2002年上海财经大学概率论与数理统计B考研试题
- 格式:pdf
- 大小:363.53 KB
- 文档页数:2
2002年上海财经大学金融学考研真题及详解一、名词解释1.费雪效应(Fisher effect)答:反映的是名义利率、实际利率和预期的通货膨胀率之间的关系。
费雪效应由美国经济学家费雪在其著作《利息理论》中提出。
在封闭经济条件下,费雪效应使名义利率高于实际利率,而且还要高到足以抵消预期的通货膨胀,只有这样,人们才会购买和持有各种金融资产;在开放经济条件下,费雪效应使两国名义利率之差等于它们即期汇率的预期变动。
它还体现了通货膨胀对汇率变化的作用,是购买力平价得以成立的一个必要条件。
因此,在开放经济条件下,如果人们预期一个国家的货币将贬值,那么为避免该国资本外逃,该国的名义利率必须高到足够抵消因贬值给投资者带来的损失。
只有这样,投资者才有可能继续持有该国的金融资产。
2.流动性偏好答:又称灵活偏好,是指人们为应付日常开支、意外支出和进行投机活动而愿意持有现金的一种心理偏好。
该理论由英国著名经济学家约翰·梅纳德·凯恩斯(J·M·Keynes)于1936年在《就业、利息和货币通论》中提出,它根源于交易动机、预防动机和投机动机。
交易动机是为了日常交易而产生的持有货币的愿望,预防动机是为了应付紧急情况而产生的持有货币的愿望。
满足交易动机和预防动机的货币需求数量取决于国民收入水平的高低,并且是收入的增函数。
投机性动机是人们根据对市场利率变化的预测,持有货币以便从中获利的动机。
投机动机的货币需求与现实利率成负相关。
由交易动机、预防动机引起的流动偏好所决定的货币需求与收入(Y)呈同方向变动,可以表示为L1(Y);由交易动机引起的流动偏好所决定的货币需求与利率(r)呈反方向变动,故可以用L2(r)表示。
这样,有流动偏好所决定的货币需求(L)就可以表示为:L=L1(Y)+L2(r)。
3.适应性预期(adaptive expectation)答:现代经济学中的预期概念之一。
预期是指从事经济活动的私人经济在对当前的行动做出决定之前,对将来的经济形势或经济变量(主要指价格波动)所作的预测。
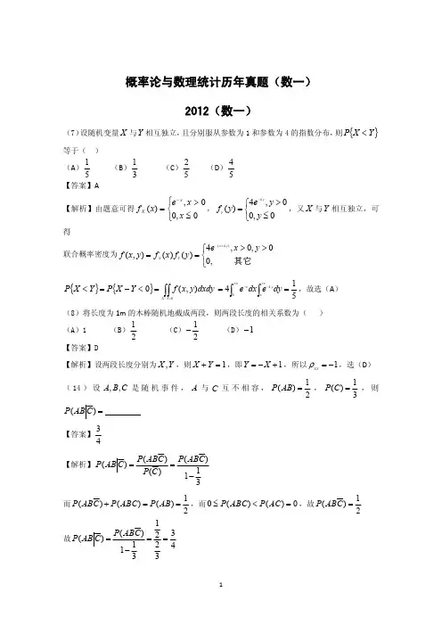
期末考试《概率论与数理统计》B 卷适用专业:经济管理各专业 层 次:本科 年 级:一、判断题(每小题2分,共10分)(你认为正确的请在括号内打√,错误的打×)【 × 】1.设C B A ,,为随机事件,则A 与C B A ++是互不相容的. 【 √ 】2.设B A ,是随机事件,0)(=A P ,则A 与B 相互独立. 【 √ 】3.)(x F 是正态随机变量的分布函数,则)(1)(x F x F -≠-. 【 √ 】4.)()()(Y E X E XY E =是X 与Y 相互独立的必要而非充分的条件. 【 × 】5.设随机变量序列 ,,,,21n X X X 相互独立,且服从参数为λ的指数分布,则∑=ni X X 1依概率收敛于λ.二、填空题(每空2分,共20分)6.已知B A ,两个事件满足条件)()(B A P AB P =,且p A P =)(,则=)(B P 1-p. 7.设三次独立试验中,事件A 出现的概率相等,若已知A 至少出现一次的概率等于2719,则事件A 在一次试验中出现的概率为1/3.8.X 服从参数3=λ的泊松分布,令25-=X Y ,则=)(Y E 13,=)(Y D 75. 9.已知5.0)(=A P ,6.0)(=B P ,8.0)|(=A B P ,则=)(A B P 0.2.10.掷一颗骰子1620次,则“6”点出现的次数X 的数学期望=)(X E 270.11.设连续型随机变量)2,1(~2N X ,则~21-X N (0,1),若X Y 31-=,则=)(Y D 36.12.已知25.0)(,4)(==X D X E ,利用切贝谢夫不等式估计≥<<)5.55.2(X P 0.8889 .13.三人独立的破译一个密码,他们能独立译出的概率分别为r q p ,,,则密码能同时被三人译出的概率为 pqr .三、单选题(每小题3分,共15分)14.设B A ,相互独立,且0)(,0)(>>B P A P ,则下列等式成立的是(B )(A ) φ=AB (B ) )()()(B P A P B A P =- (C ) )(1)(A P B P -= (D ) 0)|(=A B P15.同时抛掷3枚均匀的硬币,则恰好有两枚正面朝上的概率为(D )(A ) 0.5 (B ) 0.125 (C ) 0.25 (D ) 0.37516.袋中有5个黑球,3个白球,大小相同,一次随机摸出4个球,其中恰好有3个白球的概率为(C )(A ) 83(B )⎪⎭⎫ ⎝⎛⎪⎭⎫ ⎝⎛81835(C )485C (D )⎪⎭⎫⎝⎛⎪⎭⎫ ⎝⎛8183317.设随机变量X 的概率密度为⎪⎩⎪⎨⎧≤<-≤<=.,021,2,10,)(其它x x x x x f ,则)2.12.0(<<X P 的值是(B )(A ) 0.7 (B ) 0.66 (C ) 0.6(D ) 0.518.设8413.0)1(),2,1(~02=ΦN X ,则事件{}31≤≤X 的概率为(A ) (A )0.3413 (B )0.2934 (C )0.2413 (D )0.1385四、计算题(共35分)19.一口袋中有三个球,它们依次标有数字1,2,2.从这袋中任取一球后,不放回袋中,再从袋中任取一球,设每次取球时,袋中各个球被取到可能性相同,以Y X ,分别记第一次、第二次取得的球上标有的数字,求X (、)Y 分布律。
应用统计硕士上海财大配套《概率论与数理统计》考研真题第1章随机事件与概率一、选择题1设A,B,C为三个随机事件,且P(A)=P(B)=P(C)=1/4,P(AB)=0,P(AC)=P(BC)=1/12,则A,B,C中恰有一个事件发生的概率为()。
[数一2020研]A.3/4B.2/3C.1/2D.5/12【答案】D查看答案【解析】只发生A事件的概率:只发生B事件的概率:只发生C事件的概率:A ,B ,C 中恰有一个事件发生的概率:故选择D 项。
2设A ,B 为随机事件,则P (A )=P (B )的充分必要条件是( )。
[数一2019研]A .P (A ∪B )=P (A )+P (B ) B .P (AB )=P (A )P (B )C .P (A B _)=P (B A _)D .【答案】C 查看答案【解析】选项A 只能说明事件A 与事件B 不相容,选项B 只能说明事件A 与事件B 相互独立,并不能说明P (A )=P (B )。
对选项D 来说,若令B =A _,等式恒成立,亦不能说明P (A )=P (B ),故选C 。
3设事件A ,B 相互独立,P (B )=0.5,P (A -B )=0.3,则P (B -A )=( )。
[数一、数三2014研] A .0.1 B .0.2 C .0.3 D .0.4【答案】B 查看答案【解析】P(A-B)=0.3=P(A)-P(AB)=P(A)-P(A)P(B)=P(A)-0.5P(A)=0.5P(A),故P(A)=0.6,P(B-A)=P(B)-P(AB)=0.5-0.5P(A)=0.2。
二、填空题设随机事件A与B相互独立,A与C相互独立,BC=∅,若P(A)=P(B)=1/2,P(AC|AB∪C)=1/4,则P(C)=______。
[数一2018研]【答案】1/4查看答案【解析】计算如下代入P(A)、P(B),可得随机变量X的方差为2,随机变量Y=2X,那么Y的方差是()。
模拟试题二一、判断题(10分,每题2分)1. 在古典概型的随机试验中,0)(=A P 当且仅当A 是不可能事件. ( )2.连续型随机变量的密度函数)(x f 与其分布函数)(x F 相互唯一确定. ( )3.若随机变量X 与Y 独立,且都服从1.0=p 的 (0,1) 分布,则Y X =. ( )4.设X 为离散型随机变量, 且存在正数k 使得0)(=>k X P ,则X 的数学期望)(X E 未必存在. ( )5.在一个确定的假设检验中,当样本容量确定时, 犯第一类错误的概率与犯第二类错误的概率不能同时减少. ( )二、 选择题(15分,每题3分)1. 设每次试验成功的概率为)10(<<p p ,重复进行试验直到第n 次才取得)1(n r r ≤≤ 次成功的概率为 .(a)r n r r n p p C ----)1(11; (b)r n r r np p C --)1(; (c)1111)1(+-----r n r r n p p C ; (d)r n r p p --)1(.2. 离散随机变量X 的分布函数为)(x F ,且11+-<<k k k x x x ,则==)(k x X P . (a))(1k k x X x P ≤≤-; (b))()(11-+-k k x F x F ;(c))(11+-<<k k x X x P ; (d))()(1--k k x F x F .3. 设随机变量X 服从指数分布,则随机变量)2003,(max X Y =的分布函数 . (a)是连续函数; (b)恰好有一个间断点;(c)是阶梯函数; (d)至少有两个间断点.4. 设随机变量),(Y X 的方差,1)(,4)(==Y D X D 相关系数,6.0=XY ρ则方差=-)23(Y X D .(a)40; (b)34; (c)25.6; (d)17.6 .5. 设),,,(21n X X X 为总体)2,1(2N 的一个样本,X 为样本均值,则下列结论中正确的是 . (a))(~/21n t n X -; (b))1,(~)1(4112n F X ni i ∑=-;(c))1,0(~/21N n X -; (d))(~)1(41212n X ni i χ∑=-.三、填空题(28分,每题4分)1. 一批电子元件共有100个, 次品率为0.05. 连续两次不放回地从中任取一个, 则第二次才取到正品的概率为 .2. 设连续随机变量的密度函数为)(x f ,则随机变量X e Y 3=的概率密度函数为=)(y f Y.3. 设X 为总体)4,3(~N X 中抽取的样本(4321,,,X X X X )的均值, 则)51(<<-X P = .4. 设二维随机变量),(Y X 的联合密度函数为 ⎩⎨⎧<<<=他其,0;10,,1),(x x y y x f 则条件密度函数为当 时 =)(x y f X Y.5. 设)(~m t X , 则随机变量2X Y =服从的分布为 ( 需写出自由度 ) .6. 设某种保险丝熔化时间),(~2σμN X (单位:秒),取16=n 的样本,得样本均值和方 差分别为36.0,152==S X ,则μ的置信度为95%的单侧置信区间上限为 .7. 设X 的分布律为X 1 2 3P 2θ )1(2θθ- 2)1(θ-已知一个样本值)1,2,1(),,(321=x x x ,则参数的极大似然估计值为 .四、计算题(40分,每题8分)1. 已知一批产品中96 %是合格品. 检查产品时,一合格品被误认为是次品的概率是0.02;一次品被误认为是合格品的概率是0.05. 求在被检查后认为是合格品的产品确实是合格品的概率.2.设随机变量X 与Y 相互独立,X ,Y 分别服从参数为)(,μλμλ≠的指数分布,试求Y X Z 23+=的密度函数)(z f Z .3.某商店出售某种贵重商品. 根据经验,该商品每周销售量服从参数为1=λ的泊松分布. 假定各周的销售量是相互独立的. 用中心极限定理计算该商店一年内(52周)售出该商品件数在50件到70件之间的概率.4.设总体),(~2σμN X ,),,,(21n X X X 为总体X 的一个样本. 求常数 k , 使∑=-ni i X X k 1为σ 的无偏估计量.5.(1) 根据长期的经验,某工厂生产的特种金属丝的折断力),(~2σμN X (单位:kg ). 已知8=σ kg , 现从该厂生产的一大批特种金属丝中随机抽取10个样品,测得样本均值2.575=x kg . 问这批特种金属丝的平均折断力可否认为是570 kg ? (%5=α)(2)已知维尼纶纤度在正常条件下服从正态分布)048.0,(2μN . 某日抽取5个样品,测得其纤度为: 1.31, 1.55, 1.34, 1.40, 1.45 .问 这天的纤度的总体方差是否正常?试用%10=α作假设检验.五、证明题(7分)设随机变量Z Y X ,,相互独立且服从同一贝努利分布),1(p B . 试证明随机变量Y X +与Z 相互独立.附表: 标准正态分布数值表 2χ分布数值表 t 分布数值表 6103.0)28.0(=Φ 488.9)4(205.0=χ 1315.2)15(025.0=t 975.0)96.1(=Φ 711.0)4(295.0=χ 7531.1)15(05.0=t 9772.0)0.2(=Φ 071.11)5(205.0=χ 1199.2)16(025.0=t 9938.0)5.2(=Φ 145.1)5(295.0=χ 7459.1)16(05.0=t。
上海财经大学浙江学院《概率论与数理统计》期末考试卷(B 卷)(2013—2014学年第一学期)考试形式 闭卷 使用学生 2012级金融、会计、国贸、人力等考试时间 120分钟 出卷时间 2013年12月6日 说明:考生应将全部答案都写在答题纸上,否则作无效处理。
答题时字迹要清晰。
姓名 学号 班级一、单项选择题(每题3分,共15分)1、设事件A 和B 的概率为12(),()23P A P B == 则()P AB 可能为( ) (A) 0; (B) 1; (C) 0.6; (D) 1/62、从1、2、3、4、5 这五个数字中等可能地、有放回地接连抽取两个数字,则这两个数字不相同的概率为( )(A)12; (B) 225; (C) 425; (D)以上都不对 3、设随机变量~(0,1),X N X 的分布函数为()x Φ,则(||2)P X >的值为( )(A )2[1(2)]-Φ. (B )2(2)1Φ-.(C )2(2)-Φ. (D )12(2)-Φ.4、某一随机变量的分布函数为()3xxa be F x e +=+,(a 0,1b ==)则(0)F 的值为( )(A) 0.1; (B) 0.5; (C) 0.25; (D)以上都不对 5、设随机变量 ,,,,21n X X X 相互独立,12n n S X X X =+++,则根据林德伯格-莱维(Lindeberg Levy)中心极限定理,当n →∞时,n S 近似服从正态分布,只要( )。
(A )有相同的数学期望 (B ) 有相同的方差 (C )服从同一分布 (D ) 有相同的协方差二、填空题(每题3分,共15分)1. 设A ,B 为两个事件,且已知概率()0.2P A =,()0.5P B =,()0.4P B A =,概率()P A B += 。
2.设随机变量~(,), ()3, () 1.2B n p E D ξξξ==,则n =______.3.随机变量ξ的期望为()5E ξ=,标准差为()2σξ=,则2()E ξ=_______.4.甲、乙两射手射击一个目标,他们射中目标的概率分别是0.7和0.8.先由甲射击,若甲未射中再由乙射击。
2002年上海财经大学技术经济学及政治经济学考研真题说明∶1考试时间3小时,可使用计算器。
2.各题解答,只需写明题号,不必抄题。
一、名词解释(下列名词共10个,请选做其中的8个。
每小题3分,共计24分)1.可行性研究2.基准投资收益率3.投资项目经济评价4.影子价格5.基准地价6.项目现金流量7.不确定性分析8.房地产典权9.技术经济效果10.项目评估二、简答题(下列简答题共7题,请选做其中的5题。
每小题6分,共计30分)1.简述改扩建项目财务评价的多层次性。
————————————————————————————————————————————————————————————————————————————————————————————————————————————————————————————————————————————————2.简述社会效果评估指标。
————————————————————————————————————————————————————————————————————————————————————————————————————————————————————————————————————————————————3.简述公益性投资项目经济效益质和量的规定性。
————————————————————————————————————————————————————————————————————————————————————————————————————————————————————————————————————————————————4.简述房地产市场的功能。
————————————————————————————————————————————————————————————————————————————————————————————————————————————————————————————————————————————————5.简述项目生产规模的决定因素。
全国2002年4月高等教育自学考试概率论与数理统计(二)试题第一部分 选择题 (共20分)一、单项选择题(本大题共10小题,每小题2分,共20分)在每小题列出的四个选项中只有一个选项是符合题目要求的,请将正确选项前的字母填在题后的括号内。
1.设随机事件A 与B 互不相容,且P(A)>0,P(B)>0,则( ) A.P(A)=1-P (B ) B.P(AB)=P(A)P(B) C.P(A ∪B)=1 D.P(AB )=12.设A ,B 为随机事件,P(A)>0,P (A|B )=1,则必有( ) A.P(A ∪B)=P(A) B.A ⊂B C.P(A)=P(B) D.P(AB)=P(A)3.将两封信随机地投入四个邮筒中,则未向前面两个邮筒投信的概率为( ) A.2422B.C C 2142 C.242!A D.24!!4.某人连续向一目标射击,每次命中目标的概率为34,他连续射击直到命中为止,则射击次数为3的概率是( ) A.()343B.()34142⨯C. ()14342⨯D.C 4221434() 5.已知随机变量X 的概率密度为f X (x ),令Y=-2X ,则Y 的概率密度f Y (y)为( ) A.2f X (-2y)B.f X ()-y 2C.--122f y X ()D.122f y X ()- 6.如果函数f(x)=x a x b x a x b,;,≤≤或0<>⎧⎨⎩是某连续随机变量X 的概率密度,则区间[a,b]可以是( )A.〔0,1〕B.〔0,2〕C.〔0,2〕D.〔1,2〕7.下列各函数中是随机变量分布函数的为( )A.F x xx 1211(),=+-∞<<+∞B.F x x x x x 20010(),;,.=+>⎧⎨⎪⎪⎩⎪⎪≤C.F x e x x 3(),=-∞<<+∞-D.F x arctgx x 43412(),=+-∞<<+∞π8.设二维随机向量(X,Y )的联合分布列为( )则P{X=0}= A.112B.212 C. 412D.5129.已知随机变量X 和Y 相互独立,且它们分别在区间[-1,3]和[2,4]上服从均匀分布,则E(XY)=( ) A. 3 B. 6 C. 10 D. 12 10.设Ф(x)为标准正态分布函数,X i =10,,事件发生;事件不发生,A A ⎧⎨⎩ i=1,2,…,100,且P(A)=0.8,X 1,X 2,…,X 100相互独立。
概率论考试题库及答案一、单项选择题(每题2分,共20分)1. 如果随机变量X服从标准正态分布,则P(X > 0)的值为:A. 0.5B. 0.3C. 0.7D. 0.9答案:A2. 以下哪个选项是概率论中大数定律的表述?A. 样本均值收敛于总体均值B. 样本方差收敛于总体方差C. 样本中事件A出现的次数除以总次数收敛于P(A)D. 所有上述选项答案:D3. 假设随机变量X服从二项分布B(n, p),其中n=10,p=0.3,那么E(X)的值为:A. 3B. 2.1C. 0.3D. 0.9答案:B4. 在概率论中,以下哪个事件是必然事件?A. 抛一枚硬币,正面朝上B. 抛一枚骰子,得到6点C. 太阳从东方升起D. 以上都不是答案:C5. 如果随机变量X和Y独立,且P(X=1)=0.4,P(Y=1)=0.3,那么P(X=1且Y=1)的值为:A. 0.12B. 0.09C. 0.43D. 0.7答案:A6. 假设随机变量X服从泊松分布,其参数为λ=2,那么P(X=0)的值为:A. 0.1353B. 0.2707C. 0.5488D. 0.8647答案:A7. 以下哪个选项是概率论中条件概率的定义?A. P(A|B) = P(A)P(B)B. P(A|B) = P(A∩B)/P(B)C. P(A|B) = P(B)P(A)D. P(A|B) = P(A∩B)答案:B8. 假设随机变量X服从均匀分布U(a, b),那么其概率密度函数f(x)的表达式为:A. f(x) = 1/(b-a),当a≤x≤bB. f(x) = 1/(a+b),当a≤x≤bC. f(x) = 1/a,当a≤x≤bD. f(x) = 1/b,当a≤x≤b答案:A9. 如果随机变量X服从正态分布N(μ, σ^2),那么其期望E(X)的值为:A. μB. σC. μ^2D. σ^2答案:A10. 假设随机变量X服从几何分布,其成功概率为p,那么其期望E(X)的值为:A. 1/pB. pC. 1-pD. p^2答案:A二、多项选择题(每题3分,共15分)11. 以下哪些是概率论中随机变量的类型?A. 离散型B. 连续型C. 混合型D. 以上都是答案:D12. 在概率论中,以下哪些是随机变量的期望值的性质?A. 线性性质B. 无界性质C. 单调性质D. 以上都是答案:A13. 以下哪些是概率论中随机变量的方差的性质?A. 非负性B. 齐次性C. 可加性D. 以上都是答案:A14. 在概率论中,以下哪些是随机变量的协方差的性质?A. 对称性B. 线性性质C. 非负性D. 以上都是答案:A15. 以下哪些是概率论中随机变量的相关系数的性质?A. 取值范围在[-1, 1]之间B. 对称性C. 非负性D. 以上都是答案:A三、计算题(每题10分,共40分)16. 假设随机变量X服从正态分布N(2, 4),求P(1 < X < 3)。
2002年全国硕士研究生入学统一考试数学二试题一、填空题(本题共5小题,每小题3分,满分15分,把答案填在题中横线上)(1) 设函数tan 21,0arcsin()2,xx e x x f x ae x ⎧->⎪⎪=⎨⎪⎪≤⎩在0x =处连续,则a = .(2) 位于曲线(0)xy xe x -=≤<+∞下方,x 轴上方的无界图形的面积是_______.(3) 微分方程20yy y '''+=满足初始条件011,2x x yy =='==的特解是_________.(4) 1limn n →∞=_____ . (5) 矩阵022222222--⎡⎤⎢⎥-⎢⎥⎢⎥--⎣⎦的非零特征值是_________.二、选择题(本题共5小题,每小题3分,共15分,在每小题给出的四个选项中,只有一项符合题目要求,把所选项前的字母填在题后的括号内.)(1) 设函数()f u 可导,2()y f x =当自变量x 在1x =-处取得增量0.1x ∆=-时,相应的函数增量y ∆ 的线性主部为0.1,则(1)f '=( )(A)-1 (B)0.1 (C)1 (D)0.5 (2) 设函数()f x 连续,则下列函数中,必为偶函数的是( )(A)20()xf t dt ⎰ (B)20()xf t dt ⎰(C)[()()]xt f t f t dt --⎰(D)0[()()]xt f t f t dt +-⎰(3) 设()y x =是二阶常系数微分方程3xy py qy e '''++= 满足初始条(0)(0)0y y '==的特解,则当0x →,函数2ln(1)()x y x +的极限( )(A)不存在 (B)等于1 (C)等于2 (D)等于3 (4) 设函数()y f x =在(0,)+∞内有界且可导,则( )(A)当lim ()0x f x →+∞=时,必有lim ()0x f x →+∞'=.(B)当lim ()x f x →+∞'存在时,必有lim ()0x f x →+∞'=.(C)当0lim ()0x f x +→=时,必有0lim ()0x f x +→'=. (D)当0lim ()x f x +→'存在时,必有0lim ()0x f x +→'=. (5) 设向量组123,,ααα线性无关,向量1β 可由123,,ααα线性表示,而向量2β 不能由123,,ααα线性表示,则对于任意常数k ,必有( )(A)123,,ααα , 12k ββ+线性无关; (B)123,,ααα , 12k ββ+线性相关; (C)123,,ααα,12k ββ+线性无关; (D)123,,ααα,12k ββ+线性相关三、(本题满分6分)已知曲线的极坐标方程是1cos r θ=- ,求该曲线上对应于6πθ=处的切线与法线的直角坐标方程.四、(本题满分7分)设2232,102(),01(1)xx x x x f x xe x e ⎧+-≤<⎪⎪=⎨⎪≤≤⎪+⎩求函数1()()xF x f t dt -=⎰的表达式.五、(本题满分7分)已知函数()f x 在(0,)+∞内可导()0f x >,lim ()1x f x →+∞= , 且满足110()lim()()hx h f x hx e f x →+=,求()f x .六、(本题满分8分)求微分方程(2)0xdy x y dx +-=的一个解()y y x =,使得由曲线()y y x =, 与直线1,2x x ==以及x 轴所围成的平面图形绕x 轴旋转一周的旋转体体积最小.七、(本题满分7分)某闸门的性状与大小如图所示,其中直线l 为对 称轴,闸门的上部为矩形ABCD ,下部由二次抛物线 与线段AB 所围成,当水面与闸门的上端相平时,欲使 闸门矩形部分承受的水压力与闸门下部承受的水压力之 比为5:4,闸门矩形部分的高h 应为多少m (米)?八、(本题满分8分)设1103,1,2,)n x x n +<<==,证明数列{}n x 的极限存在,并求此极限.九、(本题满分8分)设0a b <<,证明不等式222ln ln a b a a b b a -<<+-十、(本题满分8分)设函数 ()f x 在0x =的某邻域内具有二阶连续导数,且(0)0,(0)0,f f '≠≠(0)0.f ''≠ 证明:存在惟一的一组实数123,,λλλ,使得当0h →时,123()(2)(3)(0)f h f h f h f λλλ++-是比2h 高阶的无穷小.十一、(本题满分6分)已知,A B 为3 阶矩阵,且满足124A B B E -=-,其中E 是3阶单位矩阵. (1) 证明:矩阵2A E -可逆;(2) 若120120002B -⎡⎤⎢⎥=⎢⎥⎢⎥⎣⎦,求矩阵.A十二、(本题满6分)已知4阶方阵1234(,,,),A αααα=1234,,,αααα均为4维列向量,其中234,,ααα线性无关,1232ααα=-.如果1234βαααα=+++,求线性方程组Ax β=的通解.D1m2002年全国硕士研究生入学统一考试数学二试题解析一、填空题(1)【答案】 -2【详解】如果分段函数()f x 连续,则()f x 在0点处的左右极限相等,从而确定a 的值. 当0x →+时,tan 1tan xex x ---;arcsin22x x,所以有 tan 00001tan lim ()lim lim lim 2arcsin222x x x x x e x xf x x x x++++→→→→---==-==; 20lim ()lim (0)xx x f x ae a f --→→=== 如果()f x 在0x =处连续,必有(0)(0)(0),f f f +-== 即 2.a =-(2)【答案】 1 【详解】面积00x x x xS xe dx xde xe e dx +∞+∞----+∞⎡⎤==-=--⎣⎦⎰⎰⎰lim 00x xx x b b xe e xe e ----→+∞+∞⎡⎤⎡⎤=--=--⎣⎦⎣⎦lim 11b bb be e --→+∞⎡⎤=---=⎣⎦ 其中 1lim limlim 0bb bb b b b bee e -→+∞→+∞→+∞==洛.(3)【答案】y =【详解】方法1:这是属于缺x 的(,)y f y y '''=类型. 命,dp dp dy dpy p y p dx dy dx dy'''====. 原方程20yy y '''+=化为20dpypp dy+=,得 0p =或0dpyp dy+= 0p =,即0dy dx =,不满足初始条件1'02y x ==,弃之;所以0p ≠所以,0dp yp dy +=,分离变量得dy dp y p =-,解之得1.C p y = 即1.C dy dx y= 由初始条件11,'2yy x x ====,可将1C 先定出来:1111,212C C ==. 于是得12dy dx y=解之得,22,y x C y =+=.以01x y ==代入,得1=,所以应取“+”号且21C =.于是特解是y =方法2:将20y y'''+=改写为()0yy ''=,从而得1yy C '=. 以初始条件1(0)1,(0)2y y '==代入,有1112C ⨯=,所以得12yy '=. 即21yy '=,改写为2()1y '=. 解得2,y x C =+y =1=""+且21C =. 于是特解y =(4)【答案】π【详解】利用定积分的概念将被积函数化为定积分求极限.因为1lim ...n n →∞ 11limnn i nππ→∞==11lim ()ni n i i f x nππ→∞==∆∑ 其中(),(1,2,,)i f x x i n nπ=∆==,所以根据定积分的定义,有1lim n n →∞+1cos 2x dx πππππ===⎰⎰(5)【答案】4【详解】记022222222A --⎡⎤⎢⎥=-⎢⎥⎢⎥--⎣⎦,则02222222222222222E A λλλλλλλ--⎛⎫⎛⎫⎛⎫ ⎪ ⎪ ⎪-=--=-- ⎪ ⎪ ⎪ ⎪ ⎪ ⎪---⎝⎭⎝⎭⎝⎭(对应元素相减)两边取行列式,E A λ-22222222λλλ=---22230222λλλλ+-行行222011222λλλλ -把第行的公因子提出来0122011222λλλ-⨯ -行行11111(1)22λλλ+⋅⋅--按第行展开(其中11(1)+-指数中的1和1分别是λ所在的行数和列数)2(22)λλ=--2(4)λλ=-令0E A λ-=,解得1230,4λλλ===,故4λ=是矩阵的非零特征值.(另一个特征值是0λ=(二重))二、选择题 (1)【答案】(D)【详解】在可导条件下,0()x x dyy x o x dx=∆=∆+∆,当00x x dy dx=≠时x x dy x dx=⋅∆称为y ∆的线性主部.而2()2dy x f x x x dx '⋅∆=∆,以1,0.1x x =-∆=-代入得(1)0.2dyx f dx'⋅∆=⨯,由题设它等于0.1,于是(1)0.5f '=,应选(D).(2)【答案】(D)【详解】对与(D),令0()[()()]xF x t f t f t dt =+-⎰,则0()[()()]xF x t f t f t dt --=+-⎰,令t u =-,则dt du =-,所以()[()()]()[()()]xxF x t f t f t dt u f u f u du --=+-=--+-⎰⎰[()()](),xu f u f u du F x =-+=⎰所以(D)为偶函数.同理证得(A)、(C)为奇函数,而(B)不确定,如()1f t t =+.故应选(D).(3)【答案】(C)【详解】由3xy py qy e '''++=,且(0)(0)0y y '==,可知(0)1y ''=方法1:因为当20x →时,22ln(1)x x +,所以20ln(1)lim ()x x y x →+=2000222lim lim lim 2()()()1x x x x x y x y x y x →→→==='''=, 故选(C).方法2:由于(0)(0)0,(0)1y y y '''===. 将函数()y x 按麦克劳林公式展开22()00()2x y x o x =+++,代入2ln(1)()x y x +,有222000222ln(1)1lim lim lim 211()()()22x x x x x o x y x x o x x→→→+==++=.(4) 【详解】方法1:排斥法.令21()sin f x x x =,则()f x 在(0,)+∞有界,2221()sin 2cos f x x x x'=-+, lim ()0x f x →+∞=,但lim ()x f x →+∞'不存在,故(A)不成立;0lim ()0x f x +→=,但 0lim ()10x f x +→'=≠,(C)和(D)不成立,故选(B). 方法2:证明(B)正确. 设lim ()x f x →+∞'存在,记lim ()x f x A →+∞'=,证明0A =.用反证法,若0A >,则对于02Aε=>,存在0X >,使当x X >时,()2A f x A ε'-<=,即3()2222A A A AA f x A '=-<<+=由此可知,()f x '有界且大于2A.在区间[,]x X 上应用拉格朗日中值定理,有()()()()()()2Af x f X f x X f X x X ξ'=+->+-从而lim ()x f x →+∞=+∞,与题设()f x 有界矛盾.类似可证当0A <时亦有矛盾. 故0A =.(5)【答案】A【详解】方法1:对任意常数k ,向量组123,,ααα,12k ββ+线性无关. 用反证法,若123,,ααα,12k ββ+线性相关,因已知123,,ααα线性无关,故12k ββ+可由123,,ααα线性表出. 即存在常数123,,λλλ,使得 12112233k ββλαλαλα+=++又已知1β可由123,,ααα线性表出,即存在常数123,,l l l ,使得1112233l l l βααα=++代入上式,得121122332112233()k k l l l ββαααβλαλαλα+=+++=++⇒2111222333()()()kl kl kl βλαλαλα=-+-+-与2β不能由123,,ααα线性表出矛盾.故向量组123,,ααα,12k ββ+线性无关,选(A) 方法2:用排除法B 选项:取0k =,向量组123,,ααα,12k ββ+即123,,ααα,2β线性相关不成立,否则因为123,,ααα,2β线性相关,又123,,ααα线性无关,故2β可由123,,ααα线性表出.即存在常数123,,λλλ,使得 2112233βλαλαλα=++与已知矛盾,排除(B).C 选项:取0k =,向量组123,,ααα,12k ββ+,即123,,ααα,1β线性无关不成立,因为1β可由123,,ααα线性表出,123,,ααα,1β线性相关,排除(C).D 选项:0k ≠时,123,,ααα,12k ββ+线性相关不成立.若123,,ααα,12k ββ+线性相关,因已知123,,ααα线性无关,故12k ββ+可由123,,ααα线性表出.即存在常数123,,λλλ,使得 12112233k ββλαλαλα+=++. 又已知1β可由123,,ααα线性表出,即存在常数123,,l l l ,使得1112233l l l βααα=++代入上式,得121122332112233()k l l l k ββαααβλαλαλα+=+++=++ ⇒2111222333()()()k l l l βλαλαλα=-+-+-因为0k ≠,故3311222123l l l kkkλλλβααα---=++与2β不能由123,,ααα线性表出矛盾.故123,,ααα,12k ββ+线性相关不成立,排除(D). 故选(A).三【详解】由极坐标到直角坐标的变换公式cos sin x r y r θθ=⎧⎨=⎩,化极坐标曲线1cos r θ=-为直角坐标的参数方程为(1cos )cos (1cos )sin x y θθθθ=-⎧⎨=-⎩, 即 2c o s c o ss i nc o s s i n x y θθθθθ⎧=-⎨=-⎩ 曲线上6πθ=的点对应的直角坐标为31,2424-- 22666cos sin cos 1.sin 2cos sin dy dy d dx dxd ππθθπθθθθθθθθθ===+-===-+于是得切线的直角坐标方程为13()24y x -=--,即504x y -=.(这是由直线的点斜式得到的,直线的点斜式方程为00()y y k x x -=-,由导数的几何意义知在6πθ=时斜率为1,且该点的直角坐标为31,42), 法线方程为113(()),24124y x --=---即1044x y +-+=.(这是由直线的点斜式方程及在同一点切线斜率与法线斜率为负倒数的关系而得) 四【详解】当10x -≤<时1()()x F x f t dt -=⎰223131(2)()122x x t t dt t t -=+=+-⎰3211.22x x =+-当01x ≤<时,011()()()()x xF x f t dt f t dt f t dt --==+⎰⎰⎰232001()12(1)tx t te t t dt e =++-+⎰0112(1)x t td e =--+⎰010211x t tx t dt e e =--+++⎰01211tx x t x e dt e e --=--+++⎰1ln(1)021t x x x e e -=---++1ln ln 2211x xx x e e e =--++++ 所以3211,1022()1ln ln 2,01112xx x x x x F x e x x e e ⎧+--≤<⎪⎪=⎨⎪-+-≤<⎪++⎩当当五【详解】因为11()ln h ()()()f x hx hf x f x hx ef x ⎛⎫+ ⎪⎝⎭⎛⎫+= ⎪⎝⎭,又 001()1limln lim (ln ()ln ())()h h f x hx f x hx f x h f x h →→⎛⎫+=+- ⎪⎝⎭, 0x ≠ 0ln ()ln ()lim()h f x hx f x x hx→+-=⨯()(ln ())()xf x f x x f x ''=⨯=从而得到 1()1()0()lim ()xf x hf x x h f x hx e ef x '→⎛⎫+= ⎪⎝⎭由题设于是推得()1(ln ())()xf x f x x f x x ''==,即21(ln ())f x x'= 解此微分方程,得 11ln ()f x C x=-+,改写成 1()x f x Ce -=再由条件lim ()1x f x C →+∞==,于是得1().xf x e -=六【详解】这是一阶线性微分方程21y y x'-=-,由通解公式(如果一个一阶线性方程为()()y p x y q x '+=那么通解为()()[()]p x dx p x dxy e q x e dx C -⎰⎰=+⎰)有 22[]dx dx x x y e e dx C -⎰⎰=-+⎰221[]x dx C x =-+⎰221(),12x C x Cx x x=+=+≤≤由曲线2y x Cx =+与1,2x x ==及x 轴围成的图形绕x 轴旋转一周的旋转体的体积为2222131157()()523V x Cx dx C C ππ=+=++⎰ (旋转体的体积公式:设有连续曲线:()()y f x a x b Γ=≤≤,()0f x ≥与直线,x a x b ==及x 轴围成平面图形.该图形绕x 轴旋转一周产生旋转体的体积为2()ba V f x dx π=⎰)取C 使V 最小,由求最值的方法知先求函数的驻点,即0dVdC=的点, 6215()052dV C dC π=+= 解得75.124C =- 又()0V C ''>,故75124C =-为V 的惟一极小值点,也是最小值点,于是所求曲线为275.124y x x =-七【详解】方法1:建立坐标系如下图,由于底部是二次抛物线我们设此抛物线为2y px q =+,由坐标轴的建立知此抛物线过(0,0),(1,1)点,把这两点代入抛物线的方程,得220011p q p q⎧=⨯+⎨=⨯+⎩,所以0,1q p ==. 即底部的二次抛物线是2y x =,11x -≤≤.细横条为面积微元,按所建立的坐标系及抛物线的方程,得到面积微元2dA xdy =,因此压力微元2(1)dp gx h y dy ρ=+- (这是由压力的公式得到的:压力=压强⨯面积)平板ABCD 上所受的总压力为1112(1)hP gx h y dy ρ+=+-⎰其中以1x =代入,计算得21P gh ρ=.抛物板AOB 上所受的总压力为1202(1),P gx h y dy ρ=+-⎰其中由抛物线方程知x =2124()315P g h ρ=+,由题意12:5:4P P =,即251244()315h h =+ 解之得2h =(米)(13h =-舍去),即闸门矩形部分的高应为2m .D八【详解】由103x <<知1x 及13x -()均为正数,故211130(3).22x x x <≤+-= (2()2a b ab +≤,a b 为正数)假设302k x <≤,则再一次用不等式2()2a b ab +≤,得113(3).22k k k x x x +≤+-=由数学归纳法知,对任意正整数2n ≥有302n x <≤.另一方面,1n n n x x x +-20.≤=≥所以{}n x 单调增加.单调增加数列{}n x 有上界,所以lim n n x →∞存在,记为.a由1n x +=两边取极限,于是由极限的运算性质得a =即2230,a a -=解得32a =或0a =,但因10x >且单调增,故0a ≠,所以 3lim 2n n x →∞=.九【详解】左、右两个不等式分别考虑. 先证左边不等式, 方法1:由所证的形式想到用拉格朗日中值定理.ln ln 1(ln ),0.x b ax a b b aξξξ=-'==<<<-而22112a b a bξ>>+中第二个不等式来自不等式222a b ab +>(当0a b <<时),这样就证明了要证明的左边.方法2:用单调性证,将b 改写为x 并移项,命222()()ln ln a x a x x a a xϕ-=--+,有()0a ϕ=. 22222124()()()a ax x a x x a x a x ϕ-'=-+++222222()4()0()()x a ax x a x a x a x --=+>++(当0a x <<),所以,当0x a >>时()x ϕ单调递增. 所以()()0x a ϕϕ>=,故()0b ϕ>, 即222()()ln ln 0a b a b b a a b ϕ-=-->+⇒22ln ln 2b a ab a a b->-+再证右边不等式,用单调性证,将b 改写为x 并移项,命()ln ln ),x x a x aψ=---有()0a ψ=,及21()0,x x ψ'==<所以当0x a >>时,()0x ψ<,再以x b =代入,得ln ln ),b a b a-<-即ln ln b a b a -<-右边证毕.十【详解】从题目结论出发,要证存在唯一的一组123,,λλλ,使得1232()(2)(3)(0)lim0h f h f h f h f L h λλλ→++-==由极限的四则运算法则知,分子极限应为0,即[]1230lim ()(2)(3)(0)h f h f h f h f λλλ→++=由于()f x 在0x =连续,于是上式变形为123(0)()(0).f f λλλ++= 由(0)0,f ≠知123 1.λλλ++= (1)由洛必达法则,1232()(2)(3)(0)limh f h f h f h f L hλλλ→++-=1230()2(2)3(3)lim 2h f h f h f h hλλλ→'''++= (2) 由极限的四则运算法则知分子的极限应是0,即1230lim(()2(2)3(3))0h f h f h f h λλλ→'''++=由于()f x '在0x =连续,于是上式变形为123(23)(0)0f λλλ'++=,由(0)0,f '≠知123230λλλ++= (3)对(2)再用洛必达法则,和()f x ''在0x =连续1231230()4(2)9(3)1lim(49)(0)22h f h f h f h L f λλλλλλ→''''''++''==++ 由(0)0f ''≠,故应有123490λλλ++= (4)将(1)、(3)、(4)联立解之,由于系数行列式11112320,149=≠ 由克莱姆法则知,存在唯一的一组解满足题设要求,证毕.十一【详解】(1) 由题设条件124A B B E -=-,两边左乘A ,得124AA B AB A -=-,即24B AB A =-24AB B A ⇒-=所以 (2)A E B -2AB B =-4488A A E E ==-+4(2)8A E E =-+,⇒(2)4(2)8A E B A E E ---=⇒(2)(2)48A E B A E E E ---⋅=⇒(2)(4)8A E B E E --=⇒1(2)(4)8A EB E E --=根据可逆矩阵的定义知2A E -可逆,且11(2)(4)8A EB E --=-.(2) 由(1)结果知11(2)(4)8A EB E --=-,根据逆矩阵的性质111()kA k A ---=,其中k为不等于零的常数,有1112(4)8(4)8A E B E B E --⎡⎤-=-=-⎢⎥⎣⎦故 18(4)2A B E E -=-+又 1204003204120040120002004002B E ---⎡⎤⎡⎤⎡⎤⎢⎥⎢⎥⎢⎥-=-=-⎢⎥⎢⎥⎢⎥⎢⎥⎢⎥⎢⎥-⎣⎦⎣⎦⎣⎦(对应元素相减) 因为若()()1A E E A - →初等行变换,对[]4B E E -进行初等行变换,[]3201004120010002001B E E ⎡--⎤⎢⎥-=-⎢⎥⎢⎥-⎣⎦13120010320100002001⎡-⎤⎢⎥→--⎢⎥⎢⎥-⎣⎦、行互换2131200100801300011002+⨯⎡⎤⎢⎥-⎢⎥→-⎢⎥⎢⎥-⎢⎥⎣⎦行行12()8010120130100880011002⨯-⎡⎤⎢⎥-⎢⎥⎢⎥→--⎢⎥⎢⎥⎢⎥-⎢⎥⎣⎦行12211044100130100880011002+⨯⎡⎤-⎢⎥⎢⎥⎢⎥→--⎢⎥⎢⎥⎢⎥-⎢⎥⎣⎦行行 故11104413(4)0881002B E -⎡⎤-⎢⎥⎢⎥⎢⎥-=--⎢⎥⎢⎥⎢⎥-⎢⎥⎣⎦,代入18(4)2A B E E -=-+中,则 18(4)2A B E E -=-+110442138028821002⎡⎤-⎢⎥⎡⎤⎢⎥⎢⎥⎢⎥=--+⎢⎥⎢⎥⎢⎥⎢⎥⎣⎦⎢⎥-⎢⎥⎣⎦(常数与矩阵相乘,矩阵的每一个元素都需要乘以该常数)220213020042-⎡⎤⎡⎤⎢⎥⎢⎥=--+⎢⎥⎢⎥⎢⎥⎢⎥-⎣⎦⎣⎦020110002⎡⎤⎢⎥=--⎢⎥⎢⎥-⎣⎦(对应元素相加)十二【详解】方法1:记[]1234,,,A αααα=,由234,,ααα线性无关,及123420,αααα=-+即1α可以由234,,ααα线性表出,故1234,,,αααα线性相关,及1234βαααα=+++即β可由1234,,,αααα线性表出,知[][][][]12341234123,,,,,,,(),,3r A r r r A r βααααβααααααα=====系数矩阵的秩与增广矩阵的秩相等,故Ax β=有解.对应齐次方程组0Ax =,其系数矩阵的秩为3,故其基础解系中含有4-3(未知量的个数-系数矩阵的秩)个线性无关的解向量,故其通解可以写成k ξ,η*是Ax β=的一个特解,根据非齐次线性方程组的解的结构定理,知Ax β=的通解为k ξη*+,其中k ξ是对应齐次方程组0Ax =的通解,η*是Ax β=的一个特解,因123420,αααα=-+故[]123412341220,,,010αααααααα⎡⎤⎢⎥-⎢⎥-+-==⎢⎥⎢⎥⎣⎦,故[]1,2,1,0Tξ=-是0Ax =的一个非零解向量,因为0Ax =的基础解系中只含有一个解向量,故[]1,2,1,0Tξ=-是0Ax =的基础解系.又[]1234123411,,,11βαααααααα⎡⎤⎢⎥⎢⎥=+++=⎢⎥⎢⎥⎣⎦,即1111A β⎡⎤⎢⎥⎢⎥=⎢⎥⎢⎥⎣⎦故[]1,1,1,1Tη*=是Ax β=的一个特解,根据非齐次线性方程组的解的结构定理,方程组的通解为[][]1,2,1,01,1,1,1T Tk -+.(其中k 是任意常数) 方法2:令[]1234,,,Tx x x x x =,则线性非齐次方程为[]1234,,,Ax x αααα=[]12123434,,,x x x x αααα⎡⎤⎢⎥⎢⎥=⎢⎥⎢⎥⎣⎦11223344x x x x ααααβ=+++=已知1234βαααα=+++,故11223344x x x x αααα+++=1234αααα+++将1232ααα=-代入上式,得23122334423234(2)(2)x x x x αααααααααα-+++=-+++⇒21312233442323424223x x x x x αααααααααααα-+++=-+++=+⇒12231334424(2)30x x x x x αααααα+-++--= ⇒12213344(23)()(1)0x x x x x ααα+-+-++-=由已知234,,ααα线性无关,根据线性无关的定义,不存在不全为零的常数使得2233440k k k ααα++=,上式成立当且仅当1213423010x x x x x +=⎧⎪-+=⎨⎪-=⎩ 其系数矩阵为210010100001⎛⎫⎪- ⎪ ⎪⎝⎭,因为3阶子式10001010001=≠,其秩为3,故其齐次线性方程组的基础解系中存在1个(4-3)线性无关的解向量,取自由未知量3x k =,则方程组有解431321,,,23x x k x x k x k =====-+故方程组Ax β=有通解123410232310101x k x k k x k x ⎡⎤⎡⎤⎡⎤⎡⎤⎢⎥⎢⎥⎢⎥⎢⎥-+-⎢⎥⎢⎥⎢⎥⎢⎥==+⎢⎥⎢⎥⎢⎥⎢⎥⎢⎥⎢⎥⎢⎥⎢⎥⎣⎦⎣⎦⎣⎦⎣⎦.(其中k 是任意常数)赠送以下资料考研英语作文模板(英语一)大作文考研英语大作文一般是看图写作,从一幅图分析含义及意义,所以只需要几个好的模板,根据题目套上去就行了。
考研概率论试题及答案一、选择题(每题5分,共20分)1. 设随机变量X服从标准正态分布,则P(X > 1)的值是:A. 0.1587B. 0.8413C. 0.3446D. 0.5000答案:B2. 设随机变量X服从参数为λ的泊松分布,若P(X=1)=0.2,则λ的值是:A. 0.5B. 1C. 2D. 5答案:A3. 设随机变量X服从二项分布B(n,p),其中n=10,p=0.3,则E(X)的值是:A. 3B. 2.1C. 2.7D. 3.3答案:B4. 设随机变量X服从均匀分布U(0,θ),若P(X > θ/2)=1/4,则θ的值是:A. 2B. 4C. 8D. 16答案:B二、填空题(每题5分,共20分)1. 设随机变量X服从正态分布N(μ,σ^2),若P(X >μ+2σ)=0.0228,则P(X < μ-2σ)=_________。
答案:0.02282. 设随机变量X服从二项分布B(n,p),若n=20,p=0.4,则P(X ≥ 10)=_________。
答案:0.95123. 设随机变量X服从指数分布,其概率密度函数为f(x;λ)=λe^(-λx),x≥0,则E(X)=_________。
答案:1/λ4. 设随机变量X服从几何分布,其概率质量函数为P(X=k)=p(1-p)^(k-1),k=1,2,...,若p=0.3,则P(X=3)=_________。
答案:0.0243三、计算题(每题10分,共20分)1. 设随机变量X服从参数为λ的泊松分布,已知P(X=2)=0.3456,求λ的值。
答案:λ=32. 设随机变量X服从参数为θ的均匀分布U(0,θ),已知P(X >θ/3)=1/6,求θ的值。
答案:θ=3四、解答题(每题15分,共30分)1. 设随机变量X服从二项分布B(n,p),已知n=30,p=0.2,求P(X ≥ 5)。
答案:P(X ≥ 5) = 1 - P(X ≤ 4) = 1 - (C(30,0)*0.2^0*0.8^30 + C(30,1)*0.2^1*0.8^29 + C(30,2)*0.2^2*0.8^28 +C(30,3)*0.2^3*0.8^27 + C(30,4)*0.2^4*0.8^26) ≈ 0.84682. 设随机变量X服从正态分布N(μ,σ^2),已知μ=50,σ=10,求P(40 < X < 60)。
作业四1.设总体概率函数如下,是样本,试求未知参数的极大似然估计.(1) f (x;θ)=θc θx −(θ+ ),x >c ,c >0已知,θ>1. (2) f (x;θ)=1,θ−12⁄<x <θ+12⁄;2.一地质学家为研究密歇根湖的湖滩地区的岩石成分,随机地自该地区取100个样品,每个样品有10块石子,记录了每个样品中属石灰石的石子数.假设这100次观察相互独立,求这地区石子中石灰石的比例 的极大似然估计.该地质学家所得的数据如下:(提示:利用二项分布)3.设总体 ~U (θ 2θ),其中θ>0是未知参数,又 为取自该总体的样本,̅为样本均值. (1) 证明θ̂=23̅是参数θ的无偏估计和相合估计;(2) 求θ的极大似然估计,它是无偏估计吗?是相合估计吗? 4.设总体 的概率密度为f (x )={(θ+1)x θ0<x <1;0其他.其中θ>−1是未知参数, 2 是来自总体 的一个容量为n 的简单随机样本.试分别用矩估计法和极大似然估计法求θ的估计量.5.证明:对正态分布N (μ σ2),若只有一个观测值,则μ,σ2的极大似然估计不存在.6.设从总体 ~N (μ σ 2)和总体 ~N (μ2 σ22)中分别抽取容量为n =10,n 2=1 的独立样本,可计算得x̅= 2, 2= , ̅= , 2= 2 .(1)若已知 2= , 22= ,求μ −μ2的置信水平为95%的置信区间;(2)若已知σ 2=σ22,求μ −μ2的置信水平为95%的置信区间;(3)若对σ 2,σ22一无所知,求μ −μ2的置信水平为95%的近似置信区间;上海财经大学《数理统计》⁄的置信水平为95%的置信区间.(4)求σ2σ227.设为抽自正态总体N(μ 1 )的简单随机样本,为使得μ的置信水平为1−的置信区间的长度不大于给定的,试问样本容量n至少要多少?8. 有一位市场调查员,他感兴趣的是该地区成年人中将购买某种产品的比率(即该商品的市场占有率)。
概率论考试题及答案一、单项选择题(每题2分,共20分)1. 随机事件A和B是互斥的,那么下列哪个说法是正确的?A. P(A∪B) = P(A) + P(B)B. P(A∩B) = 0C. P(A∪B) = P(A) - P(B)D. P(A∩B) = P(A) + P(B)答案:B2. 如果随机变量X服从正态分布N(μ, σ^2),那么以下哪个是正确的?A. μ是X的中位数B. μ是X的众数C. μ是X的期望值D. μ是X的方差答案:C3. 以下哪个是条件概率的定义?A. P(A|B) = P(A) / P(B)B. P(A|B) = P(A∩B) / P(B)C. P(A|B) = P(B) / P(A)D. P(A|B) = P(A∪B) / P(B)答案:B4. 如果随机变量X和Y是独立的,那么以下哪个是正确的?A. P(X∩Y) = P(X)P(Y)B. P(X∪Y) = P(X) + P(Y)C. P(X∩Y) = P(X) - P(Y)D. P(X∪Y) = P(X)P(Y)答案:A5. 以下哪个是大数定律的表述?A. 样本均值收敛于总体均值B. 样本方差收敛于总体方差C. 样本中值收敛于总体中值D. 样本众数收敛于总体众数答案:A6. 以下哪个是中心极限定理的表述?A. 样本均值的分布随着样本量的增加而趋近于正态分布B. 样本方差的分布随着样本量的增加而趋近于正态分布C. 样本中值的分布随着样本量的增加而趋近于正态分布D. 样本众数的分布随着样本量的增加而趋近于正态分布答案:A7. 以下哪个是二项分布的参数?A. n和pB. n和σC. μ和pD. μ和σ答案:A8. 如果随机变量X服从泊松分布,那么其期望值E(X)等于?A. λB. 2λC. λ^2D. 1/λ答案:A9. 以下哪个是随机变量X的方差的定义?A. Var(X) = E(X^2) - [E(X)]^2B. Var(X) = E(X) - [E(X)]^2C. Var(X) = E(X) - E(X^2)D. Var(X) = E(X^2) - E(X)答案:A10. 以下哪个是随机变量X的标准差的定义?A. SD(X) = √E(X^2) - [E(X)]^2B. SD(X) = √Var(X)C. SD(X) = E(X) - [E(X)]^2D. SD(X) = Var(X) - E(X^2)答案:B二、填空题(每题3分,共30分)11. 如果随机变量X服从均匀分布U(a, b),那么其期望值E(X)为________。
全国2002年4月高等教育自学考试概率论与数理统计(二)试题课程代码:02197第一部分 选择题 (共20分)一、单项选择题(本大题共10小题,每小题2分,共20分)在每小题列出的四个选项中只有一个选项是符合题目要求的,请将正确选项前的字母填在题后的括号内。
1.设随机事件A 与B 互不相容,且P(A)>0,P(B)>0,则( ) A.P(A)=1-P (B ) B.P(AB)=P(A)P(B) C.P(A ∪B)=1 D.P(AB )=12.设A ,B 为随机事件,P(A)>0,P (A|B )=1,则必有( ) A.P(A ∪B)=P(A) B.A ⊂B C.P(A)=P(B) D.P(AB)=P(A)3.将两封信随机地投入四个邮筒中,则未向前面两个邮筒投信的概率为( ) A.2422B.C C 2142C.242!AD.24!!4.某人连续向一目标射击,每次命中目标的概率为34,他连续射击直到命中为止,则射击次数为3的概率是( ) A.()343B.()34142⨯C. ()14342⨯D.C 4221434()5.已知随机变量X 的概率密度为f X (x ),令Y=-2X ,则Y 的概率密度f Y (y)为( ) A.2f X (-2y)B.f X ()-y 2C.--122f y X ()D.122f y X ()- 6.如果函数f(x)=x a x b x a x b,;,≤≤或0<>⎧⎨⎩是某连续随机变量X 的概率密度,则区间[a,b]可以是( ) A.〔0,1〕 B.〔0,2〕 C.〔0,2〕 D.〔1,2〕 7.下列各函数中是随机变量分布函数的为( )A.F x xx 1211(),=+-∞<<+∞ B.F x x x x x 20010(),;,.=+>⎧⎨⎪⎪⎩⎪⎪≤C.F x e x x 3(),=-∞<<+∞-D.F x arctgx x 43412(),=+-∞<<+∞π8.)则P{X=0}= A. 112 B. 212 C.412D.5129.已知随机变量X 和Y 相互独立,且它们分别在区间[-1,3]和[2,4]上服从均匀分布,则E(XY)=( ) A. 3 B. 6 C. 10 D. 12 10.设Ф(x)为标准正态分布函数,X i =10,,事件发生;事件不发生,A A ⎧⎨⎩ i=1,2,…,100,且P(A)=0.8,X 1,X 2,…,X 100相互独立。