最新两角和与差及二倍角公式经典例题及答案
- 格式:doc
- 大小:277.50 KB
- 文档页数:3
成功是必须的:两角和与差及其二倍角公式知识点及典例知识要点: 1、 两角和与差的正弦、余弦、正切公式 C( a — 3 ): cos( a — 3 )= S( a + 3 ): sin( a + 3 )=T( a + 3 ): tan( a + 3 )=2、 二倍角的正弦、余弦、正切公式 S 2 : sin2 a = C( a + 3 ): cos( a + 3 )= S( a — 3 ): T( a — 3 ): 2h例 2 设 cos a —21 9’T 2 : tan2 . asin 2 — 23,其中n 2,n0, 2,求 cos( a+ 3).sin( a — 3 )= tan( a — 3 )= C 2 : cos2 a =— — ,3、 在准确熟练地记住公式的基础上 ,要灵活运用公式解决问题:如公式的正用、逆用和变形用等。
如T( a± 3可变形为:tan a± tan 3= 考点自测: 1、已知tan A 、7 11 B、 tan 3 = 3, 7 11 变式2:已知03.ncos(— 4 435,sin( 4)—,求 sin( a + 3 )的值. 13则 tan( a C 、? 13 tan a an 3= 3)=( 13 题型3给值求角已知三角函数值求角,一般可分以下三个步骤:(1)确定角所在的范围;值(要求该三角函数应在角的范围内严格单调 );(3)求出角。
1 1例 3 已知 a, 3^ (0, n,且 tan (a — 3 ="2, tan 3=— 7 求 2 a — 3 的值.(2)求角的某一个三角函数n a — 6 +A —症A . 5 2、已知cos 3、在厶ABC 中,若 sin a= 43」 B辺B.5 4 q 5cosA = 5,cosB = 13, B 56 B.65sin 7 n a+舀的值是( C . — 4 5 则cosC 的值是( c 丄或56 C.65或65 4、若 cos2 9+ cos 0= 0,贝U sin2 0+ sin B 的值等于( )C . 0 或 3 4D ・516 65 0或土 3A . 0B . ± 3 一.卜 2cos55 — j‘3sin55、二角式 A 辽 2 题型训练 题型1给角求值 一般所给出的角都是非特殊角,利用角的关系(与特殊角的联系)化为特殊角 cos5B.o■值为( 例 1 求[2si n50 sin 10 (1 3tan10)]? 2sin 280 的值• 11变式3:已知tan a =, tan 3 =-,并且a , 3均为锐角,求a +23的值.7 3题型4辅助角公式的应用J 22asinx bcosx a b sin x (其中 角所在的象限由 a, b 的符号确定,角的值由btan —确定)在求最值、化简时起着重要作用。
05-02 两角和与差、二倍角的公式(一)点一点——明确目标掌握两角和与差的三角函数公式及其推导方法,能熟练应用公式进行求值、化简、证明.做一做——热身适应1.︒︒-︒70sin 20sin 10cos 2的值是 .解析:原式=︒︒-︒-︒70sin 20sin 2030cos 2)(=︒︒-︒⋅︒+︒⋅︒70sin 20sin 20sin 30sin 20cos 30cos 2)(=︒︒20cos 20cos 3=3.答案:32.已知α∈(0,2π),β∈(2π,π),sin (α+β)=6533,cos β=-135,则sin α=_______.解析:由0<α<2π,2π<β<π,得2π<α+β<2π3. 故由sin (α+β)=6533,得cos (α+β)=-6556. 由cos β=-135,得sin β=1312. ∴sin α=sin [(α+β)-β]=sin (α+β)cos β-cos (α+β)sin β=6533²(-135)-(-6556)²1312=-845507.答案:-8455073.(2004年重庆,5)sin163°sin223°+sin253°sin313°等于A.-21 B.21C.-23D.23解析:原式=sin17°²(-sin43°)+(-sin73°)(-sin47°)=-sin17°sin43°+cos17°cos43°=cos60°=21. 答案:B4.(2005年春季北京,7)在△ABC 中,已知2sin A cos B =sin C ,那么△ABC 一定是 A.直角三角形 B.等腰三角形 C.等腰直角三角形 D.正三角形 解析:由2sin A cos B =sin C 知2sin A cos B =sin (A +B ), ∴2sin A cos B =sin A cos B +cos A sin B . ∴cos A sin B -sin A cos B =0.∴sin (B -A )=0.∴B =A . 答案:B理一理——疑难要点1.C (α+β)的推导角α的始边为Ox ,交单位圆于P 1,终边OP 2交单位圆于P 2,角β的始边为OP 2,终边交单位圆于P 3,角-β的始边为Ox ,终边交单位圆于P 4,由|31P P |=|42P P |,得[cos (α+β)-1]2+sin 2(α+β)=[cos (-β)-cos α]2+[sin (-β)-sin α]2.∴cos (α+β)=cos αcos β-sin αsin β. 2.S (α±β)、C (α-β)、T (α±β)以及推导线索(1)在C (α+β)中以-β代β即可得到C (α-β). (2)利用cos (2π-α)=sin α即可得到S (α+β);再以-β代β即可得到S (α-β). (3)利用tan α=ααcos sin 即可得到T (α±β). 说明:理清线索以及各公式间的内在联系,是记忆公式的前提.只有这样才能记牢公式,才能用活公式.应用公式注意拆角、拼角技巧,如α=(α+β)-β,2α=(α+β)+(α-β)等.拨一拨——思路方法【例1】 设cos (α-2β)=-91,sin (2α-β)=32,且2π<α<π,0<β<2π,求cos (α+β).剖析:2βα+=(α-2β)-(2α-β).依上述角之间的关系便可求之. 解:∵2π<α<π,0<β<2π, ∴4π<α-2β<π,-4π<2α-β<2π. 故由cos (α-2β)=-91,得sin (α-2β)=954.由sin (2α-β)=32,得cos (2α-β)=35.∴cos (2βα+)=cos [(α-2β)-(2α-β)]= (2757)∴cos (α+β)=2cos 22βα+-1=…=-729239.评述:在已知角的某一三角函数值而求另外一些角的三角函数值时,首先要分析已知和要求的角之间的关系,再分析函数名之间的关系.其中变角是常见的三角变换.【例2】[2006年上海文,17]已知α是第一象限的角,且5cos 13α=,求()sin 4cos 24πααπ⎛⎫+ ⎪⎝⎭+的值。
两角和与差及二倍角公式经典例题及答案两角和与差及二倍角公式经典例题及答案编辑整理:尊敬的读者朋友们:这里是精品文档编辑中心,本文档内容是由我和我的同事精心编辑整理后发布的,发布之前我们对文中内容进行仔细校对,但是难免会有疏漏的地方,但是任然希望(两角和与差及二倍角公式经典例题及答案)的内容能够给您的工作和学习带来便利。
同时也真诚的希望收到您的建议和反馈,这将是我们进步的源泉,前进的动力。
本文可编辑可修改,如果觉得对您有帮助请收藏以便随时查阅,最后祝您生活愉快业绩进步,以下为两角和与差及二倍角公式经典例题及答案的全部内容。
成功是必须的成功是必须的:两角和与差及其二倍角公式知识点及典例知识要点:1、两角和与差的正弦、余弦、正切公式C(α-β):cos(α-β)= ; C(α+β):cos(α+β)= ; S (α+β):sin(α+β)= ; S(α-β):sin (α-β)= ; T (α+β):tan(α+β)= ; T (α-β):tan (α-β)= ; 2、二倍角的正弦、余弦、正切公式2S α:sin2α= ; 2T α:tan2α= ;2C α:cos2α= = = ;3、在准确熟练地记住公式的基础上,要灵活运用公式解决问题:如公式的正用、逆用和变形用等.如T (α±β)可变形为:tan α±tan β=___________________; tan αtan β== 。
考点自测:1、已知tan α=4,tan β=3,则tan(α+β)=( )711A 、 711B 、- 713C 、 713D 、-2、已知cos 错误!+ sin α=错误!错误!,则 sin 错误!的值是( )A .-错误!B 。
错误!C .-错误!D 。
错误!3、在△ABC 中,若cos A =错误!,cos B =错误!,则cos C 的值是( )A.错误!B.错误! C 。
错误!或错误! D .-错误!4、若cos2θ+cos θ=0,则sin2θ+sin θ的值等于( )A .0B .± 3C .0或错误!D .0或±错误!5、三角式错误!值为( )A.错误!B.错误! C .2 D .1题型训练题型1 给角求值一般所给出的角都是非特殊角,利用角的关系(与特殊角的联系)化为特殊角例1求[2sin50sin10(1)]︒︒︒+.变式1:化简求值:2cos10sin 20.cos 20︒︒︒- 题型2给值求值 三角函数的给值求值问题解决的关键在于把“所求角”用“已知角”表示.如()()ααββαββ=+-=-+,2()()ααβαβ=++-,2()()αβαβα=+--,22αβαβ++=⋅,()()222αββααβ+=---例2 设cos 错误!=-错误!,sin 错误!=错误!,其中α∈错误!,β∈错误!,求cos (α+β).成功是必须的变式2:π3π33π50π,cos(),sin(),4445413βααβ<<<<-=+=已知求sin(α+β)的值.题型3给值求角已知三角函数值求角,一般可分以下三个步骤:(1)确定角所在的范围;(2)求角的某一个三角函数值(要求该三角函数应在角的范围内严格单调);(3)求出角。
高一数学两角和与差、二倍角公式同步测试一、知识回顾(一)主要公式:1.两角和与差的三角函数()βαβαβαsin cos cos sin sin +=+()βαβαβαsin cos cos sin sin -=-()cos cos cos sin sin αβαβαβ+=-()βαβαβαsin sin cos cos cos +=-2.二倍角公式: αααcos sin 22sin =22222cos sin12sin 2cos 11tan cos22tan tan2αααααααα-=-=--== 3. 半角公式2cos 12sin αα-±=2cos 12cos αα+±=tan 2α=ααααsin cos 1cos 1sin -=+ 4. 万能公式: 22tan 2sin 1tan 2ααα=+221tan 2cos 1tan 2ααα-=+22tan 2tan 1tan 2ααα=-5. 积化和差: ()()[]βαβαβα-++=sin sin 21cos sin ()()[]βαβαβα--+=sin sin 21sin cos ()()[]βαβαβα-++=cos cos 21cos cos ()()[]βαβαβα--+-=cos cos 21sin sin 6. 和差化积: ⎪⎭⎫ ⎝⎛-⎪⎭⎫ ⎝⎛+=+2cos 2sin 2sin sin y x y x y x ⎪⎭⎫ ⎝⎛-⎪⎭⎫ ⎝⎛+=-2sin 2cos 2sin sin y x y x y x ⎪⎭⎫ ⎝⎛-⎪⎭⎫ ⎝⎛+=+2cos 2cos 2cos cos y x y x y x ⎪⎭⎫ ⎝⎛-⎪⎭⎫ ⎝⎛+-=-2sin 2sin 2cos cos y x y x y x (二)重要结论:1.sin α±cos)4πα±.sin()2.tan tan tan()(1tan tan )cos cos αβαβαβαβαβ±±=±=3.a sin α+b cos(α+φ(α-φ1),.4.tan α+cot α=sec α·csc α=2sin 2α. 5.tan α-cot α=-2ctg2α.6.cot α±cot β=sin()sin sin βααβ±. 7.(sin α±cos α)2=1±sin2α. 8.21cos sin 22αα-=. 9.21cos cos 22αα+= .10.ααααααcos 3cos 43cos ,sin 4sin 33sin 33-=-= 11. 1tan tan().1tan 4απαα±=± 二、基本训练:A 组1、下列各式中,值为12的是 ( ) A 、1515sin cos B 、221212cos sin ππ-C 、22251225tan.tan .-D 2、命题P :0tan(A B )+=,命题Q :0tan A tan B +=,则P 是Q 的 ( ) A 、充要条件B 、充分不必要条件C 、必要不充分条件D 、既不充分也不必要条件3、若02πβα<<<且45513cos(),sin()αβαβ+=-=,那么2cos α的值是( ) A 、6365 B 、6365- C 、3365 D 、5665或1365- 4、已知,αβ为锐角且cos αβ==,则αβ+的值等于____。
两角和与差及其二倍角公式知识点及典例1、两角和与差的正弦、余弦、正切公式C(α-β):cos(α-β)=; C(α+β):cos(α+β)=;S(α+β):sin(α+β)=; S(α-β):sin(α-β)=;T(α+β):tan(α+β)=; T(α-β):tan(α-β)=;2、二倍角的正弦、余弦、正切公式2S α:sin2α=; 2T α:tan2α=;2C α:cos2α===;2、二倍角的正弦、余弦、正切公式2S α:sin2α=; 2T α:tan2α=;2C α:cos2α===;3、在准确熟练地记住公式的基础上,要灵活运用公式解决问题:如公式的正用、逆用和变形用等。
如T(α±β)可变形为: tan α±tan β=_____________; tan αtan β= =. 1、已知tan α=4,tan β=3,则tan(α+β)=( )711A 、711B 、-713C 、713D 、-2、已知cos ⎝⎛⎭⎫α-π6+ sin α=453,则 sin ⎝⎛⎭⎫α+7π6的值是( )A .-235 B.235C .-45D.453、在△ABC 中,若cos A =45,cos B =513,则cos C 的值是( )A.1665B.5665C.1665或5665D .-16654、若cos2θ+cos θ=0,则sin2θ+sin θ的值等于( )A .0B .±3C .0或3D .0或±35、三角式2cos55°-3sin5°cos5°值为( )A.32B.3C .2 D .1例1求[2sin 50sin10(1)]︒︒︒+.变式1:化简求值:2cos10sin 20.cos 20︒︒︒-例2 设cos ⎝⎛⎭⎫α-β2=-19,sin ⎝⎛⎭⎫α2-β=23,其中α∈⎝⎛⎭⎫π2,π,β∈⎝⎛⎭⎫0,π2,求cos(α+β).变式2:π3π33π50π,cos(),sin(),4445413βααβ<<<<-=+=已知求sin(α+β)的值.例3已知α,β∈(0,π),且tan(α-β)=12,tan β=-17,求2α-β的值.变式3:已知tan α= 17,tan β= 13,并且α,β 均为锐角,求α+2β的值.例4求函数25f (x )sin xcos x x =-x R )∈的单调递增区间?变式4(1)如果()()sin 2cos()f x x x ϕϕ=+++是奇函数,则tan ϕ= ;(2)若方程sin x x c =有实数解,则c 的取值范围是___________.1、下列各式中,值为12的是 ( )A 、1515sin cosB 、221212cos sin ππ- C 、22251225tan .tan .- D 2、命题P :0tan(A B )+=,命题Q :0tan A tan B +=,则P 是Q 的 ( )A 、充要条件B 、充分不必要条件C 、必要不充分条件D 、既不充分也不必要条件3、已知3sin 5α=,tan 0α<则tan()4πα-= . 4、=︒+︒-︒20sin 6420cos 120sin 32225、2sin()2sin()cos()333x x x πππ++---=______________.6、0000cos(27)cos(18)sin(18)sin(27)x x x x +---+=7、若sin α=sin β=,αβ都为锐角,则αβ+= 8、在△ABC 中,已知tan A 、tan B 是方程3x 2+8x -1=0的两个根,则tan C 等于9、110sin - ;10、︒︒-︒70sin 20sin 10cos 2= 11、(1tan 22)(1tan 23)︒︒++=12、)20tan 10(tan 320tan 10tan ︒+︒+︒︒=13、(福建理17)在ABC △中,1tan 4A =,3tan 5B =.求角C 的大小; 14、已知0,1413)cos(,71cos 且=β-α=α<β<α<2π,(1)求α2tan 的值.(2)求β.15、如图,在平面直角坐标系xOy 中,以Ox 轴为始边作两个锐角α,β,它们的终边分别与单位圆相交于A,B 两点,已知A,B (1)求tan(α+β)的值;(2)求α+2β的值.。
1.已知tan 2α=,则tan 2α的值为 . 【答案】43-【分析】222tan 224tan 21tan 123ααα⨯===---. 2.已知P (-3,4)为角α终边上的一点,则cos (π+α)= .【考点】任意角的三角函数的定义.【答案】35【分析】∵P (-3,4)为角α终边上的一点,∴x =-3,y =4,r =|OP |=5,∴cos (π+α)=-cos α=x r -=35--=35,故答案为35. 3.已知cos(α-β)=35,sin β=513-且α∈(0,π2),β∈(π2-,0),则sin α= .【考点】两角和与差的余弦函数;同角三角函数间的基本关系.【答案】3365【分析】∵α∈(0,π2),β∈(π2-,0),∴α-β∈(0,π), 又cos (α-β)=35,sin β=513-,∴sin (α-β)=21cos ()αβ--=45,cos β=21sin β-=1213,则sin α=sin[(α-β)+β]= sin (α-β)cos β+cos (α-β)sin β=45×1213+35×(513-)=3365.故答案为3365. 4.若0≤x ≤π2,则函数y =cos (x -π2)sin (x +π6)的最大值是 .【考点】两角和与差的正余弦公式的应用.【答案】234+ 【分析】y =sin x (sin x 32⋅+12cos x )=322sin x +12sin x cos x =()31cos 24x -+14sin2x =12sin (2x -π3)+34, ∵0≤x ≤π2,∴-π3≤2x -π3≤2π3,∴max y =12+34=234+. 5.已知过点(0,1)的直线l :x tan α-y -3tan β=0的一个法向量为(2,-1),则tan (α+β)=________.【考点】平面的法向量. 【答案】1【分析】∵过点(0,1)的直线l :x tan α-y -3tan β=0的一个法向量为(2,-1),∴-1-3tan β=0,12-tan α=-1.∴1tan 3β=-,tan α=2. ∴tan (α+β)=12tan tan 3111tan tan 123αβαβ-+==-+⨯,故答案为1. 6.在ABC △中,已知BC =8,AC =5,三角形面积为12,则cos2C = .【考点】三角形面积公式,二倍角公式的应用. 【答案】725【分析】∵已知BC =8,AC =5,三角形面积为12, ∴12⋅BC ⋅AC sin C =12,∴sin C =35,∴cos2C =122sin C -=1-2×925=725. 7.某种波的传播是由曲线()()()sin 0f x A x A ωϕ=+>来实现的,我们把函数解析式()()sin f x A x ωϕ=+称为“波”,把振幅都是A 的波称为“A 类波”,把两个解析式相加称为波的叠加.(1)已知“1 类波”中的两个波()()11sin f x x ϕ=+与()()22sin f x x ϕ=+叠加后仍是“1类波”,求21ϕϕ-的值;(2)在“A 类波“中有一个是()1sin f x A x =,从 A 类波中再找出两个不同的波()()23,f x f x ,使得这三个不同的波叠加之后是平波,即叠加后()()()1230f x f x f x ++=,并说明理由.(3)在()2n n n ∈N,≥个“A 类波”的情况下对(2)进行推广,使得(2)是推广后命题的一个特例.只需写出推广的结论,而不需证明. 【考点】两角和与差的正弦函数;归纳推理.【解】(1)()()()()1212sin sin f x f x x x ϕϕ+=+++ =1212(cos cos )sin (sin sin )cos x x ϕϕϕϕ+++,振幅是221212(cos cos )(sin sin )ϕϕϕϕ+++=()1222cos ϕϕ+-,则()1222cos ϕϕ+-=1,即()121cos 2ϕϕ-=-,所以122π2π,3k k ϕϕ-=±∈Z . (2)设()()21sin f x A x ϕ=+,()()32sin f x A x ϕ=+, 则()()()()()12312sin sin sin f x f x f x A x A x A x ϕϕ++=++++=()()1212sin 1cos cos cos sin sin 0A x A x ϕϕϕϕ++++=恒成立, 则121cos cos 0ϕϕ++=且12sin sin 0ϕϕ+=, 即有:21cos cos 1ϕϕ=--且21sin sin ϕϕ=-,消去2ϕ可解得11cos 2ϕ=-, 若取12π3ϕ=,可取24π3ϕ=(或22π3ϕ=-等),此时,()22πsin 3f x A x ⎛⎫=+ ⎪⎝⎭,()34πsin 3f x A x ⎛⎫=+ ⎪⎝⎭(或()32πsin 3f x A x ⎛⎫=- ⎪⎝⎭等), 则()()()1231313sin sin cos sin cos 02222f x f x f x A x x x x x ⎡⎤⎛⎫⎛⎫++=+-++--=⎢⎥ ⎪ ⎪ ⎪ ⎪⎢⎥⎝⎭⎝⎭⎣⎦,所以是平波.(3)()1sin f x A x =,()22πsin f x A x n ⎛⎫=+⎪⎝⎭,()34πsin f x A x n ⎛⎫=+ ⎪⎝⎭,…, ()()21πsin n n f x A x n -⎛⎫=+ ⎪⎝⎭,这n 个波叠加后是平波.8. (4分)已知sin α=3cos α,则cos 21sin 2αα=+ ________.【参考答案】 12-【测量目标】 运算能力/能根据法则准确的进行运算和变形. 【考点】二倍角的余弦;二倍角的正弦.【试题分析】 由已知先求tan α,因为sin α=3cos α,所以tan α=3,把所求的式子中的三角函数利用二倍角公式进行化简,然后化为正切形式,即可求值:222222cos 2cos sin 1tan 1911sin 2cos 2sin cos +sin 12tan tan 1692ααααααααααα---====-++++++.9.若tan (α-π4)=14,则tan α=______. 【参考答案】 53【测量目标】 数学基本知识和基本技能/理解或掌握初等数学中有关函数与分析的基本知识. 【考点】 两角和与差的正切函数.【试题分析】 ∵tan (α-π4)=14, ∴πtan tan4π1tan tan4αα-+=tan 11tan αα-+=14,解得tan α=53.故答案为53. 10.在ABC △中,角A ,B ,C 的对边分别为a ,b ,c ,且3cos 4B =. (1)求2sin 2cos2A CB ++的值; (2)若3b =,求ABC △面积的最大值. 【考点】余弦定理,二倍角的正弦、余弦. 【解】(1)因为3cos 4B =,所以7sin 4B =, 又22π1sin 2cos2sin cos cos 2sin cos (1cos )222A CB B B B B B B +-+=+=+- =73113724488+⨯⨯+=. (2)由已知可得:2223cos 24a cb B ac +-==, 又因为3b =,所以22332a c ac +-=, 又因为223322a c ac ac +=+≥, 所以6ac ≤,当且仅当6a c ==时,ac 取得最大值.此时11737sin 62244ABC S ac B ==⨯⨯=△. 所以△ABC 的面积的最大值为374. 11.已知1sin 4θ=,则sin 2()4θπ⎡⎤-=⎢⎥⎣⎦__________. 【答案】78-【分析】27sin 2()cos 212sin 48θθθπ⎡⎤-=-=-+=-⎢⎥⎣⎦.12. 已知α为第二象限的角,sin α=35,则tan2α=_______________. 【答案】247-【分析】因为α为第二象限的角,又sin α=35,所以cos α=45-,tan α=sin cos αα=34-,tan2α=22tan 1tan αα-=247-.【考点】两角和与差的三角函数、二倍角公式. 13.若△ABC 的内角A 满足sin2A =23,则sin A +cos A 等于( ) A.153 B.153- C.53 D.53-【答案】A 【分析】∵0<A <π,0<2A <2π,又sin2A =23,即2sin A cos A =23,∴0<A <π2, 2(sin cos )A A +=53,sin A +cos A =153,故选A. 【考点】两角和与差的三角函数、二倍角公式. 14.已知sin θ+cos θ=15,且π2≤θ≤3π4,则cos2θ的值是___________. 【答案】725-【分析】由已知sin θ+cos θ=15①,2sin θcos θ= 2425-,又π2≤θ≤3π4,∴cos θ<0,sin θ>0. 2(cos sin )θθ-=4925,则sin θ-cos θ=75②,由①②知cos2θ=22cossin θθ-=725-. 【考点】两角和与差的三角函数、二倍角公式.15.已知0<α<π2,sin α=45.(1)求22sin sin 2cos cos 2αααα++的值;(2)求tan(α-5π4)的值.【解】∵0<α<π2,sin α=45,∴cos α=35,tan α=43.(1)22sin sin2cos cos2αααα++=222sin2sin cos2cos sinααααα+-=22tan2tan2tanααα+-=2244()23342()3+⨯-=20;(2)tan(α-5π4)=tan11tanαα-+=413413-+=17.【考点】两角和与差的三角函数、二倍角公式.16.已知x∈(π2-,0),cos x=45,tan2x=()A.724B.724- C.247D.247-【答案】D【分析】sin x=35-,tan x=34-,tan2x=22tan1tanxx-=247-,故选D.【考点】两角和与差的三角函数、二倍角公式.17.cos20cos351sin20︒︒-︒=()A.1B. 2C.2D.3【答案】C【分析】cos20cos351sin20︒︒-︒=22cos10sin10cos35(cos10sin10)︒-︒︒︒-︒=cos10sin10cos35︒+︒︒=2sin55cos35︒︒=2,故选C.【考点】两角和与差的三角函数、二倍角公式.18.设a=sin14°+cos14°,b=sin16°+cos16°,c =62,则a、b、c大小关系是()A.a<b<cB.b<a<cC. c<b<aD. a<c<b【答案】D【分析】由题意知,a =2sin59°,b =2sin61°,c =2sin60°,所以a<c<b,故选D.【考点】两角和与差的三角函数、二倍角公式.19.tan20°+tan40°+ 3tan20°tan40°=_____________.【答案】3【分析】tan60°= tan(20°+40°)=tan20+tan401tan20tan40︒︒-︒︒=3,∴3-3tan20°tan40°=tan20°+tan40°,移向即可得结果为3. 【考点】两角和与差的三角函数、二倍角公式. 20.已知sin2θ+cos 2θ=233,那么sin θ =______,cos2θ =___________. 【答案】13,79【分析】2(sin cos )22θθ+=1+ sin θ=43,sin θ=13,cos2θ=1-22sin θ=79. 【考点】两角和与差的三角函数、二倍角公式. 21.若1tan 1tan αα+-=2008,则1cos 2α+tan2α=_______________.【答案】2008【分析】1cos 2α+tan2α=1sin 2cos 2cos 2ααα+=1sin 2cos 2αα+=222(cos +sin )cos sin αααα-= cos +sin cos sin αααα-=1+tan 1tan αα-=2008.【考点】两角和与差的三角函数、二倍角公式. 22.计算:sin65+sin15sin10sin 25cos15cos80︒︒︒︒-︒︒=________.【答案】2+3【分析】sin65+sin15sin10sin 25cos15cos80︒︒︒︒-︒︒=sin80cos15sin15cos10︒︒︒︒=cos15sin15︒︒=2+3.【考点】两角和与差的三角函数、二倍角公式.23.求值:(1)sin6°sin42°sin66°sin78°;(2)22sin 20cos 50︒+︒+sin20°cos50°.【解】原式=sin6°cos12°cos24°cos48°=sin 6cos 6cos12cos 24cos 48cos 6︒︒︒︒︒︒=1sin12cos12cos 24cos 482cos6︒︒︒︒︒=1sin 24cos 24cos 484cos6︒︒︒︒=1sin 48cos 488cos6︒︒︒=1sin 9616cos6︒︒=1cos616cos6︒︒=116; (2)原式=1cos 401cos1001(sin 70sin 30)222-︒+︒++︒-︒ =1+111(cos100cos 40)sin 70224︒-︒+︒-=31sin 70sin 30sin 7042-︒⋅︒+︒=34.【考点】两角和与差的三角函数、二倍角公式. 24.已知tan α、tan β是方程2x -5x +6=0的两个实根,求22sin ()αβ+-3sin ()αβ+cos ()αβ++2cos ()αβ+的值. 【解】由韦达定理得tan α+tan β=5,tan α·tan β=6,所以tan(α+β)=tan tan 1tan tan αβαβ+-⋅=-1.原式=[22sin ()αβ+-3sin(α+β)cos(α+β)+2cos ()αβ+]/[22sin ()cos ()αβαβ+++]=222tan ()3tan()1tan ()1αβαβαβ+-++++=213(1)111⨯-⨯-++=3.【考点】两角和与差的三角函数、二倍角公式.。
和差倍角公式◆ 两角的和与差公式:()())()(S , S , βαβαβαβαβαβαβαβα-+-=-+=+Sin Cos Cos Sin Sin Sin Cos Cos Sin Sin()()()()()()(), C , C tan tan tan , T 1tan tan tan tan tan 1tan tan Cos Cos Cos Sin Sin Cos Cos Cos Sin Sin Cos Sin Cos Sin Cos Cos αβαβαβαβαβαβαβαβαβββββββββαβαβαβαβαβαβ+-++=--=++-+-++=---=+,,,(), T αβ-变形: ()()()()为三角形的三个内角其中χβαχβαχβαβαβαβαβαβαβα,,t an t an t an t an t an t an t an t an 1t an t an t an t an t an 1t an t an t an =+++-=--+=+二倍角公式:ααααααααααα22222tan 1tan 22tan 2112222-=-=-=-==Sin Cos Sin Cos Cos Cos Sin Sin一、1.在△ABC 中,已知2sinAcosB =sinC ,则△ABC 一定是( )A .直角三角形B .等腰三角形C .等腰直角三角形D .正三角形2.2cos10°-sin20°sin70°的值是3.f(x)=sinx cosx1+sinx +cosx 的值域为( )A .(―3―1,―1) ∪(―1, 3―1)B .[-2-12,―1] ∪(―1, 2-12)C .(-3-12,3-12)D .[-2-12,2-12]4.已知x ∈(-π2,0),cosx =45,则tan2x 等于5.已知sin(θ+π)<0,cos(θ-π)>0,则下列不等关系中必定成立的是( )A .tan θ2<cot θ2,B .tan θ2>cot θ2,C .sin θ2<cos θ2,D .sin θ2>cos θ2.6.(04江苏)已知0<α<π2,tan α2+cot α2=52,则sin(α-π3)的值为7.等式sin α+3cos α=4m -64-m 有意义,则m 的取值范围是( )A .(-1,73)B .[-1,73]C .[-1,73]D .[―73,―1]8.在△ABC 中,tanA tanB >1是△ABC 为锐角三角形的 ( ) A .充要条件 B .仅充分条件 C .仅必要条件D .非充分非必要条件9.已知α.β是锐角,sin α=x ,cos β=y ,cos(α+β)=-35,则y 与x 的函数关系式为( )A .y =―351―x 2+45x (35<x <1)B .y =―351―x 2+45x (0<x <1) C .y =―351―x 2―45x (0<x <35=D .y =―351―x 2―45x (0<x <1=10.已知α∈(0,π),且sin α+cos α=15,则tan α的值为11.(05全国)在△ABC 中,已知tan A +B2=sinC ,则以下四个命题中正确的是( )(1)tanA ²cotB =1.(2)1<sinA +sinB ≤2.(3)sin 2A +cos 2B =1.(4)cos 2A +cos 2B =sin 2C . A .①③ B .②④ C .①④ D .②③ 12. 函数)cos (sin sin 2x x x y +=的最大值为13若316sin =⎪⎭⎫⎝⎛-απ,则⎪⎭⎫⎝⎛+απ232cos =14.110sin 的值是 15.“()tan 0αβ+=”是“tan tan 0αβ+=”的( )(A)充分必要条件 (B )必要不充分条件 (C )充要条件 (D )既不充分也不必要条件16.已知tan(α+β) =53 , tan(β-4π )=41 ,那么tan(α+4π)为 17.函数y=sinxcosx+3cos 2x -23 的最小正周期是二、填空题:18.(03上海)若x =π3是方程2cos(x +α)=1的解,α∈(0,2π),则α=______.19.已知cos θ+cos 2θ=1,则sin 2θ+sin 6θ+sin 8θ=____________。
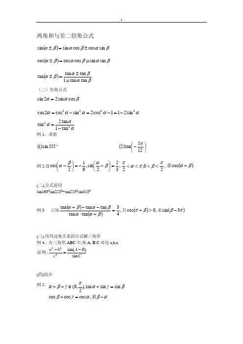
两角和与差二倍角公式()βαβαβαsin cos cos sin sin ±=±()βαβαβαsin sin cos cos cos =±()βαβαβαtan tan 1tan tan tan ±=± (二)倍角公式βααcos sin 22sin =ααααα2222sin 211cos 2sin cos 2cos -=-=-=ααα22tan 1tan 2tan -= 例1、求值() 555sin 1 ()⎪⎭⎫ ⎝⎛-125tan 2π 例2设,322sin ,912cos =⎪⎭⎫ ⎝⎛--=⎪⎭⎫ ⎝⎛-βαβα,20,2πβπαπ<<<<().cos βα+求(二),公式逆用sin1630sin2230+sin2530sin3130例3 已知()(),43tan tan tan tan tan =+⋅--+βααβαβα且(),0cos >+βπ求()πβ3sin -(三).用用边角关系的公式解三角形例4、在三角形ABC 中,角A..B.C 对边a,b,c222sin():sin a b A B Cc --=证明(四)综合例5、(0,),sin sin sin 2cos cos cos ,παβγαγββγαβα++∈+=+=-求三角函数式的求值(1)“给角求值”:给出非特殊角求式子的值。
找出和特殊角之间的关系,利用公式转化或消除非特殊角例1、计算)310(tan 40sin 00-的值。
练习:(全国高考)tan20°+4sin20°“给值求值”例2、(上海高考)已知tan(45°+θ)=3,求sin2θ-2cos 2θ的值练习:)6sin(,212tanπαα+=求已知例3、已知sin(-4πx)=135,0<x<4π,求)4cos(2cos x x +π的值。
两角和与差的三角函数及二倍角公式一、单选题1.已知1cos 2α=,,02πα⎛⎫∈- ⎪⎝⎭,则sin 2α=( ) A .34 B .3- C .1 D .3- 2.若角α的终边过点(3,4)P -,则cos2=α( )A .2425-B .725C .2425D .725- 3.函数()sin sin 33f x x x ππ⎛⎫⎛⎫=++- ⎪ ⎪⎝⎭⎝⎭,则f (x )的奇偶性为( ) A .奇函数B .偶函数C .既是奇函数又是偶函数D .非奇非偶函数 4.在ABC 中,tan sin cos A B B <,则ABC 的形状是( ) A .锐角三角形B .直角三角形C .钝角三角形D .不确定 二、多选题5.下列式子的运算结果为3的是( )A .()2sin35cos25cos35sin 25︒︒-︒︒B .()2cos35cos5sin35sin5︒︒+︒︒C .1tan151tan15+︒-︒D .2tan 61tan6ππ-6.下列四个等式其中正确的是() A .tan 25tan 35325tan 353︒︒︒︒++=B .2tan 22.511tan 22.5︒︒=- C .221cos sin 882ππ-= D .134sin10︒-=三、填空题7.设α、β都是锐角,且()3cos 5ααβ=+=,则cos β=____________.8.若cos(α-β),cos 2α=10,并且α、β均为锐角且α<β,则α+β的值为( )四、解答题9.设1cos 29βα⎛⎫-=- ⎪⎝⎭,2sin 23αβ⎛⎫-= ⎪⎝⎭,其中,2παπ⎛⎫∈ ⎪⎝⎭,0,2πβ⎛⎫∈ ⎪⎝⎭. (1)求2βα-以及2αβ-的取值范围. (2)求cos 2αβ+的值.10.已知函数()2sin cos 2f x x x x =+(1)求函数()f x 的单调增区间; (2)若()035f x =,0ππ,63x ⎡⎤∈⎢⎥⎣⎦,求0cos2x 的值.。
课程主题: 三角函数的和差公式与二倍角教学内容知识精讲知识梳理1.两角和与差的正弦、余弦、正切公式 (1)C (α-β):cos(α-β)=cos_αcos_β+sin_αsin_β; (2)C (α+β):cos(α+β)=cos_αcos_β-sin_αsin_β; (3)S (α+β):sin(α+β)=sin_αcos_β+cos_αsin_β; (4)S (α-β):sin(α-β)=sin_αcos_β-cos_αsin_β; (5)T (α+β):tan(α+β)=tan α+tan β1-tan αtan β;(6)T (α-β):tan(α-β)=tan α-tan β1+tan αtan β.2.二倍角的正弦、余弦、正切公式 (1)S 2α:sin 2α=2sin_αcos_α;(2)C 2α:cos 2α=cos 2α-sin 2α=2cos 2α-1=1-2sin 2α; (3)T 2α:tan 2α=2tan α1-tan 2α.3.有关公式的逆用、变形等(1)tan α±tan β=tan(α±β)()βαtan tan 1∙ ; (2)cos 2α=1+cos 2α2,sin 2α=1-cos 2α2; (3)1+sin 2α=(sin α+cos α)2,1-sin 2α=(sin α-cos α)2,sin α±cos α=2sin ⎪⎭⎫ ⎝⎛±4πa .4.函数f (α)=a cos α+b sin α(a ,b 为常数),可以化为f (α)=a 2+b 2sin(α+φ)或f (α)=a 2+b 2cos(α-φ),其中φ可由a ,b 的值唯一确定.例题精讲题型1:三角函数的给值求值例1.已知0β<<344παπ<<,335cos(),sin()45413παπβ-=+=,求的sin(α+β)的值. 分析:比较所要求的角和已知角,可以发现3()()()442πππβααβ+--=++或由cos()sin 4πα-=()4πα+,再由3()()()44παπβπαβ+++=++求解. 解(一):33,,0444424ππππαππαα<<∴-<-<--<-<,又34cos(),sin().4545ππαα-=∴-=-33353120,,sin(),cos()444413413πβππβππβπβ<<∴<+<+=∴+=-.sin(α+β)=3cos[()]cos[()()]244ππαβπβα-++=-+--33cos()cos()sin()sin()4444πππβαπβα=+--+-1235456()()13513565=--⨯-⨯-=.解(二):cos()sin 4πα-=()4πα+35=,4,cos()2445πππαπα<+<∴+=-.33353120,,sin(),cos()444413413πβππβππβπβ<<∴<+<+=∴+=-.sin(α+β)333sin[()()][sin()cos()cos()sin()]444444πππαπβαπβαπβ=-+++=-+++++3124556[()()]51351365=-⨯-+-⨯=.解题思路:我们在计算、化简或证明一些三角函数式时,充分所求的角和已知角之间的联系,如:()()()αβαββαβαα-+=-++=,2,33ππαα-⎪⎭⎫ ⎝⎛+=,244παπαπ=⎪⎭⎫ ⎝⎛-+⎪⎭⎫ ⎝⎛+,()⎪⎭⎫ ⎝⎛--+=+44πββαπα,这一点非常重要它可以有效的帮助我们解题,更重要的是它可以让许多问题变得非常简单.课堂检测如图,点P 是单位圆上的一个顶点,它从初始位置0P 开始沿单位圆按逆时针方向运动角α(02πα<<)到达点1P ,然后继续沿单位圆逆时针方向运动3π到达点2P ,若点2P 的横坐标为45-,则cos α的值等于 。
和差倍角公式◆ 两角的和与差公式:()())()(S , S , βαβαβαβαβαβαβαβα-+-=-+=+Sin Cos Cos Sin Sin Sin Cos Cos Sin Sin()()()()()()(), C , C tan tan tan , T 1tan tan tan tan tan 1tan tan Cos Cos Cos Sin Sin Cos Cos Cos Sin Sin Cos Sin Cos Sin Cos Cos αβαβαβαβαβαβαβαβαβββββββββαβαβαβαβαβαβ+-++=--=++-+-++=---=+,,,(), T αβ-变形: ()()()()为三角形的三个内角其中χβαχβαχβαβαβαβαβαβαβα,,tan tan tan tan tan tan tan tan 1tan tan tan tan tan 1tan tan tan =+++-=--+=+ 二倍角公式:ααααααααααα22222tan 1tan 22tan 2112222-=-=-=-==Sin Cos Sin Cos Cos Cos Sin Sin 一、1.在△ABC 中,已知2sinAcosB =sinC ,则△ABC 一定是()A .直角三角形B .等腰三角形C .等腰直角三角形D .正三角形2.的值是 2cos10°-sin20°sin70°3.f(x)=的值域为()sinx cosx1+sinx +cosx A .(――1,―1) ∪(―1, ―1)B .[,―1] ∪(―1, )33C .(,)D .[,]4.已知x ∈(-,0),cosx =,则tan2x 等于π2455.已知sin(θ+π)<0,cos(θ-π)>0,则下列不等关系中必定成立的是( ) A .tan <cot ,B .tan >cot ,C .sin <cos ,D .sin >cos .θ2θ2θ2θ2θ2θ2θ2θ26.(04江苏)已知0<α<,tan +cot =,则sin(α-)的值为π2α2α252π37.等式sin α+cos α=有意义,则m 的取值范围是( )34m -64-m A .(-1,)B .[-1,]C .[-1,]D .[―,―1]737373738.在△ABC 中,tanA tanB >1是△ABC 为锐角三角形的( )A .充要条件B .仅充分条件C .仅必要条件D .非充分非必要条件9.已知α.β是锐角,sin α=x ,cos β=y ,cos(α+β)=-,则y 与x 的函数关系式为( )35 A .y =―+x (<x <1)B .y =―+x (0<x <1) 351―x24535351―x245C .y =――x (0<x <=D .y =――x (0<x <1=351―x24535351―x24510.已知α∈(0,π),且sin α+cos α=,则tan α的值为15 11.(05全国)在△ABC 中,已知tan =sinC ,则以下四个命题中正确的是( )A +B2(1)tanA ·cotB =1.(2)1<sinA +sinB ≤.(3)sin 2A +cos 2B =1.(4)cos 2A +cos 2B =sin 2C .2A .①③B .②④C .①④D .②③12. 函数的最大值为)cos (sin sin 2x x x y +=13若,则= 316sin =⎪⎭⎫⎝⎛-απ⎪⎭⎫⎝⎛+απ232cos14.的值是110sin o 15.“”是“”的( )()tan 0αβ+=tan tan 0αβ+=(A)充分必要条件 (B )必要不充分条件 (C )充要条件 (D )既不充分也不必要条件16.已知tan(α+β) =, tan(β- )= ,那么tan(α+ )为534π414π17.函数y=sinxcosx+cos 2x - 的最小正周期是323二、填空题:18.(03上海)若x =是方程2cos(x +α)=1的解,α∈(0,2π),则α=______.π319.已知cos θ+cos 2θ=1,则sin 2θ+sin 6θ+sin 8θ=____________。
:两角和与差及其二倍角公式知识点及典例
知识要点:
1、两角和与差的正弦、余弦、正切公式
C(α-β):cos(α-β)= ; C(α+β):cos(α+β)= ; S(α+β):sin(α+β)= ; S(α-β):sin(α-β)= ; T(α+β):tan(α+β)= ; T(α-β):tan(α-β)= ; 2、二倍角的正弦、余弦、正切公式
2S α:sin2α= ; 2T α:tan2α= ;
2C α:cos2α= = = ;
3、在准确熟练地记住公式的基础上,要灵活运用公式解决问题:如公式的正用、逆用和变形用等。
如T(α±β)可变形为:
tan α±tan β=___________________; tan αtan β= = . 考点自测:
1、已知tan α=4,tan β=3,则tan(α+β)=( )
711
A 、 711
B 、- 713
C 、 7
13D 、-
2、已知cos ⎝⎛⎭⎫α-π6+ sin α=4
5
3,则 sin ⎝⎛⎭⎫α+7π6的值是( ) A .-235 B.235 C .-45 D.4
5
3、在△ABC 中,若cos A =45,cos B =5
13
,则cos C 的值是( )
A.1665
B.5665
C.1665或5665 D .-1665 4、若cos2θ+cos θ=0,则sin2θ+sin θ的值等于( )
A .0
B .±3
C .0或 3
D .0或
±3
5
、三角式2cos55°-3sin5°
cos5°
值为( )
A.3
2
B.3 C .2 D .1 题型训练
题型1 给角求值
一般所给出的角都是非特殊角,利用角的关系(与特殊角的联系)化为特殊角 例1求[2sin50sin10(1)]︒︒︒+.
变式1:化简求值:2cos10sin 20.cos 20
︒︒
︒
- 题型2给值求值
三角函数的给值求值问题解决的关键在于把“所求角”用“已知角”表示.如()()ααββαββ=+-=-+,2()()
ααβαβ=++-,
2()()
αβαβα=+--,
22
αβαβ++=⋅
,()(
)
222αββ
ααβ+=--- 例2 设cos ⎝⎛⎭⎫α-β2=-19
,sin ⎝⎛⎭⎫α2-β=2
3,其中α∈⎝⎛⎭⎫π2,π,β∈⎝⎛⎭⎫0,π2,求cos(α+β).
变式2:π3π33π5
0π,cos(),sin(),4445413
βααβ<<
<<-=+=已知求sin(α+β)的值.
题型3给值求角
已知三角函数值求角,一般可分以下三个步骤:(1)确定角所在的范围;(2)求角的某一个三角函数值(要求该三角函数应在角的范围内严格单调);(3)求出角。
例3已知α,β∈(0,π),且tan(α-β)=12,
tan β=-1
7
,求2α-β的值.
变式3:已知tan α=
17,tan β= 1
3
,并且α,β 均为锐角,求α+2β的值.
题型4辅助角公式的应用
()sin cos a x b x
x θ+=+ (其中θ角所在的象限由a , b 的符号确定,θ角的值由
tan b
a
θ=
确定) 在求最值、化简时起着重要作用。
例4求函数2
5f (x )sin x cos x x =-
x R )∈的单调递增区间?
变式4(1)如果()()sin 2cos()f x x x ϕϕ=+++是奇函数,则tan ϕ= ;
(2)若方程sin x x c -=有实数解,则c 的取值范围是___________. 题型5公式变形使用
二倍角公式的升幂降幂
tan tan αβ±()()tan 1tan tan αβαβ=± t a n t a n
t a n
t a n 1t a
n ()
αβα
βαβ±=± 例5(1)设ABC ∆
中,tan A tan B Atan B ++=
,4
sin Acos A =,则此三角形是____三角形
(2)
变式5已知A 、B 为锐角,且满足tan tan tan tan 1A B A B =++,则cos()A B += ; 专题自测
1、下列各式中,值为
1
2
的是 ( ) A 、1515sin cos B 、2
2
12
12
cos sin π
π
-
C 、
2
2251225tan .tan .- D 2、命题P :0tan(A B )+=,命题Q :0tan A tan B +=,
则P 是Q 的 ( ) A 、充要条件 B 、充分不必要条件 C 、必要不充分条件 D 、既不充分也不必要条件
3、已知3sin 5α=
,tan 0α<则tan()4
π
α-= . 4、=︒+︒
-︒20sin 6420cos 120sin 32
2
2
5、2sin()2sin()cos()333
x x x πππ
++--=______________.
6、0
cos(27)cos(18)sin(18)sin(27)x x x x +---+=
7、若sin 5α=,sin 10
β=,,αβ都为锐角,则αβ+=
8、在△ABC 中,已知tan A
、tan B 是方程3x 2
+8x -1=0的两个根,则tan C 等于 9、
110sin -= ;
10、
︒
︒
-︒70sin 20sin 10cos 2=
11、(1tan 22)(1tan 23)︒︒
++=
12、)20tan 10(tan 320tan 10tan ︒+︒+︒︒=
13、(福建理17)在ABC △
中,1tan 4A =,3
tan 5
B =. (Ⅰ)求角
C 的大小;
(Ⅱ)若ABC △
14、(四川理17)已知0,14
13
)cos(,71cos 且=β-α=
α<β<α<2π,
(1)求α2tan 的值.
(2)求β.
15、(2008
·江苏)如图,在平面直角坐标系
xOy 中,以Ox 轴为始边作两个锐角α,β,它们的终边分别与单位圆相交于A,B 两点,已知A,B 两点的横坐标分别为
105
(1)求tan(α+β)的值;
(2)求α+2β的值.
答案:考点自测:1-5BCADD 变式1、5665 3:4
π
4(1)-2 (2)[-2,2] 5、2-
专题自测:1、C 2、C 3、7- 4、32 5、0 62 7、3
4π 8、2 9、4 10
11、2 12、1 13、()31π4C = ()2BC =、()1 ()23
π
β= 15(1)—3 (2)
3π4。