安徽六安一中2015年一本录取情况
- 格式:xls
- 大小:146.50 KB
- 文档页数:28
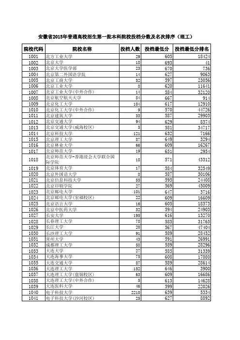
安徽省2015年普通高校招生第一批本科院校投档分数及名次排序(理工)
安徽省2015年普通高校招生第一批本科院校投档分数及名次排序(理工)
安徽省2015年普通高校招生第一批本科院校投档分数及名次排序(理工)
安徽省2015年普通高校招生第一批本科院校投档分数及名次排序(理工)
安徽省2015年普通高校招生第一批本科院校投档分数及名次排序(理工)
安徽省2015年普通高校招生第一批本科院校投档分数及名次排序(理工)
安徽省2015年普通高校招生第一批本科院校投档分数及名次排序(理工)
安徽省2015年普通高校招生第一批本科院校投档分数及名次排序(理工)。
安徽六安一中2015年一本录取情况孙萌674北京大学理工皋城中学孙怀洋671北京大学理工汇文中学沈运654清华大学理工皋城中学何沛生650清华大学理工汇文中学梁凯超649清华大学理工皋城中学程旭升647复旦大学理工皋城中学赵健645复旦大学理工汇文中学张宇641上海交通大学理工舒城二中刘蕙蕙641上海交通大学理工皋城中学朱贯增639复旦大学理工舒城二中汪兴邦636中国人民大学理工轻工中学马世元636中国科学技术大学理工皋城中学汪君635中国科学技术大学理工舒城二中钱正浩634中国科学技术大学理工霍邱一中初中部冯彬634中国科学技术大学理工叶集第二中学汪飞630中国科学技术大学理工新安中学刘浩源629浙江大学理工皋城中学黄一璜628复旦大学理工皋城中学李毅627浙江大学理工青山中学崔忠诚627南京大学理工椿树中学徐杨626中国人民大学理工汇文中学梁粟626中国科学技术大学理工皋城中学王俊626南开大学理工轻中中学何士爽625中国科学技术大学理工霍邱三中刘磊625同济大学理工杨公庙初中胡成超625南京大学理工皋城中学汪一鸣624中国人民大学理工金江实验学校何旭文624北京航空航天大学理工皋城中学李润洲624北京航空航天大学理工黑石渡中心校杨舜623同济大学理工东桥初中韩旭623国防科学技术大学理工皋城中学王开屏622南开大学理工皋城中学李绍新622北京航空航天大学理工皋城中学魏彦冰621南开大学理工文峰学校拥军620北京航空航天大学理工同兴寺初中林旺619上海财经大学理工龙井初中付立军619东南大学理工轻工中学汪黎617中山大学理工轻工中学陈先龙617西安交通大学理工皋城中学但钰宛616武汉大学理工东河口镇中学许乔昱616同济大学理工皋城中学王蓉希616上海交通大学理工龙井初中吴步晨616上海财经大学理工皋城中学秦伟志615同济大学理工皋城中学魏小糠615东南大学理工皋城中学余睿614同济大学理工金江实验学校周倩614上海财经大学理工凤凰台初中张霄波614华中科技大学理工皋城中学刘畅613中央财经大学理工金城学校王建613同济大学理工丁集镇中学余豪613同济大学理工寿县实验中学吴驰613东南大学理工斑竹园镇中心校刘涛612西安交通大学理工汇文中学赵政阳612西安交通大学理工汇文中学刘琪612西安交通大学理工丁集镇中学刘自涵612东南大学理工丁集镇初级中学彭鹏611中山大学理工皋城中学孙密广611上海交通大学理工皋城中学许可飞611东南大学理工皋城中学张郑611第二军医大学理工皋城中学陆园610中央财经大学理工汇文中学赵儒冀610中国科学技术大学理工金城中学刘欣610厦门大学理工轻工中学张胜强610西安交通大学理工六安九中李郭广立610南开大学理工寿县三中胡甜赐610东南大学理工汇文中学李凡609哈尔滨工业大学理工皋城中学唐雨汉608同济大学理工皋城中学窦贤豪608华中科技大学理工户胡镇中心校张宏亚608华中科技大学理工西皋中学郑长坤608东南大学理工霍邱县城关镇中心校邵前超608东南大学理工西皋中学胡煜辉607武汉大学理工汇文中学任杰606东南大学理工十字路中学陈成606东南大学理工皋城中学台尚605南京航空航天大学理工叶集实验中学张吴涛605东南大学理工皖西中学汪杉605东南大学理工皋城中学刘慕瑶604中山大学理工周集镇中心校李昭604武汉大学理工皋城中学余纪雪603厦门大学理工李集中学陈德润603武汉大学理工皋城中学张祖鹏603外交学院理工轻工中学仇峰603华中科技大学理工六安九中李永坤603华中科技大学理工霍山县高山初中郝威602武汉大学理工皋城中学孔祥辉602天津大学理工皋城中学姜文祥602华中科技大学理工皋城中学李田杰602东南大学理工河口镇中心校王步超602东南大学理工裕安中学李小松602北京理工大学理工果子园乡中心校李淑文601中山大学理工皋城中学李梦冉601西南财经大学理工广岩初中褚成凤601武汉大学理工轻工中学杜琛601武汉大学理工皋城中学钱义洋601华中科技大学理工叶集区孙岗中学李欣欣601东南大学理工天峰中学杨宗明600武汉大学理工六安九中许沁蕊600华北电力大学理工皋城中学柳一村599中山大学理工皋城中学张经伟599天津大学理工白马宕中学方俊峰599天津大学理工皋城中学陈昱成599华中科技大学理工众兴中学周著人599哈尔滨工业大学理工皋城中学朱云超598中山大学理工轻工中学卫建勋598南京航空航天大学理工皋城中学吕阳598华中科技大学理工汇文中学叶逸凡598华中科技大学理工汤家汇镇中心学校刘跃598哈尔滨工业大学理工汇文中学罗小凡597中山大学理工皋城中学范传银597中国政法大学理工石店育才中学祝金彪597厦门大学理工育英学校陈紫雨597厦门大学理工五塔中学林培浩597天津大学理工汇文中学胡松明597华中科技大学理工固镇中学卢振兴597国防科学技术大学理工汇文中学安玖596南京航空航天大学理工皋城中学罗杰596华中科技大学理工苏南初中龙海波596华中科技大学理工埠塔寺初中黄浩596华南理工大学理工皋城中学刘思军596华南理工大学理工岔路镇中心校李波596大连理工大学理工轻工中学费腾596大连理工大学理工固镇中学张健596北京邮电大学理工汇文中学许宏韬595华南理工大学理工皋城中学范良伟595国防科学技术大学理工汇文中学王陈炜595电子科技大学理工汇文中学张家成595大连理工大学理工汇文中学陶家全595北京邮电大学理工龙门初中孙华烨594中山大学理工皋城中学姚鲁594中山大学理工皋城中学周阳594中山大学理工皋城中学胡成浪594华南理工大学理工棠树中心校陈润田594大连理工大学理工隐贤中学王安姚593华东师范大学理工皋城中学王俊593电子科技大学理工金寨二中朱勋祥592西南财经大学理工旭东中学方习592四川大学理工汇文中学武金皖592四川大学理工椿树中学陈善生592上海外国语大学理工汇文中学高超592华中科技大学理工江家店中学樊庆轩592第二军医大学理工汇文中学刘牛591中南大学理工汇文中学周昊591南京航空航天大学理工皋城中学武显亮591南京航空航天大学理工周集镇中学廖海生591电子科技大学理工汇文中学杨曼琪591北京邮电大学理工皋城中学张方旭590中南大学理工轻工中学王修珩590西北工业大学理工天峰中学张涛590南京理工大学理工骆家庵中学金子寅590南京航空航天大学理工斑竹园镇中心校杨帆590电子科技大学理工皋城中学李梦然590大连理工大学理工舒城二中许晓恒590大连理工大学理工张冲中心校张耀然589南京航空航天大学理工皋城中学王璐璐588中国政法大学理工轻工中学王焱588山东大学理工轻工中学罗鲍588南京航空航天大学理工轻工中学邵琨588南京航空航天大学理工汇文中学夏爽588电子科技大学理工皋城中学周正588大连理工大学理工皋城中学屠双城588大连理工大学理工轻工中学张建宇588北京邮电大学理工轻工中学梁玉霞587四川大学理工顺河店初中管明远587南京航空航天大学理工皋城中学黄德才587南京航空航天大学理工皋城中学姚慕燃587国际关系学院理工皋城中学马茹586中南财经政法大学理工舒城二中张思超586山东大学理工单王初中刘海波586南京理工大学理工山七中心校李杰586南京航空航天大学理工皋城中学王席586华东师范大学理工金寨二中潘有鑫586电子科技大学理工裕安中学叶庆元586第四军医大学理工皋城中学吴丽丽586北京交通大学理工新店镇初中涂德芳585中南大学理工寿县丰华中学李孙文585中南大学理工皋城中学涂欣怡585同济大学理工汇文中学张艳艳585南京理工大学理工农机校初中部李越华585南京理工大学理工皋城中学李贵远585南京理工大学理工顺河店学校申政585南京航空航天大学理工寿春中学袁狄584中南大学理工古碑中心学校胡苏徽584四川大学理工白塔寺初中刁海洋584四川大学理工枣树初中卢文玉584上海立信会计学院理工六安九中刘放584山东大学理工横塘岗中学方乐乐584南京理工大学理工青山初中洪洁584南京理工大学理工长岭中心校许彧文584南京航空航天大学理工皋城中学赵德洁584华北电力大学理工皋城中学吕鸿智584国防科学技术大学理工皋城中学陈佩瑶584电子科技大学理工皖西中学陈浩583重庆大学理工皋城中学高磊583中南大学理工皋城中学高梦婷583西南财经大学理工皋城中学郝沪闻583四川大学理工皋城中学葛中杰583南京理工大学理工轻工中学张新晨583南京理工大学理工淠东初中秦祥翔583华东理工大学理工轻工中学刘啸583电子科技大学理工皋城中学刘鹏582中南大学理工宏立中学郭亮582中南大学理工杨公庙中学朱鹏飞582中南大学理工晋善中学李享582中南大学理工皋城中学王飞582中南大学理工皋城中学李俊582中南大学理工长集中心校陈志豪582中南大学理工登科中学杨家锐582山东大学理工隐贤中学王磊582南京理工大学理工霍邱县农机校田永超582南京理工大学理工登科中学王顺582华东理工大学理工苏南初中廖侃582华北电力大学理工万佛湖中心校韩正双582湖南大学理工轻工中学王巍582电子科技大学理工汇文中学张国建582电子科技大学理工轻工中学汪志伟581四川大学理工皋城中学汪迥581华东理工大学理工皋城中学韩博韬581华北电力大学理工合肥五十中陈傲楠581合肥工业大学理工三十铺中学张文文581电子科技大学理工汇文中学李想581北京交通大学理工舒城二中张杰580重庆大学理工天峰中学韩翀580中南大学理工洪集中心校刁静怡580中南大学理工皋城中学郝帅580中南大学理工智恒中学徐纪元580中南大学理工皋城中学杨正旺580中南大学理工陆集中学王炳宸580中南财经政法大学理工皋城中学符媛媛580南京理工大学理工天峰初中涂晶580南京理工大学理工南官亭中学涂冰冰580华东理工大学理工夏店镇中心校吴兴宇580电子科技大学理工汇文中学宋林森580北京科技大学理工六安九中赵力580北京航空航天大学理工韩摆渡中学汪洋579中南大学理工舒城二中叶超峰579南京理工大学理工铁冲中心校唐慧瑢579华东理工大学理工文峰学校余家飞579电子科技大学理工郭店中学徐进579电子科技大学理工皋城中学姜文俊579电子科技大学理工轻工中学任育耀579电子科技大学理工晋善中学宋世伦579北京交通大学理工裕安中学马亮578中南大学理工汇文中学张卫578第二军医大学理工汇文中学常晓雨578安徽医科大学理工皋城中学李卓宇577中国农业大学理工皋城中学黄志强577四川大学理工桥店初中朱宁生577南京理工大学理工双河中学张阳577华东理工大学理工汇文中学蔡明清577华东理工大学理工汇文中学吴同乐577电子科技大学理工叶集二中王跃577北京交通大学理工智恒中学程俊杰576中南财经政法大学理工皋城中学许磊576苏州大学理工皋城中学邬山云576四川大学理工三十铺中学周建勋576四川大学理工刘蕴奇576华东政法大学理工轻工中学朱世勇576合肥工业大学理工裕安中学孟鹏576合肥工业大学理工皋城中学郑杰576合肥工业大学理工磨子潭中学汪玥576北京科技大学理工汇文中学薛春雨575四川大学理工寿春三中洪兴星575南京理工大学理工青山初中吴涛575南京理工大学理工火星初中杨涛575湖南大学理工轻工中学李志林575合肥工业大学理工新塘中学宋彬彬575电子科技大学理工轻工中学杨凡574重庆大学理工汇文中学王蕊574西安电子科技大学理工杨仙中心校王浩574苏州大学理工皋城中学黄新蕊574南京审计学院理工皋城中学黄杨574华北电力大学理工毛坦厂初中龚玮574合肥工业大学理工皋城中学刘谦574东北大学理工皋城中学张鹏辉574电子科技大学理工范桥中心校王涛574安徽医科大学理工皋城中学刘莉573重庆大学理工轻工中学汪谞573重庆大学理工汇文中学张良玥573中南财经政法大学理工皋城中学林宇健573西北工业大学理工金寨县二中李向阳573苏州大学理工陈家河初中王静573南京审计学院理工六安九中张世瑾573南方医科大学理工皖西中学张梅573河海大学理工汇文中学方东573国防科学技术大学理工汤池中心校刁成功573电子科技大学理工六安九中王陈喆573电子科技大学理工皖西中学梁先锋572重庆大学理工顺河镇中学孙玉萍572中南财经政法大学理工仙花实验学校杨继翠572天津医科大学理工淠东初中陈鹏572苏州大学理工皋城中学潘黄燕572上海大学理工范庵中学孔学谦572河海大学理工皋城中学魏传剑572国防科学技术大学理工苏南初中李锐572北京科技大学理工皋城中学邬登兵571河海大学理工轻工中学岳开鑫571合肥工业大学理工轻工中学汪磊571合肥工业大学理工西河口初中韦榆瑶571合肥工业大学理工皋城中学胡东昇570解放军理工大学理工皋城中学胡海星570合肥工业大学理工施桥中学李飞570合肥工业大学理工苏南初中汪华月570合肥工业大学理工西河口初中唐文成570合肥工业大学理工皋城中学丰荣佳570合肥工业大学理工椿树中学李麟570合肥工业大学理工皋城中学刘言言570合肥工业大学理工龙潭中心校陈博569中国海洋大学理工汇文中学吴铭睿569武汉理工大学理工汇文中学翁帅569河海大学理工洞阳中学杨增谱569合肥工业大学理工苏南初中陈士昱568西安电子科技大学理工皋城中学鲁翔宇568武汉理工大学理工皖西中学黄娟568武汉理工大学理工乌龙镇中心校赵玉568吉林大学理工诚信实验中学王志远568吉林大学理工保义兴华中学樊蕾568华中师范大学理工汇文中学王自飞568河海大学理工轻工中学丁欢568合肥工业大学理工皋城中学张钟568合肥工业大学理工轻工中学刘阳567中国石油大学理工皋城中学陈剑强567解放军陆军军官学院理工西河口初中郭雅楠567合肥工业大学理工霍邱县农机校王吉新567合肥工业大学理工花园中心校从善学567哈尔滨工程大学理工汇文中学张锐567东北财经大学理工皖西中学李玲567北京工业大学理工单王中学钟一鸣566中国农业大学理工金城中学蒯磊566合肥工业大学理工汇文中学杜仲杰566东北大学理工皋城中学杨昆昆566第四军医大学理工马头初中桂仲璇566安徽医科大学理工皋城中学陈晓婉566安徽医科大学理工皋城中学张伟566安徽医科大学理工六安九中陈晨565中国海洋大学理工汇文中学鲍传林565上海大学理工汇文中学樊路565南京航空航天大学理工皋城中学张绪成565吉林大学理工华祖初中程宇565华北电力大学理工皋城中学吴军565合肥工业大学理工汇文中学占永昆565合肥工业大学理工河棚镇中心校周家运565合肥工业大学理工陈家河初中孔祥盼564重庆医科大学理工陆集中学汪明杰564武汉理工大学理工皋城中学彭锦564武汉理工大学理工轻工中学赵成乐564上海大学理工寿县三中窦贤兴564吉林大学理工皋城中学樊玲玲564华中师范大学理工三十铺中学王玉564河海大学理工菁英中学霍然564合肥工业大学理工皋城中学邵鑫564东北大学理工三元初中叶青洁564东北财经大学理工霍邱县农机校徐昂564安徽医科大学理工皋城中学陈飞563武汉理工大学理工杭埠镇中心校文潇艺563上海立信会计学院理工皋城中学张丝语563上海大学理工霍邱一中初中部冯文婧563江南大学理工桃岭中学刘童563合肥工业大学理工轻工中学袁野563合肥工业大学理工晋善中学王勇庆563合肥工业大学理工汇文中学许兵563合肥工业大学理工千人桥中心校高山563合肥工业大学理工舒茶中学刘涛563东北大学理工皋城中学王忠义562南京审计学院理工皋城中学赵杨562合肥工业大学理工张畈中学李果562合肥工业大学理工轻工中学姜文慧562合肥工业大学理工轻工中学彭永宜562东北大学理工皋城中学文鹏561武汉理工大学理工舒城二中彭程561天津医科大学理工安家河中学张显阳561江南大学理工皋城中学江开宇561合肥工业大学理工汇文中学荣光新561合肥工业大学理工新安初中费勤宗561合肥工业大学理工皋城中学潘卫东561合肥工业大学理工许小河中学高磊561合肥工业大学理工淠东初中王业波561合肥工业大学理工轻工中学邓德森561安徽大学理工登科中学倪杰明560中国医科大学理工皋城中学刘红乙560西安电子科技大学理工汇文中学黄遵祥560西安电子科技大学理工汇文中学贾天浩560上海立信会计学院理工皋城中学林海560南京财经大学理工苏南初中李可陈560华中师范大学理工汪神中学郭亮亮560合肥工业大学理工埠塔寺初中汪家欣560合肥工业大学理工皋城中学付青远560电子科技大学理工金寨二中宋君559武汉理工大学理工狮子岗中学王安阳559武汉理工大学理工轻工中学田家如559武汉理工大学理工晋善中学张茜559武汉理工大学理工轻工中学魏启锡559合肥工业大学理工青山初中王晓峰559合肥工业大学理工汇文中学李国倩559合肥工业大学理工板桥中心校胡高超559合肥工业大学理工皋城中学张梦圆559合肥工业大学理工汇文中学佘孝敏559合肥工业大学理工皋城中学吴霍俊559合肥工业大学理工韩摆渡中学张福虎559东华大学理工石堰中学车洁559东华大学理工固镇中学龙益如558中国药科大学理工冯瓴中学王鹤558中国药科大学理工潘店中学许佳佳558中国矿业大学理工皖西中学江顺利558合肥工业大学理工燕子河镇中心校方明婷558合肥工业大学理工龙井初中汪天558合肥工业大学理工皋城中学杨杰558合肥工业大学理工埠塔寺初中杨晨雨557中国地质大学理工皋城中学黄刚557武汉理工大学理工皋城中学汪文静557上海大学理工霍山文峰学校白春森557南开大学理工汇文中学汪春播557合肥工业大学理工单王乡中学姜浩557合肥工业大学理工马头初中郭诚露557合肥工业大学理工皋城中学季拓557合肥工业大学理工施桥初中郭立春557合肥工业大学理工新安城西初中王凯伦557东华大学理工旭东中学鲍晓雅557安徽财经大学理工汇文中学杜晨556武汉理工大学理工汇文中学盛宁556武汉理工大学理工皋城中学陈钊556武汉理工大学理工韩摆渡中学文成556武汉理工大学理工汇文中学汪秀劲556上海立信会计学院理工挥手学校孙文556上海对外经贸大学理工皋城中学丁文昊556上海大学理工舒城二中李粤556山东大学理工皋城中学万晓宇556南京邮电大学理工皋城中学梁贵伟556兰州大学理工桃园中学张颢556华东理工大学理工轻工中学洪爽556广东外语外贸大学理工白塔寺中心校吴磊556长安大学理工枣树初中王健超556安徽大学理工汇文中学余跃555中国石油大学理工汇文中学张恒运555浙江理工大学理工轻工中学王先宇555武汉理工大学理工汇文中学谢大发555武汉理工大学理工皋城中学刘梦涵555福州大学理工霍山二中路转555安徽医科大学理工皋陶中学彭瑶555安徽医科大学理工汇文中学苏瑞554中国药科大学理工登科中学张正554江南大学理工陆集中学刘静静554东华大学理工皋城中学余浩洋554东北大学理工汇文中学易怀晨554电子科技大学理工皋城中学漆雅554安徽医科大学理工汇文中学李晓晓554安徽大学理工埠塔寺初中张唯佳553中国医科大学理工汇文中学沈冉维553中国地质大学理工轻工中学张丽553浙江工业大学理工苏南初中赵育553深圳大学理工桃溪中心校金佳佳553山东大学理工皋城中学杨伟波553江南大学理工白莲乡中心校但思远553理工但家庵镇周剑涛552上海理工大学理工张研552南京邮电大学理工汇文中学卢仕兵552南京师范大学理工汇文中学符瑞552华中师范大学理工汇文中学余逸飞552合肥工业大学理工皋城中学杨新飞552长安大学理工皋城中学张安全552长安大学理工白塔寺中心校韩燕勋552安徽医科大学理工汇文中学张京城552安徽医科大学理工洞阳初中沈钊552安徽大学理工皋城中学王安阳552安徽大学理工汇文中学王志杰551中国矿业大学理工金城学校江涛551中国矿业大学理工汇文中学潘宗星551中国矿业大学理工轻工中学方自然551郑州大学理工夏店镇中心校刘玉551南京师范大学理工白塔寺初中李丹551南京农业大学理工汇文中学李自知551南京财经大学理工关锐551南昌大学理工大牛初中杨振东551广东外语外贸大学理工油坊店乡中心校陈彧551长安大学理工油坊店乡中心校程子芮551北京林业大学理工皋城中学徐家科551北京林业大学理工皋城中学黄幸550中国石油大学理工汇文中学樊俊550中国石油大学理工皋城中学窦苏北550中国地质大学理工皋城中学刘文丽550郑州大学理工皋城中学朱玲君550郑州大学理工霍邱县城关中心校王丽娟550上海对外经贸大学理工汇文中学方圆550南京师范大学理工汇文中学赵明星550南京师范大学理工志力中学李昊550哈尔滨工程大学理工寿县三中马庆严550哈尔滨工程大学理工汇文中学沈曦550福州大学理工轻工中学孙睿成550电子科技大学理工皋城中学傅家豪549浙江工业大学理工皋城中学邓易凡549西南大学理工皋城中学胡晓雨549南京工业大学理工皋城中学聂小东549哈尔滨工程大学理工寿春中学邓啟晟549电子科技大学理工皋城中学白国瑞549第四军医大学理工皋城中学喻宝文549安徽医科大学理工皋城中学余晓冬549安徽医科大学理工皋城中学汪东549安徽医科大学理工城西初中徐磊549安徽医科大学理工皋城中学黄远锐549安徽大学理工皖西中学赵鹏飞548中国矿业大学理工汇文中学李浩548上海理工大学理工新安中学。
注意
1.下述内容仅供参考,切忌以此作为大学综合水平的考量。
2.部分内容可能有误,敬请谅解。
3.部分数据的缺失可能是由于该年度本批次无人投档、本批次无招生计划等其它情况。
4.本表格包含2015、2014、2013年数据。
5.高考成绩决定着你学校的档次,而志愿决定着你未来的人生方向。
因此填好志愿某种程度比高考分数更为重要。
6.志愿填报是以学校为重,还是以专业为重,应值得考量。
特别是当你有自己的兴趣时,个人建议以专业为重,而学校次之。
毕竟专业基本上决定了大多数人未来所从事的行业,一个人不可能一辈子做自己不喜欢的事,所以选择自己喜欢的专业很重要。
7.每一所学校都有自己的专业特色,也有自己的不足之处。
如果有自己所钟爱的专业,一定要选择这些专业特色的学校。
8.祝有志者梦想终成。
注意1.下述内容仅供参考,切忌以此作为大学综合水平的考量。
2.部分内容可能有误,敬请谅解。
3.部分数据的缺失可能是由于该年度本批次无人投档、本批次无招生计划等其4.本表格包含2015、2014、2013年数据。
但因表格内容显示受页面所限,故下5.高考成绩决定着你学校的档次,而志愿决定着你未来的人生方向。
因此填好志愿某种程度比高6.祝有志者梦想终成。
序号12345678910111213141516171819202122232425262728293031323334353637383940414344454647484950515253545556575859606162636465666768697071727374757677787980818283848586878889909192939495979899100101102103104105106107108109110111112113114115116117118119120121122123124125126127128129130131132133134135136137138139140141142143144145146147148149151152153154155156157158159160161162163164165166167168169170171172173174175176177178179180181182183184185186187188189190191192193194195196197198199200201202203205206207208209210211212213214215216217218219220221222223224225226227228229230231232233234235236237238239240241242243244245246247248249250251252253254255256257259260261262263264265266267268269270271272273274275276277278279280281282283284285286287288289290291292293294295296297298299300301302303304305306307308309310311313314315316317318319320321322323324325326327328329330331332333334335336337338339340341342343344总计投档人数46394划等其它情况。
安徽省2015年普通高校招生本科第一批院校投档分数及名次(理工)院校代号院校名称投档人数投档最低分省控线线差1013北京交通大学(威海校区)5531555-241054东华理工大学1755555501058福建师范大学4755555501091黒龙江大学1155555501130辽宁石油化工大学14755555501205沈阳理工大学655555501206沈阳农业大学4255555501266新疆大学2055555501326东北师范大学(中外合作)1255555501338安徽大学(中外合作)2755555501339安徽工程大学324155555501344安徽理工大学323355555501348安徽师范大学(中外合作)2455555501350安徽中医药大学103355555501351淮北师范大学16755555501374安徽财经大学(中外合作)2655555501325福州大学(中外合作)355655511340安徽工程大学(中外合作)1555655511342安徽工业大学(中外合作)6055655511128辽宁工程技术大学17655755521173山东科技大学(中外合作)555755521208石河子大学12955755521252西北农林科技大学(中外合作)755855531345安徽农业大学177********1197上海应用技术学院2855955541346安徽农业大学(中外合作)156055551093湖北工业大学5556155561057福建农林大学4456255571147南京林业大学(中外合作)156255571044东北财经大学(中外合作)1056355581141南京工业大学(中外合作)1256355581203沈阳航空航天大学635635558 1217苏州大学(中外合作)105635558 1074哈尔滨商业大学185645559 1090河南理工大学185******** 1153南京信息工程大学(中外合作)656555510 1163青岛科技大学(中外合作)1556655511 1316重庆交通大学(中外合作)856655511 1029长江大学2056755512 1051东北石油大学9556755512 1073哈尔滨理工大学4056755512 1098湖南农业大学2256755512 1304中华女子学院356755512 1089河南工业大学6656855513 1119济南大学9056855513 1125江西理工大学5656855513 1165青海大学3356855513 1229温州肯恩大学2356855513 1292中国矿业大学(中外合作)2456855513 1343安徽建筑大学296556855513 1347安徽师范大学217456855513 1022北京印刷学院2756955514 1084河北工业大学(中外合作)256955514 1248西安邮电大学(中外合作)356955514 1287中国海洋大学(中外合作)656955514 1010北京化工大学(中外合作)957055515 1094湖北中医药大学357055515 1204沈阳建筑大学6357055515 1018北京师范大学-香港浸会大学联合国际学院1857155516 1129辽宁科技大学3857155516 1254西交利物浦大学135******** 1175山西大学8057355518 1243西安科技大学(中外合作)357355518 1096湖南工业大学42574555191187上海海事大学(中外合作)1957455519 1200上海中医药大学(中外合作)557455519 1278浙江海洋学院657455519 1341安徽I:业大学320757455519 1049东北农业大学10857555520 1053东华大学(中外合作)457555520 1214四川农业大学9857555520 1240西安建筑科技大学4557555520 1116吉林大学(中外合作)457655521 1258西南大学(中外合作)1857655521 1260西南科技大学12357655521 1307中南林业科技大学10257655521 1168山东财经大学12357755522 1161青岛大学3757855523 1151南京师范大学(中外合作)1557955524 1167三峡大学7957955524 1185上海工程技术大学6057955524 1261西南石油大学6357955524 1269延边大学3757955524 1282中北大学17057955524 1123江苏科技大学7258055525 1132内蒙古大学758055525 1160宁夏大学1258055525 1238西安工程大学1858055525 1088河南大学6058155526 1108华南农业大学137******** 1207沈阳药科大学5558155526 1077海南大学(中外合作)158255527 1082河北大学7058255527 1131闽江学院858255527 1174山西财经大学5058255527 1177陕西科技大学3558255527 1183上海电机学院31582555271188上海海洋大学12658255527 1218苏州科技学院1858255527 1135南昌航空大学3558355528 1007北京工业大学(中外合作)1458455529 1019北京体育大学1758455529 1100湖南中医药大学-2958455529 1137南华大学558455529 1157南通大学8958455529 1159宁波诺丁汉大学4558455529 1193上海理工大学(中外合作)3058455529 1336安徽财经大学189258455529 1028长春理工大学7858555530 1033大连大学2758555530 1202沈阳工业大学3958555530 1097湖南科技大学9758655531 1114华中师范大学(中外合作)258655531 1209石家庄铁道大学11358655531 1293中国民肮大学15458655531 1317重庆理工大学2258655531 1011北京建筑大学3358755532 1020北京外国语大学858755532 1046东北大学(中外合作)658755532 1048东北林业大学12358755532 1068广州中医药大学2858755532 1076海南大学38458755532 1198上海政法学院9758755532 1232武汉工程大学8358755532 1239西安工业大学758755532 1288中国计量学院8858755532 1315重庆交通大学6558755532 1225天津外国语大学3258855533 1245西安石油大学1158855533 1280浙江师范大学56588555331314重庆工商大学1158855533 1349安徽医科大学179858855533 1030长沙理工大学9158955534 1032成都理工大学5858955534 1035大连交通大学8758955534 1092湖北大学6958955534 1134南昌大学(中外合作)658955534 1237西安电子科技大学(中外合作)3058955534 1172山东科技大学9459055535 1199上海中医药大学2959055535 1247西安邮电大学2659055535 1031常州大学4359155536 1062广东工业大学9659155536 1079杭州电子科技大学(中外合作)259155536 1118集美大学8659155536 1162青岛科技大学8059155536 1222天津工业大学25459155536 1242西安科技大学5459155536 1164青岛理工大学6059255537 1195上海师范大学139******** 1224天津商业大学2059255537 1267新疆医科大学159255537 1291中国矿业大学(北京)10659255537 1026北京中医药大学3259455539 1146南京林业大学21259455539 1215四川外国语大学959455539 1223天津理工大学9259455539 1265湘潭大学10559455539 1319重庆邮电大学7859455539 1021北京信息科技大学5559555540 1064广西大学2859555540 1069贵州大学2059555540 1103华东交通大学115595555401158宁波大学7159555540 1171山东大学威海分校(中外合作)2059555540 1066广州大学1759655541 1087河海大学(中外合作)1159655541 1145南京理工大学(中外合作)1059655541 1178陕西师范大学4759655541 1211首都师范大学2059655541 1227天津中医药大学759655541 1233武汉科技大学8159655541 1244西安理工大学5459655541 1005北京工商大学3259755542 1085河北医科大学1559755542 1122江苏大学16259755542 1263西南政法大学(中外合作)459755542 1050东北师范大学2259855543 1075哈尔滨医科大学3959855543 1099湖南师范大学3659855543 1121江南大学(中外合作)359855543 1235武汉理工大学(中外合作)759855543 1271扬州大学8359855543 1272云南大学2559855543 1295中国农业大学(中外合作)559855543 1328北京交通大学(中外合作)1159855543 1039大连医科大学4659955544 1047东北大学秦皇岛分校139******** 1081合肥工业大学(宣城校区)69959955544 1112华中农业大学10959955544 1127辽宁大学7159955544 1067广州医科大学2060055545 1152南京信息工程大学11060055545 1246西安外国语大学1260055545 1253西北政法大学860055545 1270燕山大学91600555451273浙江财经大学10160055545 1327厦门大学1760055545 1251西北农林科技大学11360155546 1276浙江工商大学12460155546 1078杭州电子科技大学12060255547 1337安徽大学208360255547 1290中国矿业大学27160355548 1186上海海事大学14160455549 1001北方工业大学2960555550 1025北京语言大学1660555550 1220天津财经大学4760555550 1262西南政法大学4460555550 1219太原理工大学11360655551 1148南京农业大学19360755552 1179汕头大学2260755552 1284中国地质大学(北京)6460755552 1298中国石油大学(北京)8660755552 1301中国药科大学(中外合作)560755552 1313重庆大学(中外合作)360755552 1034大连海事大学7560855553 1279浙江理工大学11060855553 1016北京林业大学6660955554 1024北京邮电大学(宏福校区}2260955554 1037大连理工大学(盘锦校区)6360955554 1063广东外语外贸大学1960955554 1083河北工业大学5860955554 1109华南师范大学1460955554 1102华北电力大学(北京)10261055555 1133南昌大学139******** 1143南京航空航天大学(中外合作)961055555 1249西北大学3161055555 1281郑州大学20861055555 1124江西财经大学51611555561140南京工业大学11661155556 1149南京审计学院5661155556 1256西南大学5761155556 1038大连理工大学〖中外合作)561355558 1155南京邮电大学151******** 1176山西医科大学261355558 1277浙江工业大学5961355558 1285中国地质大学(武汉)14761355558 1191上海金融学院2161455559 1192上海理工大学138******** 1201深圳大学4361455559 1299中国石油大学(华东)183******** 1210首都经济贸易大学2261555560 1226天津医科大学4961555560 1027长安大学19561655561 1043东北财经大学2161655561 1070哈尔滨工程大学10661655561 1138南京财经大学10861655561 1009北京化工大学10461755562 1065广西医科大学261755562 1106华东政法大学11461755562 1184上海对外经贸大学8861755562 1113华中师范大学5361855563 1120江南大学22161855563 1236西安电千科技大学199******** 1302中国医科大学4161855563 1006北京工业大学862055565 1042电子科技大学(沙河校区)(中外合作)1462055565 1059福州大学5262055565 1080合肥工业大学114962055565 1150南京师范大学3162055565 1318重庆医科大学2062055565 1052东华大学115621555661101华北电力大学(保定)7662155566 1170山东大学威海分校5262155566 1194上海立信会计学院4062155566 1300中国药科大学9762155566 1181上海大学29962355568 1234武汉理工大学31062355568 1126兰州大学9562455569 1311中央民族大学1062555570 1004北京第二外国语学院1462755572 1041电子科技大学(沙河校区)2562755572 1045东北大学14662755572 1086河海大学25162755572 1012北京交通大学9462955574 1072|哈尔滨工业大学(威海)10863155576 1259西南交通大学7463155576 1286中国海洋大学5463155576 1294中国农业大学7263155576 1014北京科技大学12163255577 1115吉林大学175******** 1136南方医科大学4363255577 1216苏州大学8763255577 1250西北工业大学14163255577 1144南京理工大学21363555580 1283中国传媒大学1663555580 1104华东理工大学17963655581 1154南京医科大学2763655581 1312重庆大学14963655581 1095湖南大学12263755582 1213四川大学188******** 1305中南财经政法大学5663755582 1255西南财经大学5363855583 1040电子科技大学21063955584 1212首都医科大学16639555841306中南大学21164055585 1169山东大学16564255587 1310中央财经大学(中外合作)1064255587 1142南京航空航天大学19364355588 1297中国人民大学(苏州校区)664355588 1036大连理工大学152******** 1023北京邮电大学10164755592 1105华东师范大学9564755592 1196上海外国语大学1164755592 1231武汉大学(中外合作)264755592 l303中国政法大学3664755592 1015北京理工大学8764955594 1071哈尔滨工业大学9864955594 1107华南理工大学7165055595 1017北京师范大学1965155596 1221天津大学11365155596 1264厦门大学8965355598 1303中山大学10165355598 1111华中科技大学16365455599 1056对外经济贸易大学25656555101 1055东南大学226657555102 1156南开大学61657555102 1230武汉大学190657555102 1309中央财经大学44659555104 1241西安交通大学63663555108 1275浙江大学医学院3664555109 1180上海财经大学46665555110 1228同济大学132666555111 1008北京航空航天大学84667555112 1003北京大学医学部23670555115 1139南京大学55671555116 1289中国科学技术大学108671555116 1190上海交通大学医学院96735551181296中国人民大学33673555118 1274浙江大学34677555122 1061复旦大学医学院3678555123 1189上海交通大学21684555129 1060复旦大学20685555130 1166清华大学42689555134 1002北京大学186******** 1257西南大学(荣昌校区)及名次(理工)投档最低分排名3471760080599166015459129596086018760104594516001760148602186011560202602195995258203584505835857366579415701656470558985530054219530175270952264509985155151513 50511 48918 49382 48290 48433 47404 47531 47142 46945 47624 46307 46059 46666 45848 46634 46272 45859 45776 45009 44856 45569 45457 44726 44408 44233 43312 43141 42282 41431 41605 4089840961 40584 40975 39624 40064 39764 39896 38583 39193 38489 38980 37886 37080 36664 36098 36326 36413 36150 36341 35764 35304 35507 35693 34766 35019 34808 33938 34134 34041 33716 33731 3379434129 32993 32120 32549 32517 32225 32461 32662 32223 32521 31765 31339 31697 30891 31127 31044 30851 31208 29903 30106 30473 29874 29894 30329 30359 29975 30003 30551 30196 29276 29618 2965129539 28452 28296 28614 28623 29032 28548 28083 27762 27704 26991 27135 27527 27005 27157 27194 26997 26616 26615 26632 26297 26791 24903 25299 25384 25040 24994 25122 24408 24378 24528 2464124706 23695 23980 23819 23624 23855 24153 23673 23970 23056 23290 23473 23241 22993 22896 22524 22918 22773 22831 22772 22500 22824 22026 22093 22115 22069 22231 21755 21730 21480 21664 2157721512 20955 20996 20125 20386 16635 19360 18424 18373 18705 18405 17964 17651 17577 17685 17804 17629 17464 17080 17189 16267 16609 16686 16399 16567 16407 16228 15865 16154 16164 16100 1566815524 15735 14628 14768 14691 14368 14355 14322 14112 14136 14132 13677 13703 13270 13073 13213 13331 12910 12709 12745 12690 12480 12418 12521 12487 11641 11692 11748 11493 11564 11498 1130810970 11324 11143 10417 10293 9983 9750 9063 8801 8892 9103 8374 7647 7718 7541 7666 7166 7374 7285 7365 7173 6532 6372 6231 6041 6009 5817 5831 5832 5719 5334 53834667 4682 4406 4431 3900 3716 3684 3727 3669 3661 3294 3241 3060 2954 2966 2597 2654 2381 2204 2008 2015 2054 1812 1355 1242 1150 1006 914 736 668 671 552388 320 160 132 74 41。
孙 萌674北京大学理工皋城中学孙怀洋671北京大学理工汇文中学沈 运654清华大学理工皋城中学何沛生650清华大学理工汇文中学梁凯超649清华大学理工皋城中学程旭升647复旦大学理工皋城中学赵 健645复旦大学理工汇文中学张 宇641上海交通大学理工舒城二中刘蕙蕙641上海交通大学理工皋城中学朱贯增639复旦大学理工舒城二中汪兴邦636中国人民大学理工轻工中学马世元636中国科学技术大学理工皋城中学汪 君635中国科学技术大学理工舒城二中钱正浩634中国科学技术大学理工霍邱一中初中部冯 彬634中国科学技术大学理工叶集第二中学汪 飞630中国科学技术大学理工新安中学刘浩源629浙江大学理工皋城中学黄一璜628复旦大学理工皋城中学李 毅627浙江大学理工青山中学崔忠诚627南京大学理工椿树中学徐 杨626中国人民大学理工汇文中学梁 粟626中国科学技术大学理工皋城中学王 俊626南开大学理工轻中中学何士爽625中国科学技术大学理工霍邱三中刘 磊625同济大学理工杨公庙初中胡成超625南京大学理工皋城中学汪一鸣624中国人民大学理工金江实验学校何旭文624北京航空航天大学理工皋城中学李润洲624北京航空航天大学理工黑石渡中心校杨 舜623同济大学理工东桥初中韩 旭623国防科学技术大学理工皋城中学王开屏622南开大学理工皋城中学李绍新622北京航空航天大学理工皋城中学魏彦冰621南开大学理工文峰学校拥 军620北京航空航天大学理工同兴寺初中林 旺619上海财经大学理工龙井初中付立军619东南大学理工轻工中学汪 黎617中山大学理工轻工中学陈先龙617西安交通大学理工皋城中学但钰宛616武汉大学理工东河口镇中学许乔昱616同济大学理工皋城中学王蓉希616上海交通大学理工龙井初中吴步晨616上海财经大学理工皋城中学秦伟志615同济大学理工皋城中学魏小糠615东南大学理工皋城中学余 睿614同济大学理工金江实验学校周 倩614上海财经大学理工凤凰台初中张霄波614华中科技大学理工皋城中学刘 畅613中央财经大学理工金城学校王 建613同济大学理工丁集镇中学余 豪613同济大学理工寿县实验中学吴 驰613东南大学理工斑竹园镇中心校刘 涛612西安交通大学理工汇文中学赵政阳612西安交通大学理工汇文中学刘 琪612西安交通大学理工丁集镇中学刘自涵612东南大学理工丁集镇初级中学彭 鹏611中山大学理工皋城中学孙密广611上海交通大学理工皋城中学许可飞611东南大学理工皋城中学张 郑611第二军医大学理工皋城中学陆 园610中央财经大学理工汇文中学赵儒冀610中国科学技术大学理工金城中学刘 欣610厦门大学理工轻工中学张胜强610西安交通大学理工六安九中李郭广立610南开大学理工寿县三中胡甜赐610东南大学理工汇文中学李 凡609哈尔滨工业大学理工皋城中学唐雨汉608同济大学理工皋城中学窦贤豪608华中科技大学理工户胡镇中心校张宏亚608华中科技大学理工西皋中学郑长坤608东南大学理工霍邱县城关镇中心校邵前超608东南大学理工西皋中学胡煜辉607武汉大学理工汇文中学任 杰606东南大学理工十字路中学陈 成606东南大学理工皋城中学台 尚605南京航空航天大学理工叶集实验中学张吴涛605东南大学理工皖西中学汪 杉605东南大学理工皋城中学刘慕瑶604中山大学理工周集镇中心校李 昭604武汉大学理工皋城中学余纪雪603厦门大学理工李集中学陈德润603武汉大学理工皋城中学张祖鹏603外交学院理工轻工中学仇 峰603华中科技大学理工六安九中李永坤603华中科技大学理工霍山县高山初中郝 威602武汉大学理工皋城中学孔祥辉602天津大学理工皋城中学姜文祥602华中科技大学理工皋城中学李田杰602东南大学理工河口镇中心校王步超602东南大学理工裕安中学李小松602北京理工大学理工果子园乡中心校李淑文601中山大学理工皋城中学李梦冉601西南财经大学理工广岩初中褚成凤601武汉大学理工轻工中学杜 琛601武汉大学理工皋城中学钱义洋601华中科技大学理工叶集区孙岗中学李欣欣601东南大学理工天峰中学杨宗明600武汉大学理工六安九中许沁蕊600华北电力大学理工皋城中学柳一村599中山大学理工皋城中学张经伟599天津大学理工白马宕中学方俊峰599天津大学理工皋城中学陈昱成599华中科技大学理工众兴中学周著人599哈尔滨工业大学理工皋城中学朱云超598中山大学理工轻工中学卫建勋598南京航空航天大学理工皋城中学吕 阳598华中科技大学理工汇文中学叶逸凡598华中科技大学理工汤家汇镇中心学校刘 跃598哈尔滨工业大学理工汇文中学罗小凡597中山大学理工皋城中学范传银597中国政法大学理工石店育才中学祝金彪597厦门大学理工育英学校陈紫雨597厦门大学理工五塔中学林培浩597天津大学理工汇文中学胡松明597华中科技大学理工固镇中学卢振兴597国防科学技术大学理工汇文中学安 玖596南京航空航天大学理工皋城中学罗 杰596华中科技大学理工苏南初中龙海波596华中科技大学理工埠塔寺初中黄 浩596华南理工大学理工皋城中学刘思军596华南理工大学理工岔路镇中心校李 波596大连理工大学理工轻工中学费 腾596大连理工大学理工固镇中学张 健596北京邮电大学理工汇文中学许宏韬595华南理工大学理工皋城中学范良伟595国防科学技术大学理工汇文中学王陈炜595电子科技大学理工汇文中学张家成595大连理工大学理工汇文中学陶家全595北京邮电大学理工龙门初中孙华烨594中山大学理工皋城中学姚 鲁594中山大学理工皋城中学周 阳594中山大学理工皋城中学胡成浪594华南理工大学理工棠树中心校陈润田594大连理工大学理工隐贤中学王安姚593华东师范大学理工皋城中学王 俊593电子科技大学理工金寨二中朱勋祥592西南财经大学理工旭东中学方 习592四川大学理工汇文中学武金皖592四川大学理工椿树中学陈善生592上海外国语大学理工汇文中学高 超592华中科技大学理工江家店中学樊庆轩592第二军医大学理工汇文中学刘 牛591中南大学理工汇文中学周 昊591南京航空航天大学理工皋城中学武显亮591南京航空航天大学理工周集镇中学廖海生591电子科技大学理工汇文中学杨曼琪591北京邮电大学理工皋城中学张方旭590中南大学理工轻工中学王修珩590西北工业大学理工天峰中学张 涛590南京理工大学理工骆家庵中学金子寅590南京航空航天大学理工斑竹园镇中心校杨 帆590电子科技大学理工皋城中学李梦然590大连理工大学理工舒城二中许晓恒590大连理工大学理工张冲中心校张耀然589南京航空航天大学理工皋城中学王璐璐588中国政法大学理工轻工中学王 焱588山东大学理工轻工中学罗 鲍588南京航空航天大学理工轻工中学邵 琨588南京航空航天大学理工汇文中学夏 爽588电子科技大学理工皋城中学周 正588大连理工大学理工皋城中学屠双城588大连理工大学理工轻工中学张建宇588北京邮电大学理工轻工中学梁玉霞587四川大学理工顺河店初中管明远587南京航空航天大学理工皋城中学黄德才587南京航空航天大学理工皋城中学姚慕燃587国际关系学院理工皋城中学马 茹586中南财经政法大学理工舒城二中张思超586山东大学理工单王初中刘海波586南京理工大学理工山七中心校李 杰586南京航空航天大学理工皋城中学王 席586华东师范大学理工金寨二中潘有鑫586电子科技大学理工裕安中学叶庆元586第四军医大学理工皋城中学吴丽丽586北京交通大学理工新店镇初中涂德芳585中南大学理工寿县丰华中学李孙文585中南大学理工皋城中学涂欣怡585同济大学理工汇文中学张艳艳585南京理工大学理工农机校初中部李越华585南京理工大学理工皋城中学李贵远585南京理工大学理工顺河店学校申 政585南京航空航天大学理工寿春中学袁 狄584中南大学理工古碑中心学校胡苏徽584四川大学理工白塔寺初中刁海洋584四川大学理工枣树初中卢文玉584上海立信会计学院理工六安九中刘 放584山东大学理工横塘岗中学方乐乐584南京理工大学理工青山初中洪 洁584南京理工大学理工长岭中心校许彧文584南京航空航天大学理工皋城中学赵德洁584华北电力大学理工皋城中学吕鸿智584国防科学技术大学理工皋城中学陈佩瑶584电子科技大学理工皖西中学陈 浩583重庆大学理工皋城中学高 磊583中南大学理工皋城中学高梦婷583西南财经大学理工皋城中学郝沪闻583四川大学理工皋城中学葛中杰583南京理工大学理工轻工中学张新晨583南京理工大学理工淠东初中秦祥翔583华东理工大学理工轻工中学刘 啸583电子科技大学理工皋城中学刘 鹏582中南大学理工宏立中学郭 亮582中南大学理工杨公庙中学朱鹏飞582中南大学理工晋善中学李 享582中南大学理工皋城中学王 飞582中南大学理工皋城中学李 俊582中南大学理工长集中心校陈志豪582中南大学理工登科中学杨家锐582山东大学理工隐贤中学王 磊582南京理工大学理工霍邱县农机校田永超582南京理工大学理工登科中学王 顺582华东理工大学理工苏南初中廖 侃582华北电力大学理工万佛湖中心校韩正双582湖南大学理工轻工中学王 巍582电子科技大学理工汇文中学张国建582电子科技大学理工轻工中学汪志伟581四川大学理工皋城中学汪 迥581华东理工大学理工皋城中学韩博韬581华北电力大学理工合肥五十中陈傲楠581合肥工业大学理工三十铺中学张文文581电子科技大学理工汇文中学李 想581北京交通大学理工舒城二中张 杰580重庆大学理工天峰中学韩 翀580中南大学理工洪集中心校刁静怡580中南大学理工皋城中学郝 帅580中南大学理工智恒中学徐纪元580中南大学理工皋城中学杨正旺580中南大学理工陆集中学王炳宸580中南财经政法大学理工皋城中学符媛媛580南京理工大学理工天峰初中涂 晶580南京理工大学理工南官亭中学涂冰冰580华东理工大学理工夏店镇中心校吴兴宇580电子科技大学理工汇文中学宋林森580北京科技大学理工六安九中赵 力580北京航空航天大学理工韩摆渡中学汪 洋579中南大学理工舒城二中叶超峰579南京理工大学理工铁冲中心校唐慧瑢579华东理工大学理工文峰学校余家飞579电子科技大学理工郭店中学徐 进579电子科技大学理工皋城中学姜文俊579电子科技大学理工轻工中学任育耀579电子科技大学理工晋善中学宋世伦579北京交通大学理工裕安中学马 亮578中南大学理工汇文中学张 卫578第二军医大学理工汇文中学常晓雨578安徽医科大学理工皋城中学李卓宇577中国农业大学理工皋城中学黄志强577四川大学理工桥店初中朱宁生577南京理工大学理工双河中学张 阳577华东理工大学理工汇文中学蔡明清577华东理工大学理工汇文中学吴同乐577电子科技大学理工叶集二中王 跃577北京交通大学理工智恒中学程俊杰576中南财经政法大学理工皋城中学许 磊576苏州大学理工皋城中学邬山云576四川大学理工三十铺中学周建勋576四川大学理工刘蕴奇576华东政法大学理工轻工中学朱世勇576合肥工业大学理工裕安中学孟 鹏576合肥工业大学理工皋城中学郑 杰576合肥工业大学理工磨子潭中学汪 玥576北京科技大学理工汇文中学薛春雨575四川大学理工寿春三中洪兴星575南京理工大学理工青山初中吴 涛575南京理工大学理工火星初中杨 涛575湖南大学理工轻工中学李志林575合肥工业大学理工新塘中学宋彬彬575电子科技大学理工轻工中学杨 凡574重庆大学理工汇文中学王 蕊574西安电子科技大学理工杨仙中心校王 浩574苏州大学理工皋城中学黄新蕊574南京审计学院理工皋城中学黄 杨574华北电力大学理工毛坦厂初中龚 玮574合肥工业大学理工皋城中学刘 谦574东北大学理工皋城中学张鹏辉574电子科技大学理工范桥中心校王 涛574安徽医科大学理工皋城中学刘 莉573重庆大学理工轻工中学汪 谞573重庆大学理工汇文中学张良玥573中南财经政法大学理工皋城中学林宇健573西北工业大学理工金寨县二中李向阳573苏州大学理工陈家河初中王 静573南京审计学院理工六安九中张世瑾573南方医科大学理工皖西中学张 梅573河海大学理工汇文中学方 东573国防科学技术大学理工汤池中心校刁成功573电子科技大学理工六安九中王陈喆573电子科技大学理工皖西中学梁先锋572重庆大学理工顺河镇中学孙玉萍572中南财经政法大学理工仙花实验学校杨继翠572天津医科大学理工淠东初中陈 鹏572苏州大学理工皋城中学潘黄燕572上海大学理工范庵中学孔学谦572河海大学理工皋城中学魏传剑572国防科学技术大学理工苏南初中李 锐572北京科技大学理工皋城中学邬登兵571河海大学理工轻工中学岳开鑫571合肥工业大学理工轻工中学汪 磊571合肥工业大学理工西河口初中韦榆瑶571合肥工业大学理工皋城中学胡东昇570解放军理工大学理工皋城中学胡海星570合肥工业大学理工施桥中学李 飞570合肥工业大学理工苏南初中汪华月570合肥工业大学理工西河口初中唐文成570合肥工业大学理工皋城中学丰荣佳570合肥工业大学理工椿树中学李 麟570合肥工业大学理工皋城中学刘言言570合肥工业大学理工龙潭中心校陈 博569中国海洋大学理工汇文中学吴铭睿569武汉理工大学理工汇文中学翁 帅569河海大学理工洞阳中学杨增谱569合肥工业大学理工苏南初中陈士昱568西安电子科技大学理工皋城中学鲁翔宇568武汉理工大学理工皖西中学黄 娟568武汉理工大学理工乌龙镇中心校赵 玉568吉林大学理工诚信实验中学王志远568吉林大学理工保义兴华中学樊 蕾568华中师范大学理工汇文中学王自飞568河海大学理工轻工中学丁 欢568合肥工业大学理工皋城中学张 钟568合肥工业大学理工轻工中学吴 锶568合肥工业大学理工皋城中学刘 阳567中国石油大学理工皋城中学陈剑强567解放军陆军军官学院理工西河口初中郭雅楠567合肥工业大学理工霍邱县农机校王吉新567合肥工业大学理工花园中心校从善学567哈尔滨工程大学理工汇文中学张 锐567东北财经大学理工皖西中学李 玲567北京工业大学理工单王中学钟一鸣566中国农业大学理工金城中学蒯 磊566合肥工业大学理工汇文中学杜仲杰566东北大学理工皋城中学杨昆昆566第四军医大学理工马头初中桂仲璇566安徽医科大学理工皋城中学陈晓婉566安徽医科大学理工皋城中学张 伟566安徽医科大学理工六安九中陈 晨565中国海洋大学理工汇文中学鲍传林565上海大学理工汇文中学樊 路565南京航空航天大学理工皋城中学张绪成565吉林大学理工华祖初中程 宇565华北电力大学理工皋城中学吴 军565合肥工业大学理工汇文中学占永昆565合肥工业大学理工河棚镇中心校周家运565合肥工业大学理工陈家河初中孔祥盼564重庆医科大学理工陆集中学汪明杰564武汉理工大学理工皋城中学彭 锦564武汉理工大学理工轻工中学赵成乐564上海大学理工寿县三中窦贤兴564吉林大学理工皋城中学樊玲玲564华中师范大学理工三十铺中学王 玉564河海大学理工菁英中学霍 然564合肥工业大学理工皋城中学郭玉生564合肥工业大学理工汇文中学邵 鑫564东北大学理工三元初中叶青洁564东北财经大学理工霍邱县农机校徐 昂564安徽医科大学理工皋城中学陈 飞563武汉理工大学理工杭埠镇中心校文潇艺563上海立信会计学院理工皋城中学张丝语563上海大学理工霍邱一中初中部冯文婧563江南大学理工桃岭中学刘 童563合肥工业大学理工轻工中学袁 野563合肥工业大学理工晋善中学王勇庆563合肥工业大学理工汇文中学许 兵563合肥工业大学理工千人桥中心校高 山563合肥工业大学理工舒茶中学刘 涛563东北大学理工皋城中学王忠义562南京审计学院理工皋城中学赵 杨562合肥工业大学理工张畈中学李 果562合肥工业大学理工轻工中学姜文慧562合肥工业大学理工轻工中学彭永宜562东北大学理工皋城中学文 鹏561武汉理工大学理工舒城二中彭 程561天津医科大学理工安家河中学张显阳561江南大学理工皋城中学江开宇561合肥工业大学理工汇文中学荣光新561合肥工业大学理工新安初中费勤宗561合肥工业大学理工皋城中学潘卫东561合肥工业大学理工许小河中学高 磊561合肥工业大学理工淠东初中王业波561合肥工业大学理工轻工中学邓德森561安徽大学理工登科中学倪杰明560中国医科大学理工皋城中学刘红乙560西安电子科技大学理工汇文中学黄遵祥560西安电子科技大学理工汇文中学贾天浩560上海立信会计学院理工皋城中学林 海560南京财经大学理工苏南初中李可陈560华中师范大学理工汪神中学郭亮亮560合肥工业大学理工埠塔寺初中汪家欣560合肥工业大学理工皋城中学付青远560电子科技大学理工金寨二中宋 君559武汉理工大学理工狮子岗中学王安阳559武汉理工大学理工轻工中学田家如559武汉理工大学理工晋善中学张 茜559武汉理工大学理工轻工中学魏启锡559合肥工业大学理工青山初中王晓峰559合肥工业大学理工汇文中学李国倩559合肥工业大学理工板桥中心校胡高超559合肥工业大学理工皋城中学张梦圆559合肥工业大学理工汇文中学佘孝敏559合肥工业大学理工皋城中学吴霍俊559合肥工业大学理工韩摆渡中学张福虎559东华大学理工石堰中学车 洁559东华大学理工固镇中学龙益如558中国药科大学理工冯瓴中学王 鹤558中国药科大学理工潘店中学许佳佳558中国矿业大学理工皖西中学江顺利558合肥工业大学理工燕子河镇中心校方明婷558合肥工业大学理工龙井初中汪 天558合肥工业大学理工皋城中学杨 杰558合肥工业大学理工埠塔寺初中杨晨雨557中国地质大学理工皋城中学黄 刚557武汉理工大学理工皋城中学汪文静557上海大学理工霍山文峰学校白春森557南开大学理工汇文中学汪春播557合肥工业大学理工单王乡中学姜 浩557合肥工业大学理工马头初中郭诚露557合肥工业大学理工皋城中学季 拓557合肥工业大学理工施桥初中郭立春557合肥工业大学理工新安城西初中王凯伦557东华大学理工旭东中学鲍晓雅557安徽财经大学理工汇文中学杜 晨556武汉理工大学理工汇文中学盛 宁556武汉理工大学理工皋城中学陈 钊556武汉理工大学理工韩摆渡中学文 成556武汉理工大学理工汇文中学汪秀劲556上海立信会计学院理工挥手学校孙 文556上海对外经贸大学理工皋城中学丁文昊556上海大学理工舒城二中李 粤556山东大学理工皋城中学万晓宇556南京邮电大学理工皋城中学梁贵伟556兰州大学理工桃园中学张 颢556华东理工大学理工轻工中学洪 爽556广东外语外贸大学理工白塔寺中心校吴 磊556长安大学理工枣树初中王健超556安徽大学理工汇文中学余 跃555中国石油大学理工汇文中学张恒运555浙江理工大学理工轻工中学王先宇555武汉理工大学理工汇文中学谢大发555武汉理工大学理工皋城中学刘梦涵555福州大学理工霍山二中路 转555安徽医科大学理工皋陶中学彭 瑶555安徽医科大学理工汇文中学苏 瑞554中国药科大学理工登科中学张 正554江南大学理工陆集中学刘静静554东华大学理工皋城中学余浩洋554东北大学理工汇文中学易怀晨554电子科技大学理工皋城中学漆 雅554安徽医科大学理工汇文中学李晓晓554安徽大学理工埠塔寺初中张唯佳553中国医科大学理工汇文中学沈冉维553中国地质大学理工轻工中学张 丽553浙江工业大学理工苏南初中赵 育553深圳大学理工桃溪中心校金佳佳553山东大学理工皋城中学杨伟波553江南大学理工白莲乡中心校但思远553理工但家庵镇周剑涛552上海理工大学理工张 研552南京邮电大学理工汇文中学卢仕兵552南京师范大学理工汇文中学符 瑞552华中师范大学理工汇文中学余逸飞552合肥工业大学理工皋城中学杨新飞552长安大学理工皋城中学张安全552长安大学理工白塔寺中心校韩燕勋552安徽医科大学理工汇文中学张京城552安徽医科大学理工洞阳初中沈 钊552安徽大学理工皋城中学王安阳552安徽大学理工汇文中学王志杰551中国矿业大学理工金城学校江 涛551中国矿业大学理工汇文中学潘宗星551中国矿业大学理工轻工中学方自然551郑州大学理工夏店镇中心校刘 玉551南京师范大学理工白塔寺初中李 丹551南京农业大学理工汇文中学李自知551南京财经大学理工关 锐551南昌大学理工大牛初中杨振东551广东外语外贸大学理工油坊店乡中心校陈 彧551长安大学理工油坊店乡中心校程子芮551北京林业大学理工皋城中学徐家科551北京林业大学理工皋城中学黄 幸550中国石油大学理工汇文中学樊 俊550中国石油大学理工皋城中学窦苏北550中国地质大学理工皋城中学刘文丽550郑州大学理工皋城中学朱玲君550郑州大学理工霍邱县城关中心校王丽娟550上海对外经贸大学理工汇文中学方 圆550南京师范大学理工汇文中学赵明星550南京师范大学理工志力中学李 昊550哈尔滨工程大学理工寿县三中马庆严550哈尔滨工程大学理工汇文中学沈 曦550福州大学理工轻工中学孙睿成550电子科技大学理工皋城中学傅家豪549浙江工业大学理工皋城中学邓易凡549西南大学理工皋城中学胡晓雨549南京工业大学理工皋城中学聂小东549哈尔滨工程大学理工寿春中学邓啟晟549电子科技大学理工皋城中学白国瑞549第四军医大学理工皋城中学喻宝文549安徽医科大学理工皋城中学余晓冬549安徽医科大学理工皋城中学汪 东549安徽医科大学理工城西初中徐 磊549安徽医科大学理工皋城中学黄远锐549安徽大学理工皖西中学赵鹏飞548中国矿业大学理工汇文中学李 浩548上海理工大学理工新安中学沈 悦548上海理工大学理工皋城中学胡 卫548上海对外经贸大学理工汇文中学张 翔548南京工业大学理工皋城中学江靖男548南京财经大学理工汇文中学张仲昊548华中师范大学理工轻工中学李亚鑫548合肥工业大学理工叶集实验中学高 晨548哈尔滨工程大学理工皋城中学赵前超548北京林业大学理工轻工中学牛 爽548北京林业大学理工汇文中学王晓玮548安徽医科大学理工皋城中学王 恒548安徽大学理工白塔寺初中史佳豪548安徽大学理工裕安中学戴修山547中南大学理工轻工中学。