洛阳理工学院本科期末考试a卷
- 格式:doc
- 大小:251.50 KB
- 文档页数:6
河南省三门峡市洛阳理工学院2022年高二化学期末试卷含解析一、单选题(本大题共15个小题,每小题4分。
在每小题给出的四个选项中,只有一项符合题目要求,共60分。
)1. 肯定属于同族元素且性质相似的是A.原子核外电子排布式:A为1s22s2,B为1s2B.结构示意图:A为,B为C.A原子基态时2p轨道上有1个未成对电子,B原子基态时3p轨道上也有1个未成对电子D.A原子基态时2p轨道上有一对成对电子,B原子基态时3p轨道上也有一对成对电子参考答案:D2. 下列有机物命名正确的是()A . 2,3,3—三甲基己烷B . 1,2,3—三甲基丁烷C . 2-乙基丁烷D . 3,3—二甲基丁烷参考答案:A略3. X、Y均为短周期元素,X原子的最外层有3个电子,Y原子的最外层有6个电子,这两种元素形成的化合物的化学式是()A.XY2 B.X2Y3 C.X2Y D.XY参考答案:B考点:原子结构与元素的性质;元素周期律和元素周期表的综合应用.分析:元素的原子最外层有3个电子,所以易失电子,化合价为+3价,Y元素的原子最外层有6个电子,易得2个电子,化合价为﹣2价,再根据化合价书写化学式.解答:解:由题意可知:X元素的原子最外层有3个电子,所以易失电子,化合价为+3价,Y元素的原子最外层有6个电子,易得2个电子,化合价为﹣2价,根据化合价来书写化学式,一般正价在前,负价在后,化合物中正负化合价的代数和为0,则该化合物的化学式是X2Y3.故选B.点评:本题考查了根据原子的最外层电子数(通常>4个的得电子,<4个的失电子)判断元素的化合价,及书写化学式的能力,比较基础.4. 下列说法正确的是A.自然界的金属都以化合态的形式存在B.在冶炼金属的反应中,CO是还原剂C.金属单质都具有较好的导电、导热和延展性D.原电池反应是导致金属腐蚀的主要原因,故不能用来减缓金属的腐蚀参考答案:B略5. 13.下列各组液体混和物,用分液漏斗不能分离的是A.苯和水 B.四氯化碳和水 C.乙酸和水 D.正己烷和水参考答案:C略6. 三氟化氮(NF3)是无色无味气体,它可由氨气和氟气反应制得:4NH3+3F2===NF3+3NH4F。
图1.1洛阳理工学院 2010/2011 学年 第一学期 材料力学 期末考试(A )适用班级:B090601/02/03/04 考试日期时间: 2011-12-13一、 选择题(每小题4分,共40分) 1. 下列表述正确的是( )。
A .理论力学主要研究物体受力后的运动效应,同时也考虑物体的变形效应;B .理论力学中的四个公理在材料力学中同样适用;C .材料力学主要研究杆件受力后变形与破坏的规律;D .材料力学主要研究各类杆件受力与材料的关系。
2. 圆截面低碳钢试件接近拉断时,标距由100mm 变为130mm ,颈缩直径由10mm 变为7mm ,其泊松比为( )。
A .3/1030/1001εμε-=-'==;B .3/1030/1001εμε-='==;C .泊松比3/730/1301.86εμε='==;D .无法计算泊松比。
3. 如图1.1所示厚度为δ的基础上有一方柱,柱受轴向压力F ,则基础的剪切应力为( )。
A .2Faτ=;B .F a τδ=;C .2F a τδ=;D .4F a τδ=。
4. 两根长度相等、直径不等的圆轴承受相同的平衡外力偶后,轴表面上的母线转过相同的角度。
设直径大的轴和直径小的轴的横截面积上的最大切应力分别为1max τ和2max τ,切变模量为1G 和2G 。
下列结论正确的是( )。
A. 12max max ττ>;B. 12max max ττ<;C. 若12G G >,则有12max max ττ>;D. 若12G G >,则有12max max ττ<。
5. 下列关于等强度梁说法正确的是( )。
A .各横截面弯矩相等;B .各横截面最大正应力都等于许用正应力;C .各横截面正应力相等;D .最大切应力都等于许用切应力。
6. 两个简支梁的材料、截面尺寸形状及梁中点承受的集中荷载均相同,而梁的跨度12:0.5l l =,则其最大挠度之比为( )。
2025届河南省洛阳市理工学院附中化学高一上期末联考试题注意事项:1.答卷前,考生务必将自己的姓名、准考证号、考场号和座位号填写在试题卷和答题卡上。
用2B铅笔将试卷类型(B)填涂在答题卡相应位置上。
将条形码粘贴在答题卡右上角"条形码粘贴处"。
2.作答选择题时,选出每小题答案后,用2B铅笔把答题卡上对应题目选项的答案信息点涂黑;如需改动,用橡皮擦干净后,再选涂其他答案。
答案不能答在试题卷上。
3.非选择题必须用黑色字迹的钢笔或签字笔作答,答案必须写在答题卡各题目指定区域内相应位置上;如需改动,先划掉原来的答案,然后再写上新答案;不准使用铅笔和涂改液。
不按以上要求作答无效。
4.考生必须保证答题卡的整洁。
考试结束后,请将本试卷和答题卡一并交回。
一、选择题(每题只有一个选项符合题意)1、下列分类标准不正确的是()A.化学反应分为氧化还原反应、非氧化还原反应(标准:是否有电子的转移)B.分散系分为溶液、胶体、浊液(标准:能否产生丁达尔效应)C.纯净物分为单质、化合物(标准:组成纯净物的元素种类数)D.化合物分为电解质、非电解质(标准:在水溶液中或熔融状态下能否导电)2、某物质灼烧时,焰色反应为黄色,下列判断正确的是()A.该物质一定是钠的化合物B.该物质一定含钠元素C.该物质一定是金属钠D.该物质中不含钾元素3、当向盛有氯化铁溶液的烧杯中同时加入铁粉和铜粉,反应结束后,烧杯底部不可能出现的情况是()A.有铜无铁B.有铁无铜C.有铁有铜D.无铁无铜4、氨的催化氧化是工业制硝酸的重要反应:4NH3+5O24NO+6H2O,对于该反应判断正确的是A.氧气被还原B.该反应是置换反应C.氨气是氧化剂D.若有17 g氨参加反应,反应中转移10 mol电子5、《神农本草经》记载:“神农尝百草,日遇七十二毒,得茶而解。
”茶叶中铁元素的检验可经以下四个步骤完成,各步骤中选用的实验用品不能都用到的是( )A.将茶叶灼烧灰化,选用①、②和⑨B.用浓盐酸溶解茶叶灰并加蒸馏水稀释,选用④、⑥和⑦C.过滤得到滤液,选用④、⑤和⑦D.检验滤液中的Fe3+,选用③、⑧和⑩6、下列物质中属于电解质的是( )A.CO2B.BaSO4C.Zn D.C2H5OH7、常温下,铁与下列酸溶液作用产生H2的是()A.浓硫酸B.稀硫酸C.浓硝酸D.稀硝酸8、下列变化中,不涉及化学变化的是( )A.硫磺燃烧B.氯水使有色布条褪色C.活性炭使红墨水褪色D.SO2使滴有酚酞的NaOH溶液褪色9、下列各组物质,前者属于电解质,后者属于非电解质的是A.NaCl晶体、BaSO4B.铜、二氧化硫C.液态的醋酸、酒精D.熔融的KNO3、硫酸溶液10、取36克某铁矿石(只含铁的氧化物和SiO2)溶于过量的稀盐酸中,经过滤、洗涤、干燥后得到5.6g不溶物。
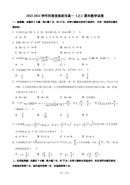
2023-2024学年河南省洛阳市高一(上)期末数学试卷一、选择题:本题共8小题,每小题5分,共40分。
在每小题给出的四个选项中,只有一项是符合题目要求的。
1.已知集合A={0,1,2,3},集合B={1,3,则A∪B=()A.{1,3}B.{0,1,2,3,5}C.{1,2,3,5}D.{0,1,2,3}2.命题“∀x>2,x2﹣4≠0”的否定形式是()A.∃x>2,x2﹣4≠0B.∀x≤2,x2﹣4=0C.∃x>2,x2﹣4=0D.∃x≤2,x2﹣4=03.已知集合,若M=N,则ab=()A.﹣4B.﹣1C.1D.44.已知函数f(x)是奇函数,当x<0时,f(x)3+1,若f(2)=5()A.B.C.D.5.今年某地因天气干旱导致白菜价格不稳定,假设第一周、第二周的白菜价格分别为a元/斤、b元/斤(a ≠b),王大妈每周购买10元的白菜,王大妈和李阿姨两周买白菜的平均价格分别记为m1,m2,则m1与m2的大小关系为()A.m1=m2B.m1>m2C.m1<m2D.无法确定6.已知,则+2cos2α=()A.﹣B.﹣C.﹣D.07.已知函数在区间(0,+∞)内的零点分别是a,b,c,b,c的大小关系为()A.a>b>c B.b>c>a C.c>a>b D.b>a>c8.已知函数在上存在最值,且在,则ω的取值范围是()A.B.C.D.二、多项选择题:本题共4小题,每小题5分,共20分。
在每小题给出的选项中,有多项符合题目要求,全部选对的得5分,部分选对的得2分,有选错的得0分。
9.已知函数.f(x)=cos4x﹣sin4x,则下列结论正确的是()A.f(x)的最小正周期为πB.f(x)的对称中心为C.f(x)的对称轴为直线D.f(x)的单调递增区间为10.已知函数f(x)=2cos(ωx+φ)的部分图象如图所示.则f(x)=()A.2cos(x﹣)B.2cos(2x﹣)C.2sin(﹣2x)D.2sin(2x+)11.已知函数,则()A.f(x)是偶函数B.f(x)是增函数C.若f(x2)+f(2x﹣3)>0,则x∈(﹣3,1)D.∀x1,x2∈R,且x1+x2≠0,(x1+x2)[f(x1)+f(x2)]>012.已知函数f(x)=,g(x)=f(x)﹣k,则()A.f(x)的值域为(﹣1,+∞)B.若g(x)有1个零点,则k<0或k>1C.若g(x)有2个零点,则k=0或k=1D.若g(x)的3个零点分别为:x1,x2,x3(x1<x2<x3),则x1x2x3的取值范围为(2,3)三、填空题:本题共4小题,每小题5分,共20分。
若必须为类MyClass 添加访问修饰符,并使MyClass 的可访问域保持不变,则应选择( )。
A. privateB. protected C。
internal D。
public7.分析下列程序:public class class4{private string _sData = ”";public string sData{set{_sData = value;}}}在Main 函数中,在成功创建该类的对象obj 后,下列哪些语句是合法的?( )A. obj。
sData = ”It is funny!”;B。
Console.WriteLine(obj。
sData);C. obj._sData = 100;D. obj。
set(obj.sData);8.在定义类时,如果希望类的某个方法能够在派生类中进一步进行改进,以处理不同的派生类的需要,则应将该方法声明成( ).A. sealed 方法B。
public 方法C。
virtual 方法D. override 方法9.类MyClass 中有下列方法定义:public void testParams(params int[] arr){Console。
Write (”使用Params参数!");}public void testParams(int x,int y){Console。
Write (”使用两个整型参数!");}请问上述方法重载有无二义性?若没有,则下列语句的输出为()。
MyClass x = new MyClass();x.testParams(0);x.testParams(0,1);x.testParams(0,1,2);A. 有语义二义性;B. 使用Params 参数!使用两个整型参数!使用Params 参数!C. 使用Params 参数!使用Params 参数!使用Params 参数!D。
使用Params 参数!使用两个整型参数!使用两个整型参数!10.C#程序中,可使用try…catch 机制来处理程序出现的( )错误.A. 语法B. 运行C。
2024年英语a级考试卷Part I. Listening Comprehension (20%)Section A: Short Conversations (10%)Directions: In this section, you will hear 5 short conversations. At the end of each conversation, a question will be asked about what was said. Both the conversation and the question will be spoken only once. After each question, there will be a pause. During the pause, you must read the four choices marked A), B), C) and D), and decide which is the best answer.1. M: I'm so tired. I've been working on this project all day.W: Why don't you take a break? You've been at it for hours.Q: What does the woman suggest the man do?A) Keep working.B) Finish the project quickly.C) Take a break.D) Start a new project.2. W: Do you like this dress? I'm not sure if it suits me.M: It looks great on you. The color really brings out your eyes.Q: What does the man think of the dress?A) It doesn't look good.B) The color is not nice.C) It suits the woman well.D) It is too expensive.3. M: How much is this book?W: It's 20. But if you have a membership card, you can get a 20% discount.Q: How much will the man pay if he has a membership card?A) 16.B) 18.C) 20.D) 24.4. W: Are you going to the concert tonight?M: I'd love to, but I have to study for my exam tomorrow.Q: Why isn't the man going to the concert?A) He doesn't like the concert.B) He has no money.C) He has to study.D) He is sick.5. M: What time does the library close today?W: It usually closes at 9 p.m., but on Fridays it closes an hour earlier.Q: What time does the library close on Fridays?A) 8 p.m.B) 9 p.m.C) 10 p.m.D) 7 p.m.Section B: Long Conversations (5%)Directions: In this section, you will hear 2 long conversations. After each conversation, you will be asked some questions. The conversations will be read twice. Listen carefully and answer the questions.Conversation 1M: Hi, Jane. How was your weekend?W: It was great. I went to the beach with my friends.M: That sounds like fun. What did you do there?W: We swam, sunbathed, and had a picnic.M: Did you take any pictures?W: Of course. I took a lot of beautiful pictures.Questions:6. Where did Jane go on the weekend?A) To the mountains.B) To the park.C) To the beach.D) To the city center.7. What did Jane do at the beach?A) She only swam.B) She swam, sunbathed and had a picnic.C) She just sunbathed.D) She played volleyball.Conversation 2W: Good morning, sir. Can I help you?M: Yes, I'm looking for a gift for my daughter. She likes reading.W: Well, we have a lot of books here. What kind of books does she like?M: She likes novels, especially those about adventure.W: Then I recommend this one. It's a very popular adventure novel.M: Thank you. How much is it?W: It's 15.Questions:8. Who is the man buying a gift for?A) His wife.B) His daughter.C) His mother.D) His sister.9. What kind of books does the man's daughter like?A) Poetry.B) Science fiction.C) Novels about adventure.D) History books.10. How much is the book?A) 10.B) 15.C) 20.D) 25.Section C: Passages (5%)Directions: In this section, you will hear 1 passage. The passage will be read twice. Listen carefully and answer the questions.The Internet has become an important part of our daily lives. We can use it to get information, communicate with others, and do shopping. However, we should also be careful when using the Internet. There are some risks, such as identity theft and virus attacks. To protect ourselves, we should use strong passwords, not click on suspicious links, and install antivirus software.Questions:11. What can we use the Internet for?A) Only getting information.B) Getting information, communicating and shopping.C) Just shopping.D) Communicating and playing games.12. What are the risks of using the Internet?A) Identity theft and virus attacks.B) Only virus attacks.C) Losing money.D) Meeting bad people.13. How can we protect ourselves when using the Internet?A) Use weak passwords.B) Click on all links.C) Use strong passwords, not click on suspicious links and install antivirus software.D) Don't use antivirus software.Part II. Vocabulary and Structure (30%)Section A: Multiple Choice (20%)Directions: There are 20 incomplete sentences in this section. For each sentence there are four choices marked A), B), C) and D). Choose the one answer that best completes the sentence.14. She is very ______ in music and can play several instruments.A) interested.B) interesting.C) bored.D) boring.15. I can't find my keys. I ______ them in the office.A) must leave.B) must have left.C) should leave.D) should have left.16. The new bridge ______ next year will be the longest in the city.A) to be built.B) built.C) being built.D) having been built.17. If it ______ tomorrow, we will go for a picnic.A) doesn't rain.B) won't rain.C) not rain.D) didn't rain.18. He has made great ______ in his English study in the past few months.A) progress.B) progresses.C) a progress.D) the progress.19. I don't like this shirt. Can you show me ______ one?A) another.B) other.C) the other.D) others.20. She is so busy that she has ______ time for hobbies.A) little.B) a little.C) few.D) a few.21. The movie was so ______ that many people left the theater early.A) bored.B) boring.C) excited.D) exciting.22. He ______ his homework when his mother came home.A) was doing.B) is doing.C) does.D) did.23. We are looking forward to ______ from you soon.A) hear.B) hearing.C) be heard.D) have heard.24. There are ______ students in our class, twenty boys and twenty - five girls.A) forty - five.B) forty - four.C) forty - three.D) forty - six.25. She speaks English as ______ as her brother.A) good.B) well.C) better.D) best.26. The book ______ I bought yesterday is very interesting.A) who?B) which.C) where?D) when?27. I'm sorry I'm late. I was ______ in traffic.A) held up.B) held on.C) held out.D) held back.28. My parents ______ me to become a doctor when I was a child.A) hoped.B) wanted.C) expected.D) wished.29. He is old enough to ______ himself.A) look after.B) look for.C) look up.D) look into.30. ______ of the two boys is taller.A) All.B) Both.C) None.D) Neither.31. The teacher told us ______ noise in class.A) not make.B) not to make.C) don't make.D) to not make.32. She ______ a lot of money on clothes every month.A) spends.B) costs.C) takes.D) pays.33. I have ______ been to Paris. I really want to go there.A) never.B) ever.C) already.D) just.Section B: Fill in the Blanks (10%)Directions: There are 10 blanks in the following passage. For each blank there are four choices marked A), B), C) and D). Choose the best one to fill in each blank.Most people like traveling. Some people like to travel by plane, while others prefer to travel by train. Traveling by train has many advantages. First of all, it is much _34_ (cheaper/safer/faster/more expensive) than traveling by plane. You can save a lot of money. Secondly, you can enjoy the beautiful _35_ (scenery/people/cities/airports) along the way. You can see mountains, rivers, and fields. Thirdly, traveling by train is more _36_ (comfortable/uncomfortable/dangerous/boring). You can walk around, stretch your legs, and even have a meal in the dining car.However, traveling by train also has some _37_(advantages/disadvantages/benefits/pleasures). For example, it usually takes a longer time to reach your destination. And sometimes the trains can be very _38_ (crowded/empty/quiet/clean), especially during the peak travel season.In conclusion, whether you choose to travel by train or by plane depends on your _39_ (money/time/needs/health) and preferences. If you want to save money and enjoy the journey, traveling by train is a good _40_ (idea/way/choice/plan). But if you are in a hurry and don't mind spending more money, traveling by plane may be a better _41_(option/answer/solution/result).When you are traveling, it is important to _42_(prepare/forget/ignore/neglect) well in advance. You should book your tickets early, pack your bags properly, and make sure you have all the necessary _43_ (things/items/objects/stuff) with you.Part III. Reading Comprehension (30%)Section A: Multiple - choice Questions (20%)Directions: There are 2 passages in this section. Each passage is followed by some questions or unfinished statements. For each of them there are four choices marked A), B), C) and D). You should decide on the best choice.Passage 1.The mobile phone has become an essential part of our lives. We use it to communicate with others, get information, and even do business. Mobile phones are getting more and more advanced. They have larger screens, better cameras, and faster processors.However, there are also some problems associated with mobile phones. One problem is that people are spending too much time on their mobile phones. This can lead to a lack of face - to - face communication andsocial isolation. Another problem is that mobile phones can be a distraction, especially when people are driving or studying.To solve these problems, we should use mobile phones in moderation. We should also set aside some time for face - to - face communication and other activities.44. What can we use mobile phones for?A) Only communicating.B) Communicating, getting information and doing business.C) Just getting information.D) Doing business and playing games.45. What are the problems of mobile phones?A) People spend too much time on them and they can be a distraction.B) They are too expensive.C) They have small screens.D) They are difficult to use.46. How can we solve the problems of mobile phones?A) Use them all the time.B) Use them in moderation and set aside time for other activities.C) Stop using them.D) Buy new ones.Passage 2.In recent years, more and more people are interested in learning a second language. There are many reasons for this. For one thing, learning a second language can open up new job opportunities. For another, it can help people understand different cultures.There are many ways to learn a second language. One way is to take language classes at a school or language center. Another way is to use language learning apps. These apps can be very convenient as you can learn at your own pace.However, learning a second language is not easy. It requires a lot of time and effort. You need to practice speaking, listening, reading and writing regularly.47. Why are more people interested in learning a second language?A) Because it is easy.B) Because it can open up new job opportunities and help understand different cultures.C) Because it is fashionable.D) Because they have nothing else to do.48. What are the ways to learn a second language?A) Only take language classes.B) Take language classes or use language learning apps.C) Only use language learning apps.D) Read books.49. What is required to learn a second language?A) A lot of time and effort, and regular practice of all skills.B) Only a little time.C) No effort.D) Just listening practice.Section B: True or False (10%)Directions: Read the following statements. Write "T" if the statementis True and "F" if the statement is False.50. Mobile phones have no negative effects. (F)51. Learning a second language is very easy. (F)52. Traveling by train is always faster than traveling by plane. (F)53. If you have a membership card, you can always get a discount when buying things. (F)54. People should use strong passwords to protect themselves when using the Internet. (T)Part IV. Writing (20%)Section A: Translation (10%)Directions: Translate the following sentences into English.1. 他昨天晚上熬夜看足球比赛了。
洛理-7物理化学洛阳理工学院20/20学年第二学期物理化学期末考试试题卷适用班级:考试日期时间:单击此处键入考试日期时间一、选择题(每小题2分,共20分)1.在恒定温度下向一个容积为2dm3的真空容器中,依次加入初始状态为100kPa,2dm3的理想气体A和300kPa,1dm3的理想气体B。
A与B不发生反应。
容器中混合气体的总压力为()kPa。
A400B200C500D2502.一定量的理想气体,从同一始态的压力p1可逆膨胀到p2,若将等温可逆膨胀后的体积与绝热可逆膨胀后的体积相比,则()。
A.前者大于后者B.前者小于后者C.二者相等D.无法判断3使用吉布斯函数判据G≤0来判断过程的方向和限度时,所需条件是()。
A.恒温恒容非体积功为0B.恒温恒压非体积功为0C.隔离系统中发生的过程D.绝热系统中发生的过程4.下列偏摩尔量中哪个是化学势?()A(SUHG)T,p,nC)S,V,nCB()S,p,nCC()T,p,nCD(nnnBnBBB5.碘的三相点处在115℃和12kPa上,这意味着液态碘()A比固态碘密度大B在115℃以上不能存在C在大气压力下不能存在D不能有低于12kPa的蒸气压6.已知某温度下,反应CO(g)+H2O(g)=H2(g)+CO2(g)放热,达平衡后,采取下列哪种措施能使反应的进度发生变化?(1)、加大压力;(2)、升高温度;(3)、保持温度和压力不变;(4)加入惰性气体。
A2B3、4C1D2、37.一级反应完成99.9%所需时间是完成50%所需时间的()A2倍B5倍C10倍D20倍8.电池在恒温、恒压和可逆条件下放电,则其与环境间的热交换为()A一定为零B为ΔHC为TΔSD与ΔH和TΔS均无关9当一毛细管插入水中时,毛细管中水面上升5cm,在3cm处将毛细管截断,此时毛细管上端的现象是()A水从上端溢出B水面呈凸面形C水面呈凹形弯月面D水面呈水平面10下列哪种体系能产生明显的丁达尔现象()A牛奶BA2S3溶胶CNaCl的水溶液D聚苯乙烯的甲苯溶液二、填空题(每小题2分,共20分)1.理想气体等温可逆压缩过程的Q()0,△S()0。
2025届河南省洛阳市理工学院附中化学高一上期末教学质量检测试题注意事项:1.答题前,考生先将自己的姓名、准考证号码填写清楚,将条形码准确粘贴在条形码区域内。
2.答题时请按要求用笔。
3.请按照题号顺序在答题卡各题目的答题区域内作答,超出答题区域书写的答案无效;在草稿纸、试卷上答题无效。
4.作图可先使用铅笔画出,确定后必须用黑色字迹的签字笔描黑。
5.保持卡面清洁,不要折暴、不要弄破、弄皱,不准使用涂改液、修正带、刮纸刀。
一、选择题(共包括22个小题。
每小题均只有一个符合题意的选项)1、设N A 为阿伏加德罗常数的值。
下列说法正确的是A .标准状况下,11.2 L HNO 3 中含有的分子数目为 0.5N AB .常温下,2.7 g 铝片放置在空气中足够的时间,反应转移电子数为 0.3N AC .标准状况下,6.72 L NO 2与水充分反应转移的电子数目为 0.3N AD .含有 1 mol H 2SO 4的浓硫酸和过量 Zn 反应能产生的气体分子数大于 0.5N A2、实验室用下列装置制取、提纯、收集Cl 2、尾气处理,不能达到实验目的是() A .制取Cl 2B .除去Cl 2中的少量HClC .收集Cl 2D .吸收尾气中的Cl 23、在强碱性溶液中,下列离子组能大量共存的是A .2+33Ba HCO NO K --+、、、 B .2243S Na Cu O NO --++、、、C .24Na K SO Cl -++-、、、 D .224Mg Na SO Cl -++-、、、4、下列实验装置或操作与微粒的大小无直接关系的是( )A.过滤B.渗析C.萃取D.丁达尔效应5、下列关于硅酸盐材料的说法错误的是()A.生活中常见的硅酸盐材料有玻璃、水泥、陶瓷B.普通玻璃的主要成分是二氧化硅C.陶瓷的主要原料是黏土D.硅酸盐水泥以石灰石和黏土为主要原料6、现有两瓶无标签的无色溶液,分别装有Na2CO3和NaHCO3,用下列试剂或方法能将两者区分的是①Ca(OH)2②盐酸③CaCl2④NaOH⑤加热A.①③B.①④C.②③D.②⑤7、实验室保存下列物质的方法中,不正确的是A.少量金属钠保存在煤油里B.烧碱溶液盛装在用玻璃塞塞紧的试剂瓶中C.FeSO4溶液存放在加有少量铁粉的试剂瓶中D.氯水应装在棕色瓶中密封避光保存8、下列离子在溶液中可以大量共存的是A.Na+、Fe3+、SO42-、SCN-B.K+ 、OH-、AlO2-、Cl-C.H+ 、Na+、Fe2+、MnO4-D.Na+、H+、HCO3-、NO3-9、华裔科学家高锟因“在光学通信领域中光在光导纤维中传输”的研究方面所取得的开创性成就获得了诺贝尔物理学奖。
第十二章 光 学一、选择题1.单色光从空气射入水中,则:A 波长变短,光速变慢B 波长不变,频率变大C 频率不变,光速不变D 波长不变,频率不变2.下列不属于相干条件的是:A .两列光有相互垂直传播的部分;B .频率相同;C .相位差恒定;D .振动方向相同3.在相同的时间内,一束波长为λ的单色光在空气中和在玻璃中 ( )(A) 传播的路程相等,走过的光程相等.(B) 传播的路程相等,走过的光程不相等.(C) 传播的路程不相等,走过的光程相等.(D) 传播的路程不相等,走过的光程不相等.4. 在双缝干涉实验中,屏幕E 上的P 点处是明条纹.若将缝S 2盖住,并在S 1 S 2连线的垂直平分面处放一高折射率介质反射面M ,则此时 ( )(A) P 点处仍为明条纹. (B) P 点处为暗条纹.(C) 不能确定P 点处是明条纹还是暗条纹. (D) 无干涉条纹.5.一束波长λ的单色光垂直射到空气中的透明薄膜上,薄膜的折射率为n 。
要使反射光得到干涉加强,则薄膜的最小厚度应该为( )(1)2λ (2)4λ (3)n 2λ (4)n 4λ6. 如图1所示,波长为λ的平行单色光垂直入射在折射率为n 2的薄膜上,经上下两个表面反射的两束光发生干涉,若薄膜厚度为e ,而且n 1>n 2>n 3,则两束反射光在相遇点的位相差为( )(A )λπ/n 42e (B )λπ/22e n(C )πλπ+/42e n (D )πλπ-/22e n 7. 在玻璃(折射率3n =1.60)表面镀一层2MgF (折射率2n =1.38)薄膜作为增透膜。
为了使波长为500nm (1nm =-910m )的光从空气(1n =1.00)正入射时尽可能少反射,2MgF 薄膜的最少厚度应是( )(A )78.1nm (B )90.6nm (C )125nm (D )181nm (E )250nm图18.如图2所示,两个直径有微小差别的彼此平行的圆柱体之间的距离为L ,夹在两块平板玻璃的中间,形成空气劈尖,当单色光垂直入射时,产生等厚干涉条纹。
2025届河南省洛阳市理工学院附中化学高三上期末学业水平测试试题注意事项1.考试结束后,请将本试卷和答题卡一并交回.2.答题前,请务必将自己的姓名、准考证号用0.5毫米黑色墨水的签字笔填写在试卷及答题卡的规定位置.3.请认真核对监考员在答题卡上所粘贴的条形码上的姓名、准考证号与本人是否相符.4.作答选择题,必须用2B铅笔将答题卡上对应选项的方框涂满、涂黑;如需改动,请用橡皮擦干净后,再选涂其他答案.作答非选择题,必须用05毫米黑色墨水的签字笔在答题卡上的指定位置作答,在其他位置作答一律无效.5.如需作图,须用2B铅笔绘、写清楚,线条、符号等须加黑、加粗.一、选择题(每题只有一个选项符合题意)1、将0.48g镁粉分别加入10.0mL下列溶液,反应6小时,用排水法收集产生的气体,溶液组成与H2体积(已换算成标准状况)的关系如下表。
下列说法不正确的是实验 1 2 3 4 5 6 7溶液组成H2O1.0mol/LNH4Cl0.1mol/LNH4Cl1.0mol/LNaCl1.0mol/LNaNO30.8mol/L NH4Cl+0.2mol/L NH3·H2O0.2mol/L NH4Cl+0.8mol/L NH3·H2OV/ml 12 433 347 160 14 401 349A.由实验2、3可得,4NH+浓度越大,镁和水反应速率越快B.由实验1、4、5可得,Cl-对镁和水的反应有催化作用C.由实验3、7可得,反应过程产生的Mg(OH)2覆盖在镁表面,减慢反应D.无论酸性条件还是碱性条件,4NH+都能加快镁和水的反应2、25℃时,浓度相同的Na2CO3和NaHCO3溶液,下列判断错误的是()A.粒子种类不同B.c(Na+)前者大于后者C.c(OH-)前者大于后者D.分别加入NaOH固体,c(CO32-)均增大3、人工肾脏可用间接电化学方法除去代谢产物中的尿素[CO(NH2)2]。
下列有关说法正确的是()A.a为电源的负极B.电解结束后,阴极室溶液的pH与电解前相比将升高C.除去尿素的反应为:CO(NH2)2+2Cl2+H2O==N2+CO2+4HClD.若两极共收集到气体0.6mol,则除去的尿素为0.12mol(忽略气体溶解,假设氯气全部参与反应)4、以下说法正确的是()A.共价化合物内部可能有极性键和非极性键B.原子或离子间相互的吸引力叫化学键C.非金属元素间只能形成共价键D.金属元素与非金属元素的原子间只能形成离子键5、主族元素W、X、Y、Z的原子序数依次增加,且均不大于20。
洛阳理工学院 2012/2013 学年第二学期大学英语期末考试试题卷(A)适用班级:2012级专升本各班考试日期时间:2013.6特别提示:本次考试客观题采用机器阅卷,请考生答卷前务必注意下面事项:1.考生考号为9位数:将考生学号左起第一个字母换成数字“0”,连同其余八位数即为该考生考号;不按要求涂考号,阅卷机将自动判改卷客观题为0分,后果考生自负;2.涂考号或者答案必须使用2B铅笔;否则,由此影响考生的客观题成绩,后果考生自负。
一、Vocabulary and Structure (每小题1分,共20分)1. The lack of rain ____ with the high temperature caused the crops to fail.A. couplingB. to coupleC. being coupledD. coupled2. The newly designed rice transplanter will soon be ____.A. operationalB. noticeableC. fashionableD. considerable3. Few would deny that almost all humans possess capabilities like intelligence andmoral sense to a far greater ____ than animals.A. sizeB. degreeC. pointD. pot4. She can always ____ some new reasons for not doing anything unpleasant.A. dream ofB. dream withC. dream upD. dream for5. Please stop ____and tell what you want to do.A. putting the cat among the pigeonsB. separating the sheep from the goatsC. beating around the bushD. striking it rich6. That young man tried every means to avoid personal ____ in the matter.A. involvementB. affirmationC. frustrationD. distinction7. Even in the same culture, people differ in their ability to ____ and express feelings. A. forfeit B. anticipate C. interpret D. indicate8. If fish were the best brain food, many people ____ more fish than usual to improvetheir memory.A. would be eatingB. would eatC. had eatenD. have been eating9. You ____ when you mentioned his first wife, who died in an air crash more than tenyears ago.A. set forthB. passed downC. acted outD. touched a nerve10. For a moment after the accident Anna just stood there, ____ to believe what had justhappened.A. to be unableB. being unableC. unableD. having been unable11.We were told that he was ____ in the third round of the competition the day before.A. handicappedB. surroundedC. exhaustedD. eliminated12. In the UK, many people believe it was Churchill who ____ their country ____ thewar.A. brought throughB. brought outC. brought aboutD. brought up13. I should say Henry is not ____ much a writer as a reporter.A. thatB. asC. tooD. so14. Half a year after the election, the new government has been accused of ____ itspromises.A. betrayingB. betrayedC. being betrayedD. having been betraying15. He is a ____ writer and has written three books in the past six months.A. generousB. brilliantC. charmingD. productive16. The ____ of the Web as a research tool has greatly expanded the availability ofinformation while reducing the amount of time needed on each task.A. popularityB. commonalityC. adventD. abolition17. Keeping yourself ____ about important days in your friends’ lives can nurturefriendship.A. separatedB. informedC. informingD. acknowledged18. Before I ____, there are two more things to be said.A. take upB. think upC. bring upD. wind up19. Ocean currents affect the climate of the lands ____ they flow near.A. whereB. whichC. whenD. what20. Humanity will be forced to ____ the delayed effects of having recklessly exploited theenvironment.A. confrontB. interpretC. perceiveD. terminate二、Cloze(每小题0.5分,共10分)Directions: Choose the best one of the four answers given to fill in each blank.Body language is the quiet, secret and most powerful language of all. It speaks 21 than words. According to specialists, our bodies send out more 22 than we realize. In fact, non-verbal communication takes up about 50% of what we really 23 , And body language is particularly 24 when we attempt to communicate across cultures. Indeed, what is called body language is so 25 a part of us that it’s actually often unnoticed. And misunderstandings occur as a result of it. 26 , different societies treat the 27 between people differently. Northern Europeans usually do not like having 28 contact even with friends, and certainly not with 29 . People from Latin American countries 30 touch each other quite a lot. Therefore, it’s possible that in 31 , it may look like a Latino is 32 a Norwegian all over the room. The Latino, trying to express friendship, will keep moving 33 . The Norwegian, very probably seeing this as pushiness, will keep 34 which the Latino will in return regard as 35 . Clearly, a great deal is going on when people 36 . And only a part of it is in the wards themselves. And when parties are from 37 cultures, there’s a strong possibility of 38 . But whatever the situation, the best 39 is to obey the Golden Rule: treat others as you would like to be 40 .21. A. straighter B. louder C. harder D. further22. A. sounds B. invitations C. feelings D. messages23 A. hope B. receive C. discover D. mean24. A. immediate B. misleading C. important D. difficult25. A. well B. far C. much D. long26. A. For example B. Thus C. However D. In short27. A. trade B. distance C. connection D. greetings28. A. eye B. verbal C. bodily D. telephone29. A. strangers B. Relatives C. neighbors D. Enemies30. A. in other words B. on the other hand C. in a similar way D. by all means31. A. trouble B. conversation C. silence D. experiment32. A. disturbing B. helping C. guiding D. following33. A. closer B. faster C. in D. away34. A. stepping forward B. going on C. backing away D. coming out35. A. weakness B. carelessness C. friendliness D. coldness36. A. talk B. travel C. laugh D. think37. A. different B. European C. Latino D. rich38. A. curiosity B. excitement C. misunderstanding D. nervousness39. A. chance B. time C. result D. advice40. A. noticed B. treated C. respected D. pleased三、Reading Comprehension(每小题2分,共30分)Directions:There are three reading passages in this part. Each passage is followed by some questions or unfinished statements. For each of them there are four suggested answers marked A, B, C and D. Choose the best answers to each question.Passage oneWhy do some birds flock when they feed? Many researchers say birds forage in groups to protect themselves from being attacked. Since there are a greater number of eyes on the lookout, individual birds can spend more time eating and less time worrying about being eaten.Thomas Caraco, a biologist at the University of Rochester, recently studied yellow-eyed juncos over a three-day period to see how they altered their feeding habits in the presence of a trained Harris hawk. When Caraco released the bird, it swooped over the juncos, appearing to attack. The birds reacted by huddling together in a flock. And, despite the threat from above, they spent less time scanning and more time eating the food Caraco provided than they did when foraging individually.To see how the juncos would react if they had somewhere to hide, Caraco placed a Christmas tree in the feeding area. The birds became even freer.One negative note; when the number of birds in the flock increased beyond a certain point, they began to fight. The dominant juncos hogged the food and the meek birds lost out.41. Juncos are probably ________.A.very nice to look atB. stronger and more fierce than hawk sC. spending a lot of time worrying about being eatenD. mild in disposition42. According to the passage, when birds eat in groups, they ________.A. are less worriedB. eat lessC. are more worriedD. alter their feeding habits43. The passage says that ________.A. many birds don’t like to forage in groupsB. juncos are always ready to attack when they are togetherC. juncos foraging individually will spend more time scanningD. juncos like the food provided by Caraco best44. Caraco’s Christmas-tree experiment shows that ________.A. birds are not afraid of treesB. birds become bolder if there is a hiding-place nearbyC. birds often hide themselves in treesD. birds are free whether there are trees around or not 45. What’s the best title for this passage?A. Flocking for SafetyB. The Story of JuncosC. Feeding HabitsD. The Research on JuncosPassage TwoOn hot, humid days you can hardly wait until you get to an air—conditioned room. Air conditioning is a method of changing the condition of the air from what it is to what it should be in order to improve your comfort and health. The machinery for doing this is complicated, but the principles of air conditioning are simple. A fan draws in the air from outside the building. The air is full of dust which may affect your health. Therefore, it is first forced through fine screens which catch the dust and filter it out of the air. It cools the air to a temperature that may suit you. The air still contains a proportion of moisture. Too much moisture makes you uncomfortable. Too little makes your nose and throat feel dry. The conditioner adjusts the air to the right proportion of moisture, taking out extra moisture or adding some if there is not enough. The air in your room, too, passes again and again through the conditioner, and in a short time the temperature, the amount of moisture and purity are just right.46. The purpose of air conditioning is __________.A. to manufacture better airB. to improve the condition of the airC. to change the air we now have into a new kind of airD. to produce fresh air47. Conditioning makes air better for us __________.A. by blowing away the dustB. by treating the dust with some chemicalsC. by cooling the dustD. by removing the dust48. On warm or hot days the air can be cooled __________.A. to a desired temperatureB. to a freezing temperatureC. to only a few degrees below the outside temperatureD. Both A and B49. The air conditioner__________.A. removes all the moisture in the airB. adds moisture to the airC. maintains the proper proportion of moisture in the airD. prevents moisture from coming into the room50 . According to the passage, __________.A. air conditioning is of great use only in summer.B. air conditioning is of great help to our comfort.C. it’s not always easy to achieve the desired level of the moisture in the airD. it’s the fan in the air-conditioner that is of great importance.Passage ThreeThe last few days before Christmas passed quickly and it was soon Christmas Eve. That night when everyone went to bed, Bunny couldn’t sleep. He still couldn’t think of what he wanted his special Christmas present to be. He wondered how Santa would know what to bring him if he didn’t know himself.As he was sitting up in bed, Bunny heard a big noise on the roof and a sound downstairs. It was Santa Claus, he realized. Bunny jumped out of bed and raced down the hall to the stairs hoping to catch a glimpse of the old fellow before Santa departed for his next stop.“Hello,” said Bunny. “Is somebody there?”He was answered by another cry. Bunny looked around the big pile of presents to see what was making the noise. Right under the tree was a funny looking brown animal with big feet and mournful eyes. Bunny have mistaken the creative for a dog, if it hadn’t been for the antlers(鹿角) on his head.“Are you a reindeer?” asked Bunny.“Yes,” replied the brown creative with antlers, “my name is Ralph.”“And you were pulling Santa’s sled?”“I was until I got air-sick,” replied Ralph, “Santa had to leave me here and go on with the other seven reindeer.”“Isn’t it a bit unusual for a reindeer to get air-sick. I mean, isn’t flying what reindeer are famous for?”“I’m afraid that I’ve always had a sensitive(敏感的) stomach when it comes to flying,” replied Ralph. “ But everyone expected me to pull Santa’s sled, so when it was my turn I gave it a try. I’m afraid I just wasn’t cut out for the job. Now I’m stuck here and I don’t know how to get back to the North Pole.”“Well, if you like, you can stay with us as a friend,” said Bunny. As he made the offer, Bunny suddenly realized the special present he wanted from Santa was a new friend!51. Why couldn’t Bunny fall asleep on Christmas Eve?A. he was looking forward to seeing his special present.B. he wanted to take a look at Santa when he came at night.C. he was disturbed by a noise on the roof of his house.D. he was thinking what present to ask from Santa.52. Why did Bunny feel disappointed?A. Santa left before he could have a look at him.B. Santa didn’t bring the special present he wanted.C. everything was silent and there was no sign of Santa coming.D. there was a pile of presents under the Christmas tree but nothing for him.53. What do we learn about reindeer from the passage?A. they make big noises while they are flying.B. they look like dogs except for the antlersC. they are all especially good at pull sleds.D. they suffer stomachaches when they take to the air.54. Why didn’t Ralph go with the other seven reindeer?A. he got stuck in the chimney.B. Bunny asked him to stay.C. he was air-sick.D. he didn’t know how to get back to the North Pole.55. This passage seems to tell us that________A. Santa knows what present a child wants without even being toldB. reindeer are hired to bring presents to children on Christmas EveC. if a child stays awake on Christmas Eve, he could catch a glimpse of SantaD. parents take great care when choosing Christmas presents for their children四、Translation(每小题2分,共20分)Directions:Translate the following Sentences.56. Extinction is one environmental problem that is truly irreversible — once gone, these species cannot be brought back.57. Canberra is proof that — with proper planning — the environment can be preserved in densely populated cities and towns.58. But many people do not realize how these ideas about body image have affected teenagers and children.59. I just happen to think that in life we need to be a little like the farmer who puts back into the soil what he takes out.60. The difference between optimists and pessimists isn’t a difference in life experiences but rather in how people perceive and respond to problems.61. 该是有关当局采取适当的措施来解决交通问题的时候了。
第 1 页 共 2 页洛阳理工学院 2009/2010 学年 第一学期 无机化学 期末考试试题卷(B )适用班级:09本科环境工程 考试时间:2010.1一、 填空题(每小题1分,共30分)1.原子序数Z = 24的元素原子的电子排布式为 ,价电子构型为 ,位于 周期 族,属于 区。
2.NaBr 、MgF 2、CaCl 2、MgO 四种晶体,熔点由低到高顺序依次为 。
3.具有ns 2np 1~6电子构型的是 区元素,具有(n-1)d 7ns 2电子构型的是 族元素。
4.可逆反应 2A(g) + B(g)2C(g)m r H ∆< 0,反应达到平衡时,容器体积不变,增加B 的分压,则C 的分压 ,A 的分压 ;减小容器的体积,B 的分压 ,K p ;升高温度,则K p 。
5. B 2的分子轨道式为 ________________,成键名称及数目 ,价键结构式为_________________。
6.利用分子轨道理论确定-2O 、2O 的未成对电子数目分别为 、 。
7. N 2 + 3H 22NH 3 ∆r H= -46 kJ·mol -1,反应达平衡后,改变下列条件,N 2生成NH 3的转化率将会发生什么变化?(1) 压缩混合气体:____________________ ; (2) 升温:_________________ ;(3) 引入H 2:_______________ ; (4) 恒压下引入稀有气体:______________ ;8. 由Ag 2C 2O 4转化为AgBr 反应的平衡常数K Ө与 sp K (Ag 2C 2O 4)和sp K (AgBr)的关系式为___________。
9.已知E (MnO 4-/MnO 2) > E(BrO 3-/ Br -), 四种电对物质中_______的氧化能力最强,_______的还原能力最强。
10.随着溶液的pH 增加,下列电对 Cr 2O 72-/Cr 3+、Cl 2/Cl -、MnO 4-/MnO 42-的E 值将分别_______、_______、_______。
a级考试真题和答案一、单项选择题(每题1分,共20分)1. 以下哪个选项是A级考试的全称?A. 大学英语四级考试B. 大学英语六级考试C. 大学英语A级考试D. 大学英语B级考试答案:C2. A级考试的总分是多少?A. 100分B. 120分C. 150分D. 200分答案:C3. A级考试的听力部分占总分的百分比是多少?A. 20%B. 30%C. 40%D. 50%答案:B4. A级考试的阅读部分占总分的百分比是多少?A. 20%B. 30%C. 40%D. 50%答案:C5. A级考试的写作部分占总分的百分比是多少?A. 20%B. 30%C. 40%D. 50%答案:A6. A级考试的翻译部分占总分的百分比是多少?A. 20%B. 30%C. 40%D. 50%答案:B7. A级考试的词汇量要求是多少?A. 2000词B. 3000词C. 4000词D. 5000词答案:B8. A级考试的语法要求包括哪些?A. 基本语法B. 高级语法C. 专业语法D. 所有语法答案:A9. A级考试的听力材料主要来源于哪里?A. 广播B. 电视C. 电影D. 网络答案:A10. A级考试的阅读材料主要来源于哪里?A. 报纸B. 杂志C. 小说D. 学术论文答案:B11. A级考试的写作部分主要考察哪些能力?A. 描述能力B. 论证能力C. 叙事能力D. 所有能力答案:D12. A级考试的翻译部分主要考察哪些能力?A. 英译汉B. 汉译英C. 双向翻译D. 所有翻译答案:C13. A级考试的口语部分主要考察哪些能力?A. 发音B. 流利度C. 准确性D. 所有能力答案:D14. A级考试的词汇题主要考察哪些方面?A. 词义辨析B. 词形变化C. 词义搭配D. 所有词汇答案:D15. A级考试的语法题主要考察哪些方面?A. 时态B. 语态C. 语气D. 所有语法答案:D16. A级考试的阅读理解题主要考察哪些方面?A. 细节理解B. 推理判断C. 主旨大意D. 所有阅读答案:D17. A级考试的写作题主要考察哪些方面?A. 议论文B. 说明文C. 记叙文D. 所有文体答案:D18. A级考试的翻译题主要考察哪些方面?A. 直译B. 意译C. 直译和意译D. 所有翻译答案:C19. A级考试的口语题主要考察哪些方面?A. 个人陈述B. 双人对话C. 小组讨论D. 所有口语答案:D20. A级考试的评分标准主要依据哪些因素?A. 准确性B. 流利度C. 逻辑性D. 所有因素答案:D二、完形填空题(每题1分,共10分)阅读下面短文,从短文后各题所给的四个选项(A、B、C和D)中,选出可以填入空白处的最佳选项,并在答题卡上将该项涂黑。
洛阳理工学院 2011/2012 学年第二学期大学物理Ⅰ期末考试试题卷(A )适用班级:11级工科专业(不包括材料成型及控制工程、车辆工程专业)考试日期时间:2012.6一、选择题(每小题2分,共20分) 1.一质点沿直线运动,其运动学方程为2122x tt (SI ),则在2ts 时的速率为()(A )2 m/s (B )4 m/s(C )6 m/s(D )8 m/s2. 一船以速率110/v km h 沿直线向东行驶,另一小艇在其前方以速率2103/v km h 沿直线向北行驶,问在船上看小艇速度的方向()(A )北偏东30(B )北偏东60(C )北偏西30(D )北偏西603.如图1-1所示,一圆盘正绕垂直于盘面的水平光滑固定轴转动,射来两颗质量相同,速度大小相同,方向相反并在同一直线上的子弹,射入后它们都留在盘内,射入瞬间,圆盘角速度()图1-1(A )增大(B )不变(C )减少(D )不确定4.已知地球的质量为m E ,太阳的质量为m S ,地球与日心的距离为R ,万有引力常量为G ,则地球绕太阳作圆周运动的轨道角动量为:()(A)E SGm m R(B)2E SGm m R(C)E SG m m R(D)s E m Gm R5.对功的概念有以下几种说法:(1)保守力作正功时,系统内相应的势能增加;(2)质点运动经一闭合路径,保守力对质点作的功为零;(3)作用力与反作用力大小相等、方向相反,二者作功的代数和必定为零。
正确的是()(A)(1)、(2)对(B)(2)、(3)对(C)只有(2)对(D)只有(3)对6. 一弹簧振子作简谐振动,当位移为振幅的一半时,其势能为总能量的()(A )3/4(B )1/2(C )1/2(D )1/47.一简谐振动曲线如图1-2所示,则振动周期是()(A )2.40s(B )2.62s (C )2.20s(D )2.00s8.三个容器A 、B 、C 中装有同种理想气体,其分子数密度n 相同,而方均根速率之比为222::A B C v v v =1:2:4,则其压强之比P A :P B :P C 为()(A )1:2:4 ;(B )4:2:1 ;(C )1:4:16 ;(D )1:4:8 ;9.pv f 表示速率在最概然速率附近单位速率间隔区间内的分子数占总分子数的百分比,那么,当气体的温度降低时,下述说法正确者是:( )(A)p v 变小,而pv f不变;(B)p v 和pv f都变小;(C)p v 变小,而pv f变大;(D)p v 不变,而pv f变大。
洛阳理工学院 2010/2011 学年第1学期流体力学与液压传动期末考试试题卷(A)适用班级:B080201/02/03/04/05/06 考试日期时间:单击此处键入考试日期时间
一、填空题(每小题2分,共20分)
1.液体的粘度有三种:()()(),其中液压油的牌号采用()来表示。
2.根据度量基准的不同液体压力分为()()两种;其中前者度量基准为(),后者度量基准为()。
3.系统的工作压力由()决定,执行元件的速度由()决定。
4.液流在直管中做层流时,其沿程压力损失与()()()成正比,与()成反比。
5.静止液体不能承受()和(),而只能承受(),其方向总是沿着()方向,作用于承压面上。
6.在输入压力,流量不变时,双活塞杆液压缸在两个方向输出的推力(),速度();单活塞杆液压
缸在两个方向输出的推力(),速度()。
7.如图1所示夹紧回路中,溢流阀调定压力为10MPa,减压阀调定压力为3MPa,夹紧工件前A、B、C三点的
压力分别为();夹紧工件后,A、B、C三点的压力分别为()。
(不计压力损失)
图1
8.双活塞杆液压缸,采用活塞杆固定安装,工作台的移动范围为缸筒有效行程的();采用缸筒固定安置,工
作台的移动范围为活塞有效行程的()。
9.如图2所示系统,在电磁铁DT吸合时,泵的流量是经()流到油箱中去;在电磁铁DT不吸合时泵的流量是
经()流到油箱中去。
图2
10.一水平放置的双活塞杆液压缸,采用三位四通电磁换向阀,要求阀处于中位时,液压泵卸荷,且液压缸浮动,
其中位机能应选用();要求阀处于中位时,液压泵卸荷,且液压缸闭锁不动,其中位机能应选用()。
二、判断题(每小题2分,共20分,错误的要改正)
1.流量可变的泵为变量泵;
2.恒定流动是指液体流动时,液体中某一点的压力、温度、和速度都不随时间的变化而变化;
3.随着温度的升高,液压油的粘度降低,泄漏增加;压力升高时,粘度增加,泄漏减小;
4.所有的变量泵都可以做成定量泵;
5.当液流的实际雷诺数小于临界雷诺数时为层流;反之为紊流;
6.因存在泄漏,因此输入液压马达的实际流量大于其理论流量,而液压泵的实际输出流量小于其理论流量;
7.节流调速回路的系统最大承载能力都与节流阀的面积无关;
8.当液压泵的进、出口压力差为零时,泵输出的流量即为理论流量;
9.液压泵工作过程中,存在闭死容积就存在困油现象;
10.管道中流动的液体,如不记压力损失,不管通流截面如何变化,压力处处相等;
三、简答题(每小题3分,共9分)
1.如图3所示变量泵-变量马达回路,元件1、4、5、6、7、12各自起什么作用?
图3
2.减压阀的出口压力取决于什么?其出口压力为定值的条件是什么?
3.调速阀进出口接反时,系统还能不能进行调速?速度稳定性如何?
四、 计算题(第1和2小题每小题5分,第3和4小题,每小题9分共28分)
1. 如图4所示速度控制回路,已知泵的流量q=10L/min ,液压缸无杆腔面积A1=50cm 2,有杆腔面积A2=25cm 2,
溢流阀1调定压力为2.4MPa ,溢流阀2调定压力为0.3MPa 。
62
.0=d c ,3
/900m kg =ρ。
试计算:
1)负载F=0时液压泵的出口压力与活塞的运动速度; 2)液压泵无杆腔的最大工作压力与系统最大承载能力。
图4
2. 如图5所示为一种抽吸设备。
水平管出口通大气,当水平管内液体流量达到某一数值,处以面积为A1处的垂
直管子从液箱内抽吸液体。
液体介质相同。
问水平管内液体流量达到多少时才能开始抽吸。
不计损失。
已知4A1=A2,A1=3.2cm 2和h=1m
图5
3. 如图6所示调压回路是否能进行三级调压(压力分别为60×105Pa 、40×105Pa 、30×105Pa )? 1)如果可以三级调压,调压阀c1,c2,c3压力调整值分别应取多少? 2)该系统为几级调压?写出各级调压时调定压力和电磁铁的通断状态;。