ,n 都是奇数D. 只须 m 是奇数161.下列函数中既是偶函数又是 ( )A .B .C .D .162.下列函数中定义域为R 的是( )(A )43x y = (B) 51-=xy (C) 52x y = (D) 5-=x y163.32x y =的图象是下面曲线中的一个(见图1-18),则它是( )B164.函数y=85x 的图象是下面曲线中的哪一个 ( )A .B .C .D .165. 如图1—9所示,幂函数αx y =在第一象限的图象,比较1,,,,,04321αααα的大小( ) A .102431<<<<<αααα B .104321<<<<<αααα C .134210αααα<<<<< D .142310αααα<<<<<166. 对于幂函数54)(x x f =,若210x x <<,则)2(21x x f +,2)()(21x f x f +大小关系是( ) A .)2(21x x f +>2)()(21x f x f + B . )2(21x x f +<2)()(21x f x f + C . )2(21x x f +=2)()(21x f x f + D . 无法确定167. 函数111--=x y 的图象是( )D1α3α 4α2α168、若集合M={y |y=2x},P={y|y=1-x },则M P=( )A 、{}1|>y yB 、{}1|≥y yC 、{}0|>y yD 、{}0|≥y y 169.下列各式不正确的是( )(A )1.72.5<1.73 ( B ) 1.70.3< 0.93.1( C )2.01.08.08.0--< (D )335.001.1--<170.设a=31323221,51,21⎪⎭⎫ ⎝⎛=⎪⎭⎫ ⎝⎛=⎪⎭⎫ ⎝⎛c b ,则a,b,c 的大小顺序是( )(A )b<a<c (B )a>b>c (C)a>c>b (D)c<a<b 171. 下列四个不等式:(1)323214.3--<π,(2)223ee >,(3)513153>,(4)log 35>log 45,其中正确的有( )(A )1个 (B )2个 (C )3个 (D )4个172.设,10,1<<>>a y x 则下列关系正确的是 ( )(A )a ay x--> (B )ay ax < (C )y x a a < (D )y x a a log log >173.给右图的容器甲注水,下面图像中哪一个图像可以大致刻画容器中水的高度与时间的函数关系( ) B174. f(x)=3x-x 2,则在下列区间中,使方程f(x)=0有实数解的区间是( )A .(-2,-1) B. (-1,0) C. (0,1) D. (1,2) 175.函数3()1f x x x =+-有零点的区间是( )A 、(-1, 0)B 、(0, 1)C 、(1, 2)D 、(2, 3) 176. 方程 x – 1 = lg x 必有一个根的区间是( )A.(0.1,0.2)B.(0.2,0.3)C.(0.3,0.4)D.(0.4,0.5)177. 若方程 a x - x - a = 0 有两个解,则 a 的取值范围是( )A.(1,+∞)B. (0,1)C. (0,+∞)D.178.xx x f 2ln )(-=的零点所在的大致区间为 ( ) A )2,1( B.)3,2( C.)4,3( D. (2,e e )179.函数22)(23--+=x x x x f 的一个正数零点附近的函数值用二分法计算,其参考数据如下:f (1)=-2 f (1.5)=0.625f (1.25)=-0.984那么方程022=--+x x x 的一个近似根(精确到0.1)为( ). A. 1.2 B. 1.3 C. 1.4 D. 1.5 二、填空题:1. 若B ={a ,b ,c ,d ,e },C = {a ,c ,e ,f },且集合 A 满足 A ⊆B ,A ⊆C ,则集合 A 的个数是___ 2.设A={x |x 2+x -6=0},B={x |mx +1=0},且A∪B=A,则m 的取值范围是 . 3、已知{}{}a x a x B x x x A +<<-=>--=440542,,且R B A =⋃,则a ∈ 4. 已知A={x|x 是锐角},B=(0,1),从A 到B 的映射是“求正弦”,则与A 中元素60o对应 的B 中的元素是___________ ,与B 中元素22对应的A 中的元素是___________ .5.函数y =的定义域是 ,值域是 。