南京邮电大学电磁场与电磁波考试必背公式
- 格式:doc
- 大小:579.73 KB
- 文档页数:11
大学物理电磁学公式总结汇总普通物理学教程大学物理电磁学公式总结,下面给大家整理了关于大学物理电磁学公式总结,方便大家学习大学物理电磁学公式总结1定律和定理1. 矢量叠加原理:任意一矢量可看成其独立的分量的和。
即:=∑ (把式中换成、、、、、就分别成了位置、速度、加速度、力、电场强度和磁感应强度的叠加原理)。
2. 牛顿定律:=m (或= );牛顿第三定律:′= ;万有引力定律:3. 动量定理:→动量守恒:条件4. 角动量定理:→角动量守恒:条件5. 动能原理:(比较势能定义式:)6. 功能原理:A外+A非保内=ΔE→机械能守恒:ΔE=0条件A 外+A非保内=07. 理想气体状态方程:或P=nkT(n=N/V,k=R/N0)8. 能量均分原理:在平衡态下,物质分子的每个自由度都具有相同的平均动能,其大小都为kT/2。
克劳修斯表述:不可能把热量从低温物体传到高温物体而不产生其它影响。
开尔文表述:不可能从单一热源吸取热量,使之完全变为有用的功而不产生其它影响。
实质:在孤立系统内部发生的过程,总是由热力学概率小的宏观状态向热力学概率大的状态进行。
亦即在孤立系统内部所发生的过程总是沿着无序性增大的方向进行。
9. 热力学第一定律:ΔE=Q+A10.热力学第二定律:孤立系统:ΔS0(熵增加原理)11. 库仑定律:(k=1/4πε0)12. 高斯定理:(静电场是有源场)→无穷大平板:E=σ/2ε013. 环路定理:(静电场无旋,因此是保守场)θ2Ir P o Rθ1I14. 毕奥—沙伐尔定律:直长载流导线:无限长载流导线:载流圆圈:,圆弧:电磁学1. 定义:= /q0 单位:N/C =V/mB=Fmax/qv;方向,小磁针指向(S→N);单位:特斯拉(T)=104高斯(G)① 和:=q( + × )洛仑兹公式②电势:电势差:电动势:( )③电通量:磁通量:磁通链:ΦB=NφB单位:韦伯(Wb)Θ ⊕-q +qS④电偶极矩:=q 磁矩:=I =IS⑤电容:C=q/U 单位:法拉(F)乘自感:L=Ψ/I 单位:亨利(H)乘互感:M=Ψ21/I1=Ψ12/I2 单位:亨利(H)⑥电流:I = ; 乘位移电流:ID =ε0 单位:安培(A)⑦乘能流密度:2. 实验定律① 库仑定律:②毕奥—沙伐尔定律:③安培定律:d =I ×④电磁感应定律:ε感= –动生电动势:感生电动势:( i为感生电场)乘⑤欧姆定律:U=IR( =ρ )其中ρ为电导率3. 乘定理(麦克斯韦方程组)电场的高斯定理:( 静是有源场)( 感是无源场)磁场的高斯定理:( 稳是无源场)( 感是无源场)电场的环路定理:(静电场无旋)(感生电场有旋;变化的磁场产生感生电场)安培环路定理:(稳恒磁场有旋)(变化的电场产生感生磁场)4. 常用公式①无限长载流导线:螺线管:B=nμ0I② 带电粒子在匀强磁场中:半径周期磁矩在匀强磁场中:受力F=0;受力矩③电容器储能:Wc= CU2 乘电场能量密度:ωe= ε0E2 电磁场能量密度:ω= ε0E2+ B2乘电感储能:WL= LI2 乘磁场能量密度:ωB= B2 电磁场能流密度:S=ωV④ 乘电磁波:C= =3.0×108m/s 在介质中V=C/n,频率f=ν=波动学大学物理电磁学公式总结2概念(2113定义和相关公式)1. 位置矢量:,其5261在直角坐标系中:; 角位置:4102θ16532. 速度:平均速度:速率:( )角速度:角速度与速度的关系:V=rω3. 加速度:或平均加速度:角加速度:在自然坐标系中其中(=rβ),(=r2 ω)4. 力:=m (或= ) 力矩:(大小:M=rFcosθ方向:右手螺旋法则)5. 动量:,角动量:(大小:L=rmvcosθ方向:右手螺旋法则)6. 冲量:(= Δt);功:(气体对外做功:A=∫PdV)mg(重力) → mgh-kx(弹性力) → kx2/2F= (万有引力) → =Ep(静电力) →7. 动能:mV2/28. 势能:A保= –ΔEp不同相互作用力势能形式不同且零点选择不同其形式不同,在默认势能零点的情况下:机械能:E=EK+EP9. 热量:其中:摩尔热容量C与过程有关,等容热容量Cv 与等压热容量Cp之间的关系为:Cp= Cv+R10. 压强:11. 分子平均平动能:;理想气体内能:12. 麦克斯韦速率分布函数:(意义:在V附近单位速度间隔内的分子数所占比率)13. 平均速率:方均根速率:;最可几速率:14. 熵:S=KlnΩ(Ω为热力学几率,即:一种宏观态包含的微观态数)15. 电场强度:= /q0 (对点电荷:)16. 电势:(对点电荷);电势能:Wa=qUa(A= –ΔW)17. 电容:C=Q/U ;电容器储能:W=CU2/2;电场能量密度ωe=ε0E2/218. 磁感应强度:大小,B=Fmax/qv(T);方向,小磁针指向(S→N)。
大学物理电磁学公式大学物理电磁学是物理学中的一个重要分支,研究电场和磁场以及它们之间的相互作用。
在学习和研究电磁学的过程中,我们经常会接触到一系列重要的公式。
以下是一些常见的大学物理电磁学公式的详细介绍。
1. 库仑定律(Coulomb's Law):库仑定律描述了两个点电荷之间相互作用力的大小和方向。
它的数学表达式为:F = k * |q1 * q2| / r²其中,F为两个电荷所受的力,k为库仑常数,q1和q2分别为两个电荷的大小,r为两个电荷之间的距离。
2. 电场强度(Electric Field Intensity):电场强度描述了电荷在某一点周围的电场的强弱。
对于一个点电荷,其电场强度的数学表达式为:E = k * |q| / r²其中,E为电场强度,k为库仑常数,q为电荷的大小,r为点电荷到被测点之间的距离。
3. 电势能(Electric Potential Energy):电势能描述了电荷由于存在于电场中而具有的能量。
对于一个点电荷,其电势能的数学表达式为:U = k * |q1 * q2| / r其中,U为电势能,k为库仑常数,q1和q2分别为两个电荷的大小,r为两个电荷之间的距离。
4. 电势差(Electric Potential Difference):电势差描述了电场中两个点之间的电势能的差异。
对于两个点电荷之间的电势差,其数学表达式为:ΔV = V2 - V1 = -∫(E · dl)其中,ΔV为电势差,V1和V2分别为两个点的电势,E为电场强度,dl为路径元素。
5. 电场线(Electric Field Lines):电场线用于可视化电场的分布情况。
电场线从正电荷流向负电荷,并且密集的电场线表示电场强度较大,稀疏的电场线表示电场强度较小。
6. 电场的高斯定律(Gauss's Law for Electric Fields):电场的高斯定律描述了电场通过一个闭合曲面的总通量与该闭合曲面内的电荷量之间的关系。
电磁场与电磁波公式总结电磁场与电磁波是电磁学中的两个重要概念。
电磁场是描述电荷体系在空间中产生的电磁现象的物理场,而电磁波是由电磁场振荡而产生的能量传播过程。
在电磁学中,有一些重要的公式用来描述电磁场和电磁波的性质和行为。
本文将对这些公式进行总结。
1.库仑定律:库仑定律描述了两个电荷之间的相互作用力。
对于两个电荷之间的相互作用力F,它与两个电荷之间的距离r的平方成反比,与两个电荷的电量的乘积成正比。
库仑定律的公式如下:F=k*,q1*q2,/r^2其中F为两个电荷之间的相互作用力,k为库仑常数,q1和q2为两个电荷的电量大小,r为两个电荷之间的距离。
2.电场强度公式:电场是描述电荷体系对电荷施加的力的物理量。
电场强度E可以通过电荷q对其施加的力F来定义。
电场强度的公式如下:E=F/q其中F为电荷所受的力,q为电荷的大小。
3.高斯定律:高斯定律描述了电场的产生和分布与电荷的关系。
高斯定律可以用来计算电荷在闭合曲面上的总电通量。
高斯定律的公式如下:Φ=∮E·dA=Q/ε0其中Φ为电场在曲面上的电通量,E为电场强度矢量,dA为曲面的面积矢量,Q为曲面内的总电荷,ε0为真空介电常数。
4.法拉第电磁感应定律:法拉第电磁感应定律描述了磁场变化引起的感应电动势。
法拉第电磁感应定律的公式如下:ε = -dΦ / dt其中ε为感应电动势,Φ为磁通量,t为时间。
5.毕奥—萨伐尔定律:毕奥—萨伐尔定律描述了电流元产生的磁场。
根据毕奥—萨伐尔定律,磁场强度B可以通过电流元i对其产生的磁场来定义。
毕奥—萨伐尔定律的公式如下:B = μ0 / 4π * ∮(i * dl × r) / r^3其中B为磁场强度,μ0为真空磁导率,i为电流强度,l为电流元的长度,r为电流元到观察点的距离。
6.安培环路定理:安培环路定理描述了围绕导线路径的磁场和沿路径的电流之间的关系。
安培环路定理的公式如下:∮B·dl = μ0 * I其中B为磁场强度矢量,dl为路径元素矢量,I为路径中的总电流,μ0为真空磁导率。
电磁场与电磁波复习第一部分 知识点归纳 第一章 矢量分析1、三种常用的坐标系 (1)直角坐标系微分线元:dz a dy a dx a R d z y x →→→→++= 面积元:⎪⎩⎪⎨⎧===dxdy dS dxdz dS dydzdS zyx,体积元:dxdydz d =τ(2)柱坐标系长度元:⎪⎩⎪⎨⎧===dz dl rd dl drdl z r ϕϕ,面积元⎪⎩⎪⎨⎧======rdrdz dl dl dS drdz dl dl dS dz rd dl dl dS z z z r z r ϕϕϕϕ,体积元:dz rdrd d ϕτ=(3)球坐标系长度元:⎪⎩⎪⎨⎧===ϕθθϕθd r dl rd dl dr dl r sin ,面积元:⎪⎩⎪⎨⎧======θϕθϕθθθϕϕθθϕrdrd dl dl dS drd r dl dl dS d d r dl dl dS r r r sin sin 2,体积元:ϕθθτd drd r d sin 2=2、三种坐标系的坐标变量之间的关系 (1)直角坐标系与柱坐标系的关系⎪⎪⎩⎪⎪⎨⎧==+=⎪⎩⎪⎨⎧===z z x y y x r z z r y r x arctan,sin cos 22ϕϕϕ (2)直角坐标系与球坐标系的关系 ⎪⎪⎪⎩⎪⎪⎪⎨⎧=++=++=⎪⎩⎪⎨⎧===z yz y x z z y x r r z r y r x arctan arccos ,cos sin sin cos sin 222222ϕθθϕθϕθ (3)柱坐标系与球坐标系的关系⎪⎪⎩⎪⎪⎨⎧=+=+=⎪⎩⎪⎨⎧===ϕϕθθϕϕθ22'22''arccos ,cos sin z r z zr r r z r r 3、梯度(1)直角坐标系中:z a y a x a grad z y x ∂∂+∂∂+∂∂=∇=→→→μμμμμ(2)柱坐标系中:za r a r a grad zr ∂∂+∂∂+∂∂=∇=→→→μϕμμμμϕ1 (3)球坐标系中: ϕμθθμμμμϕθ∂∂+∂∂+∂∂=∇=→→→sin 11r a r a r a grad r4.散度(1)直角坐标系中:z A y A x AA div z y X ∂∂+∂∂+∂∂=→ (2)柱坐标系中:zA A r rA r r A div zr ∂∂+∂∂+∂∂=→ϕϕ1)(1 (3)球坐标系中:ϕθθθθϕθ∂∂+∂∂+∂∂=→A r A r A r rr A div r sin 1)(sin sin 1)(1225、高斯散度定理:⎰⎰⎰→→→→=⋅∇=⋅ττττd A div d A S d A S,意义为:任意矢量场→A 的散度在场中任意体积内的体积分等于矢量场→A 在限定该体积的闭合面上的通量。
第一章一、矢量代数 A ∙B =AB cos θA B⨯=ABe AB sin θ A ∙(B ⨯C ) = B ∙(C ⨯A ) = C ∙(A ⨯B )()()()C A C C A B C B A ⋅-⋅=⨯⨯二、三种正交坐标系 1. 直角坐标系 矢量线元x y z =++le e e d x y z矢量面元=++Se e e x y z d dxdy dzdx dxdy体积元d V = dx dy dz 单位矢量的关系⨯=e e e x y z ⨯=e e e y z x ⨯=e e e z x y2. 圆柱形坐标系 矢量线元=++l e e e z d d d dz ρϕρρϕl 矢量面元=+e e z dS d dz d d ρρϕρρϕ体积元dz d d dVϕρρ= 单位矢量的关系⨯=⨯⨯=e e e e e =e e e e zz z ρϕϕρρϕ3. 球坐标系 矢量线元d l = e r d r e θr d θ + e ϕr sin θ d ϕ矢量面元d S = e r r 2sin θ d θ d ϕ体积元ϕθθd d r r dV sin 2= 单位矢量的关系⨯=⨯⨯=e e e e e =e e e e r rr θϕθϕϕθ三、矢量场的散度和旋度 1. 通量与散度=⋅⎰A S Sd Φ 0lim∆→⋅=∇⋅=∆⎰A S A A Sv d div v2. 环流量与旋度=⋅⎰A l ld Γ maxn 0rot =lim∆→⋅∆⎰A lA e lS d S3. 计算公式∂∂∂∇=++∂∂∂⋅A y x zA A A x y z11()zA A A zϕρρρρρϕ∂∂∂∇=++∂∂∂⋅A 22111()(s i n )s i n s i n ∂∂∂∇=++∂∂∂⋅A r A r A A r r r r ϕθθθθθϕxy z ∂∂∂∇⨯=∂∂∂e e e A x y zx y z A A A1z zz A A A ρϕρϕρρϕρ∂∂∂∇⨯=∂∂∂e e e A21sin sin rr zr rA r A r A ρϕθθθϕθ∂∂∂∇⨯=∂∂∂e e e A4. 矢量场的高斯定理与斯托克斯定理⋅=∇⋅⎰⎰A S A SVd dV⋅=∇⨯⋅⎰⎰A l A S lSd d四、标量场的梯度 1. 方向导数与梯度00()()lim∆→-∂=∂∆l P u M u M u llcos cos cos ∂∂∂∂=++∂∂∂∂P uu u ulx y zαβγ cos ∇⋅=∇e l u u θ grad ∂∂∂∂==+∂∂∂∂e e e +e n x y z u u u u u n x y z2. 计算公式∂∂∂∇=++∂∂∂e e e xy z u u uu x y z1∂∂∂∇=++∂∂∂e e e z u u uu zρϕρρϕ 11sin ∂∂∂∇=++∂∂∂e e e ru u uu r r r zθϕθθ 五、无散场与无旋场1. 无散场()0∇⋅∇⨯=A =∇⨯F A 2. 无旋场 ()0∇⨯∇=u -u =∇F六、拉普拉斯运算算子 1. 直角坐标系22222222222222222222222222222222∂∂∂∇=++∇=∇+∇+∇∂∂∂∂∂∂∂∂∂∂∂∂∇=++∇=++∇=++∂∂∂∂∂∂∂∂∂A e e e x x y y z zy y y x x x z z z x y z u u u u A A A x y zA A A A A A A A A A A A x y z x y z x y z,,2. 圆柱坐标系22222222222222111212⎛⎫∂∂∂∂∇=++ ⎪∂∂∂∂⎝⎭∂∂⎛⎫⎛⎫∇=∇--+∇-++∇ ⎪ ⎪∂∂⎝⎭⎝⎭A e e e z z u u uu z A A A A A A A ϕρρρρϕϕϕρρρρρϕρρϕρρϕ3. 球坐标系22222222111sin sin sin ⎛⎫∂∂∂∂∂⎛⎫∇=++ ⎪ ⎪∂∂∂∂∂⎝⎭⎝⎭u u uu r r r r r r θθθϕθϕ⎪⎪⎭⎫⎝⎛∂∂+-∂∂+∇+⎪⎪⎭⎫⎝⎛∂∂--∂∂+∇+⎪⎪⎭⎫⎝⎛∂∂-∂∂---∇=∇ϕθθθϕθϕθθθθϕθθθθϕϕϕϕθθθϕθθA r A r A r A A r A r A r A A r A r A r A r A r r r r r 222222222222222222sin cos 2sin 1sin 2sin cos 2sin 12sin 22cot 22e e e A七、亥姆霍兹定理如果矢量场F 在无限区域中处处是单值的,且其导数连续有界,则当矢量场的散度、旋度和边界条件(即矢量场在有限区域V’边界上的分布)给定后,该矢量场F 唯一确定为()()()=-∇+∇⨯F r r A r φ其中1()()4''∇⋅'='-⎰F r r r r V dV φπ 1()()4''∇⨯'='-⎰F r A r r r V dV π第二章一、麦克斯韦方程组 1. 静电场 真空中:001d ==VqdV ρεε⋅⎰⎰SE S (高斯定理)d 0⋅=⎰lE l 0∇⋅=E ρε0∇⨯=E场与位:3'1'()(')'4'V dV ρπε-=-⎰r r E r r r r ϕ=-∇E 01()()d 4πV V ρϕε''='-⎰r r |r r |介质中:d ⋅=⎰D S Sqd 0⋅=⎰lE l ∇⋅=D ρ 0∇⨯=E极化:0=+D E P ε e 00(1)=+==D E E E r χεεεε ==⋅P e PS n n P ρ =-∇⋅P P ρ2. 恒定电场电荷守恒定律:⎰⎰-=-=⋅Vsdv dtddt dq ds J ρ 0∂∇⋅+=∂J tρ传导电流与运流电流:=J E σ ρ=J v恒定电场方程:d 0⋅=⎰J S Sd 0⋅=⎰J l l0∇⋅=J 0∇⨯J =3. 恒定磁场 真空中:0 d ⋅=⎰B l lI μ (安培环路定理)d 0⋅=⎰SB S 0∇⨯=BJ μ0∇⋅=B场与位:03()( )()d 4π ''⨯-'='-⎰J r r r B r r r VV μ =∇⨯B A 0 ()()d 4π'''='-⎰J r A r r r V V μ介质中:d ⋅=⎰H l lId 0⋅=⎰SB S ∇⨯=H J 0∇⋅=B磁化:=-BH M μ m 00(1)=+B H =H =H r χμμμμ m =∇⨯J M ms n =⨯J M e4. 电磁感应定律() d d in lCdv B dldt ⋅=-⋅⨯⋅⎰⎰⎰SE l B S +)(法拉第电磁感应定律∂∇⨯=-∂BE t5. 全电流定律和位移电流全电流定律: d ()d ∂⋅=+⋅∂⎰⎰D H l J S lSt∂∇⨯=+∂DH J t 位移电流:d =DJ d dt6. Maxwell Equationsd ()d d d d d 0∂⎧⋅=+⋅⎪∂⎪∂⎪⋅=-⋅⎪∂⎨⎪⋅=⎪⎪⋅=⎪⎩⎰⎰⎰⎰⎰⎰⎰D H J S B E S D S B S lS l SS V Sl tl t V d ρ 0∂⎧∇⨯=+⎪∂⎪∂⎪∇⨯=-⎨∂⎪∇⋅=⎪⎪∇⋅=⎩D H J BE D B t tρ()()()()0∂⎧∇⨯=+⎪∂⎪∂⎪∇⨯=-⎨∂⎪∇⋅=⎪⎪∇⋅=⎩E H E H E E H t t εσμερμ 二、电与磁的对偶性em e m em e e m m e e m mm e 00∂∂⎫⎧∇⨯=-∇⨯=⎪⎪∂∂⎪⎪∂∂⎪⎪∇⨯=+∇⨯=--⎬⎨∂∂⎪⎪∇=∇=⎪⎪⎪⎪∇=∇=⎩⎭⋅⋅⋅⋅B D E H DB H J E J D B D B t t&tt ρρ m e e m ∂⎧∇⨯=--⎪∂⎪∂⎪∇⨯=+⇒⎨∂⎪∇=⎪⎪∇=⎩⋅⋅B E J D H J D B t t ρρ三、边界条件1. 一般形式12121212()0()()()0n n S n Sn σρ⨯-=⨯-=→∞⋅-=⋅-=()e E E e H H J e D D e B B2. 理想导体界面和理想介质界面111100⨯=⎧⎪⨯=⎪⎨⋅=⎪⎪⋅=⎩e E e H J e D e B n n Sn S n ρ 12121212()0()0()0()0⨯-=⎧⎪⨯-=⎪⎨⋅-=⎪⎪⋅-=⎩e E E e H H e D D e B B n n n n 第三章一、静电场分析1. 位函数方程与边界条件 位函数方程:220∇=-∇=ρφφε电位的边界条件:121212=⎧⎪⎨∂∂-=-⎪∂∂⎩s nn φφφφεερ 111=⎧⎪⎨∂=-⎪∂⎩s const nφφερ(媒质2为导体) 2. 电容定义:=qCφ两导体间的电容:=C q /U 任意双导体系统电容求解方法:3. 静电场的能量N 个导体: 112ne iii W qφ==∑ 连续分布: 12e VW dV φρ=⎰电场能量密度:12ω=⋅D E e二、恒定电场分析1.位函数微分方程与边界条件位函数微分方程:20∇=φ 边界条件:121212=⎧⎪⎨∂∂=⎪∂∂⎩n n φφφφεε 12()0⋅-=e J J n 1212[]0⨯-=J J e n σσ2. 欧姆定律与焦耳定律欧姆定律的微分形式: =J E σ 焦耳定律的微分形式: =⋅⎰E J VP dV3. 任意电阻的计算2211d d 1⋅⋅====⋅⋅⎰⎰⎰⎰E lE l J S E S SSU R G I d d σ (L R =σS) 4. 静电比拟法:G C —,σε—2211⋅⋅===⋅⋅⎰⎰⎰⎰D S E S E lE l S S d d qC Ud d ε 2211d d d ⋅⋅===⋅⋅⎰⎰⎰⎰J S E SE lE lSS d I G Uσ三、恒定磁场分析1. 位函数微分方程与边界条件矢量位:2∇=-A J μ 12121211⨯⨯⨯A A e A A J n s μμ()=∇-∇=标量位:20m φ∇= 211221∂∂==∂∂m m m m n nφφφφμμ 2. 电感2211⋅⋅===⋅⋅⎰⎰⎰⎰D SE S E lE lS S d d q C Ud d ε定义:d d ⋅⋅===⎰⎰B S A l SlL IIIψ=+i L L L3. 恒定磁场的能量N 个线圈:112==∑Nmj j j W I ψ 连续分布:m 1d 2=⋅⎰A J V W V 磁场能量密度:m 12ω=⋅H B第四章一、边值问题的类型(1)狄利克利问题:给定整个场域边界上的位函数值()=f s φ(2)纽曼问题:给定待求位函数在边界上的法向导数值()∂=∂f s nφ(3)混合问题:给定边界上的位函数及其向导数的线性组合:2112()()∂==∂f s f s nφφ (4)自然边界:lim r r φ→∞=有限值二、唯一性定理静电场的惟一性定理:在给定边界条件(边界上的电位或边界上的法向导数或导体表面电荷分布)下,空间静电场被唯一确定。
电磁场与波知识要点第一章和第二章公式:1.2.3.电流连续性方程:(P37)(单位时间从闭合曲面内流出的电荷等于V内减少的电荷)(对恒定电流,其电荷密度在空间上的分布是不随时间变化的,则,故恒定电流场是无散场)4.库仑力:5.点电荷电场:(P40)6.电场的电势:7.比奥—萨伐尔定理:(P46)8.磁场的磁矢位:9.高斯定理:.特别地,对于静电荷:(P44)10.有介质的高斯定理:(P53)利用高斯定理求电场通常只用于对称分布的问题中,关键是选择高斯面:(1).所求电场的点应该在高斯面上;(2).高斯面必须为封闭曲面;(3).在整个或分段高斯面上,或是恒定的。
11.安培环路定理:(P4812.修正后的安培环路定律:(p68)13.电位移矢量:14.磁场强度:15.极化强度矢量:(电偶极矩:,极化强度矢量表示单位体积中电偶极矩的矢量和,反映了物质在电场下被极化的强弱。
(P51)极化电荷密度:,极化面电荷密度:16.电流的磁偶极矩:(p55)磁化强度矢量:磁介质内磁化电流体密度:(p57)磁介质表面的面电流密度:介质中的安培环路定理:(p58)17.18.法拉第感应定律:p64)位移电流:(位移电流只表示电场的变化率,不会像传导电流一样产生热效应)19.麦克斯韦方程组:微分形式:积分形式:(1).理想介质表面的边界条件(理想介质中,):(2).理想导体()的边界条件:22.常用的矢量运算:(P341)圆柱坐标系中:球坐标系中:23.几种常见的电场、磁场分布:(1)均匀带电直线段的电场强度:(有限长导线)(无限长导线,即当时)(2)载流直线段的磁感应强度:(有限长)(无线长导线,即当时)(3)均匀带电圆环轴线上的电场强度:(4)载流圆环轴线上的磁感应强度:(Z=0,即在圆心处的磁感应强度)(5)均匀带电圆环面的轴线上的电场强度:(右图中在半径为a 到b 之间才有电荷)(当时,表示实心圆薄盘在其轴线上的电场强度)24.第二章知识框架:第三章公式1.静电场基本方程和边界条件:(P89)积分形式:微分形式:边界条件:2.静电场的电位函数和其边界条件:(P92)(求电场的另一种常用的方法)介质中的边界条件:(为边界上的自由电荷面密度)b若其中一介质为导体,因为导体为等势体,则3.静电场的微分方程:(P92)泊松方程:(空间中有自由电荷分布时,满足该方程)拉普拉斯方程:(空间中无自由电荷)对于泊松方程,通常用场中电势的积分表达式直接确定解的通式,再由边界条件确定未知常量,而不是直接解微分方程。
电磁场与电磁波公式整理第一章A:矢量恒等式()()()A B C B C A C A B ×=×=×i i i ()()()A B C B A C C A B ××=−i i ()uv u v v u ∇=∇+∇ ()uA u A A u ∇=∇+∇i()0U ∇×∇=()0A ∇∇×=i 2()U U ∇∇=∇i2()()A A A ∇×∇×=∇∇−∇iVSAdV A dS ∇=∫∫i iVCAdS A dl ∇×=∫∫in V S AdV AdS e ∇×=×∫∫ n V S udV udS e ∇=∫∫n S C udS udl e ×∇=∫∫ 2)V S u v u dV udSnv v ∂+∇∇=∇∂∫∫i22(()VSuu v v dV uv dS n nv u ∂∂−=−∇∇∂∂∫∫ B:三种坐标系的积分元以及梯度、散度、旋度、和拉普拉斯运算⑴直角坐标系位置矢量微分元:x y z dr dx dy dz e e e =++面积元:,,x y z d dydz d dxdz d dxdy s s s === 体积元:dv dxdydz = x y z u u uu e e e x y z ∂∂∂∇=++∂∂∂ y x z A A A A x y z∇=∂∂∂++∂∂∂i x yz A x y z A A A x yz e ee∂∂∂∇×=2222222u u u u x y z ∇∂∂∂=++∂∂∂()uA u A u A ∇×=∇×+∇×()A B B A A B∇×=∇×−∇×i i i ()()()A B A B B A A B B A ∇=∇×+∇+×∇×+×∇×i i i ()()()()A B A B B A B A A B ∇××=∇−∇+∇−∇i i i i⑵圆柱坐标系位置矢量微分元:z dr d d dz e e e ρφρρφ=++面积元:,,z d d dz d d dz d d d s s s ρφρφρρρφ=== 体积元:dv d d dz ρρφ=z u u u u z e e e ρφρρφ∂∂∂∇=++∂∂∂ ()()()11A A A z A z ρρρφρρρφ∂∂∂∇=++∂∂∂i1z e e e A z A A Az ρφρρφρρφ∂∂∂∇×=∂∂∂22222211()u u u u z ρρρρρφ∂∂∂∂=++∇∂∂∂∂⑶球坐标系位置矢量微分元:sin r r r dr dr d d e e e θφθθφ=++面积元:2sin ,sin ,r d d d d r drd d rdrd r s s s θφθθφθφθ=== 体积元:2sin dv drd d r θθφ=1sin ru u u u r r r e e e θφθθφ∂∂∂∇=++∂∂∂22111()(sin )sin sin r A r r r r rA r A A φθθθθθφ∂∂∂∇=++∂∂∂i2sin 1sin sin re re r e A r ArrA r A r θφθθφθθθφ∂∂∂∇×=∂∂∂ 22222222111()(sin sin sin u u uu r r r r r r θθθθφθ∇∂∂∂∂∂=++∂∂∂∂∂ C:几个定理散度定理:v s FdV F dS ∇=∫∫i i斯托克斯定理:s c F dS F dl∇×=∫∫i i亥姆霍茨定理:()()()F r u r A r =−∇+∇×格林定理:n V S FdV F dS e ∇=∫∫i i高斯定理和环路定理:第二章表一:电荷和电流的三种密度表二:电场和磁场表四:介质中的电(磁)场感应强度:电磁感应定律S in B dS d d dt dt ϕε=−=−∫i in C in E dl ε=∫i S C S d Bd dt tE dl ∂∂=−∫∫i i 积分形式 1.如果回路静止则有:S C S Bd tE dl ∂∂=−∫∫i BE t∂∇×=−∂ 2.导体以速度v 在磁场中运动 : ()CC v B dl E dl ×=∫∫i i3.导体在时变场中运动:()CS S B d tC v B dl E dl ∂∂−×=+∫∫∫i i i表五:麦克斯韦方程组:。
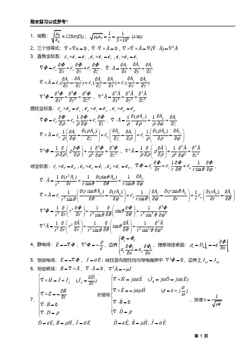
期末复习公式参考! 第 1 页1120()π≈Ω;00811 (s/m)310c με==⨯ 2、三个恒等式:20 , 0 , ()u A A A A ∇⨯∇=∇⋅∇⨯=∇⨯∇⨯=∇∇⋅∇− 3、直角坐标系: , , x y z y z x z x y e ⨯=⨯=⨯=e e e e e e e ex y z e e e x y zΦΦΦΦ∂∂∂∇=++∂∂∂,y x zA A A A x y z ∂∂∂∇⋅=++∂∂∂ ()()()−−−yy x x z z x y z A A A A A A A e e e y z z x x y∂∂∂∂∂∂∇⨯=++∂∂∂∂∂∂22222222222222 , A A A A x y z x y zΦΦΦΦ∂∂∂∂∂∂∇=++∇=++∂∂∂∂∂∂圆柱坐标系: , , z z z e ρϕϕρρϕ⨯=⨯=⨯=e e e e e e e e1z e e e z ρϕΦΦΦΦρρϕ∂∂∂∇=++∂∂∂,()11zA A A A zρϕρρρρϕ∂∂∂∇⋅=++∂∂∂ ()()11z z z A A A A A A A e e e z z ϕρϕρρϕρρρϕρρρϕ∂∂∂∂⎛⎫⎛⎫⎛⎫∂∂∇⨯=++ ⎪ ⎪ ⎪∂∂∂∂∂∂⎝⎭⎝⎭⎝⎭−−− 2222222222221111 , A A A A z z ΦΦΦΦρρρρρρρρρϕρϕ⎛⎫∂∂∂∂∂∂∂∂⎛⎫∇=++∇=++ ⎪ ⎪∂∂∂∂∂∂∂∂⎝⎭⎝⎭ 球坐标系: , , r r r e θϕθϕϕθ⨯=⨯=⨯=e e e e e e e e ,11sin r y e e e r r r ϕΦΦΦΦθθϕ∂∂∂∇=++∂∂∂, 22(sin )()111sin sin r A A r A A r r r rϕθθθθθϕ∂∂∂∇⋅=++∂∂∂ 2(sin )(sin ()()111sin sin r rr r A r A rA rA A A A e e e r r r r r ϕϕθθθϕθθθϕθϕθθ∂∂⎛⎫⎛⎫∂∂∂∂⎛⎫∇⨯=++ ⎪ ⎪ ⎪∂∂∂∂∂∂⎝⎭⎝⎭⎝⎭−−− 22222222111sin sin sin r r r r r r ΦΦΦΦθθθθθϕ∂∂∂∂∂⎛⎫⎛⎫∇=++ ⎪ ⎪∂∂∂∂∂⎝⎭⎝⎭ 22222222111sin sin sin A A A A r r r r r r θθθθθϕ⎛⎫⎛⎫∂∂∂∂∂∇=++ ⎪ ⎪∂∂∂∂∂⎝⎭⎝⎭4、静电场:E Φ=∇−;2ρΦε∇=−,边界121212nn ΦΦΦΦεε=⎧⎪⎨∂∂=⎪∂∂⎩,理想导体表面:s n s s D n Φρε∂==∂− 5、恒定电场:E Φ=∇−,J E σ=; 线性各向同性均匀导电媒质中 20Φ∇=,边界上12n n J J =6、恒定磁场:B A =∇⨯,0A ∇⋅=,2A μJ ∇=−7、d () () ()00, , d d D H j E J j D j E H J J J t E j H j B E t B B D D D EB H J E ωεωωεσωμεεωρρεμσ⎧∂⎧∇⨯===∇⨯=+=⎪⎪∂⎪⎪∇⨯==−∂⎪⎪∇⨯=⎨⎨∂⎪⎪∇⋅=∇⋅=⎪⎪⎪⎪∇⋅=⎩∇⋅=⎩===−−时谐场 , , D E B H J Eεμσ===,波速=v不得带入考场,否则以作弊处理!第 2 页8、对时谐场:B A =∇⨯,E j A ωΦ=∇−−,A j ωμεΦ∇⋅=− 9、真空或干燥空气:r 1μ=,r 1ε=;0μμ=,0εε=,0σ= 10、点电荷:4q RΦπε=,24Rqe E Rπε=11、电磁场边界上 :1212121200t t S t tn n n n SH H J E E B B D D ρ=⎧⎪=⎪⎨=⎪⎪−=⎩−−− 或n 12S n 12n 12n 12S ()()0()0()H H J E E B B D D ρ⎧⨯=⎪⨯=⎪⎨⋅=⎪⎪⋅−=⎩e e e e −−− ,时谐场n 12Sn 12n 12n 12S()()0()0()H H J E E B B D D ρ⎧⨯=⎪⎪⨯=⎪⎨⎪⋅=⎪⋅−=⎪⎩e e e e −−− 12、d SI J S =⋅⎰,d d d d d d V Sq J S V t t ρ⋅==⎰⎰−−,J tρ∂∇⋅=∂−,2c p E σ= 13、*av 1Re 2S E H ⎛⎫=⨯⎪⎝⎭14、无限大自由空间位函数:||||(,)(,),)d ,)d 4||4||VVr r r r r t J r t r t V A r t V r r r r ρμΦπεπ''''''''⎰⎰,−−−−1(=(=−−v v 15、时谐场位方程的复数形式:2222 k A k A J A j ρΦΦμωμεΦε∇=∇+=∇⋅=, ,+−−− 16、对称天线远区场:0s 0()cos()22I E e F t kr r θηπθωϕπ=−++,0s 0()cos()22I H e F t kr r ϕπθωϕπ=−++ 17、无界理想介质:1 , W k k W E Z He H e E Z =⨯=⨯,1Wk k WE Z He H e E Z =⨯=⨯, ,k e k k =2k πλ==,W Z =,2f ωπ=,p k ω===v 18、无界导电媒质:00 , z j z z j z E E e e H H e e αβαβ−−−−==,2πλβ=,1δα=(=1, W k k WE Z H e H e E Z =⨯=⨯ (其中(1W Z ε=−19、线极化均匀平面波垂直入射时:2121W W W W Z Z Z Z Γ=+−;22121WW W Z T Z Z Γ==++; 11S ΓΓ+=−111k ωμε==2k == 1i i0jk z x E e e E −=1r r0jk z x E e e E =,r0i0E ΓE =,r0i0E ΓE = 2t t0jk z x E e e E −=,t0i0r0TT E E E Γ==,t0i0E TE =0i0W1i Z H E =,0r0W1r Z H E =,0t0W2t Z H E =(结束)。
一、静电学1.两种电荷、电荷守恒定律、元电荷:(e=1.60×10-19C);带电体电荷量等于元电荷的整数倍2.库仑定律:F=kQ1Q2/r2(在真空中){F:点电荷间的作用力(N),k:静电力常量k=9.0×109N•m2/C2,Q1、Q2:两点电荷的电量(C),r:两点电荷间的距离(m),方向在它们的连线上,作用力与反作用力,同种电荷互相排斥,异种电荷互相吸引}3.电场强度:E=F/q(定义式、计算式){E:电场强度(N/C),是矢量(电场的叠加原理),q:检验电荷的电量(C)}4.真空点(源)电荷形成的电场E=kQ/r2 {r:源电荷到该位置的距离(m),Q:源电荷的电量}5.匀强电场的场强E=UAB/d {UAB:AB两点间的电压(V),d:AB两点在场强方向的距离(m)}6.电场力:F=qE {F:电场力(N),q:受到电场力的电荷的电量(C),E:电场强度(N/C)}7.电势与电势差:UAB=φA-φB,UAB=W AB/q=-ΔEAB/q8.电场力做功:W AB=qUAB=Eqd{W AB:带电体由A到B时电场力所做的功(J),q:带电量(C),UAB:电场中A、B两点间的电势差(V)(电场力做功与路径无关),E:匀强电场强度,d:两点沿场强方向的距离(m)}9.电势能:EA=qφA {EA:带电体在A点的电势能(J),q:电量(C),φA:A点的电势(V)}10.电势能的变化ΔEAB=EB-EA {带电体在电场中从A位置到B位置时电势能的差值}11.电场力做功与电势能变化ΔEAB=-WAB=-qUAB (电势能的增量等于电场力做功的负值)12.电容C=Q/U(定义式,计算式) {C:电容(F),Q:电量(C),U:电压(两极板电势差)(V)}13.平行板电容器的电容C=εS/4πkd(S:两极板正对面积,d:两极板间的垂直距离,ω:介电常数)常见电容器〔见第二册P111〕14.带电粒子在电场中的加速(V o=0):W=ΔEK或qU=mVt2/2,Vt=(2qU/m)1/215.带电粒子沿垂直电场方向以速度V o进入匀强电场时的偏转(不考虑重力作用的情况下)类似平抛运动平行电场方向:初速度为零的匀加速直线运动d=at2/2,a=F/m=qE/m 垂直电场方向:匀速直线运动L=V ot(在带等量异种电荷的平行极板中:E=U/d)二、恒定电流1.电流强度:I=q/t{I:电流强度(A),q:在时间t内通过导体横载面的电量(C),t:时间(s)}2.欧姆定律:I=U/R {I:导体电流强度(A),U:导体两端电压(V),R:导体阻值(Ω)}3.电阻、电阻定律:R=ρL/S{ρ:电阻率(Ω•m),L:导体的长度(m),S:导体横截面积(m2)}4.闭合电路欧姆定律:I=E/(r+R)或E=Ir+IR也可以是E=U内+U外{I:电路中的总电流(A),E:电源电动势(V),R:外电路电阻(Ω),r:电源内阻(Ω)}5.电功与电功率:W=UIt,P=UI{W:电功(J),U:电压(V),I:电流(A),t:时间(s),P:电功率(W)}6.焦耳定律:Q=I2Rt{Q:电热(J),I:通过导体的电流(A),R:导体的电阻值(Ω),t:通电时间(s)}7.纯电阻电路中:由于I=U/R,W=Q,因此W=Q=UIt=I2Rt=U2t/R8.电源总动率、电源输出功率、电源效率:P总=IE,P出=IU,η=P出/P总{I:电路总电流(A),E:电源电动势(V),U:路端电压(V),η:电源效率}9.电路的串/并联串联电路(P、U与R成正比) 并联电路(P、I与R成反比)电阻关系R串=R1+R2+R3+ 1/R并=1/R1+1/R2+1/R3+电流关系I总=I1=I2=I3 I并=I1+I2+I3+电压关系U总=U1+U2+U3+ U总=U1=U2=U3功率分配P总=P1+P2+P3+ P总=P1+P2+P3+三、磁场1.磁感应强度是用来表示磁场的强弱和方向的物理量,是矢量,单位T),1T=1N/A•m2.安培力F=BIL;(注:L⊥B) {B:磁感应强度(T),F:安培力(F),I:电流强度(A),L:导线长度(m)}3.洛仑兹力f=qVB(注V⊥B);质谱仪〔见第二册P155〕{f:洛仑兹力(N),q:带电粒子电量(C),V:带电粒子速度(m/s)}4.在重力忽略不计(不考虑重力)的情况下,带电粒子进入磁场的运动情况(掌握两种):(1)带电粒子沿平行磁场方向进入磁场:不受洛仑兹力的作用,做匀速直线运动V=V0(2)带电粒子沿垂直磁场方向进入磁场:做匀速圆周运动,规律如下a)F向=f洛=mV2/r=mω2r=mr(2π/T)2=qVB;r=mV/qB;T=2πm/qB;(b)运动周期与圆周运动的半径和线速度无关,洛仑兹力对带电粒子不做功(任何情况下);(c)解题关键:画轨迹、找圆心、定半径、圆心角(=二倍弦切角)。
电磁场与电磁波考前必背公式【整理于2014年4月—5月】第一章 矢量分析()0cos cos cos ,cos cos cos 1M lx y zϕϕϕϕαβγαβγ∂∂∂∂=++∂∂∂∂、标量场的方向导数其中,,:l 为沿方向的方向余弦。
【是标量】()x y z e e e x y zϕϕϕϕ∂∂∂=++∂∂∂2、标量直角坐标场的梯度系下的表:grad 示方法; =.=x y z e e e x y zϕϕ∂∂∂++∂∇∂∇∂grad ,其中 【是矢量】3l l ϕϕ∂=∇∂方向导数与梯度的关系:、。
s=y x zA A A x y zA dS A A ψ∂∂∂++∂∂∂=∇=⎰4、矢量场的通量:;矢量场的散度:div 。
【均为标量】()sVAdV A d S ∇=⎰⎰5、散度定理(也称高斯定理):把体积分与面积分联系起来。
=xy y z lx y zzx e e e e A A A dl A A A y A A x y z z ⎛⎫=∇⨯∂== ⎪⎝⎭∂∂∂∂-∂∂∂∂∂⎰6、矢量场的环量;矢量场的旋度:rot z y z y x x e e z x x y A A A A ⎛⎫⎛⎫++∂∂∂∂--∂∂ ⎪ ⎪⎝∂⎝∂⎭⎭。
【是矢量】 ()slA d S A dl∇⨯=⎰⎰斯托克斯定理:(把线积分与面积分联系7、起来)。
8、根据矢量场的亥姆霍兹定理,在无界空间中,矢量场可由其散度和旋度唯一确定。
()() 00A ϕ∇∇⨯≡∇⨯∇≡9、旋度的散度恒等于零,即;梯度的旋度恒等于零矢量,即。
第二章 静电场()()0ss10;00lQE d S E QE dl E E d S E ρεεε=∇==∇⨯==∇⨯=⎰⎰⎰、静电场的高斯定理:积分形式;微分形式。
电场强度的环量与散度静电场是有源(通量源)无旋场,电荷:。
是电其中,说明场的源。
以上四个方程统称为真空中静电场的基本方程。
()()()()22002121=0=03004.5=Sl r n n s n n s E Laplace D d S q D E E dl D E D D D D ϕϕρϕϕρϕερεεερρ=-∇∇=-∇⎫=⎫⎪∇=⎪⎬⎬∇⨯==⎪⎪⎭⎭==-=⎰⎰2、电场强度E 与电位的关系:电位的微分方程为:泊松方程;当时,方程、介质中静电场的方程:微分形式,积分形式、对于各向同性介质有:、在不同介质面上静电场的边界条件为:或()21=0.t t E E =,第三章 恒定电流的电场和磁场()()()00010.2.0030,SSl J J d S J E J E B d S B B J B dl I B B J σσμμμ∇===⎫=⎫⎪∇=⎪⎬⎬∇⨯==⎪⎪⎭⎭∇=∇⨯=⎰⎰⎰、恒定电流的电流连续性方程:=0,其积分形式为:、欧姆定律的微分形式:是电导率;焦耳定律的微分形式:p 、真空中恒定磁场的基本方程:积分形式,微分形式其中说明恒定磁场是无源散()004.5,.r lBH M B H H H dl I H J μμμμ===∇⨯=⎰度源有旋场,旋涡源是电流。
1. 三个恒等式:20 , 0 , ()-u A A A A ∇⨯∇=∇⋅∇⨯=∇⨯∇⨯=∇∇⋅∇2. 直角坐标系中:y x zA A A A x y z∂∂∂∇⋅=++∂∂∂ ()()()---yy x x z z x y z A A A A A A A e e e y z z x x y ∂∂∂∂∂∂∇⨯=++∂∂∂∂∂∂圆柱坐标系中:1ze e e z ρϕφφφφρρϕ∂∂∂∇=++∂∂∂()11zA A A A z ρϕρρρρϕ∂∂∂∇⋅=++∂∂∂22222211zφφφφρρρρρϕ∂∂∂∂⎛⎫∇=++ ⎪∂∂∂∂⎝⎭ 3. 麦克斯韦方程组: (0d d DH J J J t B E tB D ρ⎧∂∇⨯=+=⎪∂⎪∂⎪∇⨯=⎨∂⎪∇⋅=⎪⎪∇⋅=⎩-, 对时谐场 ()0d H J j D J j D E j B B D ωωωρ⎧∇⨯=+=⎪⎪∇⨯=⎪⎨⎪∇⋅=⎪∇⋅=⎪⎩-4. 结构方程:D E ε=,B H μ=,J E σ=;对时谐场有:D E ε=,B H μ=,J E σ=5. 电磁场边界条件的一般形式:1212121200t t t t S n n n n SE E H H J B B D D ρ=⎧⎪=⎪⎨=⎪⎪-=⎩--- 或12121212()0()()0()n n Sn n SE E H H J B B D D ρ⎧⨯=⎪⨯=⎪⎨⋅=⎪⎪⋅-=⎩---e e e e 6. 流过曲面S 上的电流强度:d SI J S =⋅⎰,对恒定电流:d 0SJ S ⋅=⎰7. 导电媒质中的功率损耗密度:2c p E σ= 8. 恒定电流的磁场中,矢量磁位0()d 4VJ r A V r r μπ''='⎰-满足库仑规范0A ∇⋅= 9. 达朗贝尔方程:222A A J t μεμ∂∇=∂--, 222tΦρΦμεε∂∇=∂-- 10. 平均坡印亭矢量:()*av 1Re 2S E H =⨯11. 电基本振子(电偶极子)在远区场的场强:zze e e z A A A ρϕρϕρρρϕρ∂∂∂∂∂∂A ∇⨯=请自觉遵守考试规则,诚信考试!60d sin , d si n 2 ()()k r j r jk I I lH l j r E e je r e e θϕθπθλλ≈≈-- 12. 对称半波天线的方向性因子:cos cos 2()sin Fπθθθ⎛⎫ ⎪⎝⎭=13. 无界理想介质中传播的均匀平面波满足:1, W k k WE Z H e H e E Z =⨯=⨯,k e k k =,k =(k :波矢),W Z = 14. 无界导电媒质中传播的均匀平面波满足:1, W k k WE Z H e H e E Z =⨯=⨯ (其中(1W Z ε=-15. 均匀平面波垂直入射时:反射系数:2121W W W W Z Z Z Z Γ=+-;透射系数:22121W W W Z Z Z T =Γ+=+;驻波比:11S ΓΓ+=-(结束)。
高考物理常考公式汇总高考物理常考公式(一)电磁振荡和电磁波1、LC振荡电路T=2π(LC)1/2;f=1/T {f:频率(Hz),T:周期(s),L:电感量(H),C:电容量(F)}2。
电磁波在真空中传播的速度c=3、00×108m/s,λ=c/f {λ:电磁波的波长(m),f:电磁波频率}注:(1)在LC振荡过程中,电容器电量最大时,振荡电流为零;电容器电量为零时,振荡电流最大;(2)麦克斯韦电磁场理论:变化的电(磁)场产生磁(电)场;(3)其它相关内容:电磁场、电磁波、无线电波的发射与接收、电视雷达。
光的反射和折射(几何光学)理解口诀:1、自行发光是光源,同种均匀直线传。
若是遇见障碍物,传播路径要改变。
反射折射两定律,折射定律是重点。
光介质有折射率,(它的)定义是正弦比值,还可运用速度比,波长比值也使然。
2。
全反射,要牢记,入射光线在光密。
入射角大于临界角,折射光线无处觅。
1。
反射定律α=i {α;反射角,i:入射角};2、绝对折射率(光从真空中到介质)n=c/v=sin /sin {光的色散,可见光中红光折射率小,n:折射率,c:真空中的光速,v:介质中的光速, :入射角, :折射角} 3、全反射:1)光从介质中进入真空或空气中时发生全反射的临界角C:sinC=1/n;2)全反射的条件:光密介质射入光疏介质;入射角等于或大于临界角注:(1)平面镜反射成像规律:成等大正立的虚像,像与物沿平面镜对称;(2)三棱镜折射成像规律:成虚像,出射光线向底边偏折,像的位置向顶角偏移;(3)光导纤维是光的全反射的实际应用,放大镜是凸透镜,近视眼镜是凹透镜;(4)熟记各种光学仪器的成像规律,利用反射(折射)规律、光路的可逆等作出光路图是解题关键;(5)白光通过三棱镜发色散规律:紫光靠近底边出射。
光的本性(光既有粒子性,又有波动性,称为光的波粒二象性)理解口诀:1。
大学物理电磁学公式总结汇总优秀5篇大学物理电磁学公式总结篇一一、电容:1、定义式C=Q/ΔU=Q(U1—U2)2、几种电容器:(1)平行板电容器C=εS/d,(2)圆柱形电容器C=2πεl/ln(R2/R1)(3)球形电容器C=4лεR2R3/(R2-R3)3、并联C=C1+C2+……4、串联1/C=1/C1+1/C2+……二、库仑定律回:F=q1q2r/(4лε。
r )三、电答场强度:E=F/q。
四、电势U:U=∫°E·dlp五、电势差Uab=Ua-Ub大学物理电磁学公式总结篇二第一章(静止电荷的电场)1、电荷的基本性质:两种电荷,量子性,电荷守恒,相对论不变性。
2、库仑定律:两个静止的点电荷之间的作用力F=3、电力叠加原理:F=ΣFikq1q2r2=q1q24πε0r24、电场强度:E=,q0为静止电荷 q05、场强叠加原理:E=ΣEi用叠加法求电荷系的静电场:E=iE=6、电通量:Φe=4πε0r2idqqi(离散型)(连续型)4πε0r27.高斯定律:=Σqintsε018、典型静电场:1)均匀带电球面:E=0(球面内) E=2)均匀带电球体:E=qqq4πε0r2(球面外)ρε04πε0R=3(球体内)E=4πε0r2λ(球体外),方向垂直于带电直线3)均匀带电无限长直线:E=2πε0r4)均匀带电无限大平面:E=ε0,方向垂直于带电平面9、电偶极子在电场中受到的力矩:M=p×E第三章(电势)1、静电场是保守场:=0L2、电势差:φ1φ2=(p1)电势:φp=(P0是电势零点)(p)电势叠加原理:φ=Σφi3.点电荷的电势:φ=q4πε0r(p0)(p2)dq电荷连续分布的带电体的电势:φ=4πεr4、电场强度E与电势φ的关系的微分形式:E=-gradφ=-φ=-(i+j+k)xyzφφφ电场线处处与等势面垂直,并指向电势降低的方向;电场线密处等势面间距小。
电磁场与电磁波复习第一部分 知识点归纳 第一章 矢量分析1、三种常用的坐标系 (1)直角坐标系微分线元:dz a dy a dx a R d z y x →→→→++= 面积元:⎪⎩⎪⎨⎧===dxdy dS dxdz dS dydzdS zyx ,体积元:dxdydz d =τ(2)柱坐标系长度元:⎪⎩⎪⎨⎧===dz dl rd dl drdl z r ϕϕ,面积元⎪⎩⎪⎨⎧======rdrdz dl dl dS drdz dl dl dS dz rd dl dl dS z zz r z r ϕϕϕϕ,体积元:dz rdrd d ϕτ=(3)球坐标系长度元:⎪⎩⎪⎨⎧===ϕθθϕθd r dl rd dl dr dl r sin ,面积元:⎪⎩⎪⎨⎧======θϕθϕθθθϕϕθθϕrdrd dl dl dS drd r dl dl dS d d r dl dl dS r r r sin sin 2,体积元:ϕθθτd drd r d sin 2=2、三种坐标系的坐标变量之间的关系 (1)直角坐标系与柱坐标系的关系⎪⎪⎩⎪⎪⎨⎧==+=⎪⎩⎪⎨⎧===z z x y yx r z z r y r x arctan,sin cos 22ϕϕϕ (2)直角坐标系与球坐标系的关系⎪⎪⎪⎩⎪⎪⎪⎨⎧=++=++=⎪⎩⎪⎨⎧===z yz y x z z y x r r z r y r x arctan arccos ,cos sin sin cos sin 222222ϕθθϕθϕθ (3)柱坐标系与球坐标系的关系⎪⎪⎩⎪⎪⎨⎧=+=+=⎪⎩⎪⎨⎧===ϕϕθθϕϕθ22'22''arccos ,cos sin z r z zr r r z r r 3、梯度(1)直角坐标系中:za y a x a grad z y x ∂∂+∂∂+∂∂=∇=→→→μμμμμ(2)柱坐标系中:za r a r a grad z r ∂∂+∂∂+∂∂=∇=→→→μϕμμμμϕ1(3)球坐标系中:ϕμθθμμμμϕθ∂∂+∂∂+∂∂=∇=→→→sin 11r a r a r a grad r4.散度(1)直角坐标系中:zA y A x A A div zy X ∂∂+∂∂+∂∂=→(2)柱坐标系中:zA A r rA r r A div zr ∂∂+∂∂+∂∂=→ϕϕ1)(1 (3)球坐标系中:ϕθθθθϕθ∂∂+∂∂+∂∂=→A r A r A r rr A div r sin 1)(sin sin 1)(1225、高斯散度定理:⎰⎰⎰→→→→=⋅∇=⋅ττττd A div d A S d A S,意义为:任意矢量场→A 的散度在场中任意体积的体积分等于矢量场→A 在限定该体积的闭合面上的通量。
6,旋度(1) 直角坐标系中:zyxz y xA A A z y x a a a A ∂∂∂∂∂∂=⨯∇→→→→ (2) 柱坐标系中:zr z rA rA A z r a ra a r A ϕϕϕ∂∂∂∂∂∂=⨯∇→→→→1 (3) 球坐标系中:ϕθϕθθϕθθθA r rA A ra r a r a r A r rsin sin sin 12∂∂∂∂∂∂=⨯∇→→→→两个重要性质:①矢量场旋度的散度恒为零,0=⨯∇⋅∇→A ②标量场梯度的旋度恒为零,0=∇⨯∇μ7、斯托克斯公式:⎰⎰→→→→⋅⨯∇=⋅SCS d A l d A第二章 静电场和恒定电场1、静电场是由空间静止电荷产生的一种发散场。
描述静电场的基本变量是电场强度→E 、电位移矢量→D 和电位ϕ。
电场强度与电位的关系为:ϕ-∇=→E。
m F /10854.8120-⨯≈ε2、电场分布有点电荷分布、体电荷分布、面电荷分布和线电荷分布。
其电场强度和电位的计算公式如下: (1)点电荷分布C R q R q R R q E Nk kkNk k kNk k k k +=∇-==∑∑∑===→→10113041,)1(4141πεϕπεπε (2)体电荷分布C rr dv r rr dv r r r E vv+-=--=⎰⎰→→→→→→→'''03'''')(41,))((41ρπεϕρπε(3)面电荷分布 C rr dS r rr dS r r r E SS SS +-=--=⎰⎰→→→→→→→'''03'''')(41,))((41ρπεϕρπε(4) 线电荷分布C rr dl r rr dl r r r E ll ll +-=--=⎰⎰→→→→→→→'''03'''')(41,))((41ρπεϕρπε3、介质中和真空中静电场的基本方程分别为 ⎪⎩⎪⎨⎧−−−→−=⋅∇=⋅→→→⎰)面内的总极化电荷之和面内的总源电荷和为介质中的高斯定理((微分形式)积分形式表示意义S S q r D q S d D S )()(,ρ场,也是保守场。
说明静电场是一种发散安培环路定理(微分形式)积分形式表示意义,0)(,0⎪⎩⎪⎨⎧−−−→−=⨯∇=⋅→→→⎰E l d E C⎪⎪⎩⎪⎪⎨⎧−−−→−=⋅∇=⋅→=→→∑⎰真空中的高斯定理为体电荷密度)(微分形式,积分形式表示意义ρερε010).(1E q S d E n i i S 在线性、各向同性介质中,本构方程为:→→→→→==+=E E P E D r εεεε00 4、电介质的极化(1)极化介质体积的极化体电荷密度为:)(极化强度矢量→→⋅-∇=P P p ρ。
(2)介质表面的极化面电荷密度为:)(p 量为表面的单位法向量矢→→→⋅=n n P S ρ 5、在均匀介质中,电位满足的微分方程为泊松方程和拉普拉斯方程,即(无源区域),有源区域0)(22=∇-=∇ϕερϕ 6、介质分界面上的边界条件 (1)分界面上n D 的边界条件S S n n D D n D D ρρ=-⋅=-→→→)(2121或(S ρ为分界面上的自由电荷面密度),当分界面上没有 自由电荷时,则有:→→→→⋅=⋅=2121D n D n D D n n 即,它给出了→D 的法向分量在介质分界面两侧的关系:(I ) 如果介质分界面上无自由电荷,则分界面两侧→D 的法向分量连续; (II )如果介质分界面上分布电荷密度s ρ,→D 的法向分量从介质1跨过分界面进入介质2时将有一增量,这个增量等于分界面上的面电荷密度s ρ。
用电位表示:)0(22112211=∂Φ∂=∂Φ∂=∂Φ∂+∂Φ∂-S S nn n n ρεερεε和 (2)分界面上t E 的边界条件(切向分量)→→→→→→=⨯=⨯t t E E E n E n 21或,电场强度的切向分量在不同的分界面上总是连续的。
由于电场的切向分量在分界面上总连续,法向分量 有限,故在分界面上的电位函数连续,即21ϕϕ=。
电力线折射定律:2121tan tan εεθθ=。
7、静电场能量(1)静电荷系统的总能量①体电荷:⎰Φ=ττρd W e 21; ②面电荷:⎰Φ=S S e ds W ρ21;③线电荷:⎰Φ=ll e dl W ρ21。
(2)导体系统的总能量为:∑=kk k e q W ϕ21。
(3)能量密度静电能是以电场的形式存在于空间,而不是以电荷或电位的形式存在于空间中的。
场中任意一点的能量密度为:32/2121m J E E D e εω=⋅=→→在任何情况下,总静电能可由⎰=Ve d E W τε221来计算。
8、恒定电场存在于导电媒质中由外加电源维持。
描述恒定电场特性的基本变量为电场强度→E 和电流密度→J ,且→→=E J σ。
σ为媒质的电导率。
(1)恒定电场的基本方程t 2分界面上t E 的边界条件分界面上n D 的边界条件电流连续性方程:⎪⎩⎪⎨⎧=∂∂+⋅∇∂∂=⋅∇∂∂-=⋅→→→→⎰0t -t J J tq S d J S ρρ或微分形式:积分形式: 恒定电流场中的电荷分布和电流分布是恒定的。
场中任一点和任一闭合面都不能有电荷的增减,即00=∂∂=∂∂tt q ρ和。
因此,电流连续性方程变为:00=⋅∇=⋅→→→⎰J S d J S 和,再加上00=⨯∇=⋅→→→⎰E l d E C和,这变分别是恒定电场基本方程的积分形式和微分形式。
(2)恒定电场的边界条件0)()2(,0)()1(21212121=-⨯==-⋅=→→→→→→→→t t t t n n E E n E E J J n J J 或或应用欧姆定律可得:22112211σσσσ→→==ttn n J J E E 和。
此外,恒定电场的焦耳损耗功率密度为2E p σ=,储能密度为221E e εω=。
第四章 恒定磁场1→→H 来描述,真空中磁感应强度的计算公式为:(1)线电流:⎰⎰→→→→→→→--⨯=⨯=ll R rr r r l Id R a l Id B 3'''02'0)(44πμπμ(2)面电流:⎰⎰→→→→→→→→--⨯=⨯=SS SR S dS rr r r J dS R a J B '3''0'2)(44πμπμ(3)体电流:⎰⎰→→→→→→→→--⨯=⨯=τττπμτπμ'3''0'20)(44d rr r r J d R a J B R2、恒定磁场的基本方程(1)真空中恒定磁场的基本方程为:A 、磁通连续性方程:⎪⎩⎪⎨⎧=⋅∇=⋅→→→⎰00B S d B S 微分形式:积分形式:,B 、真空中安培环路定理:⎪⎩⎪⎨⎧=⨯∇=⋅→→→→⎰J B I l d B l 00μμ微分形式:积分形式: (2)磁介质中恒定磁场的基本方程为:A 、磁通连续性方程仍然满足:⎪⎩⎪⎨⎧=⋅∇=⋅→→→⎰00B S d B S 微分形式:积分形式:, B 、磁介质中安培环路定理:⎪⎩⎪⎨⎧=⨯∇=⋅→→→→⎰J H I l d H l 微分形式:积分形式: C 、磁性媒质的本构方程:),(00为磁化强度矢量其中→→→→→→→-===M M BH H H B r μμμμ。
恒定磁场是一种漩涡场,因此一般不能用一个标量函数的梯度来描述。
3、磁介质的磁化磁介质在磁场中被磁化,其结果是磁介质部出现净磁矩或宏观磁化电流。
磁介质的磁化程度用磁化强度→M 表示。
(1)磁介质中的束缚体电流密度为:→→⨯∇=M J m ;(2)磁介质表面上的束缚面电流密度为:)(量为表面的单位法向量矢其中,→→→→⨯=n n M J mS 4、恒定磁场的矢量磁位为:→→⨯∇=A B ,矢量→A 为矢量磁位。