{高中试卷}高一政治第一学期期中三校联考试卷[仅供参考]
- 格式:doc
- 大小:39.50 KB
- 文档页数:16
高一上册政治期中试卷及答案解析高一上册政治期中试卷及答案解析在目前的阶段中,高一考试还是比较频繁的,那么打算政治的同学做功课做得怎么样了?下面小编给大家整理了关于高一上册政治期中试卷及答案的内容,欢迎阅读,内容仅供参考!高一上册政治期中试卷及答案本卷分为第Ⅰ卷(选择题)和第Ⅱ卷(非选择题),满分100分,时间90分钟第Ⅰ卷(选择题共50分)一、选择题(在每题给出的四个选项中,只有一项是最符合题意的。
本大题共25小题,每小题2分,共50分。
)1.下列属于商品的是( )①家里用的天然气②赠送同学的礼物③向地震灾区空投的援助物资④家庭用的自来水A.①③B.①②C.①④D.③④[答案] C[解析] ②③都没有用于交换,所以不属于商品;①中的天然气是花钱买的,所以属于商品。
2.我国的人民币( )①是由国家发行的、强制使用的②它的购买力是由国家规定的③在商品交换中执行流通手段的职能④它的流通是我国国民经济赖以维持发展的血脉A.①②③④B.①②④C.②③④D.①③④[答案] D[解析] 纸币的实际购买力取决于两个因素:一是纸币的发行量;二是流通中实际所需要的货币量。
因此纸币的购买力不是由国家规定的,应排除②,①③④符合题意。
2014年3月20日,人民币对美元汇率继续明显贬值,即期汇率全天下跌逾300个基点至6.2275,创逾一年新低。
人民币年内累计贬值2.87%,基本将去年全年升值幅度抹平。
据此回答3~5题。
3.人民币对美元贬值在经济领域可能会出现如下情形( )①同样多的人民币兑换的美元减少②我国商品出口量增加③国内商品价格下跌④到中国来旅游的外国人增多A.①②③B.①②④C.①③④D.②③④[答案] B[解析] 此题考查汇率的相关知识。
③说法错误,如果人民币贬值,进口商品价格上涨,国内商品的价格与人民币汇率没直接联系,故排除③。
①②④符合题意。
4.如果人民币对美元升值,意味着( )A.美元汇率上升B.美元汇率下跌C.我国进出口贸易额将大幅度上升D.我国直接利用外资将大幅度增加[答案] B[解析] 人民币价值,意味着外汇汇率下跌,有利于进口,但不利于出口;我国直接利用外资将会减少。
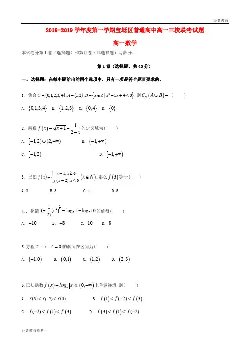
2018-2019学年度第一学期宝坻区普通高中高一三校联考试题高一数学本试卷分第I卷(选择题)和第Ⅱ卷(非选择题)两部分。
第I卷(选择题,共40分)一、 选择题:在每小题给出的四个选项中,只有一项是符合题目要求的。
1. 集合{}{}{}20,1,2,3,4,1,2|,540U A B x Z x x ===∈-+<,则()U C A B ⋃= ( ) A. {}0,1,3,4 B. {}1,2,3 C. {}0,4 D. {}02. 函数()12f x x=-的定义域为( ) A. [)1,2(2,)-⋃+∞ B. ()1,-+∞ C. [)1,2- D. [)1,-+∞3. 已知()5,6(2),6x x f x f x x -≥⎧=⎨+<⎩()x N ∈,那么()3f 等于( )A.2B.3C.4D.54.. 化简123221[()]log 5log 1027--+-的值得( )A. 10-B. 8-C. 10D. 85.方程240x x +-=的解所在区间为( )A. ()1,0-B. ()0,1C. ()1,2D. ()2,36.已知函数()a f x log x =在()0,+∞上单调递增,则( ) A. ()()(321)f f f <-< B. ()())123(f f f -<< C. ()()1(23)f f f <<- D. ()()31()2f f f <<-7.已知函数()()2212f x x a x =+-+在区间(,4]-∞上是减函数,则实数a 的取值范围是( )A. 3a ≤-B. 3a ≥-C. 5a ≤D. 3a ≥ 8. 函数的单调递减区间是( )A. B.C.D.9.将函数cos 3y x π⎛⎫=+⎪⎝⎭的图象上各点的横坐标伸长到原来的2倍(纵坐标不变),再向左平移3π个单位,所得函数图象的一个对称中心为( ) A. ()0,0 B. ,04π⎛⎫ ⎪⎝⎭ C. ,02π⎛⎫⎪⎝⎭D. (,0)π10.已知函数()32||f x x =-,2()2g x x x =-,(),()()()(),()()g x f x g x F x f x f x g x ≥⎧=⎨<⎩,则下列关于函数()F x 的最值的说法正确的是( )A.最大值为3,最小值为1-B.最大值为7-无最小值C.最大值为3,无最小值D.既无最大值又无最小值第Ⅱ卷(非选择题,共80分。
新疆高一上学期政治期中联考试卷姓名:________ 班级:________ 成绩:________一、单选题 (共22题;共44分)1. (2分) (2020高一上·吉林期末) “商品——货币——商品”的公式说明()①在商品流通中,货币执行了流通手段的职能②买与卖在时空上分离,方便了交换③买与卖同时进行,一次交易成功④由于经历中间环节,商品交换变得更加困难A . ①②B . ①④C . ②③D . ③④2. (2分) (2017高一上·溧水期中) 俗语说“货多不值钱”,“物以稀为贵”,但市场上自行车再少,也卖不到轿车的价钱,是因为()①商品交换要以价值量为基础②等价交换表现在每一次价格与价值相一致的交换过程中③价格最终是由价值决定的④货“多”或“少”反映的是个别劳动时间A . ③④B . ①②C . ①③D . ②④3. (2分)某镇居民喜食鸡肉和羊肉,近几年镇政府大力提倡发展养鸡业,市场上鸡肉供给大幅增加。
假定羊肉供给未变,这会使()①鸡肉价格下降,需求量增加②羊肉价格上升,需求量增加③鸡肉需求量减少,价格上升④羊肉需求量减少,价格下降A . ①②B . ②③C . ③④D . ①④4. (2分) (2017高一上·北京期中) 人民币外汇牌价的变动如下:不考虑其他因素,表中反映的变化,意味着()①美元升值了②中国从美国购买技术会更便宜了③人民币升值了④中国人到美国旅游会更贵了A . ①②B . ②③C . ③④D . ①④5. (2分) (2015高一上·临沂期末) 下图是2015年12月某生活必需品M的需求曲线(P是价格,Q是需求量)。
通常情况下,下列现象中能够引起d1向d2平移的是()①M实行了阶梯价格②M的互补品价格下降③M的供应量在减少④中低收入者收入增加A . ①④B . ②③C . ①③D . ②④6. (2分) (2017高三上·临川月考) 在经济生活中,人们经常用坐标图来反映相关量之间的关系。
高一政治第一学期期中三校联考试卷试题卷说明:1、考试时间为90分钟,卷面满分为100分2、请将答案写在答题卷上,写在试题卷上无效一.选择题(以下各题每题均只有一项最符合题意。
每题2分,共56分)1.王某从银行取出工资,并购买所需的商品,这一过程体现的货币职能有()A.支付手段和流通手段 B.支付手段和价值尺度C.价值尺度和贮藏手段 D.价值尺度和流通手段2.王某在购买这些商品时往往会“货比三家”,最终会购买“物美价廉”的商品。
这表明()A.商品的质量决定商品的价格B.追求“物美价廉”是人们生活的目标C.商品是使用价值与价值的统一体D.商品的使用价值与价值成反比关系3.王某在购买这些不同商品时都需要使用货币。
这表明货币()A.是万能的,有了货币就有了一切B.与商品是一对孪生兄弟,有商品就必然有货币C.可以和一切商品相交换就不再是商品了D.本质是一般等价物随着信息技术的迅速发展,特别是计算机网络化的实现,在现实生活中,人们越来越多地借助电子计算机进行贮存、转帐、购买、支付而使用所谓的“电子货币”。
根据这一生活常识回答4―5题4.现代市场经济是信用经济。
在市场经济发达的国家中,人们购买商品和服务90%采用信用卡等方式结算,在经济交往中,使用信用卡给人们带来了多种便利,其具体表现在()①它集存款、取款、消费、结算、查询等功能为一体②简化收款手续、方便购物消费③减少现金使用,增强消费安全④可以随意超支,杜绝丢失、被偷的任何烦恼A.①②③B.②③④C. ①②④D. ①③④5.使用信用卡的刷卡消费体现着银行的一项业务活动,这项业务活动是()A.存款业务 B.债券买卖 C.代理保险 D.结算业务6.经国务院批准,中国人民银行宣布,自2005年7月21日起,人民币升值2%。
人民币升值意味着()A.用100单位外币可以兑换更多的人民币B.外币对人民币的汇率升高C.有利于我国的商品出口,不利于外国产品进口D.用100单位的人民币可以兑换更多的外币7.若生产同样的一双皮鞋,甲厂花费2小时,乙厂花费3小时,丙厂花费4小时,三双鞋在同一市场上出售,试问,哪一双鞋的价值量大( )A.甲乙丙三厂生产的皮鞋价值量一样大B.甲厂生产的皮鞋价值量大C.乙厂生产的皮鞋价值量大D.丙厂生产的皮鞋价值量大8.假如生产一双皮鞋的社会必要劳动时间是2小时,售出后收入40元。
一.单项选择题(共25道小题,每题2分,共 50分) 1 . 2014年 9 月 28日,家住霞山的李先生说,趁着国庆假期长,他准备带着一家人到三亚旅行,从网上购买了标价为233元的票。
这里的标价233 元履行的职能是A .积蓄手段B .价值尺度C .流通手段D .支付手段 2 .观众收看加密的有线电视节目A .有价值,但是没有使用价值B .不是商品,由于没合用于交换 C .有使用价值,但是没有价值 D.是商品,是用来进行交换的劳动产品 3 .近来几年来,福建省长汀县纺织家产建立研发中心,增添研发投入,搞好新产品开发,技术设备更新,实现企业转型升级。
这是由于,这些新产品的开发,技术设备的更新将A .增添单位产品社会必需劳动时间B .提升该县纺织家产的劳动生产率C .以致纺织品出现供过于求的状况 D .以致纺织企业因竞争加剧而破产 4. 经济学家谢国忠在接受采访时称,此刻的高房价是很多因素作用的结果,泡沫总有一天会破,此刻已经开始破了。
这一观点的合理性在于 A. .耐心等候房价总会降B .商品交换必然以价值量为基础C.泡沫破灭的根源是房子需求不足 D .住处定价权逐渐被开销者掌握 5. 一般来说,当 CPI (开销物价指数)大于 3%的增幅时称作通货膨胀;当CPI 大于 5%的增幅时称作严重通货膨胀。
CPI 升幅过高常常不受市场欢迎,主假如由于①物价不停上升,造成经济不坚固② 商品广泛销售困难③ 纸币供应紧张,央行会增发纸币④生活成本提升,币值随之降落A.①②B.①④ C.②③④ D .②④ 6. 陈先生做建材买卖,他收到购买者给他签发的一张转账支票。
该支票正确的使用方式是 A .凭该支票到银行支取现金 B .凭该支票到购买者企业的财务处支取现金 C .可以直接用来购物 D .凭支票到银行把资本转入自己的账户7.比特币是一种网络虚假钱币,你可以使用比特币购买一些虚假的物件,比方网络游戏中间的衣服、帽子、装备等,只要有人接受,你也可以使用比特币购买现实生活中间的物件。
辽宁省高一上学期政治期中联考试卷姓名:________ 班级:________ 成绩:________一、单选题 (共27题;共54分)1. (2分) (2020高一上·南岔期末) 下列对货币的说法正确的是()A . 货币是和商品同时产生的B . 货币的本质是一般等价物C . 纸币的价值比金属货币更大D . 国家可以随意发行货币2. (2分) (2019高一上·扶余期中) 每个月的10号,程序员小李都能收到一条提醒工资到账的短息。
公司发工资给员工,货币执行的职能是()A . 价值尺度B . 流通手段C . 世界货币D . 支付手段3. (2分)(2020·来宾模拟) 国家统计局发布的2020年1月份全国CPI数据显示,CPI 同比上涨5. 4% ,创近八年新高,超过国际公认的通货膨胀的3%警戒线。
据此,预防通货膨胀成为关注的焦点。
若不考虑其他因素,可能引发通货膨胀的传导路径是()①消费品供不应求→消费品原材料价格走高→消费品出厂价格走高②居民收入上升→消费需求扩大→消费品价格走高③社会总供给小于社会总需求→物价总水平持续上涨④企业利润扩大→企业投资增加→失业率下降A . ④→①→③→②B . ①→④→②→③C . ①→③→④→②D . ④→②→①→③4. (2分) (2017高一上·山西期中) 2017年“五一”小长假期间,小孙将自己在西藏旅游时拍下的精彩山川美景及风土人情照片,复制成光碟出售给旅游杂志社,获得不菲收益。
这些照片之所以能够出售,是因为它们()①是劳动产品,且用于交换②既有使用价值,也有价值③具有独特的使用价值④能给人以美好的精神享受A . ①②B . ①③C . ②④D . ③④5. (2分) (2018高二下·岑溪期末) 2018年4月12日,华为P20系列正式发布并开始预售,在华为官方商城开售仅仅10秒销售额就已经破亿,线下渠道也是“一机难求”。
2021年高一上学期期中联考试题政治含答案刘乔俊陆燕 xx.11.3一、单项选择题:本大题共30小题,每小题2分,共计60分。
1. xx年新疆于田发生地震后,国家有关部门迅速调集帐篷、面包、饮用水、药品等物品,紧急支援灾区。
材料中的帐篷、面包等救灾物品()A.是商品,因为它们是劳动产品B.不是商品,因为它们不是劳动产品C.是商品,因为它们用于交换D.不是商品,因为它们不用于交换2.一台小天鹅洗衣机标价1300元,这里的标价表明货币具有职能。
A.价值尺度B.流通手段C.支付手段D.世界货币3.2014年7月21日美元对人民币的汇率是100:612.5,2012年8月31日美元对人民币的汇率是100:609.1。
上述变化说明()①美元汇率跌落,人民币汇率升高②美元汇率升高,人民币汇率跌落③人民币对美元升值④人民币对美元贬值A.①③B.②④C.①②D.③④4.上述汇率的这种变化对我国的影响是()A.有利于进口 B.有利于出口C.有利于缓解就业压力 D.有利于引进外资5.不同的商品生产者生产质量相同的一种商品,在同一时间、同一市场上以同样的价格出售,有人赚钱,有人亏本。
这是因为()A、商品的价值量不同B、商品的数量不同C、劳动者素质不同D、劳动生产率不同6.“旧时王谢堂前燕,飞入寻常百姓家。
”常被用来形容过去的一些昂贵商品现在变成了大众消费品,造成这种变化的根本原因是()A、社会劳动生产率提高B、大众消费观念发生变化C、供求关系影响D、进口关税下调7.在1千克南瓜==2千克西瓜的公式中,如果供求状况等其他条件均保持不变,那么,在生产南瓜的社会生产率保持不变,而生产西瓜的社会劳动生产率提高1倍。
该公式为()A.1千克南瓜==4千克西瓜 B.1千克南瓜==2千克西瓜C.1千克南瓜==1千克西瓜D.2千克南瓜==1千克西瓜8.右图中①②③依次为A.生产扩大价格下降供不应求B.生产扩大供不应求价格下降C.供不应求生产扩大价格下降D.供不应求价格下降生产扩大9.假设xx年某国1单位M商品,其价值用该国货币表示为24元。
2010-2023历年河北省三校联考高一上学期期中考试政治试卷(带解析)第1卷一.参考题库(共25题)1.新华网《从众心理作祟中学生消费讲“气派”》的文章说,身穿“背靠背”外套,脚踩“耐克”运动鞋,背着“阿迪达斯”双肩背包,戴着“斯沃琪”限量版手表,用着新款手机和MP4,骑着捷安特变速自行车……当前,部分中学生在日常生活消费中追求名牌的风气加剧。
针对这种现象,你认为正确的态度应该是()①摒弃盲目攀比,但不反对名牌②名牌就是现代、前卫,崇尚名牌合情合理③反对盲目攀比,摒弃名牌④根据自己的实际情况,理性对待消费A.①④B.②③C.②④D.③④2.2013年9月29日,国家发展改革委发出通知,决定将汽、柴油价格每吨分别降低245元和235元。
汽、柴油价格的下调,可能带来的影响是()①其互补商品汽车的销量增加②改用燃气的出租车数量增加③物流业的生产成本降低④导致国际油价大幅度下跌A.①②B.②③C.①③D.②④3.2013年3月一年期存款利率3%,小王将5万元存入银行,一年后本息为元,2014年3月我国CPI同比上涨3.6%,本息实际购买力约为元。
A.1500、53354B.51500、49710C.1500、49646D.51500、496464.图表为2012年至2014年的某些日期的甲国货币与乙国货币的汇率情况:2012年4月15日甲国19.12元=乙国100元2013年9月26日甲国20.94元=乙国100元2014年7月3日甲国21.46元=乙国100元以下说法正确的是()①甲国货币升值,乙国货币贬值②甲国货币兑换乙国货币的汇率下降③甲国货币对乙国货币的汇率升高④甲国货币贬值,乙国货币升值A.①②B.②③C.③④D.②④5.“十二五”规划指出:要加强培育公有制经济特别是国有经济,保证公有制经济的主体地位。
要保证公有制的主体地位,必须()A.保证公有资产在各地域和行业都占绝对优势B.坚持多种所有制经济共同发展、公平竞争C.控制非公有制经济在国民经济中的比重D.发展壮大国有经济,发挥其主导作用6.以下是三种投资方式的风险—收益比较示意图,不考虑其他因素,表达合理的是()7.俗话说:“要长寿,吃羊肉”。
2018—2019第一学期宝坻区普通高中高一三校联考试题政治学科一、单项选择题(每小题2分,共35题,共计70分)1.2018年9月16日,今年第22号强台风“山竹”在中国广东台山沿海一带登陆。
台风灾害发生后,某集团公司立即捐赠了价值200万元的救灾物资,并送往灾区。
对这批救灾物资的表述正确的是()A.是商品,因为有使用价值B.不是商品,因为没有用于交换C. 是商品,因为是劳动产品D.不是商品,因为不是劳动产品2.2018年国庆黄金周期间,小王和父母选择了标价为3 680元/人的云南五日游,小王在腾冲的地摊上支付了50元买了几件富有少数民族特色的小饰品。
在这里涉及的货币职能依次是()A.价值尺度支付手段B.流通手段价值尺度C.支付手段流通手段D.价值尺度流通手段3.摄影交换英语、美容交换弹钢琴、厨艺交换服装设计……目前“技能交换”正在都市白领圈悄然流行,许多白领出于职业需要或兴趣爱好,纷纷加入技能交换网,成为“技客一族”。
下列关于“技能交换”的说法正确的是()①“技能交换”需要遵循等价交换的原则②“技能交换”可以使商品价值最大化③交换的“技能”凝结了无差别的人类劳动④“技能交换”是商品流通的一种形式A.①③B.①②C.③④D.②④4.2017年11月1日,100美元可兑换663.2元人民币;2018年11月1日,100美元可兑换696.7元人民币。
这一变化可能带来的影响有()①我国公民赴美国留学的成本降低②有利于外商对中国的投资③我国出口到美国的商品的竞争力增强④有利于我国从美国进口商品A.①②B.①③C.②③D.①④5.全面二孩政策落地后,对月嫂的消费需求产生了一定刺激,有些地区月嫂薪水飙升,进一步催热了眼下的月嫂服务业。
(注:D、S为变动前,以D1、S1为变动后)不考虑其他因素,能正确反映这种变动传导效应的是()A.①→③B.①→④C.②→③D.②→④6. 不同的商品生产者生产同一种商品,在同一时间、同一市场上以同样的价格出售,有人赚钱,有人亏本。
2010-2023历年江苏省三校高一上学期期中联考政治试卷(带解析)第1卷一.参考题库(共20题)1.为破解漫画《砸不开》反映的经济困境,政府可实施的有效举措是()①发展生产,增加供给,满足消费需求②建立健全社会保障体系③平抑物价,保持社会总供给和总需求基本平衡④完善城乡居民基本养老保险、基本医疗保险、失业保险等制度A.①③B.①④C.②③D.②④2.下列债券按收益由小到大排列正确的是()A.企业债券---国债券---金融债券B.国债券---企业债券---金融债券C.金融债券---国债券---企业债券D.国债券---金融债券---企业债券3.今年暑假重庆几名高中生代表重庆到北京参加央视举办的听写比赛,去北京之前,他们从网上成功订购了去北京的机票和宾馆,费用从他们的VISA卡(全球通用的信用卡)中扣除。
这一过程包含的经济学现象有()①可以减少货币流通量②信用透支③电子货币④转账结算A.①③B.②④C.③④D.②③4.价格变动对生产的影响是价值规律发生作用的重要体现()5.某人与几位朋友合作创办了一家有限责任公司。
下列不符合设立有限责任公司规范的是()A.公司按出资比例行使表决权B.公司资本划分为等额股份C.公司财务不必向全社会公开D.股份转让须征得其他股东同意6.五年前,小张在股市低迷时购买了某上市公司的股票,今年卖出时,该股票为他带来了3万元收益。
这一收益的来源是()①上市公司的利润②商业银行的利息③证券公司的利润④股票买卖的差价A.①②B.①③C.①④D.②③7.下面内容为甲乙两位同学对我国实行按劳分配前提和原因的辩论,其中说法正确的是()①我国现实的生产力状况是实行按劳分配的前提②生产资料公有制是实行按劳分配的前提③生产资料公有制是实行按劳分配的根本原因④社会主义条件下人们劳动的性质和特点是实行按劳分配的直接原因A.②④B.③④C.①②D.①④8.假设某国2013年生产M商品10亿件,单位商品的价格为10元,M商品的价值总量和价格总额均为100亿元。
高一政治期中三校联考试卷第一卷(客观题共60分)一、单项选择题(以下各题只有一个最佳答案,每小题2分,共40分)1.是公民基本的政治权利。
A、选举权和被选举权B、言论自由C、监督权D、生存权2.邓小平明确指出:“运用人民民主专政的力量,巩固人民的政权,是正义的事情,没有什么输理的地方。
”对此理解正确的是A、坚持人民民主专政是立党之本、执政之基、力量之源B、坚持人民民主专政是社会主义现代化建设的法律保证C、坚持人民民主专政是社会主义现代化建设的政治保证D、只有坚持国家的专政职能,才能取得阶级斗争的胜利3.在第十届2985名全国人大代表中,共有55名私营企业家,这充分体现出我国社会主义民主的A、广泛性B、真实性C、阶级性D、平等性4.我国宪法规定,任何公民的违法犯罪行为都会受到法律制裁,国家在依法实施处罚方面不允许任何人有超越宪法和法律的特权。
这一规定说明公民参与政治生活A、平等地享有宪法、法律规定的权利B、坚持公民在法律面前一律平等的原则C、坚持权利和义务统一的原则D、坚持个人利益与集体利益、国家利益相结合的原则5.政治生活是人们重要的生活领域,它同经济生活、文化生活一起构成了我们的社会生活。
当代中国人政治生活的主题是A、行使政治权利,履行政治义务B、参与社会公共管理活动C、参与社会主义政治文明建设D、崇尚民主与法制6.对我国选举方式的评价错误的是A、直接选举可以使每个公民都有表达自己意愿的机会,选出自己心目中最信赖的当家人B、在选民较多、分布较广的情况下,往往采取间接选举的方式C、等额选举一定程度上会影响选民的积极性D、差额选举在被选举人之间形成了一定的竞争在某市开展的“我为‘五城同创’献一计”的活动中,广大市民纷纷建言献策。
不到半年时间,市政府就收到3000多条建议。
经过认真研究,很多合理的建议被政府采纳。
据此回答7-8题。
7.材料中某市市民通过参与政府决策。
A、信访举报制度B、专家咨询制度C、重大事项社会公示制度D、社情民意反映制度8.市民积极参与“我为‘五城同创’献一计”的活动,提出很多合理的建议。
20XX年高中测试高中试题试卷科目:年级:考点:监考老师:日期:高一政治第一学期期中联考试题3注意事项:1.本试卷分第1卷和第Ⅱ卷两部分。
答卷前,考生务必将自己的姓名、准考证号填写在答题卡上。
2.回答第I卷时,选出每小题答案后,用铅笔把答题卡上对应题目的答案标号涂黑。
如需改动,用橡皮擦干净后,再选涂其它答案标号。
写在本试卷上无效。
3.回答第Ⅱ卷时,用0.5mm黑色签字笔将答案写在答卷上。
写在本试卷上无效。
4.考试结束后,将答卷和答题卡一并交回。
第1卷(70分)一、判断题(每小题1分,共10分。
你认为正确的请在答题卡上涂"A",错误的涂"B")1、货币的本质是商品()2、商品都有价格()3、外汇即汇率,是两种货币之间的兑换比率()4、各种因素对商品价格的影响是通过改变该商品的供求关系实现的()5、供不应求,价格上涨,这就是所谓的卖方市场()6、生产资料公有制是社会主义的根本经济特征()7、公有制经济包括国有经济、集体经济和混合所有制经济()8、公有制的主导作用主要体现在控制力上()9、企业的信誉和形象是企业的一种无形资产()10、适度消费就是要反对超前消费()二、单项选择题(在每小题给出的四个选项中,只有一项是最符合题目要求的。
每小题2分,共60分)20XX年2月29日人民币对美元的汇率中间价为1:7.120XX8,较前日的7.1220XX上升151个基点。
据此回答11-14题11、人民币本质上是A、商品B、一般等价物C、外汇D、价值符号12、人民币的发行量如果与流通中所需要的货币量不相符合则会A、引起通货膨胀B、引起通货紧缩C、影响人民生活和国家经济稳定D、物价上涨13、材料中的这一变化说明A、美元汇率上升B、人民币汇率下降C、人民币升值D、人民币贬值14、人民币汇率的这一变化对我国人民生活的影响有A、中国商品在国际市场上的竞争力增强B、我国公民出境旅游费用会减少C、不利于我国商品出口D、同样的人民币购买的外国商品会减少15、某地20XX年2 月份的猪肉价格达到28.2元/公斤。
2010-2023历年福建省三校高一上学期期中联考政治试卷(带解析)第1卷一.参考题库(共12题)1.十七大报告指出“坚持公有制为主体,促进非公有制经济发展,统一于社会主义现代化建设的进程中,不能把这两者对立起来。
请用经济生活的知识谈谈坚持和完善我国基本经济制度的必要性。
(9分)2.有人认为“金钱是万能的”,有人认为“金钱是魔鬼”,下列对金钱认识不正确的是A.君子爱财取之有道,用之有度B.金钱是我们生活中不可缺少的一部分C.金钱是万恶之源D.我们不能无限夸大金钱的作用3.2012年,联合国粮农组织发布报告称,粮食价格可能持续上涨,报告内容如下:①极端天气过多造成粮食危机。
②全球粮食减产将导致价格上涨。
继而传导到饲料、养殖产业,引发肉蛋油等。
③价格波动,对居民生活产生影响。
④我国的中粮集团正通过积极的企业运作,在保障产品质量的前提下控制价格上涨幅度。
结合材料,分析全球粮价上涨的原因,并说明粮价上涨给经济生活会带来哪些影响?(12分)4.社会主义经济制度的基础是()。
A.国有经济B.集体经济C.股份制经济D.生产资料公有制5.货币的本质是()。
A.一般等价物B.商品C.金银D.人类劳动6.近年来,“绿色饭店”在宁德悄然兴起。
所谓“绿色饭店”就是运用环保、健康、安全的理念,“倡导绿色消费,抵制食物浪费”。
“倡导绿色消费”的主旨是()。
A.消除人与自然环境的矛盾B.提高我国居民的生活水平C.优化和改善我国居民的消费结构D.保护消费者健康和节约资源7.用人民币到新华书店买书,这时的人民币执行的职能是()A.价值尺度B.流通手段C.贮藏手段D.支付手段8.汇率又称汇价,是两种货币之间的兑换比率。
2005年7月21日,100美元能兑换811元人民币;而到2010年10月21日,100美元能兑换645.78元人民币。
这表明()。
A.人民币汇率升高B.人民币贬值C.美元升值D.美元汇率升高9.按消费目的划分,住房消费属于()。
云南省丽江市高一上学期期中联考政治试卷姓名:________ 班级:________ 成绩:________一、单选题(题型注释) (共24题;共48分)1. (2分) (2019高一上·慈溪期中) 第九届中国国际有机食品博览会首次推出“天然世界NaturalWorld”天然产品展区,集中展示绿色、生态、健康的天然食品、饮料等,来自全国乃至世界各地的有机蔬菜占据了展厅的重要位置,面对光鲜亮丽、没有污染的有机蔬菜,市民充满了矛盾之情,谁都想购买,然而由于其价格较高,让不少市民望而却步。
对此认识正确的是()①有机蔬菜没有污染的高品质决定其价格较高②市民充满了矛盾之情体现了商品基本属性之间的对立关系③有机蔬菜占据了展厅的重要位置说明了人们消费观念的变化④不少市民望而却步说明从众心理决定了消费水平A . ①③B . ②③C . ②④D . ③④2. (2分) (2018高一上·黑龙江月考) 某商场举行“满400元立减60元”促销活动。
李某购买一件标价599元的商品,实际支付539元。
在这里,“599元”和“539元”执行的职能分别是()A . 流通手段、价值尺度B . 价值尺度、支付手段C . 支付手段、价值尺度D . 价值尺度、流通手段3. (2分) (2017高一上·江海期中) 假如在社会上生产同一种玻璃杯有三个厂家,甲生产一只要2分钟,乙生产要3分钟,丙要4分钟,他们的产品同一时间在同一市场出售,则意味着()A . 甲厂水杯价值量最大,获利最多B . 三只水杯价值量一样大,三厂获利一样多C . 三只水杯价值量一样大,甲厂获利最多D . 丙厂水杯价值量最大,获利最多4. (2分) (2019高一下·双鸭山开学考) 2018年8月8日,中国人民银行发行中国能工巧匠金银纪念币。
本次发行的这套金银币共两枚,包括5克金币(中国能工巧匠·鲁班)和15克银币(中国能工巧匠·样式雷)各一枚,均为中华人民共和国法定货币,最大发行量1万枚。
20XX年高中测试高中试题试卷科目:年级:考点:监考老师:日期:高一政治第一学期期中考试3政治试题一、选择题(本大题有34小题,每小题1.5分,共51分)中国人民银行授权中国外汇交易中心公布,20XX年10月20日银行间外汇市场美元等交易货币对人民币汇率的中间价为:1美元对人民币6.8297元,与20XX年7月4日1美元兑人民币6.8639元相比,人民币依然保持着升值的趋势。
回答1-3题。
1.关于人民币、美元的叙述正确的是①都是由国家发行的、强制使用的价值符号②都能在国际市场上执行价值尺度的职能③其实际购买力都是由国家决定的④在各自的国家里都具有流通手段的职能A.①③B.②④C.①④D.②③2.从上述材料中我们可以判断出,20XX年10月20日与7月4日相比A.美元汇率跌落,人民币汇率上升B.美元与人民币汇率都有所上升C.人民币汇率跌落,美元汇率上升D.美元与人民币汇率都没有变化3.进入20XX年以来,人民币升值步伐明显加快。
人民币升值①可能会导致中国对外投资不利②意味着一单位人民币换得的外币减少③可能对中国出口不利,出口生产受到影响④意味着同样多的人民币可以买到更多的外国商品A.①②④B.②③④C.①②③D.③④金羊网-新快报讯:国际油价连日来大幅下滑,国内成品油批发价也节节回落。
广州市场成品油批发价比10月初降幅在200-800元/吨。
零售价方面目前北京地区降幅最大的加油站93号汽油,每升下降0.37元,仅售6元/升;也有媒体报道郑州地区部分加油站各型号成品油降价幅度在0.20XX元-0.12元/升不等;武汉也有加油站各型号成品油每升让利7分钱。
此外,部分加油站还使用加油送礼品的促销手段。
回答4-6题4.成品油的价格取决于A.成品油商品的价值,但受到供求关系的影响B.供求关系,但受到社会必要劳动时间的影响C.个别劳动时间,但受到供求关系的影响D.成品油的使用价值,但受到供求关系的影响5.气候、时间、地域、生产条件及文化民俗等因素都有可能使商品的价格受到影响,但是这些因素都必须通过改变商品的供给或需求来改变商品的价格。
2014-2015学年度第一学期三校期中联考高一政治(考试时间:60分钟满分:100分命题人:审题人:)1.2014年国庆期间,小张的母亲按包月方式订制了天气预报短信,了解气象信息,查询天气情况。
这里的气象信息()A.是商品,因为它有使用价值B.不是商品,因为它有价值,没有使用价值C.是商品,因为它是使用价值和价值的统一体D.不是商品,因为它没有用于交换2.“货币没有臭味,无论从哪里来,一方面它代表已经卖掉的商品;另一方面又代表可以买到的商品。
”材料中说明货币的“两个方面代表”的内涵是指()A.货币的贮藏手段职能B.货币的本质与产生C.金属货币与纸币D.货币的本质是一般等价物3.小王从企业领取了2014年2月份的4000元工资后,用380元在天猫购买了一件打折羊毛衫,该羊毛衫原标价为人民币5 00元。
在这里,4000元、380元、500元分别执行的职能是()A.支付手段、价值尺度、流通手段B.支付手段、流通手段、价值尺度C.流通手段、支付手段、价值尺度D.价值尺度、流通手段、支付手段4. .2013年3月22日,人民币对美元的汇率1美元=6.2711元,2013年9月5日,人民币兑美元的汇率1美元=6.1696元。
当上述经济现象发生后,下列哪些经济现象会伴随出现①中国公民到美国旅游的人数增加②美国外商来华投资人数增加③中国进口美国商品的数量增多④美国到中国的留学生人数增多A. ①③B. ②③C. ②④D. ①④5.在东北,精打细算的人们往往会在夏季的时候购买羽绒服。
反季购买的商品往往价格低一些,这主要是因为A.反季的商品质量差B.反季生产商品耗费的劳动少,因而价值小C.反季的商品价格高于价值D.反季购买者少,商品供过于求6.下列函数图像描述的是某商品在半年中的价格走势,根据该图下列理解正确的是()①该商品很可能供不应求②该商品的互补商品需求量会有所增加③该商品的替代商品需求量会有所减少④生产者可能会扩大该商品生产A.①②B.①④C.②③D.②④7.对“花明天的钱,圆今天的梦”的消费观的正确认识是A.符合时代消费方向,应成为每一位消费者追求的目标B.否定了艰苦奋斗的传统美德,应加强对这一消费群体的教育C.在预期收入稳定或允许的条件下,应大力提倡和鼓励D.对青年人有这种认识应鼓励,对老年人有这种认识应批判8. 2014年3月,全国居民消费价格总水平同比上涨2.0%。
20XX年高中测试高中试题试卷科目:年级:考点:监考老师:日期:高一政治第一学期期中三校联考试卷试题卷说明:1、考试时间为90分钟,卷面满分为100分2、请将答案写在答题卷上,写在试题卷上无效一.选择题(以下各题每题均只有一项最符合题意。
每题2分,共56分)1.王某从银行取出工资,并购买所需的商品,这一过程体现的货币职能有()A.支付手段和流通手段B.支付手段和价值尺度C.价值尺度和贮藏手段D.价值尺度和流通手段2.王某在购买这些商品时往往会"货比三家",最终会购买"物美价廉"的商品。
这表明()A.商品的质量决定商品的价格B.追求"物美价廉"是人们生活的目标C.商品是使用价值与价值的统一体D.商品的使用价值与价值成反比关系3.王某在购买这些不同商品时都需要使用货币。
这表明货币()A.是万能的,有了货币就有了一切B.与商品是一对孪生兄弟,有商品就必然有货币C.可以和一切商品相交换就不再是商品了D.本质是一般等价物随着信息技术的迅速发展,特别是计算机网络化的实现,在现实生活中,人们越来越多地借助电子计算机进行贮存、转帐、购买、支付而使用所谓的"电子货币"。
根据这一生活常识回答4―5题4.现代市场经济是信用经济。
在市场经济发达的国家中,人们购买商品和服务90%采用信用卡等方式结算,在经济交往中,使用信用卡给人们带来了多种便利,其具体表现在()①它集存款、取款、消费、结算、查询等功能为一体②简化收款手续、方便购物消费③减少现金使用,增强消费安全④可以随意超支,杜绝丢失、被偷的任何烦恼A.①②③B.②③④C. ①②④D. ①③④5.使用信用卡的刷卡消费体现着银行的一项业务活动,这项业务活动是()A.存款业务B.债券买卖C.代理保险D.结算业务6.经国务院批准,中国人民银行宣布,自20XX年7月21日起,人民币升值2%。
人民币升值意味着()A.用100单位外币可以兑换更多的人民币B.外币对人民币的汇率升高C.有利于我国的商品出口,不利于外国产品进口D.用100单位的人民币可以兑换更多的外币7.若生产同样的一双皮鞋,甲厂花费2小时,乙厂花费3小时,丙厂花费4小时,三双鞋在同一市场上出售,试问,哪一双鞋的价值量大( )A. 甲乙丙三厂生产的皮鞋价值量一样大B.甲厂生产的皮鞋价值量大C.乙厂生产的皮鞋价值量大D.丙厂生产的皮鞋价值量大8.假如生产一双皮鞋的社会必要劳动时间是2小时,售出后收入40元。
某一生产者率先提高劳动生产率一倍,在其它生产条件不变的情况下,他用4小时生产同样的皮鞋售出后收入是()A.20元B.40元C.80元D.160元9.经政府职能部门批准,20XX年春运期间,部分运输能力紧张的旅客列车票价实行一定程度的上浮。
这种做法()A. 意味着市场供求关系决定票价上浮B. 体现了价值决定价格,供求影响价格C. 是铁路扭亏增盈的主要手段D. 说明经审核批准的价格不符合市场规律10.旅游淡季,航空公司为争抢客源,往往实行机票打折优惠。
20XX年春,竞争最激烈的京沪航线上,特价机票竟降至250元,低于火车硬卧车票(327元),使得不少原打算坐火车出行的人改乘飞机。
这种现象说明( )A.价格是由需求决定的B.消费者对商品的选择,受服务质量的影响C.在互补的两种商品中,一种商品价格下降,能扩大对互补品的需求D.在互为替代的两种商品中,一种商品价格下降,能减少对其替代品的需求11.汽车已经进入寻常百姓家。
早富起来的一些人用现金购车,爱车族中的一些人贷款购车,还有一批人在持币观望,他们期待着汽车价格大幅度下跌,而占人口大多数的普通百姓则是望车兴叹,连梦也不敢做。
下列对这一现象认识正确的是()①从消费方式上看,这些购车的人可分为钱货两清的消费和贷款消费②对未来收入的预期影响着人们当前的消费水平③物价水平是影响人们购买能力和消费选择的重要因素④人们的收入差别过大会影响社会总体消费水平A.①②B.①②③C.②③④D.①②③④12.上述材料说明,人们的汽车梦能否实现,取决于()A.人们的收入水平和汽车价格B.国家的汽车、交通、税收配套政策C.汽车的质量、性能、售后服务D.人们的消费观念13.著名的体育用品品牌耐克公司专为中国的跨栏王刘翔设计了一款最轻的钉鞋"红色魔鞋",并且为包括中国选手在内的2000多名运动员提供了耐克产品。
商家运用偶像来推销自己的产品,并促使其成为流行时尚。
对于消费者来讲这属于( )A.从众心理引发的消费B.求异心理引发的消费C.攀比心理引发的消费D.求实心理引发的消费14.通常情况下,一个家庭的恩格尔系数的减小,不能表明()A.该家庭的生活水平在提高B.该家庭的收入增加C.该家庭的食品消费总支出在减少D.该家庭的消费结构改善15.20世纪末,绿色消费悄然兴起,现在绿色消费已成为人们生活消费的首要选择。
绿色消费的核心是( )A.保护消费者健康B.节约资源C.保护环境D.可持续性消费16.近年来我国电信行业蓬勃发展,目前全国固定电话和移动电话用户已超过2.6亿户。
我国居民对固定电话和移动电话的需求量带动电信行业的蓬勃发展说明( )A.消费方式决定生产方式B.消费对生产具有反作用C.消费结构决定生产结构D.生产水平决定消费水平17.我国目前处于社会主义初级阶段,只有大力发展生产力,才能()①为巩固社会主义制度建立起雄厚的物质技术基础②摆脱经济文化落后状态③解决我国社会的主要矛盾④不断增强综合国力,提高我国在国际上的地位A.①②③B.①②④C.①③④D.①②③④18.下列观点中属于对公有制正确认识的有( )①公有制应包括混合所有制中的国有和集体成分②股份制是公有制的主要实现形式③坚持公有制为主体,要求公有资产在国民经济各个部门和领域都要占优势④坚持公有制为主体,必须保证国有经济对国民经济的主导作用A.①②B.①②④C.①③④D.①②③④19.某股份有限公司中,国有经济的股份占55%,集体经济的股份占15%,外资企业的股份占15%,私营企业的股份占10%,个人股份占5%,并建立了股东代表大会、董事会、监事会和经理层,职权明确,运转协调。
该企业的特点是()①这是一个国有控股的企业②采用的是股份合作制的形式③该企业属于混合所有制经济④该企业的投资主体是多元化的A.①③④ B.①②③ C.②③④ D.①②④20.改革开放以来,我国私营经济以每年20%-30%的速度增长。
据统计,私营企业现有221万家,吸纳了包括国有企业下岗职工在内的从业人员共2931万人,创造产值占我国GDP的1/5,缴纳税款占全国税收收入的1/10。
这表明()①私营经济为扩大就业和经济增长做出了贡献②私营企业为深化国有企业改革提供了有利条件③私营经济是社会主义市场经济的重要组成部分④公有制经济与非公有制经济在我国国民经济中的地位是平等的A.①②③④B.①②③C.①③④ D.②③④21.有限责任公司与股份有限公司最主要的区别在于()A.发起人数量B.股东是否承担有限责任C.公司资本是否划分等额股份、发行股票D.注册资金的多少22.随着市场经济的发展,出现了许多新的职业,如新闻线人、自由举报人、精神陪护、钟点文秘、专业道歉人、房产经纪人等,这说明()A.随着市场经济的发展,一些不正当职业也会出现B.市场经济负面影响大C.要树立多种方式就业观D.要树立职业平等观23.据调查测算,目前我国农村外出务工经商3个月以上的农民将近1.4亿,已经成为我国产业工人的重要组成部分,随之而来的拖欠农民工工资的现象也日趋严重。
用人单位拖欠和克扣农民工工资,侵犯了农民工的( )A. 取得劳动报酬权B. 人身自由权C. 获得劳动安全卫生权D. 公平交易权24.上述材料中的劳动者应该()A.为保住工作而忍气吞声B.联合起来与老板对抗,必要时采取暴力手段C.应该到有关部门投诉、申请仲裁或起诉D.遵守劳动纪律和职业道德25.某储户于20XX年6月存入10000元,定期五年,年利息率为2.88%,利息税率为20%,5年到期时该储户获得的利息收益是()A.288元B.1152元C.1440元D.2880元26.我国商业银行的主体业务是()A.存款业务B.贷款业务C.结算业务D.代理买卖外汇27.北京、上海、沈阳等七个城市的调查显示,购买股票均在居民选择的保值增值形式中占有相当比重。
下列选项对股票的认识,正确的是()A.股票是有限责任公司在筹集资本是向出资人出具的股份凭证B.股票是股份有限公司在筹集资本是向出资人出具的股份凭证C.股东可以随时要求公司返还其出资D.股票代表其持有者对股份公司的所有权,该所有权只是收取股息或分享红利28.我国的金融市场为企业和个人提供了多样的投资品种和渠道,下列对投资方式共同点描述正确的是()A.都存在借贷关系B.都是规避风险的投资行为C.都以获得利息为目的D.风险和收益正相关二.非选择题(共44分)29.随着改革开放的深入发展,我国人民生活水平不断提高,人们的消费观念和方式发生了很大的变化,对此,某校学生就本校中学生消费情况进行调查,调查结果主要内容如下:材料一:学生生日宴请:90%以上学生过生日都要互相宴请,购买礼物赠送。
而且宴请规模、赠送礼物呈扩大的趋势。
平时节日:98%以上同学都互相送贺卡,且贺卡档次越来越高,价格越来越貴。
原因:同学们都这么做,不请不送丢脸面。
材料二:就学生个人消费情况:手中有电子词典100%,手机、MP3达30%以上,电脑达3%。
而且电子装备呈现普遍化、个性化特点。
生活消费:饮食占20%,服装占40%,文化书籍占5%,零食、玩占35%。
近40%的同学认为自己有很多只用过一时便不再用的东西。
原因:"人有我必有""人无我也有"。
通过对获取材料的分析研究,学生李某准备撰写一篇研究报告。
现请你结合自己对上述材料的分析,运用所学知识,为他的报告确定一个最合适的题目并回答下列相关问题。
(1)报告题目:(2分)(2)在中学生中存在这样的消费情况受哪些因素的影响。
(5分)(3)运用所学知识,结合材料分析作为新的历史时期的中学生应当树立怎么样的正确消费观。
(9分)30.近年来,随着科学技术的发展和社会劳动生产率的提高,汽车、家电、手机等商品价格不断下跌,价格战此起彼伏,企业面临着生与死的考验。
(1)从经济生活看,上述商品价格不断下跌的根本原因是什么?(4分)(2)一般来说,商品价格下降对消费者的消费会产生什么影响?(6分)(3)结合经济生活的有关知识,谈谈如果你是上述商品生产企业的厂长,该怎样才能在激烈的市场竞争中求得生存和发展。
(6分)31.我国的金融市场为企业和个人提供了多样的投资品种和渠道,普通老百姓也把越来越多的心思花在了"理财"和"投资"的选择上,家庭理财,最关键的是时刻牢记理财座右铭:不要把鸡蛋都放在一个篮子里!(1)材料中"鸡蛋"这种比喻说明了什么问题?"不要把鸡蛋都放在一个篮子里"是想告诉人们什么?(4分)(2)小叶工作几年节余了10万元,正在考虑用这笔钱进行投资。