第七讲 矩阵的微分与积分
- 格式:pdf
- 大小:176.58 KB
- 文档页数:3
矩阵微积分规则
矩阵微积分是对矩阵进行微积分运算的一种方法,它包括了一系列的规则和定理。
以下是一些常见的矩阵微积分规则:
1. 矩阵加法规则:对于两个相同维度的矩阵A和B,它们的
和用A + B表示,其中每个对应位置上的元素相加。
2. 矩阵标量乘法规则:给定一个矩阵A和一个实数k,矩阵A 乘以k表示每个元素都乘以k。
3. 矩阵乘法规则:对于两个矩阵A和B,它们的乘积用A × B
表示,其中结果矩阵的每个元素都是A的对应行与B的对应
列的乘积之和。
4. 转置规则:给定一个矩阵A,它的转置用A^T表示,即将
A的行和列互换。
5. 矩阵求导规则:对于一个矩阵函数f(X)(其中X是一个矩阵),它的导数用∂f(X)/∂X表示,是一个与X相同维度的矩阵,其中每个元素都是f关于X中对应元素的导数。
6. 行列式规则:对于一个n×n的矩阵A,它的行列式用|A|表示,表示一个数字,它的计算涉及矩阵的元素和它们的代数运算。
7. 逆矩阵规则:对于一个n×n的可逆矩阵A,它的逆矩阵用
A^(-1)表示,满足AA^(-1) = A^(-1)A = I,其中I是单位矩阵。
这些规则是矩阵微积分中常用的一些基本规则,可以用于求导、解方程、计算行列式等各种问题。
微积分学(Calculus,拉丁语意为用来计数的小石头)是研究极限、微分学、积分学和无穷级数等的一个数学分支,并成为了现代大学教育的重要组成部分。
微积分学基本定理指出,微分和积分互为逆运算,这也是两种理论被统一成微积分学的原因。
我们可以以两者中任意一者为起点来讨论微积分学,但是在教学中一般会先引入微分学。
在更深的数学领域中,高等微积分学通常被称为分析学,并被定义为研究函数的科学,是现代数学的主要分支之一。
早在古代,人们就会积分思想,如阿基米德用积分法算出了球的表面积,中国古代数学家刘微运用割元法求出圆周率3.1416,这也是用正多边形逼近圆,任何求出近似圆周率。
割圆法也是积分思想。
我们最伟大的古代数学家(现在是华罗庚)祖冲之也是利用积分算出了圆周率后7位数。
和球的体积。
但是正正系统提出微积分的是牛顿和莱布尼茨,他们为谁先发明微积分挣得头破血流。
牛顿是三大数学家之一,也是第一位划时代的物理学家,晚年从事神学和炼金学,它创立了整个经典力学体系和几何光学,这几乎成为了整个中学的必修部分,初中的力学和光学默认为几何光学,力学默认为简单的经典力学。
高中开始正式学习经典力学。
这里有一个非常之大的错误就是初中里为了方便或简单,用平均速率来代替平均速度,也就是速度公式v=x/t在初中里用速率公式v=s/t代替。
速度和速率一个是矢量,一个是标量,这里差距巨大,不知道编写初中课本(人教版是这样)的编者是学历太低,还是别有用心?这里我们讲微积分,之所以提起这个事情,就是为了突出一个名词——平均速度。
牛顿发明微积分(暂且认为是他和莱布尼茨共同发明的)的目的是为了研究物理学,因为微积分能解决很多普通数学不能解决的物体,如求曲边梯形面积。
实际上,我们初中是速度公式是速率公式,即v=s/t高中的速度公式实际上是平均速度公式,即v=△x/△t这里的△念德耳塔,表示变化率,这里当然不是用△去乘x了,△x是一个整体,就像汉字一样。
矩阵微积分本文摘译自 Wikipedia。
在数学中,矩阵微积分是多元微积分的一种特殊表达形式。
它以向量或矩阵的形式将单个函数表示为多个变量,或将一个多元函数表示为单个变量,从而可以作为一个整体来处理,大大简化了多元函数极值、微分方程等问题的求解过程。
表示法在本文中,将采用如下所示的表示方法:•$ \mathbf A, \mathbf X, \mathbf Y $ 等:粗体的大写字母,表示一个矩阵;•$ \mathbf a, \mathbf x, \mathbf y $ 等:粗体的小写字母,表示一个向量;•$ a, x, y $ 等:斜体的小写字母,表示一个标量;•$ \mathbf X^T $:表示矩阵 $ \mathbf X $ 的转置;•$ \mathbf X^H $:表示矩阵 $ \mathbf X $ 的共轭转置;•$ | \mathbf X | $:表示方阵 $ \mathbf X $ 的行列式;•$ || \mathbf x || $:表示向量 $ \mathbf x $ 的范数;•$ \mathbf I $:表示单位矩阵。
向量微分向量-标量列向量函数 $ \mathbf y = \begin{bmatrix} y_1 & y_2 & \cdots & y_m \end{bmatrix}^T $ 对标量 $ x $ 的导数称为$ \mathbf y $ 的切向量,可以以分子记法表示为$ \frac{\partial \mathbf y}{\partial x} =\begin{bmatrix}\frac{\partial y_1}{\partial x}\newline \frac{\partial y_2}{\partial x} \newline\vdots \newline \frac{\partial y_m}{\partialx}\end{bmatrix}_{m \times 1} $若以分母记法则可以表示为$ \frac{\partial \mathbf y}{\partial x} =\begin{bmatrix}\frac{\partial y_1}{\partial x} &\frac{\partial y_2}{\partial x} & \cdots &\frac{\partial y_m}{\partial x}\end{bmatrix}_{1 \times m} $标量-向量标量函数 $ y $ 对列向量 $ \mathbf x = \begin{bmatrix} x_1 & x_2 & \cdots & x_n \end{bmatrix}^T $ 的导数可以以分子记法表示为$ \frac{\partial y}{\partial \mathbf x} =\begin{bmatrix}\frac{\partial y}{\partial x_1} &\frac{\partial y}{\partial x_2} & \cdots &\frac{\partial y}{\partial x_n}\end{bmatrix}_{1 \times n} $若以分母记法则可以表示为$ \frac{\partial y}{\partial \mathbf x} =\begin{bmatrix}\frac{\partial y}{\partial x_1}\newline \frac{\partial y}{\partial x_2} \newline\vdots \newline \frac{\partial y}{\partialx_n}\end{bmatrix}_{n \times 1} $向量-向量列向量函数 $ \mathbf y = \begin{bmatrix} y_1 & y_2 & \cdots & y_m \end{bmatrix}^T $ 对列向量 $ \mathbf x = \begin{bmatrix} x_1 & x_2 & \cdots & x_n\end{bmatrix}^T $ 的导数可以以分子记法表示为$ \frac{\partial \mathbf y}{\partial \mathbf x} =\begin{bmatrix}\frac{\partial y_1}{\partial x_1} &\frac{\partial y_1}{\partial x_2} & \cdots &\frac{\partial y_1}{\partial x_n}\newline\frac{\partial y_2}{\partial x_1} &\frac{\partial y_2}{\partial x_2} & \cdots &\frac{\partial y_2}{\partial x_n} \newline\vdots &\vdots & \ddots & \vdots \newline\frac{\partialy_m}{\partial x_1} & \frac{\partial y_m}{\partial x_2} & \cdots & \frac{\partial y_m}{\partial x_n}\newline\end{bmatrix}_{m \times n} $若以分母记法则可以表示为$ \frac{\partial \mathbf y}{\partial \mathbf x} =\begin{bmatrix}\frac{\partial y_1}{\partial x_1} &\frac{\partial y_2}{\partial x_1} & \cdots &\frac{\partial y_m}{\partial x_1}\newline\frac{\partial y_1}{\partial x_1} &\frac{\partial y_2}{\partial x_1} & \cdots &\frac{\partial y_m}{\partial x_1} \newline\vdots &\vdots & \ddots & \vdots \newline\frac{\partialy_1}{\partial x_1} & \frac{\partial y_2}{\partial x_1} & \cdots & \frac{\partial y_m}{\partial x_1}\newline\end{bmatrix}_{n \times m} $矩阵微分矩阵-标量形状为 $ m \times n $ 的矩阵函数 $ \mathbf Y $ 对标量$ x $ 的导数称为 $ \mathbf Y $ 的切矩阵,可以以分子记法表示为$ \frac{\partial \mathbf Y}{\partial x} =\begin{bmatrix}\frac{\partial y_{11}}{\partial x} &\frac{\partial y_{12}}{\partial x} & \cdots &\frac{\partial y_{1n}}{\partial x}\newline\frac{\partial y_{21}}{\partial x} &\frac{\partial y_{22}}{\partial x} & \cdots &\frac{\partial y_{2n}}{\partial x} \newline\vdots &\vdots & \ddots & \vdots \newline\frac{\partialy_{m1}}{\partial x} & \frac{\partial y_{m2}}{\partial x} & \cdots & \frac{\partial y_{mn}}{\partial x}\newline\end{bmatrix}_{m \times n} $标量-矩阵标量函数 $ y $ 对形状为 $ p \times q $ 的矩阵$ \mathbf X $ 的导数可以分子记法表示为$ \frac{\partial y}{\partial \mathbf X} =\begin{bmatrix}\frac{\partial y}{\partial x_{11}} &\frac{\partial y}{\partial x_{21}} & \cdots &\frac{\partial y}{\partial x_{p1}}\newline\frac{\partial y}{\partial x_{12}} &\frac{\partial y}{\partial x_{22}} & \cdots &\frac{\partial y}{\partial x_{p2}} \newline\vdots &\vdots & \ddots & \vdots \newline\frac{\partialy}{\partial x_{1q}} & \frac{\partial y}{\partialx_{2q}} & \cdots & \frac{\partial y}{\partial x_{pq}} \newline\end{bmatrix}_{q \times p} $若以分母记法则可以表示为$ \frac{\partial y}{\partial \mathbf X} =\begin{bmatrix}\frac{\partial y}{\partial x_{11}} &\frac{\partial y}{\partial x_{12}} & \cdots &\frac{\partial y}{\partial x_{1q}}\newline\frac{\partial y}{\partial x_{21}} &\frac{\partial y}{\partial x_{22}} & \cdots &\frac{\partial y}{\partial x_{2q}} \newline\vdots &\vdots & \ddots & \vdots \newline\frac{\partialy}{\partial x_{p1}} & \frac{\partial y}{\partialx_{p2}} & \cdots & \frac{\partial y}{\partial x_{pq}} \newline\end{bmatrix}_{p \times q} $恒等式在下面的公式中,除非另有说明,默认要导出的复合函数的所有因子都不是导数变量的函数。
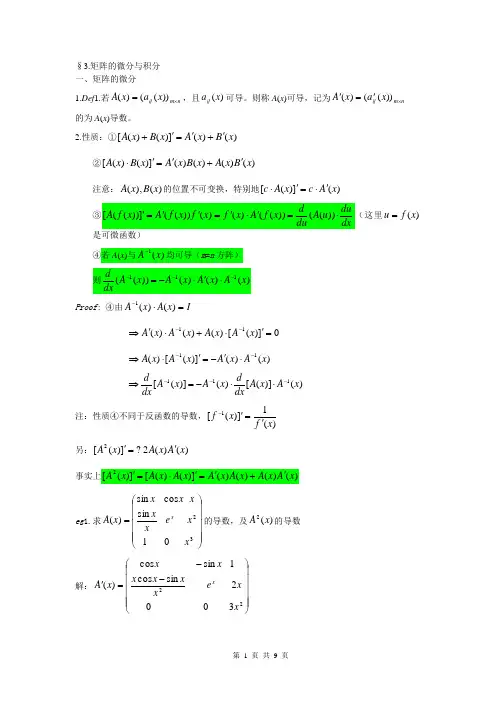
§3.矩阵的微分与积分 一、矩阵的微分1.Def 1.若n m ij x a x A ⨯=))(()(,且)(x a ij 可导。
则称A (x )可导,记为n m ijx a x A ⨯'='))(()( 的为A (x )导数。
2.性质:①)()(])()([x B x A x B x A '+'='+②)()()()(])()([x B x A x B x A x B x A '+'='⋅注意:)(),(x B x A 的位置不可变换,特别地)(])([x A c x A c '⋅='⋅)(x f u =是可微函数)④若A (x )与)(1x A -均可导(m =n 方阵)Proof : ④由I x A x A =⋅-)()(10])([)()()(11='⋅+⋅'⇒--x A x A x A x A )()(])([)(11x A x A x A x A --⋅'-='⋅⇒)()]([)()]([111x A x A dxdx A x A dx d ---⋅⋅-=⇒注:性质④不同于反函数的导数,)(1])([1x f x f '='- 另:)()(2?])([2x A x A x A '='事实上)()()()(])()([])([2x A x A x A x A x A x A x A '+'='⋅='eg 1.求⎪⎪⎪⎪⎪⎭⎫ ⎝⎛=3201sin cos sin )(x x e xx x x x x A x 的导数,及)(2x A 的导数解:⎪⎪⎪⎪⎪⎭⎫⎝⎛--='223002sin cos 1sin cos )(x x e x xx x x x x A x)()()()(])([2x A x A x A x A x A '+'='⎪⎪⎪⎪⎪⎪⎪⎭⎫ ⎝⎛+-+++++-+-++-+-+-+-+=52242222232261sin 3cos )2(5cos 22sin 2cos 22sin )cos (sin sin 2sin 4sin )1(cos 32sin 2cos 122sin 2cos 22sin x x x x e x x x x e x x x x x e x x x x x x x x x x x x x x x x x x x x xx xeg2.设⎪⎪⎭⎫⎝⎛-=x xx xx A sin cos cos sin )( 求)]([1x A dx d -,)]([2x A dx d 解:⎪⎪⎭⎫⎝⎛-=-x x x x x A sin cos cos sin )(1 ⎪⎪⎭⎫ ⎝⎛-=-x x x x x A dx d cos sin sin cos )]([1)()(22sin 2cos 2cos 2sin 22cos 2sin 2sin 2cos )]([2x A x A x x x x x x x x dx d x A dx d '⋅=⎪⎪⎭⎫ ⎝⎛-=⎪⎪⎭⎫⎝⎛---= Df 2.设),,,()(21n x x x f X f =为可微函数,),,(21n x x x X =为变向量,称),,,(21n x f x f x f ∂∂∂∂∂∂ 为函数)(X f 对X 的导数,记作:dXdf(注:这事实上是多元函数的梯度,即},,,{21nx fx f x f gradf ∂∂∂∂∂∂= ) Df 3.设n m ij z Z ⨯=)(,q p kl x X ⨯=)(且ij z 是),,2,1,,,2,1(q l p k x kl ==的可微函数,eg 3.设Tm n Tnn x x x X y y y Y ⨯⨯==121121),,(),,(其中i y 是i x 的可微函数,求dXdY 解:),,,(21mdx dYdx dY dx dY dX dY = mn m n n n m m dx dy dx dy dx dy dx dy dx dy dx dy dx dy dx dy dx dy ⨯⎪⎪⎪⎪⎪⎪⎪⎪⎪⎭⎫⎝⎛=212221212111eg 4.设⎪⎪⎭⎫ ⎝⎛=x e xy xyz xyzZ 2)()sin( ),,(z y x X = 求dX dZ ⎪⎪⎭⎫⎝⎛=00022)cos()cos()cos(22xy e xyxyz xy xy xyz xz xz xyz yz yzdX dZ xeg 5.设⎪⎪⎭⎫ ⎝⎛++=z x xyt xt xyz x Z 222 ⎪⎪⎭⎫ ⎝⎛=t z y x X 求dX dZ 解:⎪⎪⎪⎪⎪⎭⎫⎝⎛+=⎪⎪⎪⎪⎭⎫⎝⎛=⨯01020002024244xy x xy xt x ytxy t y x dt dZ dzdZdy dZ dxdZdX dZ二、矩阵的积分1.Df 4..设函数矩阵n m ij x a x A ⨯=)]([)(,若)(x a ij 在[a ,b ]上可积,称n m baij dx x a ⨯⎰])([为)(x A 在[a ,b ]上的定积分,记为⎰badx x A )(。
矩阵微积分中的微分与积分矩阵微积分是微积分在矩阵领域的推广和应用,它将微积分中的微分和积分概念扩展到矩阵和向量上。
在矩阵微积分中,微分与积分是非常重要的概念,它们有着广泛的应用和深远的理论背景。
本文将介绍矩阵微积分中的微分和积分,探讨它们的定义、性质和应用。
一、矩阵微分在矩阵微积分中,微分是研究函数变化率的工具。
与传统微积分类似,矩阵微分也涉及到导数和偏导数的概念。
对于一个矩阵函数F(X),其微分可以表示为dF(X)。
矩阵微分的计算可以通过求导数的方式进行,即通过求偏导数来计算微分。
具体来说,对于一个矩阵函数F(X),其微分dF(X)可以通过以下公式计算:dF(X) = ∇F(X) · dX其中,∇F(X)表示F(X)的梯度,dX表示X的微小变化量。
这个公式表明,微分dF(X)可以看作是F(X)对X的梯度∇F(X)与X的微小变化量dX的乘积。
这种计算微分的方法在矩阵微积分中被广泛应用,可以用来求解矩阵函数的导数和对函数进行近似。
矩阵微分具有许多重要的性质和规则,与传统微积分中的微分类似。
例如,矩阵微分满足线性性质、乘法规则和链式法则等性质。
这些性质使得矩阵微分成为了研究矩阵函数变化率的有力工具。
二、矩阵积分矩阵微积分中的积分是研究曲线面积和函数累积量的工具。
在矩阵微积分中,矩阵积分可以表示为∫F(X)dX的形式,其中F(X)表示要积分的矩阵函数,dX表示积分变量。
与矩阵微分类似,矩阵积分的计算也可以通过求原函数的方式进行。
对于一个矩阵函数F(X),如果存在一个矩阵函数G(X),使得dG(X)/dX = F(X),那么G(X)就是F(X)的原函数。
在矩阵微积分中,原函数的概念可以用来计算矩阵积分。
具体来说,矩阵积分的计算可以通过以下公式进行:∫F(X)dX = G(X) + C其中,G(X)表示F(X)的原函数,C为常数。
这个公式表明,矩阵积分可以通过求原函数来计算,得到的结果再加上一个常数C。
矩阵微积分规则摘要:1.矩阵微积分的概念与基本原理2.矩阵微积分的运算方法3.矩阵微积分在实际问题中的应用正文:矩阵微积分是一种应用于多元函数微分和线性变换的数学工具,它是微积分学在向量空间和矩阵运算中的拓展。
矩阵微积分不仅具有传统微积分的基本原理,还具有独特的运算方法和应用领域。
一、矩阵微积分的概念与基本原理矩阵微积分的概念来源于矩阵运算与多元函数微分的结合。
矩阵微积分的基本原理包括以下几个方面:1.矩阵的导数:设A 是一个m×n 矩阵,其元素为aij,那么A 的导数是一个同样大小的矩阵,记作A"。
A"的元素为a"ij=aij/xk,其中k 为变量。
2.矩阵的梯度:矩阵的梯度是矩阵导数的特例,表示一个标量函数在向量空间中的梯度。
设f(A) 为矩阵A 的某个函数,那么矩阵A 的梯度是一个列向量,其元素为f"(A)·A",其中f"(A) 表示函数f(A) 的梯度。
3.矩阵的链式法则:矩阵微积分的链式法则与传统微积分的链式法则类似,表示复合函数的导数。
设f(A) 和g(A) 是两个矩阵函数,那么(f(g(A)))"=f"(g(A))·g"(A)。
二、矩阵微积分的运算方法矩阵微积分的运算方法主要包括以下几个方面:1.矩阵乘法:矩阵乘法是矩阵微积分的基础运算,表示两个矩阵之间的乘积。
设A 和B 是两个m×n 矩阵,那么AB 是一个m×n 矩阵,其元素为(AB)ij=aik·bkj。
2.矩阵求导:矩阵求导是矩阵微积分的关键运算,表示矩阵元素的导数。
根据矩阵导数的定义,可以求得任意矩阵A 的导数A"。
3.矩阵求梯度:矩阵求梯度是矩阵微积分的另一个重要运算,表示标量函数在向量空间中的梯度。
根据矩阵梯度的定义,可以求得任意矩阵A 的梯度。
三、矩阵微积分在实际问题中的应用矩阵微积分在实际问题中有广泛的应用,例如在线性代数、优化理论、机器学习等领域。
矩阵微积分基础知识矩阵微积分是数学中重要的分支之一,它将矩阵理论与微积分相结合,为解决实际问题提供了强大的工具。
本文将介绍矩阵微积分的基础知识,包括矩阵的定义、运算规则、微分和积分等内容,帮助读者更好地理解和应用矩阵微积分。
1. 矩阵的定义和基本运算矩阵是一个按照长方阵列排列的数,是数的一个矩形排列。
一般用大写字母表示,如A、B、C等。
矩阵的元素可以是实数、复数或其他数域中的元素。
一个m×n矩阵是一个有m行n列元素的矩阵。
例如,一个2×3矩阵可以表示为:A = [a11 a12 a13a21 a22 a23]其中a11、a12等为矩阵A的元素。
矩阵的加法和数乘运算定义如下:设A、B为同型矩阵,即行数和列数相等,则矩阵的加法和数乘运算定义为:- 矩阵加法:A + B = [a11+b11 a12+b12 a13+b13a21+b21 a22+b22 a23+b23]- 数乘运算:kA = [ka11 ka12 ka13ka21 ka22 ka23]其中k为实数。
矩阵的乘法定义如下:设A为m×n矩阵,B为n×p矩阵,则矩阵的乘法AB为一个m×p 矩阵,其元素为:(AB)ij = a(i1)b(1j) + a(i2)b(2j) + ... + a(in)b(nj)2. 矩阵微积分中的微分在矩阵微积分中,微分是一个重要的概念。
对于一个函数f:R^n → R^m,其在点x处的微分定义为一个线性变换Df(x):R^n → R^m,满足以下性质:- 线性性质:Df(x)(v + w) = Df(x)(v) + Df(x)(w),Df(x)(kv) = kDf(x)(v)- 极限性质:lim(h→0) ||f(x + h) - f(x) - Df(x)(h)|| / ||h|| = 0矩阵微积分中的微分可以帮助我们求解函数在某一点的导数,进而研究函数的极值、拐点等性质。
矩阵中的矩阵微积分矩阵微积分是线性代数中的一门重要分支,它将微积分的概念和矩阵运算的技巧相结合,增强了线性代数的理论体系和应用能力。
矩阵微积分研究的是矩阵函数的导数和积分、矩阵微分方程以及相关的数学模型和优化算法等。
本文将从三个方面介绍矩阵微积分的基本概念、应用范围以及研究进展,帮助读者深入了解这门重要课程。
一、矩阵微积分的基本概念矩阵微积分的基本概念包括导数、偏导数、积分、微分方程和泰勒公式等。
其中,矩阵函数的导数定义为极限值,偏导数定义为矩阵函数在某个方向上的变化率,积分定义为矩阵函数的面积或体积,微分方程定义为关系一个或多个未知函数、它们的导数和自变量的方程,泰勒公式定义为用无穷阶导数刻画一个矩阵函数在某个区间内的变化趋势。
这些基本概念构成了矩阵微积分的理论基础,为后续的应用提供了强有力的数学支撑。
二、矩阵微积分的应用范围矩阵微积分的应用范围广泛,涵盖了许多不同的学科领域,例如物理学、工程学、计算机科学、金融等。
其中,最为常见的应用是通过矩阵微积分来解决优化问题。
优化问题是指在满足一定约束条件的前提下,使某一目标函数达到最优值的问题。
有了矩阵微积分的支持,我们可以通过求解函数的导数来确定函数的最大值和最小值,从而解决一系列优化问题,例如线性规划、非线性规划、整数规划等。
此外,矩阵微积分还可以用来构建回归分析、时间序列分析、图像处理等各种数学模型,为现代科技的发展提供技术支持。
三、矩阵微积分的研究进展矩阵微积分的研究进展主要体现在以下几个方面:矩阵微积分与偏微分方程的联系、矩阵微积分和概率统计的关系、矩阵微积分在机器学习中的应用等。
其中,矩阵微积分和偏微分方程的联系是一个经典的数学问题,在很多实际问题中都有广泛应用。
数值分析的技术进步,使得矩阵微积分和偏微分方程的求解更加高效和精确。
矩阵微积分和概率统计的关系也是一个热门研究领域,它在矩阵统计、贝叶斯统计、贝尔曼方程等方面都有广泛应用。
矩阵微积分在机器学习中的应用则是当前研究热点之一,它涉及到最小二乘法、核方法、降维等多个方面,为机器学习领域的发展提供了重要的数学基础和算法支持。