固定收益证券 姚长辉 第二章 课后题答案
- 格式:doc
- 大小:82.00 KB
- 文档页数:7
第1章固定收益证券概述1.固定收益证券与债券之间是什么关系?解答:债券是固定收益证券的一种,固定收益证券涵盖权益类证券和债券类产品,通俗的讲,只要一种金融产品的未来现金流可预期,我们就可以将其简单的归为固定收益产品。
2.举例说明,当一只附息债券进入最后一个票息周期后,会否演变成一个零息债券?解答:可视为类同于一个零息债券。
3.为什么说一个正常的附息债券可以分拆为若干个零息债券?并给出论证的理由。
解答:在不存在债券违约风险或违约风险可控的前提下,可以将附息债券不同时间点的票面利息视为零息债券。
4.为什么说国债收益率是一国重要的基础利率之一。
解答:一是国债的违约率较低;二是国债产品的流动性在债券类产品中最好;三是国债利率能在一定程度上反映国家货币政策的走向,是衡量一国金融市场资金成本的重要参照。
5.假如面值为100元的债券票面利息的计算公式为:1年期银行定期存款利率×2+50个基点-1年期国债利率,且利率上限为5%,利率下限为4%,利率每年重订一次。
如果以后5年,每年利率重订日的1年期银行存款利率和国债利率如表 1.4所示,计算各期债券的票面利息额。
表1.4 1年期定期存款利率和国债利率重订日1年期银行存款利率(%)1年期国债利率(%)债券的息票利率第1次 1.5 2.5 4%第2次 2.8 3.0 4%第3次 4.1 4.5 4.7%第4次 5.4 5.8 5%第5次 6.7 7.0 5% 解答:第1次重订日计算的债券的票面利率为: 1.5%×2+0.5%-2.5%=1%,由于该票面利率低于设定的利率下限,所以票面利率按利率下限4%支付。
此时,该债券在1年期末的票面利息额为100×4%=4元第2次重订日计算的债券的票面利率为: 2.8%×2+0.5%-3%=3.1%,由于该票面利率低于设定的利率下限,所以票面利率仍按利率下限4%支付。
此时,该债券在2年期末的票面利息额为100×4%=4元第3次重订日计算的债券的票面利率为: 4.1%×2+0.5%-4.5%=4.2%,由于该票面利率介于设定的利率下限和利率上限之间,所以票面利率按 4.7%支付。
第一章概览1、如何理解固定收益证券?固定收益证券是指其发行人未来向其持有人支付的货币流量将符合某种合约规定的证券。
(1)代表了其持有人的一种权利;(2)发行人未来要支付一定的货币流量;(3)发行人未来支付的货币流量要符合某种合约约定;(4)发行人未来支付的货币流量并不一定是固定不变的。
2、固定收益证券有哪些种类?(1)债务证券类;(2)股权证券类的优先股;(3)资产证券化类。
3、债券的特征体现在哪些方面?(1)偿还性;(2)收益性;(3)安全性;(4)流动性。
4、说明债券与股票的联系与区别。
(1)联系:债券与股票都属于有价证券、债券与股票都是筹措资金的手段、债券和股票的收益率互相影响;(2)区别:债券与股票的权利体现不同的关系、债券与股票的发行目的不完全相同、债券与股票的期限有着不同的属性、债券与股票的债息或股息收益情况存在差异、债券与股票的风险水平不同。
5、说明债券的完整过程。
6、债券可以如何分类?第二章债券发行和偿还1、说明债券发行方式的种类。
(1)直接发行是指债券发行人不依靠中介机构,自己直接向债券认购人出售债券。
间接发行是指债券发行人依靠中介机构的帮助,由中介机构来代理完成债券发行事宜。
(2)公开募集是指债券向全社会公开发行,一般不具体指定债券发行对象或者对债券发行对象做过多的限制。
私下募集是指债券不向全社会公开发行,而是只允许特定类别的投资者承购债券。
(3)竞价发行是指由代表债券认购人方面的竞价人通过一定的竞价程序来决定债券发行价格的方式。
定价发行是指由债券发行人单方面确定债券发行价格、而后由债券认购人认购的方式。
2、债券主要的发行方式有哪些?(1)承购包销法,是指债券发行人与债券承销人签订承购包销合同,由债券承销人负责其所承受的债券发行的销售任务。
(2)招标发行法,是指债券发行人先不规定债券发行价格(或其他某一债券发行条件),由投标人直接竞价,然后发行人根据投标所产生的结果来发行债券。
第二次作业:《固定收益证券》Page 124-1253、假定某债券面值为100元,期限为3年,票面利率为年6%,1年支付2次利息,投资者购买价格为103元。
请计算在再投资收益率为年4%的情况下投资者的年收益率。
答:根据债券价格,可求得债券到期收益率y即有103=(3/(1+y/2)^t )6n =1+100/(1+y/2)^6 ∴y=4.909%6、一个20年期限的债券,面值100元,现在价格110元,票面利率6%,1年支付2次利息,5年后可以按面值回购。
计算该债券的到期收益率和至第一回购日的到期收益率。
答:根据债券价格,可求得债券到期收益率y110=100∗3% 1+y 2 t 40t=1+100 1+y 2 40 可得y=5.20%至第一回购日时,有100= 100∗3% 1+y 2t 10t=1+100 1+y 2 10 可得y=3.98%9假设平价到期收益率的单位为年,按年复利计算。
利用上面提供的信息,计算一下债券在零期的价格,该债券获得的现金流如下:C1=10元,C2=10元,C3=110元,其中Ct是在第t期获得的现金收入。
答:由题,1年期平价收益率为10%可得,1年期即期利率为10% 折现因子d1为1/(1+10%)=0.9091根据2年期平价收益率为15%,代表票面利率15%,有15*d1+115*d2=100可得折现因子d2为0.751根据3年期平价收益率为20%,代表票面利率20%,有20*d1+20*d2+120*d3=100可得折现因子d3为0.5567因此,C1=10元,C2=10元,C3=110元的现金流,零时点价格为:10*d1+10*d2+110*d3=77.84。
第八章(1)二—加九)—37江心d2= ^ —UA/TS=7 K=6.5 r=5% 心一第X T=1/6代入得C=2.01故公司选择权的价值为2.01元,100股的期权价值为201元。
⑵応⑴「宀歼?「八]»心逬};P{S(t) >K§=0.835(3)根据B-S公式的推论,避险组合的权重即为△值。
习题8.28%6%4%解:在时点2,市场利率分别是8% , 6% , 4%。
如果是8%,固定利率支付方最后支付额的现值二(100000+600 )/1.08=9814.81;而浮动利率最后支付额的现值=10800 /1.08=10000。
期权价值为0。
如果是10%,固定利率支付方最后支付额的现值二(100000+600 )/1.06=10000;而浮动利率最后支付额的现值=10600 /1.06=10000。
期权价值为0.如果是4%,固定利率支付方最后支付额的现值二(100000+600 ) /1.04=10192.3;而浮动利率最后支付额的现值=10400 /1.04=10000。
期权价值为192.3。
在时点1,市场利率分别是7%, 5%.如果是7%,剩下的固定利率支付方支付额的现值=600 /1.07+0.5(10600 /1.08+10600 /1.06) /1.07=9820;浮动利率支付的现值=10000.故不执行.等待的价值为0.5*0+0.5*0=0 。
故期权价值为0。
如果是5%,剩下的固定利率支付方支付额的现值=600 /1.05+0.5(10600 /1.06+10600 /1.04) /1.05=10186.81;浮动利率支付的现值=10000.故执行价值为186.81.等待的价值为0.5*0+0.5*192.3=96.15 。
故期权价值为186.81。
在时点0,利率为6%,剩下的固定利率支付额的现值=10000.839 , 执行价值0.839等待价值=(0.5*0+0.5*186.81) /1.06=88.11故期权的价值为88.11习题8.3(1)Time 0Time 1Time 2(3 )由题可知,若贷款不含箍,则其现金流应该是按照市场利率贴现。
固定收益证券姚长辉第一章课后题答案固定收益证券第一章作业 1 解:3年复利:p,1000/1,10%,751.31,,6半年复利:p,1000/(1,5%),746.2212季复利:p,1000/(1,2.5%),743.6536月复利:p,1000/(1,10%/12),741.741095天复利:p,1000/(1,10%/365),740.853n0.3 连续复利:p,1000/(1,10%/n),1000/e,740.822解:8年复利:1000(1,r),2000,r,0.090516半年复利:1000(1,r/2),2000,r,0.088532季复利:(1,r/4),2,r,0.087696月利率:(1,r/12),2,r,0.08702920天利率:(1,r/365),2,r,0.08678n连续利率:(1,r/n),2,r,0.08663解:复利4%,年计息:r1,4%,e,r,ln1.04,0.0392复利,年计息:20%r1,20%,e,r,ln1.2,0.1823复利20%,季计息:4r4(1,20%/4),e,r,ln1.05,0.1952 复利20%,月计息:12r12(1,20%/12),e,r,ln(1,20%/12),0.19844解:净价,101,23/32,101.71875应计利息,100,0.09125/2,79/184100(1,0.09125/2) 全价,105x1,,2184全价,净价,应计利息x,0.029911851解得: 故买入收益率为0.029911851 同理卖出收益率为0.0277823275解:答:(1)设逆浮动利率债券的利率公式为X5000*9%=3000*(LIBOR+3%)+2000X解得X=18%-1.5LIBOR逆浮动利率债券的利率确定公式为18%-1.5 month LIBOR(2)因为0<LIBOR<=12%浮动利率债券的利率=1month LIBOR+3%,故顶为15%,底为3%逆浮动利率债券的利率=18%-1.5monthLIBOR,故顶为18%,底为06 解:5000/100*98.25 =4912.5元所以投资者购买该债券需支付的金额 4912.5元 7 解:浮动利率= LIBOR+1.25%=6.5%+1.25%=7.725%半年支付的利率水平=7.725%/2=3.875%。
第一次作业:《固定收益证券》Page 78-792、今天投资1000元,8年后肯定可以获得2000元,请计算在下列情况下的年收益率:(1)年复利1000*(1+r%)^8=2000,∴r%=9.051%(2)半年复利1000*(1+r%/2)^16=2000,∴r%=8.855%(3)季度复利1000*(1+r%/4)^32=2000,∴r%=8.759%(4)月复利1000*(1+r%/12)^96=2000,∴r%=8.696%(5)天复利1000*(1+r%/365)^(8*365)=2000,∴r%=8.665%(6)连续复利1000*e^(r%*8)=2000,∴r%=8.664%4、考虑下列问题美国政府债券票面利率为9.125%,在2006年12月31日到期,在2006年9月16日报价(2006年9月17日结算):买入价101:23,卖出价101:25,问:这种债券相应的买入和卖出的收益率是多少?答:按照半年付息,上一利息支付日为2006年6月30日,下一利息支付日为2006年12月31日,结算日为2006年9月17日所以可知,交割日至下一付息日的天数n1=105,上一付息日之下一付息日的天数n2=184,上一付息日至交割日的天数n3=79则,买入收益率:买入价格101:23(101.71825),对应利息为r=100*(9.125%/2)*(79/184)=1.95890 实际购买价格p=101.71825+1.95890=103.67765又p=[100*(1+c/2)]/[(1+y/2)^(n1/n2)],∴y=2.9912%同理,计算卖出收益率卖出价格101:25(101.78125),对应利息为r=100*(9.125%/2)*(79/184)=1.95890实际购买价格p= p=101.78125+1.95890=103.74015且,p=[100*(1+c/2)]/[(1+y/2)^(n1/n2)],∴y=2.7782%国库券(T-bill)在2006年12月31日到期,在2006年9月17日结算的报价则按照收益率方式给出,买入和卖出收益率分别是2.88%和2.86%。
固定收益证券作业及答案1.三年后收到的100元现在的价值是多少?分别考虑复利20%、复利100%、复利0%、复利20%(半年计息)、复利20%(季计息)和复利20%(连续计息)的情况。
2.以连续复利方式计息,分别计算复利4%、复利20%(年计息)、复利20%(季计息)和复利100%的利率。
3.考虑以下问题:a。
___在交易日92年9月16日给出了票面利率为91/8's在92年12月31日到期,92年9月17日结算的政府债券,其标价为买入价101:23,卖出价101:25.求该债券的买入和卖出的收益率。
b。
在同一交易日,___对同时在92年12月31日到期和在92年9月17日结算的T-bill报出的买入和卖出折现率分别是2.88%和2.86%。
是否存在套利机会?(“买入”和“卖出”是从交易者的角度出发,你是以“买入价”卖出,以“卖出价”买入)4.在交易日92年9月16日,以10-26的价格买入了一张面值为2000万美元、到期日为2021年11月15日的STRIPs (零息债券)。
求该债券的到期收益率。
5.今天是1994年10月10日,星期一,是交易日。
以下是三种债券的相关信息:发行机构票面利率到期日到期收益___ 10% 8.00% 星期二,1/31/95费城(市政) 9% 7.00% 星期一,12/2/95___(机构) 8.50% 8% 星期五,7/28/95这三种债券的面值均为100美元,每半年付息一次。
注意到上表中最后一列是到期收益,它反映了给定到期日、某种特定债券的标准惯例。
在计算日期时,不考虑闰年,同时也要忽略假期。
回答以下问题时,需要写清楚计算过程,不能只是用计算器计算价格。
a。
计算___发行的国债的报价,假定该国债按照标准结算方式结算。
b。
计算费城发行的城市债券的报价,假定该债券的标准结算期为三天。
c。
计算___发行的机构债券的报价,假定该债券按照标准结算方式结算。
本题需要根据给定的到期收益曲线来计算固定付息债券的全价,以及在曲线上下移动100个基点时的全价。
固定收益证券试题及部分答案国际经济贸易学院研究生课程班《固定收益证券》试题班级序号:学号:姓名:成绩:1)Explain why you agree or disagree with the following statement: “The price of a floater will always trade at its par value.”Answer:I disagree with the statement: “The price of a floater will always trade at its par value.” First, the coupon rate of a floating-rate security (or floater) is equal to a reference rate plus some spread or margin. For example, the coupon rate of a floater can reset at the rate on a three-month Treasury bill (the reference rate) plus 50 basis points (the spread). Next, the price of a floater depends on two factors: (1) the spread over the reference rate and (2) any restrictions that may be imposed on the resetting of the coupon rate. For example, a floater may have a maximum coupon rate called a cap or a minimum coupon rate called a floor. The price of a floater will trade close to its par value as long as (1) the spread above the reference rate that the market requires is unchanged and (2) neither the cap nor the floor is reached. However, if the market requires a larger (smaller) spread, the price of a floater will trade below (above) par. If the coupon rate is restricted from changing to the reference rate plus the spread because of the cap, then the price of a floater will trade below par.2)A portfolio manager is considering buying two bonds. Bond A matures in three years and has a coupon rate of 10% payable semiannually. Bond B, of the same credit quality, matures in 10 years and has a coupon rate of 12% payable semiannually.Both bonds are priced at par.(a) Suppose that the portfolio manager plans to hold the bond that is purchased for three years. Which would be the best bond for the portfolio manager to purchase?Answer:The shorter term bond will pay a lower coupon rate but it will likely cost less for a given market rate.Since the bonds are of equal risk in terms of creit quality (The maturity premium for the longer term bond should be greater),the question when comparing the two bond investments is:What investment will be expecte to give the highest cash flow per dollar invested?In other words,which investment will be expected to give the highest effective annual rate of return.In general,holding the longer term bond should compensate the investor in the form of a maturity premium and a higher expected return.However,as seen in the discussion below,the actual realized return for either investment is not known with certainty.To begin with,an investor who purchases a bond can expect to receive a dollar return from(i)the periodic coupon interest payments made be the issuer,(ii)an capital gainwhen the bond matures,is called,or is sold;and (iii)interest income generated from reinvestment of the periodic cash flows.The last component of the potential dollar return is referred to as reinvestment income.For a standard bond(our situation)that makes only coupon payments and no periodic principal payments prior to the maturity date,the interim cash flows are simply the coupon payments.Consequently,for such bonds the reinvestment income is simply interest earned from reinvesting the coupon interest payments.For these bonds,the third component of the potential source of dollar return is referred to as the interest-on-interest components.If we are going to coupute a potential yield to make a decision,we should be aware of the fact that any measure of a bond’s potential yield should take into consideration each of the three components described above.The current yield considers only the coupon interest payments.No consideration is given to any capital gain or interest on interest.The yield to maturity takes into account coupon interest and any capital gain.It also considers the interest-on-interest component.Additionally,implicit in the yield-to-maturity computation is the assumption that the coupon payments can be reinvested at the computed yield to maturity.The yield to maturity is a promised yield and will be realized only if the bond is held to maturity and the coupon interest payments are reinvested at the yield to maturity.If the bond is not held to maturity and the coupon payments are reinvested at the yield to maturity,then the actual yield realized by an investor can be greater than or less than the yield to maturity.Given the facts that(i)one bond,if bought,will not be held to maturity,and(ii)the coupon interest payments will be reinvested at an unknown rate,we cannot determine which bond might give the highest actual realized rate.Thus,we cannot compare them based upon this criterion.However,if the portfolio manager is risk inverse in the sense that she or he doesn’t want to buy a longer term bond,which will likel have more variability in its return,then the manager might prefer the shorter term bond(bondA) of thres years.This bond also matures when the manager wants to cash in the bond.Thus,the manager would not have to worry about any potential capital loss in selling the longer term bond(bondB).The manager would know with certainty what the cash flows are.If These cash flows are spent when received,the managerwould know exactly how much money could be spent at certain points in time.Finally,a manager can try to project the total return performance of a bond on the basis of the panned investment horizon and expectations concerning reinvestment rates and future market yields.This ermits the portfolio manager to evaluate thich of several potential bonds considered for acquisition will perform best over the planned investment horizon.As we just rgued,this cannot be done using the yield to maturity as a measure of relative /doc/6814708511.html,ing total return to assess performance over some investment horizon is called horizon analysis.When a total return is calculated oven an investment horizon,it is referred to as a horizon return.The horizon analysis framwor enabled the portfolio manager to analyze the performance of a bond under different interest-rate scenarios for reinvestment rates and future market yields.Only by investigating multiple scenarios can the portfolio manager see how sensitive the bond’s performance will be to each scenario.This can help the manager choosebetween the two bond choices.(b) Suppose that the portfolio manager plans to hold the bond that is purchased for six years instead of three years. In this case, which would be the best bond for the portfolio manager to purchase?Answer:Similear to our discussion in part(a),we do not know which investment would give the highest actual relized return in six years when we consider reinvesting all cash flows.If the manager buys a three-year bond,then there would be the additional uncertainty of now knowing what three-year bondrates would be in three years.The purchase of the ten-year bond would be held longer than previously(six years compared to three years)and render coupon payments for a six-year period that are known.If these cash flows are spent when received,the manager will know exactly how much money could be spent at certain points in timeNot knowing which bond investment would give the highest realized return,the portfolio manager would choose the bond that fits the firm’s goals in terms of maturity.3) Answer the below questions for bonds A and B.Bond A Bond BCoupon 8% 9%Yield to maturity 8% 8%Maturity (years) 2 5Par $100.00 $100.00Price $100.00 $104.055(a) Calculate the actual price of the bonds for a 100-basis-point increase in interest rates.Answer:For Bond A, we get a bond quote of $100 for our initial price if we have an 8% coupon rate and an 8% yield. If we change the yield 100 basis point so the yield is 9%, then the value of the bond (P) is the present value of the coupon payments plus the present value of the par value. We have C = $40, y = 4.5%, n = 4, and M = $1,000. Inserting these numbers into our present value of coupon bond formula, we get:41111(1)(10.045)$40$143.5010.045nr P C r --++===The present value of the par or maturity value of $1,000 is: 4$1,000$838.561(1)(1.045)n M r ==+ Thus, the value of bond A with a yield of 9%, a coupon rate of 8%, and a maturity of 2years is: P = $143.501 + $838.561 = $982.062. Thus, we get a bond quote of $98.2062. We already know that bond B will give a bond value of $1,000 and a bond quote of $100 since a change of 100 basis points will make the yield and coupon。
第二章作业1. 设债券的面值是P ,到期收益率为5%时的债券价格为1P ,到期收益率为6%时的债券价格为2P .则123223126%6%6%(15%)(15%)(15%)6%6%6%(16%)(16%)(16%)0.027P P P P P P P P P P P P P +=++++++=+++++-= 即价格下降2.72%2.54321003%(13%)1003%(13%)1003%(13%)1003%(13%)1003%(13%)1003%100119.4FV =⨯⨯++⨯⨯++⨯⨯++⨯⨯++⨯⨯++⨯+=3、假定某债券面值为100元,期限为3年,票面利率为年6%,一年支付2次利息,投资者购买价格为103元,请计算在再投资收益率为年4%的情况下投资者的年收益率。
解:662(12%)110032%(1/2)1031/2 1.0241r/2)1 4.91%r r ⎡⎤+-+⨯⎢⎥⎣⎦=++=+-=年实际收益率为(4、一个投资者按85元的价格购买了面值为100元的2年期零息债券。
投资者预计这两年的通货膨胀将分别为4%和5%。
请计算该投资者购买这张债券的真实到期收益率。
解:()()100y 1%51%41852=+++)(y=3.8%5、到期收益率:10101100 2.5%100105(1/2)(1/2)3.88%t t r r r =⨯=+++=∑解得: 年有效收益率:由于半年计息一次,所以年有效收益率为:21/2)1 3.92%r r =+-=有效(6、此债券的到期收益率即当将债券持有至到期的收益率,根据:404011003%1001101/2)(1/2)t t r r =⨯=+++∑( 解得:r=5.2% 至第一回购日的收益率根据现在价格和回购日的回购价格: 101011003%1001101/2)(1/2)t t r r =⨯=+++∑回购回购( 解得: 3.98%r =回购7、设债券的到期收益率为y,则161618%1000*()100021100(1)(1)226.38%t t y =+=++=∑ 总利息为16(1 6.38%/2)140818.473.19%⎡⎤+-⨯=⎢⎥⎣⎦利息:1000*8%*8=640利息的利息: 16(1 6.38%/2)140640178.473.19%⎡⎤+-⨯-=⎢⎥⎣⎦资本利得:1000-1100=-100收益:640+178.47-100=718.47利息所占的比例为64089.08%718.47= 利息的利息的比例为178.4724.84%718.47= 资本利得为-13.92%8、(1)()()211125501001135%550454.54110%y y p =+===+ 2222251001125%225204.545110%y y p =+===+3334501001350%450409110%y y p =+===+ 债券A 最为被低估,债券C 的到期收益率最高(2)A 和C()245055020011213%y y y =+++=B 和C6752001237.5%yy =+=所以A 和C 组合的到期收益率为213%,B 和C 组合的到期收益率为237.5%(3)净现值A 和C 为836.64-200=636.64B 和C 为613.64-200=413.64比较两个组合,A 、C 组合的净现值大于B 、C 组合,但是到期收益率比B 、C 组合小,所以到期收益率不是一个可靠的投资决策指标。
《固定收益证券》章节练习题第一章固定收益证券简介1、某8年期债券,第1~3年息票利率为6.5%,第4~5年为7%,第6~7年为7.5%,第8年升为8%,该债券就属于()。
A 多级步高债券B 递延债券C 区间债券D 棘轮债券2、风险具有以下基本特征()。
A风险是对事物发展未来状态的看法B风险产生的根源在于事物发展未来状态所具有的不确定性C风险和不确定性在很大程度上都受到经济主体对相关信息的掌握D风险使得事物发展的未来状态必然包含不利状态的成分3、固定收益产品所面临的最大风险是()。
A 信用风险B 利率风险C 收益曲线风险D 流动性风险4、如果债券的面值为1000美元,年息票利率为5%,则年息票额为?5、固定收益市场上,有时也将()称为深度折扣债券。
A 零息债券 B步高债券 C递延债券 D浮动利率债券6、试结合产品分析金融风险的基本特征。
7、分析欧洲债券比外国债券更受市场投资者欢迎的原因。
8、金融债券按发行条件分为()。
A普通金融债券 B 累进利息金融债券 C贴现金融债券 D 付息金融债券9、目前我国最安全和最具流动性的投资品种是()A 金融债B 国债C 企业债D 公司债10、请判断浮动利率债券是否具有利率风险,并说明理由。
第二章债券的收益率1.债券到期收益率计算的原理是()。
A.到期收益率是购买债券后一直持有到期的内含报酬率B.到期收益率是能使债券每年利息收入的现值等于债券买入价格的折现率C.到期收益率是债券利息收益率与资本利得收益率之和D.到期收益率的计算要以债券每年末计算并支付利息、到期一次还本为前提2.下列哪种情况,零波动利差为零?A.如果收益率曲线为平B.对零息债券来说C.对正在流通的财政债券来说D.对任何债券来说3.在纯预期理论的条件下,下凸的的收益率曲线表示:A.对长期限的债券的需求下降B.短期利率在未来被认为可能下降C.投资者对流动性的需求很小D.投资者有特殊的偏好4.债券的收益来源包括哪些?A.利息B.再投资收入C.资本利得D.资本损失。
1.三年后收到的$100,现在的价值是多少?假设三年期零息债券的利率是:a.复利20%,年计息a. 87.57)2.1/(1003=b.复利20%,半年计息b. 45.56)1.1/(1006=c.复利20%,季计息c. 68.55)05.1/(10012=d.复利20%,连续计息d. 88.54/10032.0=⨯e2.你在交易日92年9月16日以$10-26买入$2,000万票面价值为100的在2021年11月15日到期的STRIPs(零息债券),这种债券的到期收益率是多少?2.The settlement date is 9/17/92. The price of 10-26 or 10 26/32 = 10.8125 is both the flat and full price of $100 par amount since a zero-coupon bond has zero accrued interest. Recall our formula for the price of a Treasury bond given yield:1201100/2100(1/2)(1/2)(1/2)n n t n t n c P y y y =⎛⎫⨯=+ ⎪++⎝⎭+∑ When c = 0, the formula can be reduced and inverted to solve for y in terms of P )1)100((221/1-=+n n n Py The next coupon date is 11/15/92 and the last coupon date is 5/15/92 so 591=n , 1842=n , and n = 58. Thus, the yield you get on your STRIPs is%7758.7)1)8125.10100((2184/59581=-=+y3. 交易日2002年1月4日,投资者购买了1百万T-Bill ,到期日为2002年6月27日,贴现收益率为 1.76%。
固定收益证券练习题:久期与凸度1、已知一种息票利率为6%的债券每年付息,如果它离到期还有3年且到期收益率为6%,求该债券的久期.如果到期收益率为10%,久期又为多少?答:题目没说债券面值,则默认为1000.当到期收益率=6%时,计算过程如下:久期=2542.90/900.53=2.824 年.2、把下列两类债券按久期长短排序.a. 债券A:息票利率8%,20年到期,按面值出售;债券B:息票利率8%,20年到期,折价出售.b. 债券A:不可赎回,息票利率8%,20年到期,按面值出售;债券B:可赎回,息票利率9%,20年到期,也按面值出售.答:两者均为A大于B.a.债券B的到期收益率高于债券A,因为它的息票支付额和到期期限等于A,而它的价格却较低,因此,它的久期更短.b. 债券A的收益率更低,息票率也较低,两者都使得它比B的久期更长.而且,A不可赎回,这将使得它的到期期限至少与B一样长,也使得久期随之增加.3、一保险公司必须向其客户付款.第一笔是1年支付1000万元,第二笔是5年后支付400万元.收益率曲线的形状在10%时达到水平.a. 如果公司想通过投资于单一的一种零息债券以豁免对该客户的债务责任,则它购买的债券的期限应为多久?a.零息债券的久期为1.856 年b.零息债券的市场价值应为1157 万元,与债务的市场价值相等,因此,面值:4、a. 对拟定发行的债券附加赎回条款对发行收益有何影响?b.对拟定发行的债券附加赎回条款对其久期和凸度有何影响?a.1〕提供了较高的到期收益率,因为赎回的特性给发行人提供了一个有价期权,因为它可以按既定的赎回价格将债券买回,即使计划中的利息支付的现值比赎回价格要高.投资者因此会要求,而发行人也愿意支付一个较高的收益率作为该特性的补偿.〔2〕减少了债券的预期有效期.利率下降,债券可被赎回;利率上升,债券则必须在到期日被偿付而不能延后,具有不对称性.〔3〕缺点在于有被赎回的风险,也限制了利率下降导致的债券价格上涨的幅度,对价格收益率曲线影响体现在价格压缩.b.附加赎回条款后如果利率下降,则债券不会经历较大的价格上升.而且作为普通债券的特征的曲率也会因赎回特性而减小.使其久期下降,小于其他方面相同的普通债券的久期.可以看成零息债券,久期即为赎回债券时所经历的期限.对其凸度的影响体现在一个负凸性区间的存在.5、长期国债当前的到期收益率接近8%.你预计利率会下降,市场上的其他人则认为利率会在未来保持不变.对以下每种情况,假定你是正确的,选择能提供更高持有期收益的债券并简述理由.a. i. 一种Baa级债券,息票利率8%,到期期限20年;ii. 一种Aaa级债券,息票利率8%,到期期限20年.b. i. 一种A级债券,息票利率4%,到期期限20年,可以按105的价格赎回;ii. 一种A级债券,息票利率8%,到期期限20年,可以按105的价格赎回;c. i. 长期国债,息票利率6%,不可赎回,20年到期,YTM=8%;ii. 长期国债,息票利率9%,不可赎回,20年到期,YTM=8%.答:根据久期判断,选择久期较长的债券,可以在利率下降中获益.a. Aaa级债券的到期收益率较低而久期较长.b. 息票率较低的债券久期较长,具有更多的赎回保护.c. 选择息票率较低的债券,因为它的久期较长.6、以下问题摘自CFA试题:1〕一种债券的息票利率为6%,每年付息,调整的久期为10年,以800元售出,按到期收益率8%定价.如果到期收益率增至9%,利用久期的概念,估计价格会下降为:a. 76.56元b. 76.92元c. 77.67元d. 80.00元2〕一种债券的息票利率为6%,半年付息一次,在几年内的凸性为120,以票面的80%出售,按到期收益率8%定价.如果到期收益率增至9%,估计因凸性而导致的价格变动的百分比为:a. 1.08%b. 1.35%c. 2.48%d. 7.35%3〕有关零息债券的麦考利久期,以下说法正确的是:a. 等于债券的到期期限.b. 等于债券的到期期限的一半.c. 等于债券的到期期限除以其到期收益率d. 因无息票而无法计算.4〕每年付息的债券,息票利率为8%,到期收益率为10%,麦考利久期为9.债券的修正久期为:a. 8.18b. 8.33c. 9.78d. 10.005〕债券的利率风险会:a. 随到期期限的缩短而上升;b. 随久期的延长而下降;c. 随利息的增加而下降;d. 以上都不对.6〕以下哪种债券的久期最长?a. 8年期,息票利率6%;b. 8年期,息票利率11%;c. 15年期,息票利率6%;d. 15年期,息票利率11%.7、当前债券市场期限结构如下:1年期债券收益率7%,2年期债券收益率8%,3年期以上的债券收益率9%.一位投资者从1年、2年、3年期债券中选择,所有债券的息票利率均为8%,每年付息.如果投资者深信在年末收益率曲线的形状会在9%时达到水平,则投资者会购买哪种债券?3年期债券;由于年末收益率变为9%,对3年期债券不受影响,而1,2年期债券影响较大,价格下降,到期收益率低于预期.8、菲力普公司发行一种半年付息的债券,具有如下特性:息票利率8%,收益率8%,期限15年,麦考利久期为10年.a. 计算修正久期;b. 解释为什么修正久期是测度债券利率敏感性的较好方法;c. 确定做以下调整后久期变动的方向:i. 息票利率为4%,而不是8%;ii. 到期期限为7年而不是15年.d. 确定凸度,说明在给定利率变化的情况下,修正久期与凸度是怎样用来估计债券价格变动的.答:a. 调整后久期=麦考利久期/ <1+YTM>如果麦考利久期是10年,到期收益率为8%,则调整后的久期等于10/1.08= 9.26年.b. 对于无期权的息票债券而言,调整后久期是债券对利率变动敏感性的更高的测度标准.到期期限仅考虑了最后的现金流,而调整后的久期还包括了其他的因素,如息票支付的规模,时间以与利率<到期收益率>水平.调整后的久期,不像到期期限,它告诉我们对于给定的到期收益率的变动,债券价格的大致变动比例.c. i. 调整后久期随着息票利率的下降而上升.ii. 调整后久期随期限缩短而减小.d. 凸度测度债券的价格-收益率曲线的曲率.这一曲率表明对于债券价格变动的<仅以最初的收益率曲线的斜率为基础>久期法则仅是估计值.加入一个表示债券的凸度的项目将增加这一估计值的精确度.凸度调整表示下列等式中最后的一项,即平方项的一半.9、在今后的两年内每年年末你将支付10000元的学费开支.债券即期收益率为8%.a. 你的债务的现值与久期各是多少?b. 期限为多久的零息债券将使你的债务完全免疫?c. 假定你购入一零息债券使其价值与久期完全等于你的债务.现在假定利率迅速上升至9%.你的净头寸将会如何变化,即债券价值与你的学费债务的价值之间的差额是多少?答:a. 债务的PV=10000美元×年金系数< 8%,2>= 17832.65美元久期=1.4808年.b. 要使我的债务免疫,我需要一到期期限为1.480 8年的零息债券.因为现在的价值必须为.1或19985.26 美元.17832.65 美元,面值<即未来的赎回价>为17832.65×1.084808c. 如果利率上升到9%,零息债券价值下降为19985.26美元/ 1.0914808=17590.92 美元学费债务的现值下降为17591.11美元.净头寸下降0.19美元.如果利率下跌到7%,零息债券升值19985.26 美元/ 1.014808=18079.99美元,学费债务的现值上升为18080.18美元.净头寸下降0 . 1 9美元.净头寸变化的理由在于随着利率变动,学费支付后现金流的久期也变动.10、对一个持有长期资产却靠浮动利率债券来融资的公司而言,应持有哪种利率互换?答:不好说,视公司所持有的长期资产的本质特性而定.如果这些资产的收益率随着短期利率变动而变动,则采取利率互换是不适当的.但是,如果长期资产是诸如固定利率抵押贷款之类的固定利率的金融资产,则利率互换可能会减少风险.在这种情况下,公司将把它的浮动利率债券债务换成一固定利率的长期债务. 11、一公司发行了1000万元面值的浮动利率债券,其利率是LIBOR 加1%,该债券以面值出售.企业担心利率会上升,因此想将其贷款锁定在某一固定利率上.公司知道在互换市场上交易商提供LIBOR 和7%固定利率的互换,什么样的利率互换可以使该公司的利息债务转换成类似综合型固定利率贷款的债务?对该债务支付的利率是多少? 答:选择利率互换协议;支付7%的固定利率即可.协议中同时收回LIBOR 利率,名义本金为1000 万元,总支付额为:10008%=80 万元万元组合时采用积极的策略.经济周期看来正进入成熟期,通胀率预计会上升,为了抑制通胀,中央银行开始采取紧缩的政策.在以下各种情况下,说明你会选择两种债券中的哪一种.a. 加拿大政府债券〔加元支付〕,息票利率10%,2007年到期,价格为98.75元,到期收益率为10.5%;加拿大政府债券〔加元支付〕,息票利率10%,2015年到期,价格为91.75元,到期收益率为11.19%.b. 得克萨斯电力公司债券,息票利率7.5%,2008年到期,AAA 级,价格为85元,到期收益率为10.02%;亚利桑那公共服务公司债券,息票利率7.45%,2008年到期,A -级,价格为75元,到期收益率为12.05%c. 爱迪生联合公司债券,息票利率2.75%,2006年到期,Baa 级,价格为61元,到期收益率为12.2%;爱迪生联合公司债券,息票利率15.37%,2006年到期,Baa 级,价格为114.4元,到期收益率为12.2%.d. 壳牌石油公司,息票利率8.5%的偿债基金债券,2024年到期,AAA 级〔偿债基金于2008年9月按面值开始〕,定价为68元,到期收益率为12.91%;华纳-蓝伯特公司,息票利率8.87%的偿债基金债券,2024年到期,AAA 级〔偿债基金于2013年4月按面值开始〕,定价为74元,到期收益率为12.31%.e. 蒙特利尔银行〔加元支付〕的利率8%的定期存单,2007年到期,AAA 级,定价100元,到期收益率为8%; 蒙特利尔银行〔加元支付〕的浮动利率债券,2012年到期,AAA 级,当前息票利率为7.1%,定价100元〔利率每半年根据加拿大政府3个月国库券利率加0.5%进行调整〕. 13、新发行的10年期债券,息票利率为7%,每年付息,按面值出售. a. 该债券的凸性和久期是多少?b. 假定其到期收益率由7%升至8%〔期限仍为10年〕,求债券的实际价格.c. 根据久期法则估算的价格是多少?这一方法的误差百分比是多少?d. 根据久期-凸性法则估算的价格是多少?这一方法的误差百分比是多少?答:a.凸性:63.736;久期:101.07/0.07[1(1/1.07)]7.515D =-=年;b.如果到期收益率上升到8%,债券价格下跌到面值的93.29%,下降百分比为6.71%14、长期债券价格波动性大于短期债券,但是短期债券的到期收益率的变动要大于长期债券.你怎样说明这两个经验观察是一致的?答:利率变动对长期债券影响大,因为长期债券的久期大于短期债券的久期.而且短期债券对利率不是很敏感,所以价格不会大幅波动.如果利率上升10基点,长期债券的价格下降幅度要大于短期债券的幅度.从另一角度讲,两者都有利息回报,可以进行再投资收益.但短期债券的价格受资金的影响更大.15、固定收益型资产组合经理要求现值100万元的投资经过5年的投资年收益率不得低于3%.3年后,利率为8%,则届时投资的临界点是多少?即经理将不得不进行免疫以确保获得最低可能的收益之前,资产组合价值会跌至多少?基金经理愿意接受的最小终值由初始投资的每年3%的收益率决定.因此,下限等于5100(1.03)116D =⨯=万美元.初始投资3年后,只剩下2年,此时基金经理需要价值2116/1.0899.4=万美元的资产组合以确保其目标价值可以实现,此为临界点.16、30年期债券,息票利率为7%,每年付息,现价为867.42元.20年期债券,息票利率为6.5%,每年付息,现价为879.50元.债券市场分析家预测5年后,25年期的债券将以到期收益率8%的价格出售,而15年期债券将以7.5%到期收益率的价格卖出.5年内哪种债券的预期收益率更高?答:30年期债券,从第6年末到30年末支付的现值〔在第5年年初〕为: 从开始到第5年的5次支付在第5年年初的终值512170 1.06394.60t A t P -==⨯=∑因此总收入:12893.25394.601287.85A A A P P P =+=+= 5年的收益为1/51287.85/867.62 1.485, 1.48518.23%=-=年均;20年期债券:911.73366.411278.14,1278.14/879.50 1.453,7.76%B P =+==收益为年均17、你的公司DNC,将接受一家大型捐赠基金的投资委员会的面试,看是否有能力管理价值1亿元的指数化的固定收益型资产组合.因为该委员会尚未决定使用三种指数中的哪一种作为他们的投资基准,此次面谈的重点即在于此.有关三种指数的信息如下表,另外,DNC 公司知道委员会已经采纳了一项长期的且具有高出平均风险承受力的积极的总体投资政策.在过去的几年中,利率水平与其波动性不断下降.委员会相信这一趋势仍会持续,并且正在深入考察关于指数化资产组合在各种不同的利率条件下的可能业绩. 名称 各部门综合信息 指数1 指数2 指数3 美国财政部 50 50 80 美国公司代理机构 10 10 10 投资级1010 5低于投资级 5 5 0住房抵押20 25 5扬基债券 5 0 0总计100 100 100修正久期指标 5.0 8.0 8.0到期收益率指标7.50 8.05 8.00两种情景是:i. 利率普遍降低,但同时伴随着不断上升的风险.ii. 利率自始至终一直不变,但风险一直很高.a. 根据表中数据,将三种指数按在两种情景下相对的吸引力程度排序,并说明你的理由.b. 推荐一种指数作为委员会使用的基准资产组合并说明理由,考虑你对a的答案与你从委员会的投资策略中所获得的信息.c. 假定委员会已经选定了一种指数作为基准,DNC公司被任命构建和管理该指数化资产组合.试说明构建指数化固定收益型资产组合有关的实际问题.试找出两种构建资产组合的方法并简述之,并讨论每种方法的优劣.a.第一种情况:1>3>2;第二种情况:2>3>1b.选1c.可能存在种类的变化;包括的种类过多,按市值比重购买难度大,耗时耗力;流动性问题,可能有些不易买卖.18、作为你对W公司发行的债券分析的一部分,需要对下表所示的两种特定债券作出评估.项目W公司的债券信息债券A〔可回购〕债券B〔不可回购〕到期期限2014 2014息票利率〔%〕11.50 7.25当期价格/元125.75 100.00到期收益率〔%〕7.70 7.25修正久期/年 6.20 6.80回购日2008 -回购价格/元105 -回购收益〔%〕 5.10 -修正回购久期/年 3.10 -a. 根据表中的久期与收益情况,比较两种债券在以下两种情况下的价格和收益情况:i. 强有力的经济复苏同时伴随着高通胀预期;ii. 经济衰退与低通胀预期.b. 根据表中的信息,如果债券B到期收益率下跌75个基点,计算它预期的价格变动.c. 试论述在分析债券A时严格限定为持有到回购日或到期日的缺陷.答:a.i.债券收益率与利率很可能上升,债券价格将下降,可赎回债券被赎回的概率下降,更类似与不可赎回债券.它们在按到期期限定价时久期相同,可赎回债券稍低久期的特性使其在高利率下表现更好;ii.债券收益率与利率很可能下降,而债券价格将上升,可赎回债券可能被赎回,相应久期计算调整回赎回时.稍低的久期表明,价格的增值是有限的.但不可赎回债券调整后的久期相同,具有更高的价值增值.-⨯(-0.75)5.1,因此价格将上升到105.1元b. 6.80%=%c.对于可赎回债券来说,债券有效期与现金流不确定.如果忽略赎回,在到期期限上分析,所有关于久期和收益率计算将不可靠.因为久期偏高,所以收益率也偏高.另外,如果从看涨期权出发,债券超过赎回价格的溢价使得久期偏短,从而导致收益率下降.使用期权定价方法,可赎回债券分解成两种独立债券,一个不可赎回债券和一份期权.可赎回债券价格=不可赎回债券价格—期权的价格,由于赎回债券期权有正的价值,因此可赎回债券价格小于不可赎回债券.。
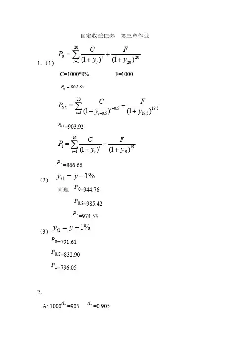
第二章作业
1. 设债券的面值是P ,到期收益率为5%时的债券价格为1P ,到期收益率为6%时的债券价格为2
P .则 123223
12
6%6%6%(15%)(15%)(15%)6%6%6%(16%)(16%)(16%)0.027P P P P P P P
P P P P P P +=
++++++=+++++-=
即价格下降2.72%
2.
543
21003%(13%)1003%(13%)1003%(13%)
1003%(13%)1003%(13%)1003%100
119.4FV =⨯⨯++⨯⨯++⨯⨯++⨯⨯++⨯⨯++⨯+=
3、假定某债券面值为100元,期限为3年,票面利率为年6%,一年支付2次利息,投资者购买价格为103元,请计算在再投资收益率为年4%的情况下投资者的年收益率。
解:
662(12%)110032%(1/2)103
1/2 1.024
1r/2)1 4.91%r r ⎡⎤+-+⨯⎢⎥⎣⎦=++=+-=年实际收益率为(
4、一个投资者按85元的价格购买了面值为100元的2年期零息债券。
投资者预计这两年的通货膨胀将分别为4%和5%。
请计算该投资者
购买这张债券的真实到期收益率。
解:()()100y 1%51%41852=+++)(
y=3.8%
5、到期收益率:
10
10
1100 2.5%100105(1/2)(1/2)3.88%
t t r r r =⨯=+++=∑
解得:
年有效收益率:
由于半年计息一次,所以年有效收益率为:2
1/2)1 3.92%r r =+-=有效(
6、此债券的到期收益率即当将债券持有至到期的收益率,根据:
40401
1003%100
1101/2)(1/2)t t r r =⨯=+++∑( 解得:r=5.2% 至第一回购日的收益率根据现在价格和回购日的回购价格:
10101
1003%1001101/2)(1/2)t t r r =⨯=+++∑回购回购( 解得:3.98%
r =回购 7、设债券的到期收益率为y,则
161618%1000*(
)100021100(1)(1)226.38%
t t y
y
y =+=++=∑
总利息为
16
(1 6.38%/2)140818.473.19%⎡⎤+-⨯=⎢⎥⎣⎦
利息:
1000*8%*8=640
利息的利息: 16(1 6.38%/2)140640178.473.19%⎡⎤+-⨯-=⎢⎥⎣⎦
资本利得:
1000-1100=-100
收益:
640+178.47-100=718.47
利息所占的比例为
640
89.08%718.47=
利息的利息的比例为
178.47
24.84%718.47
= 资本利得为-13.92%
8、(1) ()()
2
1112550
1001135%
550454.54110%y y p =+==
=+ 2
22225
1001125%225
204.545110%y y p =+===+
3
33450
1001350%450409110%y y p =+===+
债券A 最为被低估,债券C 的到期收益率最高
(2)A 和C
()2
450
550
20011213%
y y y =++
+=
B 和C
675
2001237.5%
y
y =+=
所以A 和C 组合的到期收益率为213%,B 和C 组合的到期收益率为237.5%
(3)净现值A 和C 为836.64-200=636.64
B 和
C 为613.64-200=413.64
比较两个组合,A 、C 组合的净现值大于B 、C 组合,但是到期收益率比B 、C 组合小,所以到期收益率不是一个可靠的投资决策指标。
A 、C 组合的收益率为213%,而A 和C 的收益率之加权平均为(135%+350%)/2=242.5%
组合的到期收益率并不等于其各个成分的到期收益率的简单加权平均。
9.设债券在零期的价格为P
债券以3年期的平价收益率的复利计算所得的终值应该等于每一期现金流按照相应年限对应的平价收益率所得终值之和。
即:
110%10110%15110%201P 23++⨯++⨯=+)()()(
求得 P=77.84元
10.根据P120的公式
11)1(H -T 1
H -⎥⎦
⎤⎢⎣⎡++=-)(H T T H T y y y 本题中注意T=90天=41年;H=30天=121
年
故1%41%25.41y 121411
1214
161
-⎥⎥⎦⎤⎢⎢⎣⎡++=-)()(=4.37%。