噶米第三章连接课后习题参考答案
- 格式:doc
- 大小:1.09 MB
- 文档页数:22
第三章课后习题答案一、填空题1、核心层汇聚层接入层2、路由表3、园区网广域网远程连接4、10M 基带信号 500m5、86、网段中继设备第1、2、57、PVC SVC8、租用专线业务帧中继业务话音/传真业务9、分段管理灵活安全性10、144kbit/s 64kbit/s B 16kbit/s D11、隧道技术12、3013、带宽时延信道可信度信道占用率最大传输单元二、问答题1、分层设计的原则有两条:网络中因拓扑结构改变而受影响的区域应被限制到最小程度;路由器应传输尽量少的信息。
2、核心层设计应该注意:不要在核心层执行网络策略;核心层的所有设备应具有充分的可达性。
3、汇聚层设计目标有:隔离拓扑结构的变化;通过路由聚合控制路由表的大小。
4、绘制网络拓扑结构图时注意:选择合适的图符来表示设备;线对不能交叉、串接,非线对尽量避免交叉;终结处及芯线避免断线、短路;主要的设备名称和商家名称要加以注明;不同连接介质要使用不同的线型和颜色加以注明;标明制图日期和制图人。
5、ATM论坛规定了恒定比特率、实时可变比特率、非实时可变比特率、不指明比特率和可用比特率等5种服务类型。
6、划分VLAN的方式有基于端口划分VLAN;基于MAC地址划分VLAN;基于协议规则划分VLAN;基于网络地址划分VLAN。
7、减少wlan网络覆盖时的工程建设成本(利用现有的基站架高)、同时减少网络规划费用8、1. QOS【流控技术领域】 2. 数据缓存【数据缓存技术领域】 3. 传输协议优化【协议优化技术领域】 4. 数据压缩9、开放性原则可扩展性原则先进性与实用兼顾原则安全与可靠原则可维护性原则。
10、(1)园区网是网络的基本单元,是网络建设的起点,它连接本地用户,为用户联网提供了本地接入设施(2)园区网较适合与采用三层结构设计,通常规模较小的园区网只包括核心层和接入层,分布层被划入了核心层,尤其是在交换网络中是如此考虑的(3)园区网对线路成本考虑较少,对设备性能考虑的较多,追求较高的带宽和良好的扩展性(4)园区网的结构比较规整,有很多成熟的技术,如以太网、快速以太网、FDDI,也有许多新兴的技术,如吉比特以太网、ATM 网和WLAN等11、虚拟专用网(VPN)是一种采用隧道技术在公共网络上建立专用逻辑通信的连接方式,被广泛用于远程访问和企业Intranet/Extranet中。
第三章钢结构的连接课后习题答案第三章-钢结构的连接课后习题答案第三章钢结构的连接3.1试设计双角钢与节点板的角焊缝连接(图3.80)。
钢材为q235b,焊条为e43型,手工焊,轴心力n=1000kn(设计值),分别采用三面围焊和两面侧焊进行设计。
解决方案:(1)三面环缝焊接FFW?160n/mm2?1.确定焊脚尺寸:21?2?33hf,max?1.2tmin?1.2?10?12mm,hf,min?1.5tmin?1.512?5.2mm,hf?8mm内部配电:n3??f??0.7hf?b?ffw?1.22?2?0.7?8?125?160?273280n?273.28knn31273。
28?? 1000?? 196.69KN23N2273。
28n1??1n?3.1000?? 530.03kn232n2??2n?焊缝长度计算:lw1?n1530。
03?? 296毫米,w?0.7hf?ff2?0.7? 8.160? 1.296? 8.304mm?60hf?60? 8.480mm,取310mm。
那么实际焊接长度是LW2?n2196。
69?? 110毫米,w?0.7hf?ff2?0.7? 8.160? 2.110? 8.118毫米?60hf?60? 8.480毫米,120毫米。
那么实际焊接长度是LW(2)两侧的侧焊确定焊脚尺寸:同上,取hf1?8mm,hf2?6mm内力分配:n2??2n?焊缝长度计算:12? 1000? 333kn,n1??1n??1000? 667kn33lw1?n1667??372mm,w0。
7小时?f2?0.7? 8.160? FF,实际焊缝长度为:?1?372?8?2?388mm?60hf?60?8?480mm,取390mm。
lwlw2?n2333??248mm,w?0.7hf?ff2?0.7?6?160则实际焊缝长度为:? 1.248? 6.2.260毫米?60hf?60? 8.480mm,260mm。
第三章 刚体力学#3-1 一通风机的转动部分以初角速度ω0绕其轴转动,空气的阻力矩与角速度成正比,比例系数C 为一常量。
若转动部分对其轴的转动惯量为J ,问:(1)经过多少时间后其转动角速度减少为初角速度的一半?(2)在此时间内共转过多少转? 解:(1)由题可知:阻力矩ωC M -=,又因为转动定理 dtd JJ M ωβ== dtd JC ωω=-∴ dt JC d t ⎰⎰-=∴00ωωωω t JC-=0lnωω t JCe-=0ωω当021ωω=时,2ln CJt =。
(2)角位移⎰=tdt 0ωθ⎰-=2ln 00C Jt JC dt eωCJ 021ω=,所以,此时间内转过的圈数为CJ n πωπθ420==。
3-2 质量为M ,半径为R 的均匀圆柱体放在粗糙的斜面上,斜面倾角为α ,圆柱体的外面绕有轻绳,绳子跨过一个很轻的滑轮,且圆柱体和滑轮间的绳子与斜面平行,如本题图所示,求被悬挂物体的加速度及绳中张力解:由牛顿第二定律和转动定律得ma T mg =- ααJ R Mg TR =-.sin 2由平行轴定理 223MR J =联立解得 g m M M m a 83sin 48+-=αmg mM MT 83)sin 43(++=α3-3 一平板质量M 1,受水平力F 的作用,沿水平面运动,如本题图所示,板与平面间的摩擦系数为μ,在板上放一质量为M 2的实心圆柱体,此圆柱体在板上只滚动而不滑动,求板的加速度。
解:设平板的加速度为a 。
该平板水平方向受到拉力F 、平面施加的摩擦力1f 和圆柱体施加的摩擦力2f ,根据牛顿定律有,a M f f F 121=--。
m g设圆柱体的质心加速度为C a ,则C a M f 22=遵守转动定理,ββ22221R M J R f ==又因为圆柱体无滑滚动 βR a a C += 且 g M M f )(211+=μ解以上各方程得 212131)(M M gM M F a ++-=μ3-4 质量面密度为σ的均匀矩形板,试证其对与板面垂直的,通过几何中心的轴线的转动惯量为)(1222b a ab J +σ=。
大学物理第三章 课后习题答案3-1 半径为R 、质量为M 的均匀薄圆盘上,挖去一个直径为R 的圆孔,孔的中心在12R 处,求所剩部分对通过原圆盘中心且与板面垂直的轴的转动惯量。
分析:用补偿法(负质量法)求解,由平行轴定理求其挖去部分的转动惯量,用原圆盘转动惯量减去挖去部分的转动惯量即得。
注意对同一轴而言。
解:没挖去前大圆对通过原圆盘中心且与板面垂直的轴的转动惯量为:2112J MR =① 由平行轴定理得被挖去部分对通过原圆盘中心且与板面垂直的轴的转动惯量为:2222213()()2424232c M R M R J J md MR =+=⨯⨯+⨯= ②由①②式得所剩部分对通过原圆盘中心且与板面垂直的轴的转动惯量为:2121332J J J MR =-=3-2 如题图3-2所示,一根均匀细铁丝,质量为M ,长度为L ,在其中点O 处弯成120θ=︒角,放在xOy 平面内,求铁丝对Ox 轴、Oy 轴、Oz 轴的转动惯量。
分析:取微元,由转动惯量的定义求积分可得 解:(1)对x 轴的转动惯量为:2022201(sin 60)32Lx M J r dm l dl ML L ===⎰⎰ (2)对y 轴的转动惯量为:20222015()(sin 30)32296Ly M L M J l dl ML L =⨯⨯+=⎰(3)对Z 轴的转动惯量为:22112()32212z M L J ML =⨯⨯⨯=3-3 电风扇开启电源后经过5s 达到额定转速,此时角速度为每秒5转,关闭电源后经过16s 风扇停止转动,已知风扇转动惯量为20.5kg m ⋅,且摩擦力矩f M 和电磁力矩M 均为常量,求电机的电磁力矩M 。
分析:f M ,M 为常量,开启电源5s 内是匀加速转动,关闭电源16s 内是匀减速转动,可得相应加速度,由转动定律求得电磁力矩M 。
解:由定轴转动定律得:1f M M J β-=,即11252520.50.5 4.12516f M J M J J N m ππβββ⨯⨯=+=+=⨯+⨯=⋅ 3-4 飞轮的质量为60kg ,直径为0.5m ,转速为1000/min r ,现要求在5s 内使其制动,求制动力F ,假定闸瓦与飞轮之间的摩擦系数0.4μ=,飞轮的质量全部分布在轮的外周上,尺寸如题图3-4所示。
第三章模拟集成放大器及其应用1.判断对错,在括号中画√或×。
(1)若放大电路的A<0,则接人的反馈一定是负反馈。
( ×)(2)若A>0,则接人的一定是正反馈。
( ×)(3)由于接人负反馈,则反馈放大电路的A一定是负值。
( ×)(4)接人正反馈后,A一定是正值。
( ×)2.判断对错,在括号中画√或×。
(1)直流负反馈是指:①只存在于直接藕合电路,而阻容耦合电路中不存在的反馈。
( ×)②直流通路中的负反馈。
( √)③只在放大直流信号时才有的反馈。
( ×)(2)交流负反馈是指:①只存在于阻容耦合电路而直接耦合电路中没有的反馈。
( ×)②交流通路中的负反馈。
( √)③只在放大正弦波信号时才有的反馈。
( ×)3.填空:(1) 反相比例运算电路的输入电流基本上等于流过反馈电阻的电流,而___同相___比例运算电路的输电流几乎等于零。
(同相,反相)(2)反相比例放大电路的输入电阻较_低,同相比例放大电路的韵输入电阻较_高_。
(高,低)(3)在进行反相比例放大时,集成放大器两个输入端的共模信号Uic=__ 0_;若同相输入端接Ui,由集成放大器组成的比例放大电路的共模信号Uic=__Ui_。
(0,Ui)4.一个放大电路具有直流电流负反馈和交流电流并联负反馈,试问这些反馈有哪些作用?(判断下列答案是否正确,在括号中画√或×)(1)稳定输出电压( ×)(2)稳定输出电流( √)(3)增加输出电阻( √)(4)减小输出电阻( ×)(5)增大输入电阻( ×)(6)减小输入电阻( √)(7)增大工作点电流( ×)(8)稳定工作点电流。
(√)5.选择合适的答案填空为了实现以下目的,应引入:A.直流负反馈;B.交流负反馈。
(1)为稳定静态工作点;( A )(2)为稳定电压放大倍数( B )(3)为扩展频带( B)(4)为改变输入电阻或输出电阻( B)(5)为抑制温漂。
习题答案第三章题目1•何谓编程语言?PLC常用的编程语言主要有哪几种?2•梯形图与继电器控制线路图有哪些异同点?3•为什么在梯形图中软器件触点的使用次数不受限制?4•在梯形图中为什么地址相同的输出继电器不能重复使用?5.FX2系列PLC的基本指令有几条?各条指令的功能是什么?写出图3-11 1所示梯形图的语句表。
6.FX2系列PLC的步进指令有几条?各有什么用途?写出图3-11 2 所示状态转移图的等效梯形图和语句表。
7.FX2系列PLC的功能指令有多少条?其用途是什么?如何计算功能指令块的程序步?写出图3-11 3 所是示梯形图的语句表。
8•设计一个用户程序,当输入常数满足时,依次将C0~C9当前值转换成BCD码送到输出元件K4Y0 ,画出梯形图。
(提示:用一个变址寄存器Z,首先0- (Z)每次(COI)f(Z) +1^( Z),当(Z) = 9时,Z复位从头开始)9•设计一个控制变流电动机正转,反转和停止的用户程序,要求从正转运行到反转运行之间的切换必须有2秒延时。
10.FX2系列PLC提供有多少个中断源?中断源标号1 8 6 6表示什么意思?11•扫描图3 -11 4所示梯形图,在什么情况下M6 0状态由0变为1?12.图3 - 11 5是一条转速测量指令,试问脉冲发生器产生的脉冲由何处输入?其测周期T等于多少?在扫描该梯形图时D10〜D12中存放什么内容?13・图3 - 11 6是一条拨码盘数据输入指令,X1 0是源数首址,占用多少个开关量输入?其用途是什么?Y20, D0是目的操作首数首址,各占用几个位元件和字元件?其用途是什么?常数K2表示什么?14.图3 - 11 7是一条BCD码数据输出显示指令, D0是源数首址,占用几个字元件?其作用是什么?Y0是目的操作书首址。
占用多少个开关量输出?它们的作用是什么?常数K6表示什么?其取值范围是什么?15.图3 — 11 8所示梯形图中,WDT指令的作用是什么?在什么情况下必须使用该指令?在扫描该梯形图时,为什么会造成死循环?16・试设计一个控制拣球机械手动作的用户程序。
2-7. 如图2-2所示网络,在位置1、2和3处装有电流保护,系统参数为:图2-2 简单电网示意图3/115kV E =,Ω=151G X 、Ω=102G X 、 Ω=103G X ,120L L km ==6、 30L km =4,km L C B 50=-、km L D C 30=- 、km LED 20=-,线路阻抗km /4.0Ω1.2rel K I =、 1.15rel rel K K II III ==, .max 300B C l I A -=、 .max 200C D l I A -=、.max 150C E l I A -=, 1.5ss K = 、 0.85re K =(1) 发电机元件最多三台运行,最少一台运行,线路最多三条运行,最少一条运行,请确定保护3在系统最大、最小运行方式下的等值阻抗。
(2) 整定保护1、2和3的电流速断定值,并计算各自的最小保护范围。
(3) 整定保护2和3的限时电流速断定值,并校验使其满足灵敏度要求(2.1≥sen K )。
(4) 整定保护1、2和3的过电流定值,假定E 母线过电流保护动作时限为0.5秒,校验保护1作近后备、保护2和3作远后备的灵敏度。
解:Ω=⨯==24600.421L L X X ,Ω=⨯=16404.03L X ,Ω=⨯=20504.0BC X Ω=⨯=Ω=⨯=8204.0,12304.0D E CD X X(1) 经分析,最大运行方式即阻抗最小,则三台发电机运行,线路31~L L 全部运行,由题意知G1,G2连接在同一母线, 则Ω=++=++=6.10)1610(||)126()(||)||||(332121min .L G L L G G s X X X X X X X其中“||”表示取并联的意思,以后不再重复。
同理,最小运行方式即阻抗之最大,分析知在只有1G 和1L 运行,相应的Ω=+=+=39241511max .L G s X X X(2)对于保护1等值电路图如下所示f母线E 最大运行方式下发生三相短路流过保护1的最大短路电流..max .min 1.312()K E s BC CD DE E I KA X X X X =+++相应的速断定值为)(57.1123.12.1max ..1.KA I K I E K Irel I set =⨯=⨯=,最小保护范围计算式为:min1max .23L Z Z EI s I set +⨯=Km Z I EL s I set 9.584.01))122039(57.12/115(4.01)23(max .min-=⨯++-=⨯-=即1处的电流速断保护在最小运行方式下没有保护区。
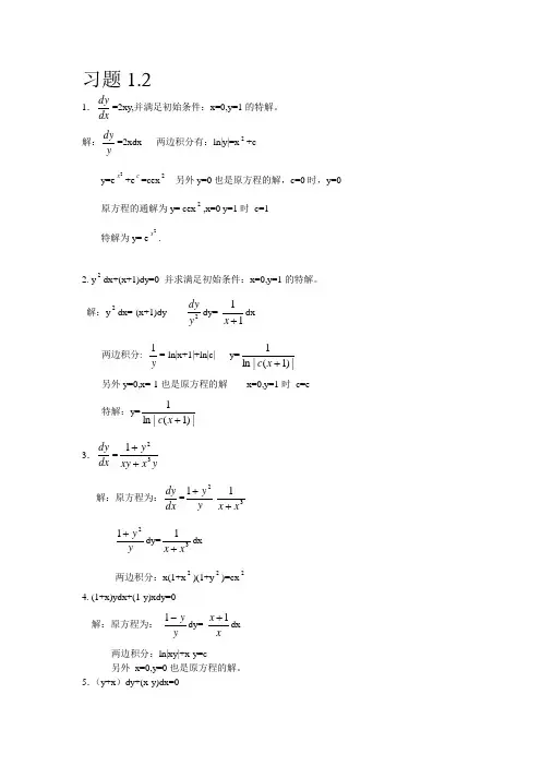
习题1.21.dxdy=2xy,并满足初始条件:x=0,y=1的特解。
解:ydy=2xdx 两边积分有:ln|y|=x 2+c y=e2x +e c =cex 2另外y=0也是原方程的解,c=0时,y=0原方程的通解为y= cex 2,x=0 y=1时 c=1 特解为y= e 2x .2. y 2dx+(x+1)dy=0 并求满足初始条件:x=0,y=1的特解。
解:y 2dx=-(x+1)dy2y dy dy=-11+x dx两边积分: -y1=-ln|x+1|+ln|c| y=|)1(|ln 1+x c另外y=0,x=-1也是原方程的解 x=0,y=1时 c=e 特解:y=|)1(|ln 1+x c3.dx dy =yx xy y 321++解:原方程为:dxdy =y y 21+31x x + y y 21+dy=31x x +dx 两边积分:x(1+x 2)(1+y 2)=cx 24. (1+x)ydx+(1-y)xdy=0 解:原方程为:y y -1dy=-xx 1+dx两边积分:ln|xy|+x-y=c另外 x=0,y=0也是原方程的解。
5.(y+x )dy+(x-y)dx=0解:原方程为:dx dy =-yx y x +-令xy=u 则dx dy =u+x dx du 代入有:-112++u u du=x 1dxln(u 2+1)x 2=c-2arctgu 即 ln(y 2+x 2)=c-2arctg 2xy. 6. xdxdy-y+22y x -=0 解:原方程为:dx dy =x y +xx ||-2)(1x y -则令xy=u dx dy =u+ x dx du211u - du=sgnxx1dx arcsinxy=sgnx ln|x|+c 7. tgydx-ctgxdy=0 解:原方程为:tgy dy =ctgxdx 两边积分:ln|siny|=-ln|cosx|-ln|c| siny=x c cos 1=xccos 另外y=0也是原方程的解,而c=0时,y=0.所以原方程的通解为sinycosx=c.8 dx dy +ye x y 32+=0 解:原方程为:dx dy =ye y 2e x 32 ex3-3e2y -=c.9.x(lnx-lny)dy-ydx=0 解:原方程为:dx dy =x y ln xy令x y=u ,则dx dy =u+ x dx duu+ xdxdu=ulnu ln(lnu-1)=-ln|cx| 1+lnxy=cy. 10.dxdy =e yx - 解:原方程为:dxdy =e x e y- e y=ce x11dxdy =(x+y)2解:令x+y=u,则dx dy =dxdu -1 dx du -1=u 2211u +du=dx arctgu=x+c arctg(x+y)=x+c12.dx dy =2)(1y x + 解:令x+y=u,则dx dy =dxdu -1dx du -1=21uu-arctgu=x+c y-arctg(x+y)=c. 13.dx dy =1212+-+-y x y x 解: 原方程为:(x-2y+1)dy=(2x-y+1)dx xdy+ydx-(2y-1)dy-(2x+1)dx=0 dxy-d(y 2-y)-dx 2+x=cxy-y 2+y-x 2-x=c14:dx dy =25--+-y x y x 解:原方程为:(x-y-2)dy=(x-y+5)dx xdy+ydx-(y+2)dy-(x+5)dx=0dxy-d(21y 2+2y)-d(21x 2+5x)=0 y 2+4y+x 2+10x-2xy=c.15: dxdy=(x+1) 2+(4y+1) 2+8xy 1+ 解:原方程为:dxdy=(x+4y )2+3令x+4y=u 则dx dy =41dx du -4141dx du -41=u 2+3 dx du=4 u 2+13 u=23tg(6x+c)-1 tg(6x+c)=32(x+4y+1).16:证明方程y x dxdy=f(xy),经变换xy=u 可化为变量分离方程,并由此求下列方程: 1) y(1+x 2y 2)dx=xdy2) y x dx dy =2222x -2 y x 2y+ 证明: 令xy=u,则x dx dy +y=dxdu 则dx dy =x 1dx du -2x u,有:u x dxdu=f(u)+1)1)((1+u f u du=x1dx所以原方程可化为变量分离方程。
第3章 复习思考题参考答案3-1 连接器和跳线的作用是什么?接头的作用又是什么答:连接器是把两个光纤端面结合在一起,以实现光纤与光纤之间可拆卸(活动)连接的器件。
跳线用于终端设备和光缆线路及各种光无源器件之间的互连,以构成光纤传输系统。
接头是把两个光纤端面结合在一起,以实现光纤与光纤之间的永久性(固定)连接。
接头用于相邻两根光缆(纤)之间的连接,以形成长距离光缆线路。
3-2 耦合器的作用是什么?它有哪几种耦合器的功能是把一个或多个光输入分配给多个或一个光输出。
耦合器有T 形耦合器、星形耦合器、方向耦合器和波分耦合器。
3-3 简述波导光栅解复用器的工作原理阵列波导光栅由N 个输入波导、N 个输出波导、两个具有相同结构的N ⨯ N 平板波导星形耦合器以及一个平板阵列波导光栅组成,如图3.4.4所示。
这种光栅相邻波导间具有恒定的路径长度差∆L ,由式(1.2.8)可知,其相邻波导间的相位差为λφLn ∆=∆eff π2 (3.4.6)式中,λ是信号波长,∆L 是路径长度差,通常为几十微米,eff n 为信道波导的有效折射率,它与包层的折射率差相对较大,使波导有大的数值孔径,以便提高与光纤的耦合效率。
输入光从第一个星形耦合器输入,在输入平板波导区(即自由空间耦合区)模式场发散,把光功率几乎平均地分配到波导阵列输入端中的每一个波导,由阵列波导光栅的输入孔阑捕捉。
由于阵列波导中的波导长度不等,由式(3.4.6)可知,不同波长的输入信号产生的相位延迟也不等。
AWG 光栅工作原理是基于马赫-曾德尔干涉仪的原理,即两个相干单色光经过不同的光程传输后的干涉理论,所以输出端口与波长有一一对应的关系,也就是说,由不同波长组成的入射光束经阵列波导光栅传输后,依波长的不同就出现在不同的波导出口上。
此处设计采用对称结构,根据互易性,同样也能实现合波的功能。
输1λ1λ12图3.4.3 由阵列波导光栅(AWG )组成的解复用器/路由器3.4 简述介质薄膜干涉滤波器解复用器的作用(见原荣编著《光纤通信(第2版)》3.4.3节)答:介质薄膜光滤波器解复用器利用光的干涉效应选择波长。
计算机网络课后题答案第三章(总23页)-CAL-FENGHAI.-(YICAI)-Company One1-CAL-本页仅作为文档封面,使用请直接删除第三章数据链路层301数据链路(即逻辑链路)与链路(即物理链路)有何区别“电路接通了”与“数据链路接通了”的区别何在答:(1)数据链路与链路的区别在于数据链路除链路外,还必须有一些必要的规程来控制数据的传输。
因此,数据链路比链路多了实现通信规程所需要的硬件和软件。
(2)“电路接通了”表示链路两端的结点交换机已经开机,物理连接已经能够传送比特流了。
但是,数据传输并不可靠。
在物理连接基础上,再建立数据链路连接,才是“数据链路接通了”。
此后,由于数据链路连接具有检测、确认和重传等功能,才使不太可靠的物理链路变成可靠的数据链路,进行可靠的数据传输。
当数据链路断开连接时,物理电路连接不一定跟着断开连接。
3-02、数据链路层中的链路控制包括哪些功能试讨论数据链路层做成可靠的链路层有哪些优点和缺点。
答:数据链路层中的链路控制包括以下功能:链路管理;帧同步;流量控制;差错控制;将数据和控制信息分开;透明传输;寻址。
数据链路层做成可靠的链路层的优点和缺点:所谓“可靠传输”就是:数据链路层的发送端发送什么,在接收端就收到什么。
这就是收到的帧并没有出现比特差错,但却出现了帧丢失、帧重复或帧失序。
以上三种情况都属于“出现传输差错”,但都不是这些帧里有“比特差错”。
“无比特差错”与“无传输差错”并不是同样的概念。
在数据链路层使用CRC 检验,能够实现无比特差错的传输,但这不是可靠的传输。
3-03、网络适配器的作用是什么网络适配器工作在哪一层答:络适配器能够对数据的串行和并行传输进行转换,并且能够对缓存数据进行出来,实现以太网协议,同时能够实现帧的传送和接受,对帧进行封闭等.网络适配器工作在物理层和数据链路层。
3-04、数据链路层的三个基本问题(帧定界、透明传输和差错检测)为什么都必须加以解决答:帧定界使收方能从收到的比特流中准确地区分出一个帧的开始和结束在什么地方;透明传输使得不管所传数据是什么样的比特组合,都应当能够在链路上传送,因此很重要;差错控制主要包括差错检测和差错纠正,旨在降低传输的比特差错率,因此也必须解决。
焊接连接参考答案一、概念题3.1 从功能上分类,连接有哪几种基本类型3.2 焊缝有两种基本类型—对接坡口焊缝和贴角焊缝,二者在施工、受力、适用范围上各有哪些特点3.3 对接接头连接需使用对接焊缝,角接接头连接需采用角焊缝,这么说对吗 3.4 h f 和lw 相同时,吊车梁上的焊缝采用正面角焊缝比采用侧面角焊缝承载力高 3.5 为何对角焊缝焊脚尺寸有最大和最小取值的限制对侧面角焊缝的长度有何要求为什么 【答】(1)最小焊脚尺寸:角焊缝的焊脚尺寸不能过小,否则焊接时产生的热量较小,致使施焊时冷却速度过快,导致母材开裂。
《规范》规定:h f ≥2t ,式中: t 2——较厚焊件厚度,单位为mm 。
计算时,焊脚尺寸取整数。
自动焊熔深较大,所取最小焊脚尺寸可减小1mm ;T 形连接的单面角焊缝,应增加1mm ;当焊件厚度小于或等于4mm 时,则取与焊件厚度相同。
(2)最大焊脚尺寸:为了避免焊缝区的主体金属“过热”,减小焊件的焊接残余应力和残余变形,角焊缝的焊脚尺寸应满足 12.1t h f 式中: t 1——较薄焊件的厚度,单位为mm 。
(3)侧面角焊缝的最大计算长度侧面角焊缝在弹性阶段沿长度方向受力不均匀,两端大而中间小,可能首先在焊缝的两端破坏,故规定侧面角焊缝的计算长度l w ≤60h f 。
若内力沿侧面角焊缝全长分布,例如焊接梁翼缘与腹板的连接焊缝,可不受上述限制。
3.6 简述焊接残余应力产生的实质,其最大分布特点是什么 3.7 画出焊接H 形截面和焊接箱形截面的焊接残余应力分布图。
3.8 贴角焊缝中,何为端焊缝何为侧焊缝二者破坏截面上的应力性质有何区别3.9 规范规定:侧焊缝的计算长度不得大于焊脚尺寸的某个倍数,原因何在规范同时有焊缝最小尺寸的规定,原因何在规范禁止3条相互垂直的焊缝相交,为什么。
举3~5例说明焊接设计中减小应力集中的构造措施。
简述连接设计中等强度法和内力法的含义。
对接焊接时为什么采用引弧板不用引弧板时如何考虑在哪些情况下不需计算对接焊缝 试判断下图所示牛腿对接焊缝的最危险点 焊缝质量检验是如何分级的【答】《钢结构工程施工质量验收规范》规定焊缝按其检验方法和质量要求分为一级、二级和三级。
焊接连接参考答案一、概念题3.1 从功能上分类,连接有哪几种基本类型?3.2 焊缝有两种基本类型—对接坡口焊缝和贴角焊缝,二者在施工、受力、适用范围上各有哪些特点?3.3 对接接头连接需使用对接焊缝,角接接头连接需采用角焊缝,这么说对吗? 3.4 h f 和lw 相同时,吊车梁上的焊缝采用正面角焊缝比采用侧面角焊缝承载力高? 3.5 为何对角焊缝焊脚尺寸有最大和最小取值的限制?对侧面角焊缝的长度有何要求?为什么?【答】(1)最小焊脚尺寸:角焊缝的焊脚尺寸不能过小,否则焊接时产生的热量较小,致使施焊时冷却速度过快,导致母材开裂。
《规范》规定:h f ≥1.52t ,式中: t 2——较厚焊件厚度,单位为mm 。
计算时,焊脚尺寸取整数。
自动焊熔深较大,所取最小焊脚尺寸可减小1mm ;T 形连接的单面角焊缝,应增加1mm ;当焊件厚度小于或等于4mm 时,则取与焊件厚度相同。
(2)最大焊脚尺寸:为了避免焊缝区的主体金属“过热”,减小焊件的焊接残余应力和残余变形,角焊缝的焊脚尺寸应满足 12.1t h f 式中: t 1——较薄焊件的厚度,单位为mm 。
(3)侧面角焊缝的最大计算长度侧面角焊缝在弹性阶段沿长度方向受力不均匀,两端大而中间小,可能首先在焊缝的两端破坏,故规定侧面角焊缝的计算长度l w ≤60h f 。
若内力沿侧面角焊缝全长分布,例如焊接梁翼缘与腹板的连接焊缝,可不受上述限制。
3.6 简述焊接残余应力产生的实质,其最大分布特点是什么? 3.7 画出焊接H 形截面和焊接箱形截面的焊接残余应力分布图。
3.8 贴角焊缝中,何为端焊缝?何为侧焊缝?二者破坏截面上的应力性质有何区别? 3.9 规范规定:侧焊缝的计算长度不得大于焊脚尺寸的某个倍数,原因何在?规范同时有焊缝最小尺寸的规定,原因何在?3.10 规范禁止3条相互垂直的焊缝相交,为什么。
3.11 举3~5例说明焊接设计中减小应力集中的构造措施。
3.12 简述连接设计中等强度法和内力法的含义。
3.13 对接焊接时为什么采用引弧板?不用引弧板时如何考虑?在哪些情况下不需计算对接焊缝? 3.14 试判断下图所示牛腿对接焊缝的最危险点 3.15 焊缝质量检验是如何分级的?【答】《钢结构工程施工质量验收规范》规定焊缝按其检验方法和质量要求分为一级、二级和三级。
三级焊缝只要求对全部焊缝作外观检查且符合三级质量标准;一级、二级焊缝则除外观检查外,还要求一定数量的超声波检验并符合相应级别的质量标准。
焊缝质量的外观检验检查外观缺陷和几何尺寸,内部无损检验检查内部缺陷。
二、计算题2.1 已知两块等厚不等宽的钢板用焊透的对接焊缝连接,焊接中采用引弧板。
钢板材料为Q345钢。
焊缝承受变化轴力作用(标准值),Nmax=+1600KN, Nmin=+240KN, 试:分别按《桥规》和《钢规》对于对接焊缝进行强度验算。
循环次数按2x 106,焊缝等级为一级。
【解】 由于对接焊缝承受变化轴力作用,必须先确定其疲劳容许应力,然后进行强度验算。
(一)按钢规验算(1)疲劳验算:该焊缝为2类,容许应力幅为:[]βσ1⎪⎭⎫⎝⎛=∆n C []MPa 1441021086141612=⎪⎭⎫⎝⎛⨯⨯=∆σ 2912024380mm h l A e f w =⨯==MPa MPa A N w 14412.149912010)2401600(3>=⨯-=∆=∆σ 不满足疲劳强度要求。
(2)静力强度验算MPa f MPa A N w t w 29522891203.11600max max =<=⨯==σ 焊缝强度满足要求(二)《桥规》(1)疲劳容许应力[σ0]。
验算构件为焊接,疲劳应力为拉-拉构件 应力循环特征系数ρ的计算:115.0/1600/240max min -≥=++==AAσσρ最大应力为拉应力,连接属5.2类,相应容许应力为II 类,Mpa 7.121][0=σ 疲劳验算公式][)(0min max σσσt n d r r r ≤-1=d r ,1=n r ,1=t r (此三项系数均为假定的一种情况,实际按规范表查) .7.121][142)(0min max Mpa r Mpa t =>=-=∆σσσσ按桥规不满足疲劳强度要求。
2.2验算如图所示三块钢板焊成的工字型截面梁的对接焊缝强度。
尺寸如图,截面上作用的轴心拉力设计值N=250kN ,弯矩设计值M=40kN.m ,剪力设计值V=200kN ,钢材为Q345,手工焊,焊条为E50型,施焊时采用引弧板,三级质量标准。
(f t w =265N/mm 2, f c w =310N/mm 2, f v w =180N/mm 2)【解】240008200121002mm A =⨯+⨯⨯= 47231023.3)6100(1210022008121mm I x ⨯=+⨯⨯⨯+⨯⨯=351088.22/mm h I W x x ⨯==3112720010612100mm S w =⨯⨯=3167200508100127200mm S w =⨯⨯+=256/9.1381088.21040mm N W M M=⨯⨯==σ23/5.62400010250mm N A N N=⨯==σ22max /265/6.4.2015.629.138mm N f mm N w t =<=+=σ2273max /180/4.12981023.316720010200mm N f mm N t I VS w v w x w =<=⨯⨯⨯⨯==τ201/5.1865.622242009.138mm N h h N M=+⨯=+=σσσ27311/5.9881023.312720010200mm N t I VS w x w =⨯⨯⨯⨯==τ22222121/5.2911.1/7.1835.9835.1863mm N f mm N w t =<=⨯+=+τσ2.3 图中I32a 牛腿用对接焊缝与柱连接。
钢材为Q235,焊条用E43型,手工焊,用II 级焊缝的检验质量标准。
已知:I32a 的截面面积A=67.05cm 2;抵抗矩W x =692.2cm 2;腹板截面面积A W =25.4cm 2。
I x : S x =27.5 , t w =9.5mm 。
试按照《钢规》和《桥规》(焊缝为一级)分别求F 的最大值。
【解】对接焊缝所承受的内力为:F F N 2245cos 0=⨯=;F F N 2245sin 0=⨯= F V M 21020=⋅=1、钢规MPa f w t 215=;MPa f wv 125=对接焊缝A 点处弯曲应力最大,由wt w w w f W M A N ≤+=σ 得,5.212.69221005.672/2≤+F F ; F=694KN中和轴处剪应力最大,wv w w w f t I S V ≤⋅=τ 得 5.1295.05.272/2≤⨯F F=461.8KN根据翼缘和腹板相交处折算应力应满足:wtf 1.132121≤+τσ得3202901⨯+=σσw A N F F F 02906.03202902.69221005.672/2=⨯+,S W ’=34.297)5.7160(15130cm =-⨯⨯F F t I S V w w w 02.095.0110764.2972/2'=⨯⨯=⋅=τ()5.211.1)02.0(302906.022⨯≤+∴F F得F=527KN 按钢规F 的最大值为461.8KN 。
【按照桥规做为选作题】 1、桥规[]MPa w145=ο []MPa w85=τ对接焊缝A 点处弯曲应力最大,由[]w ww w W M A N σσ≤+=得,5.142.69221005.672/2≤+F F ; F=468KN中和轴处剪应力最大,[]W w ww t I S V ττ≤⋅=得 5.895.05.272/2≤⨯FF=314KN根据翼缘和腹板相交处折算应力应满足:[]w στσ1.132121≤+得3202901⨯+=σσw A N F F F 02906.03202902.69221005.672/2=⨯+,S W ’=34.297)5.7160(15130cm =-⨯⨯F F t I S V w w w 02.095.0110764.2972/2'=⨯⨯=⋅=τ()5.141.1)02.0(302906.022⨯≤+∴F F得F=352.8KN按桥规F 的最大值为314KN 。
2.4已知500mm ×12mm 钢板,钢材:Q235,E43焊条,手工焊,未使用引弧板,焊缝质量为III 级,钢板承受轴心拉力kN N 1250=。
设计:用双拼接板和围焊角焊缝的拼接,试求所需拼接板尺寸和焊脚尺寸f h 。
角焊缝强度设计值:W f f =160Mpa 。
W f 160f MPa=【解】1)设计拼接板 拼接板宽为450mm ;(连接的强度不小于被连接构件的强度)。
按等强度设计原则,拼接板截面≥基材截面,取8mm 。
拼接板面积2×8×(500-2x25)=7200mm>12×500=6000mm 2。
2) 焊脚尺寸对手工焊,焊脚2.5125.15.1m ax ==≥t h f mm ,mm t h f 6.982.12.1min =⨯=≤, 取6mm 。
3)侧焊缝计算 连接需要传递的内力3006000j ⨯==f A N=1800000N端焊缝可传递内力w f f l h N W1e 122.12⨯==2.44×0.7×6×450×160=738Kn 侧焊缝需传递内力=2N 1N N -=512KN 则:Wff 2W1e 7.04f h N l ⋅≥=512/(4×4.2×160)=190.5mm<60f h =360mmmm h l f w 48688max=⨯== 符合规范规定实际侧焊缝长度511+=e W W l l =195.5mm ,取为200mm 。
2.5 图(尺寸单位:mm)所示钢板牛腿用四条贴角焊缝连接在钢柱上(无引弧板)。
钢材为Q235,焊条E43型。
焊角尺寸h f =10mm ,角焊缝强度设计值为试确定最大承载力P 。
【解】W A =4×0.7x10×200=5600mm 2;W W =4×0.7x10×2002/6=186666.7mm 3;100V P M P e P =⋅=,=; ==W Vy/A V τP /5600W Mfx /W M =σ=100P /186666.7=P /1866.7因=+2V y 2M fx)()1.22(τσ22511()()47.4101.221866.75600P P -+=⨯⨯ ≤=Wf f 160Mpa所以 ≤P 105×160/47.4=337.55kN2.6 一雨棚拉杆受力如图所示,通过钢板和预埋件用角焊缝连接,需要进行角焊缝连接的验算,已知焊缝承受的静态斜向力为N =200kN(设计值),角度45=α,角焊缝的焊脚尺寸h f=10mm, 焊缝计算长度lw=300mm ,钢材为Q235-B,手工焊,焊条为E43型。