(整理)控制工程基础第2章答案
- 格式:doc
- 大小:3.42 MB
- 文档页数:17
第二章 参考答案2-1 (1) 不是 (2) 是 (3) 不是 (4) 不是 2-2 (a))()()(3)(2222t u t u dtt du RC dt t u d C R i o o o =++ (b) )()()()()()()()(2211222121222111222121t u dtt du C R C R dt t u d C C R R t u dt t du C R C R C R dt t u d C C R R i i i o o o +++=++++ (c ) )()()()()()(33221312221t u R dtt du C R R t u R R dt t du C R R R R R i i o o +=++++(d))()()()()()()()(1211222121211211222121t u dtt du C R C R dt t u d C C R R t u dt t du C R C R C R dt t u d C C R R i i i o o o +++=++++ (e))()()()()()()()(221222121211222222121t u dtt du R C C dt t u d C C R R t u dt t du C R C R C R dt t u d C C R R i i i o o o +++=++++ (f) )()()()()()()(22121221t u R dtt du L t u R R dt t du L C R R dt t u d CL R i i oo o +=++++ 2-3 (a) )]()([)()()(23213121t u R dtt du C R R t u R dt t du C R R R R i i o o +=++-(b) )()()()(4141232022213210t u R R t u R R dt t du C R R R dt t u d C C R R R R i o o o -=++ (c))]()()([)(32321t u R R dtt du C R R t u R i i o ++=-(d) )()()()()(221122212121t u dt t du C R C R dt t u d C C R R dt t du C R i i i o +++=- (e) )()()()(2412222142t u dtt du C R C R dt t u d C C R R o o o +++ )}()(])([)({21213224223221432132t u dtt du R R C C R R C R dt t u d R R C C R R R R R R i i i +++++++=- 2-4 (a) dt t dx f dt t dx f f dt t x d m i o o )()()()(12122=++ (b) dt t dx f k t x k k dt t dx f k k i o o )()()()(12121=++ (c) )()()()()(121t x k dt t dx f t x k k dt t dx f i i o o +=++ (d) )()()()()()(112121t x k dtt dx f t x k k dt t dx f f i i o o +=+++2-5 (a))(1)()()()(1)()()(2112212221211*********t u C C dt t du C R C R dt t u d R R t u C C dt t du C R C R C R dt t u d R R i i i o o o +++=++++ (b))()()()()()()()(2112212221211211212221t x k k dtt dx k f k f dt t x d f f t x k k dt t dx k f k f k f dt t x d f f i i i o o o +++=++++ 由(a)(b)两式可以看出两系统具有相同形式的微分方程,所以(a)和(b)是相似系统。
第2章系统的数学模型(习题答案)2.1什么是系统的数学模型?常用的数学模型有哪些?解:数学模型就是根据系统运动过程的物理、化学等规律,所写出的描述系统运动规律、特性、输出与输入关系的数学表达式。
常用的数学模型有微分方程、传递函数、状态空间模型等。
2.2 什么是线性系统?其最重要的特性是什么?解:凡是能用线性微分方程描述的系统就是线性系统。
线性系统的一个最重要的特性就是它满足叠加原理。
2.3 图( 题2.3) 中三图分别表示了三个机械系统。
求出它们各自的微分方程, 图中x i表示输入位移, x o表示输出位移, 假设输出端无负载效应。
题图2.3解:①图(a):由牛顿第二运动定律,在不计重力时,可得整理得将上式进行拉氏变换,并注意到运动由静止开始,即初始条件全部为零,可得[]于是传递函数为②图(b):其上半部弹簧与阻尼器之间,取辅助点A,并设A点位移为x,方向朝下;而在其下半部工。
引出点处取为辅助点B。
则由弹簧力与阻尼力平衡的原则,从A和B两点可以分别列出如下原始方程:消去中间变量x,可得系统微分方程对上式取拉氏变换,并记其初始条件为零,得系统传递函数为③图(c):以的引出点作为辅助点,根据力的平衡原则,可列出如下原始方程:移项整理得系统微分方程对上式进行拉氏变换,并注意到运动由静止开始,即则系统传递函数为2.4试建立下图(题图2.4)所示各系统的微分方程并说明这些微分方程之间有什么特点,其中电压)(t u r 和位移)(t x r 为输入量;电压)(t u c 和位移)(t x c 为输出量;1,k k 和2k 为弹簧弹性系数;f 为阻尼系数。
+-+-u )tfC)+-+-f)(a )(b )(c )(d R题图2.4【解】:)(a方法一:设回路电流为i ,根据克希霍夫定律,可写出下列方程组:⎪⎩⎪⎨⎧=+=⎰i R u u dt i C u cc r 1消去中间变量,整理得:dtdu RC u dt du RCrc c =+ 方法二:dtdu RC u dt du RCRCs RCs CsR R s U s U rc c r c =+⇒+=+=11)()()(b 由于无质量,各受力点任何时刻均满足∑=0F ,则有:cc r kx dt dxdt dx f =-)(dtdx k f x dt dx k f rc c =+⇒)(c ()r r c c r c u dtduC R u dt du C R R Cs R R Cs R CsR R CsR s U s U +=++⇒+++=+++=221212212)(1111)()( )(d 设阻尼器输入位移为a x ,根据牛顿运动定律,可写出该系统运动方程r rc c aa c a r c r x dtdx k f x dt dx f k k k k dt dx f x x k x x k x x k +=++⇒⎪⎩⎪⎨⎧=--=-22121221)()()( 结论:)(a 、)(b 互为相似系统,)(c 、)(d 互为相似系统。
第2章系统的数学模型(习题答案)2.1什么是系统的数学模型?常用的数学模型有哪些?解:数学模型就是根据系统运动过程的物理、化学等规律,所写出的描述系统运动规律、特性、输出与输入关系的数学表达式。
常用的数学模型有微分方程、传递函数、状态空间模型等。
2.2 什么是线性系统?其最重要的特性是什么?解:凡是能用线性微分方程描述的系统就是线性系统。
线性系统的一个最重要的特性就是它满足叠加原理。
2.3 图( 题2.3) 中三图分别表示了三个机械系统。
求出它们各自的微分方程, 图中x i表示输入位移, x o表示输出位移, 假设输出端无负载效应。
题图2.3解:①图(a):由牛顿第二运动定律,在不计重力时,可得整理得将上式进行拉氏变换,并注意到运动由静止开始,即初始条件全部为零,可得[]于是传递函数为②图(b):其上半部弹簧与阻尼器之间,取辅助点A,并设A点位移为x,方向朝下;而在其下半部工。
引出点处取为辅助点B。
则由弹簧力与阻尼力平衡的原则,从A和B两点可以分别列出如下原始方程:消去中间变量x,可得系统微分方程对上式取拉氏变换,并记其初始条件为零,得系统传递函数为③图(c):以的引出点作为辅助点,根据力的平衡原则,可列出如下原始方程:移项整理得系统微分方程对上式进行拉氏变换,并注意到运动由静止开始,即则系统传递函数为2.4试建立下图(题图2.4)所示各系统的微分方程并说明这些微分方程之间有什么特点,其中电压)(t u r 和位移)(t x r 为输入量;电压)(t u c 和位移)(t x c 为输出量;1,k k 和2k 为弹簧弹性系数;f 为阻尼系数。
+-+-u )tfC)+-+-f)(a )(b )(c )(d R题图2.4【解】:)(a方法一:设回路电流为i ,根据克希霍夫定律,可写出下列方程组:⎪⎩⎪⎨⎧=+=⎰i R u u dt i C u cc r 1消去中间变量,整理得:dtdu RC u dt du RCrc c =+方法二:dtdu RC u dt du RCRCs RCs CsR R s U s U rc c r c =+⇒+=+=11)()( 由于无质量,各受力点任何时刻均满足∑=0F ,则有:cc r kx dt dxdt dx f =-)(dtdx k f x dt dx k f rc c =+⇒()r r c c r c u dtduC R u dt du C R R Cs R R Cs R Cs R R CsR s U s U +=++⇒+++=+++=221212212)(1111)()( 设阻尼器输入位移为a x ,根据牛顿运动定律,可写出该系统运动方程r rc c aa c a r c r x dtdx k f x dt dx f k k k k dt dx f x x k x x k x x k +=++⇒⎪⎩⎪⎨⎧=--=-22121221)()()( 结论:)(a 、)(b 互为相似系统,)(c 、)(d 互为相似系统。
二到四章答案2-1试建立题2-1图所示各系统的微分方程[其中外力的),位移x(f)和电压为输入量;位移y⑺和电压顽)为输出量;k(弹性系数),"(阻尼系数),R(电阻),C(电容)和m(质量)均为常数]。
////////m/(O M(a)题2-1图系统原理图解:2-l(a)取质量m为受力对象,如图,取向下为力和位移的正方向。
作用在质量块m上的力有外力f(t),重力mg,这两个力向下,为正。
有弹簧恢复力4X0+Jo]和阻尼力〃也也,这两个力向上,为负。
其中,光为at扣)=0、物体处于静平衡位置时弹簧的预伸长量。
A A dtmv v7(0哗根据牛顿第二定理£F=ma,有f(t)+mg一灯yQ)+为]—#«')=/花』,?)其中:mg=ky0代入上式得f(t)-ky(f)-r顿')=m"半)at dt整理成标准式:d2y(t)dyit)...…..m-—以—ky(t)=/(0dt dt或也可写成:H顷)~dT m at m m它是一个二阶线性定常微分方程。
2-l(b)如图,取A点为辅助质点,设该点位移为x A(t),方向如图。
再取B点也为辅助质点,则该点位移即为输出量X0,方向如图A 点力平衡方程:4M 。
一%“)] = //[竺史一¥]at atB 点力平衡方程:k 2y(t}= 〃[也也—也£1]dt dt由①和②:^[%(z)-x A (O] = k 2y(t}得:xA (t) = x(t)-^y(t)二边微分,办a ") _办⑺ *2 ©(,)dt将③代入②:①dt 、 dt整理成标准式:k 、+ k 2 dy(t) * k 2 y(Q _ dx(t)k 、 dt 〃 dt或也可写成:dy(t)工 k x k 2+ ,,仰)=灯如)dt /u(k\ + 幻) k x +k 2 dt它是一个一阶线性定常微分方程。
第二章习题解答a) b)c——II— -------------- oC、1 i\Ro J pa)1必)=i(t)RRC _ %(" + u0(if = RC—曲(f) dt dt- ■Bb)M)=冲务甜("7 G)】} Mf)=fK(t) = Kx o(t)~iR o-i = 1R +4— f/?r二R严肖"吗=心站+u o C)R\R2C ~~ U n(^)+(^1 + R Z)U O0)= R&H 亍气Q) + R/i Q) at atKi f\({\ Bf dXj dx o、dt dt > Mld) d d临也吸临⑷+W)―吋2-^^^_]]_ 纟K (曲= A?2 (X 0 一 X } = B仗严心怡£陀©+“K 州(0=曲Q”K]K 円⑴dtdt10G02町 _9_-cLPQd 一%二遢十汕 itj =也十迢2dxdt17 G(5) =+ 5S 7 + 9$+ 7(Z l)(g +2)加]州2 £早+ (刚裙2 +旳坷+朋2*1 +砒2厉)今¥t/N+ (料《2 + 粮[K \ + BjS 》+ 〃1虽 + B2B3) &三川r+ (隔 + K 岛 + K 2B { + K% 爭 + K 、K 血 di二严 3dtJ + c@+Q )M +卯G(»E + 2捉£+1)? (£+3)3 辭 +25^8占(& +X| X 3")一3 一场鲁办J dt j83 GM )={$+□)($+帶E _a 1 c —b= ------------------ H ------(a-b)2 s + a a-b (5+6)2 (m —方尸 £+方8&⑷—用◎十2)(2十2f 十4)g(t) = £"[G<s)] = 1-2e~^ 十 e~x casVif, i H 0的4[G (帕和一遇型za~c 1g(z)=£-1[G(i)] = -_小+ -_ +- (d -by L@ ~^r a7 G(s) = ——5(x¥ + l)2 (-S + 3)_ 2 1 J 113 1 ~ 3 S 12 5 + 32(£ + l)2 45 + 1 <31 \—+ —/ e 就2丿2 ig ⑴=£T[G(9]=T 年号e _3r- 丸r>0■< />o 54 1i-2^—-F s £+ 2 s 1 +4\2士十(卄1乎+?1 1~2~ 13(恥吊P 血再1 s<D 2 S 2十血'= £+2 + ———{盼如2)g (t )= A _1[Gf5)] = 4s (r )+ 28(0+ 2k-&亠,r>oat242 x\t) - x(f) = 4sin/ + 5cos2r s x(0) = 1, x*(0) =-2h{7) + 2^(O+5X(0 = 3, X (0) = 0. /(0) = 01V2 2-肮(0)-玖 0) - X(f) = 4—^ + 5—^Z + l E+4 ^-2+4—!—+ 5^—M-U 2+4 s^i(s-2)(s 7 +1)(v 2 十4)十4(2 十4)+5$(W +1)-lXW+l)(/+4)X0)=丄--2 --誉亠l s —1K ?2 +1 Q+4x(f)=L ,+e r -2sin/—cos2/» t>0 3 Q X(s)+2sX(s) + 5X(s)=- s217OV+l)(A+2)0.6--0.6 1S'^ s ($ + 1尸+4M/)=(L6—OWL cos1^0.3e_f sin2c t>0*叫+2$+疔sI M +1= 0,6--0.6—二——03 _s (s+1)' 4 4 G+l”+4fl^+(l+b l^)(一+H Ish (I十 b 賀)(1—fl +^1嘗) ——® O S 丄A)ao3涉十朋+ KJ益(的-§誠⑻=(月弭+ KjXf ($)⑷=(伽+ KjX(R(恥+KXd”K』(s + K^)(B^ s + KJ + K\ R、s6b叱(4予(f)-怎(0-禹(0 .农⑴二恥(f)I馆(0二心比⑴-艾⑴]!如皆加)=陀)xz=乔二耳⑶-%⑸-压戈㈤F K^)=K{X O(S)同=忑[兀(町-*(舟]_ffl$Cl 2-0血⑴1Bs念(f)Rib)o-^附(f)o—1CG021mv2血(f)IId)讹f)-o/脚(f)二浙go-尤;(f)]办⑴二忌⑴-入⑹ 齐2(彳)=屍竝⑴儿⑴二丄[為㈤+耳㈤ms>耳(刀=銅心)-儿(创&©)=司尤⑷—血⑴]伦㈤=竝A31.心)—*2-10Cl-HI—R\ &RiC,必)o—b)卞C:就f)-------------- od)>□—+= i 护!z jy/7(^f+ b)J —+ 切”=(l)°n31~~|__H[—o―[J G)1?衍i"+ (T + ^3^)(1+訓。
第一章习题解笞U]>U2 U\ U2第二章习题解答2-1a) b)d)f)L^f| 忙d)f\ — fl =^2X O严(f)=$(M+E ⑴虑 如(f) =iQ)RRC^-u o (t)^u o (t) = RC^-u^t) at at fs (r)=B 低[xi (f) -曲(幼 j/B (t)=fK (t) = KXo(t) B dB d 『八10602斤不%()+%©二斤击可()占dR^c —% (0+ (*i + 心)% ⑴=邛应 ~u i (0+ R 2u t (0 atati =i R +,C u o =IR?:R R 严冃3宙 % =gR\ +u oa)=K ](旳一兀)+」:dx o ](J?l + J?2)C —«c (!)+ %("■ R Q C — Wj(O + tti (Oat at(K[ + K2)B — x o (t)+ K\K2X o (t)= K\R 〒曲(f)+ 琦心再(f)dt at10602a) b) c) Q © f)U Q —1/?2 + — j icit— Z/?| + iR-f H —J idte)dxK\% K i (兀 _ %) = K 》(兀)—x)=号二dtoB 2+ (®K° ++ B'B? + 场*3 + 水2〃?)& 2+ (K }B 2+K }B 3 + 心汝 + KM 巴2 + K }K 2X 2 dt3J S + 2用 + 8S-丘($ + 2)($戈+2$十4)广、■炉+ 5,2+9用+7E ($+恥 + 2)乡一rn\fU2K 2rdx { dx 2< dt dt ;/(O™-坷罕~_叭 dtdxj … 一 —- - K?x^ = m dtdx l dx 2dt dt护d 2x 2 2~d^ k,用典2+ (的+创坷+用2创+加2*3);?7皿乔对)13173 G($)= --------------- —(£+。
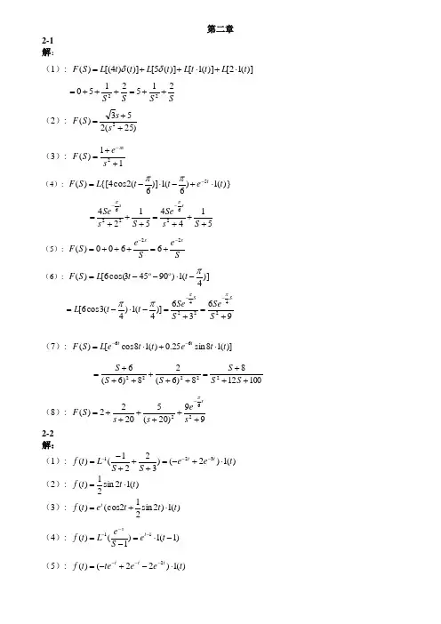
第二章2-1 解:(1): )](12[)](1[)](5[)]()4[()(t L t t L t L t t L S F ⋅+⋅++=δδ SS S S 215215022++=+++= (2): )25(253)(2++=s s S F (3): 11)(2++=-s e S F sπ(4): )}(1)6(1)]6(2cos 4{[)(5t e t t L S F t ⋅+-⋅-=-ππ5144512426226+++=+++=--S s Se S s Se ss ππ(5): Se S e S F ss 226600)(--+=+++= (6): )]4(1)90453cos(6[)(π-⋅--=t t L S F9636)]4(1)4(3cos 6[24224+=+=-⋅-=--S SeS Se t t L S Sππππ(7): )](18sin 25.0)(18cos [)(66t t e t t e L S F t t ⋅+⋅=--1001288)6(28)6(622222+++=++++++=S S S S S S (8): 99)20(52022)(262++++++=-s es s S F s π2-2解:(1): )(1)2()3221()(321t e e S S L t f t t ⋅+-=+++-=--- (2): )(12sin 21)(t t t f ⋅=(3): )(1)2sin 212(cos )(t t t e t f t ⋅+=(4): )1(1)1()(11-⋅=-=---t e S e L t f t s(5): )(1)22()(2t e e te t f t t t ⋅-+-=---(6): )(1215sin 15158))215()21(21515158()(2221t t e S L t f t⋅=++⋅=-- (7): )(1)3sin 313(cos )(t t t t f ⋅+=2-3 解:(1) 对原方程取拉氏变换,得:SS X x S SX x Sx S X S 1)(8)]0()([6)0()0()(2=+-+--⋅∙ 将初始条件代入,得:61)()86(1)(86)(6)(22++=++=+-+-S SS X S S SS X S SX S S X S48724781)86(16)(22+-++=++++=S S S S S S S S S X 取拉氏反变换,得:t t e e t x 42874781)(---+=(2) 当t=0时,将初始条件50)0(=∙x 代入方程,得:50+100x(0)=300 则x(0)=2.5对原方程取拉氏变换,得: sx(s)-x(0)+100x(s)=300/s 将x(0)=2.5代入,得:S300100X(S)2.5-SX(S)=+1005.03100)S(S 3002.5S X(S)+-=++=s s取拉氏反变换,得:-100t 0.5e -3x(t)=2-4解:该曲线表示的函数为:)0002.0(16)(-⋅=t t u则其拉氏变换为:se s U s 0002.06)(-=2-5 解:)0()0()(3)(2)(2)(30100==+=+i i x y t x dtt dx t y dt t dy 将上式拉氏变换,得:2332)()()()32()()23()(3)(2)(2)(30000++=+=++=+S S S X S Y S X S S Y S S X S SX S Y S SY i i i i23-S 32-S Z p ==∴零点极点又当 时)(1)(t t x i =S S X i 1)(=SS S S X S X S Y S Y i i 12332)()()()(00⋅++=⋅= 3212332)()0(2312332)()(limlim lim lim 000000=⋅++⋅=⋅=∴=⋅++⋅=⋅=∞∴∞→∞→→→S S S S S Y S y S S S S S Y S y s s s s2-6 解:(a )传递函数:132123233321123233321232333211111H G G G H G G H G G G G H H G G H G G G G H G G H G G G G R C+++=⋅++⋅+++⋅=(b )传递函数:(c)传递函数:(d)传递函数:32121212211211H G G H H G G H G H G G G R C++++=2-7 解:通过方块图的变换,系统可等价为下图:2-8 解:2-9解:(a)(b)(c)(d)(e)(f)(g)2-10解:(a)(b)(c)2-11解:(a)(b)(c)(d)2-12解:(a)(b)2-13 解:(a)(b)2-14 解:2-15 解:(1(2)2-16解:2-17解:2-18解:以题可画出方块图如下:2-19 解:2-20 解:2-21 解:(1)(2、3、4)缺第三章3-1解:3-23-33-4解:3-53-6解:3-7 解:3-8 解:3-9 解:3-103-113-12 解:3-13 解:3-14解:3-153-163-17 解:3-183-193-203-21 解:3-223-23 解:3-243-25 解:3-26、3-27 缺3-28解:3-29、3-30 缺3-31解:3-32、3-33缺第四章4-1解:4-3 解:4-4 解:4-6解:(a)(b)(c)(d)(e)4-74-8、4-9 缺4-10解:4-11解:4-12解:4-16解:4-17 缺4-18解:4-19、4-20、4-21 缺第五章5-15-2、5-3、5-4 缺5-55-6 缺5-75-85-115-125-13 缺5-145-15 缺5-16解:5-17 缺5-18 5-19解:5-20 5-25解:5-26 缺附题:设单位反馈的开环传递函数为)10)(2()5.0(10)(2+++=S S S S K S G试用乃氏判据确定该系统在K=1和K=10时的稳定性。
第一章3解:1)工作原理:电压u2反映大门的实际位置,电压u1由开(关)门开关的指令状态决定,两电压之差△ u= u1 —u2驱动伺服电动机,进而通过传动装置控制大门的开启。
当大门在打开位置,u2= u上:如合上开门开关,u1 = u 上, △ u = 0,大门不动作;如合上关门开关,u1= u下,△ u<0,大门逐渐关闭,直至完全关闭,使△ u= 0。
当大门在关闭位置,u2 二u 下:如合上开门开关,u1 = u上, △ u>0,大门执行开门指令,直至完全打开,使△ u = 0; 如合上关门开关,u1 = u下,△ u= 0,大门不动作。
2)控制系统方框图解:1)控制系统方框图a)系统方a )水箱是控制对象,水箱的水位是被控量,水位的给定值 h '由浮球顶杆的长度给定,杠 杆平衡时,进水阀位于某一开度,水位保持在给定值。
当有扰动(水的使用流出量和给水 压力的波动)时,水位发生降低(升高),浮球位置也随着降低(升高),通过杠杆机构是 进水阀的开度增大(减小),进入水箱的水流量增加(减小),水位升高(降低),浮球也随 之升高(降低),进水阀开度增大(减小)量减小,直至达到新的水位平衡。
此为连续控制 系统。
b )水箱是控制对象,水箱的水位是被控量,水位的给定值 h '由浮球拉杆的长度给定。
杠 杆平衡时,进水阀位于某一开度,水位保持在给定值。
当有扰动(水的使用流出量和给水 压力的波动)时,水位发生降低(升高),浮球位置也随着降低(升高),到一定程度后, 在浮球拉杆的带动下,电磁阀开关被闭合(断开),进水阀门完全打开(关闭),开始进水(断水),水位升高(降低),浮球也随之升高(降低),直至达到给定的水位高度。
随后水 位进一步发生升高(降低),到一定程度后,电磁阀又发生一次打开(闭合)。
此系统是离 散控制系统。
2-1 解:(c )确定输入输出变量(u1,u2)得到:CR 2dU 1(1 匹)u 2 =CR 2dU 1-R2u 1 dt R 1 dt R一阶微分方程(e )确定输入输出变量(u1,u2)消去i 得到:(& R 埒汁2牛亡 一阶微分方程第二章2- 2解:1)确定输入、输出变量f (t ) 、X 2□2)工作原理:b )系统方框图干f(t)-fK1⑴-fB 1⑴-fBMF^d^- - 1 -(s 2) (s 1) (s 1)2M(s)=0, 4) D(s)=0,得到极点:一1, M(s)=0, 得到零点:2) 对各元件列微分方程:2f f f _ d X 2(t)fB3 ~'T K2-'T B 2= m 2K1B3 dt 2=K 1X 1; f B1 = B 1 -- -dt B d (x 1 - x2) =B 3 甬;fK2 = K 2X23)4) 5) 拉氏变换.F(s)—KX(s)—B 1SX1G)—B3$(X 1(s) —X 2(s)] = gs 2X 1(s) 叉'B 3S[X 1(s) -X 2(s)] -K 2X2G)-B 2SX2G ) = m 2S 2X 2(s) 消去中间变量: 拉氏反变换:mi|m 2 d 4X d 3X d 2X$ (B 1m 2 七2口1 B s mh B s mJ $(B 1B 3 B 1B 2 B s B ?心口2 ^心)/dt dt dt 2_3(K 1B 2 K 1B 3 K 2B 1 K 2B 3)等 K 1g 弋詈解:(2) (4)1 1 11 1 1 — 29 s 49 s 13 (s 1)(5)(6)-0.25 2s 0.5 2 22 2.5 s2- 5解:1)D(s)=0, M(s)=0,2) D(s)=0, M(s)=0,得到极点:0,0,-2,-5得到零点:一 1 , ' 得到极点:一 2, — 1, —2 得到零点:0 , 0 , — 1+ □0 +oci3) D(s)=O, 得到极点:0,得到零点:一2,2- 8解:1) a )建立微分方程b) 拉氏变换 c) 画单元框图(略) d) 画系统框图mx o (t) = f k (t) f Bl (t) - f B2(t) f k (t)二 k(X i (t) —x °(t))ms 2X o (s) = F k (s) F BI (S ) -F B 2(S )b) 拉氏变换:F k (s )=k (X i (s )-X o (s))F Bi (s)=B i S (X j (s)—X o (s))F B 2(S )工 B 2S X O (S )c) 绘制单元方框图(略)4)绘制系统框图Fi ( s )2)a)建立微分方程:f B1(t) B id (N (t)-")) dtf B2 (t)=B 2 dX o (t) dt由于扰动产生的输出为:要消除扰动对输出的影响,必须使 X o2(S )=0 得到:QK 2K 3G o (s) -K 3K 4S =0第三章3- 1解:1)法一:一阶惯性环节的调整时间为 4T ,输出达稳态值的98%故: 4T = 1min ,得到:T = 15s法二:求出一阶惯性环节的单位阶跃时间响应,代入,求出。
控制工程基础习题解答第二章2-1.试求下列函数的拉氏变换,假定当t<0时,f(t)=0。
(1).()()t t f 3cos 15-= 解:()[]()[]9553cos 152+-=-=s ss t L t f L (2). ()t et f t10cos 5.0-=解:()[][]()1005.05.010cos 25.0+++==-s s t eL t f L t(3). ()⎪⎭⎫⎝⎛+=35sin πt t f 解:()[]()252355cos 235sin 2135sin 2++=⎥⎦⎤⎢⎣⎡+=⎥⎦⎤⎢⎣⎡⎪⎭⎫ ⎝⎛+=s st t L t L t f L π 2-2.试求下列函数的拉氏反变换。
(1).()()11+=s s s F解:()[]()⎥⎦⎤⎢⎣⎡++=⎥⎦⎤⎢⎣⎡+=---11121111s k s k L s s L s F L()10111==⎥⎦⎤⎢⎣⎡+=s s s s k()()111112-=-=+⎥⎦⎤⎢⎣⎡+=s s s s k ()[]te s s L s F L ----=⎥⎦⎤⎢⎣⎡+-=111111 (2).()()()321+++=s s s s F解:()[]()()⎥⎦⎤⎢⎣⎡+++=⎥⎦⎤⎢⎣⎡+++=---3232121111s k s k L s s s L s F L()()()1223211-=-=+⎥⎦⎤⎢⎣⎡+++=s s s s s k ()()()2333212=-=+⎥⎦⎤⎢⎣⎡+++=s s s s s k ()[]tt e e s s L s F L 231123221-----=⎥⎦⎤⎢⎣⎡+++-= (3).()()()2222522+++++=s s s s s s F解:()[]()()⎥⎦⎤⎢⎣⎡+++++=⎥⎦⎤⎢⎣⎡+++++=---22222225232112211s s k s k s k L s s s s s L s F L()()()22222225221-=-=+⎥⎦⎤⎢⎣⎡+++++=s s s s s s s k ()()()3331331222222513223222232==-=---=-+---=++⎥⎦⎤⎢⎣⎡+++++=--=+k k jjjjk k k j s s s s s s s s j s k s k ()[]()()t e e s s s L s s s s L s F L tt cos 32111322223322221211-----+-=⎥⎦⎤⎢⎣⎡+++++-=⎥⎦⎤⎢⎣⎡+++++-=2-3.用拉氏变换法解下列微分方程(1)()()()()t t x dt t dx dtt x d 18622=++,其中()()00,10===t dt t dx x 解:对方程两边求拉氏变换,得:()()()()()()()()()()()()()()()()()[]()0,8747818747814242168616181618060042132132122222≥-+==-===++++=++++=++++==+-+-=+-+=-----t e e s X L t x k k k s k s k s k s s s s s s s s s s s X ss X s sX s s X s ss X x s sX t dt t dx sx s X s t t(2)()()210=+t x dtt dx ,其中()00=x 解:对方程两边求拉氏变换,得:()()()()()()()()()[]()0,515151511010221021001012121≥-==-==++=+==+=+---t e s X L t x k k s k s k s s s X s s X s sX ss X x s sX t(3)()()300100=+t x dtt dx ,其中()500=x 解:对方程两边求拉氏变换,得:()()()()()()()()()[]()0,4734731001003005030010050300100010012121≥+====++=++==+-=+---t e s X L t x k k s k s k s s s s X ss X s sX s s X x s sX t2-4.某系统微分方程为()()()()t x dtt dx t y dt t dy i i 322300+=+,已知()()0000==--i x y ,其极点和零点各是多少?解:对方程两边求拉氏变换,得:()()()()()()()()()()()233223323022030000-=-=++==+-=+-z p i i i i s s s s s X s Y s G s X x s sX s Y y s sY2-5.试求图2-25所示无源网络传递函数。
第二章2.1求下列函数的拉氏变换 (1)s s s s F 232)(23++=(2)4310)(2+-=s s s F (3)1)(!)(+-=n a s n s F (4)36)2(6)(2++=s s F(5) 22222)()(a s a s s F +-= (6))14(21)(2s s s s F ++= (7)521)(+-=s s F 2.2 (1)由终值定理:10)(lim )(lim )(0===∞→∞→s t s sF t f f (2)11010)1(10)(+-=+=s s s s s F 由拉斯反变换:t e s F L t f ---==1010)]([)(1 所以 10)(lim =∞→t f t2.3(1)0)2()(lim )(lim )0(2=+===∞→→s ss sF t f f s t )0()0()()()](['2''0''f sf s F s dt e t f t f L st --==-+∞⎰)0()0()(lim )(lim'2''0f sf s F s dt e t f s st s --=+∞→-+∞+∞→⎰1)2()(lim )0(222'=+==+∞→s s s F s f s (2)2)2(1)(+=s s F , t te s F L t f 21)]([)(--==∴ ,0)0(2)(22'=-=--f te et f tt又,1)0('=∴f2.4解:dt e t f e t f L s F st s--⎰-==22)(11)]([)(⎰⎰------+-=2121021111dt e e dt e e sts sts)11(11)11(11222s s s s se s e s e e s s e -------+--=22)1(111s s e s e ---∙-=2.5求下列函数的拉氏反变换(1)t t f 2sin 21)(= (2)t e t t f -=361)((3)t t e e t f 32321)(+-=- (4)t t e e t f 235352)(+=-(5)t e t e t f t t 3sin 313cos 2)(22--+= (6)t t t e e te t f 222)(----+-=2.6(1)0)()()(22=--dtt y d m t ky t f(2)0)()()(222121=-+-dt t y d m t y k k k k t f2.7(1)14312)(23++++=s s s s s G(2)210)(22++=-s s e s G s2.8 解 水的流量Q1由调节控制阀的开度控制,流出量Q2则根据需要可通过负载阀来改变,被调量H 反映了。
第2章系统的数学模型(习题答案)2.1什么是系统的数学模型?常用的数学模型有哪些?解:数学模型就是根据系统运动过程的物理、化学等规律,所写出的描述系统运动规律、特性、输出与输入关系的数学表达式。
常用的数学模型有微分方程、传递函数、状态空间模型等。
2.2 什么是线性系统?其最重要的特性是什么?解:凡是能用线性微分方程描述的系统就是线性系统。
线性系统的一个最重要的特性就是它满足叠加原理。
2.3 图( 题2.3) 中三图分别表示了三个机械系统。
求出它们各自的微分方程, 图中x i表示输入位移, x o表示输出位移, 假设输出端无负载效应。
题图2.3解:①图(a):由牛顿第二运动定律,在不计重力时,可得整理得将上式进行拉氏变换,并注意到运动由静止开始,即初始条件全部为零,可得[]于是传递函数为②图(b):其上半部弹簧与阻尼器之间,取辅助点A,并设A点位移为x,方向朝下;而在其下半部工。
引出点处取为辅助点B。
则由弹簧力与阻尼力平衡的原则,从A和B两点可以分别列出如下原始方程:消去中间变量x,可得系统微分方程对上式取拉氏变换,并记其初始条件为零,得系统传递函数为③图(c):以的引出点作为辅助点,根据力的平衡原则,可列出如下原始方程:移项整理得系统微分方程对上式进行拉氏变换,并注意到运动由静止开始,即则系统传递函数为2.4试建立下图(题图2.4)所示各系统的微分方程并说明这些微分方程之间有什么特点,其中电压)(t u r 和位移)(t x r 为输入量;电压)(t u c 和位移)(t x c 为输出量;1,k k 和2k 为弹簧弹性系数;f 为阻尼系数。
+-+-C)(t u r )(t u c )(t r )(t x c f1k 2k CR)(t u r )(u c +-+-f)(t r )(t x c )(a )(b )(c )(d R 2R题图2.4【解】:)(a方法一:设回路电流为i ,根据克希霍夫定律,可写出下列方程组:⎪⎩⎪⎨⎧=+=⎰i R u u dt i C u cc r 1消去中间变量,整理得:dtdu RC u dt du RCrc c =+方法二:dtdu RC u dt du RCRCs RCs CsR R s U s U rc c r c =+⇒+=+=11)()( 由于无质量,各受力点任何时刻均满足∑=0F ,则有:cc r kx dt dxdt dx f =-)(dtdx k f x dt dx k f rc c =+⇒()r r c c r c u dtduC R u dt du C R R Cs R R Cs R Cs R R CsR s U s U +=++⇒+++=+++=221212212)(1111)()( 设阻尼器输入位移为a x ,根据牛顿运动定律,可写出该系统运动方程r rc c aa c a r c r x dtdx k f x dt dx f k k k k dt dx f x x k x x k x x k +=++⇒⎪⎩⎪⎨⎧=--=-22121221)()()( 结论:)(a 、)(b 互为相似系统,)(c 、)(d 互为相似系统。