杨儒贵版高等电磁理论课后习题解答第1章.ppt
- 格式:ppt
- 大小:942.51 KB
- 文档页数:12
第一章 矢量分析第一章 题 解1-1已知三个矢量分别为z y e e e A x 32-+=;z y e e e B x 23++=;z e e C x -=2。
试求①|| |,| |,|C B A ;②单位矢量c b a e e e , ,;③B A ⋅;④B A ⨯;⑤C B A ⨯⨯)(及B C A ⨯⨯)(;⑥B C A ⋅⨯)(及C B A ⋅⨯)(。
解 ① ()14321222222=-++=++=z y x A A A A② ()z y e e e A A A e x a 3214114-+===③ 1623-=-+=++=⋅z z y y x x B A B A B A B A④ z y zy zyxz y xz y B B B A A A e e e e e e e e e B A x x x5117213321--=-==⨯ ⑤ ()z y z y e e e e e e C B A x x 223111025117+-=---=⨯⨯因z y zy zyxz y xC C C A A A e e e e e e e e e C A x x x x x45212321---=--==⨯ 则()z y z y e e e e e e B C A x x 1386213452+--=---=⨯⨯⑥ ()()()152131532=⨯+⨯-+⨯-=⋅⨯B C A()()()1915027=-⨯-++⨯=⋅⨯C B A 。
1-2 已知0=z 平面内的位置矢量A 与X 轴的夹角为α,位置矢量B 与X 轴的夹角为β,试证证明 由于两矢量位于0=z 平面内,因此均为二维矢量,它们可以分别表示为已知()βα-=⋅cos B A B A ,求得 即βαβαβαsin sin cos cos )cos(+=-1-3 已知空间三角形的顶点坐标为)2 ,1 ,0(1-P ,)3 ,1 ,4(2-P 及)5 ,2 ,6(3P 。
电磁场与电磁波(杨儒贵_版)课后思考题答案电磁场与波课后思考题1-1 什么是标量与⽮量?举例说明.仅具有⼤⼩特征的量称为标量.如:长度,⾯积,体积,温度,⽓压,密度,质量,能量及电位移等.不仅具有⼤⼩⽽且具有⽅向特征的量称为⽮量.如:⼒,位移,速度,加速度,电场强度及磁场强度.1-2 ⽮量加减运算及⽮量与标量的乘法运算的⼏何意义是什么?⽮量加减运算表⽰空间位移.⽮量与标量的乘法运算表⽰⽮量的伸缩.1-3⽮量的标积与⽮积的代数定义及⼏何意义是什么? ⽮量的标积: ,A ⽮量的模与⽮量B 在⽮量A ⽅向上的投影⼤⼩的乘积.⽮积: ⽮积的⽅向与⽮量A,B 都垂直,且由⽮量A 旋转到B,并与⽮积构成右旋关系,⼤⼩为1-4 什么是单位⽮量?写出单位⽮量在直⾓坐标中的表达式. 模为1的⽮量称为单位⽮量.1-5 梯度与⽅向导数的关系是什么?试述梯度的⼏何意义,写出梯度在直⾓坐标中的表⽰式.标量场在某点梯度的⼤⼩等于该点的最⼤⽅向导数, ⽅向为该点具有最⼤⽅向导数的⽅向.梯度⽅向垂直于等值⾯,指向标量场数值增⼤的⽅向在直⾓坐标中的表⽰式: 1-6 什么是⽮量场的通量?通量值为正,负或零时分别代表什么意义?⽮量A 沿某⼀有向曲⾯S 的⾯积分称为⽮量A 通过该有向曲⾯S 的通量,以标量表⽰,即通量为零时表⽰该闭合⾯中没有⽮量穿过. 通量为正时表⽰闭合⾯中有源;通量为负时表⽰闭合⾯中有洞.1-7 给出散度的定义及其在直⾓坐标中的表⽰式. 散度:当闭合⾯S 向某点⽆限收缩时,⽮量A 通过该闭合⾯S 的通量与该闭合⾯包围的体积之⽐的极限称为⽮量场A 在该点的散度。
直⾓坐标形式: 1-8 试述散度的物理概念,散度值为正,负或零时分别表⽰什么意义?物理概念:通过包围单位体积闭合⾯的通量。
散度为正时表⽰辐散,为负时表⽰辐合,为零时表⽰⽆能量流过.1-9 试述散度定理及其物理概念.散度定理:建⽴了区域 V 中的场和包围区域V 的闭合⾯S 上的场之间的关系θcos B A BA B A B A B A z z y y x x =++=?z y x z y x z y x B B B A A A e e e B A =?θsin B A e z θsin B A a e zy x e e e γβαcos cos cos ++=z y x e ze y e x ??+??+??=??=S S A Ψ d VS V Δd lim div 0Δ??=→S A A zA y A x A A div z y x ??+??+??= A ??=物理概念: 散度定理建⽴了区域 V 中的场和包围区域 V 的闭合⾯ S 上的场之间的关系。
2-2 已知真空中有三个点电荷,其电量及位置分别为:)0,1,0( ,4 )1,0,1( ,1 )1,0,0( ,1332211P C q P C q P C q === 试求位于)0,1,0(-P 点的电场强度。
解 令321,,r r r 分别为三个电电荷的位置321,,P P P 到P 点的距离,则21=r ,32=r ,23=r 。
利用点电荷的场强公式r e E 204rq πε=,其中r e 为点电荷q 指向场点P 的单位矢量。
那么,1q 在P 点的场强大小为021011814πεπε==r q E ,方向为()z yr e ee +-=211。
2q 在P 点的场强大小为0220221214πεπε==r q E ,方向为()z y xr e e ee ++-=312。
3q 在P 点的场强大小为023033414πεπε==r q E ,方向为y r e e -=3则P 点的合成电场强度为⎥⎦⎤⎢⎣⎡⎪⎪⎭⎫ ⎝⎛++⎪⎪⎭⎫ ⎝⎛+++-=++=z e e e E E E E y x 312128141312128131211 0321πε2-4 已知真空中两个点电荷的电量均为6102-⨯C ,相距为2cm , 如习题图2-4所示。
试求:①P 点的电位;②将电量为6102-⨯C 的点电荷由无限远处缓慢地移至P 点时,外力必须作的功。
解 根据叠加原理,P 点的合成电位为()V 105.24260⨯=⨯=rq πεϕ因此,将电量为C 1026-⨯的点电荷由无限远处缓慢地移到P 点,外力必须做的功为()J 5==q W ϕ2-6 已知分布在半径为a 的半圆周上的电荷线密度πφφρρ≤≤=0 ,sin 0l ,试求圆心处的电场强度。
解 建立直角坐标,令线电荷位于xy 平面,且以y 轴为对称,如习题图2-6所示。
那么,点电荷l l d ρ在圆心处产生的电场强度具有两个分量E x 和E y 。
由于电荷分布以y 轴为对称,因此,仅需考虑电场强度的y E 分量,即习题图2-4习题图2-6φπερsin 4d d d 20a lE E l y ==考虑到φρρφsin ,d d 0==l a l ,代入上式求得合成电场强度为y y aa e e E 0002008d sin 4ερφφπερπ==⎰2-12 若带电球的内外区域中的电场强度为⎪⎪⎩⎪⎪⎨⎧<>=a r aqr a r r q, ,2r e E试求球内外各点的电位。
1-1 已知三个矢量分别为z y e e e A x 32-+=;z y e e e B x 23++=;z e e C x -=2。
试求①|| |,| |,|C B A ;②单位矢量c b a e e e , ,;③B A ⋅;④B A ⨯;⑤C B A ⨯⨯)(及B C A ⨯⨯)(;⑥B C A ⋅⨯)(及C B A ⋅⨯)(。
解 ① ()14321222222=-++=++=z y x A A A A14213222222=++=++=z y x B B B B ()5102222222=-++=++=z y x C C C C② ()z y e e e A A A e x a 3214114-+===()z y e e e B B B e x b 2314114++===()z e e C C C e x c -===2515 ③ 1623-=-+=++=⋅z z y y x x B A B A B A B A④ z y zy zyxz y xz y B B B A A A e e e e e e e e e B A x x x5117213321--=-==⨯ ⑤ ()z y zy e e e e e e C B A x x 223111025117+-=---=⨯⨯ 因z y zy zyxz y xC C C A A A e e e e e e e e e C A x x x x x45212321---=--==⨯ 则()z y zy e e e e e e B C A x x 1386213452+--=---=⨯⨯⑥ ()()()152131532=⨯+⨯-+⨯-=⋅⨯B C A()()()1915027=-⨯-++⨯=⋅⨯C B A 。
1-5 设标量32yz xy +=Φ,矢量z y e e e A x -+=22,试求标量函数Φ在点)1 ,1 ,2(-处沿矢量A 的方向上的方向导数。
上海大学研究生高等电磁理论习题答案(包括老师ppt习题和课后习题)上海大学研究生高等电磁理论习题答案分析化学下册第三版第一章绪论 1. 解释下列名词:(1仪器分析和化学分析;(2标准曲线与线性范围;(3灵敏度、精密度、准确度和检出限。
答:(1仪器分析和化学分析:以物质的物理性质和物理化学性质(光、电、热、磁等为基础的分析方法,这类方法一般需要特殊的仪器,又称为仪器分析法;化学分析是以物质化学反应为基础的分析方法。
(2标准曲线与线性范围:标准曲线是被测物质的浓度或含量与仪器响应信号的关系曲线;标准曲线的直线部分所对应的被测物质浓度(或含量的范围称为该方法的线性范围。
(3灵敏度、精密度、准确度和检出限:物质单位浓度或单位质量的变化引起响应信号值变化的程度,称为方法的灵敏度;精密度是指使用同一方法,对同一试样进行多次测定所得测定结果的一致程度;试样含量的测定值与试样含量的真实值(或标准值相符合的程度称为准确度;某一方法在给定的置信水平上可以检出被测物质的最小浓度或最小质量,称为这种方法对该物质的检出限。
2. 对试样中某一成分进行5次测定,所得测定结果(单位μg ⋅mL -1分别为 0.36,0.38,0.35,0.37,0.39。
(1 计算测定结果的相对标准偏差;(2 如果试样中该成分的真实含量是0.38 μg ⋅mL -1,试计算测定结果的相对误差。
解:(1测定结果的平均值37.0539.037.035.038.036.0=++++=x μg ⋅mL -1标准偏差122222120158.01537.039.0(37.037.0(37.035.0(37.038.0(37.036.0(1 (-=⋅=--+-+-+-+-=--=∑m Lg n x x s ni iμ相对标准偏差 %27.4%10037.00158.0%100=⨯=⨯= xs s r(2相对误差 %63.2%10038.038.037.0%100-=⨯-=⨯-=μμx E r 。
高等电磁场理论习题一答案高等电磁场理论习题一答案在高等电磁场理论学习中,习题是检验学生理解和掌握程度的重要方式。
下面将给出一些高等电磁场理论习题的答案,并对其中的一些重要概念进行解析和讨论。
1. 什么是电磁场的源项?它的物理意义是什么?电磁场的源项是电荷密度和电流密度,分别用ρ和J表示。
它们是描述电磁场产生和变化的根本原因。
电荷密度ρ表示单位体积内所含电荷的数量,而电流密度J则表示单位面积内通过的电流。
源项的物理意义在于它们决定了电磁场的分布和演化规律。
2. 什么是麦克斯韦方程组?它们描述了什么物理现象?麦克斯韦方程组是描述电磁场的基本方程组,由四个方程组成,分别是高斯定律、高斯磁定律、法拉第电磁感应定律和安培环路定律。
这四个方程描述了电场和磁场的产生、传播和相互作用的规律。
高斯定律描述了电场的产生和分布,它表明电场线从正电荷发出,指向负电荷。
高斯磁定律描述了磁场的产生和分布,它表明磁场线是闭合的,不存在磁单极子。
法拉第电磁感应定律描述了磁场对电场的影响,它表明变化的磁场可以产生感应电场。
安培环路定律描述了电场对磁场的影响,它表明电场沿闭合回路的积分等于该回路内的磁场总磁通量的变化率。
3. 什么是麦克斯韦方程的积分形式和微分形式?它们之间有什么关系?麦克斯韦方程的积分形式是将方程两边进行积分得到的形式,它们是高斯定律的积分形式、高斯磁定律的积分形式、法拉第电磁感应定律的积分形式和安培环路定律的积分形式。
麦克斯韦方程的微分形式是将方程两边进行微分得到的形式,它们是高斯定律的微分形式、高斯磁定律的微分形式、法拉第电磁感应定律的微分形式和安培环路定律的微分形式。
积分形式和微分形式之间有一个重要的关系,即微分形式是积分形式的局部形式。
通过斯托克斯定理和高斯定理,可以将积分形式转化为微分形式,从而得到具体的电场和磁场分布情况。
4. 什么是电磁波?它有哪些基本特性?电磁波是由电场和磁场相互作用而产生的一种波动现象。
1.5Use the results obtained in Problem 1.4and show thatwhere R '=-r r .证明:223000211ˆlim lim lim 4411R 0(')4V R R V S dV d R R R R R ππδπ→→→⎛⎫⎛⎫⎛⎫∇=∇⋅=-⋅=- ⎪ ⎪ ⎪⎝⎭⎝⎭⎝⎭⎛⎫∇≠-- ⎪⎝⎭⎰⎰⎰⎰⎰R S R r r 推导1又知道在处值为零,符合函数的定义。
3020(')1(')44(')14(')q qq R R q R δπεπδπδε-⎛⎫=-=∇ ⎪⎝⎭-⎛⎫∇⋅==>∇=-- ⎪⎝⎭r r E r r r r E r r 推导2点电荷产生的电场强度为1.6Consider a wire C carrying a static electric currentI .Using Equations2.1.13and 2.1.18,derive Biot –Savart ’s law given bywhere '=-R r r and d l ′points in the direction of the current flow.解:000000033d d d ()4π4π4πd d 1()()d 4π4π4πd d 4π4πV V C C C C C C V Sdl I R R RI I I R R RI I R R μμμμμμμμ'==='''=∇⨯=∇⨯=∇⨯=∇⨯'-⨯'=⨯=⎰⎰⎰⎰⎰⎰⎰⎰J J l A r l l B r A r l l l R R证明:2()()∇=∇∇⋅-∇⨯∇⨯E E E (1)()[]()(2)(3)0(4)()0(5)j j ωεωμμε∇⨯=⎧⎪∇⨯=-⎪⎨∇⋅=⎪⎪∇⋅=⎩H r E E H H r E 由(5)式可推出:[]()()()0εεε∇⋅=∇⋅+⋅∇=r E r E E r ,即:()ln ()()r r εεε⋅∇∇⋅=-=-⋅∇E E E r (6)由(2)(3)两式可得:22)()k ωμε∇⨯∇⨯==E (r E r E ,在利用性质(1)式,并将(6)的结果代入,可得22(ln ())()r k ε∇-⋅∇-∇=E E r E ,整理后为:[]22()ln ()0k r ε∇++∇⋅∇=E r E E 2.7解:222220(1)00()()0(2)j j k k k ωεωμ∇⨯=⎧⎪∇⨯=-⎪=>∇⨯∇⨯-=⎨∇⋅=⎪⎪∇⋅=⎩∇=∇∇⋅-∇⨯∇⨯=-=>∇+=H E E H E E H E E E E E E E 比如jkzz e -=E e 就是满足方程2,但不满足方程12.11解:沿z 轴放置的电偶极子的辐射远场为j j sin j e 4πsin j e 4πk r k rIlk E r Ilk H r θφηθθ--⎧=⎪⎪⎨⎪=⎪⎩通过坐标旋转,(过程略)可得沿x 轴放置的电偶极子的辐射远场为()()()()cos cos sin 4jkrr k e j Il r θφηθφφπη-⎧=⋅-⋅+⋅⎪⎪⎨⨯⎪=⎪⎩E r e e e E r H r 3.1解:由题意,镜像电流的分布如下。
电磁场与电磁波课后习题答案(杨儒贵)(第二版)第二章 静电场2-1 若真空中相距为d 的两个电荷q 1及q 2的电量分别为q 及4q ,当点电荷q '位于q 1及q 2的连线上时,系统处于平衡状态,试求q '的大小及位置。
解 要使系统处于平衡状态,点电荷q '受到点电荷q 1及q 2的力应该大小相等,方向相反,即q q q q F F ''=21。
那么,由1222022101244r r r q q r q q =⇒'='πεπε,同时考虑到d r r =+21,求得d r d r 32 ,3121==可见点电荷q '可以任意,但应位于点电荷q 1和q 2的连线上,且与点电荷1q 相距d 31。
2-2 已知真空中有三个点电荷,其电量及位置分别为:)0,1,0( ,4 )1,0,1( ,1 )1,0,0( ,1332211P C q P C q P C q === 试求位于)0,1,0(-P 点的电场强度。
解 令321,,r r r 分别为三个电电荷的位置321,,P P P 到P 点的距离,则21=r ,32=r ,23=r 。
利用点电荷的场强公式r e E 204rq πε=,其中r e 为点电荷q 指向场点P 的单位矢量。
那么,1q 在P 点的场强大小为021011814πεπε==r q E ,方向为()z yr e ee +-=211。
2q 在P 点的场强大小为0220221214πεπε==r q E ,方向为()z y x r e e e e ++-=312。
3q 在P 点的场强大小为023033414πεπε==r q E ,方向为y r e e -=3则P 点的合成电场强度为⎥⎦⎤⎢⎣⎡⎪⎪⎭⎫ ⎝⎛++⎪⎪⎭⎫ ⎝⎛+++-=++=z e e e E E E E y x 312128141312128131211 0321πε2-3 直接利用式(2-2-14)计算电偶极子的电场强度。
电磁场与波课后思考题1-1 什么是标量与矢量?举例说明 .仅具有大小特征的量称为标量.如:长度 ,面积 ,体积 ,温度 ,气压 ,密度 ,质量 ,能量及电位移等.不仅具有大小而且具有方向特征的量称为矢量 .如:力 ,位移 ,速度 ,加速度 ,电场强度及磁场强度 .1-2 矢量加减运算及矢量与标量的乘法运算的几何意义是什么矢量加减运算表示空间位移.矢量与标量的乘法运算表示矢量的伸缩.1-3矢量的标积与矢积的代数定义及几何意义是什么?矢量的标积 : A B A x B x A y B y A z B z A B cos ,A 矢量的模与矢量 B 在矢量 A方向上的投影大小的乘积 .矢积 :e x e y e z矢积的方向与矢量A,B 都垂直 ,且A B A x A y A z e z A B sin由矢量 A 旋转到 B,并与矢积构成右B x B y B z旋关系 ,大小为 A B sin1-4什么是单位矢量 ?写出单位矢量在直角坐标中的表达式.模为 1的矢量称为单位矢量. e a cos e x cos e y cos e z1-5梯度与方向导数的关系是什么?试述梯度的几何意义,写出梯度在直角坐标中的表示式 .标量场在某点梯度的大小等于该点的最大方向导数, 方向为该点具有最大方向导数的方向.梯度方向垂直于等值面,指向标量场数值增大的方向在直角坐标中的表示式:x e x y e y z e z1-6什么是矢量场的通量 ?通量值为正 ,负或零时分别代表什么意义?矢量 A 沿某一有向曲面S 的面积分称为矢量 A 通过该有向曲面S 的通量 ,以标量表示,即Ψ A dS通量为零时表示该闭合面中没有矢量穿过.S; 通量为负时表示闭合面中有洞 .通量为正时表示闭合面中有源1-7给出散度的定义及其在直角坐标中的表示式.d 散度:当闭合面S向某点无限收缩时,矢量 A 通过该闭合面S的通量div Alim S 与该闭合面包围的体积之比的极限称为矢量场 A 在该点的散度。
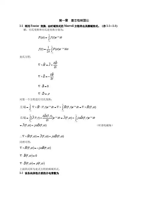
1-1利用fourier 变换,由时域形式的Maxwell方程导出其频域形式解:时域形式的Maxwell方程为:∇×H(r,t)=J(r,t)+ðD(r,t)ðt∇×E(r,t)=−ðB(r,t)ðt∇∙B(r,t)=0∇∙D(r,t)=ρ(r,t) Fourier变换的定义为F(ω)=∫f(t)+∞−∞e−iωt dt 将第一个方程两边同时进行Fourier变换得:∫∇×H(r,t) +∞−∞e−iωt dt=∫[J(r,t)+∞−∞+ðD(r,t)ðt]e−iωt dt对矢量场某点先取旋度再积分等于先积分再取旋度,整理得:∇×∫H(r,t)+∞−∞e−iωt dt=∫J(r,t)+∞−∞e−iωt dt+∫ðD(r,t)ðt+∞−∞e−iωt dt由于∫ðD(r,t)ðt+∞−∞e−iωt dt=∫e−iωt+∞−∞dD(r,t)=e−iωt D(r,t)|−∞+∞+iω∫D(r,t)+∞−∞e−iωt dt由Fourier 变换的绝对可积的条件可得:e−iωt D(r,t)|−∞+∞=0故∫ðD(r,t)ðt+∞−∞e−iωt dt=iω∫D(r,t)+∞−∞e−iωt dt∇×∫H(r,t)+∞−∞e−iωt dt=∫J(r,t)+∞−∞e−iωt dt+iω∫D(r,t)+∞−∞e−iωt dt因此:∇×H(r,ω)=J(r,ω)+iωD(r,ω)同理可得∇×E(r,ω)=−iωB(r,ω)∇∙B(r,ω)=0∇∙D(r,ω)=ρ1-2:各向异性的介电常数为ε̅=ε0[720240003]当外加电场强度为 (1) E 1=e x E 0 (2) E 2=e y E 0 (3) E 3=e z E 0(4) E 4=E 0(e x +2e y ) (5) E 4=E 0(2e x +e y ) 产生的电通密度。