陕西师范大学2017年博士研究生招生复试录取办法及复试考生名单
- 格式:docx
- 大小:19.31 KB
- 文档页数:4
2012 年各院系博士研究生复试安排001 政治经济学院2012 年博士生复试安排一、跨专业加试时间:3 月26 日上午8:00~12:00 地点:长安校区文澜楼一层政经院会议室中国哲学专业加试科目:1、中国哲学史2 、西方哲学史国外马克思主义研究专业加试科目:1、马克思主义哲学原理2 、马克思主义原著选读思想政治教育专业加试科目:1、马克思主义经典著作2 、中国特色社会主义理论、专业、外语面试002国际商学院2012年博士生复试安排时间:2010 年3 月26 日8:30—12:00,14:00—18:00 地点:陕西师范大学长安校区商学院大楼1326 复试内容:英语、专业知识、科研能力及综合素质等国际商学院2012 年博士研究生复试程序3月26日8:30 专业面试开始3月26日8:30 英语口语、听力等方面能力测试地点:商学院大楼小会议室3月26日9:00 同等学历、跨专业计量经济学考试(2小时)地点:商学院大楼13293月26日11:00 同等学历、跨专业专业课考试(2小时)地点: 商学院大楼1329003 教育学院2012 年博士研究生复试安排教育学原理、教育史专业:复试时间:2012 年3 月25 日14:30 ——18:00 19 :00——21:00 复试地点:陕西师范大学雁塔校区田家炳教育书院5 层多功能报告厅复试内容:教育学相关理论及教育热点问题分析评价及英语口语面试课程与教学论专业:复试时间:2012 年3 月25 日14:30 ——18:00 19 :00——21:00 复试地点:陕西师范大学雁塔校区田家炳教育书院5 层多功能报告厅复试内容:课程与教学论相关理论、教育热点问题分析评价及英语口语面试跨专业加试科目:教育学原理(含教育哲学)、中外教育史教育博士:复试时间:2012 年3 月26 日下午14:30 ——18:00复试地点:陕西师范大学雁塔校区田家炳教育书院一层图书资料室复试内容:教育学及教育管理学相关理论、教育热点问题分析评价及英语口语面试004 新闻与传播学院2012 年博士复试安排复试时间:2012 年3 月25 日下午2 :30;复试地点:逸夫科技信息楼三层会议室;复试内容:1、专业综合面试 2 、外语听力面试006体育学院2012年博士研究生复试安排专业:运动生物学研究方向:运动改善心脏、血管功能的基础与应用研究时间、地点:2012年3月26号下午14:30,体育学院运动人体科学展厅复试内容:1. 专业英语阅读与翻译,听力测试2. 专业知识与能力口试(含理论与实验技术)3. 科学研究的计划与思路体育学院2012年招收攻读博士学位研究生入学考试复试计划复试程序1. 介绍学校关于2012年博士研究生复试录取办法和研究生学费标准与培养费标准2. 英文自我介绍,听力测试,专业英文阅读与口译3. 复试小组老师提问关于专业理论知识、实验技术掌握程度和本学科进展动态掌握情况4. 陈述博士论文的思路和想法5. 介绍专业以外知识以及特长和兴趣。
2017年西北大学博士研究生拟录取名单院(系、所)名称:生命科学学院专业代码:071002 专业名称:动物学主管领导:填表说明:1.总成绩(500分)=初试成绩(300分)+复试成绩(170分)+外语复试成绩(30分)2.请各招生单位分别按专业填写;3.表上各项内容必须认真对照考生报考基本信息表填写;4、其中录取类别为定向的考生定向单位不能为空,录取类别为非定向的考生在开学一周内必须将个人档案转入所在院系所;2017年 5 月 16 日2017年西北大学博士研究生拟录取名单院(系、所)名称:生命科学学院专业代码:071005 专业名称:微生物学主管领导:填表说明:1.总成绩(500分)=初试成绩(300分)+复试成绩(170分)+外语复试成绩(30分)2.请各招生单位分别按专业填写;3.表上各项内容必须认真对照考生报考基本信息表填写;4、其中录取类别为定向的考生定向单位不能为空,录取类别为非定向的考生在开学一周内必须将个人档案转入所在院系所;2017年 5 月 16 日2017年西北大学博士研究生拟录取名单院(系、所)名称:生命科学学院专业代码:071009 专业名称:细胞生物学主管领导:填表说明:1.总成绩(500分)=初试成绩(300分)+复试成绩(170分)+外语复试成绩(30分)2.请各招生单位分别按专业填写;3.表上各项内容必须认真对照考生报考基本信息表填写;4、其中录取类别为定向的考生定向单位不能为空,录取类别为非定向的考生在开学一周内必须将个人档案转入所在院系所;2017年 5 月 16 日2017年西北大学博士研究生拟录取名单院(系、所)名称:生命科学学院专业代码:071010 专业名称:生物化学与分子生物学主管领导:填表说明:1.总成绩(500分)=初试成绩(300分)+复试成绩(170分)+外语复试成绩(30分)2.请各招生单位分别按专业填写;3.表上各项内容必须认真对照考生报考基本信息表填写;4、其中录取类别为定向的考生定向单位不能为空,录取类别为非定向的考生在开学一周内必须将个人档案转入所在院系所;2017年 5 月 16 日2017年西北大学博士研究生拟录取名单院(系、所)名称:生命科学学院专业代码:0710Z1 专业名称:生物资源化学与利用主管领导:填表说明:1.总成绩(500分)=初试成绩(300分)+复试成绩(170分)+外语复试成绩(30分)2.请各招生单位分别按专业填写;3.表上各项内容必须认真对照考生报考基本信息表填写;4、其中录取类别为定向的考生定向单位不能为空,录取类别为非定向的考生在开学一周内必须将个人档案转入所在院系所;2017年 5 月 16 日2017年西北大学博士研究生拟录取名单院(系、所)名称:生命科学学院专业代码:100800 专业名称:中药学主管领导:填表说明:1.总成绩(500分)=初试成绩(300分)+复试成绩(170分)+外语复试成绩(30分)2.请各招生单位分别按专业填写;3.表上各项内容必须认真对照考生报考基本信息表填写;4、其中录取类别为定向的考生定向单位不能为空,录取类别为非定向的考生在开学一周内必须将个人档案转入所在院系所;2017年月日2017年西北大学博士研究生拟录取名单院(系、所)名称:生命科学学院专业代码:1008Z1 专业名称:中药药物化学主管领导:填表说明:1.总成绩(500分)=初试成绩(300分)+复试成绩(170分)+外语复试成绩(30分)2.请各招生单位分别按专业填写;3.表上各项内容必须认真对照考生报考基本信息表填写;4、其中录取类别为定向的考生定向单位不能为空,录取类别为非定向的考生在开学一周内必须将个人档案转入所在院系所;2017年月日2017年西北大学博士研究生拟录取名单院(系、所)名称:生命科学学院专业代码:1008Z2 专业名称:中药生物工程主管领导:填表说明:1.总成绩(500分)=初试成绩(300分)+复试成绩(170分)+外语复试成绩(30分)2.请各招生单位分别按专业填写;3.表上各项内容必须认真对照考生报考基本信息表填写;4、其中录取类别为定向的考生定向单位不能为空,录取类别为非定向的考生在开学一周内必须将个人档案转入所在院系所;2017年 5 月 16 日。
陕西师范大学2017年博士研究生培养单位拟招生数
招生单
招生单位名称拟招生计划硕博连读英才计划实际招生数备注位代码
001政治经济学院7115
002国际商学院55
003教育学院615
004新闻与传播学院22
006体育学院11
007文学院1818
008外国语学院33
009音乐学院11
010美术学院22
011西北历史环境与经济社会研究院66
012中国西部边疆研究院22
013历史文化学院131111
014数学与信息科学学院9225
015物理学与信息技术学院12417
016化学化工学院201316
017旅游与环境学院12210
018生命科学学院153210
019食品工程与营养科学学院33
020计算机科学学院44
022宗教研究中心110
023材料科学与工程学院927
024心理学院716
025现代教学技术教育部重点实验室312
027教育实验经济研究所321
029西北濒危药材资源开发国家工程实
11验室
11
030“一带一路”建设与中亚研究协同
创新中心
合计
1663111124。
考生编号姓名报考专业报考学院总分政治理论外国语业务课一业务课二107185411305701范晶马克思主义哲学政治经济学院3375642112127 107185612200444闫璐璐马克思主义哲学政治经济学院3616560113123 107185612200445胡潇马克思主义哲学政治经济学院3546653110125 107185650205715王文娟马克思主义哲学政治经济学院324666111582 107185140605692任春磊中国哲学政治经济学院323615011696 107185140605693白洁中国哲学政治经济学院302684410288 107185140905694郭秋桂中国哲学政治经济学院3646259110133 107185612200447裘伟健中国哲学政治经济学院3416842113118 107185612200448许肖思雪中国哲学政治经济学院3285947117105 107185612200449彭潇中国哲学政治经济学院313614410999 107185612200450张囡中国哲学政治经济学院3466347119117 107185612200451张群中国哲学政治经济学院3526063111118 107185612200452张青中国哲学政治经济学院3347054107103 107185612200455王强外国哲学政治经济学院3477151115110 107185612200456曹文豪外国哲学政治经济学院327655811193 107185612200457刘顺来外国哲学政治经济学院3396650118105 107185612200460王俊杰外国哲学政治经济学院3187137107103 107185612200462马乐外国哲学政治经济学院3356552114104 107185620405708孙蕊外国哲学政治经济学院28462419685 107185620305707王颖娟伦理学政治经济学院3316056113102 107185650605716邹章华伦理学政治经济学院281594210971 107185130605689李翔科学技术哲学政治经济学院293614310287 107185612200474刘楠科学技术哲学政治经济学院320614495120 107185612200475马丽雅法学理论政治经济学院3416044126111 107185612200477陈芳法学理论政治经济学院3606451128117 107185321105719杨露怡民商法学政治经济学院3516762115107 107185330108947宋静文民商法学政治经济学院3556362130100 107185612200480罗友民商法学政治经济学院4046866131139 107185612200481李翔民商法学政治经济学院3616253138108 107185612200482洪博民商法学政治经济学院3987252144130 107185140505727郑鲜丽政治学理论政治经济学院3897458125132 107185370105735刘晓静政治学理论政治经济学院3666756118125 107185612200483窦欢政治学理论政治经济学院3786951126132 107185612200490贾帮飞政治学理论政治经济学院3656843124130 107185410505738靳亚辉科学社会主义与国际共政治经济学院3466944108125 107185360905733柴娇中共党史政治经济学院3455947115124 107185612200493王华中共党史政治经济学院3667142128125 107185612200496齐春晓国际政治政治经济学院3456344114124 107185620205751史岩松国际政治政治经济学院3356744100124 107185360105756朱诚社会学政治经济学院314684389114 107185411505757郜小珍社会学政治经济学院320625794107 107185612200499马望午社会学政治经济学院3407149110110 107185612200501万少颖社会学政治经济学院311544397117 107185614305760王蓉社会学政治经济学院3936755143128 107185614305761孔繁星社会学政治经济学院3587258100128 107185620205763孙小娟社会学政治经济学院3796562127125 107185141105784韩彩艳马克思主义基本原理政治经济学院3567656109115 107185141605797裴洁马克思主义基本原理政治经济学院3626959123111 107185142005804荀丹丹马克思主义基本原理政治经济学院3607252116120 107185410505815李静马克思主义基本原理政治经济学院3667455124113 107185410505816何高龙马克思主义基本原理政治经济学院3787468123113 107185411605822李梅马克思主义基本原理政治经济学院3686949129121 107185501705829金倩马克思主义基本原理政治经济学院3677352122120 107185612200505闵春旖马克思主义基本原理政治经济学院3617249118122 107185640105854王蕾马克思主义基本原理政治经济学院3737160124118政治经济学院3637055117121 107185141105782赵小芳马克思主义中国化研究107185150205806刘亚亚马克思主义中国化研究政治经济学院3868148131126政治经济学院3636953124117 107185350505811石琳马克思主义中国化研究政治经济学院3717464123110 107185370605812刘蓉马克思主义中国化研究政治经济学院3647849130107 107185410705818王春芳马克思主义中国化研究政治经济学院3667358124111 107185431405826王晓彤马克思主义中国化研究107185141605796田晓晓思想政治教育政治经济学院3687556117120107185350105809程英思想政治教育政治经济学院3857065129121 107185511905830胡娜思想政治教育政治经济学院3607459115112 107185612200532康岳思想政治教育政治经济学院3796762121129政治经济学院3497260112105 107185370905813李代弟中国近现代史基本问题107185612200533胡偌菲中国近现代史基本问题政治经济学院3957955124137政治经济学院3486752114115 107185612200534陈娉娉中国近现代史基本问题107185612200536刘鑫中国近现代史基本问题政治经济学院320684892112 107185120309012李丰华社会工作政治经济学院3595743128131 107185150209014冯伟社会工作政治经济学院332695094119 107185231109015王永星社会工作政治经济学院3986666141125 107185410309017王苏紧社会工作政治经济学院3666368111124 107185410509018巴朝双社会工作政治经济学院318616191105 107185410709019王瑞社会工作政治经济学院355596799130 107185412309020李文焕社会工作政治经济学院316546292108 107185413109021任文杰社会工作政治经济学院314605787110 107185422209022杨梦婷社会工作政治经济学院321566696103 107185441109023刘春乐社会工作政治经济学院306585278118 107185450209024王译若社会工作政治经济学院3786157144116 107185501409025杨娅倩社会工作政治经济学院3836463120136 107185612201517寇苗苗社会工作政治经济学院331605492125 107185612201518王译梵社会工作政治经济学院3556152132110 107185612201519张培渊社会工作政治经济学院324624492126 107185612201521余英社会工作政治经济学院3606443132121 107185614309026尚欢社会工作政治经济学院3536248115128 107185321704245田晶课程与教学论政治经济学院32364482110 107185120409068温晓雅学科教学(思政)政治经济学院350697097114 107185141009072王丽红学科教学(思政)政治经济学院3947673115130 107185141209074韩丽娟学科教学(思政)政治经济学院354696697122 107185142009077张云芳学科教学(思政)政治经济学院3556659118112 107185210509081易佳辰学科教学(思政)政治经济学院3746977110118 107185214109082张倩学科教学(思政)政治经济学院3586563106124 107185500209089刘洋学科教学(思政)政治经济学院3677265112118 107185612201558王玉立学科教学(思政)政治经济学院3576558111123 107185612201569李玉婷学科教学(思政)政治经济学院3846765129123 107185612201571段坤坤学科教学(思政)政治经济学院3586358124113 107185612201573孙瑞杰学科教学(思政)政治经济学院3716674125106 107185612201578田璐娜学科教学(思政)政治经济学院3877166126124 107185612201581文佳慧学科教学(思政)政治经济学院3536569117102 107185614309091王肖肖学科教学(思政)政治经济学院3577065109113 107185141105877李梦行政管理政治经济学院3677153122121 107185141205878宋哲超行政管理政治经济学院3507462110104 107185153105891李红红行政管理政治经济学院3666153133119 107185322205897周媛行政管理政治经济学院351716897115 107185372505911候术山行政管理政治经济学院3606752130111 107185410805915尹媛媛行政管理政治经济学院349706311997 107185412305922张杨子行政管理政治经济学院3627561118108 107185612200540高英行政管理政治经济学院353725612699 107185612200552周子茵行政管理政治经济学院3867260127127 107185612200561白杨行政管理政治经济学院3556249129115 107185612200568曹彩转行政管理政治经济学院3475951115122 107185612200575岳鑫行政管理政治经济学院3477061104112 107185612200576苏敏行政管理政治经济学院3626959118116 107185612200578李梦娜行政管理政治经济学院3706758125120 107185612200581薛霞飞行政管理政治经济学院3647054126114 107185612200589张瑶行政管理政治经济学院3677050125122 107185612200605高敏行政管理政治经济学院3647755108124 107185612203657沈忱公共管理政治经济学院1791215800 107185612203658高敏公共管理政治经济学院1761027400 107185612203659朱博涛公共管理政治经济学院1731066700 107185612203669张倩公共管理政治经济学院1631125100国际商学院337706484119 107185530203770洪欣钰人口、资源与环境经济107185612200097王佳惠人口、资源与环境经济国际商学院3466862112104 107185612200106杨历国民经济学国际商学院3627157109125107185612200110马媛区域经济学国际商学院3696966107127 107185411603760刘娟金融学国际商学院3436949106119 107185412903762路璐金融学国际商学院3537059112112 107185413103765杨晓宇金融学国际商学院338655891124 107185422603767李朝鹏金融学国际商学院3597269108110 107185612200118寇煜坤金融学国际商学院3435354111125 107185612200128张偲琪金融学国际商学院3647068101125 107185612200132靳珍金融学国际商学院3366850102116 107185612200138武珊金融学国际商学院339666297114 107185612200139柯蕊金融学国际商学院3736963110131 107185612200141陈芳产业经济学国际商学院331675188125 107185412903763刘莹国际贸易学国际商学院3657157108129 107185612200147任洁琼国际贸易学国际商学院347706193123 107185210703786郭晶婧会计学国际商学院3356960102104 107185370103798张夙夙会计学国际商学院3466646108126 107185441203819李知臻会计学国际商学院3637265107119 107185612200160陈天妍会计学国际商学院346645299131 107185612200162朱梅芳会计学国际商学院4106678141125 107185612200166吕磊会计学国际商学院3787165131111 107185612200178王娇会计学国际商学院3636749128119 107185620403832段莉会计学国际商学院3916562131133 107185360103796张萍企业管理国际商学院358726697123 107185410403803李洋企业管理国际商学院3567354110119 107185410603807王成改企业管理国际商学院3826360133126 107185411103809魏金婵企业管理国际商学院336685788123 107185431403818王瑞平企业管理国际商学院348646389132 107185612200199张涛企业管理国际商学院337715981126 107185614103826岳星星企业管理国际商学院337735883123 107185511705987向琼社会医学与卫生事业管国际商学院3636749129118国际商学院3626648126122 107185612200609张姗姗社会医学与卫生事业管107185370605976张瑞芳社会保障国际商学院3666454125123 107185413105983赵艳芳社会保障国际商学院3726552131124 107185422005984杨雯凤社会保障国际商学院3485951121117 107185612200610王忠环社会保障国际商学院3666747129123 107185612200618张菀煜社会保障国际商学院3646849126121 107185510705986杨勇土地资源管理国际商学院3596456118121 107185612200623田野土地资源管理国际商学院3476052121114 107185612200626李哲土地资源管理国际商学院3797057129123 107185612203543崔文韬工商管理国际商学院1721135900 107185612203547张洋工商管理国际商学院1771086900 107185612203551刘宗芹工商管理国际商学院1641135100 107185612203554杨舟工商管理国际商学院1631036000 107185612203555刘哲炜工商管理国际商学院1791334600 107185612203557黄旭工商管理国际商学院1771195800 107185612203559张惠然工商管理国际商学院1951276800 107185612203560晁阳工商管理国际商学院166996700 107185612203564陈戈工商管理国际商学院1711086300 107185612203566陈璐工商管理国际商学院167937400 107185612203567陈思诚工商管理国际商学院1681036500 107185612203568高俏工商管理国际商学院2021267600 107185612203569张佳路工商管理国际商学院1611204100 107185612203571刘言工商管理国际商学院1731037000 107185612203581张智伦工商管理国际商学院1601134700 107185612203582魏振工商管理国际商学院1851166900 107185612203584李亚非工商管理国际商学院1661016500 107185612203591黄金华工商管理国际商学院1791087100 107185612203598王连旨工商管理国际商学院1821127000 107185612203609孙严严工商管理国际商学院1791116800 107185612203610武春苗工商管理国际商学院1771176000 107185612203613常焕坦工商管理国际商学院1771106700 107185612203615王希工商管理国际商学院164966800 107185612203618王峰涛工商管理国际商学院1971267100 107185612203622吕硕工商管理国际商学院160986200107185612203629张琦欣工商管理国际商学院2091357400 107185612203630宋森工商管理国际商学院2151427300 107185612203636陈腾工商管理国际商学院1661046200 107185612203640武琦工商管理国际商学院1691105900 107185612203648马永兴工商管理国际商学院163927100 107185612203649杨雨龙工商管理国际商学院1811206100 107185612203650樊珍工商管理国际商学院1711007100 107185130603963贾晨教育学原理教育学院36767682320 107185131804001张雅静教育学原理教育学院34769572210 107185140904050曹晓婷教育学原理教育学院35674542280 107185321904249王欣教育学原理教育学院35474632170 107185341204274沈艳艳教育学原理教育学院35865632300 107185342204276刘恒美教育学原理教育学院36571752190 107185370104317罗翠翠教育学原理教育学院34269472260 107185410704496张亚娟教育学原理教育学院35576602190 107185411604529刘梦华教育学原理教育学院36268592350 107185412204568李方慧教育学原理教育学院34670582180 107185612202748潘小芳教育学原理教育学院36169632290 107185612202751张卓教育学原理教育学院34371542180 107185620404829李晓燕教育学原理教育学院34662522320 107185130603964王默课程与教学论教育学院35568582290 107185141604134樊鹏丽课程与教学论教育学院35070652150 107185220604210段婷婷课程与教学论教育学院35773562280 107185372504399沈霞课程与教学论教育学院34962662210 107185411604539王亚杰课程与教学论教育学院35074522240 107185412204578陈丹课程与教学论教育学院36270532390 107185501204703王悦婷课程与教学论教育学院36768712280 107185511904741张子燕课程与教学论教育学院35376612160 107185612202775白雪双课程与教学论教育学院35871582290 107185612202792白彬课程与教学论教育学院36967572450 107185612202800陈渝课程与教学论教育学院35667692200 107185612202805王园园课程与教学论教育学院34974602150 107185612202813陈春怡课程与教学论教育学院35472502320 107185612202820刘晓芸课程与教学论教育学院35163642240 107185614304786陈雪云课程与教学论教育学院35570632220 107185142004143尚晓雪教育史教育学院34270562160 107185370104308李君教育史教育学院34175562100 107185410704493王岩教育史教育学院36271552360 107185411604533孙白鹤教育史教育学院36174622250 107185612202887吕芳教育史教育学院35269622210 107185211304200朱艺丹比较教育学教育学院33667552140 107185460404689薛丹比较教育学教育学院34669592180 107185612202892毛歆比较教育学教育学院34068552170 107185612202894张小桢比较教育学教育学院33662602140 107185612202898王燕子比较教育学教育学院34562522310 107185120403919余瑶学前教育学教育学院35273512280 107185131503987白兴圆学前教育学教育学院36567652330 107185140604032毛珺学前教育学教育学院36567662320 107185141504126江艳学前教育学教育学院35273562230 107185310604239张卓然学前教育学教育学院35276542220 107185340104259张扬学前教育学教育学院36570602350 107185340404264张克丽学前教育学教育学院35668582300 107185372504397孔虔学前教育学教育学院35371532290 107185410204425翟晓婷学前教育学教育学院35470652190 107185410504472张阿茜学前教育学教育学院35373602200 107185411604530曹巧利学前教育学教育学院36377582280 107185411704543陈鑫学前教育学教育学院36974542410 107185612202697高敏莉学前教育学教育学院37066732310 107185612202911许花学前教育学教育学院35568632240 107185612202942刘夏鸽学前教育学教育学院35670492370 107185120103909张小钰高等教育学教育学院35870662220 107185141104067田阳高等教育学教育学院34761612250 107185411704553黄娟高等教育学教育学院34667552240107185612203001刘中玲高等教育学教育学院37277672280 107185612203004曹馨月高等教育学教育学院34766572240 107185612203017常静高等教育学教育学院35371492330 107185612203020张佳乐高等教育学教育学院35163532350 107185612203023惠绒高等教育学教育学院34566582210 107185612203024陈雪高等教育学教育学院35967612310 107185612203025张凡高等教育学教育学院34572622110 107185370204326薛寒职业技术教育学教育学院34973592170 107185371404389王雷职业技术教育学教育学院35167592250 107185410504453任雪园职业技术教育学教育学院34572512220 107185410504455程湘月职业技术教育学教育学院34575602100 107185412204577卫姣职业技术教育学教育学院34267722030 107185130403955张萌特殊教育学教育学院33869612080 107185140904057吉伟伟特殊教育学教育学院34672502240 107185141008940梁璇特殊教育学教育学院35164742130 107185340604268王磊特殊教育学教育学院34768492300 107185350304283刘丝特殊教育学教育学院34474602100 107185372904419周宪惠特殊教育学教育学院34268492250 107185620604841马巧茸特殊教育学教育学院35262602300教育学院33160462250 107185612203452周璐少年儿童组织与思想意107185211309147张凤现代教育技术教育学院320625683119 107185350109148李晨阳现代教育技术教育学院3365856102120 107185411609153陈雨现代教育技术教育学院3736851119135 107185612201641康欣欣现代教育技术教育学院3475955112121 107185612201644王莉现代教育技术教育学院3536860105120 107185612201645白雪现代教育技术教育学院342636911298 107185612201647李纯现代教育技术教育学院3556557120113 107185612201649王维娜现代教育技术教育学院3466548110123 107185612201650胡晓密现代教育技术教育学院3866959124134 107185612201651武美丽现代教育技术教育学院3936875132118 107185612201652卫青现代教育技术教育学院348596994126 107185612201653李丹现代教育技术教育学院328624789130 107185620209158张小辉现代教育技术教育学院330616792110 107185141109102卢娴小学教育教育学院3477068103106 107185231009116杨娜小学教育教育学院3396464108103 107185350109119柳琳小学教育教育学院3646757115125 107185370109121张凤至小学教育教育学院3626965117111 107185370109122孙书珊小学教育教育学院3486865114101 107185370809125宋文杰小学教育教育学院3386572100101 107185412209128杨雪小学教育教育学院3567370111102 107185422409130齐明月小学教育教育学院3747067111126 107185422409131周雨小学教育教育学院3627469115104 107185612201593吴婷小学教育教育学院3506756116111 107185612201595祝琳小学教育教育学院3686076120112 107185612201596王葭萌小学教育教育学院344676811396 107185612201601孙旭滨小学教育教育学院3907070124126 107185612201618耿小溪小学教育教育学院3466968100109 107185612201620王雅琪小学教育教育学院335636886118 107185612201623李维亚小学教育教育学院3686475105124 107185614309137许强小学教育教育学院3767473112117 107185614309138梁飞鸟小学教育教育学院337595612498 107185130210011陈延芳学前教育教育学院320695810489 107185140910014邢智智学前教育教育学院3517162116102 107185141510017高亚男学前教育教育学院3607170117102 107185210710018李曼曼学前教育教育学院3425959119105 107185410310026宋红姣学前教育教育学院3246245112105 107185412310028马煜学前教育教育学院3405747109127 107185422410030杨洋学前教育教育学院3386270104102 107185432510031邓彦妮学前教育教育学院326665411591 107185501410032谭越月学前教育教育学院346747388111 107185520110035沈思敏学前教育教育学院3556566119105 107185612202253杨子娟秀学前教育教育学院3635363123124 107185612202264张海宇学前教育教育学院328686195104107185612202274李帆帆学前教育教育学院3256058107100 107185612202276田凤娟学前教育教育学院3537069110104 107185612202277张海欧学前教育教育学院3487057118103 107185612202279贾翠霞学前教育教育学院3276151106109 107185620410040冉姣姣学前教育教育学院333725710599 107185620610041胡悦学前教育教育学院3626752114129 107185131005995陈慧慧教育经济与管理教育学院36665532480 107185150205996宋可昕教育经济与管理教育学院35963482480 107185231805997乔媛教育经济与管理教育学院32551532210 107185371305998孙强教育经济与管理教育学院33959472330 107185411706000周晓莹教育经济与管理教育学院34664512310 107185611506002张妍教育经济与管理教育学院36464522480 107185612203230王君妍教育经济与管理教育学院39474532670 107185612203232高源教育经济与管理教育学院34757442460 107185612203233马晓彤教育经济与管理教育学院32155562100 107185614306004王璇教育经济与管理教育学院36472522400 107185640106006魏平西教育经济与管理教育学院37672582460 107185130608765王永超教育技术学教育学院328664891123 107185130608766田佳教育技术学教育学院3365863107108 107185140508770赵晓慧教育技术学教育学院3316953105104 107185140608771吴晨光教育技术学教育学院324665494110 107185140908776郭敏敏教育技术学教育学院371836198129 107185140908778王美茹教育技术学教育学院3436948102124 107185140908779刘璐教育技术学教育学院336655399119 107185140908783裴培教育技术学教育学院3516557107122 107185140908784师亚媛教育技术学教育学院3526150116125 107185140908785苑新美教育技术学教育学院3326153109109 107185140908788石苗苗教育技术学教育学院3407548107110 107185140908790陈云杰教育技术学教育学院3416055105121 107185141208791张英教育技术学教育学院320644511497 107185141208792赵盼教育技术学教育学院3325851110113 107185220708801张美芬教育技术学教育学院327614911899 107185371108805刘巧教育技术学教育学院323645111197 107185372508806张莎莎教育技术学教育学院3576557114121 107185410508811赵雪飞教育技术学教育学院3206054101105 107185411608817梁巧玲教育技术学教育学院329615293123 107185422408822唐静萍教育技术学教育学院326606210797 107185612201462李序佳教育技术学教育学院328615195121 107185612201469潘瑞教育技术学教育学院334655597117 107185650208837张小雪教育技术学教育学院320715610192 107185612200628金昭羽文艺与文化传播学新闻与传播学院3656561114125 107185140806025苏伟娜新闻学新闻与传播学院3486557106120 107185211306041牛佳佳新闻学新闻与传播学院3677272115108 107185612200643李岩新闻学新闻与传播学院3526763104118 107185612200647朱云新闻学新闻与传播学院3546760116111 107185612200656应瑞奇新闻学新闻与传播学院353725995127 107185140306017张雅婷传播学新闻与传播学院3826768120127 107185140606019张瑾瑶传播学新闻与传播学院3777262116127 107185141006029成云传播学新闻与传播学院3517053118110 107185370806052万雨思传播学新闻与传播学院346716611099 107185410206057贾林迤传播学新闻与传播学院3677171109116 107185612200671尹丽萍传播学新闻与传播学院3556853117117 107185612200673马瑞馥传播学新闻与传播学院3626952119122 107185612200683张凤传播学新闻与传播学院3596856113122 107185612200691王润溪传播学新闻与传播学院3576970100118 107185620706114孙琪传播学新闻与传播学院3547165103115 107185650106120张继民传播学新闻与传播学院3607462108116 107185131510044杨森新闻与传播新闻与传播学院3726066122124 107185131710046周鑫新闻与传播新闻与传播学院3827165127119 107185131810048李婷新闻与传播新闻与传播学院3787671129102 107185140210050白馨蒨新闻与传播新闻与传播学院3796675127111 107185140910052邓舒方新闻与传播新闻与传播学院4046673128137 107185141210060赵瑞新闻与传播新闻与传播学院3766968123116107185141310064候宏清新闻与传播新闻与传播学院3737068132103 107185141510066张子欣新闻与传播新闻与传播学院3856769121128 107185321110073李光盈新闻与传播新闻与传播学院3716859120124 107185340410077王冬冬新闻与传播新闻与传播学院3676871119109 107185371410082崔晶新闻与传播新闻与传播学院3856475125121 107185410210087张宏怡新闻与传播新闻与传播学院3716769121114 107185411310097王倩倩新闻与传播新闻与传播学院3897175120123 107185412310103赵贞旎新闻与传播新闻与传播学院3936783119124 107185501110111高鸽新闻与传播新闻与传播学院3666363128112 107185612202307王明媚新闻与传播新闻与传播学院4027467129132 107185612202314王薇新闻与传播新闻与传播学院4026079140123 107185612202321朱莉新闻与传播新闻与传播学院3756463125123 107185612202331周阿萌新闻与传播新闻与传播学院3856569133118 107185612202336王怡新闻与传播新闻与传播学院3835867128130 107185612202340王曦新闻与传播新闻与传播学院3766962124121 107185612202343牛青瑞新闻与传播新闻与传播学院3746564119126 107185612202363张博文新闻与传播新闻与传播学院3766671108131 107185620910118石璐新闻与传播新闻与传播学院3726256128126 107185650610125孙哲新闻与传播新闻与传播学院3937177131114 107185370210129郑雪洁出版新闻与传播学院4127476127135 107185370610130陈一琛出版新闻与传播学院3616768111115 107185410410131张军花出版新闻与传播学院3826968128117 107185612202373查秀婷出版新闻与传播学院3796366119131 107185612202374李钰出版新闻与传播学院4276481135147 107185612202376李园出版新闻与传播学院345646912290 107185612202380张雅君出版新闻与传播学院4126262141147 107185612202381殷雨欣出版新闻与传播学院3906871118133 107185141208951原茜戏剧与影视学新闻与传播学院3636554117127 107185141606137程可戏剧与影视学新闻与传播学院3595854129118 107185411606167钟允允戏剧与影视学新闻与传播学院3807360133114 107185411607481张世勋戏剧与影视学新闻与传播学院3636240134127 107185412306174郭佳慧戏剧与影视学新闻与传播学院3596655126112 107185542806184刘晨阳戏剧与影视学新闻与传播学院3645958129118 107185542806185魏显勇戏剧与影视学新闻与传播学院3715950137125 107185612200720李宁戏剧与影视学新闻与传播学院3896749137136 107185612200728王秦博戏剧与影视学新闻与传播学院3656862133102 107185612200745方钰莹戏剧与影视学新闻与传播学院3625936141126 107185612200746王怡楠戏剧与影视学新闻与传播学院3646651133114 107185612200754马婉婉戏剧与影视学新闻与传播学院3917061137123 107185612201061黄静戏剧与影视学新闻与传播学院3755743139136 107185612202711高博文戏剧与影视学新闻与传播学院3746873121112 107185370210301陈菲广播电视新闻与传播学院3646156125122 107185531110306康慧广播电视新闻与传播学院3316254108107 107185540110307邢雅静广播电视新闻与传播学院3476746124110 107185612202451刘今广播电视新闻与传播学院3266044116106 107185612202452赵力子广播电视新闻与传播学院3466666108106 107185612202457白岩广播电视新闻与传播学院3406034117129 107185612202459姚婧广播电视新闻与传播学院3786468127119 107185612202469王瑞芬广播电视新闻与传播学院3326659106101 107185612202475邢兆星广播电视新闻与传播学院3516437125125 107185612202476何雨宸广播电视新闻与传播学院3455848127112 107185612202477高洁广播电视新闻与传播学院3496565113106 107185620210308刘舒婷广播电视新闻与传播学院3556146122126 107185620910311程心沁广播电视新闻与传播学院3426353115111 107185120405328薛丽文汉语国际教育国际汉学院3997168127133 107185130605331寇玲燕汉语国际教育国际汉学院3675852128129 107185130605332高晓杰汉语国际教育国际汉学院3806057137126 107185131105334何焕丽汉语国际教育国际汉学院3796660126127 107185140105336刘婷汉语国际教育国际汉学院3725948131134 107185140905340屈曼琳汉语国际教育国际汉学院3696568119117 107185220405356史天鑫汉语国际教育国际汉学院3615955132115 107185231105359董晓妍汉语国际教育国际汉学院3916360137131 107185231105361安鑫汉语国际教育国际汉学院3887363128124107185231205362韦雨嘉汉语国际教育国际汉学院3716850123130 107185231205363武正莹汉语国际教育国际汉学院3646457118125 107185231605364鄢凤云汉语国际教育国际汉学院3806565122128 107185231605365张萌汉语国际教育国际汉学院3977162129135 107185231708932刘馨泽汉语国际教育国际汉学院3946476129125 107185370205372王静汉语国际教育国际汉学院3717056125120 107185370605373惠燕妮汉语国际教育国际汉学院3867155129131 107185370605374李佳栩汉语国际教育国际汉学院3696648125130 107185410305378石林汉语国际教育国际汉学院3606846123123 107185410405380柳晓飞汉语国际教育国际汉学院3716251133125 107185410705387董丽靖汉语国际教育国际汉学院3736649134124 107185411305388屈蕾蕾汉语国际教育国际汉学院3666749123127 107185411305389刘晓洁汉语国际教育国际汉学院3736353130127 107185411905394贺文哲汉语国际教育国际汉学院3696961115124 107185412208944刘璐辰汉语国际教育国际汉学院3756359131122 107185412305395丁丽娜汉语国际教育国际汉学院3806656129129 107185412905398陈娜汉语国际教育国际汉学院3857852128127 107185422105405刘俊汉语国际教育国际汉学院3966663139128 107185430205408杨瑶汉语国际教育国际汉学院3616451128118 107185431405409王晓楠汉语国际教育国际汉学院3867353133127 107185450805413崔璨汉语国际教育国际汉学院3806364129124 107185460505415董姣汉语国际教育国际汉学院3686359117129 107185500105416胡君乔汉语国际教育国际汉学院3987165134128 107185510805420李尘汉语国际教育国际汉学院3766557126128 107185510805421李婉仪汉语国际教育国际汉学院3767556121124 107185612200231魏榕汉语国际教育国际汉学院3856664132123 107185612200232李昭汉语国际教育国际汉学院3786857120133 107185612200233耿密汉语国际教育国际汉学院3606253127118 107185612200236尹丹汉语国际教育国际汉学院4047369135127 107185612200238王梦琪汉语国际教育国际汉学院3676059125123 107185612200243刘园汉语国际教育国际汉学院3666248128128 107185612200244刘梁影汉语国际教育国际汉学院3606054126120 107185612200246张少臣汉语国际教育国际汉学院3727148127126 107185612200247李洋溢汉语国际教育国际汉学院3766352134127 107185612200249黄豆汉语国际教育国际汉学院3736853125127 107185612200253卢艺茹汉语国际教育国际汉学院3827357129123 107185612200255徐泽方汉语国际教育国际汉学院3665961119127 107185612200257何安然汉语国际教育国际汉学院3696453129123 107185612200259秦园园汉语国际教育国际汉学院3846557130132 107185612200263黄琬瑛汉语国际教育国际汉学院3726656122128 107185612200265杨美林汉语国际教育国际汉学院3616850118125 107185612200270杨柳青汉语国际教育国际汉学院3766457130125 107185612200272周剑青汉语国际教育国际汉学院3747455120125 107185612200273段誉洁汉语国际教育国际汉学院3896167131130 107185612200278张露汉语国际教育国际汉学院3616252121126 107185612200283李霄梅汉语国际教育国际汉学院3806264134120 107185612200284常晓晓汉语国际教育国际汉学院3706956124121 107185612200285孔聪聪汉语国际教育国际汉学院3636750122124 107185612200287李岚瑾汉语国际教育国际汉学院3717059116126 107185612200289张雅涵汉语国际教育国际汉学院3886661132129 107185612200296白若然汉语国际教育国际汉学院3736663127117 107185612200297田培培汉语国际教育国际汉学院3636946125123 107185612200298刘鸽汉语国际教育国际汉学院3706260129119 107185612200299白淞毓汉语国际教育国际汉学院3676459125119 107185612200301白星汉语国际教育国际汉学院3787056125127 107185612200302姜金秀汉语国际教育国际汉学院3937261128132 107185612200303张晓华汉语国际教育国际汉学院4167767138134 107185612200304邱越汉语国际教育国际汉学院3636954120120 107185612200307陈旭汉语国际教育国际汉学院3706155128126 107185612200316刘宇欣汉语国际教育国际汉学院3606856127109 107185612200317于洋汉语国际教育国际汉学院3906361133133 107185612200318闻梦宇汉语国际教育国际汉学院3665366125122 107185612200319周梦娜汉语国际教育国际汉学院3916862134127107185612200320马佳玲汉语国际教育国际汉学院3716752126126 107185612200327徐婧汉语国际教育国际汉学院3886163130134 107185612200330吴梦珂汉语国际教育国际汉学院3616751122121 107185612200334侯淑珍汉语国际教育国际汉学院3756654127128 107185612200337曹聪聪汉语国际教育国际汉学院3906964133124 107185612200338屈梅汉语国际教育国际汉学院3826363131125 107185612200341何楠楠汉语国际教育国际汉学院3786554130129 107185612200351刘荣汉语国际教育国际汉学院3796849132130 107185612200354孙彤汉语国际教育国际汉学院3716848122133 107185612200355李春梅汉语国际教育国际汉学院3956768131129 107185612200356蔡靖汉语国际教育国际汉学院3716561123122 107185612202702高子涵汉语国际教育国际汉学院3786966124119 107185614305430郭燕妮汉语国际教育国际汉学院3657146123125 107185620205436马千里汉语国际教育国际汉学院3967267131126 107185620308946孙早娟汉语国际教育国际汉学院3787358123124 107185620805448康小明汉语国际教育国际汉学院3637150120122 107185612200783陈晨语言学及应用语言学国际汉学院3546152127114 107185131408040甄程体育人文社会学体育学院30666421980 107185140908043南秀玲体育人文社会学体育学院34962542330 107185140908048胜男体育人文社会学体育学院30163372010 107185140908052齐乐体育人文社会学体育学院30658352130 107185141308083宋莹体育人文社会学体育学院29861381990 107185142008099姜秉义体育人文社会学体育学院33162452240 107185142008101刘月体育人文社会学体育学院32756472240 107185411508143孟伟杰体育人文社会学体育学院32658432250 107185421808152段瑞瑞体育人文社会学体育学院33367472190 107185511408159杨一帆体育人文社会学体育学院36069582330 107185612203399翟玉欣体育人文社会学体育学院31364452040 107185110708029闵瑞欣运动人体科学体育学院31867482030 107185110808030方向龙运动人体科学体育学院29764521810 107185140908045候璐运动人体科学体育学院34268542200 107185140908049尹博运动人体科学体育学院32260432190 107185141208078陈世文运动人体科学体育学院32561472170 107185210208104刘纽运动人体科学体育学院34558552320 107185370908120杜丽运动人体科学体育学院36673512420 107185422508154李陈鹏运动人体科学体育学院31665482030 107185520108161黄珊珊运动人体科学体育学院34355592290 107185620108167王亚明运动人体科学体育学院30252392110 107185140908046孙玥体育教育训练学体育学院34067432300 107185141108060费洋体育教育训练学体育学院34065422330 107185141508093史岩体育教育训练学体育学院36371462460 107185141508094金娜体育教育训练学体育学院33752462390 107185142008096刘鹏体育教育训练学体育学院34766492320 107185142008097陈敏洁体育教育训练学体育学院32963452210 107185142008100常敏体育教育训练学体育学院33768402290 107185342208114于倩倩体育教育训练学体育学院32964472180 107185342208115刘梦佳体育教育训练学体育学院35168542290 107185370108117张绪生体育教育训练学体育学院33768502190 107185370708118邵兵兵体育教育训练学体育学院34070452250 107185372308125王瑞杰体育教育训练学体育学院33258492250 107185372308126张花云体育教育训练学体育学院32960452240 107185612203408路超凡体育教育训练学体育学院35369382460 107185612203417唐婉莹体育教育训练学体育学院33360472260 107185612203418杨鹏程体育教育训练学体育学院33858442360 107185612203421雷恒星体育教育训练学体育学院34066382360 107185612203425朱小琳体育教育训练学体育学院34360492340 107185612203433余普体育教育训练学体育学院35262532370 107185612203436王秀平体育教育训练学体育学院34265372400 107185612203437马长飞体育教育训练学体育学院32975462080 107185620208168李德武体育教育训练学体育学院34063492280 107185620408178韦永春体育教育训练学体育学院36068522400 107185141208074陈岚民族传统体育学体育学院31462442080 107185141208077霍羿伶民族传统体育学体育学院27664361760。
045102学科教学(思政)一、学科教学(思想政治教育)专业简介第一部分学科专业介绍学科教学(思想政治教育)专业学位硕士研究生的培养单位为马克思主义学院,现已获得马克思主义理论一级学科博士授予权,学科队伍年龄、职称、学缘等构成合理,以取得博士学位的中青年为主体,科研能力和教学能力强。
思想政治教育是运用马克思主义理论与方法,专门研究人们思想品德形成、发展和思想政治教育规律,培养人们正确世界观、人生观、价值观的学科。
其专业硕士学位研究生的培养目标为具有坚定的马克思主义信念,树立建设中国特色社会主义的共同理想;比较系统掌握马克思主义基本原理和中国化马克思主义理论;全面掌握思想政治教育理论与方法,熟悉思想形成、发展规律和思想政治教育规律;具有一定的科学研究能力;较为熟练地掌握一门外国语并能阅读本专业的外文资料;了解本学科的最新动态;能胜任与本学科相关的教学、科研和党政、群团、学生教育管理工作。
第二部分研究方向介绍本学科方向注意从社会学、政治学、伦理学、教育学和心理学等学科中吸收思想政治教育学科建设的理论资源,将理想教育、思想教育、政治教育、道德教育、法制教育、心理教育和爱的教育等视为一个有机整体,开拓研究领域,创新研究方法;重视理论与实践相结合,采用课堂教学、小组研讨、案例教学、实习见习等方式进行培养。
在中小学建立稳定的教育实习见习基地,做好教育实践活动的组织与实施。
成立导师组负责研究生的指导,并在中小学聘任有经验的高级教师担任专业实习指导教师,实行双导师制。
本学科的导师教学经验丰富,科研成果较突出。
其校内主要导师简介如下:王习明,男,1964年11月生,湖北荆门人。
博士,教授。
曾在中学任过18年教师;现为海南师范大学马克思主义理论一级学科带头人,国家百千万人才工程。
主要研究方向为思想政治教育、乡村治理、生态文明。
2010年以来的教学成果有:著作《思想政治理论课教学质量提高探索》(中国文史出版社,2015)、《本科生思想政治理论课教育渠道拓展探索》(光明日报出版社,2015)等,论文《毛泽东对思想政治教育理论的创新及其启示》(《思想理论教育导刊》2013年第1期)等。
陕西师范大学2015年“申请-审核”制博士生招生工作办法为进一步提高我校博士研究生生源质量,选拔拔尖创新人才,全面考察考生的综合素质,建立更加科学有效的优秀生源选拔机制,满足社会发展对高层次人才的需要。
2015年我校将在教育博士专业学位和中国语言文学、中国史、化学、心理学等四个一级学科内实行“申请-审核”制博士招生方式。
“申请-审核”制由考生提交申请材料,相关学院进行审核、综合面试,择优录取,不再参加我校组织的博士生入学考试。
一、申请条件1、申请者应诚实守信,学风端正,无任何考试作弊,剽窃他人学术成果及其他违法违纪受处分记录。
2、申请者必须满足我校2015年博士生招生简章规定的报考条件。
3、教育博士申请者须具备下列条件之一①获得国家级荣誉称号者:全国模范教师、全国教育系统先进工作者、全国优秀教师、全国优秀教育工作者、特级教师等。
②具有正高级职称的中小学在职在岗教师。
③获得省部级表彰及荣誉称号,在基础教育领域中有重要影响者。
④获得省部级以上(含省部级)教学、科研奖励者(二等奖及二等以上奖励,且排名第一)。
4、学术学位博士申请者须具备下列条件①申请者为国内高水平大学或重要科研院所全日制普通硕士毕业生(应届硕士生必须在博士入学前取得硕士毕业证书和学位证书)。
②申请者本科或硕士毕业学科为国家重点学科或在全国学科评估中排名前25%。
③申请者在以往的学习和工作经历中表现优异,在与报考学科相关的领域中取得较出色的学习成绩和科研成果,并在本学科领域已取得一定科研成果,符合招生单位具体要求(各单位工作方案见附件1-5或登陆相关学院网站查询)。
5、申请者的健康状况符合博士研究生入学体检标准。
二、申请程序申请人填写《陕西师范大学2015年报考攻读博士学位研究生登记表(“申请-审核”制)》(见附件6),务必于2014年11月7日前连同以下材料报送研招办(如邮寄材料,请确保在11月7日前寄达)完成报名确认,逾期不予受理。
107185100001014张传海政治经济学院中国哲学丁为祥226558883无107185100001013高明政治经济学院中国哲学林乐昌215587582无107185100001008王国亮政治经济学院中国哲学刘学智215518480无107185100001033徐晨政治经济学院马克思主义发展史任晓伟237668883无107185100001031朱雪平政治经济学院马克思主义发展史任晓伟220658372无107185100001030董喆政治经济学院马克思主义发展史任晓伟207687960无107185100001044郭婷政治经济学院马克思主义中国化研究马启民234668781无107185100001045贺明吓政治经济学院马克思主义中国化研究马启民218608177无107185100001046杜永峰政治经济学院马克思主义中国化研究马启民202518170无107185100002118惠宁国际商学院世界经济周晓唯201467679无107185100002128王敏国际商学院国民经济学周晓唯209637472无107185100002127张小筠国际商学院国民经济学周晓唯201666966无107185100003132雒强教育学院教育学原理郝文武206517481无107185100003140白洋教育学院教育学原理郝文武197686861无107185100003144闫修蕾教育学院教育学原理郝文武197467774无107185100003186原昉教育学院课程与教学论陈晓端253739288无107185100003190朱江华教育学院课程与教学论陈晓端213597183无107185100003196张晓亮教育学院课程与教学论陈晓端213666483无107185100003150刘谦教育学院教育史栗洪武210766074无107185100003157樊红蕾教育学院教育史栗洪武205686473无107185100003153李妍教育学院教育史栗洪武201496488无107185100003156贺燕丽教育学院教育史栗洪武201568263无107185100003161王朝教育学院教育管理学司晓宏232518794无107185100003171袁智斌教育学院(专业学位)学校课程与教学胡卫平201448077无107185100003184雷伟教育学院(专业学位)教育领导与管理陈鹏216638370无107185100003182文慧教育学院(专业学位)教育领导与管理陈鹏212538574无107185100003185张鹤教育学院(专业学位)教育领导与管理陈鹏206428084无107185100003172王一喆教育学院(专业学位)教育领导与管理司晓宏214448288无107185100003173李丹教育学院(专业学位)教育领导与管理司晓宏202677560无107185100003286秦瑾若教育学院教育技术学张文兰248708692无107185100003288刘斌教育学院教育技术学张文兰248659192无107185100003295崔惠萍教育学院教育技术学张文兰238688486无107185100004262张晓凤新闻与传播学院媒介与社会变迁鲍海波232518893无107185100004263薛龙新闻与传播学院媒介与社会变迁鲍海波232558988无107185100004277肖娜新闻与传播学院媒介与社会变迁鲍海波223538090无107185100004249赵艳新闻与传播学院文艺与文化传播学李震231688578无107185100004247成越洋新闻与传播学院文艺与文化传播学李震227528689无107185100004250李婉丽新闻与传播学院文艺与文化传播学李震226648280无107185100006213侯颖体育学院课程与教学论史兵216686286无107185100006214赵亮体育学院课程与教学论史兵192456582无107185100006302王冠栋体育学院运动生物学张昆茹209458183无107185100007309赵栋栋文学院文艺学尤西林222488094无107185100007304曲经纬文学院文艺学尤西林219616989无107185100007310毋杉文学院文艺学尤西林215618371无107185100007324张欲晓文学院语言学及应用语言学赵学清242679085无107185100007321黄耀明文学院语言学及应用语言学赵学清205488275无107185100007339谭治琪文学院汉语言文字学邢向东190606565无107185100007347高文智文学院中国古典文献学赵望秦222519081无107185100007346马维娜文学院中国古典文献学赵望秦220468787无107185100007356张劲锋文学院中国古代文学曹胜高230518495无107185100007360岳洋峰文学院中国古代文学曹胜高225498591无107185100007358刘宁文学院中国古代文学曹胜高215518084无107185100007379郭发喜文学院中国古代文学傅绍良242599291无107185100007381刘红红文学院中国古代文学傅绍良229678676无107185100007377赵雅娴文学院中国古代文学傅绍良223528091无107185100007372韩团结文学院中国古代文学高一农226588187无107185100007354叶刚文学院中国古代文学高一农199526978无107185100007390赵莎莎文学院中国古代文学高益荣232538594无107185100007397张爱良文学院中国古代文学高益荣213527190无107185100007392胡伟栋文学院中国古代文学高益荣199516979无107185100007396李亚丽文学院中国古代文学霍有明237578595无107185100007398李荣荣文学院中国古代文学霍有明214468385无107185100007391苟莹莹文学院中国古代文学霍有明197496682无107185100007375赵旭文学院中国古代文学刘锋焘230577895无107185100007380卫宏伟文学院中国古代文学刘锋焘228578388无107185100007388姜卓文学院中国古代文学刘锋焘213577779无107185100007368毛蕊文学院中国古代文学刘生良233608687无107185100007366胡玲文学院中国古代文学刘生良227667685无107185100007367张宁文学院中国古代文学刘生良226588286无107185100007404丁良艳文学院中国古代文学吴言生247718393无107185100007407贺玉洁文学院中国古代文学吴言生245688592无107185100007403王爱军文学院中国古代文学吴言生222677085无107185100007445冯超文学院中国现当代文学李继凯248609494无107185100007446周清叶文学院中国现当代文学李继凯227707978无107185100007449张延国文学院中国现当代文学李继凯218638174无107185100007454席东文学院中国现当代文学田刚263799292无107185100007457王鑫文学院中国现当代文学田刚234608985无107185100007463蔺晓珣文学院中国现当代文学田刚232568987无107185100008469李雨璇外国语学院跨语言文化研究王启龙242718883无107185100008880操林英外国语学院跨语言文化研究王启龙217478486无107185100008892王春兰外国语学院跨语言文化研究张京鱼249738393无107185100008898黄梅外国语学院跨语言文化研究张京鱼240619188无107185100008874朱喜奎外国语学院跨语言文化研究张京鱼238638689无107185100009897牛珺音乐学院课程与教学论张君仁244767791无107185100010430程玉萍美术学院艺术文化史高明239599288无107185100010412李琼美术学院艺术文化史高明221578381无107185100010900程之希美术学院艺术文化史高明221637385无107185100010475王秀丽美术学院艺术文化史胡玉康251679391无107185100010476刘飞美术学院艺术文化史胡玉康246609393无107185100010479胡喜红美术学院艺术文化史胡玉康219468390无107185100011509高小明西北历史环境与经济社会发展研究院人口、资源与环境经济学郭剑雄227578189无107185100011508乔娜西北历史环境与经济社会发展研究院人口、资源与环境经济学郭剑雄218677279无107185100011511鲁永刚西北历史环境与经济社会发展研究院人口、资源与环境经济学郭剑雄218628769无107185100011485贾鸿源西北历史环境与经济社会发展研究院中国史刘景纯242729080无107185100011486王静西北历史环境与经济社会发展研究院中国史刘景纯198566676无107185100011501裴欣西北历史环境与经济社会发展研究院中国史张萍225608778无107185100011500罗聪西北历史环境与经济社会发展研究院中国史张萍218607880无107185100011498吕强西北历史环境与经济社会发展研究院中国史张萍208507682无107185100011504白茹冰西北历史环境与经济社会发展研究院中国史周宏伟191527168无107185100012531王丹中国西部边疆研究院中国少数民族史韩中义224498788无107185100012527张建勋中国西部边疆研究院中国少数民族史黄达远210547779无107185100012534李晓幸中国西部边疆研究院中国少数民族史黄达远205508372无107185100012528初阔林中国西部边疆研究院中国少数民族史李琪235588691无107185100012532张钦中国西部边疆研究院中国少数民族史李琪225578484无107185100012529焦景丹中国西部边疆研究院中国少数民族史李琪221578084无107185100012516张超中国西部边疆研究院中国少数民族史马强199476983无107185100012519陶朝英中国西部边疆研究院中国少数民族史马强199457381无107185100012883曲云霄中国西部边疆研究院中国少数民族史马强193556870无107185100012541张福强中国西部边疆研究院中国少数民族史王启龙229598684无107185100012545金鹏飞中国西部边疆研究院中国少数民族史王启龙224648179无107185100012543杨颖中国西部边疆研究院中国少数民族史王启龙200626573无107185100012515刘烨中国西部边疆研究院中国少数民族史王欣226518293无107185100012517潘璇中国西部边疆研究院中国少数民族史王欣213518082无107185100012514和智中国西部边疆研究院中国少数民族史周伟洲211597379无107185100012513韩树伟中国西部边疆研究院中国少数民族史周伟洲207547281无107185100013584汪红娟历史文化学院中国史黄正林203528071无107185100013551杨洪涛历史文化学院中国史贾二强227568784无107185100013554陈芳历史文化学院中国史贾二强225588285无107185100013552刘森垚历史文化学院中国史贾二强223598381无107185100013566梁力历史文化学院中国史介永强211597280无107185100013564张梓熙历史文化学院中国史介永强193477670无107185100013884毛宇光历史文化学院中国史介永强191566570无107185100013575梁克敏历史文化学院中国史王双怀231519288无107185100013580惠瑛历史文化学院中国史王双怀213557484无107185100013569潘婧历史文化学院中国史萧正洪229737878无107185100013568杨关锋历史文化学院中国史萧正洪209688061无107185100013560刘锦增历史文化学院中国史薛平拴248579695无107185100013548谷朝旭历史文化学院中国史张懋镕206527480无107185100013567黄明磊历史文化学院中国史赵世超209466796无107185100013597杜军历史文化学院世界史何志龙249738294无107185100013596杨彪历史文化学院世界史何志龙246768585无107185100013595尹婧历史文化学院世界史何志龙231667590无107185100013592高延玲历史文化学院世界史王成军246718887无107185100013593张建斌历史文化学院世界史王成军225588384无107185100014219王允数学与信息科学学院课程与教学论黄秦安195547071无107185100014799张福刚数学与信息科学学院基础数学李永明217527392无107185100014797夏常春数学与信息科学学院基础数学赵彬245589394无107185100014794鲁静数学与信息科学学院基础数学赵彬233528497无107185100014601李畅通数学与信息科学学院计算数学唐三一197507374无107185100014604李长涛数学与信息科学学院应用数学吴保卫236519095无107185100014603蒋丹华数学与信息科学学院应用数学吴建华251639098无107185100015606王驰物理学与信息技术学院理论物理屈世显217687970无107185100015611刘远物理学与信息技术学院凝聚态物理尹峰262799093无107185100015613刘茜茹物理学与信息技术学院凝聚态物理尹峰241549592无107185100015612赵旭梅物理学与信息技术学院凝聚态物理尹峰223488689无107185100015807李娜物理学与信息技术学院声学贺西平228519483无107185100015614常红芳物理学与信息技术学院声学林书玉213518082无107185100015615张鹏利物理学与信息技术学院声学林书玉204467484无107185100015608于术娟物理学与信息技术学院光学陈彦军223588382无107185100015609李雁鹏物理学与信息技术学院光学陈彦军221598280无107185100015607罗小东物理学与信息技术学院光学郑海荣235578593无107185100015616张蕾物理学与信息技术学院生物物理学孙润广225518094无107185100016228闫生忠化学化工学院课程与教学论周青190596170无107185100016622杨明明化学化工学院无机化学高子伟227528095无107185100016623高霞化学化工学院无机化学蒋育澄233598193无107185100016624许镭化学化工学院无机化学张国防227468794无107185100016630李婧化学化工学院分析化学金燕230499388无107185100016628张晶晶化学化工学院分析化学李保新208668260无107185100016629孙月莹化学化工学院分析化学李正平228528690无107185100016626段慧玲化学化工学院分析化学张志琪229558193无107185100016634祖瑜佳化学化工学院有机化学柴永海243659682无107185100016635张娅玲化学化工学院有机化学李宝林219606990无107185100016633曹洋化学化工学院有机化学张生勇208517483无107185100016636刘振化学化工学院物理化学陈亚芍224478691无107185100016619刘亚丽化学化工学院高分子化学与物理杨鹏241529594无107185100016620李琛化学化工学院高分子化学与物理杨鹏236499493无107185100016641肖勇山化学化工学院应用化学刘忠文237677793无107185100017642王兆夺旅游与环境学院自然地理学黄春长190457471无107185100017644毛沛妮旅游与环境学院自然地理学庞奖励213627378无107185100017682马卫旅游与环境学院人文地理学曹小曙234598887无107185100017681冯海建旅游与环境学院人文地理学曹小曙230608486无107185100017679李建新旅游与环境学院人文地理学曹小曙226528688无107185100017669蔡厚林旅游与环境学院人文地理学薛东前236618788无107185100017670高尚旅游与环境学院人文地理学薛东前230568688无107185100017666张军谋旅游与环境学院人文地理学薛东前225488889无107185100017687王鹏涛旅游与环境学院人文地理学延军平241609190无107185100017665王云旅游与环境学院人文地理学延军平211468283无107185100017686张义旅游与环境学院人文地理学延军平194537962无107185100017692高文兰旅游与环境学院地图学与地理信息系统任志远220607585无107185100017694马士彬旅游与环境学院地图学与地理信息系统任志远212508478无107185100017695段艺芳旅游与环境学院地图学与地理信息系统任志远207528570无107185100017716周靖超旅游与环境学院旅游管理吴晋峰232637792无107185100017702张毓利旅游与环境学院旅游管理吴晋峰217627283无107185100017701蒋作明旅游与环境学院旅游管理吴晋峰212457988无107185100017720梅振华旅游与环境学院旅游管理赵振斌227668477无107185100017714邓勇勇旅游与环境学院旅游管理赵振斌221499280无107185100017712张建荣旅游与环境学院旅游管理赵振斌215468782无107185100018723冯晓磊生命科学学院动物学黄原214658465无107185100018722尚亚飞生命科学学院动物学黄原211587776无107185100018721杨超生命科学学院动物学黄原202486985无107185100018725赵磊生命科学学院动物学李金钢247678892无107185100018726郝志强生命科学学院动物学李金钢238608791无107185100018735张聘生命科学学院水生生物学李晓晨214576988无107185100018742常帆生命科学学院微生物学李治231509190无107185100018743张娟娟生命科学学院发育生物学奚耕思235598096无107185100018744杜串串生命科学学院发育生物学张育辉237637896无107185100018747何慧敏生命科学学院细胞生物学侯颖春262719596无107185100018748车小红生命科学学院细胞生物学侯颖春199516682无107185100018746王丽生命科学学院细胞生物学侯颖春192487470无107185100018737程俊生命科学学院生态学王孝安193497470无107185100018741解雷生命科学学院生态学张育辉204557079无107185100019752张溪桐食品工程与营养科学学院食品化学李建科208467488无107185100019753李昌盛食品工程与营养科学学院食品化学李建科204637665无107185100019751王兆丹食品工程与营养科学学院食品化学李建科199547867无107185100019755王静食品工程与营养科学学院食品化学张有林213568176无107185100019754武永福食品工程与营养科学学院食品化学张有林205498373无107185100019858王立霞食品工程与营养科学学院植物学田呈瑞226538291无107185100020768刘爱琴计算机科学学院计算机软件与理论曹菡246559893无107185100020769樊建永计算机科学学院计算机软件与理论曹菡235539290无107185100020759连召洋计算机科学学院计算机软件与理论郭敏247639094无107185100020767王磊计算机科学学院计算机软件与理论汪西莉242559790无107185100020757尚随明计算机科学学院计算机软件与理论王小明256619897无107185100020765赵一计算机科学学院计算机软件与理论杨波258659796无107185100022772韩瑞宗教研究中心宗教学吕建福224548783无107185100022771于亚龙宗教研究中心宗教学吕建福207498672无107185100023789王悦材料科学与工程学院材料学胡道道216517689无107185100023782张豆豆材料科学与工程学院材料学刘生忠231637890无107185100023783冯江山材料科学与工程学院材料学刘生忠215467693无107185100024847刘佳心理学院基础心理学霍涌泉241678787无107185100024851李抗心理学院基础心理学霍涌泉225667584无107185100024853张文芳心理学院基础心理学霍涌泉212527288无107185100024829王永春心理学院基础心理学王勇慧212587084无107185100024830田青心理学院基础心理学王勇慧208726769无107185100024833安龙心理学院基础心理学王勇慧202597073无107185100024825周晨琛心理学院基础心理学游旭群223627982无107185100024824董丽娜心理学院基础心理学游旭群199676468无107185100024826吴国强心理学院基础心理学游旭群191646562无107185100024838敖勇前心理学院发展与教育心理学张丽锦229727879无107185100024837钟雪心理学院发展与教育心理学张丽锦226708274无107185100024841梁渊心理学院发展与教育心理学张丽锦208607969无107185100024792李苑心理学院航空航天心理学游旭群209588269无107185100024793王泉川心理学院航空航天心理学游旭群191606566无107185100025804首新现代教学技术教育部重点实验室科学教育学胡卫平233677987无107185100025803潘炳超现代教学技术教育部重点实验室科学教育学胡卫平224637883无107185100025800张睆现代教学技术教育部重点实验室发展与教育心理学胡卫平222538683无107185100025801季皓洁现代教学技术教育部重点实验室发展与教育心理学胡卫平198597960无107185100025733范卡敏现代教学技术教育部重点实验室神经生物学任维241489796无107185100025732于宁现代教学技术教育部重点实验室神经生物学任维217508780无107185100027809李莉莉教育实验经济研究所人口、资源与环境经济学ScottRozelle220637285无107185100027814高屾教育实验经济研究所人口、资源与环境经济学史耀疆250678994无107185100027813宋秀军教育实验经济研究所人口、资源与环境经济学史耀疆200597368无107185100027811高秋风教育实验经济研究所人口、资源与环境经济学张林秀252659592无107185100028819田虎高等教育研究与评估中心高等教育学陈鹏239678488无107185100028821刘艳金高等教育研究与评估中心高等教育学陈鹏218628076无107185100028820石远鹏高等教育研究与评估中心高等教育学陈鹏214667474无107185100029859刘元初西北濒危药材资源开发国家工程实验室植物学王喆之230508991无107185100001017孙雪雷政治经济学院中国哲学许宁233558791少干107185100001019龙丽波政治经济学院马克思主义基本原理王俊拴182437960少干107185100001038杨学平政治经济学院马克思主义中国化研究陈答才187327580少干107185100001054祁小平政治经济学院马克思主义中国化研究马启民219538680少干107185100001065韦红霞政治经济学院思想政治教育王涛204438081少干107185100001061杨惠娟政治经济学院中国近现代史基本问题研究王晓荣191417476少干107185100002119刘志鹏国际商学院世界经济周晓唯183556167少干107185100003863库来西.依布拉音教育学院教育管理学司晓宏221548681少干107185100003164杨再峰教育学院教育管理学司晓宏194437774少干107185100003165胡瑾教育学院教育管理学田建荣227718670少干107185100003281张卓星教育学院教育技术学傅钢善204436992少干107185100003284闫兴亚教育学院教育技术学傅钢善177386970少干107185100004279张学霞新闻与传播学院媒介与社会变迁鲍海波228488991少干107185100004280努尔比亚亚生新闻与传播学院媒介与社会变迁鲍海波187576466少干107185100004256李颖新闻与传播学院文艺与文化传播学李震232668482少干107185100004257李晓林新闻与传播学院文艺与文化传播学李震231558690少干107185100004258马希凤新闻与传播学院文艺与文化传播学李震178417661少干107185100007318郭玉梅文学院语言学及应用语言学杜敏219428988少干107185100007317阿卜杜吾普尔·热合曼文学院语言学及应用语言学杜敏176526262少干107185100007349黑金福文学院中国古典文献学赵望秦216478188少干107185100007402包玲小文学院中国古代文学高益荣181446077少干107185100007465慕生炜文学院中国现当代文学田刚224409094少干107185100007466张银霞文学院比较文学与世界文学裴亚莉251639395少干107185100008889郑砚外国语学院跨语言文化研究贺俊杰229459193少干107185100008468刘立峰外国语学院跨语言文化研究贺俊杰180356382少干107185100008894巢玥外国语学院跨语言文化研究王文243678591少干107185100008893罗天霞外国语学院跨语言文化研究王文220638077少干107185100012540孙晋斐中国西部边疆研究院中国少数民族史黄达远200477578少干107185100012523马麒中国西部边疆研究院中国少数民族史马强211497290少干107185100012524热比古丽·图尔荪中国西部边疆研究院中国少数民族史王欣193456187少干107185100012525王平中国西部边疆研究院中国少数民族史王欣189367578少干107185100013574张敏波历史文化学院中国史薛平拴172337366少干107185100014798包艳玲数学与信息科学学院基础数学李生刚254748397少干107185100014602田园数学与信息科学学院计算数学唐三一225538092少干107185100015618马英俊物理学与信息技术学院生物物理学孙润广239608594少干107185100016639马威化学化工学院物理化学肖建良218408791少干107185100017711袁利旅游与环境学院旅游管理孙根年217547885少干107185100017718何颖怡旅游与环境学院旅游管理孙根年179356777少干107185100017708龙华斌旅游与环境学院旅游管理吴晋峰188388070少干107185100018724马瑞林生命科学学院动物学廉振民209318791少干107185100018727袁伟生命科学学院细胞生物学徐学红223558682少干107185100018749黄元射生命科学学院生物化学与分子生物学夏海滨226547795少干107185100020766刘海计算机科学学院计算机软件与理论吴振强210559461少干107185100022780马金虎宗教研究中心宗教学吕建福191427970少干107185100024834热比古丽·白克力心理学院发展与教育心理学王振宏186517263少干107185100028822王斌高等教育研究与评估中心高等教育学栗洪武224597986少干107185100001081高微政治经济学院思想政治教育王涛229648679辅导员107185100001079刘园园政治经济学院思想政治教育王涛227708572辅导员107185100001089李铁政治经济学院思想政治教育王涛226608482辅导员107185100001071张燕政治经济学院思想政治教育王涛218668270辅导员107185100001077朱尉政治经济学院思想政治教育王涛218628769辅导员107185100001082郝万喜政治经济学院思想政治教育王涛215687572辅导员107185100001067王红梅政治经济学院思想政治教育王涛209489071辅导员107185100001080张昊政治经济学院思想政治教育王涛207597969辅导员107185100001066李鹏政治经济学院思想政治教育王涛205567772辅导员107185100001096王改红政治经济学院思想政治教育王涛203617369辅导员107185100001093庞曦政治经济学院思想政治教育王涛197577367辅导员107185100001083黄娟政治经济学院思想政治教育王涛196477871辅导员107185100001088唐剑辉政治经济学院思想政治教育王涛191517565辅导员107185100001021殷峰政治经济学院马克思主义基本原理王俊拴221618575两课教师107185100001023张玮政治经济学院马克思主义基本原理王俊拴207558171两课教师107185100001022周妍政治经济学院马克思主义基本原理袁祖社203527774两课教师107185100001037曹亚芳政治经济学院马克思主义发展史任晓伟217568180两课教师107185100001025慕怀琴政治经济学院马克思主义发展史阎树群206498572两课教师107185100001041刘玫政治经济学院马克思主义中国化研究陈答才215716579两课教师107185100001039刘爱娣政治经济学院马克思主义中国化研究陈答才212686084两课教师107185100001055漆调兰政治经济学院马克思主义中国化研究马启民228658281两课教师107185100001097罗晶政治经济学院思想政治教育王涛194597362两课教师107185100001099王桂敏政治经济学院思想政治教育王涛214508381对口支援107185100001064欧阳山政治经济学院社会发展与制度文明王蓓222608280对口支援107185100001063李荣政治经济学院社会发展与制度文明王蓓191308675对口支援107185100003148郑春晶教育学院教育学原理郝文武193437080对口支援107185100003149王中晓教育学院教育学原理郝文武174336675对口支援107185100003202孙磊教育学院课程与教学论陈晓端193556474对口支援107185100003204张生虎教育学院课程与教学论张立昌186416580对口支援107185100003159马文珠教育学院教育史栗洪武177446469对口支援107185100007303陈强文学院文艺学李西建197438470对口支援107185100007338马静文学院语言学及应用语言学赵学清231668580对口支援107185100008878罗芳春外国语学院跨语言文化研究张京鱼225528291对口支援107185100015610卢佳廷物理学与信息技术学院原子与分子物理张建民235499294对口支援107185100017652陈宗颜旅游与环境学院自然地理学董治宝186536073对口支援107185100020756范艳焕计算机科学学院计算机软件与理论李永明256629896对口支援107185100020763鲁小云计算机科学学院计算机软件与理论姚若侠211549166对口支援107185100020764卫良计算机科学学院计算机软件与理论赵海兴225509382对口支援。
政治经济学院马克思主义哲学袁祖社107187100010012王鑫240668193非定向汉族普通政治经济学院马克思主义哲学袁祖社107187100010002冯晔235677989非定向汉族普通政治经济学院马克思主义哲学袁祖社107187100010004夏玉汉233667691非定向汉族普通政治经济学院马克思主义哲学袁祖社107187100011304许逸颖230757382非定向汉族普通政治经济学院马克思主义哲学袁祖社107187100010011田燕斋226587890非定向汉族普通政治经济学院中国哲学丁为祥107187100010033孙德仁221568184非定向汉族普通政治经济学院中国哲学丁为祥107187100010028商春丽217647083非定向汉族普通政治经济学院中国哲学丁为祥107187100010032程永凯217637282非定向汉族普通政治经济学院中国哲学丁为祥107187100010024路鹏飞216686583非定向汉族普通政治经济学院中国哲学丁为祥107187100010029李宏达196517669非定向汉族普通政治经济学院马克思主义基本原理王俊拴107187100010046文列224708173定向汉族普通政治经济学院马克思主义基本原理王俊拴107187100010045刘桐源196487375非定向汉族普通政治经济学院马克思主义基本原理王俊拴107187100010047杨阳183487560定向汉族普通政治经济学院马克思主义发展史任晓伟107187100010060王娟216697374非定向汉族普通政治经济学院马克思主义发展史任晓伟107187100010070何红娟207517680非定向汉族普通政治经济学院马克思主义发展史任晓伟107187100010061崔苗206577475非定向汉族普通政治经济学院马克思主义发展史任晓伟107187100010059王诗涵204707262非定向汉族普通政治经济学院马克思主义发展史任晓伟107187100010072郭霆204476790非定向汉族普通政治经济学院马克思主义中国化研究陈答才107187100010075吕越颖221697280非定向汉族普通政治经济学院马克思主义中国化研究陈答才107187100010077朱文靓214636982非定向汉族普通政治经济学院马克思主义中国化研究陈答才107187100010083张丽208567082非定向汉族普通政治经济学院马克思主义中国化研究陈答才107187100010088许川川207607572非定向汉族普通政治经济学院马克思主义中国化研究陈答才107187100010074朱晓芸205597769非定向其他普通国际商学院政治经济学孔祥利107187100020185夏金梅215647873定向汉族普通国际商学院经济思想史张治河107187100020190薄玮229628780定向汉族普通国际商学院经济史睢党臣107187100020193黄昕219558876非定向汉族普通国际商学院西方经济学雷宏振107187100020202申利195566871定向汉族普通国际商学院世界经济许军107187100020205窦兮言219687774非定向汉族普通国际商学院世界经济许军107187100020209殷培伟207696969定向汉族普通国际商学院国民经济学雷宏振107187100020213杨靓雅225757674非定向汉族普通国际商学院国民经济学雷宏振107187100020219高爱雄215846665定向汉族普通国际商学院国民经济学雷宏振107187100020214袁元208717463非定向汉族普通国际商学院国民经济学雷宏振107187100020212毛瑞琼205666673非定向汉族普通教育学院课程与教学论陈晓端107187100030312高嵩219597585非定向汉族普通教育学院课程与教学论陈晓端107187100030325雷蕾219666885非定向汉族普通教育学院课程与教学论陈晓端107187100030316南腊梅215567485定向汉族普通教育学院课程与教学论陈晓端107187100030330赵俏梅196666565非定向汉族普通教育学院教育史李延平107187100030247李奕婷236737588非定向汉族普通教育学院高等教育学陈鹏107187100031197余智慧257719393非定向汉族普通教育学院高等教育学陈鹏107187100031190郑玉洁240708486非定向汉族普通教育学院高等教育学陈鹏107187100031200龙思214587581非定向汉族普通教育学院高等教育学陈鹏107187100031189倪嘉敏204517974定向汉族普通教育学院高等教育学陈鹏107187100031192王鹏197517769非定向汉族普通教育学院高等教育学陈鹏107187100031198张双喜197466289非定向汉族普通教育学院教育管理学司晓宏107187100030264樊莲花226578683非定向汉族普通教育学院教育管理学司晓宏107187100030259王桐225567990非定向汉族普通教育学院教育管理学司晓宏107187100030263苟晓玲221618872非定向汉族普通教育学院教育管理学司晓宏107187100030257吴旭刚214628666非定向汉族普通教育学院教育管理学司晓宏107187100030262陈建琦210807060定向汉族普通教育学院教育技术学傅钢善107187100030435王改花238509197定向汉族普通教育学院教育技术学傅钢善107187100030446孙洋227518591定向汉族普通教育学院教育技术学傅钢善107187100030450陈文华226617689定向汉族普通教育学院教育技术学傅钢善107187100030438马伟杰225608481定向汉族普通教育学院教育技术学傅钢善107187100030444杨小锋223517993定向汉族普通新闻与传播学院媒介与社会变迁鲍海波107187100040402王翔239579191定向汉族普通新闻与传播学院媒介与社会变迁鲍海波107187100040408王翎233718775定向汉族普通新闻与传播学院媒介与社会变迁鲍海波107187100040417何伟227698375非定向汉族普通新闻与传播学院媒介与社会变迁鲍海波107187100040422元冬维223597985非定向汉族普通新闻与传播学院媒介与社会变迁鲍海波107187100040410马滢220697180非定向汉族普通新闻与传播学院文艺与文化传播学李震107187100040392侯婧243688887非定向汉族普通新闻与传播学院文艺与文化传播学李震107187100040398刘曌琼239678587非定向汉族普通新闻与传播学院文艺与文化传播学李震107187100040399闫敏226538786非定向汉族普通新闻与传播学院文艺与文化传播学李震107187100040391杨莹221797963非定向汉族普通新闻与传播学院文艺与文化传播学李震107187100040395范珊珊202588064非定向汉族普通体育学院课程与教学论史兵107187100060350丁建岚222677580非定向汉族普通体育学院课程与教学论史兵107187100060336贾慧芬193527071非定向汉族普通文学院文艺学李西建107187100070487杨也218626690非定向汉族普通文学院文艺学李西建107187100070493樊高峰206577970非定向汉族普通文学院文艺学李西建107187100070488吴芳198636075非定向汉族普通文学院文艺学李西建107187100070494耶丹197587366定向汉族普通文学院文艺学李西建107187100070491刘文元188467270非定向汉族普通文学院文艺学尤西林107187100070507王普明254817895非定向汉族普通文学院文艺学尤西林107187100070510刘维邦245728390非定向汉族普通文学院文艺学尤西林107187100070499钟祖流240687894非定向汉族普通文学院文艺学尤西林107187100070498白英236657794定向汉族普通文学院文艺学尤西林107187100070496马子新230638285定向汉族普通文学院语言学及应用语言学杜敏107187100070517李兴忠238797782定向汉族普通文学院语言学及应用语言学杜敏107187100070518刘志刚236549191非定向汉族普通文学院语言学及应用语言学杜敏107187100070514王文琦235718282非定向汉族普通文学院语言学及应用语言学杜敏107187100070516吉海韵234787581非定向汉族普通文学院语言学及应用语言学杜敏107187100071291肖贵纯227846380定向汉族普通文学院语言学及应用语言学赵学清107187100070530张文倩255639696非定向汉族普通文学院语言学及应用语言学赵学清107187100071292陈彬彬221896171定向汉族普通文学院语言学及应用语言学赵学清107187100070529杨琳216766773非定向汉族普通文学院语言学及应用语言学赵学清107187100070532王娇娇206736073定向汉族普通文学院语言学及应用语言学赵学清107187100070538何珮196526579非定向汉族普通文学院汉语言文字学胡安顺107187100071256石慧248837986非定向汉族普通文学院汉语言文字学胡安顺107187100070563孙梦城245856595非定向汉族普通文学院汉语言文字学胡安顺107187100070565谢文乾186547161定向汉族普通文学院汉语言文字学邢向东107187100070553曹兴隆223646792非定向汉族普通文学院汉语言文字学邢向东107187100070549贺梅梅218647876非定向汉族普通文学院汉语言文字学邢向东107187100070554赵锦秀213666681非定向汉族普通文学院汉语言文字学邢向东107187100070551王鹏飞194696461非定向汉族普通文学院中国古典文献学周淑萍107187100070571殷陆陆251689291非定向汉族普通文学院中国古典文献学周淑萍107187100070570阎慧240698388非定向汉族普通文学院中国古典文献学周淑萍107187100071257张珊珊238648688定向汉族普通文学院中国古代文学柏俊才107187100070606杨闪闪234638388非定向汉族普通文学院中国古代文学柏俊才107187100070605杨玉锋223698074非定向汉族普通文学院中国古代文学柏俊才107187100070612王天觉223597193非定向汉族普通文学院中国古代文学柏俊才107187100070611高武斌221657581非定向汉族普通文学院中国古代文学柏俊才107187100070604陈宁波212618071非定向汉族普通文学院中国古代文学曹胜高107187100070574张金杰233687788非定向汉族普通文学院中国古代文学曹胜高107187100070581李申曦233667691非定向汉族普通文学院中国古代文学曹胜高107187100070578刘永娟206587870非定向汉族普通文学院中国古代文学曹胜高107187100070579安亚198637560非定向汉族普通文学院中国古代文学曹胜高107187100070576梅伟196537568非定向汉族普通文学院中国古代文学傅绍良107187100070615郭明乐221717278非定向汉族普通文学院中国古代文学傅绍良107187100070613宫臻祥214518083定向汉族普通文学院中国古代文学傅绍良107187100070616王锋锋208667765非定向汉族普通文学院中国古代文学高一农107187100070586祁小真209637868非定向汉族普通文学院中国古代文学高一农107187100070587蒋庆栋196597463非定向汉族普通文学院中国古代文学高益荣107187100070635张诗芳233757286非定向汉族普通文学院中国古代文学高益荣107187100070639王艳歌232598390非定向汉族普通文学院中国古代文学高益荣107187100070637闫丽230678776非定向汉族普通文学院中国古代文学高益荣107187100070633薛润梅216557190非定向汉族普通文学院中国古代文学高益荣107187100070629刘爽215637082非定向汉族普通文学院中国古代文学高益荣107187100070634范婷婷215586394非定向汉族普通文学院中国古代文学刘锋焘107187100070620郭明254819182非定向汉族普通文学院中国古代文学刘锋焘107187100070624吴致宁238718483非定向汉族普通文学院中国古代文学刘锋焘107187100070621闫赵玉221727673非定向汉族普通文学院中国古代文学刘锋焘107187100070625夏荣林215727667非定向汉族普通文学院中国古代文学刘锋焘107187100070623高云飞205507283非定向汉族普通文学院中国古代文学吴言生107187100070644马莉娜243588996定向汉族普通文学院中国古代文学张新科107187100070598李月辰247659290非定向汉族普通文学院中国古代文学张新科107187100070596袁方愚231638682非定向汉族普通文学院中国古代文学张新科107187100071293王艳丽220777172非定向汉族普通文学院中国古代文学张新科107187100070592邹朝斌208657865非定向汉族普通文学院中国古代文学张新科107187100070594原煜媛183546069非定向汉族普通文学院中国现当代文学李继凯107187100070697庞琦昕245619193非定向汉族普通文学院中国现当代文学李继凯107187100070694徐翔234658485定向汉族普通文学院中国现当代文学李继凯107187100070700杜睿223578680非定向汉族普通文学院中国现当代文学李继凯107187100070701吴艳223668572非定向汉族普通文学院中国现当代文学李继凯107187100070696宋秀娟215637775非定向汉族普通文学院中国现当代文学田刚107187100070705蔺晓珣249649293非定向汉族普通文学院中国现当代文学田刚107187100070711刘茸茸249659193非定向汉族普通文学院中国现当代文学田刚107187100070709吕惠静235658783非定向汉族普通文学院中国现当代文学田刚107187100070710王云凤230698081非定向汉族普通文学院中国现当代文学田刚107187100070708贾正209567677定向汉族普通文学院比较文学与世界文学李永平107187100070730乔现荣266838895定向汉族普通文学院比较文学与世界文学李永平107187100070747赵世昌251679094定向汉族普通文学院比较文学与世界文学李永平107187100070748惠菲菲248748490定向汉族普通文学院比较文学与世界文学李永平107187100070734王亚荣245818183定向汉族普通文学院比较文学与世界文学李永平107187100070742袁丽244768484非定向汉族普通外国语学院中国少数民族史王启龙107187100081181李洁201766362非定向汉族普通外国语学院跨语言文化研究贺俊杰107187100081299李晶晶249787695定向汉族普通外国语学院跨语言文化研究贺俊杰107187100081300贾锦瑛242808280非定向汉族普通外国语学院跨语言文化研究贺俊杰107187100081306席婧242738485非定向汉族普通外国语学院跨语言文化研究贺俊杰107187100080754黎璐228637293定向汉族普通外国语学院跨语言文化研究王文107187100081302伏健246838479非定向汉族普通外国语学院跨语言文化研究王文107187100081308郭荣237777981非定向汉族普通外国语学院跨语言文化研究王文107187100081307刘倩216727371非定向汉族普通外国语学院跨语言文化研究王文107187100081268杨关锋206458477定向汉族普通音乐学院课程与教学论张君仁107187100090385豆军红223577393定向汉族普通音乐学院课程与教学论张君仁107187100090382赵蓉199696565非定向汉族普通音乐学院课程与教学论张君仁107187100090375李秀明189547461定向汉族普通美术学院艺术文化史曹桂生107187100100786李天244549595非定向汉族普通美术学院艺术文化史曹桂生107187100100801魏亮亮225519084非定向汉族普通美术学院艺术文化史曹桂生107187100100788刘嘉欣204607668非定向汉族普通美术学院艺术文化史曹桂生107187100100779何靖202547474定向汉族普通美术学院艺术文化史高明107187100100661唐睿221647483定向汉族普通美术学院艺术文化史高明107187100100673李丽219668073定向汉族普通美术学院艺术文化史高明107187100100666李琼215568871定向汉族普通美术学院艺术文化史高明107187100101260杨燕214766474非定向汉族普通美术学院艺术文化史高明107187100100677李朝霞208636085定向汉族普通美术学院艺术文化史高明107187100100680李玉芹208507583非定向汉族普通美术学院艺术文化史胡玉康107187100100774刘飞245569594非定向汉族普通美术学院艺术文化史胡玉康107187100100761薛正206597176非定向汉族普通美术学院艺术文化史胡玉康107187100100765王会娟182586361非定向汉族普通西北历史环境与经济社会发展研究人口、资源与环境经济学郭剑雄107187100110846邓亚丽227608879定向汉族普通西北历史环境与经济社会发展研究人口、资源与环境经济学郭剑雄107187100110847路敏210618168定向汉族普通西北历史环境与经济社会发展研究中国史李令福107187100110821邱海文197607364非定向汉族普通西北历史环境与经济社会发展研究中国史刘景纯107187100110829冯晓多198477873非定向汉族普通西北历史环境与经济社会发展研究中国史刘景纯107187100110832许亮196637360非定向汉族普通西北历史环境与经济社会发展研究中国史张萍107187100110836张通185636260非定向汉族普通西北历史环境与经济社会发展研究中国史周宏伟107187100110840郭海183507063非定向汉族普通中国西部边疆研究院中国少数民族史马强107187100120852咸月忠196516481非定向回族普通中国西部边疆研究院中国少数民族史王欣107187100120854卜凯悦195476583非定向汉族普通中国西部边疆研究院中国少数民族史周伟洲107187100120858李鹏翔209557381非定向汉族普通中国西部边疆研究院中国少数民族史周伟洲107187100120857李锋195516084非定向汉族普通历史文化学院中国史艾冲107187100130896李雪峰240688092定向汉族普通历史文化学院中国史艾冲107187100130897郭鑫203526784非定向汉族普通历史文化学院中国史贾二强107187100130891翟兴龙232598588非定向汉族普通历史文化学院中国史贾二强107187100130887陈祎舒215638369非定向汉族普通历史文化学院中国史贾二强107187100130889方俊瑞205467683非定向汉族普通历史文化学院中国史贾二强107187100130890雷震193467968非定向汉族普通历史文化学院中国史介永强107187100130908陈国飞226618283非定向汉族普通历史文化学院中国史介永强107187100130903严可215507788非定向汉族普通历史文化学院中国史介永强107187100130904陈华伟214538180非定向汉族普通历史文化学院中国史介永强107187100130899高阳213568275非定向汉族普通历史文化学院中国史介永强107187100130905徐盛雷213796470定向汉族普通历史文化学院中国史王晖107187100130912刘梦扬250709486非定向回族普通历史文化学院中国史王晖107187100130915张巧巧238797089非定向汉族普通历史文化学院中国史王晖107187100130914杜垒垒206776762非定向汉族普通历史文化学院中国史王双怀107187100130919黄京210527385定向汉族普通历史文化学院中国史王双怀107187100130918屈蓉蓉208557182非定向汉族普通历史文化学院中国史王双怀107187100130920盖佳择207567477非定向汉族普通历史文化学院中国史王双怀107187100130921方健199517474非定向汉族普通历史文化学院中国史王双怀107187100131284岳鹏198626274非定向汉族普通历史文化学院中国史王玉华107187100130929陈恺248738590非定向汉族普通历史文化学院中国史王玉华107187100130933张荣杰239679181定向汉族普通历史文化学院中国史王玉华107187100130924荆玲玲212697370非定向汉族普通历史文化学院中国史王玉华107187100130928彭钰堰196517075非定向汉族普通历史文化学院中国史萧正洪107187100130845赵力扬191626564非定向汉族普通历史文化学院中国史周晓薇107187100130893李皓241668689非定向汉族普通历史文化学院世界史韩中义107187100130940李郁瑜225647784非定向汉族普通历史文化学院世界史胡舶107187100130950张盛楠254748892非定向汉族普通历史文化学院世界史胡舶107187100130952宋海群228598188非定向汉族普通历史文化学院世界史胡舶107187100130953岳恒219558282定向汉族普通历史文化学院世界史胡舶107187100130954张潇219528285非定向汉族普通历史文化学院世界史李化成107187100130955姚娜娜253799183定向汉族普通历史文化学院世界史李化成107187100130956石昀峰226678772非定向汉族普通历史文化学院世界史王成军107187100130942杜红艳245639389非定向汉族普通历史文化学院世界史王成军107187100130943邢欣欣233697787定向汉族普通历史文化学院世界史王成军107187100130945张建斌229558787定向汉族普通历史文化学院世界史王成军107187100130948苗岩春206628064非定向汉族普通历史文化学院世界史王成军107187100130946史晓文200538265定向汉族普通数学与信息科学学院课程与教学论黄秦安107187100140358黄晓林222637188非定向汉族普通数学与信息科学学院基础数学赵彬107187100141161刘慧253619696非定向汉族普通数学与信息科学学院基础数学赵彬107187100141160吴涛237579090非定向汉族普通数学与信息科学学院应用数学曹怀信107187100140970张程泱243599292非定向汉族普通数学与信息科学学院应用数学吴保卫107187100140968冯甜266709898非定向汉族普通物理学与信息技术学院凝聚态物理尹峰107187100150976王婷241718288非定向汉族普通物理学与信息技术学院声学贺西平107187100150978汪彦军239578894非定向汉族普通物理学与信息技术学院光学王勇刚107187100150972王江180456570非定向汉族普通物理学与信息技术学院光学郑海荣107187100150973张成云212568868非定向汉族普通化学化工学院课程与教学论周青107187100160363濮江227597494非定向汉族普通化学化工学院无机化学白俊峰107187100160981张宗辉244638695非定向汉族普通化学化工学院无机化学高子伟107187100160985张刊216478188非定向汉族普通化学化工学院无机化学翟全国107187100160984卜海艳226657190非定向汉族普通化学化工学院分析化学张成孝107187100160989杨小林235538894非定向汉族普通化学化工学院有机化学徐利文107187100160992陈丽209656183非定向汉族普通化学化工学院有机化学张生勇107187100160990刘爱云213567582非定向汉族普通化学化工学院物理化学肖建良107187100160996刘宇轩243569493非定向汉族普通化学化工学院高分子化学与物理杨鹏107187100160979王方略241648988非定向汉族普通旅游与环境学院自然地理学段克勤107187100171013王飞宇258689595非定向汉族普通旅游与环境学院自然地理学段克勤107187100170999梁爱民245639290非定向汉族普通旅游与环境学院自然地理学段克勤107187100171000邵康197577565非定向汉族普通旅游与环境学院自然地理学段克勤107187100171002刘建宙195597561非定向汉族普通旅游与环境学院自然地理学庞奖励107187100171003王海燕245609095非定向汉族普通旅游与环境学院自然地理学庞奖励107187100171006何晋娜240708387定向汉族普通旅游与环境学院自然地理学庞奖励107187100171009王娜239568895非定向汉族普通旅游与环境学院人文地理学陈瑛107187100171020韩佳祥233589283非定向汉族普通旅游与环境学院人文地理学陈瑛107187100171022黄驰233559286定向汉族普通旅游与环境学院人文地理学陈瑛107187100171021赵蕊211558571非定向汉族普通旅游与环境学院人文地理学陈瑛107187100171019李航193516973非定向汉族普通旅游与环境学院人文地理学薛东前107187100171029董朝阳242708686非定向汉族普通旅游与环境学院人文地理学薛东前107187100171024樊婷224459089非定向汉族普通旅游与环境学院人文地理学薛东前107187100171025刘心宇209507980非定向汉族普通旅游与环境学院人文地理学薛东前107187100171023王静206478970非定向汉族普通旅游与环境学院人文地理学延军平107187100171038李旭谱232628486非定向汉族普通旅游与环境学院人文地理学延军平107187100171031武晓英224568484定向汉族普通旅游与环境学院人文地理学延军平107187100171037王志伟207578466非定向汉族普通旅游与环境学院地图学与地理信息系统孙九林107187100171045尚珂235539092非定向汉族普通旅游与环境学院地图学与地理信息系统孙九林107187100171046家淑珍230618188定向汉族普通旅游与环境学院地图学与地理信息系统孙九林107187100171047张晓艳209586289非定向汉族普通旅游与环境学院地图学与地理信息系统孙九林107187100171044王凤娇208576091定向汉族普通旅游与环境学院区域环境学卢新卫107187100171014石栋奇266809393非定向汉族普通旅游与环境学院区域环境学卢新卫107187100171017代燕233628487定向汉族普通旅游与环境学院国土资源学曹小曙107187100171032吕敏娟229697783非定向汉族普通旅游与环境学院旅游管理吴晋峰107187100171056吴宝清221539276非定向汉族普通旅游与环境学院旅游管理吴晋峰107187100171057赵敏216677178非定向汉族普通旅游与环境学院旅游管理吴晋峰107187100171055刘智兴214557584非定向汉族普通旅游与环境学院旅游管理吴晋峰107187100171052师永强208597376定向汉族普通旅游与环境学院旅游管理吴晋峰107187100171076闫敏194546179定向汉族普通旅游与环境学院旅游管理赵振斌107187100171060李小永223746683非定向汉族普通旅游与环境学院旅游管理赵振斌107187100171058侯晓飞219687180定向汉族普通旅游与环境学院旅游管理赵振斌107187100171063李丹丹212746870非定向汉族普通旅游与环境学院旅游管理赵振斌107187100171059邓勇勇208676873定向汉族普通旅游与环境学院旅游管理赵振斌107187100171061叶洋洋201606774非定向汉族普通生命科学学院动物学黄原107187100181084常会会251659195非定向汉族普通生命科学学院动物学黄原107187100181083张伟239609188非定向汉族普通生命科学学院生理学安书成107187100181087张静209587180非定向汉族普通生命科学学院生理学邰发道107187100181090阳秀英227578783非定向汉族普通生命科学学院生理学邰发道107187100181089李来福207617076定向汉族普通生命科学学院神经生物学马新明107187100181092谭支内245698591非定向汉族普通生命科学学院神经生物学马新明107187100181093常远221658175非定向汉族普通生命科学学院发育生物学肖辉107187100181099史晨霞214637972非定向汉族普通生命科学学院细胞生物学肖辉107187100181103高宁218637976非定向汉族普通生命科学学院细胞生物学肖辉107187100181104何莹213707172非定向汉族普通生命科学学院生物信息学黄华腾107187100181250丁颖217478189非定向汉族普通生命科学学院生物信息学许升全107187100181249祖超256649795非定向汉族普通生命科学学院生物信息学许升全107187100181251王明钊234588393非定向汉族普通生命科学学院生态学尤平107187100181098陈晓宁241668293定向汉族普通生命科学学院生态学朱志红107187100181096解宝225588780定向汉族普通食品工程与营养科学学院食品化学李建科107187100191107丁勇243678987定向汉族普通食品工程与营养科学学院食品化学李建科107187100191105陈文超213617775非定向汉族普通食品工程与营养科学学院食品化学李建科107187100191110李丹213688065非定向汉族普通食品工程与营养科学学院食品化学李建科107187100191111刘佳荣188458063非定向汉族普通食品工程与营养科学学院食品化学杨兴斌107187100191114杜海平213538575非定向汉族普通食品工程与营养科学学院食品化学张有林107187100191116张玉锋232628486定向汉族普通计算机科学学院计算机软件与理论曹菡107187100201126王磊195516876定向汉族普通计算机科学学院计算机软件与理论郭敏107187100201125吕琼帅233548792非定向汉族普通计算机科学学院计算机软件与理论郭敏107187100201124曾梦璐216637083非定向汉族普通计算机科学学院计算机软件与理论李永明107187100201118杨超240539097非定向汉族普通计算机科学学院计算机软件与理论吴晓军107187100201123胡学伟232627595非定向汉族普通材料科学与工程学院材料物理与化学安忠维107187100231141周朋娟209597773非定向汉族普通材料科学与工程学院材料学刘生忠107187100231145张璐234717390定向汉族普通材料科学与工程学院材料学刘生忠107187100231147刘渝城233618290非定向汉族普通材料科学与工程学院材料学刘生忠107187100231148王康216556893非定向汉族普通材料科学与工程学院材料学杨祖培107187100231151乔笑爽207567675非定向汉族普通材料科学与工程学院历史文化遗产保护与工程李玉虎107187100231143祁赟鹏225468693非定向汉族普通材料科学与工程学院历史文化遗产保护与工程李玉虎107187100231144程秀花191616367定向汉族普通心理学院基础心理学王勇慧107187100241205张保强219548481非定向汉族普通心理学院基础心理学王勇慧107187100241206赵楠215686978非定向汉族普通心理学院基础心理学王勇慧107187100241204安龙208628363定向汉族普通心理学院基础心理学王勇慧107187100241208吴静197597662非定向汉族普通心理学院基础心理学王勇慧107187100241207苏波波195567960非定向汉族普通心理学院基础心理学杨剑峰107187100241211张瑞227628481非定向汉族普通心理学院发展与教育心理学王振宏107187100241221邢婉莹221568085非定向汉族普通心理学院发展与教育心理学王振宏107187100241222彭源213747465非定向汉族普通心理学院发展与教育心理学王振宏107187100241219席佩玲191676262非定向汉族普通心理学院发展与教育心理学张丽锦107187100241240刘晓婷236578990非定向汉族普通心理学院航空航天心理学游旭群107187100241154李晨麟216637974非定向汉族普通心理学院航空航天心理学游旭群107187100241153王若竹199716761定向汉族普通心理学院航空航天心理学游旭群107187100241156曾祥思198637560非定向汉族普通现代教学技术教育部重点实验室科学教育学胡卫平107187100251174王红艳242638990定向汉族普通现代教学技术教育部重点实验室科学教育学胡卫平107187100251173燕梅239668984定向汉族普通现代教学技术教育部重点实验室科学教育学胡卫平107187100251176刘翠222518685定向汉族普通现代教学技术教育部重点实验室科学教育学胡卫平107187100251172祝传鹏219618276定向汉族普通现代教学技术教育部重点实验室科学教育学胡卫平107187100251171郭威212577976定向汉族普通现代教学技术教育部重点实验室发展与教育心理学胡卫平107187100251165王雪微245659090非定向汉族普通现代教学技术教育部重点实验室发展与教育心理学胡卫平107187100251169乔瑞243718686定向汉族普通现代教学技术教育部重点实验室发展与教育心理学胡卫平107187100251170文静235718084非定向汉族普通现代教学技术教育部重点实验室发展与教育心理学胡卫平107187100251166丁然233728675非定向汉族普通现代教学技术教育部重点实验室发展与教育心理学胡卫平107187100251168高小雨231668580非定向汉族普通现代教学技术教育部重点实验室神经生物学张遐107187100251094刁志君244658693非定向汉族普通教育实验经济研究所实验经济学Scott Roze107187100271183李珊珊266799493非定向汉族普通教育实验经济研究所实验经济学Scott Roze107187100271184贾芳241728881非定向汉族普通教育实验经济研究所实验经济学Scott Roze107187100271182赵锦235628390非定向汉族普通教育实验经济研究所实验经济学张林秀107187100271188邢俊升186517065定向汉族普通西北濒危药材资源开发国家工程实植物学王喆之107187100291245胡苏莹243589194非定向汉族普通西北濒危药材资源开发国家工程实植物学王喆之107187100291244李川231598884非定向汉族普通西北濒危药材资源开发国家工程实植物学王喆之107187100291246唐文文204508470非定向汉族普通“一带一路”建设与中亚研究协同创新世界史黄达远107187100301294赵静281939395非定向汉族普通世界史李琪107187100300958邢立涛240599091非定向汉族普通“一带一路”建设与中亚研究协同创新“一带一路”建设与中亚研究协同创新世界史李琪107187100301295崔悦232888361非定向汉族普通政治经济学院马克思主义基本原理袁祖社107187100010051刘华清206676871定向苗族少干政治经济学院马克思主义发展史阎树群107187100010092关翠玲233578888定向满族少干政治经济学院马克思主义发展史阎树群107187100010093张启龙186646260定向土家族少干政治经济学院思想政治教育王涛107187100010121马喜宁201507774定向回族少干政治经济学院中国近现代史基本问题研究王晓荣107187100010097成正兴205566881定向土族少干政治经济学院社会发展与制度文明段塔丽107187100010098单昕190497170定向汉族少干国际商学院国民经济学雷宏振107187100020223刘如210687072定向回族少干教育学院教育学原理王庭照107187100030235张琪179406574定向蒙古族少干。
陕西师范大学研究生硕博连读管理办法(2008年4月修订)为提高我校博士研究生培养质量,根据教育部有关文件精神,结合我校实际情况,决定在我校具有博士授予权的学科内试行硕士和博士连续培养(简称硕博连读)制度。
兹制定试行办法如下:一、硕博连读的原则1、申请我校硕博连读的硕士生应是全日制研究生(定向、委托培养研究生或在职研究生须得到原单位同意后才能参加硕博连读的选拔)。
2、申请硕博连读的硕士生原则上应在所在一级学科内选择专业,并需在录取前修完所报专业的硕士学位课程。
若具备特殊才能者,经专家考核认可,可不受专业限制。
3、每个博士点原则上每年只能接收1~2名硕博连读的硕士生。
4、凡招收硕博连读生的导师,需承担学校《研究生培养机制改革试行方案》所规定的2倍的培养资助费。
二、硕博连读的条件1、德、智、体全面发展,品行优良,学风严谨,身体健康。
2、按培养计划修完全部硕士生课程,取得规定的学分,课程平均成绩在本专业同年级硕士生中的前25%内,通过国家大学英语四级考试(450分以上)或研究生学位英语成绩在70分以上。
3、中期考核筛选优良。
4、有较强的创新精神和科研能力,在硕士学习期间业务上表现突出,有培养前途。
三、申请硕博连读的手续1、符合以上条件的硕士研究生在第四学期的中期考核筛选后即每年的4月底前,由本人提出申请,并填写《陕西师范大学硕博连读申请表》。
2、经导师和有关专家推荐(1-2名同专业研究生指导教师),所报专业的博士生指导教师以书面方式同意并对本人义务作出承诺后,由院(系、中心)主管院长及该学科导师组(一般不少于5人)成员组成的小组对研究生的思想表现、学风、态度和科研能力等方面进行综合考核,提出推荐名单和意见,报研究生部审核。
3、研究生部对推荐的硕博连读生的材料和结果进行审核,公示3天,报主管校长审批。
四、办理硕博连读的时间1、申请硕博连读的研究生于第四学期4月30前在研究生教育网上下载申请表格。
2、按照申请、推荐和审批程序,学校于每年6月中旬公布本年度获准录取为硕博连读生的人员名单。
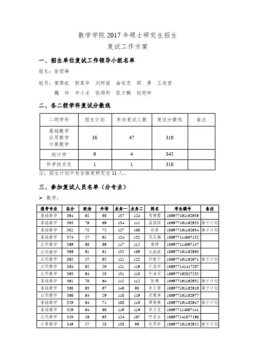
数学学院2017年硕士研究生招生复试工作方案一、招生单位复试工作领导小组名单组长:徐哲峰组员:窦霁虹郭真华刘阿丽曲安京邵勇王连堂魏玲辛小龙张顺利张文鹏赵宪钟二、各二级学科复试分数线二级学科招生计划参加复试人数复试分数线备注基础数学38 47 310应用数学计算数学统计学9 4 345 科学技术史 1 1 310注:招生计划中包含推免研究生11人。
三、参加复试人员名单(分专业)数学:报考专业总分政治外语业务一业务二姓名考生编号备注基础数学394 65 68 137 124 贺建霞106977161162939 基础数学393 79 69 134 111 孟园园106977161162933 储才计划基础数学382 72 75 127 108 赵茜106977161162934 储才计划基础数学374 57 61 124 132 吴亚楠106977114067132 应用数学369 68 69 117 115 康婷106977114097147 应用数学366 61 61 135 109 史妮妮106977161162963 应用数学365 57 65 121 122 卯路宁106977161162971 储才计划应用数学364 65 59 121 119 于浩洋106977141417207 应用数学363 64 58 131 110 牛海灵106977162027232 基础数学361 70 64 115 112 张穗106977161162935 储才计划基础数学360 63 67 140 90 朱立蓉106977161162919 储才计划应用数学360 64 59 118 119 沈慧津106977161162977 基础数学359 64 71 108 116 谭琳琳106977161162947 储才计划基础数学359 64 60 119 116 李卫龙106977114097141 应用数学350 56 63 124 107 呼星汝106977141077190 计算数学349 57 58 138 96 孙苏珍106977161162955 储才计划基础数学348 54 58 144 92 种鸽子106977161162925 基础数学347 63 64 130 90 陶陶106977161162920 基础数学341 58 63 120 100 侯婕106977161162924 应用数学341 55 66 97 123 李研研106977141147193 基础数学340 60 56 111 113 黄琪106977114097153 基础数学338 64 55 99 120 闫梦姣106977141067189 基础数学336 69 49 108 110 吕星星106977161162940 储才计划计算数学336 52 56 118 110 李文斌106977141337198 应用数学336 56 59 113 108 孔晓静106977114157166 基础数学335 65 74 94 102 杨莹106977141237197 应用数学335 67 58 106 104 张丽娟106977114097138 计算数学333 59 58 106 110 梁嘉怡106977161437224 应用数学333 51 46 136 100 李柯瑶106977161162969 基础数学329 54 67 108 100 张露106977161162928 基础数学329 57 57 113 102 蒋春桃106977114127161 应用数学329 57 71 105 96 张艺雪106977114207174 基础数学328 51 61 110 106 尹娇娇106977114097150 应用数学326 59 60 82 125 寻鑫106977161162973 基础数学324 67 56 92 109 冯丽琴106977114207177 计算数学324 53 49 138 84 高樊106977161162951 储才计划基础数学321 57 57 103 104 丁志慧106977114097140 基础数学320 56 53 98 113 刘豪106977141157194 计算数学320 63 58 120 79 李乾坤106977137137183 基础数学318 57 59 90 112 高雯106977161162914 应用数学318 74 64 80 100 朱欢106977161437226 基础数学316 60 60 107 89 胡洁106977141237195 应用数学316 64 42 105 105 景伟强106977161162961 基础数学315 65 54 90 106 孔倩106977161162931 应用数学315 54 51 97 113 谷芳106977141137192 计算数学314 63 59 98 94 孙云霞106977162027231 基础数学313 57 59 91 106 刘瑾106977161162942 统计学报考专业总分政治外语业务一业务二姓名考生编号备注统计学402 62 71 140 129 皮林106977161162988 储才计划统计学382 63 64 138 117 史佩申106977161162989 储才计划统计学375 68 55 136 116 万超106977161162990 储才计划统计学347 63 68 102 114 李博106977161162986 储才计划 科学技术史报考专业总分政治外语业务一业务二姓名考生编号备注科学技术史325 57 58 80 130 刘铭106977161162993四、复试工作流程及原则严格按照学校要求,制定复试工作方案,按照复试工作时间表有条不紊进行。
2010年陕西师范大学硕士研究生招生复试录取办法2010年硕士研究生招生复试录取办法作者:佚名文章来源:本站原创点击数:32752 更新时间:2010-3-31____________________________________________________________________________复试是硕士研究生招生工作中进一步考察考生综合素质和能力的重要环节,是保证生源质量的关键环节,是录取工作的重要依据。
根据教育部和陕西省招生委员会关于硕士研究生复试录取的相关文件精神,为了完善复试录取规则,规范复试录取程序,充分体现公平性、公正性和有效性,严格执行国家招生政策和规定,维护研究生招生工作的良好信誉,不断提高复试质量,促进我校研究生教育事业健康持续协调发展,特制定本办法。
一、复试录取、督查工作领导小组学校成立以主管校长为组长、纪委书记为副组长的复试录取工作领导小组,复试录取工作领导小组成员包括研究生部主任、副主任、纪委监察处负责人、各招生单位主管研究生工作的领导。
复试录取工作领导小组根据教育部规定负责制订学校研究生招生复试录取的工作办法、程序,组织开展学校研究生复试录取的各项工作以及监督、检查复试程序的执行情况等。
各招生单位成立以主管研究生工作的院长为组长的复试录取工作小组,组长要对本单位的复试录取工作全面负责。
研招办工作人员负责具体工作。
二、参加复试考生名单的确定原则学校根据各招生专业初试情况等有关因素,将招生指标按专业分至各单位。
复试名额按简章招生指标130%左右的范围确定,实行差额复试;由于艺术学、美术学、设计艺术学三个专业在初试时未进行术科考试,根据美术学院的申请,学校同意美术学院各专业的复试人数按招生指标200%以内的范围确定。
复试名单根据复试名额从上线考生中按初试总成绩从高到低的顺序确定。
每个招生单位应成立各学科专业的复试小组,每个复试小组最少由5人组成,包括复试小组组长和不少于4名导师,复试小组组长要对复试成绩负责。
2012年各院系博士研究生复试安排001政治经济学院2012年博士生复试安排一、跨专业加试时间:3月26日上午8:00~12:00地点:长安校区文澜楼一层政经院会议室中国哲学专业加试科目:1、中国哲学史2、西方哲学史国外马克思主义研究专业加试科目:1、马克思主义哲学原理2、马克思主义原著选读思想政治教育专业加试科目:1、马克思主义经典著作2、中国特色社会主义理论二、专业、外语面试002国际商学院2012年博士生复试安排时间:2010年3月26日8:30—12:00,14:00—18:00地点:陕西师范大学长安校区商学院大楼1326复试内容:英语、专业知识、科研能力及综合素质等国际商学院2012年博士研究生复试程序3月26日8:30 专业面试开始3月26日8:30 英语口语、听力等方面能力测试地点:商学院大楼小会议室3月26日9:00 同等学历、跨专业计量经济学考试(2小时)地点:商学院大楼13293月26日11:00 同等学历、跨专业专业课考试(2小时)地点: 商学院大楼1329003教育学院2012年博士研究生复试安排教育学原理、教育史专业:复试时间: 2012年3月25日 14:30——18:00 19:00——21:00复试地点:陕西师范大学雁塔校区田家炳教育书院5层多功能报告厅复试内容:教育学相关理论及教育热点问题分析评价及英语口语面试课程与教学论专业:复试时间: 2012年3月25日 14:30——18:00 19:00——21:00复试地点:陕西师范大学雁塔校区田家炳教育书院5层多功能报告厅复试内容:课程与教学论相关理论、教育热点问题分析评价及英语口语面试跨专业加试科目:教育学原理(含教育哲学)、中外教育史教育博士:复试时间:2012年3月26日下午14:30——18:00复试地点:陕西师范大学雁塔校区田家炳教育书院一层图书资料室复试内容:教育学及教育管理学相关理论、教育热点问题分析评价及英语口语面试004新闻与传播学院2012年博士复试安排复试时间: 2012年3月25日下午 2:30;复试地点:逸夫科技信息楼三层会议室;复试内容:1、专业综合面试 2、外语听力面试006体育学院2012年博士研究生复试安排专业:运动生物学研究方向:运动改善心脏、血管功能的基础与应用研究时间、地点:2012年3月26号下午14:30,体育学院运动人体科学展厅复试内容:1.专业英语阅读与翻译,听力测试2.专业知识与能力口试(含理论与实验技术)3.科学研究的计划与思路体育学院2012年招收攻读博士学位研究生入学考试复试计划复试程序1. 介绍学校关于2012年博士研究生复试录取办法和研究生学费标准与培养费标准2. 英文自我介绍,听力测试,专业英文阅读与口译3. 复试小组老师提问关于专业理论知识、实验技术掌握程度和本学科进展动态掌握情况4. 陈述博士论文的思路和想法5. 介绍专业以外知识以及特长和兴趣。
华慧考博—考博高端品牌华慧网第1页共1页陕西师范大学2019年博士研究生考博成绩查询及复查通知
华慧考博频道将第一时间发布各招生单位2019年博士研究生招生考试、考博初试成绩、考博复试录取分数绩、及考博拟录取名单等博士招考信息及内容,请考博考生密切关注。
更多考博备考资料及考博真题请收藏华慧考博频道。
各位考生:
现将我校2019年博士研究生招生考试普通招考外国语水平测试成绩予以公布,并就相关事宜通知如下:一、成绩查询
2019年我校通过中国研究生招生信息网向考生公布外国语水平测试成绩,请各位考生登录
https:///bsbm/cjcx/进行查询,查询时间为2019年4月16日—4月30日。
二、成绩复查
考生成绩在公布前学校已经组织人员进行过严格复核。
若对考试成绩确有异议者,可按以下要求申请复查。
1.申请时间:4月16-17日(上午8:30—11:30,下午3:00—5:00),逾期不再受理。
2.考生在上述时间内,填写《2019年博士研究生招生考试初试成绩复查申请表》(见附件),并将填写好的申请表在规定时间内送至(可委托他人)研究生招生办公室(长安校区文汇楼A 段5层509室)。
3.学校接受申请后将组织专人复核,考生本人不得查阅试卷。
成绩复核只检查卷面是否漏批、加错分、错登分等。
复查结果有问题的考生,研招办将于4月18日跟考生本人联系,没有问题的考生不再通知。
想看更多考博资料、技巧
扫描二维码添加好友
备注:华慧考博。
录取学院录取专业考生编号姓名总分复试成绩总成绩政治经济学院中国哲学107185100001013高明2158980.33政治经济学院马克思主义基本原理107185100011499张钰19480.3380.33政治经济学院马克思主义基本原理107185100012543杨颖20076.2876.28政治经济学院马克思主义发展史107185100001031朱雪平2208478.67政治经济学院马克思主义发展史107185100001033徐晨2378582政治经济学院马克思主义中国化研究107185100001044郭婷2348782.5国际商学院政治经济学107185100002128王敏2098376.3国际商学院政治经济学107185100002129李蓓蓓18686.274.1国际商学院世界经济107185100002118惠宁20186.876.9国际商学院人口、资源与环境经济学107185100002127张小筠2018576国际商学院人口、资源与环境经济学107185100017675焦贝贝20278.678.6国际商学院国民经济学107185100017666张军谋22581.4481.44国际商学院国民经济学107185100002130李芸19184.273.9教育学院教育学原理107185100003132雒强2068576.83教育学院教育学原理107185100024838敖勇前22983.4283.42教育学院课程与教学论107185100003186原昉25388.286.27教育学院教育史107185100003157樊红蕾2059581.67教育学院教育史107185100003190朱江华21382.8782.87教育学院教育管理学107185100003161王朝2328782.17教育学院学校课程与教学107185100003171袁智斌2018877.5教育学院学校课程与教学107185100003932张莉莉083.2583.25教育学院学校课程与教学107185100003933郑权08484教育学院教育领导与管理107185100003172王一喆2148980.17教育学院教育领导与管理107185100003185张鹤2069280.33教育学院教育领导与管理107185100003934张根健082.7582.75教育学院教育技术学107185100003286秦瑾若2489488.33教育学院教育技术学107185100003293徐春华2349285教育学院教育技术学107185100003288刘斌24890.686.63教育学院教育技术学107185100003285王国华21784.6484.64新闻与传播学院媒介与社会变迁107185100004263薛龙23289.883.57新闻与传播学院文艺与文化传播学107185100004247成越洋2279082.83体育学院课程与教学论107185100006213侯颖2167975.5体育学院运动生物学107185100006302王冠栋20967.468.53文学院文艺学107185100007304曲经纬2199785文学院语言学及应用语言学107185100007324张欲晓24290.685.63文学院汉语言文字学107185100007339谭治琪19092.677.97文学院汉语言文字学107185100007321黄耀明20589.879.07文学院中国古典文献学107185100007346马维娜2209081.67文学院中国古典文献学107185100007347高文智2229484文学院中国古代文学107185100007356张劲锋2309083.33文学院中国古代文学107185100007368毛蕊2339485.83文学院中国古代文学107185100007372韩团结2268580.17文学院中国古代文学107185100007379郭发喜2429185.83文学院中国古代文学107185100007388姜卓2139281.5文学院中国古代文学107185100007390赵莎莎2329485.67文学院中国古代文学107185100007396李亚丽2379587文学院中国古代文学107185100007404丁良艳2478483.17文学院中国现当代文学107185100007445冯超2489086.33文学院中国现当代文学107185100007449张延国2189382.83文学院中国现当代文学107185100007454席东2639088.83外国语学院跨语言文化研究107185100008892王春兰24993.388.15外国语学院跨语言文化研究107185100008469李雨璇2429487.33外国语学院跨语言文化研究107185100008880操林英21794.683.47音乐学院课程与教学论107185100009897牛珺24492.486.9美术学院艺术文化史107185100010475王秀丽2519086.83美术学院艺术文化史107185100010430程玉萍2399185.33美术学院艺术文化史107185100010900程之希2219081.83西北历史环境与经济社会发展研究院人口、资源与环境经济学107185100011509高小明22786.881.2西北历史环境与经济社会发展研究院人口、资源与环境经济学107185100011508乔娜2188578.8西北历史环境与经济社会发展研究院中国史107185100011486王静19880.573.3西北历史环境与经济社会发展研究院中国史107185100011498吕强20879.574.4西北历史环境与经济社会发展研究院中国史107185100011501裴欣2258680.5西北历史环境与经济社会发展研究院中国史107185100011500罗聪21887.380西北历史环境与经济社会发展研究院中国史107185100011504白茹冰19179.871.7中国西部边疆研究院中国少数民族史107185100012515刘烨2267776.17中国西部边疆研究院中国少数民族史107185100012517潘璇21375.1375.13中国西部边疆研究院中国少数民族史107185100012527张建勋21083.8676.93中国西部边疆研究院中国少数民族史107185100012528初阔林23585.8682.1中国西部边疆研究院中国少数民族史107185100012529焦景丹22179.3379.33中国西部边疆研究院中国少数民族史107185100012531王丹2247976.83中国西部边疆研究院中国少数民族史107185100012533李洁21987.1187.11中国西部边疆研究院中国少数民族史107185100012534李晓幸20582.2882.28历史文化学院中国史107185100013548谷朝旭20690.9379.8历史文化学院中国史107185100013551杨洪涛22792.8784.27历史文化学院中国史107185100013552刘森垚22380.1180.11历史文化学院中国史107185100013560刘锦增24884.8783.77历史文化学院中国史107185100013566梁力21180.5375.43历史文化学院中国史107185100013567黄明磊2099079.83历史文化学院中国史107185100013569潘婧2299183.67历史文化学院中国史107185100013575梁克敏23184.2780.64历史文化学院中国史107185100013584汪红娟20387.877.73历史文化学院世界史107185100013592高延玲24693.887.9历史文化学院世界史107185100013594高进孝23585.481.87历史文化学院世界史107185100013597杜军24981.7881.78数学与信息科学学院课程与教学论107185100014219王允1958575数学与信息科学学院基础数学107185100014794鲁静23393.585.58数学与信息科学学院基础数学107185100014797夏常春24587.584.58数学与信息科学学院基础数学107185100014799张福刚21787.880.07数学与信息科学学院计算数学107185100014601李畅通19787.876.73数学与信息科学学院应用数学107185100014604李长涛23687.583.08物理学与信息技术学院理论物理107185100015609李雁鹏2218478.8物理学与信息技术学院理论物理107185100015606王驰2178880.2物理学与信息技术学院凝聚态物理107185100015613刘茜茹2418582.7物理学与信息技术学院声学107185100015615张鹏利2048476物理学与信息技术学院声学107185100015807李娜2288580.5物理学与信息技术学院光学107185100015608于术娟2238780.7物理学与信息技术学院生物物理学107185100015616张蕾2258680.5化学化工学院课程与教学论107185100016228闫生忠1909679.67化学化工学院无机化学107185100016622杨明明2278680.83化学化工学院无机化学107185100016624许镭2278881.83化学化工学院无机化学107185100016623高霞2338782.33化学化工学院分析化学107185100016626段慧玲22989.2582.79化学化工学院分析化学107185100016629孙月莹2289284化学化工学院分析化学107185100016630李婧2309183.83化学化工学院有机化学107185100016633曹洋2088376.17化学化工学院有机化学107185100016634祖瑜佳2439588化学化工学院有机化学107185100016635张娅玲2199182化学化工学院高分子化学与物理107185100016620李琛2369787.83化学化工学院应用化学107185100016641肖勇山2378984旅游与环境学院自然地理学107185100017642王兆夺19081.272.27旅游与环境学院自然地理学107185100017644毛沛妮21389.480.2旅游与环境学院自然地理学107185100017692高文兰22079.676.47旅游与环境学院人文地理学107185100017665王云21177.473.87旅游与环境学院人文地理学107185100017687王鹏涛24193.286.77旅游与环境学院人文地理学107185100017668王剑21377.4477.44旅游与环境学院人文地理学107185100017670高尚23094.885.73旅游与环境学院人文地理学107185100017682马卫23491.484.7旅游与环境学院地图学与地理信息系统107185100017695段艺芳2078275.5旅游与环境学院区域环境学107185100019754武永福20589.879.1旅游与环境学院旅游管理107185100017689丁贵金19377.1177.11旅游与环境学院旅游管理107185100017716周靖超23290.283.77旅游与环境学院旅游管理107185100017712张建荣2159181.33生命科学学院动物学107185100018721杨超20285.776.52生命科学学院动物学107185100018726郝志强23882.380.82生命科学学院生理学107185100018745贺志雄19180.271.94生命科学学院水生生物学107185100018735张聘21480.475.87生命科学学院微生物学107185100018742常帆23181.279.1生命科学学院发育生物学107185100018743张娟娟23575.376.82生命科学学院细胞生物学107185100018747何慧敏2628586.17生命科学学院生态学107185100018741解雷20475.871.9食品工程与营养科学学院食品化学107185100019752张溪桐20891.780.5食品工程与营养科学学院食品化学107185100019755王静21383.877.4食品工程与营养科学学院植物学107185100019858王立霞22690.883.1计算机科学学院计算机软件与理论107185100020765赵一25891.2588.63计算机科学学院计算机软件与理论107185100020767王磊24288.3884.52宗教研究中心宗教学107185100022772韩瑞22485.8580.23材料科学与工程学院材料学107185100023782张豆豆2319284.5材料科学与工程学院材料学107185100023783冯江山21585.978.78材料科学与工程学院材料学107185100015612赵旭梅22393.293.2材料科学与工程学院材料学107185100023789王悦21689.180.55材料科学与工程学院材料学107185100023786毛娜17687.287.2心理学院基础心理学107185100024825周晨琛2239082.17心理学院基础心理学107185100024847刘佳2419587.67心理学院基础心理学107185100024829王永春2129080.33心理学院基础心理学107185100024852朱金卫2099280.83心理学院发展与教育心理学107185100024841梁渊2089079.67心理学院航空航天心理学107185100024792李苑2099280.83现代教学技术教育部重点实验室科学教育学107185100025804首新2339184.33现代教学技术教育部重点实验室发展与教育心理学107185100025800张睆2229584.5现代教学技术教育部重点实验室发展与教育心理学107185100025801季皓洁1988073现代教学技术教育部重点实验室神经生物学107185100025733范卡敏2418582.67教育实验经济研究所人口、资源与环境经济学107185100027809李莉莉2208580教育实验经济研究所人口、资源与环境经济学107185100027811高秋风2528886教育实验经济研究所人口、资源与环境经济学107185100027814高屾2509087高等教育研究与评估中心高等教育学107185100028819田虎2399185.3西北濒危药材资源开发国家工程实验室植物学107185100029859刘元初2308279.3。
陕西师范大学教育学院考博信息汇总【海翔智库独家提供】2016年教育学院学术型博士招生信息汇总学术型博士采用普通招考,实际录取5人,招生专业目录如下:带“*”号的导师仅限招收少数民族高层次骨干人才计划博士研究生。
学术型博士考试的有关内容参考2017年的有关通知;2016年教育博士招生人数为6人,实际录取人数7人,招生专业有学学校课程与教学等。
教育博士招生采用申请——审核制度,具体信息请查阅(陕西师范大学2016年“申请-考核”制博士生招生工作办法)/index.php?m=content&c=index&a=show&catid=30&id= 3702017年教育学院学术型博士招生信息简介教育学院拟招生6人,其中1人为硕博连读,实际招生人数为5人。
教育学院博士招生实行普通招考。
招生专业目录带“*”号的导师仅限招收少数民族高层次骨干人才计划博士研究生。
带◇的导师同时依托教师教育协同创新中心招收研究生。
初试均为笔试,考试时间3小时①政治理论课(同等学力考生必考)②外国语(不含听力)③业务课2门(详见招生专业目录)复试复试名单确定原则学校根据各招生专业的初试情况,确定初试最低控制基准分数线(见下表),同专业每位导师名下的上线考生,按初试总成绩排位前5的进入复试(教育博士和各类专项计划考生除外),复试未被录取以及未进复试的上线考生可在其所报专业相近学科内申请校内调剂(具体缺额信息可咨询相关学院),并按相关要求进行调剂复试。
复试主要内容1、综合素质考核和心理健康测评:其中综合素质考核包括思想政治素质和品德考核,主要内容包括考生的政治态度、思想表现、学习(工作)态度、道德品质、遵纪守法、诚实守信等方面。
综合素质考核及心理健康测评由复试小组以提问、材料审查等形式进行考察,给出合格或不合格的结论。
不合格考生不得进入专业复试。
2、专业知识考查评分(含外语听力及口语):满分50分。
根据专业要求,考察考生对本学科(专业)理论知识和应用技能掌握程度、利用所学理论知识发现、分析解决问题的能力、对本学科发展动态的了解以及是否具备博士生培养的潜质。
③“1023”计划考生复试工作由研究生招生办公室负责,复试安排另行通知。
三、复试方式
为科学、公平、公正地进行博士生招生考试的复试和录取,我校采取复试成绩量化的方式,对考生进行综合复试。
复试开始前,各专业复试工作小组成员应充分讨论评分标准。
复试成绩一旦确定不得改动。
1、综合素质考核和心理健康测评:其中综合素质考核包括思想政治素质和品德考核,主要内容包括考生的政治态度、思想表现、学习(工作)态度、道德品质、遵纪守法、诚实守信等方面。
综合素质考核及心理健康测评由复试小组以提问、材料审查等形式进行考察,给出合格或不合格的结论。
不合格考生不得进入专业复试。
2、专业知识考查评分(含外语听力及口语):满分50分。
根据专业要求,考察考生对本学科(专业)理论知识和应用技能掌握程度、利用所学理论知识发现、分析解决问题的能力、对本学科发展动态的了解以及是否具备博士生培养的潜质。
3、科研能力鉴定评分:满分30分。
根据考生提供的科研成果和对考生科研能力及潜质的考查结果,给出科研能力级别分,考察考生的科学研究、创新能力及从事科研工作的基础与实力。
4、综合素质测评评分:满分20分。
根据考生在本学科(专业)以外的学习、科研、实际工作表现及特长与兴趣等方面的情况,考察考生的人文素养、合作精神和适应能力等。
四、复试成绩计算(复试总成绩满分为100分)
专业知识考查+ 科研能力鉴定+ 综合素质测评= 复试总成绩
复试过程须做好详细记录,并认真填写复试成绩评分表,然后将各专业复试考生的复试总成绩由高到低依次排列制表报研究生招生办公室。
五、拟录取名单的确定
1、对于复试总成绩高于60分(复试总成绩低于60分,为复试不合格,不予录取)的各类考生,最终成绩的计算办法为:
最终成绩=初试总成绩(百分制)×50%+复试总成绩×50%
2、拟录取名单的确定原则:各招生单位根据招生计划、考生最终成绩、导师(组)意见等相关情况确定拟录取考生名单。
在确定同一种类型的拟录取名单时,原则上一位导师名下只能招录一人,且相同专业(二级学科)拟录取的考生
原则上应按最终成绩和考生科研实力择优录取。
3、除教育博士、少民骨干、对口支援、两课教师、辅导员专项必须选择定向培养方式外,其他拟录取考生可选择非定向或定向培养方式,选择非定向的考生须在9月9日前将本人人事档案转入陕西师范大学;选择定向的考生须在6
月3日前与本人工作单位、陕西师范大学签订定向培养合同(一式五份),逾期则视为非定向考生。
选择定向的考生录取类别不得更改为非定向,毕业后回原单位就业。
(定向培养合同在我校研究生招生信息网“相关下载”栏目中下载)各单位上报的拟录取结果原则上应符合《陕西师范大学2017年博士研究生招生简章》中对在职人员(定向就业考生)录取比例的要求,拟录取名单经学校研究生招生领导小组审核通过后,方可正式公布拟录取结果。
4、少数民族骨干专项计划、对口支援专项计划、“1023”专项计划拟录取名单由研究生招生办公室按照国家相关招生政策确定。
5、拟录取考生可选择我校医院进行体检,也可在校外二级甲等以上医院体检,体检结果于5月26日前交(寄)至相关学院研究生秘书处。
体检不合格考生,不予录取。
6、各单位拟录取名单于5月26日前报研究生招生办公室。
六、复试几点要求
1、各单位在复试前须向考生阐明我校2017年博士研究生复试录取工作的要求、办法、程序和规则等。
2、每个复试小组应由包括指导教师在内的不少于5人(至少含3名博士生导师)的本学科副教授职称(含)或相当专业技术职务以上的专家组成,对参加复试考生进行学术水平和专业能力考查,复试小组对复试结果负责。
在复试过程中,要严格按学校要求全面、充分地对考生进行测试、考查,保证复试时间,规范复试程序,坚持公平、公正、公开的复试录取原则,应安排专人做复试记录,记录内容应详细,招生单位须对复试过程录音和录像。
对复试过程中存在不规范或违纪现象的单位或个人,学校将严肃处理,并根据有关规定追究当事人责任。
3、对于跨专业考生(未进修过所报专业的硕士课程者),在复试时须加试两门本学科硕士生的主干课程,每门课程满分100分。
加试科目成绩低于60分视为不合格,不予录取。
附件:
1、2017年博士研究生复试简况表.xlsx
2、2017年博士研究生复试名单.pdf
研究生院
2017年5月16日。